Abstract
Fungi have become an invaluable source of bioactive natural products, with more than 5 million species of fungi spanning the globe. Fractionation of crude extract of Neodidymelliopsis sp., led to the isolation of a novel polyketide, (2Z)-cillifuranone (1) and five previously reported natural products, (2E)-cillifuranone (2), taiwapyrone (3), xylariolide D (4), pachybasin (5), and N-(5-hydroxypentyl)acetamide (6). It was discovered that (2Z)-cillifuranone (1) was particularly sensitive to ambient temperature and light resulting in isomerisation to (2E)-cillifuranone (2). Structure elucidation of all the natural products were conducted by NMR spectroscopic techniques. The antimicrobial activity of 2, 3, and 5 were evaluated against a variety of bacterial and fungal pathogens. A sodium [1-13C] acetate labelling study was conducted on Neodidymelliopsis sp. and confirmed that pachybasin is biosynthesised through the acetate polyketide pathway.
1. Introduction
Fungi are well known producers of antimicrobial natural products and have given society some of the largest medical breakthroughs in our time. More than 5 million species of fungi span the globe providing an abundance of potential natural products that can be screened for bioactivity [1]. We have an ongoing interest in identifying novel natural products from fungal isolates from the International Collection of Microorganisms from Plants (ICMP) [2]. Using whole cell assays, we found Neodidymelliopsis sp. (ICMP 11463) to show antibacterial activity against Staphylococcus aureus and Mycobacterium abscessus but not Escherichia coli or Pseudomonas aeruginosa. Fractionation of the crude extract of Neodidymelliopsis sp. led to the isolation of two furanones, (2Z)-cillifuranone (1) and (2E)-cillifuranone (2); two α-pyrones, taiwapyrone (3) and xylariolide D (4); one anthraquinone, pachybasin (5); and one acetamide, N-(5-hydroxypentyl)acetamide (6) (Figure 1). Of the six natural products isolated, (2Z)-cillifuranone (1) was novel, while compounds 2–6 have been previously reported [3,4,5,6,7]. Upon further investigation, (2Z)-cillifuranone (1) was found to be unstable, spontaneously isomerising to (2E)-cillifuranone (2) in ambient temperature and light.
Figure 1.
Structures of isolated natural products 1–6.
Previous reports have shown that (2E)-cillifuranone (2) was isolated from the same fungi that afforded sorbifuranone A–C (7–9), which have (2Z)-cillifuranone (1) incorporated in their structure (Figure 2) [8]. It was postulated that (2Z)-cillifuranone (1) was an anticipated natural product but was the unfavoured isomer of the two [4,8]. Herein, we report the isolation and structure elucidation of (2Z)-cillifuranone (1), along with known natural products 2–6.
Figure 2.
Sorbifuranone A (7), sorbifuranone B (8), sorbifuranone C (9), with (2Z)-cillifuranone fragments highlighted in red.
2. Results and Discussion
2.1. Isolation and Structure Elucidation
Freeze-dried plates (dry weight 108.6 g) inoculated with Neodidymelliopsis sp. (ICMP 11463) were extracted with a combination of MeOH and CH2Cl2. Preliminary fractionation of the brown gum was carried out using C8 reversed-phase flash chromatography, eluting with a MeOH/H2O gradient, to generate five fractions (F1–F5). Further purification of F3 and F4 by a combination of Sephadex LH20 and silica gel column chromatography afforded compounds 1–6 (Figure 3).
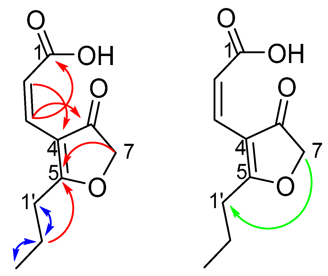
Figure 3.
Selected HMBC (red) and COSY correlations (blue) and the long-range 5JHH COSY correlation (green) for (2Z)-cillifuranone (1).
High resolution ESI mass spectrum of compound 1, isolated as pale-yellow needles, showed a sodiated adduct of m/z 219.0638 [M + Na+] which established a molecular formula of C10H12O4. The 1H-NMR spectrum of 1 exhibited one set of alkene protons (δH 6.49 (d, J = 11.6 Hz, H-3) and 6.01 (d, J = 11.6 Hz, H-2)), three methylenes (δH 4.62 (s, H2-7), 2.60 (t, J = 7.0 Hz, H2-1′) and 1.75–1.70 (m, H2-2′)), and one methyl group (δH 0.99 (t, J = 7.0 Hz, H3-3′)) (Table 1). The 13C-NMR spectrum identified 10 signals including three carbonyl carbons (δC 201.2 (C-8), 193.4 (C-5), and 169.5 (C-1)), three olefinic carbons (δC 114.9 (C-4), 124.4 (C-2), 130.0 (C-3)), three methylenes (δC 76.1 (C-7), 32.9 (C-1′), and 20.3 (C-2′)), and, finally, one methyl carbon (δC 14.0 (C-3′)). Analysis of COSY NMR data established the presence of two distinct proton spin-systems; two protons (δH 6.49, δH 6.01) were attributed to a Z-alkene as they had a JHH coupling constant of 11.6 Hz, while a second spin-system was attributed to an alkyl chain (δH 2.60, δH 1.75–1.70, and δH 0.99) (Figure 3). HMBC correlations observed between δH 6.49 (H-3) and δC 201.2 (C-8) and 169.5 (C-1) combined with correlations from δH 6.01 (H-2) to δC 114.9 (C-4) established the position of a carboxylic acid, two carbonyl carbons and the attachment point of the Z-alkene at position C-4. In addition, HMBC correlations between δH 1.75–1.70 (H2-2′) and 193.4 (C-5) established the position of the alkyl chain at C-5. Issues arose with placement of the remaining methylene carbon at C-7. COSY correlations between δH 4.62 (H2-7) and δH 2.60 (H2-1′) suggested the remaining methylene must be a near H2-1′; however, no HMBC correlations to the alkyl chain were observed. An HMBC correlation from δH 4.62 to δC 193.4 suggested a furanone ring. Thus, compound 1 was determined to be (2Z)-cillifuranone. The spectroscopic data showed many similarities to those observed for (2E)-cillifuranone with differences centred on the alkene, where compound 1 contains a Z-alkene (δH 6.49, δC 130.0) and (δH 6.01, δC 124.4) and 2 contains an E-alkene (δH 7.32, δC 132.6) and (δH 6.83, δC 118.7). The most notable similarity with the present study was an unusual 5JHH COSY correlation observed between H2-7 and H2-1′ which was also reported by Weise et al. during the structure elucidation of 2 [4].
Table 1.
1H and 13C chemical shift (CD3OD) for (2Z)-cillifuranone (1).
Efforts to purify (2Z)-cillifuranone (1) generally ended with an E/Z mixture. Issues in separation occurred due to the negligible polarity between the two isomers. Several methods to achieve separation based on polarity differences were attempted, including low-pressure silica gel, Diol-bonded silica gel, and C8 column chromatography; however, none of these methods proved effective. Of the separation methods attempted, silica gel column chromatography using a CH2Cl2:MeOH gradient solvent system proved the most successful leading to isolation of 0.9 mg of (2Z)-cillifuranone (1). Unfortunately, isomerisation had begun before full characterisation could be completed.
An 1H-NMR time course experiment was used to explore the ease of conversion of (2Z)-cillifuranone (1) to (2E)-cillifuranone (2), and to answer the possibility that conversion of 1 to 2 occurred during chromatography and with time. The time course experiment involved dissolving 1 in d4-methanol and storing the sample open to light at room temperature and acquiring a 1H-NMR spectrum every three months (Figure 4). Over a nine-month period, 1 was observed to isomerise to 2. After three months, approximately 70% of (2Z)-cillifuranone (1) had isomerised, while, after nine months, approximately 77% had isomerised.
Figure 4.
Time-controlled experiment of (2Z)-cillifuranone (1) isomerisation. (A): time zero, (B): three months after time zero, (C): six months after time zero, (D): nine months after time zero.
This time-controlled experiment clearly demonstrated that (2Z)-cillifuranone (1) is ambient light and temperature sensitive, isomerising to (2E)-cillifuranone (2). Since 2 appeared to be the more stable isomer, this could explain some of difficulties that we had in acquiring 1 in amounts required for characterisation. The extraction procedure could have led to 1 isomerising to 2. The standard extraction procedure used does not seek to minimise light exposure and the process of drying initial fractions collected from reversed-phase C8 column chromatography requires removal of water that is achieved under reduced pressure in a 40 °C water bath. Further extractions of Neodidymelliopsis sp. were undertaken in the absence of light and with water baths at room temperature. These changes were made to minimise isomerisation of 1. However, no further isolation of pure (2Z)-cillifuranone (1) was achieved.
The structures of the other four known compounds were identified as taiwapyrone (3), xylariolide D (4), pachybasin (5), and N-(5-hydroxypentyl)acetamide (6) by comparison of NMR data with literature [5,9,10].
2.2. Evaluation of Bioactivity
During initial inhouse whole cell screening, Neodidymelliopsis sp. (ICMP 11463) showed antibacterial activity against Staphylococcus aureus and Mycobacterium abscessus but not Escherichia coli or Pseudomonas aeruginosa. Three of the six compounds isolated from Neodidymelliopsis sp. were evaluated for their bioactivity against Mycobacterium abscessus and M. marinum using inhouse assays, and against a more extensive panel of microorganisms (Escherichia coli, Klebsiella pneumonia, Pseudomonas aeruginosa, Acinetobacter baumannii, Methicillin-resistant Staphylococcus aureus, Candida albicans, and Cryptococcus neoformans) by the Community for Open Antimicrobial Drug Discovery (COADD) at The University of Queensland. COADD test compound activity as inhibition of microbial growth at a single concentration of 32 µg/mL and their assays did not identify any significant inhibition of growth for any compound tested (Table 2). Similarly, we found no activity for 2 and 3 against M. abscessus or M. marinum (data not shown). However, we did find some anti-mycobacterial activity for 5 with Minimum Inhibitory Concentrations (MIC) of 32 and 64 µg/mL for M. marinum and M. abscessus, respectively (Figure 5).
Table 2.
Antimicrobial activities of 2, 3, and 5.
Figure 5.
Antimicrobial activity of 5 against M. abscessus and M. marinum. The raw data (Supplementary Materials II) has been deposited online on Figshare.com (doi:10.17608/k6.auckland.14503584).
2.3. Proposed Biosynthesis
In 2010, three secondary metabolites, sorbifuranone A–C (7–9), were isolated from Penicillium chryogenum [8]. These metabolites contained a (2Z)-cillifuranone fragment incorporated into the larger sorbifuranone structures (Figure 2). The authors postulated a biosynthesis for sorbifuranone A (7) using (2Z)-cillifuranone (1) and sorbicillinol (12) as intermediates (Figure 6) [8]. Recent studies on the chemistry of Penicillium chryogenum led to the discovery of (2E)-cillifuranone (2) that was found in conjunction with sorbifuranone A–C (7–9) [4]. An unconfirmed signal in their UV-spectrum led the researchers to postulate that (2Z)-cillifuranone (1) must exist and be the unfavoured isomer in the fungus [4].
Figure 6.
Proposed biosynthesis of sorbifuranone A (7) using (2Z)-cillifuranone (1) by Bringmann et al. [8].
We speculate that it is possible to achieve the biosynthesis of both (2Z)-cillifuranone and taiwapyrone using the previously proposed intermediate 11 as a common biosynthetic intermediate (Figure 7). The biosynthesis of 1 can begin with putative enzymatic oxidation of 10 to form 11, which can be mediated by dioxygenase followed by reduction of the aldehyde to a secondary hydroxyl to form 13. From 13, it is possible for two different cyclization pathways to lead to two different products. The first cyclization (red) begins with attack of the ketone by the allylic alcohol to form the furanone ring followed by expulsion of water, the resulting product is (2Z)-cillifuranone (1). The second possible cyclization (blue) pathway involves the vinyl alcohol attacking the carbonyl of the acid forming the six membered α-pyrone ring with the expulsion of water. Subsequent reduction of the ketone forms taiwapyrone (3).
Figure 7.
Proposed biosynthesis of (2Z)-cillifuranone (1) (red) and taiwapyrone (3) (blue).
Having such commonly related intermediates allows Neodidymelliopsis sp. to have flexibility in production of these two secondary metabolites. Depending on the conditions Neodidymelliopsis sp. is exposed to, the fungus can respond with rapid production of (2Z)-cillifuranone (1) or taiwapyrone (3). Given that some investigations of the chemistry of Neodidymelliopsis sp. yielded no (2E/Z)-cillifuranone, it is plausible that the pathway is sensitive to growing conditions.
2.4. Sodium [1-13C] Acetate Incorporation Study
Due to the lack of biosynthetic knowledge for compounds, such as taiwapyrone and (2E)-cillifuranone, a sodium [1-13C] acetate labelling study was conducted to test the hypothesis that these compounds were produced through the acetate pathway. The organism was regrown in solid culture with 1 mg/mL sodium [1-13C] acetate incorporated in the agar. Standard extraction and fractionation unfortunately only yielded pachybasin (5), with no chromatographic evidence observed for 1–4 and 6.
The 13C-NMR spectra of labelled (Figure S12, Supplementary Materials) and unlabelled pachybasin (5) (Figure 8 and Figure S12) were overlapped and the peak heights for C-11 were matched to identify any enhanced carbon signals in the labelled spectrum. A number of peaks were observed with enhanced intensities of 7.4*(C-3), 6.4*(C-9), 6.2*(C-8), 6.1*(C-6), 6.1*(C-4a), 5.5*(C-1), 5.0*(C-10a) (*relative to C-11) (Table 3). The acetate that was used during this experiment was enriched at the carbonyl which allowed a predicted labelling pattern based on a related anthraquinone, chrysophanol, the biosynthesis of which has been extensively studied [11]. The predicted labelling pattern agreed with the labelling pattern observed for pachybasin (5) (Figure 8), providing conclusive evidence that pachybasin is synthesised through the acetate polyketide pathway.
Figure 8.
13C-NMR spectra of unlabelled (blue) and biosynthetically labelled (red) pachybasin. Green stars: 13C enhanced carbon signals.
Table 3.
Assignment of 13C-NMR resonances using labelled pachybasin (5) in comparison to literature.
Further examination of the enriched carbon chemical shifts and determination of pairs of chemical shifts led to the reassignment of three quaternary carbons (C-3, C-4a, and C-9a) previously assigned incorrectly in isolation reports of pachybasin (5) (Table 3).
To determine the exact polyketide folding mode that leads to pachybasin, a second experiment would need to be devised using 1,2-13C sodium acetate. In the established F folding mode, the octaketide cyclization point lies between C-2 and C-3 [11,13]. The use of double labelled acetate would identify intact acetate units, with F-mode leaving C-2 as a single labelled position (Figure 9). In contrast, the proposed F′-mode folding leaves C-11 as a single labelled position [11,13]. Both cyclization modes preserve the F-mode labelling pattern. To generate the evidence required to prove the F′ folding mode, a 13C-COSY experiment would be acquired, with the 13C-13C connectivity being used to definitively establish the cyclization mode that leads to pachybasin.
Figure 9.
Predicted F′-mode (A) and F′-mode (B) octaketide folding for pachybasin (5).
3. Materials and Methods
3.1. General Experimental Procedures
Infrared spectra were recorded on a Perkin-Elmer spectrometer 100 Fourier Transform infrared spectrometer (PerkinElmer, Boston, MA, USA) equipped with a universal ATR accessory. HRMS data were acquired on a Bruker micrOTOF QII spectrometer (Bruker Daltonics, Bremen, Germany). NMR spectra were recorded on a Bruker Avance DRX-400 spectrometer (Bruker, Karlsruhe, Germany) or an Avance III-HD 500 spectrometer (Bruker, Karlsruhe, Germany) operating at 400 or 500 MHz for 1H nuclei and 100 or 125 MHz for 13C nuclei. Proto-deutero solvent signals were used as internal references (CD3OD: δH 3.31, δC 49.00 and CDCl3: δH 7.26, δC 77.16). For 1H-NMR, the data are quoted as position (δ), relative integral, multiplicity (s = singlet, d = doublet, t = triplet, q = quartet, m = multiplet, br = broad), coupling constant (J, Hz) and assignment to the atom. The 13C-NMR data are quoted as position (δ) and assignment to the atom. Flash column chromatography was carried out using either Diol bonded silica (40–63 µm) (Luknova, Mansfield, MA, USA), Davisil silica gel (40–63 µm) (Merck, Munich, Germany), or C8 reversed-phase (40–63 µm) solid support (Luknova, Mansfield, MA, USA). Gel filtration flash chromatography was carried out on Sephadex LH-20 (Merck, Munich, Germany). Thin layer chromatography was conducted on Merck (Munich, Germany) DC-plastikfolien Kieselgel 60 F254 plates. All solvents used were of analytical grade or better and/or purified according to standard procedures.
3.2. Fungal Material
Fungal material was provided by Manaaki Whenua—Landcare Research, a New Zealand Crown Research Institute (Auckland, New Zealand) responsible for the curation of the International Collection of Microorganisms from Plants (ICMP). The ascomycete fungus Neodidymelliopsis was described as a new genus in 2015 as a group of plant-associated Phoma-like fungi [14]. Culture ICMP 11463 was isolated in October 1991 from a leaf spot on New Zealand native Pittosporum. As the ITS sequence does not closely match any known Neodidymelliopsis species, it may be a novel species in this genus [14]. Freezer stocks were made by growing the fungus on 1.5% potato dextrose agar (PDA) plate and excising small cubes of agar (5–6 mm in length) from the fungus’ growing edge. These cubes were placed within a cryovial containing 1 mL of 10% glycerol. The cryovials were rested for 1 h, after which the remaining liquid glycerol was removed, and the tubes were stored at −80 °C.
3.3. Fermentation, Extraction and Isolation
Fifty-five PDA plates were inoculated with ICMP 11463 and incubated at room temperature for 4 weeks. Fully grown fungal plates were freeze-dried (108.6 g, dry weight) and extracted with MeOH (2 × 500 mL) for 4 h followed CH2Cl2 (2 × 500 mL) overnight. Combined organic extracts were concentrated under reduced pressure to afford a red/brown gum (0.51 g). The crude product was subjected to C8 reversed-phase column chromatography eluting with a gradient of H2O/MeOH to afford five fractions (F1–F5). F3 was subjected to purification by Sephadex LH-20, eluting with MeOH, to afford eight fractions (A1–A8). Further purification of fraction A4 by silica gel column chromatography, eluting with gradient CH2Cl2/MeOH, afforded taiwapyrone (3) (24 mg) and N-(5-hydroxypentyl)acetamide (6) (7 mg). Purification of F4 by Sephadex LH-20, eluting with MeOH, generated three fractions (B1–B3) of which B2 afforded pachybasin (5) (16 mg). Additional purification of B1 by silica gel column chromatography, eluting with gradient n-hexane/EtOAc, generated four fractions (C1–C4) of which C2 contained (2E)-cillifuranone (2) (30 mg). Fraction C3 afforded xylariolide D (4) (2 mg), (2Z)-cillifuranone (1) (0.9 mg) and a 0.4:1 mixture of 3 and 1 (4 mg) after further purification by silica gel column chromatography, eluting with gradient CH2Cl2/MeOH.
3.3.1. (2Z)-Cillifuranone (1)
Pale yellow needles; Rf (CH2Cl2:MeOH, 9:1) 0.40; m.p. 145–147 °C; IR (ATR) vmax 3340, 2471, 2243, 2216, 2128, 2071, 1385, 1121, 973, 827 cm−1; 1H-NMR (400 MHz, CD3OD) δ 6.49 (d, J = 11.6 Hz, H-3), 6.01 (d, J = 11.6 Hz, H-2), 4.62 (2H, s, H2-7), 2.60 (2H, t, J = 7.0 Hz, H2-1′), 1.75–1.70 (2H, m, H2-2′), 0.99 (3H, t, J = 7.0 Hz, H3-3′); 13C-NMR (100 MHz, CD3OD) δ 201.2 (C-8), 193.4 (C-5), 169.5 (C-1), 130.0 (C-3), 124.4 (C-2), 114.9 (C-4), 76.1 (C-7), 32.9 (C-1’), 20.3 (C-2’), 14.0 (C-3’); (+)−HRESIMS m/z 219.0635 [M + Na]+ (calcd C10H12O4Na, 219.0633).
3.3.2. (2E)-Cillifuranone (2)
Yellow oil; Rf (n-hexane:EtOAc, 9:1) 0.17; IR (ATR) vmax 3055, 1704, 1625, 1571, 1421, 1265, 1186, 982, 896, 734, 704 cm−1; 1H-NMR (400 MHz, CD3OD) δ 7.32 (1H, d, J = 15.6 Hz, H-3), 6.83 (1H, d, J = 15.6 Hz, H-2), 4.67 (2H, s, H2-7), 2.76 (2H, t, J = 7.4 Hz, H2-1′), 1.81–1.72 (2H, m, H2-2’), 1.02 (3H, t, J = 7.4 Hz, H3-3’); 13C-NMR (100 MHz, CD3OD) δ 201.9 (C-8), 196.7 (C-5), 170.9 (C-1), 132.6 (C-3), 118.7 (C-2), 112.6 (C-4), 76.3 (C-7), 31.6 (C-1’), 21.1 (C-2’), 14.0 (C-3’) (1H- and 13C-NMR data agreed with literature) [9]; (+)−HRESIMS m/z 219.0638 [M + Na]+ (calcd C10H12O4Na, 219.0633).
3.3.3. Taiwapyrone (3)
Yellow oil; Rf (CH2Cl2:MeOH, 9:1) 0.23; IR (ATR) vmax 3333, 2946, 2835, 2164, 1648, 1450, 1412, 1111, 1019 cm−1; [α]D21 = −44.8 (c = 0.35, MeOH) ([α]D20 = −48.5 (c = 0.33, MeOH) literature) [3]; 1H-NMR (400 MHz, CD3OD) δ 7.68 (1H, d, J = 9.6 Hz, H-4), 6.34 (1H, d, J = 9.6 Hz, H-3), 4.76–4.72 (1H, m, H-1’), 4.43 (2H, s, H2-7), 1.78–1.69 (1H, m, H-2’A), 1.60–1.51 (1H, m, H-2’B), 1.49–1.39 (1H, m, H-3’A), 1.35–1.28 (1H, m, H-3’B), 0.95 (3H, t, J = 7.2 Hz, H3-4’); 13C-NMR (100 MHz, CD3OD) δ 164.2 (C-2), 159.9 (C-6), 145.8 (C-4), 121.8 (C-5), 116.3 (C-3), 67.9 (C-1’), 59.0 (C-7), 40.5 (C-2’), 19.9 (C-3’), 14.2 (C-4’) (1H- and 13C-NMR data agreed with literature) [5]; (+)−HRESIMS m/z 221.0791 [M + Na]+ (calcd C10H14NaO4, 221.0784).
3.3.4. Xylariolide D (4)
Colourless oil; Rf (CH2Cl2:MeOH, 9:1) 0.43; 1H-NMR (400 MHz, CDCl3) δ 7.51 (1H, d, J = 9.4 Hz, H-4), 6.23 (1H, d, J = 9.4 Hz, H-3), 4.65 (1H, t, J = 6.7 Hz, H-1’), 2.27 (3H, s, H3-7), 1.80–1.72 (1H, m, H-2’A), 1.52–1.42 (1H, m, H-2’B), 1.40–1.35 (1H, m, H-3’A), 1.29–1.24 (1H, m, H-3’B), 0.95 (3H, t, J = 7.6 Hz, H3-4’) (1H-NMR data agreed with literature) [5]; 1H-NMR (400 MHz, CD3OD) δ 7.62 (1H, d, J = 9.6 Hz, H-4), 6.23 (1H, d, J = 9.6 Hz, H-3), 4.61 (1H, t, J = 6.9 Hz, H-1’), 2.28 (3H, s, H3-7), 1.77–1.68 (1H, m, H-2’A), 1.58–1.47 (1H, m, H-2’B), 1.46–1.35 (1H, m, H-3’A), 1.34–1.23 (1H, m, H-3’B), 0.95 (3H, t, J = 7.0 Hz, H3-4’); 13C-NMR (100 MHz, CD3OD) δ 164.6 (C-2), 159.6 (C-6), 146.0 (C-4), 121.8 (C-5), 114.1 (C-3), 68.5 (C-1’), 40.3 (C-2’), 19.8 (C-3’), 17.0 (C-7), 14.1 (C-4’); (+)−HRESIMS m/z 205.0829 [M + Na]+ (calcd C10H14O3Na, 205.0835).
3.3.5. Pachybasin (5)
Yellow solid; Rf (n-hexane:EtOAc, 1:1) 0.87; IR (ATR) vmax 1672, 1637, 1591, 1361, 1276, 1223, 757, 710 cm−1; 1H-NMR (400 MHz, CDCl3) δ 12.58 (1H, s, OH), 8.32–8.29 (2H, m, H-5, H-8), 7.82–7.79 (2H, m, H-6, H-7), 7.67 (1H, d, J = 1.2 Hz, H-4), 7.12–7.10 (1H, m, H-2), 2.47 (3H, s, H3-11); 13C-NMR (100 MHz, CDCl3) δ 188.3 (C-9), 182.9 (C-10), 162.9 (C-1), 148.8 (C-3), 134.6 (C-6), 134.3 (C-7), 133.8 (C-10a), 133.5 (C-8a), 133.3 (C-4a), 127.5 (C-5), 127.0 (C-8), 124.3 (C-2), 121.0 (C-4), 114.3 (C-9a), 22.4 (C-11) (1H-NMR data agreed with literature) [10]; (+)−HRESIMS m/z 261.0529 [M + Na]+ (calcd C15H10O3Na, 261.0528).
3.3.6. N-(5-Hydroxypentyl)acetamide (6)
Clear oil; Rf (CH2Cl2:MeOH, 1:1) 0.46; IR (ATR) vmax 3286, 3097, 3062, 2937, 2864, 1633, 1559, 1437, 1370, 1266, 1042, 1005, 896, 733, 702 cm−1; 1H-NMR (400 MHz, CDCl3) δ 3.64 (2H, t, J = 6.3 Hz, H2-1), 3.25 (2H, q, J = 7.0 Hz, H2-5), 1.97 (3H, s, H3-7), 1.62–1.50 (4H, m, H2-2, H2-4), 1.45–1.39 (2H, m, H2-3); 13C-NMR (100 MHz, CDCl3) δ 170.4 (C-6), 62.6 (C-1), 39.6 (C-5), 32.3 (C-2), 29.4 (C-4), 23.4 (C-3), 23.2 (C-7); (+)−HRESIMS m/z 168.0989 [M + Na]+ (calcd C7H15NO2Na, 168.0995).
3.4. Sodium [1-13C] Acetate Incroporated Acetate Fermentation of Neodidymelliopsis sp. ICMP 11463
3.4.1. Fungal Material
Agar plates with a concentration of 1 mg/mL (sodium [1-13C] acetate/PDA agar) were prepared. The sodium [1-13C] acetate agar plates were inoculated with 1 cm3 cubes of pre-prepared Neodidymelliopsis sp. ICMP 11463 PDA plates. Plates were sealed with parafilm, inverted, and incubated at 37 °C for 18 h.
3.4.2. Extraction and Isolation
Seventy-four PDA plates inoculated with ICMP 11463 were freeze-dried (39.61 g, dry weight) and extracted with MeOH (2 × 500 mL) and CH2Cl2 (1 × 500 mL). The combined organic extracts were concentrated under reduced pressure to afford a red/brown gum (5.01 g). Preliminary fractionation of the crude extract was carried out using reversed-phase C8 column chromatography, eluting with MeOH/H2O to generate five fractions (F1–F5). Purification of F3, F4, and F5 using a Sephadex LH-20, eluting with MeOH, followed by diol-bonded silica gel column chromatography, eluting with gradient n-hexane/EtOAc, afforded pachybasin (5) (20 mg) as a yellow solid.
3.5. Antimicrobial Assays of Pure Compounds
Antimicrobial evaluation against M. abscessus and M. marinum was undertaken using inhouse assays. M. abscessus BSG301 and M. marinum BSG101 [15] are stable bioluminescent derivatives transformed with the integrating plasmid pMV306G13ABCDE [16]. This allows light production to be used as a surrogate for bacterial viability [15,17,18,19]. Mycobacterial cultures were grown with shaking (200 rpm) in Middlebrook 7H9 broth (Fort Richard, Auckland, New Zealand) supplemented with 10% Middlebrook ADC enrichment media (Fort Richard, Auckland, New Zealand), 0.4% glycerol (Sigma-Aldrich, St. Louis, MO, USA), and 0.05% tyloxapol (Sigma-Aldrich, St. Louis, MO, USA). M. abscessus was grown at 37 °C and M. marinum at 28 °C.
Cultures were grown until they reached stationary phase (approximately 3–5 days for M. abscessus BSG301 and 7–10 days for M. marinum BSG101) and then diluted in Mueller Hinton broth II (MHB) (Fort Richard, Auckland, NewZealand) supplemented with 10% Middlebrook ADC enrichment media and 0.05% tyloxapol to give an optical density at 600 nm (OD600) of 0.001 which is the equivalent of ~106 bacteria per mL. Pure compounds were dissolved in DMSO and added in duplicate to the wells of a black 96-well plate (Nunc, Thermo Scientific, Waltham, MA, USA) at doubling dilutions with a maximum concentration of 128 μg/mL. Then, 50 μL of diluted bacterial culture was added to each well of the compound containing plates giving final compound concentrations of 0–64 μg/mL and a cell density of ~5 × 105 CFU/mL. Rifampicin (Sigma-Aldrich, St. Louis, MO, USA) was used as positive control at 1000 μg/mL for M. abscessus and 10 μg/mL for M. marinum. Between measurements, plates were covered, placed in a plastic box lined with damp paper towels, and incubated with shaking at 100 rpm at 37 °C for M. abscessus and 28 °C for M. marinum. Bacterial luminescence was measured at regular intervals using a Victor X-3 luminescence plate reader (PerkinElmer, Boston, MA, USA) with an integration time of 1 s. We have defined the MIC as causing a 1 log reduction in light production, as previously described [17,18]. More detailed protocols are available at protocols.io (accessed on 24 May 2021) [20,21].
Antimicrobial evaluation against S. aureus ATCC 43300 (MRSA), E. coli ATCC 25922, P. aeruginosa ATCC 27853, Klebsiella pneumoniae ATCC 700603, Acinetobacter baumannii ATCC 19606, Candida albicans ATCC 90028, and Cryptococcus neoformans ATCC 208821 was undertaken at the Community for Open Antimicrobial Drug Discovery at The University of Queensland, Australia, according to their standard protocol [22]. The tested strains were cultured in either Luria broth (LB) (In Vitro Technologies, USB75852, Victoria, Australia), nutrient broth (NB) (Becton Dickson, 234000, New South Wales, Australia), or MHB at 37 °C overnight. A sample of culture was then diluted 40-fold in fresh MHB and incubated at 37 °C for 1.5−2 h. The compounds were added in duplicate to the wells of a 96-well plate (Corning 3641, nonbinding surface) at a concentration of 64 μg/mL. The resultant mid log phase cultures were diluted to the final concentration of 1 × 106 CFU/mL; then, 50 μL were added to each well of the compound containing plates giving a final compound concentration of 32 μg/mL and a cell density of 5 × 105 CFU/mL. All plates were then covered and incubated at 37 °C for 18 h. Resazurin was added at 0.001% final concentration to each well and incubated for 2 h before MICs were read by eye.
For the antifungal assay, fungi strains were cultured for 3 days on YPD agar at 30 °C. A yeast suspension of 1 × 106 to 5 × 106 CFU/mL was prepared from five colonies. These stock suspensions were diluted with yeast nitrogen base (YNB) (Becton Dickinson, 233520, New South Wales, Australia) broth to a final concentration of 2.5 × 103 CFU/mL. The compounds were added in duplicate to the wells of a 96-well plate (Corning 3641, nonbinding surface) at a concentration of 64 μg/mL and a final volume of 50 μL. Then, 50 μL of the fungi suspension that was previously prepared in YNB broth to the final concentration of 2.5 × 103 CFU/mL were added to each well of the compound-containing plates, giving a final compound concentration of 32 μg/mL. Plates were covered and incubated at 35 °C for 36 h without shaking. C. albicans MICs were determined by measuring the absorbance at OD530. For C. neoformans, resazurin was added at 0.006% final concentration to each well and incubated for a further 3 h before MICs were determined by measuring the absorbance at OD570−600.
Colistin and vancomycin were used as positive bacterial inhibitor standards for Gram-negative and Gram-positive bacteria, respectively. Fluconazole was used as a positive fungal inhibitor standard for C. albicans and C. neoformans. The antibiotics were provided in 4 concentrations, with 2 above and 2 below its MIC value, and plated into the first 8 wells of Column 23 of the 384-well NBS plates. The quality control (QC) of the assays was determined by the antimicrobial controls and the Z’-factor (using positive and negative controls). Each plate was deemed to fulfil the quality criteria (pass QC), if the Z’-factor was above 0.4, and the antimicrobial standards showed full range of activity, with full growth inhibition at their highest concentration, and no growth inhibition at their lowest concentration.
4. Conclusions
A study of Neodidymelliopsis sp. led to the isolation of a novel polyketide, (2Z)-cillifuranone (1), and five known natural products: (2E)-cillifuranone (2), taiwapyrone (3), xylariolide D (4), pachybasin (5), and N-(5-hydroxypentyl)acetamide (6). Three of the six natural products were tested against a range of bacterial and fungal pathogens; however, none of the natural products showed any significant antimicrobial activity, with the exception of 5, which showed some activity against M. abscessus and M. marinum with MIC of 64 and 32 µg/mL, respectively. A sodium [1-13C] acetate incorporation experiment was performed to determine the biosynthesises of these natural products. Only pachybasin (5) was isolated from the labelled extract of Neodidymelliopsis sp., with the pattern of label incorporation being consistent with biosynthesis via cyclization of an acetate polyketide pathway-derived octaketide.
Supplementary Materials
The following are available online: the 1H-, 13C-, COSY, HSQC, HMBC, and NOESY NMR spectra for compound 1, 1H- and 13C-NMR spectra of 4 and 6, 13C-NMR spectra of 5. The raw data for the antimicrobial activity of 5 against M. abscessus and M. marinum are also available online.
Author Contributions
Conceptualization and supervision, S.W. and B.R.C.; methodology and validation, M.M.C., S.G., H.G., D.R.M., and A.G.; formal analysis, investigation and data curation, M.M.C., S.G., H.G., and A.G.; resources, B.S.W.; writing—original draft preparation, M.M.C.; writing—review and editing, M.M.C., B.R.C., and S.W.; funding acquisition, S.W. All authors have read and agreed to the published version of the manuscript.
Funding
This work was supported by funds from Cure Kids, NZ Carbon Farming, the Maurice Wilkins Centre for Molecular Biodiscovery, and donations from the New Zealand public.
Institutional Review Board Statement
Not applicable.
Informed Consent Statement
Not applicable.
Data Availability Statement
The data presented in this study are available in the supplementary material and online at Figshare.com (doi:10.17608/k6.auckland.14503584, accessed on 27 May 2021).
Acknowledgments
We would like to thank Michael Schmitz and Tony Chen for their assistance with the NMR and mass spectrometric data and the Community for Antimicrobial Drug Discovery (CO-ADD), funded by the Wellcome Trust (UK) and The University of Queensland (Australia), for carrying out activity and toxicity testing of the pure compounds. We would also like to thank the New Zealand public for their support of our research.
Conflicts of Interest
The authors declare no conflict of interest.
Sample Availability
Samples of the compounds 2–6 are available from the authors.
References
- Blackwell, M. The Fungi: 1, 2, 3 … 5.1 Million Species? Am. J. Bot. 2011, 98, 426–438. [Google Scholar] [CrossRef] [PubMed]
- Cadelis, M.M.; Geese, S.; Gris, L.; Weir, B.S.; Copp, B.R.; Wiles, S. A Revised Structure and Assigned Absolute Configuration of Theissenolactone A. Molecules 2020, 25, 4823. [Google Scholar] [CrossRef] [PubMed]
- Camarda, L.; Merlini, L.; Nasini, G. Metabolites of Cercospora. Taiwapyrone, an α-Pyrone of Unusual Structure from Cercospora Taiwanensis. Phytochemistry 1976, 15, 537–539. [Google Scholar] [CrossRef]
- Wiese, J.; Ohlendorf, B.; Blümel, M.; Schmaljohann, R.; Imhoff, J.F. Phylogenetic Identification of Fungi Isolated from the Marine Sponge Tethya aurantium and Identification of Their Secondary Metabolites. Mar. Drugs 2011, 9, 561–585. [Google Scholar] [CrossRef] [PubMed]
- Hu, Z.-Y.; Li, Y.-Y.; Lu, C.-H.; Lin, T.; Hu, P.; Shen, Y.-M. Seven Novel Linear Polyketides from Xylaria Sp. NCY2. Helv. Chim. Acta 2010, 93, 925–933. [Google Scholar] [CrossRef]
- Shibata, S.; Takido, M. Metabolic Products of Fungi, III. The Coloring Matters of Pachybasium candidum Saccardo. Pharm. Bull. 1955, 3, 156–158. [Google Scholar] [CrossRef] [PubMed]
- Green, K.A.; Berry, D.; Feussner, K.; Eaton, C.J.; Ram, A.; Mesarich, C.H.; Solomon, P.; Feussner, I.; Scott, B. Lolium perenne Apoplast Metabolomics for Identification of Novel Metabolites Produced by the Symbiotic Fungus Epichloë festucae. New Phytol. 2020, 227, 559–571. [Google Scholar] [CrossRef] [PubMed]
- Bringmann, G.; Lang, G.; Bruhn, T.; Schäffler, K.; Steffens, S.; Schmaljohann, R.; Wiese, J.; Imhoff, J.F. Sorbifuranones A–C, Sorbicillinoid Metabolites from Penicillium Strains Isolated from Mediterranean Sponges. Tetrahedron 2010, 66, 9894–9901. [Google Scholar] [CrossRef]
- Wu, C.-J.; Qiao, H.; Cui, C.-B.; Yang, Y.; Xu, R.; Sun, C.-X.; Li, D.-H.; Li, C.-W. Two New Polyketides Isolated from a Diethyl Sulphate Mutant of Marine-Derived Penicillium purpurogenum G59. Nat. Prod. Res. 2019, 33, 2977–2981. [Google Scholar] [CrossRef] [PubMed]
- Wulansari, D.; Jamal, Y.; Praptiwi; Agusta, A. Pachybasin, a Major Metabolite from Culture Broth of Endophytic Coelomyceteous AFKR-18 Fungus Isolated from a Yellow Moonsheed Plant, Arcangelisia flava (L.) Merr. HAYATI J. Biosci. 2014, 21, 95–100. [Google Scholar] [CrossRef]
- Bringmann, G.; Gulder, T.A.M.; Hamm, A.; Goodfellow, M.; Fiedler, H.-P. Multiple Convergence in Polyketide Biosynthesis: A Third Folding Mode to the Anthraquinone Chrysophanol. Chem. Commun. 2009, 6810. [Google Scholar] [CrossRef] [PubMed]
- Liu, S.-Y.; Lo, C.-T.; Chen, C.; Liu, M.-Y.; Chen, J.-H.; Peng, K.-C. Efficient Isolation of Anthraquinone-Derivatives from Trichoderma harzianum ETS 323. J. Biochem. Biophys. Methods 2007, 70, 391–395. [Google Scholar] [CrossRef] [PubMed]
- Bringmann, G.; Noll, T.F.; Gulder, T.A.M.; Grüne, M.; Dreyer, M.; Wilde, C.; Pankewitz, F.; Hilker, M.; Payne, G.D.; Jones, A.L.; et al. Different Polyketide Folding Modes Converge to an Identical Molecular Architecture. Nat. Chem. Biol. 2006, 2, 429–433. [Google Scholar] [CrossRef] [PubMed]
- Specimen Details. Available online: https://scd.landcareresearch.co.nz/Specimen/ICMP%2011463?collection=ICMP&searchCollection=ICMP&query=11463¤tDisplayTab=list&pageNumber=0&sortField=relevance (accessed on 20 November 2020).
- Dalton, J.P.; Uy, B.; Okuda, K.S.; Hall, C.J.; Denny, W.A.; Crosier, P.S.; Swift, S.; Wiles, S. Screening of Anti-Mycobacterial Compounds in a Naturally Infected Zebrafish Larvae Model. J. Antimicrob. Chemother. 2017, 72, 421–427. [Google Scholar] [CrossRef] [PubMed]
- Andreu, N.; Zelmer, A.; Fletcher, T.; Elkington, P.T.; Ward, T.H.; Ripoll, J.; Parish, T.; Bancroft, G.J.; Schaible, U.; Robertson, B.D.; et al. Optimisation of Bioluminescent Reporters for Use with Mycobacteria. PLoS ONE 2010, 5, e10777. [Google Scholar] [CrossRef] [PubMed]
- Andreu, N.; Fletcher, T.; Krishnan, N.; Wiles, S.; Robertson, B.D. Rapid Measurement of Antituberculosis Drug Activity in vitro and in Macrophages Using Bioluminescence. J. Antimicrob. Chemother. 2012, 67, 404–414. [Google Scholar] [CrossRef] [PubMed]
- Dalton, J.P.; Uy, B.; Phummarin, N.; Copp, B.R.; Denny, W.A.; Swift, S.; Wiles, S. Effect of Common and Experimental Anti-Tuberculosis Treatments on Mycobacterium tuberculosis Growing as Biofilms. PeerJ 2016, 4, e2717. [Google Scholar] [CrossRef] [PubMed]
- Andreu, N.; Zelmer, A.; Sampson, S.L.; Ikeh, M.; Bancroft, G.J.; Schaible, U.E.; Wiles, S.; Robertson, B.D. Rapid in vivo Assessment of Drug Efficacy against Mycobacterium tuberculosis Using an Improved Firefly Luciferase. J. Antimicrob. Chemother. 2013, 68, 2118–2127. [Google Scholar] [CrossRef] [PubMed]
- Wiles, S.; Grey, A. Bioluminescence-Based Minimum Inhibitory Concentration (MIC) Testing of Pure Compounds Isolated from Fungi against Mycobacterium abscessus. 2021. Available online: https://aperta.ulakbim.gov.tr/record/5637#.YKt7GqgzaUk (accessed on 24 May 2021).
- Wiles, S.; Grey, A. Bioluminescence-Based Minimum Inhibitory Concentration (MIC) Testing of Pure Compounds Isolated from Fungi against Mycobacterium marinum. 2021. Available online: https://aperta.ulakbim.gov.tr/record/5637#.YKt7UKgzaUk (accessed on 24 May 2021).
- Blaskovich, M.A.T.; Zuegg, J.; Elliott, A.G.; Cooper, M.A. Helping Chemists Discover New Antibiotics. ACS Infect. Dis. 2015, 1, 285–287. [Google Scholar] [CrossRef] [PubMed]
Publisher’s Note: MDPI stays neutral with regard to jurisdictional claims in published maps and institutional affiliations. |
© 2021 by the authors. Licensee MDPI, Basel, Switzerland. This article is an open access article distributed under the terms and conditions of the Creative Commons Attribution (CC BY) license (https://creativecommons.org/licenses/by/4.0/).








