Abstract
3-Arylsydnones bearing fluorine and bromine atoms on the benzene ring were synthesized from N-nitroso-2-fluorophenylglycines and characterized by NMR spectroscopy. These were employed further in synthesis of the corresponding 1-(2-fluorophenyl)pyrazoles by 1,3-dipolar cycloaddition reaction with dimethyl acetylenedicarboxylate (DMAD) as activated dipolarophile. The sydnones as reaction intermediates were characterized by single crystal X-ray diffraction analysis showing interesting features such as halogen bonding as an important interaction in modeling the crystal structure.
1. Introduction
The 1,3-dipolar cycloadditions reactions [1], also known as “Huisgen reactions” [2], involving 1,3-dipoles from the class of N-ylides [3,4,5,6], mesoionic compounds such as munchnones [7,8] and sydnones [9,10] and many others [11,12], have been intensively studied in obtaining a wide range of five membered heterocycles (Figure 1) [13].
Figure 1.
Schematic representation of 1,3-dipolar cycloaddition reaction between a formal 1,3-dipole and an (acetylenic) dipolarophile.
Sydnones are mesoionic compounds with interesting properties and increased synthetic utility as synthons for creating five membered heterocycles [14,15,16,17,18,19,20,21,22,23,24]. The important biological properties of sydnones were reviewed recently [25]. On the other hand, 1-phenylpyrazoles generated by 1,3-dipolar cycloaddition between sydnones as dipoles and dimethylacetylene dicarboxylate as alkyne dipolarophile are also important bioactive scaffolds [26,27]
Attaching halogenated atoms to organic frameworks could improve the bioavailability of such compounds [28,29,30,31,32,33,34]. Introducing fluorine atoms on a small molecule framework dramatically influences its properties regarding the interaction with specific target enzymes from simple dipole–dipole interactions to the most newly investigated halogen bonds [29,30,31,32,33]. Moreover, (2-fluorophenyl)pyrazoles [35,36] were reported to present anticancer activity [37] and are important ligands for organometallic applications [38]. We have shown also that halogenated pyrazoles are important tools for studying the halogen bonding propensity [39,40] and it was interesting to investigate if the fluorine atom could also play a role among the intermolecular interactions.
Given our interest in the chemistry of nitrogen containing heterocycles [41,42,43], we present herein the synthesis of new (2-fluorophenyl)pyrazoles also bearing bromine atoms, starting from the corresponding sydnones and in presence of DMAD as dipolarophile. The synthesis is straightforward and implies usual conditions.
2. Results and Discussion
2.1. Synthesis and Spectral Analysis
Sydnones are accessible tools in the synthesis of pyrazoles and thus they were employed successfully to obtain a large diversity of such compounds. At their turn, the sydnones are synthesized by the nitrosation and subsequent cyclization of N-phenyl glycines in acetic anhydride [44].
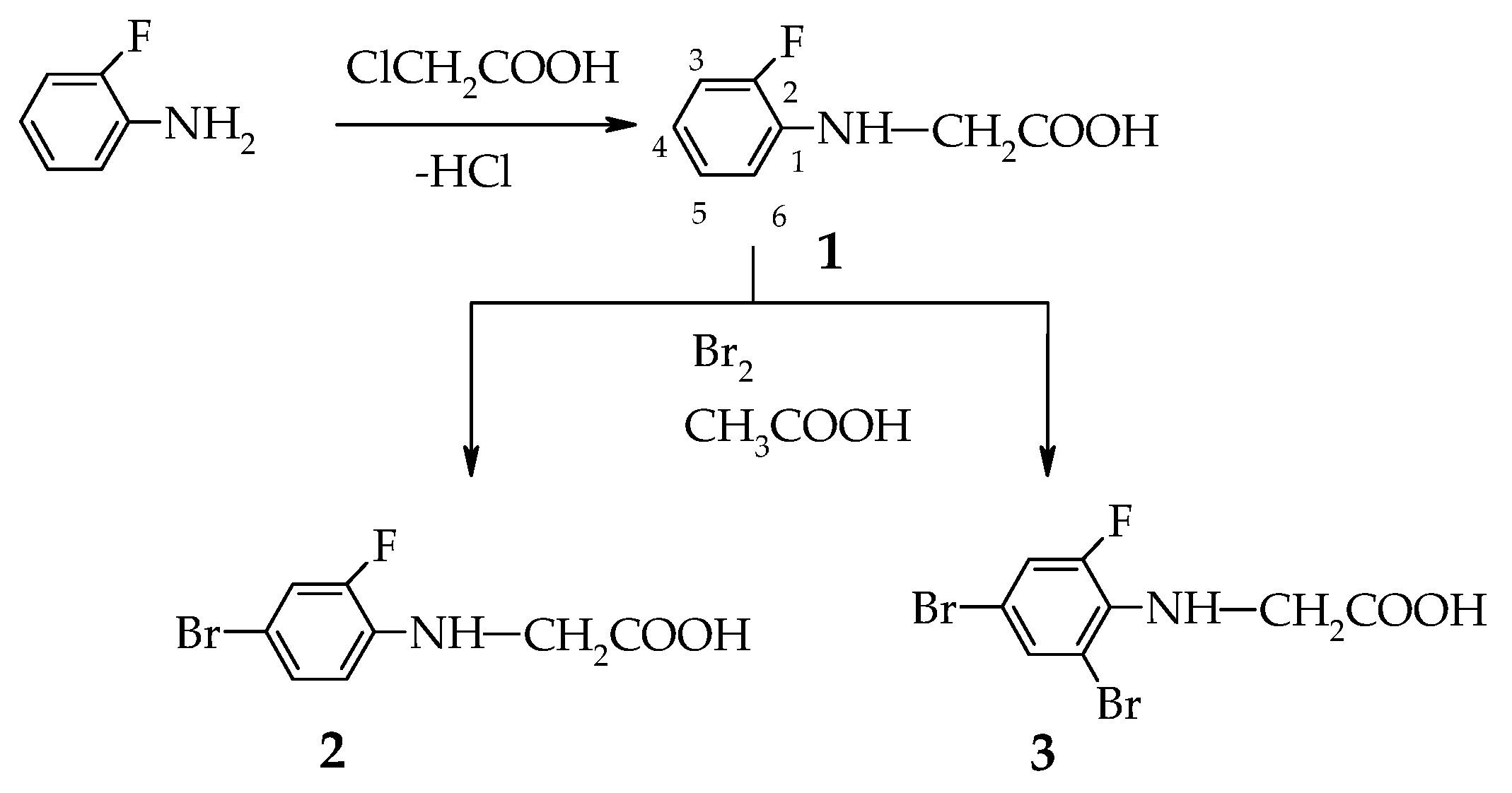
The first step was the obtaining of N-phenylglycine 1 by reacting 2-fluoroaniline with 2-chloroacetic acid [45]. Compound 1 was then brominated using Br2 in glacial acetic acid as solvent to obtain the new polyhalogenated N-phenylglycines 2 and 3. The bromination reactions worked with 78% and 90% yield, respectively (Scheme 1).
Scheme 1.
The synthesis of the starting halogenated N-phenylglycines.
The structure of the phenylglycines 1–3 was assigned on the basis of NMR spectroscopy. Both 1H and 13C spectra are in agreement with the proposed structures. The heteronuclear coupling 19F-1H induces specific multiplet signals. The CH2 hydrogens appear in the range 3.85–4.03 ppm with the interesting observation that for the compound 3 the signal is split into a doublet with J = 4.7 Hz due to the heteronuclear spin–spin long range coupling with the fluorine atom in the benzene ring (Figure 2). For the other two compounds, the coupling could not be observed. This could be an effect of the hindered rotation about the C-N bond due to the bromine atom in the ortho position. The 13C NMR spectra are also in good agreement with the structure of the compounds 1–3. The main signals and the multiplicities raised by the 19F-13C heteronuclear spin–spin coupling are presented in Table 1. For the compound 3, the same observation was made for 13C spectrum as for the 1H such that the signal of the CH2 carbon atom appears as a doublet at 45.5 ppm with J = 9.2 Hz. Interestingly, the carbon atom in the C=O group signal appears as a doublet at 172.3 with J19F-13C = 2.1 Hz.
Figure 2.
1H NMR spectra of compounds 1 and 3 showing the aromatic and aliphatic relevant regions.
Table 1.
13C NMR assignments and the multiplicity according to 19F-13C spin–spin coupling for the compounds 1–3, 4a–c and 5a–c.
The N-phenylglycines 1–3 were employed in the synthesis of 3-arylsydnones 4a–c by an improved method, which implies the in situ nitrosation reaction and further cyclization with Ac2O according to Scheme 2.
Scheme 2.
The synthesis of halogenated sydnones 4a–c and the corresponding pyrazoles 5a–c.
The compounds 4a–c were also characterized by NMR spectroscopy. The main 1H NMR features are given by the specific multiplicities of the signals of the hydrogen atoms in the benzene ring owing to the 1F-1H spin–spin coupling. The signal of the H-4 sydnone hydrogen appears in the range 6.53–6.81 ppm. For the compounds 4a,b multiplicity of the signal of H-4 is a doublet with J = 2.3 Hz. For the compound 4c the analogous signal for H-4 appears as a sharp singlet due to the hindered C-N rotation induced by the bulky bromine atom in the ortho position of the phenyl ring with respect to the sydnone moiety. The main characteristic signals in the 13C NMR spectra are presented in Table 1. Similarly to the observations made on the 1H NMR spectra, the signal of the sydnone CH appears in the range 97.0–98.1 ppm with a multiplicity of doublet for compounds 4a,b with J ~ 0.7 Hz, which is not observed for the compound 4c. Another interesting aspect is the heteronuclear 19F-13C coupling constant observed in the case of C-6′, which is very small, close to 1 Hz, knowing that values for a meta coupling should be in the range 4–5 Hz. All the other coupling constants are as expected.
The 1-arylpyrazoles 5a–c were obtained by 1,3-dipolar cycloaddition of the sydnones 4a–c with dimethyl acetylenedicarboxylate (DMAD) as electron deficient alkyne in toluene or xylene as solvent (Scheme 2). The new compounds were obtained in good yields and were also characterized by NMR spectroscopy. The main characteristics of the 1H NMR spectra are the signals of the pyrazole hydrogen H-5, which appears as a doublet with J = 2.5 Hz at around 8.43 ppm for compounds 5a,b, whereas for compound 5c it appears as a singlet slightly shielded at 8.07 ppm. All the other NMR signals are in accordance with the structure and the multiplicities are influenced by the 19F-1H heteronuclear spin–spin coupling. The 13C NMR signals are shown also in Table 1. The carbon atom C-5 appears as a doublet with J = 10 Hz for 5a,b whereas for 5c it appears as a sharp singlet due to the hindered rotation about C-N bond which minimizes the chances of trough space coupling between the C5 or H5 and the fluorine atom. The small value of the J19F-13C ~ 1 Hz is observed also in the case of pyrazoles.
2.2. X-ray Diffraction Analysis
The solid state structures of the synthesized compounds have been determined using single-crystal X-ray diffraction method and their crystallographic parameters are shown in Table 2.
Table 2.
The structures of the compounds 3 and 4a–c and X-ray diffraction crystal parameters for each compound.
According to X-ray crystallography, the investigated compounds present a molecular crystal structure that is built-up from molecular units, as depicted in Figure 3. The asymmetric part of the unit cell in the crystal structure of 3 comprises two crystallographic independent but chemically identical molecules, denoted below as A and B components. The analysis of the molecular structure has revealed the molecule 3 to exhibit a planar configuration (see Table S1). On the contrary, due to ortho-substitution in aromatic rings, the molecules 4a, 4b and 4c are essentially non-planar (Table S2). The dihedral angle formed by two cyclic fragments is of 35.61(9)°, 50.2(1)° and 78.5(1)° for 4a, 4b, and 4c, respectively.
Figure 3.
View of the asymmetric part of the unit cell in the crystal structure of compounds 3 (a), 4a (b), 4b (c) and 4c (d) with atom labeling scheme and thermal ellipsoids at 50% level. H-bonds parameters for compound 3: C3A-H···O1B [O3A-H 0.93 Å, H···O1B 2.53 Å, O3A···O1B 3.430(7) Å, ∠C3AHO1B 162.2°].
The further analysis of the crystal structure has shown the important role of hydrogen bonding, π-π stacking and homo- and hetero-halogen X···X (Br, F) interactions, which determine the formation of 2D supramolecular architecture as the main packing motif for the investigated compounds. Thus, the both crystallographically independent carboxylic groups in compound 3 are involved into the formation of the stable cyclic O-H···O H-bonded syntons. The system of intermolecular interaction is completed by the short Br···Br and F···Br contacts in adjacent molecules. These interactions are responsible for the supramolecular aggregation of the H-bonded synthons into two-dimensional supramolecular layers, as shown in Figure 4. It should be noted that, due to the steric effect of adjacent oxygen and bromine atoms, N-H groups are not involved in the intermolecular hydrogen bonding.
Figure 4.
View of two-dimensional supramolecular layer showing the hydrogen bonding and halogen···halogen short contacts in the crystal structure 3. Black and purple dashed lines are used for H-bonds and Br···Br and Br···F contacts, respectively. H-bonds parameters: O1A-H···O2A [O1A-H 0.82 Å, H···O2A 1.82 Å, O1A···O2A(1 − x, 1 − y, 2 − z) 2.633(5) Å, ∠O1AHO2A 174.4°]; O1B-H···O2B [O1B-H 0.82 Å, H···O2B 1.82 Å, O1B···O2B(−x, −y, −z) 2.629(5) Å, ∠O1BHO2B 169.3°]; C3B-H···O1A [O3B-H 0.93 Å, H···O1A 2.56 Å, C3B···O1A(1 + x, y, z − 1) 3.409(6) Å, ∠O3BHO1A 152.0°]; Hal···Hal short contacts: C2A-Br1A···Br1A-C2A(1 − x, 1 − y, 1 − z) [Br1A···Br1A’ 3.699(1) Å, ∠C2A-Br1A···Br1A’ 151.1(2)°]; C2B-Br1B···Br1B-C2B(−x, −y, −z) [Br1B···Br1B’ 3.614(1) Å, ∠C2B-Br1B···Br1B’ 143.5(2)°]. C6A-F1A···Br1B-C2B(x − 1, y, 1 + z) [F1A···Br1B’ 3.365(3) Å, ∠C6A-F1A···Br1B’ 145.8(4)°, C2B-Br1B···F1A’ 143.0(2)°]; C6B-F1B···Br1A-C2A [F1B···Br1A 3.456(3) Å, ∠C6B-F1B···Br1A 157.1(4)°, C2A-Br1A···F1B 143.6(2)°].
A view of 2D organic network in the crystal structure of 4b is shown in Figure 5. This supramolecular architecture is stabilized via weak intermolecular C-H···O H-bonds, where both oxygen atoms acts as acceptor of protons. The Br···Br short contacts did not present the geometrical requirements for halogen–halogen bonding pink dashed line. The crystal structure of compounds 3 and 4b is similar. It consists from the parallel packing of 2D layers driven by π-π stacking interactions between aromatic rings belonging to adjacent layers, which are evidenced by the short centroid-to centroid distances of 3.7568(2) Å. As a result, the crystal structure of compounds 3 and 4b can be characterized as a 3D supramolecular network. A view of the packing diagram for compounds 3 and 4b is shown in Figure S1 (Supplementary Materials).
Figure 5.
2D suparmolecular layer in the crystal structure of 4b. Black and purple dashed lines are used for H-bonds and Br···Br contacts, respectively. H-bonds parameters: C3-H···O2 [O3-H 0.93 Å, H···O2 2.62 Å, C3···O2(x, 0.5 − y, z − 0.5) 3.260(3) Å, ∠O3HO2 126.3°]; C5-H···O1 [O5-H 0.93 Å, H···O1 2.62 Å, C5···O1(x, 1 + y, z) 3.389(3) Å, ∠O5HO1 160.7°]; C7-H···O2 [O7-H 0.93 Å, H···O2 2.35 Å, C7···O2(x, 1 + y, z) 3.186(3) Å, ∠O7HO2 149.7°].
Compared to the compounds 3 and 4b, the crystal structure of compounds 4a and 4c is built-up from the parallel packing of the discrete weakly interacting two-dimensional supramolecular double-layers, as shown in Figure S2.
The double layer in the crystal of 4a is formed from the molecular units linked through C-H···O H-bonds and stacking interactions (see Figure 6a), while in the crystal structure of 4c, is formed from two symmetric 2D supramolecular units, where the neutral molecules are self-assembled through C-H···O hydrogen bonding, as depicted in Figure 6b. The system of intermolecular interaction in 4c is completed by F···Br and Br···Br short contacts (see Figure 6b).
Figure 6.
View of double layer network in the crystal of 4a, showing the role of hydrogen bonding and π-π stacking (a), the system of intermolecular interactions in 2D supramolecular unit of 4c (b). Black and purple dashed lines are used for H-bonds and Br···Br and Br···F contacts close to the limit of the vdW radii. Centroid-to-centroid distances at 3.6267(3) Å are shown in dashed-orange lines. H-bonds parameters for 4a: C2-H···O2 [C2-H 0.93 Å, H···O2 2.61 Å, C2···O2(−x, 1 − y,1 + z) 3.364(3) Å, ∠C2HO2 138.0°]; C3-H···O2 [C3-H 0.93 Å, H···O2 2.59 Å, C3···O2(1 + x, y, 1 + z) 3.251(3) Å, ∠C3HO2 128.6°]; C7-H···O2 [C7-H 0.93 Å, H···O2 2.59 Å, C7···O2(−1 − x, 1 − y, −z) 3.313(3) Å, ∠C7HO2 152.2°]; H-bonds parameters for 4b: C3-H···O2 [C3-H 0.93 Å, H···O2 2.54 Å, C3···O2(−0.5 + x, 0.5 − y, −0.5 + z) 3.422(3) Å, ∠C3HO2 159.3°]; C5-H···O2 [C3-H 0.93 Å, H···O2 2.69 Å, C5···O2(x, −1 + y,1 z) 3.380(5) Å, ∠C5HO2 131.2°]; C7-H···O2 [C7-H 0.93 Å, H···O2 2.46 Å, C7···O2(1.5 − x, −0.5 + y, 1.5 − z) 3.031(5) Å, ∠C7HO2 119.5°]; Hal···Hal short contacts for 4c: C4-Br2···Br1-C2(x, y − 1, z) [Br2···Br1’ 3.7637(7) Å, ∠C2-Br2···B1r’-C2 166.5(1)°, ∠C6-F1···Br1-C4 125.9(1)Å]; C6-F1···Br1-C2(0.5 + x, −0.5 + y, 0.5 + z) [F1···Br1’ 3.269(2) Å, ∠C6-F1···Br1’-C2 141.3(2)°, ∠C2-Br1···F1-C6 157.9(2)Å]; C6-F1···Br2-C4(0.5 + x, −0.5 + y, 0.5 + z).
2.3. Hirshfeld Analysis
For the representative compounds Hirshfeld analysis as implemented in CrystalExplorer [46] confirm the supra-molecular interactions and also show in a suggestive way the important crystal arrangement driving forces.
Compound 3. For the acid 3 it is important to note the existence of the two independent molecules 3A and 3B. It appears that the O···H bond involving the carboxylic acid groups are established between the same kind of molecular entities forming dimers. These dimers are connected together through one O···H bond involving H-3′ and the oxygen in the hydroxyl atom of the acid of an adjacent molecule and halogen bonds involving Br···Br and Br···F (at the limit of the sum of the vdW radii) contacts as described in Figure 3 from the X-ray diffraction chapter. All these interactions form 2D sheets, which are connected through π···π stacking between two similar molecules and presumably lone-pair···π between molecules of type 3B. Figure 7 shows the Hirshfeld surfaces of the two independent molecules of 3, and the shape index mode showing the π-π interactions in molecules 3A.
Figure 7.
Hirshfeld surface of the two independent molecules of 3. For 3A, the shape index mode of the Hirshfeld surface shows the complementary spots corresponding to the π-π stacking.
Compound 4a. The sydnone 4a does not have any halogen atom attached besides the fluorine atom. This suggests that the strong intermolecular forces are C-H···O hydrogen bonding, implying the exocyclic carbonyl oxygen of the sydnone. The red spots on the Hirshfeld surface depict the contact places for the C-H···O interactions (Figure 8).
Figure 8.
Hirshfeld surface of 4a showing the main contacts for the O···H bonds. π-π stacking is also highlighted.
Compound 4b. Adding a Br atom in the para position of the phenyl ring in respect to the sydnone did not change dramatically the spatial arrangement of the molecules. The main contacts observed also from the Hirshfeld surface are O···H (Figure 9) bonds involving the sydnone moiety and H-3′ atom between the two Br atoms (red spots). All these interactions form stair-like arrangements which are held together by π···π interactions. It appears that Br atom is not involved in any halogen bonding type contact besides the hydrogen bonds in which it is involved.
Figure 9.
Hirshfeld surface of 4b showing the main contacts for the O···H bonds. Shape index mode of the Hirshfeld surface shows the complementary spots corresponding to the π···π stacking.
Compound 4c. The addition of the second Br atom in the 6′ position in respect to the sydnone ring preserved the role of the sydnone moiety in forming hydrogen bonds by its oxygen and hydrogen atoms and somehow similar stair-like pattern as for 4b was observed, held together by π···π bonds.
Layers are formed in the plane of the phenyl atoms by F···Br, Br···Br and Br···Syd and H-3′···O=C (Syd). These layers are interconnected by O···H contacts involving the sydnone moiety, π···π interactions between the phenyl rings on one part and Br···π of type lone pair···π on the other face of the phenyl ring (Figure 10).
Figure 10.
Hirshfeld surface of 4c showing the main contacts for the O···H bonds. Shape index mode of the Hirshfeld surface shows the complementary spots corresponding to the π···π stacking.
3. Materials and Methods
Melting points were determined on a Boëtius hot plate microscope (Carl Zeiss, Jena, Germany and are uncorrected. The elemental analysis was carried out on a COSTECH Instruments EAS32 apparatus (Costech Analytical Technologies, Valencia, CA, USA). The NMR spectra were recorded on a Varian Gemini 300 BB instrument (Varian, Palo Alto, CA, USA), operating at 300 MHz for 1H-NMR and 75 MHz for 13C-NMR or Bruker Avance Neo (Bruker, Billerica, MA, USA) operating at 400 MHz and 125 MHz for compound 4c. Supplementary evidence was given by HETCOR and COSY experiments.
X-ray diffraction measurements were carried out with a Rigaku Oxford-Diffraction XCALIBUR E CCD diffractometer (Rigaku Oxford Diffraction, Sevenoaks, Kent, UK) equipped with graphite-monochromated MoKα radiation. The unit cell determination and data integration were carried out using the CrysAlis package of Oxford Diffraction [47]. The structures were solved by Intrinsic Phasing using Olex2 [48] software with the SHELXT [49] structure solution program and refined by full-matrix least-squares on F2 with SHELXL-2015 [50] using an anisotropic model for non-hydrogen atoms. All H atoms attached to carbon were introduced in idealized positions (dCH = 0.96 Å) using the riding model. The molecular plots were obtained using the Olex2 program. Table 1 provides a summary of the crystallographic data together with refinement details for compounds. The geometric parameters are summarized in Table S1. The values of the geometrical parameters are in the expected ranges for such kinds of compounds. The supplementary crystallographic data can be obtained free of charge via www.ccdc.cam.ac.uk/conts/retrieving.html (accessed on 16 June 2021) (or from the Cambridge Crystallographic Data Centre, 12 Union Road, Cambridge CB2 1EZ, UK; fax: (+44)-1223-336-033; or deposit@ccdc.ca.ac.uk).
Hirshfeld was employed as implemented in CystalExplorer [51,52]. Hirshfeld surface maps highlight intermolecular interactions at the sum of de and di, the distances from the external atoms to the surface or internal atoms to the Hirshfeld surface, respectively [52]. Distances shorter than the sum of the vdW radii are represented by red spots, close to the vdW radii in white spots and larger than vdW as blue surfaces. The fingerprint plots [52] show a qualitative description (see Supplementary Materials) of the relevant contacts in the crystal packing, by plotting di vs. de, creating thus a “heatmap” of interactions.
3.1. Procedures for Synthesis of Acids 1–3
N-(2-Fluorophenyl)glycine (1) 40 mL (46 g; 0.41 mol) 2-fluoroaniline and 20 g (0.21 mol) monochloroacetic acid were refluxed in 300 mL water for 3 h. The reaction mixture was cooled in a water-ice bath and the precipitate was filtered by suction and then was washed with water on the filter. After drying the product was filtered. Brown crystals with mp 128–129 °C (lit.45 127 °C) were obtained by recrystallization from benzene; Yield 60%. 1H NMR (300 MHz, DMSO) δ: 3.85 (s, 2H, CH2); 5.63 (bs, 1H, NH); 6.53–6.61 (m, 2H, H-4′, H-6′); 6.92–7.03 (m, 2H, H-3′, H-5′); 13C NMR (75 MHz, DMSO) δ: 44.2 (CH2); 112.1 (J = 3.7 Hz, C-6′); 114.4 (J = 18.0 Hz, C-3′); 116.1 (J = 6.9 Hz, C-4′); 124.7 (J = 3.1 Hz, C-5′); 136.3 (J = 11.6 Hz, C-1′); 151.0 (J = 237.0 Hz, C-2′); 172.5 (COOH).
N-(4-Bromo-2-fluorophenyl)glycine (2) A solution of 2.6 mL (8 g, 50 mmol) of bromine in 10 mL of glacial acetic acid was dropped under stirring to a suspension of 8.5 g (50 mmol) of N-(2-fluorophenyl)glycine in 25 mL of glacial acetic acid. Stirring was continued for 10 min. The reaction mixture was poured into water and the precipitate was filtered at vacuum. Light brown crystals with mp 138–143 °C were obtained by crystallization from benzene; Yield 78%. Anal. Calc. C8H7BrFNO2: C 38.74, H 2.84, N 5.65. Found: C 38.98, H 4.06, N 5.76. 1H NMR (300 MHz, DMSO) δ: 3.85 (s, 2H, CH2); 5.63 (bs, 1H, NH); 6.53–6.59 (m, 1H, H-3′); 7.11–7.14 (m, 1H, H-6′); 7.30 (dd, 1H, J = 11.5, 2.7 Hz, H-5′). 13C NMR (75 MHz, DMSO) δ: 44.0 (CH2); 105.4 (J = 9.2 Hz, C-4′); 113.5 (J = 4.6 Hz, C-6′); 117.4 (J = 21.7 Hz, C-3′); 127.4 (J = 3.3 Hz, C-5′); 136.0 (J = 11.0 Hz, C-1′); 150.6 (J = 242.0 Hz, C-2′); 172.1 (COOH).
N-(4,6-Dibromo-2-fluorophenyl)glycine (3) A solution of 4.4 mL (13.5 g, 80 mmol) of bromine in 10 mL of glacial acetic acid was dropped under stirring to a suspension of 6.8 g (40 mmol) of N-(2-fluorophenyl)glycine in 25 mL of glacial acetic acid. Stirring was continued for 30 min. The reaction mixture was poured into water and the precipitate was filtered under vacuum. Brown crystals with mp 148–150 °C were obtained by crystallization from benzene; Yield 90%. Anal. Calc. C8H6Br2FNO2: C 29.39, H 1.85, N 4.28. Found: C 29.68, H 1.95, N 4.51. 1H NMR (300 MHz, DMSO) δ: 4.03 (d, 2H, J = 4.7 Hz, CH2); 5.63 (bs, 1H, NH); 7.37 (dd, 1H, J = 13.0, 2.3 Hz, H-3′); 7.50 (dd, 1H, J = 2.3, 1.6 Hz, H-5′); 13C NMR (75 MHz, DMSO) δ: 46.5 (d, J = 9.8 Hz, CH2); 106.7 (d, J = 10.9 Hz, C-4′); 111.1 (d, J = 6.7 Hz, C-6′); 119.1 (d, J = 24.9 Hz, C-3′), 130.2 (d, J = 3.0 Hz, C-5′); 134.0 (d, J = 10.6 Hz, C-1′); 150.7 (d, J = 245.5 Hz, C-2′); 172.3 (d, J = 2.1 Hz, COOH).
3.2. Procedures for Synthesis of Sydnones 4a–c
To a solution of 2 g NaOH in 30 mL of water were added under stirring 20 mmol N-arylglycine 1–3 and 1.4 g (21 mmol) of NaNO2. In the cooled solution 10 mL of HCl were dropped under stirring, the temperature being maintained at 5–7 °C. The nitroso derivatives, separated as oils were extracted twice with CH2Cl2, and the organic layer was dried on CaCl2. The solvent was evaporated in vacuum on a water bath. The residue was treated with 30 mL of acetic anhydride and 2 mL of pyridine and evaporated under reduced pressure. The crude products were crystallized from a suitable solvent.
3-(2-Fluorophenyl)sydnone (4a). Colorless crystals with mp 111–114 °C (Lit.45 109 °C) were obtained by crystallization from ethanol; Yield 71%. 1H NMR (300 MHz, CDCl3) δ: 6.80 (d, 1H, J = 2.2 Hz, H-4); 7.37–7.44 (m, 2H, H-3′, H-6′); 7.62–7.71 (m, 1H, H-4′); 7.76–7.81 (m, 1H, H-5′). 13C NMR (75 MHz, CDCl3) δ: 97.1 (J ~ 0.7 Hz, C-4); 117.9 (J = 20.0 Hz, C-3′); 123.0 (J = 8.9 Hz, C-1′); 125.0 (J ~ 0.9 Hz, C-6′); 125.8 (J = 3.8 Hz, C-5′); 134.0 (J = 8.3 Hz, C-4′); 154.4 (J = 257.4 Hz, C-2′); 168.8 (CO).
3-(4-Bromo-2-fluorophenyl)sydnone (4b). Colorless crystals with mp 121–125 °C were obtained by crystallization from isopropanol; Yield 80%. Anal. Calc. C8H4BrFN2O2: C 37.09, H 1.56, N 10.81. Found: C 37.37, H 1.84, N 11.13. 1H NMR (300 MHz, CDCl3) δ: 6.81 (d, 1H, J = 2.2 Hz, H-4); 7.58–7.65 (m, 2H, H-3′, H-5′); 7.69–7.74 (m, 1H, H-6′). 13C NMR (75 MHz, CDCl3) δ: 97.0 (C-4); 121.6 (J = 22.0 Hz, C-3′, C-1′); 125.7 (C-6′); 127.3 (J = 9.1 Hz, C-4′); 129.1 (J = 3.8 Hz, C-5′); 153.9 (J = 262.0 Hz, C-2′); 168.4 (CO).
3-(2,4-Dibromo-6-fluorophenyl)sydnone (4c). Colorless crystals with mp 199–202 °C were obtained by crystallization from acetic acid; Yield 77%. Anal. Calc. C8H3Br2FN2O2: C 28.43, H 0.89, N 8.29. Found: C 28.72, H 1.27, N 8.58. 1H NMR (400 MHz, DMSO) δ: 6.73 (s, 1H, H-4); 8.22 (dd, 1H, J = 9.1, 1.9 Hz, H-3′); 8.27 (m, 1H, H-5′); 13C NMR (125 MHz, DMSO) δ: 99.4 (C-4); 120.5 (J = 22.3 Hz, C-3′); 121.2 (C-6′); 121.9 (J = 14.9 Hz, C-1′) 127.5 (J = 10.0 Hz, C-4′); 132.2 (J = 3.6 Hz, C-5′); 156.0 (J = 261.0 Hz, C-2′); 167.9 (CO).
3.3. Genereal Procedure for Synthesis of Pyrazoles 5a–c
A mixture of 5 mmol sydnone 4 and 0.9 g (6 mmol) of DMAD was refluxed 8 h in 20 mL toluene for 4a,b and xylene for 4c. After removal of the solvent in vacuo, the pyrazoles 5a–c were crystallized from 2-propanol (5a) or ethanol (5b and 5c).
1-(2-Fluorophenyl)-3,4-dicarbomethoxypyrazole (5a). Light brown crystals with mp 55–57 °C were obtained by crystallization from isopropanol; Yield 80%. Anal. Calc. C13H11FN2O4: C 56.12, H 3.98, N 10.07. Found: C 56.40, H 4.23, N 10.37. 1H NMR (300 MHz, CDCl3) δ: 3.87, 3.98 (2s, 6H, OCH3); 7.22–7.30 (m, 2H, H-3′, H-6′); 7.34–7.42 (m, 1H, H-4′); 7.89 (td, 1H, J = 7.9, 1.7 Hz, H-5′); 8.43 (d, 1H, J = 2.5 Hz, H-5). 13C NMR (75 MHz, CDCl3) δ: 52.2, 52.9 (2OCH3); 116.3 (C-4); 116.9 (J = 20.0 Hz, C-3′); 125.1 (C-6′); 125.2 (J = 3.6 Hz, C-5′); 129.7 (J = 9.4 Hz, C-1′); 129.8 (J = 8.0 Hz, C-4′); 135.7 (J = 10.0 Hz, C-5); 144.7 (C-3); 153.8 (J = 251.0 Hz, C-2′); 161.7, 162.0 (2COO).
1-(4-Bromo-2-fluorophenyl)-3,4-dicarbomethoxypyrazole (5b). Colorless crystals with mp 90–91 °C were obtained by crystallization from ethanol; Yield 71%. Anal. Calc. C13H10FBrN2O4: C 43.72, H 2.82, N 7.84. Found: C 43.97, H 3.11, N 8.09. 1H NMR (300 MHz, CDCl3) δ: 3.89, 4.00 (2s, 6H, OCH3); 7.45–7.49 (m, 2H, H-3′, H-5′); 7.80–7.85 (m, 1H, H-6′); 8.43 (d, 1H, J = 2.5 Hz, H-5). 13C NMR (75 MHz, CDCl3) δ: 52.2, 52.9 (OCH3); 116.6 (C-4); 120.6 (J = 22.0 Hz, C-3′); 122.0 (J = 8.8 Hz, C-4′); 126.0 (J = 0.7 Hz, C-6′); 126.2 (J = 9.4 Hz, C-1′); 128.7 (J = 3.3 Hz, C-5′); 136.5 (J = 10.0 Hz, C-5); 144.8 (C-3); 154.3 (J = 257.2 Hz, C-2′); 161.6, 161.9 (2COO).
1-(2,4-Dibromo-6-fluorophenyl)-3,4-dicarbomethoxypyrazole (5c). Colorless crystals with mp 151–154 °C were obtained by crystallization from ethanol; Yield 71%. Anal. Calc. C13H9Br2FN2O4: C 35.81, H 2.08, N 6.42. Found: C 36.11, H 2.34, N 6.71. 1H NMR (300 MHz, CDCl3) δ: 3.88, 3.97 (2s, 6H, OCH3); 7.43 (dd, 1H, J = 8.3, 1.9 Hz, H-3′); 7.71 (t, 1H, J = 1.9 Hz, H-5′); 8.07 (s, 1H, H-5). 13C NMR (75 MHz, CDCl3) δ: 52.1, 52.8 (OCH3); 116.4 (C-4); 119.7 (J = 22.0 Hz, C-3′); 123.2 (C-6′); 125.0 (J = 10.1 Hz, C-4′); 126.7 (J = 14.8 Hz, C-1′); 131.7 (J = 3.6 Hz, C-5′); 137.1 (C-5); 145.1 (C-3); 157.9 (J = 262.2 Hz, C-2′); 161.4, 161.5 (2COO).
4. Conclusions
In conclusion, new polyhalogenated N-arylglycines, 3-arylsydnones and 1-arylpyrazoles having a fluorine atom on the ortho position of the phenyl ring were obtained and structurally characterized by 1H and 13C NMR spectroscopy. The NMR spectra were not trivial and present corresponding features of heteronuclear spin-spin coupling. The long range coupling between the H-4 or H-5 of the sydnone/pyrazole and the fluorine atom could test the presence of the hindered rotation between the phenyl and the sydnone/pyrazole in compound 3 having a bromine atom in position 6′. Halogen–halogen or halogen–π type contacts were identified either in phenylglycines or sydnones. In some cases, even the fluorine atom participates in a synergic mode to the halogen–halogen interactions. Pyrazoles are important benchmarks for the investigation of the halogen bonding, and we will continue to synthesize and investigate such molecules in order to bring some new information regarding its predictability.
Supplementary Materials
The following are available online. Figure S1: Partial view of 3D network in the crystal structure of compounds 3 (a), and 4b (b). Interlayer centroid-tocentroid distances are showing in dashed-orange lines, Figure S2: Partial view of the crystal structure for compounds 4a (a), and 4c (b) showing the parallel packing of 2D double layers, Table S1: Deviations (Å) of the atoms from mean least-squares plane for molecule 3, Table S2: Deviations (Å) of the atoms from mean least-squares plane for molecule 4a, 4b and 4c.
Author Contributions
Conceptualization, F.D.; methodology, F.D., M.M.P., D.D.; investigation, D.D., M.M.P., S.S., C.D.; writing—review and editing, F.D., M.M.P. All authors have read and agreed to the published version of the manuscript.
Funding
This research received no external funding.
Institutional Review Board Statement
Not applicable.
Informed Consent Statement
Not applicable.
Data Availability Statement
Not applicable.
Conflicts of Interest
The authors declare no conflict of interest.
Sample Availability
Samples of the compounds are available from the authors.
References
- Breugst, M.; Reissig, H. The Huisgen Reaction: Milestones of the 1,3-Dipolar Cycloaddition. Angew. Chem. Int. Ed. 2020, 59, 12293–12307. [Google Scholar] [CrossRef]
- Trauner, D. Rolf Huisgen (1920–2020). Nat. Chem. Biol. 2020, 16, 711. [Google Scholar] [CrossRef]
- Albota, F.; Draghici, C.; Caira, M.R.; Dumitrascu, F. 1,3-Dipolar cycloaddition between acetylenic dipolarophiles and sydnone-N-ylides as bis(1,3-dipoles). Tetrahedron 2015, 71, 9095–9100. [Google Scholar] [CrossRef]
- Antoci, V.; Moldoveanu, C.; Danac, R.; Mangalagiu, V.; Zbancioc, G. Huisgen [3 + 2] Dipolar Cycloadditions of Phthalazinium Ylides to Activated Symmetric and Non-Symmetric Alkynes. Molecules 2020, 25, 4416. [Google Scholar] [CrossRef]
- Caira, M.R.; Georgescu, E.; Georgescu, F.; Popa, M.M.; Dumitrascu, F. 7-Methoxy-pyrrolo[1,2-a]quinolines via quinolinium N-ylides. Arkivoc 2009, 2009, 242–253. [Google Scholar] [CrossRef]
- Dumitrascu, F.; Georgescu, E.; Georgescu, F.; Popa, M.M.; Dumitrescu, D. Synthesis of Pyrrolo[2,1-a]isoquinolines by Multicomponent 1,3-Dipolar Cycloaddition. Molecules 2013, 18, 2635–2645. [Google Scholar] [CrossRef] [PubMed]
- Reissig, H.-U.; Zimmer, R. Münchnones—New Facets after 50 Years. Angew. Chem. Int. Ed. 2014, 53, 9708–9710. [Google Scholar] [CrossRef] [PubMed]
- Kawase, M.; Sakagami, H.; Motohashi, N. The Chemistry of Bioactive Mesoionic Heterocycles. In Bioactive Heterocycles VII; Springer: Berlin/Heidelberg, Germany, 2007; pp. 135–152. [Google Scholar]
- Albota, F.; Stanescu, M.D. The state of the art in sydnones chemistry and applications. Rev. Roum. Chem. 2017, 62, 711–734. [Google Scholar]
- Cherepanov, I.A.; Moiseev, S.K. Recent developments in the chemistry of sydnones and sydnone imines. Adv. Heterocycl. Chem. 2020, 131, 49–164. [Google Scholar] [CrossRef]
- Nájera, C.; Sansano, J.M.; Yus, M. 1,3-Dipolar cycloadditions of azomethine imines. Org. Biomol. Chem. 2015, 13, 8596–8636. [Google Scholar] [CrossRef]
- Hein, C.D.; Liu, X.-M.; Wang, D. Click Chemistry, A Powerful Tool for Pharmaceutical Sciences. Pharm. Res. 2008, 25, 2216–2230. [Google Scholar] [CrossRef]
- Padwa, A.; Pearson, W.H. Synthetic Applications of 1,3-Dipolar Cycloaddition Chemistry Toward Heterocycles and Natural Products; John Wiley & Sons: Hoboken, NJ, USA, 2002. [Google Scholar]
- Browne, D.L.; Harrity, J.P. Recent developments in the chemistry of sydnones. Tetrahedron 2010, 66, 553–568. [Google Scholar] [CrossRef]
- Albota, F.; Caira, M.R.; Draghici, C.; Dumitrascu, F.; Dumitrescu, D.E. Sydnone C-4 heteroarylation with an indolizine ring via Chichibabin indolizine synthesis. Beilstein J. Org. Chem. 2016, 12, 2503–2510. [Google Scholar] [CrossRef]
- Dumitrascu, F.; Draghici, C.; Crangus, C.; Caproiu, M.T.; Mitan, C.I.; Dumitrescu, D.; Raileanu, D. Atropisomerism of New Sterically Hindered 1-Arylpyrazoles. Rev. Roum. Chim 2002, 47, 315–318. [Google Scholar]
- Dumitrascu, F.; Draghici, C.; Dumitrescu, D.; Tarko, L.; Raileanu, D. Direct Iodination of Sydnones and Their Cycloadditions to Form 5-Iodopyrazoles. Eur. J. Org. Chem. 1997, 1997, 2613–2616. [Google Scholar] [CrossRef]
- Brown, D.C.; Turnbull, K. Improved Method for the Iodination of Sydnones. Synth. Commun. 2013, 43, 3233–3237. [Google Scholar] [CrossRef]
- Aleem, A.S.; Turnbull, K. Halogenation of 3-(3,5-Dimethoxyphenyl)sydnone. Org. Prep. Proced. Int. 2015, 47, 87–93. [Google Scholar] [CrossRef]
- Nashashibi, I.F.; Tumey, J.M.; Owens, B.L.; Turnbull, K. Chlorination of 3-Arylsydnones with Iodine Monochloride. Org. Prep. Proced. Int. 2017, 49, 59–63. [Google Scholar] [CrossRef]
- Decuypere, E.; Specklin, S.; Gabillet, S.; Audisio, D.; Liu, H.; Plougastel, L.; Kolodych, S.; Taran, F. Copper(I)-Catalyzed Cycloaddition of 4-Bromosydnones and Alkynes for the Regioselective Synthesis of 1,4,5-Trisubstituted Pyrazoles. Org. Lett. 2014, 17, 362–365. [Google Scholar] [CrossRef]
- Liu, H.; Audisio, D.; Plougastel, L.; Decuypere, E.; Buisson, D.-A.; Koniev, O.; Kolodych, S.; Wagner, A.; Elhabiri, M.; Krzyczmonik, A.; et al. Ultrafast Click Chemistry with Fluorosydnones. Angew. Chem. Int. Ed. 2016, 55, 12073–12077. [Google Scholar] [CrossRef]
- Decuypère, E.; Plougastel, L.; Audisio, D.; Taran, F. Sydnone–alkyne cycloaddition: Applications in synthesis and bioconjugation. Chem. Commun. 2017, 53, 11515–11527. [Google Scholar] [CrossRef]
- Plougastel, L.; Lamaa, D.; Yen-Pon, E.; Audisio, D.; Taran, F. Fluorogenic probes based on polycyclic sydnone scaffolds. Tetrahedron 2020, 76, 131250. [Google Scholar] [CrossRef]
- Abdualkader, A.M.; Taher, M.; Yusoff, N.I.N. Mesoionic sydnone: A review in their chemical and biological properties. Int. J. Pharm. Pharm. Sci. 2017, 9, 1–9. [Google Scholar] [CrossRef]
- Ansari, A.; Ali, A.; Asif, M.; Shamsuzzaman, S. Review: Biologically active pyrazole derivatives. New J. Chem. 2016, 41, 16–41. [Google Scholar] [CrossRef]
- Bonacorso, H.G.; Pittaluga, E.P.; Porte, L.M.; Junges, A.F.; Libero, F.M.; Zanatta, N.; Martins, M.A. New 4-fluoroalkyl substituted N-phenylpyrazoles: Synthesis promoted by DAST and multinuclear NMR analysis. J. Fluor. Chem. 2015, 176, 44–50. [Google Scholar] [CrossRef]
- Wilcken, R.; Zimmermann, M.O.; Lange, A.; Joerger, A.; Boeckler, F.M. Principles and Applications of Halogen Bonding in Medicinal Chemistry and Chemical Biology. J. Med. Chem. 2013, 56, 1363–1388. [Google Scholar] [CrossRef]
- Hernandes, M.Z.; Cavalcanti, S.M.T.; Moreira, D.R.; Junior, W.F.D.A.; Leite, A.L. Halogen Atoms in the Modern Medicinal Chemistry: Hints for the Drug Design. Curr. Drug Targets 2010, 11, 303–314. [Google Scholar] [CrossRef] [PubMed]
- Ojima, I. Use of Fluorine in the Medicinal Chemistry and Chemical Biology of Bioactive Compounds-A Case Study on Fluorinated Taxane Anticancer Agents. ChemBioChem 2004, 5, 628–635. [Google Scholar] [CrossRef] [PubMed]
- Filler, R.; Saha, R. Fluorine in medicinal chemistry: A century of progress and a 60-year retrospective of selected highlights. Futur. Med. Chem. 2009, 1, 777–791. [Google Scholar] [CrossRef] [PubMed]
- Hunter, L. The C–F bond as a conformational tool in organic and biological chemistry. Beilstein J. Org. Chem. 2010, 6, 38. [Google Scholar] [CrossRef]
- Gillis, E.P.; Eastman, K.J.; Hill, M.D.; Donnelly, D.J.; Meanwell, N.A. Applications of Fluorine in Medicinal Chemistry. J. Med. Chem. 2015, 58, 8315–8359. [Google Scholar] [CrossRef]
- Zhou, Y.; Wang, J.; Gu, Z.; Wang, S.; Zhu, W.; Aceña, J.L.; Soloshonok, V.A.; Izawa, K.; Liu, H. Next Generation of Fluorine-Containing Pharmaceuticals, Compounds Currently in Phase II–III Clinical Trials of Major Pharmaceutical Companies: New Structural Trends and Therapeutic Areas. Chem. Rev. 2016, 116, 422–518. [Google Scholar] [CrossRef] [PubMed]
- Volle, J.-N.; Schlosser, M. Fluorine-Sacrificial Cyclizations as an Access to 5-Fluoropyrazoles. Eur. J. Org. Chem. 2000, 2000, 823–828. [Google Scholar] [CrossRef]
- Borkin, D.A.; Puscau, M.; Carlson, A.; Solan, A.; Wheeler, K.A.; Török, B.; Dembinski, R. Synthesis of diversely 1,3,5-trisubstituted pyrazoles via 5-exo-dig cyclization. Org. Biomol. Chem. 2012, 10, 4505. [Google Scholar] [CrossRef]
- Vankayalapaty, H.M.; Horrigan, S. Compositions and Methods for Inhibition of tbl-1 Binding to Disease-Associated Molecules. WO 2013/071232, 16 May 2013. [Google Scholar]
- Baranoff, E.; Bolink, H.J.; Constable, E.C.; Delgado, M.; Haussinger, D.; Housecroft, C.E.; Nazeeruddin, M.K.; Neuburger, M.; Orti, E.; Schneider, G.E.; et al. Tuning the photophysical properties of cationic iridium(III) complexes containing cyclometallated 1-(2,4-difluorophenyl)-1H-pyrazole through functionalized 2,2′-bipyridine ligands: Blue but not blue enough. Dalton Trans. 2013, 42, 1073–1087. [Google Scholar] [CrossRef]
- Dumitrescu, D.; Shova, S.; Man, I.C.; Caira, M.R.; Popa, M.M.; Dumitrascu, F. 5-Iodo-1-Arylpyrazoles as Potential Benchmarks for Investigating the Tuning of the Halogen Bonding. Crystals 2020, 10, 1149. [Google Scholar] [CrossRef]
- Popa, M.M.; Man, I.C.; Draghici, C.; Shova, S.; Caira, M.R.; Dumitrascu, F.; Dumitrescu, D. Halogen bonding in 5-iodo-1-arylpyrazoles investigated in the solid state and predicted by solution13C-NMR spectroscopy. CrystEngComm 2019, 21, 7085–7093. [Google Scholar] [CrossRef]
- Caira, M.; Dumitrascu, F.; Georgescu, E.; Georgescu, F.; Popa, M.M.; Draghici, B.; Dumitrescu, D.G. A Novel Approach for the Synthesis of N-Arylpyrroles. Synlett 2009, 2009, 3336–3340. [Google Scholar] [CrossRef]
- Caira, M.; Dumitrascu, F.; Draghici, B.; Caproiu, M.; Dumitrescu, D.G. A Novel Approach for the Synthesis of Highly Fluorescent Pyrrolo[1,2-b]pyridazines. Synlett 2008, 2008, 813–816. [Google Scholar] [CrossRef]
- Georgescu, E.; Georgescu, F.; Popa, M.M.; Draghici, C.; Tarko, L.; Dumitrascu, F. Efficient One-Pot, Three-Component Synthesis of a Library of Pyrrolo[1,2-c]pyrimidine Derivatives. ACS Comb. Sci. 2012, 14, 101–107. [Google Scholar] [CrossRef]
- Earl, J.C.; Mackney, A.W. The action of acetic anhydride on N-nitrosophenylglycine and some of its derivatives. J. Chem. Soc. 1935, 899–900. [Google Scholar] [CrossRef]
- Bellas, M.; Suschitzky, H. Syntheses of heterocyclic compounds. Part XII. Halogen-substituted 3-arylsydnones. J. Chem. Soc. C 1966, 189–192. [Google Scholar] [CrossRef]
- Wolff, S.K.; Grimwood, D.J.; McKinnon, J.J.; Turner, M.J.; Jayatilaka, D.; Spackman, M.A. CrystalExplorer; Version 3.1; University of Western Australia: Perth, WA, Australia, 2012. [Google Scholar]
- Oxford Diffraction. CrysAlisPro Software System; Version 1.171.41.64; Rigaku Corporation: Oxford, UK, 2015. [Google Scholar]
- Dolomanov, O.V.; Bourhis, L.J.; Gildea, R.J.; Howard, J.A.K.; Puschmann, H. OLEX2: A complete structure solution, refinement and analysis program. J. Appl. Crystallogr. 2009, 42, 339–341. [Google Scholar] [CrossRef]
- Sheldrick, G.M. SHELXT—Integrated space-group and crystal-structure determination. Acta Crystallogr. Sect. A Found. Adv. 2015, 71, 3–8. [Google Scholar] [CrossRef] [PubMed]
- Sheldrick, G.M. Crystal structure refinement with SHELXL. Acta Cryst. 2015, 71, 3–8. [Google Scholar]
- McKinnon, J.J.; Jayatilaka, D.; Spackman, M. Towards quantitative analysis of intermolecular interactions with Hirshfeld surfaces. Chem. Commun. 2007, 3814–3816. [Google Scholar] [CrossRef] [PubMed]
- Spackman, M.A.; Jayatilaka, D. Hirshfeld surface analysis. CrystEngComm 2009, 11, 19–32. [Google Scholar] [CrossRef]
Publisher’s Note: MDPI stays neutral with regard to jurisdictional claims in published maps and institutional affiliations. |
© 2021 by the authors. Licensee MDPI, Basel, Switzerland. This article is an open access article distributed under the terms and conditions of the Creative Commons Attribution (CC BY) license (https://creativecommons.org/licenses/by/4.0/).















