Abstract
Herein, a comprehensive review is given focusing on the chemical profiles of the essential oils (EOs), non-volatile compounds, ethnobotany, and biological activities of different Haplophyllum (Rutaceae family) species. To gather the relevant data, all the scientific databases, including Scopus, ISI-WOS (Institute of Scientific Information-Web of Science), and PubMed and highly esteemed publishers such as Elsevier, Springer, Taylor and Francis, etc., were systematically retrieved and reviewed. A wide array of valuable groups of natural compounds, e.g., terpenoids, coumarins, alkaloids, lignans, flavonoids, and organic acids have been isolated and subsequently characterized in different organic extracts of a number of Haplophyllum species. In addition, some remarkable antimicrobial, antifungal, anti-inflammatory, anticancer, cytotoxic, antileishmanial, and antialgal effects as well as promising remedial therapeutic properties have been well-documented for some species of the genus Haplophyllum.
1. Introduction
It is evident that herbal and medicinal plants play a vital role on the life of human beings and have unique compartment in their lifestyles. Over the past few decades, a large number of scientific investigations have been carried out on a wide spectrum of herbal plants and these attempts have led to the isolation of a large number of valuable natural compounds in different plant species [1,2]. In reality, medicinal plants are used in different scientific disciplines, from food industries to the fragrance and cosmetics domain, to different medicinal and pharmaceutical approaches [3,4].
Haplophyllum Juss. is a genus of plant species belonging to the Rutaceae family and comprises 160 species of which only two are accepted, i.e., Haplophyllum dauricum (L.) G. Don and Haplophyllum suaveolens Ledeb., whereas fifty species are considered to be synonyms and one hundred and eight are unresolved names [5].
The etymology of the name derives from the union of two Greek words, απλοũς (haplous), meaning simple, and φύλλον (phýllon), meaning leaf in the sense of a simple leaf. These terms refer to the fact that the species belonging to this genus are characterized by non-composite leaves.
From a botanical standpoint, these species appear mainly as perennial herbs even if low shrubs also exist. They present cymose and bracteate inflorescences, with petals being variably colored from light white to bright yellow. They have ten stamens and have free filaments which are widely expanded below and are pubescent on the inner surface (Figure 1) [6].
Figure 1.
The photographs of Haplophyllum suaveolens Ledeb.
The distribution area of this genus is quite wide, ranging from Morocco and Spain to China and passing through Romania, Somalia, Turkey, Iran, and Central Asia [6]. Additionally, many relevant species are endemic and some even occur in small, unlinked populations. In particular, the latter characteristics concern the Iranian and Central Asian species, and, for this reason, the genus is locally and partially considered to be very susceptible to extinction [7].
In the present review article, we aimed to cover and discuss the available phytochemical knowledge involving the composition of the chemical profiles of Haplophyllum’s essential oils (EOs) as well as the characterized non-volatile compounds and their relevant biological activities. This work represents an updating, an extension, as well as a partial modification of the work by Prieto et al. [8] on the phytochemistry and bioactivities of the same genus. To collect the corresponding data, Scopus (date of access: 20 January 2021 and revisited on 06 June 2021), PubMed (date of access: 10 January 2021 and revisited on 05 June 2021), ISI-WOS (date of access: 21 January 2021 and revisited on 05 June 2021), and a number of published reports dealing with different aforementioned aspects were carefully studied. The keywords used for this research were Haplophyllum, phytochemistry, ethnobotany, ethnopharmacology, pharmacology, and biological activities, in combination between Haplophyllum and the rest of the mentioned keywords, one by one. The systematic research was also conducted considering all the accepted or unresolved names of Haplophyllum species, as reported in www.theplantlist.org, accessed on 24 June 2021 [5], alone or in combination with the previous terms, one by one. All the Haplophyllum species, now taxonomically considered to be synonyms of other species, as reported in www.theplantlist.org, accessed on 24 June 2021 [5], were not taken into consideration for this review. In any case, all the existing works, abiding by these rules, were inserted in spite of the years or types of publications.
2. Phytochemistry
The Haplophyllum species have been studied for their phytochemical constituents that regard both the EOs and the polar fraction metabolites.
2.1. Essential Oils of Haplophyllum Species
EOs could be defined as hydrophobic liquid mixtures usually having a lower density of water and comprising versatile natural compounds that are separated using different approaches, e.g., expression, cold press, water-distilled extraction, steam distillation, and numerous microwave-based techniques [9,10,11]. Within the past few decades, EOs have gained much attention due to their widespread uses in a variety of phytochemical, biological, medicinal, pharmaceutical, and food disciplines as well as in the flavour and fragrance industry [12,13]. In fact, a large number of reports could be found in the literature highlighting the remarkable potential use of EOs for a wide spectrum of applications [14,15]. Similar to many other herbal genera, Haplophyllum species are considered as valuable sources of secondary metabolites such as EO components. According to the literature, a large number of reports have argued the chemical profiles of the EOs obtained from different organs of Haplophyllum species. Table 1 displays the main compounds identified in the EOs of different Haplophyllum species.
Table 1.
Main volatile constituents from different species of Haplophyllum genus worldwide.
Table 2 shows the distribution of the main volatile compounds in the Haplophyllum spp. essential oils.
Table 2.
Distribution of the main volatile phytochemicals in the Haplophyllum genus.
As it can be seen from Table 2 and Table 3, the literature data concerning the chemical profiles of the EOs of this valuable medicinal genus are abundant, in particular about its most important species, i.e., H. tuberculatum (Forssk.) A. Juss. From a general survey of these data, it could be clearly observed that the characterized chemical profiles of this species differ widely from one another. Yet, these profiles were mainly seen to be characterized by the presence of monoterpene hydrocarbons (MH), oxygenated monoterpenes (OM), and non-terpene hydrocarbons (NH). Other reported classes are also sesquiterpene hydrocarbons (SH) and oxygenated sesquiterpenes (OM), even if with minor frequency. This same pattern was also reported in several other species such as two Hyptis species (Lamiaceae family) [40], several Hypericum species (Hypericaceae family) [41] and Helichrysum species (Asteraceae family) [42]. Not all the compounds were reported in all the species. Nevertheless, the most reported compounds were β-caryophyllene and β-pinene [17,18,19,20,21,23,25,26,28,31,32,39], whereas several compounds were identified only in single species.
Table 3.
Non-volatile compounds evidenced in Haplophyllum spp.
For what concerns the phytochemical profiles of H. tuberculatum, in some reports, the major compounds were limonene, α-pinene, β-pinene, α-phellandrene, β-phellandrene, myrcene, δ-3-carene, β-ocimene, α-terpinene [37], and β- and γ-terpinene [30,31,32,33,37], whereas, in others, the major components were linalool, linalyl acetate, 1,8-cineole, 4-terpineol [37], trans-p-menth-2-en-1-ol, cis- and trans-p-menth-2-en-1-ol, piperitone, and cis- and trans-piperitol [29,31,34,36,37,38]. As shown in Table 1, for what concerns the volatile fractions and oils from H. myrtifolium specimens, monoterpene hydrocarbons [23] or non-terpene hydrocarbons were the prevailing groups of natural compounds [23,24]. Monoterpene hydrocarbons and oxygenated monoterpenes were the main class of constituting compounds of H. robustum Bunge [26,27,28]. On the other hand, some sporadic reports dealt with the isolation and identification of the volatile essences of other species of the genus Haplophyllum. In accordance with these reports, monoterpene hydrocarbons were the most abundant compounds in H. glaberrimum, H. virgatum, H. laeviusculum, and H. buhsei [17,19,39], whereas, for H. virgatum, H. buxbaumii, and H. megalanthum, non-terpene hydrocarbons were found in the highest quantities [18,21,22]. H. acutifolium oil consisted mainly of sesquiterpene hydrocarbons [16]. It is also interesting to note that the total amounts of monoterpene hydrocarbons and oxygenated sesquiterpenes in the H. furfuraceum oil were approximately the same [18]. Lastly, by using the headspace solid phase microextraction (HS-SPME) approach, volatile fractions from the flowers and stems of H. perforatum Kar & Kir. were observed to be mainly composed of monoterpene hydrocarbons, whereas that of the leaves contained higher quantities of sesquiterpene hydrocarbons [25].
2.2. Polar Fraction Metabolites of Haplophyllumn Species
Regarding the non-volatile fraction metabolites, Haplophyllum species biosynthesize compounds belonging to the class of terpenoids, saponins, alkaloids, coumarins, lignans, flavonoids, and organic acids (Table 3 and Figure 2, Figure 3, Figure 4, Figure 5, Figure 6, Figure 7, Figure 8, Figure 9, Figure 10, Figure 11, Figure 12, Figure 13 and Figure 14).
Figure 2.
Structure of the terpenoids identified in Haplophyllum species.
Figure 3.
Structure of the coumarins identified in Haplophyllum species—part 1.
Figure 4.
Structure of the coumarins identified in Haplophyllum species—part 2.
Figure 5.
Structure of the alkaloids identified in Haplophyllum species—part 1.
Figure 6.
Structure of the alkaloids identified in Haplophyllum species—part 2.
Figure 7.
Structure of the alkaloids identified in Haplophyllum species—part 3.
Figure 8.
Structure of the alkaloids identified in Haplophyllum species—part 4.
Figure 9.
Structure of the alkaloids identified in Haplophyllum species—part 5.
Figure 10.
Structure of the lignans identified in Haplophyllum species—part 1.
Figure 11.
Structure of the lignans identified in Haplophyllum species—part 2.
Figure 12.
Structure of the lignans identified in Haplophyllum species—part 3.
Figure 13.
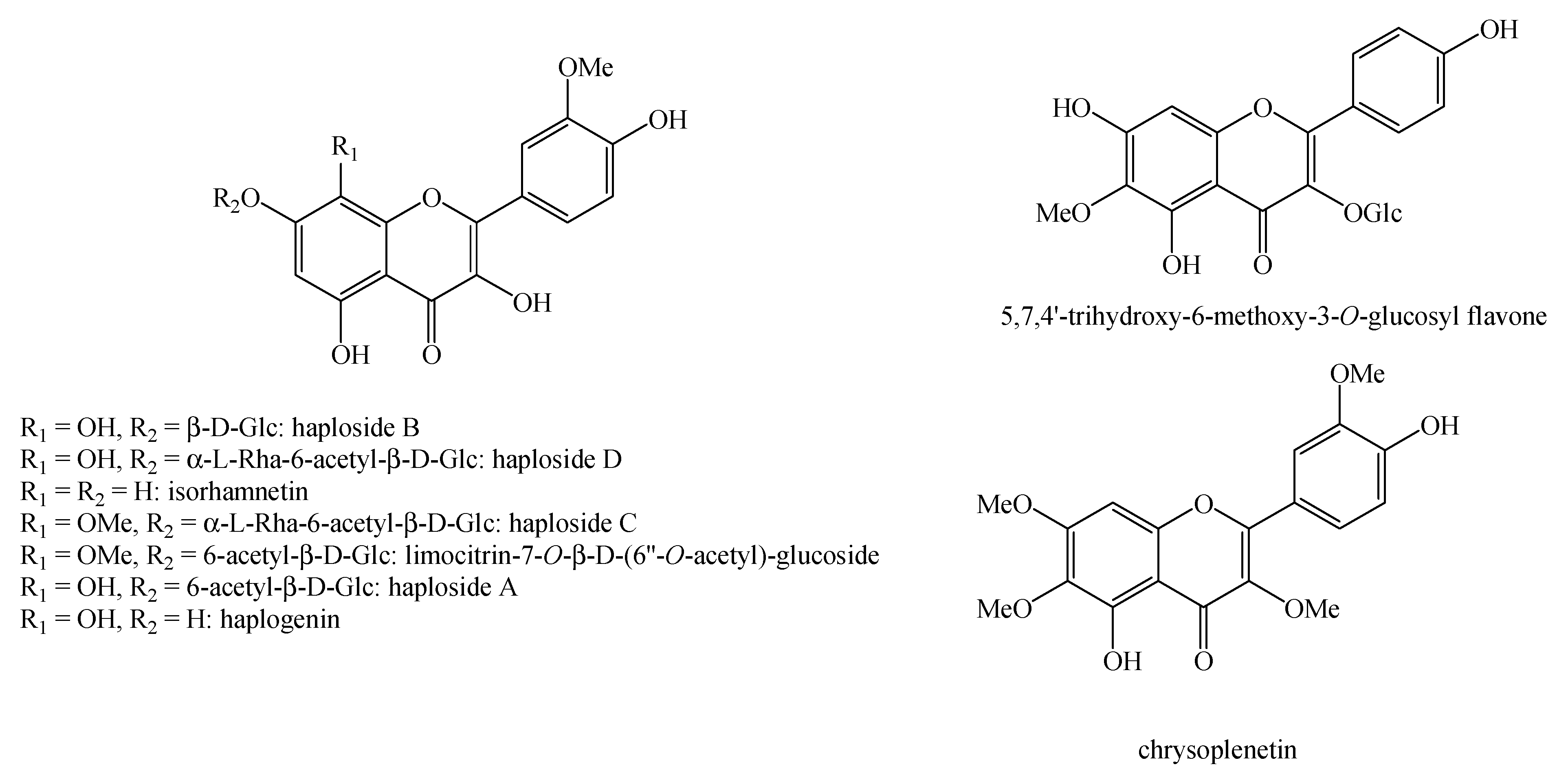
Structure of the flavonoids identified in Haplophyllum species.
Figure 14.
Structure of the other compounds identified in Haplophyllum species.
As it can be seen from Table 3, not all the Haplophyllum species were studied for their non-volatile components. Surely, alkaloids, coumarins, and lignans represent the most represented classes of natural compounds in this genus, having been reported in most of them, often together, even if some exceptions are present (i.e., H. canaliculatum, H. kowalenskyi and H. tenue, where only alkaloids were identified [57,77] and H. dshungaricum, where only coumarins were identified) [67]. In addition, only for the species H. alberti-regelii, one compound was identified [49], whilst for all the others, at least two compounds were identified, even if they belonged to the same phytochemical class. For some species and/or exemplars, the exact compounds were not specified since only a phytochemical screening was performed such as for H. boissierianum, H. glaberrimum, H. pedicellatum, and H. tuberculatum from Iran and H. robustum and H. suaveolens from Serbia [50,72]. The extraction solvents are well-known as well as the analysis methods. Of course, their choice depends on the kind of compounds that need to be extracted from the Haplophyllum species. Ethanol proved to be a very effective solvent to extract different classes of compounds, both polar and non-polar, whilst dichloromethane, methanol, n-hexane, petroleum ether, chloroform, and ethyl acetate were perfect for extracting compounds such as alkaloids, lignans, and coumarins. For what concerns the studied organs, these are quite general, too, with a prevalence of aboveground organs. Indeed, for what concerns the collection areas of the studied species, the general knowledge of the Haplophyllum genus geographical distribution is respected since the majority of them were collected in Asia.
Table 4 displays the distribution of the phytochemical compounds within the Haplophyllum genus.
Table 4.
Distribution of the non-volatile phytochemicals in the Haplophyllum genus.
As it can be seen from Table 3, the distribution of the compounds is not equable in all the Haplophyllum species. Alkaloids have been reported as the most representative compounds in the genus, and they are also of the utmost importance from a chemosystematic standpoint [114]. Skimmianine is the most reported compound of this class in the genus, followed by γ-fagarine [44,45,46,49,51,52,53,54,57,58,66,73,75,77,78,80,81,82,85,86,87,89,90,95,97,98,101,106,108,111]. Coumarins were also quite present in the Haplophyllum genus, in particular scopoletin [56,58,62,68,84,91,98,111]. Coumarins also present chemosystematic relevance in the Rutaceae family [115]. Our results fully confirm this aspect. Flavonoids are widespread secondary metabolites in the plant kingdom with specific functions and in less cases, they have chemotaxonomic relevance. Some of these are rare derivatives with peculiar functionalizations such as that observed for the 8-hydroxyflavone acetylated glycosides that own a restricted distribution among some genera of the Lamioideae subfamily of Lamiaceae, e.g., Pogostemon, Sideritis, Stachys, and Galeopsis [116,117,118,119,120,121]. In these genera, isoscutellarein and hypolaetin glycosides have been recognized with glucose and allose as saccharidic moieties. Similarly, it seems that the presence of acetylated 8-hydroxyflavone derivatives related to haplogenin might have a chemotaxonomic relevance given that they represent quite common compounds in the Haplophyllum genus. The functionalizations in these 8-hydroxyflavone derivatives involved the presence of glucose and rhamnose as saccharidic units like in haplosides A, B, C, D and limocitrin-7-O-β-D-(6″-O acetyl)-glucoside [65,68,71,93,94]. In fact, haplosides B and D have been observed in H. dauricum, which is one of the few accepted species in the genus, but compounds related to haploside have also been recognized in other Haplophyllum species which are of unresolved classifications [65,68,71,93]. Further studies on the phytochemistry of other Haplophyllum spp. with a problematic classification are desirable in the future since the distribution of these flavonoids might be of help for their correct classification. The other classes of natural compounds observed in the Haplophyllum genus were triterpenoids with β-sitosterol as the major compound [47,49,67,80,99] and lignans with diphyllin as the major compound [49,51,58,65,96,106,111] together with some phenolic acid derivatives. These classes have little chemotaxonomic relevance since they can be biosynthesized by many other plant genera and species such as those belonging to the Araucariaceae [4], Lamiaceae [122], and Orobanchaceae [123] families. Yet, the presence of ferulic acid from H. foliosum [69] should be underlined since it is the biogenetic precursor of coumarins. In addition, it is noteworthy that several lignans have been described for the first time in Haplophyllum, and these compounds might have a chemotaxonomic relevance. However, further studies are still necessary to confirm this hypothesis.
3. Ethnobotany and Biological Activities
The use of many Haplophyllum species in traditional medicine has a long history in several countries of the world due to their significant pharmacological activities. In the subsections, the specific ethnobotanical uses and pharmacological properties of Haplophyllum species are presented and discussed as well as the pharmacological studies carried out on its components.
3.1. H. acutifolium
The paste derived from its whole plant is used in the Iranian northern region of Turkmen Sahra to treat dermal wounds and inflammations [124]. Its ethanolic extract has been reported to be highly and moderately active as cytotoxic agent against RAMOS, MCF-7, and U937 cancer cell lines with IC50 values equal to 23.7, 83.5, and 55.9 µg/mL, respectively. This effect is most probably due to the high presence of alkaloids in this plant [125]. In addition, two of its constituents, the alkaloids acutine and haplacutine E, isolated by preparative-scale HPLC, exhibited moderate antiplasmodial activities with IC50 values equal to 2.17 μM and 3.79 μM, respectively [43]. Eudesmin isolated from this species also showed good germicidal activity against Candida albicans, Aspergillus flavus, Salmonella typhi, Klebsiella pneumonia, and Fusarium oxysporum, with growth inhibition percentages well above 50% [46]. Indeed, haplotyn-A, one of its other constituents, showed medium germicidal activity against Candida albicans, Salmonella typhi, and Klebsiella pneumoniae, with growth inhibition percentages between 30 and 40%, except for K. pneumoniae, where the value was found to be 51% [46].
3.2. H. canalicatum
The methanolic extract of H. canalicatum from Iran exhibited moderate cytotoxic activities against several cancer cell lines, e.g., HepG-2, MCF-7, MDBK, WEHI, and A-549, with IC50 values higher than 50 μg/mL [126]. This effect has been observed to be mainly due to the quinolinone alkaloids reported in this species. In fact, 7-isopentenyloxy-γ-fagarine, atanine, skimmianine, flindersine, and perfamine were singularly tested for their cytotoxic properties against several cancer cell lines, i.e., HepG-2, MCF, KG-1a, RAJI, and JURKAT, and showed good results. In this context, 7-isopentenyloxy-γ-fagarine was found to be the most active, with IC50 values against JURKAT, RAJI, and MCF-7 of 3.6, 1.5, and 15.5 μg/mL, respectively. These values are below the positive control of doxorubicin. In addition, the other compounds have proved to be active even if with a moderate effect. Atanine was found to be more powerful than doxorubicin only against JURKAT (IC50 = 9.3 μg/mL). Instead, skimmianine, flindersine, and perfamine were always less potent than doxorubicin against each tested cancer cell line [125]. In addition to this, two other alkaloids isolated from this species, namely acutine and hapacutine E, showed moderate in vitro antiplasmodial activity against chloroquine-sensitive Pfc (3D7 strain), with IC50 values of 2.17 and 3.79 µM, respectively [43].
3.3. H. myrtifolium
H. myrtifolium is used to treat warts, herpes, lichens, erysipelas, diarrhea, and some types of tumors such as testicular cancer [125]. Moreover, its ethanolic extract was found to be a potent antileishmanial agent against the species Leishmania tropica, with an IC50 value of 10.9 μg/mL [127]. The same effect was also observed for two of its alkaloid constituents, i.e., skimmianine and γ-fagarine, which showed IC50 values equal to 25.7 and 8.7 μg/mL, respectively [127]. Moreover, the aerial parts of this species extracted using several solvents proved to possess strong α-glucosidase and α-amylase activities as well as strong anti-acetyl cholinesterase and antidiabetic properties [128].
3.4. H. perforatum
H. perforatum Kar & Kir. displayed good antimicrobial activities against Bacillus subtilis, Klebsiella pneumoniae, Morganella morganti, and Staphylococcus aureus [129]. Moreover, a paste prepared from the aerial parts of H. perforatum Kar & Kir. is used by the local people in the Southern regions of Shiraz, Iran, to relieve severe toothaches [130]. It is also noteworthy that the methanolic extract of the leaves of H. perforatum Kar & Kir. has potent antifungal activity against Botrytis cinerea and Alternaria solani. The percentages of growth inhibition were found to be 76.32 and 55.44%, respectively [131]. Indeed, the alkaloids perforine and khaplamine isolated from this species grown in Azerbaijan have been reported to have sedative action [132].
3.5. H. sieversii
Two different crude extracts of the aerial parts of H. sieversii (petroleum ether and water) were found to have antifungal activity against Colletotrichum acutatum Simmonds, C. fragariae Brooks, and C. gloeosporioides (Penz.) Penz. and Sacc., with inhibition zone diameters below 10 mm [100]. Flindersine and haplamine showed antialgal activity against Oscillatoria perornata Skuja with IC50 values, after 24 h, equal to 15.9 and 1.8 μM, respectively. These two compounds were found to be also active against Selenastrum capricornutum even if with lower IC50 values (17.8 and 15.9 μM, respectively). Haplamine was also found to be active against Pseudanabaena LW397 having an IC50 value of 2.0 μM after 24 h [100].
3.6. H. tuberculatum
H. tuberculatum has been used in Saudi Arabia for the cure of rheumatoid arthritis, malaria, headaches, and some gynecological problems, as well as to remove warts and freckles from the skin and to treat skin discoloration, infections, and parasitic diseases [133,134]. It is also used in Sudan and Mongolia for the treatment of diarrhea and as an antipyretic agent [135]. In Sudan, the herb is also employed as an antispasmodic, to treat allergic rhinitis, gynecological disorders, asthma, and breathing difficulties [136]. In Algeria, it has been used as an antiseptic, calming, vermifuge, and hypnotic neurological and against injuries, ulcers, infertility, diabetes, bloating, fever, liver diseases, otitis, rheumatism, obesity, constipation, colon, diarrhea, gases, hypertension, menstrual pains, cardiac diseases, scorpion stings, flu, vomiting, throat inflammation, tonsillitis, cough, and loss of appetite [137]. In the northern regions of Oman, the juice made with the leaves has been used to treat headaches and arthritis for many years [138]. In Egypt, the flowering parts are used as a drink to treat fever, abdominal upset, anemia, gastric pains, intestinal worms, malaria, and as an aphrodisiac, while its decoction is used for rheumatic pains [139]. Moreover, its ethanolic extract was observed to have high cytotoxic activities against RAMOS, U937, MCF-7, LNCap-FGC-10, 5637, and RPMI-8866 cancer cell lines. The relative IC50 values were 25.3, 29.3, 57.2, below 7.81, 23.3, and 31.8 µg/mL, respectively. This effect is mainly due to its alkaloid content [125]. The same extract is also able to exhibit strong antimicrobial, anti-inflammatory and antifungal effects [136]. A strong effect was also observed for the essential oil derived from the aerial parts against Aedes aegypti. In particular, as reported, this oil could kill 100% of its larvae at 250 and 125 ppm [34]. In addition, a medium germicidal effect was observed for the same essential oil against several microorganisms such as Candida spp., Alternaria alternata, Curvularia lunata, Fusarium oxysporum, Stemphylium solani, and Aspergillus flavus with MIC values below 1 mg/mL [32]. Indeed, against Escherichia coli, Staphylococcus aureus, Salmonella choleraesuis, and Bacillus subtilis, the inhibition zone diameters were 17.6, 6.7, 17.3, and 12.3 mm, respectively. The n-hexane extract of this species also showed medium antibacterial effects against Staphylococcus aureus, Escherichia coli and Pseudomonas aeruginosa, with inhibition zone diameters of 12, 10, and 16 mm, respectively. The chloroform and methanol extracts were active, in this sense, only against Pseudomonas aeruginosa, with inhibition zone diameters of 11 and 17 mm, respectively [35]. The main responsible compounds for this seem to be the alkaloids and the lignans. The essential oil is also able to exhibit good antitumor activities against lung carcinoma H1299 cell lines, with an IC50 value equal to 4.7 μg/mL [37]. The aqueous extract of the leaves has also antispasmodic effects [140]. Additionally, one of its constituents, the alkaloid tuberine, has shown high anti-microbial activity against Bacillus subtilis and Saccharomyces cerevisiae at the concentration of 1 μg/mL [141]. Another alkaloid constituent, dihydroperfamine, was found to have strong anxiolytic effects [103]. Indeed, one of its lignans, 1-hydroxy-3-(hydroxymethyl)-6,7-dimethoxy-4-(3,4-methylenedioxyphenyl)-2-naphthoic acid γ-lactone, has shown good selective antitumor effects against the human lung cancer cell lines H-125M, with inhibition zone units equal to 700 [109]. Lastly, its lignans justicidin A, justicidin B, tuberculatin, and acetyl-tuberculatin possess strong cytotoxic effects against A375 cancer cell lines with GI50 values equal to 25, 17, 3, and 3 μM, respectively [110]. Unfortunately, it is quite important to highlight that the species is severely threatened and is at the verge of extinction in some countries [142].
3.7. Other Species
The lignan diphyllin, isolated from H. bucharicum, exhibited strong antileishmanial activity, especially against intracellular amastigote forms (IC50 = 0.2 μM), while it did not show remarkable activity against the promastigote forms (IC50 = 14.4 μM). Moreover, it possesses moderate antiproliferative effects on human monocytes, with an IC50 value of 35.2 μM [143].
H. dauricum is employed mainly in Mongolia as an antitumor agent [144], especially because of its coumarin content [145]. In addition, one of its lignan components, daurinol, has shown remarkable cytotoxic properties (IC50 below 20 µM), being a potential catalytic inhibitor of topoisomerase IIα and acting at the S phase, thus not causing DNA or RNA damages [146,147].
H. leptomerum is used in Uzbekistan for its cytotoxic activities [148], mainly due to one of its constituents, the alkaloid dictamine, which is able to exhibit strong cytotoxic effects against the human cancer cell lines, e.g., HeLa and HCT-116, with IC50 values equal to 65.0 and 85.0 μM, respectively [81].
H. pedicellatum has shown to possess antimicrobial activity against Pseudomonas aeruginosa [129].
The lignan 1β-polygamain from H. ptilosyylum showed strong cytotoxic activity (IC50 = 111.7 pg/mL) against HIV-1 [95].
The infusion of H. robustum whole plant is frequently used in the Iranian northern region of Maraveh Tappeh against dermal wounds as a beverage, thus acting from the inside [149].
The ethanolic extract of H. stapfanum Hand.-Mazz. displayed high cytotoxic properties against RAMOS, U937, and LNCap-FGC-10 cancer cell lines (IC50 values are equal to 12.3, 15.6, and 28.3 µg/mL, respectively), as well as a moderate activity against the 5637 and MCF-7 cancer cell lines (IC50 values are equal to 23.3 and 92.6 µg/mL, respectively). These effects are thought to be due to its alkaloid content, but no precise phytochemical analysis has been conducted on this species up to present [125].
H. telephioides is used in some areas of Turkey to treat flu [150].
H. tenue ethanolic extract and EO showed high radical scavenging activity, with IC50 values equal to 103.88 and 101.98 pg/mL, respectively. In addition, the ethanolic extract showed strong antimicrobial activity against Clostridium perfringens (IC50 = 16 pg/mL) [151].
Lastly, the ethanolic extract of H. viridulum Soják from Iran displayed moderate cytotoxic activities against RAMOS and U937 cancer cell lines, with IC50 values of 48.3 and 79.0 µg/mL, respectively) [125].
4. Conclusions
In the current review paper, the literature data have been systematically reviewed and different aspects relating to the numerous Haplophyllum species have been discussed.
From a phytochemical point of view, a large number of bioactive natural compounds, both volatile and non-volatile, have been characterized. In addition, as discussed earlier, the ethnobotanical knowledge of Haplophyllum species is valuable, and these species are widely prescribed in the traditional medicine of many countries, in particular in the Middle East. The other aspect of Haplophyllum which deserves more attention is the growing interest to study the potential biological activities of its species. In this sense, Haplophyllum species, as well as their bioactive compounds, are able to exhibit many pharmacological activities, among which the cytotoxic, antiviral, antifungal and antimicrobial are the most important. However, it should be underlined that further investigations are still required to confirm the real therapeutic potentials of these species and to represent their remarkable phytochemical and biological potency. Summarizing, the tabulated and argued data in the current review paper can attract the attention of the scientific community towards the Haplophyllum species and prompt researchers in phytochemical, pharmaceutical, and related areas to design and develop more attempts on these valuable herbal plants.
Author Contributions
Conceptualization: M.M.; data collection: M.M., A.V. and C.F.; writing: M.M., A.V., C.F., M.S., A.B. and B.M. All authors have read and agreed to the published version of the manuscript.
Funding
This research received no external funding.
Institutional Review Board Statement
Not applicable.
Informed Consent Statement
Not applicable.
Conflicts of Interest
The authors declare no conflict of interest.
References
- Mohammadhosseini, M. The ethnobotanical, phytochemical and pharmacological properties and medicinal applications of essential oils and extracts of different Ziziphora species. Ind. Crop. Prod. 2017, 105, 164–192. [Google Scholar] [CrossRef]
- Mohammadhosseini, M.; Venditti, A.; Sarker, S.D.; Nahar, L.; Akbarzadeh, A. The genus Ferula: Ethnobotany, phytochemistry and bioactivities—A review. Ind. Crop. Prod. 2019, 129, 350–394. [Google Scholar] [CrossRef]
- Mohammadhosseini, M.; Frezza, C.; Venditti, A.; Akbarzadeh, A. Ethnobotany and phytochemistry of the genus Eremostachys Bunge. Curr. Org. Chem. 2019, 23, 1828–1842. [Google Scholar] [CrossRef]
- Frezza, C.; Venditti, A.; De Vita, D.; Toniolo, C.; Franceschin, M.; Ventrone, A.; Tomassini, L.; Foddai, S.; Guiso, M.; Nicoletti, M.; et al. Phytochemistry, chemotaxonomy, and biological activities of the Araucariaceae family—A review. Plants 2020, 9, 888. [Google Scholar] [CrossRef] [PubMed]
- The Plant List. Available online: www.theplantlist.org (accessed on 24 June 2021).
- Townsend, C. Taxonomic Revision of the Genus Haplophyllum (Rutaceae), Hooker’s Icones Plantarum; Bentham-Moxon Trust: Kent, UK, 1986. [Google Scholar]
- Salvo, G.; Manafzadeh, S.; Ghahremaninejad, F.; Tojibaev, K.; Zeltner, L.; Conti, E. Phylogeny, morphology, and biogeography of Haplophyllum (Rutaceae), a species-rich genus of the Irano-Turanian floristic region. Taxon 2011, 60, 513–527. [Google Scholar] [CrossRef]
- Prieto, J.M. Haplophyllum A. Juss, a rich source of bioactive natural principles. In Bioactive Compounds: Types, Biological Activities and Health Effects [Internet]; Bitterlich, A., Fischl, S., Eds.; Nova Science Publishers: New York, NY, USA, 2012; pp. 341–380. [Google Scholar]
- Nekoei, M.; Mohammadhosseini, M. Application of HS-SPME, SDME and cold-press coupled to GC/MS to analysis the essential oils of Citrus sinensis CV. Thomson Navel and QSRR study for prediction of retention indices by stepwise and genetic algorithm-multiple linear regression approaches. Anal. Chem. Lett. 2014, 4, 93–103. [Google Scholar] [CrossRef]
- Hashemi-Moghaddam, H.; Mohammadhosseini, M.; Azizi, Z. Impact of amine- and phenyl-functionalized magnetic nanoparticles impacts on microwave-assisted extraction of essential oils from root of Berberis integerrima Bunge. J. Appl. Res. Med. Aromat. Plants 2018, 10, 1–8. [Google Scholar] [CrossRef]
- Hashemi-Moghaddam, H.; Mohammadhosseini, M.; Salar, M. Chemical composition of the essential oils from the hulls of Pistacia vera L. by using magnetic nanoparticle-assisted microwave (MW) distillation: Comparison with routine MW and conventional hydrodistillation. Anal. Methods 2014, 6, 2572–2579. [Google Scholar] [CrossRef]
- Bakkali, F.; Averbeck, S.; Averbeck, D.; Idaomar, M. Biological effects of essential oils—A review. Food Chem. Toxicol. 2008, 46, 446–475. [Google Scholar] [CrossRef]
- Shaaban, H.A.; El-Ghorab, A.H.; Shibamoto, T. Bioactivity of essential oils and their volatile aroma components: Review. J. Essent. Oil Res. 2012, 24, 203–212. [Google Scholar] [CrossRef]
- Sánchez-González, L.; Vargas, M.; González-Martínez, C.; Chiralt, A.; Cháfer, M. Use of essential oils in bioactive edible coatings: A review. Food Eng. Rev. 2011, 3, 1–16. [Google Scholar] [CrossRef]
- Aljaafari, M.N.; AlAli, A.O.; Baqais, L.; Alqubaisy, M.; Al Ali, M.; Molouki, A.; Ong-Abdullah, J.; Abushelaibi, A.; Lai, K.-S.; Lim, S.E. An overview of the potential therapeutic applications of essential oils. Molecules 2021, 26, 628. [Google Scholar] [CrossRef]
- Asili, J.; Fard, M.R.; Ahi, A.; Emami, S.A. Chemical composition of the essential oil from aerial parts of Haplophyllum acutifolium (DC.) G. Don from Iran. J. Essent. Oil Bear. Plants 2011, 14, 201–207. [Google Scholar] [CrossRef]
- Azadi, B.; Khaef, S. Volatile constituents of Haplophyllum buhsei Boiss. flowering aerial parts. Bull. Chem. Soc. Ethiop. 2015, 29, 327–330. [Google Scholar] [CrossRef]
- Biniyaz, T.; Habibi, Z.; Masoudi, S.; Rustaiyan, A. Composition of the essential oils of Haplophyllum furfuraceum Bge. ex Boiss. and Haplophyllum virgatum spach. from Iran. J. Essent. Oil Res. 2007, 19, 49–51. [Google Scholar] [CrossRef]
- Bamoniri, A.; Mirjalili, B.B.F.; Mazoochi, A.; Naeimi, H.; Golchin, H.; Batooli, H. Study of the bioactive and fragrant constituents extracted from leaves and aerial parts of Haplophyllum glabrrimum Bge ex Bioss from central Iran by nano scale injection. Dig. J. Nanomater. Biostruct. 2010, 5, 169–172. [Google Scholar]
- Azadi, B.; Khaef, S. The essential oil composition of Haplophyllum laeviusculum C. C. Towns. aerial parts. J. Chem. Pharm. Res. 2014, 6, 1002–1005. [Google Scholar]
- Javidnia, K.; Miri, R.; Soltani, M.; Varamini, P. Volatile constituents of two species of Haplophyllum a. Juss. from Iran [H. lissonotum C. Town. and H. buxbaumii (Poir.) G. Don. Subsp. Mesopotamicum (Boiss.) C. Town.]. J. Essent. Oil Res. 2009, 21, 48–51. [Google Scholar] [CrossRef]
- Ünver-Somer, N.; Kaya, G.I.; Sarikaya, B.; Önür, M.A.; Özdemir, C.; Demircispi-Sup, B.; Başer, K.H.C. Composition of the essential oil of endemic Haplophyllum megalanthum Bornm. from Turkey. Rec. Nat. Prod. 2012, 6, 80–83. [Google Scholar]
- Saglam, H.; Gozler, T.; Kivcak, B.; Demirci, B.; Baser, K.H.C. Volatile compounds from Haplophyllum myrtifolium. Chem. Nat. Compd. 2001, 37, 442–444. [Google Scholar] [CrossRef]
- Saglam, H.; Gozler, T.; Kivcak, B.; Demirci, B.; Baser, K.H.C. Composition of the essential oil of Haplophyllum myrtifolium. Chem. Nat. Compd. 2001, 37, 439–441. [Google Scholar] [CrossRef]
- Mohammadhosseini, M.; Nekoei, M.; Mashayekhi, H.A.; Aboli, J. Chemical composition of the essential oil from flowers, leaves and stems of Haplophyllum perforatum by using head space solid phase microextraction. J. Essent. Oil Bear. Plants 2012, 15, 506–515. [Google Scholar] [CrossRef]
- Masoudi, S.; Rustaiyan, A.; Azar, P.A. Essential oil of Haplophyllum robustum Bge. from Iran. J. Essent. Oil Res. 2004, 16, 548–549. [Google Scholar] [CrossRef]
- Gholivand, M.B.; Rahimi-Nasrabadiab, M.; Batoolic, H.; Samimid, H. Chemical composition and antioxidant activity of the essential oil and various extracts of Haplophyllum robustum Bge. Nat. Prod. Res. 2012, 26, 883–891. [Google Scholar] [CrossRef] [PubMed]
- Bamonieri, A.; Safaei-Ghomi, J.; Asadi, H.; Batooli, H.; Masoudi, S.; Rustaiyan, A. Essential oils from leaves, stems, flowers and fruits of Haplophyllum robustum Bge. (Rutaceae) grown in Iran. J. Essent. Oil Res. 2006, 18, 379–380. [Google Scholar] [CrossRef]
- Rahimi-Nasrabadi, M.; Gholivand, M.B.; Batooli, H. Chemical composition of the essential oil from leaves and flowering aerial parts of Haplophyllum robustum Bge. (Rutaceae). Dig. J. Nanomater. Biostruct. 2009, 4, 819–822. [Google Scholar]
- Yari, M.; Masoudi, S.; Rustaiyan, A. Essential oil of Haplophyllum tuberculatum (Forssk.) A. Juss. grown wild in Iran. J. Essent. Oil Res. 2000, 12, 69–70. [Google Scholar] [CrossRef]
- Al Yousuf, M.H.; Bashir, A.K.; Veres, K.; Dobos, Á.; Nagy, G.; Máthé, I.; Blunden, G.; Vera, J.R. Essential oil of Haplophyllum tuberculatum (Forssk.) A. Juss. from the United Arab Emirates. J. Essent. Oil Res. 2005, 17, 519–521. [Google Scholar] [CrossRef]
- Al-Burtamani, S.K.S.; Fatope, M.O.; Marwah, R.G.; Onifade, A.K.; Al-Saidi, S.H. Chemical composition, antibacterial and antifungal activities of the essential oil of Haplophyllum tuberculatum from Oman. J. Ethnopharmacol. 2005, 96, 107–112. [Google Scholar] [CrossRef]
- Javidnia, K.; Miri, R.; Banani, A. Volatile oil constituents of Haplophyllum tuberculatum (Forssk.) A. Juss. (Rutaceae) from Iran. J. Essent. Oil Res. 2006, 18, 355–356. [Google Scholar] [CrossRef]
- Al-Rehaily, A.J.; Alqasoumi, S.I.; Yusufoglu, H.S.; Al-Yahya, M.A.; Demirci, B.; Tabanca, N.; Wedge, D.E.; Demirci, F.; Bernier, U.R.; Becnel, J.J.; et al. Chemical composition and biological activity of Haplophyllum tuberculatum Juss. essential oil. J. Essent. Oil Bear. Plants 2014, 17, 452–459. [Google Scholar] [CrossRef]
- Debouba, M.; Khemakhem, B.; Zouari, S.; Meskine, A.; Gouia, H. Chemical and biological activities of Haplophyllum tuberculatum organic extracts and essential oil. J. Essent. Oil Bear. Plants 2014, 17, 787–796. [Google Scholar] [CrossRef]
- Mechehoud, Y.; Chalard, P.; Figuérédo, G.; Marchioni, E.; Benayache, F.; Benayache, S. Chemical composition of the essential oil of Haplophyllum tuberculatum (Forssk.) L.A. Juss. from Algeria. Res. J. Pharm. Biol. Chem. Sci. 2014, 5, 1416–1419. [Google Scholar]
- Sabry, O.M.M.; Sayed, A.M.E.; Alshalmani, S.K. GC/MS analysis and potential cytotoxic activity of Haplophyllum tuberculatum essential oils against lung and liver cancer cells. Pharmacogn. J. 2016, 8, 66–69. [Google Scholar] [CrossRef]
- Hamdi, A.; Majouli, K.; Vander Heyden, Y.; Flamini, G.; Marzouk, Z. Phytotoxic activities of essential oils and hydrosols of Haplophyllum tuberculatum. Ind. Crop. Prod. 2017, 97, 440–447. [Google Scholar] [CrossRef]
- Karimi, F.; Yousefzadi, M.; Mirjalili, M.H.; Rahmani, N.; Zaeifi, M. Chemical composition of the essential oil of Haplophyllum virgatum var. virgatum from Iran. Chem. Nat. Compd. 2013, 49, 148–149. [Google Scholar] [CrossRef]
- Conti, B.; Canale, A.; Cioni, P.L.; Flamini, G.; Rifici, A. Hyptis suaveolens and Hyptis spicigera (Lamiaceae) essential oils: Qualitative analysis, contact toxicity and repellent activity against Sitophilus granarius (L.) (Coleoptera: Dryophthoridae). J. Pest. Sci. 2011, 84, 219–228. [Google Scholar] [CrossRef]
- Rouis, Z.; Laamari, A.; Abid, N.; Elaissi, A.; Cioni, P.L.; Flamini, G.; Aouni, M. Chemical composition and larvicidal activity of several essential oils from Hypericum species from Tunisia. Parasitol. Res. 2013, 112, 699–705. [Google Scholar] [CrossRef]
- Najar, B.; Cervelli, C.; Ferri, B.; Cioni, P.L.; Pistelli, L. Essential oils and volatile emission of eight South African species of Helichrysum grown in uniform environmental conditions. S. Afr. J. Bot. 2019, 124, 178–187. [Google Scholar] [CrossRef]
- Staerk, D.; Kesting, J.R.; Sairafianpour, M.; Witt, M.; Asili, J.; Emami, S.A.; Jaroszewski, J.W. Accelerated dereplication of crude extracts using HPLC-PDA-MS-SPE-NMR: Quinolinone alkaloids of Haplophyllum acutifolium. Phytochemistry 2009, 70, 1055–1061. [Google Scholar] [CrossRef]
- Razzakova, D.M.; Bessonova, I.A.; Yunusov, S.Y. Alkaloids of Haplophyllum acutifolium. Chem. Nat. Compd. 1975, 9, 199–202. [Google Scholar] [CrossRef]
- Sadikov, Y.J.; Hojimatov, M. Alkaloids of Haplophyllum acutifolium (DC) G. Don. Fil. Plant Resour. 1988, 24, 77–81. [Google Scholar]
- Ali, M.S.; Fatima, S.; Pervez, M.K. Haplotin: A new furanoquinoline from Haplophyllum acutifolium (Rutaceae). J. Chem. Soc. Pak. 2008, 30, 775–779. [Google Scholar]
- Ali, M.S.; Pervez, M.K.; Saleem, M.; Tareen, R.B. Haplophytin-A and B: The alkaloidal constituents of Haplophyllum acutifolium. Phytochemistry 2001, 57, 1277–1280. [Google Scholar] [CrossRef]
- Razzakova, D.M.; Bessonova, I.A.; Yunusov, S.Y. Eudesmin—A lignane from Haplophyllum acutifolium and H. perforatum. Chem. Nat. Compd. 1972, 8, 646–647. [Google Scholar] [CrossRef]
- Nesmelova, E.F.; Razakova, D.M.; Akhmedzhanova, V.I.; Bessonova, I.A. Diphyllin from Haplophyllum alberti-regelii, H. bucharicum, and H. perforatum. Chem. Nat. Compd. 1983, 19, 608. [Google Scholar] [CrossRef]
- Pavlović, D.R.; Zlatković, B.; Živanović, S.; Kitić, D.; Golubović, T. Serbian Rutaceae species: Comparison of chemical profiles and radical scavenging activity. Biol. Nyssana 2018, 9, 37–43. [Google Scholar]
- Bessonova, I.A. Components of Haplophyllum bucharicum. Chem. Nat. Compd. 2000, 36, 323–324. [Google Scholar] [CrossRef]
- Ubaidullaev, K.; Bessonova, I.A.; Yunusov, S.Y. Alkaloids of Haplophyllum pedicellatum, H. obtusifolium, and H. bucharicum. structure of bucharamine. Chem. Nat. Compd. 1974, 8, 337–339. [Google Scholar] [CrossRef]
- Fiot, J.; Jansen, O.; Akhmedjanova, V.; Angenot, L.; Balansard, G.; Ollivier, E. HPLC quantification of alkaloids from Haplophyllum extracts and comparison with their cytotoxic properties. Phytochem. Anal. 2006, 17, 365–369. [Google Scholar] [CrossRef]
- Bessonova, I.A.; Yunusov, S.Y. Alkaloids of Haplophyllum bungei. Chem. Nat. Compd. 1989, 25, 18–20. [Google Scholar] [CrossRef]
- Gashimov, N.F.; Orazmukhamedova, N.O. Coumarins of Haplophyllum bungei. Chem. Nat. Compd. 1979, 14, 563. [Google Scholar] [CrossRef]
- Abyshev, A.Z.; Gashimov, N.F. Coumarin composition of Haplophyllum bungei. Chem. Nat. Compd. 1982, 18, 615–616. [Google Scholar] [CrossRef]
- Varamini, P.; Javidnia, K.; Soltani, M.; Mehdipour, A.R.; Ghaderi, A. Cytotoxic activity and cell cycle analysis of quinoline alkaloids isolated from Haplophyllum canaliculatum Boiss. Planta Med. 2009, 75, 1509–1516. [Google Scholar] [CrossRef]
- Gözler, B.; Arar, G.; Gozler, T.; Hesse, M. Isodaurinol, an arylnaphthalene lignan from Haplophyllum cappadocicum. Phytochemistry 1992, 31, 2473–2475. [Google Scholar]
- Gözler, B.; Önür, M.A.; Gözler, T.; Kadan, G.; Hesse, M. Lignans and lignan glycosides from Haplophyllum cappadocicum. Phytochemistry 1994, 37, 1693–1698. [Google Scholar] [CrossRef]
- Gözler, B.; Gözler, T.; Saǧlam, H.; Hesse, M. Minor lignans from Haplophyllum cappadocicum. Phytochemistry 1996, 42, 689–693. [Google Scholar] [CrossRef]
- Arar, G.; Gözler, T.; Bashir, M.; Shamma, M. Malatyamine, a 4-quinolone alkaloid from Haplophyllum cappadocicum. J. Nat. Prod. 1985, 48, 642–643. [Google Scholar] [CrossRef]
- Batsurén, D.; Batirov, E.K.; Malikov, V.M. Coumarins of Haplophyllum dauricum. 5,7-Dihydroxycoumarin and its C-glucoside. Chem. Nat. Compd. 1982, 18, 616–617. [Google Scholar] [CrossRef]
- Batsurén, D.; Batirov, E.K.; Malikov, V.M.; Yagudaev, M.R. Structures of daurosides A and B—New acylated coumarin glycosides from Haplophyllum dauricum. Chem. Nat. Compd. 1983, 19, 134–138. [Google Scholar] [CrossRef]
- Vdovin, A.D.; Batsurén, D.; Batirov, É.K.; Yagudaev, M.R.; Malikov, V.M. 1H and 13C NMR spectra and the structure of a new coumarin, C-glycoside dauroside D, from Haplophyllum dauricum. Chem. Nat. Compd. 1983, 19, 413–416. [Google Scholar] [CrossRef]
- Batirov, E.K.; Batsurén, D.; Malikov, V.M. Components of Haplophyllum dauricum. Chem. Nat. Compd. 1984, 20, 226–227. [Google Scholar] [CrossRef]
- Bessonova, I.A.; Batsurén, D.; Yunusov, S.Y. Alkaloids of Haplophyllum dauricum. Chem. Nat. Compd. 1984, 20, 68–70. [Google Scholar] [CrossRef]
- Tikhomirova, L.I.; Pimenov, M.G.; Kuznetsova, T.A. Coumarins from Haplophyllum dzhungaricum and H. multicaule. Chem. Nat. Compd. 1975, 10, 403. [Google Scholar] [CrossRef]
- Yuldashev, M.P. Flavonoids and coumarins of Haplophyllum leptomerum and H. dubium. Chem. Nat. Compd. 2002, 38, 192–193. [Google Scholar] [CrossRef]
- Akhmedzhanova, V.I.; Bessonova, I.A.; Yunusov, S.Y. Alkaloids of Haplophyllum foliosum. Chem. Nat. Compd. 1980, 16, 574–576. [Google Scholar] [CrossRef]
- Akhmedzhanova, V.I.; Bessonova, I.A.; Yunusov, S.Y. Alkaloids of Haplophyllum foliosum. III. Structure of folidine. Chem. Nat. Compd. 1985, 21, 782–783. [Google Scholar] [CrossRef]
- Yuldashev, M.P. Flavonoids of Haplophyllum foliosum and H. pedicellatum. Chem. Nat. Compd. 2001, 37, 288–289. [Google Scholar] [CrossRef]
- Aynehchi, Y.; Salehi Sormaghi, M.; Amin, G.; Soltani, A.; Qumehr, N. Survey of Iranian plants for saponins, alkaloids, flavonoids and tannins. II. Int. J. Crude Drug Res. 1982, 20, 61–70. [Google Scholar] [CrossRef]
- Kodirova, D.R.; Rasulova, K.A.; Abdullaev, N.D.; Bobakulov, K.M. Alkaloids from the plant Haplophyllum griffithianum. Chem. Nat. Compd. 2011, 47, 856–857. [Google Scholar] [CrossRef]
- Kodirova, D.R.; Rasulova, K.A.; Turgunov, K.K.; Tashkhodzhaev, B.; Bobakulov, K.M.; Abdullaev, N.D. Gerphytine, a new furanoquinoline alkaloid from Haplophyllum griffithianum. Chem. Nat. Compd. 2011, 47, 773–776. [Google Scholar] [CrossRef]
- Rasulova, K.A.; Kodirova, D.R.; Bobakulov, K.M.; Abdullaev, N.D. Griffithine, a new furanoquinolone alkaloid from: Haplophyllum griffithianum. Chem. Nat. Compd. 2015, 51, 743–745. [Google Scholar] [CrossRef]
- Kodirova, D.R.; Rasulova, K.A.; Sagdullaev, S.S.; Aisa, H.A. Haplophyllum griffithianum as a source of quinoline alkaloids. Chem. Nat. Compd. 2018, 54, 213–214. [Google Scholar] [CrossRef]
- Isaev, Y.I.; Bessenova, I.A. Alkaloids of Haplophyllum schelkovnikovii, H. villosum, H. tenue and H. kowalenskyi. Chem. Nat. Compd. 1974, 6, 815. [Google Scholar] [CrossRef]
- Nesmelova, E.F.; Bessonova, I.A.; Yunusov, S.Y. Alkaloids of Haplophyllum latifolium the structure and synthesis of haplamide and haplamidine. Chem. Nat. Compd. 1978, 14, 637–639. [Google Scholar] [CrossRef]
- Nesmelova, E.F.; Bessonova, I.A.; Yunusov, S.Y. Alkaloids of Haplophyllum latifolium the structure of haplatine. Chem. Nat. Compd. 1978, 14, 645–650. [Google Scholar] [CrossRef]
- Akhmedzhanova, V.I.; Bessonova, I.A.; Yunusov, S.Y. Alkaloids of Haplophyllum leptomerum. I. The structure of leptomerine. Chem. Nat. Compd. 1986, 22, 78–79. [Google Scholar] [CrossRef]
- Akhmedzhanova, V.I.; Angenot, L.; Shakirov, R.S. Alkaloids from Haplophyllum leptomerum. Chem. Nat. Compd. 2010, 46, 502–503. [Google Scholar] [CrossRef]
- Saǧlam, H.; Gözler, T.; Gözler, B. A new prenylated arylnaphthalene lignan from Haplophyllum myrtifolium. Fitoterapia 2003, 74, 564–569. [Google Scholar] [CrossRef]
- Evcim, U.; Gozler, B.; Freyer, A.J.; Shamma, M. Haplomyrtin and (-)-haplomyrfolin: Two lignans from Haplophyllum myrtifolium. Phytochemistry 1986, 25, 1949–1951. [Google Scholar] [CrossRef]
- Kuznetsova, G.A.; Gashimov, N.F. The structure of a new coumarin from Haplophyllum pedicellatum. Chem. Nat. Compd. 1974, 8, 649. [Google Scholar] [CrossRef]
- Rasulova, K.A.; Bessonova, I.A. Alkaloids of Haplophyllum perforatum. Chem. Nat. Compd. 1995, 31, 487–488. [Google Scholar] [CrossRef]
- Bessonova, I.A. Acetylhaplophyllidine, A new alkaloid from Haplophyllum perforatum. Chem. Nat. Compd. 1999, 35, 589–590. [Google Scholar] [CrossRef]
- Razakova, D.M.; Bessonova, I.A.; Abdullaeva, K.A.; Yunusov, S.Y. Components of Haplophyllum perforatum. Chem. Nat. Compd. 1983, 19, 377–378. [Google Scholar] [CrossRef]
- Rasulova, K.A.; Bessonova, I.A.; Yagudaev, M.R.; Yunusov, S.Y. Haplosinine—A new furanoquinoline glycoalkaloid from Haplophyllum perforatum. Chem. Nat. Compd. 1987, 23, 731–734. [Google Scholar] [CrossRef]
- Abdullaeva, K.A.; Bessonova, I.A.; Yunusov, S.Y. Alkaloids of Haplophyllum perforatum. II. Chem. Nat. Compd. 1978, 14, 179–182. [Google Scholar] [CrossRef]
- Rasulova, K.A.; Bessonova, I.A. Alkaloids of Haplophyllum perforatum. Chem. Nat. Compd. 1992, 28, 214–216. [Google Scholar] [CrossRef]
- Yuldashev, M.P.; Batirov, E.K.; Malikov, V.M. Coumarin glycosides of Haplophyllum perforatum. Chem. Nat. Compd. 1980, 16, 125–128. [Google Scholar] [CrossRef]
- Batirov, E.K.; Malikov, V.M. Haploside A—A new acylated flavonol glycoside from Haplophyllum perforatum. Chem. Nat. Compd. 1980, 16, 242–245. [Google Scholar] [CrossRef]
- Batirov, E.K.; Yuldashev, M.P.; Khushbatkova, Z.A.; Syrov, V.N.; Malikov, V.M. Flavonoids of Haplophyllum perforatum. Structure and hypoazotemic activity of haploside C. Chem. Nat. Compd. 1987, 23, 54–57. [Google Scholar] [CrossRef]
- Yuldashev, M.P.; Batirov, E.K.; Malikov, V.M. Flavonoids of Haplophyllum perforatum. New glycosides of limocitrin. Chem. Nat. Compd. 1985, 21, 179–182. [Google Scholar] [CrossRef]
- Ulubelen, A.; Gil, R.R.; Cordell, G.A.; Meriçli, A.H.; Meriçli, F. Cytotoxic lignans from Haplophyllum species. Pure Appl. Chem. 1994, 66, 2379–2382. [Google Scholar] [CrossRef]
- Ulubelen, A.; Meriçli, A.H.; Meriçli, F.; Kaya, Ü. An alkaloid and lignans from Haplophyllum telephioides. Phytochemistry 1994, 35, 1600–1601. [Google Scholar] [CrossRef]
- Ulubelen, A.; Mericli, A.H.; Mericli, F.; Sonmez, U.; Ilarslan, R. Alkaloids and coumarins from Haplophyllum thesioides. Nat. Prod. Lett. 1993, 1, 269–272. [Google Scholar] [CrossRef]
- Bessonova, I.A.; Kurbanov, D.; Yunusov, S.Y. Components of Haplophyllum ramosissimum. Chem. Nat. Compd. 1989, 25, 39–40. [Google Scholar] [CrossRef]
- Abyshev, A.Z.; Denisenko, P.P.; Isaev, N.Y.; Kerimov, Y.B. Coumarins of Haplophyllum schelkovnikovii. Chem. Nat. Compd. 1979, 14, 564–565. [Google Scholar] [CrossRef]
- Cantrell, C.L.; Schrader, K.K.; Mamonov, L.K.; Sitpaeva, G.T.; Kustova, T.S.; Dunbar, C.; Wedge, D.E. Isolation and identification of antifungal and antialgal alkaloids from Haplophyllum sieversii. J. Agric. Food Chem. 2005, 53, 7741–7748. [Google Scholar] [CrossRef] [PubMed]
- Al-Shamma, A.; Al-Douri, N.A.; Phillipson, J.D. Alkaloids of Haplophyllum tuberculatum from Iraq. Phytochemistry 1979, 18, 1417–1419. [Google Scholar] [CrossRef]
- Lavie, D.; Danieli, N.; Weitman, R.; Glotter, E.J.T. A new quinolone type alkaloid from Haplophylum tuberculatum (Rutaceae). Tetrahedron 1968, 24, 3011–3018. [Google Scholar] [CrossRef]
- Al-Yahya, M.A.; El-Domiaty, M.M.; Al-Meshal, I.A.; Al-Said, M.S.; El-Feraly, F.S. (+)-Dihydroperfamine: An alkaloid from Haplophyllum tuberculatum. Int. J. Pharm. 1991, 29, 268–272. [Google Scholar] [CrossRef]
- McPhail, A.T.; McPhail, D.R.; Al-Said, M.S.; El-Domiaty, M.M.; El-Feraly, F.S. Revision of the stereochemistry of (+)-tuberine, an alkaloid from Haplophyllum tuberculatum. Phytochemistry 1990, 29, 3055–3057. [Google Scholar] [CrossRef]
- Sheriha, M.G.; Abou Amer, M.K. Lignans of Haplophyllum tuberculatum. Phytochemistry 1984, 23, 151–153. [Google Scholar] [CrossRef]
- Khalid, S.A.; Waterman, P.G. Alkaloid, lignan and flavonoid constituents of Haplophyllum tuberculatum from Sudan. Planta Med. 1981, 43, 148–152. [Google Scholar] [CrossRef]
- Al-Rehaily, A.J.; Al-Howiriny, T.A.; Ahmad, M.S.; Al-Yahya, M.A.; El-Feraly, F.S.; Hufford, C.D.; McPhail, A.T. Alkaloids from Haplophyllum tuberculatum. Phytochemistry 2001, 57, 597–602. [Google Scholar] [CrossRef]
- Ali, A.-S.; Ekbal, A.-K.; Enas, J.; Diar, A. Qualitative and quantitative investigations of furocoumarin derivatives (psoralens) of Haplophyllum tuberculatum (Rutaceae). AJPS 2005, 2, 24–36. [Google Scholar]
- Youssef, D. Lignans from the aerial parts of Haplophyllum tuberculatum (Forssk) A. Juss. Bull. Pharm. Sci. Assiut Univer. 2005, 28, 261–267. [Google Scholar] [CrossRef][Green Version]
- Al-Qathama, A.; Gibbons, S.; Prieto, J.M. Differential modulation of Bax/Bcl-2 ratio and onset of caspase-3/7 activation induced by derivatives of Justicidin B in human melanoma cells A375. Oncotarget 2017, 8, 95999–96012. [Google Scholar] [CrossRef] [PubMed]
- Gözler, B.; Rentsch, D.; Gözler, T.; Ünver, N.; Hesse, M. Lignans, alkaloids and coumarins from Haplophyllum vulcanicum. Phytochemistry 1996, 42, 695–699. [Google Scholar] [CrossRef]
- Gözler, T.; Gözler, B.; Linden, A.; Hesse, M. Vulcanine, a β-carboline alkaloid from Haplophyllum vulcanicum. Phytochemistry 1996, 43, 1425–1426. [Google Scholar] [CrossRef]
- Gözler, T.; Gözler, B.; Patra, A.; Leet, J.E.; Freyer, A.J.; Shamma, M. Konyanin: A new lignan from Haplophyllum vulcaniclm. Tetrahedron 1984, 40, 1145–1150. [Google Scholar] [CrossRef]
- Waterman, P.G. Alkaloids of the rutaceae: Their distribution and systematic significance. Biochem. Syst. Ecol. 1975, 3, 149–180. [Google Scholar] [CrossRef]
- Gray, A.I.; Waterman, P.G. Coumarins in the Rutaceae. Phytochemistry 1978, 17, 845–864. [Google Scholar] [CrossRef]
- Tomas-Barberan, F.A.; Gil, M.I.; Ferreres, F.; Tomaslorente, F. Flavonoid p-coumaroylglucosides and 8-hydroxyflavone allosylglucosides in some Labiatae. Phytochemistry 1992, 31, 3097–3102. [Google Scholar] [CrossRef]
- Venditti, A.; Bianco, A.; Frezza, C.; Serafini, M.; Giacomello, G.; Giuliani, C.; Bramucci, M.; Quassinti, L.; Lupidi, G.; Lucarini, D.; et al. Secondary metabolites, glandular trichomes and biological activity of Sideritis montana L. subsp. montana from Central Italy. Chem. Biodivers. 2016, 13, 1380–1390. [Google Scholar] [CrossRef]
- Venditti, A.; Bianco, A.; Maggi, F.; Nicoletti, M. Polar constituents composition of endemic Sideritis italica (MILL.) GREUTER et BURTER from Central Italy. Nat. Prod. Res. 2013, 27, 1408–1412. [Google Scholar] [CrossRef]
- Venditti, A.; Bianco, A.; Nicoletti, M.; Quassinti, L.; Bramucci, M.; Lupidi, G.; Vitali, L.A.; Papa, F.; Vittori, S.; Petrelli, D.; et al. Characterization of secondary metabolites, biological activity and glandular trichomes of Stachys tymphaea Hausskn. from the Monti Sibillini National Park (Central Apennines, Italy). Chem. Biodivers. 2014, 11, 245–261. [Google Scholar] [CrossRef]
- Venditti, A.; Frezza, C.; Maggi, F.; Lupidi, G.; Bramucci, M.; Quassinti, L.; Giuliani, C.; Cianfaglione, K.; Papa, F.; Serafini, M.; et al. Phytochemistry, micromorphology and bioactivities of Ajuga chamaepitys (L.) Schreb. (Lamiaceae, Ajugoideae): Two new harpagide derivatives and an unusual iridoid glycosides pattern. Fitoterapia 2016, 113, 35–43. [Google Scholar] [CrossRef] [PubMed]
- Venditti, A.; Serrilli, A.M.; Bianco, A. A new flavonoid and other polar compounds from Galeopsis angustifolia Ehrh. ex Hoffm. Nat. Prod. Res. 2013, 27, 412–416. [Google Scholar] [CrossRef]
- Frezza, C.; Venditti, A.; Serafini, M.; Bianco, A. Phytochemistry, chemotaxonomy, ethnopharmacology, and nutraceutics of Lamiaceae. Stud. Nat. Prod. Chem. 2019, 62, 125–178. [Google Scholar]
- Frezza, C.; Venditti, A.; Toniolo, C.; De Vita, D.; Serafini, I.; Ciccòla, A.; Franceschin, M.; Ventrone, A.; Tomassini, L.; Foddai, S.; et al. Pedicularis L. genus: Systematics, botany, phytochemistry, chemotaxonomy, ethnopharmacology, and other. Plants 2019, 8, 306. [Google Scholar] [CrossRef]
- Ghorbani, A. Studies on pharmaceutical ethnobotany in the region of Turkmen Sahra, north of Iran:(Part 1): General results. J. Ethnopharmacol. 2005, 102, 58–68. [Google Scholar] [CrossRef] [PubMed]
- Varamini, P.; Doroudchi, M.; Mohagheghzadeh, A.; Soltani, M.; Ghaderi, A. Cytotoxic evaluation of four Haplophyllum species with various tumor cell lines. Pharm. Biol. 2007, 45, 299–302. [Google Scholar] [CrossRef]
- Esmaeili, S.; Hamzeloo-Moghadam, M.; Ghaffari, S.; Mosaddegh, M. Cytotoxic activity screening of some medicinal plants from south of Iran. Res. J. Pharmacogn. 2014, 1, 19–25. [Google Scholar]
- Östan, I.; Saǧlam, H.; Limoncu, M.E.; Ertabaklar, H.; Toz, S.Ö.; Özbel, Y.; Özbilgin, A. In vitro and in vivo activities of Haplophyllum myrtifolium against Leishmania tropica. New Microbiol. 2017, 30, 439–445. [Google Scholar]
- Zengin, G.; Sarikurkcu, C.; Aktumsek, A.; Ceylan, R.; Ceylan, O. A comprehensive study on phytochemical characterization of Haplophyllum myrtifolium Boiss. endemic to Turkey and its inhibitory potential against key enzymes involved in Alzheimer, skin diseases and type II diabetes. Ind. Crop. Prod. 2014, 53, 244–251. [Google Scholar] [CrossRef]
- Bazzaz, B.; Haririzadeh, G. Screening of Iranian plants for antimicrobial activity. Pharm. Biol. 2003, 41, 573–583. [Google Scholar] [CrossRef]
- Ahmadipour, S.; Mohsenzadeh, A.; Ahmadipour, S.; Eftekhari, Z.; Tajeddini, P. Ethnobotanical identification of medicinal plants effective on toothache in Shiraz, South Iran. Pharm. Lett. 2015, 7, 419–426. [Google Scholar]
- Bahraminejad, S.; Amiri, R.; Abbasi, S. Anti-fungal properties of 43 plant species against Alternaria solani and Botrytis cinerea. Arch. Phytopathol. Plant. Protect. 2015, 48, 336–344. [Google Scholar] [CrossRef]
- Sadritdinov, F.S.; Кurmukov, А.G. Farmakologiya rastitelnikh alkaloidov i ikh primenenie v medizine [Pharmacology of Plant Alkaloids and Their Use in Medicine]; Medizina: Тashkent, Uzbekistan, 1980; 310p. (In Russian) [Google Scholar]
- Al-Yahya, M.A.; Al-Rehaily, A.J.; Ahmad, M.S.; Al-Said, M.S.; El-Feraly, F.S.; Hufford, C.D. New alkaloids from Haplophyllum tuberculatum. J. Nat. Prod. 1992, 55, 899–903. [Google Scholar] [CrossRef]
- Ulubelen, A.; Öztürk, M. Alkaloids, coumarins and lignans from Haplophyllum species. Rec. Nat. Prod. 2008, 2, 54–69. [Google Scholar]
- Ali, M.B.; Mohamed, A.H.; Bashir, A.K.; Salih, A.M. Pharmacological investigation of Haplophyllum tuberculatum. Int. J. Pharm. 1992, 30, 39–45. [Google Scholar]
- Raissi, A.; Arbabi, M.; Roustakhiz, J.; Hosseini, M. Haplophyllum tuberculatum: An overview. J. HerbMed Pharmacol. 2016, 5, 125–130. [Google Scholar]
- Hadjadj, S.; Bayoussef, Z.; El Hadj-Khelil, A.O.; Beggat, H.; Bouhafs, Z.; Boukaka, Y.; Khaldi, I.A.; Mimouni, S.; Sayah, F.; Tey, M. Ethnobotanical study and phytochemical screening of six medicinal plants used in traditional medicine in the Northeastern Sahara of Algeria (area of Ouargla). J. Med. Plants Res. 2015, 9, 1049–1059. [Google Scholar]
- Al-Snafi, A.E. Pharmacological importance of Haplophyllum species grown in Iraq—A review. IOSR J. Pharm. 2018, 8, 54–62. [Google Scholar]
- Batanouny, K.; Aboutabl, E.; Shabana, M.; Soliman, F. Plants of Potential Medicinal Value, Wild Medicinal Plants in Egypt; Academy of Scientific Research Technology, Egypt; The World Conservation Union: Gland, Switzerland, 1999; Available online: https://www.uicnmed.org/nabp/web/documents/book/medpreface.pdf (accessed on 24 June 2021).
- Tanira, M.; Ali, B.; Bashir, A.; Wasfi, I.; Chandranath, I. Evaluation of the relaxant activity of some United Arab Emirates plants on intestinal smooth muscle. J. Pharm. Pharmacol. 1996, 48, 545–550. [Google Scholar] [CrossRef] [PubMed]
- Gnan, S.O.; Sheriha, G. A research note antimicrobial activity of (+)-tuberine. J. Food Prot. 1986, 49, 340–341. [Google Scholar] [CrossRef] [PubMed]
- Bidak, L.; Heneidy, S.; Shaltout, K.; Al-Sodany, Y. Current status of the wild medicinal plants in the Western Mediterranean coastal region, Egypt. J. Ethnobiol. Ethnomed. 2013, 120, 566–584. [Google Scholar]
- Di Giorgio, C.; Delmas, F.; Akhmedjanova, V.; Ollivier, E.; Bessonova, I.; Riad, E.; Timon-David, P. In vitro antileishmanial activity of diphyllin isolated from Haplophyllum bucharicum. Planta Med. 2005, 71, 366–369. [Google Scholar] [CrossRef]
- Anonymous. World Health Organization: Medicinal Plants in Mongolia; WHO Regional Office for the Western Pacific: Manila, Philippines, 2013. [Google Scholar]
- Tsetlin, A.; Niconov, G.; Shvarev, I.; Pimenov, M. Antitumor activity of natural coumarins. J. Rastit. Resur. 1965, 1, 507. [Google Scholar]
- Kang, K.; Nho, C.W.; Kim, N.D.; Song, D.G.; Park, Y.G.; Kim, M.; Pan, C.H.; Shin, D.; Oh, S.H.; Oh, H.S. Daurinol, a catalytic inhibitor of topoisomerase IIα, suppresses SNU-840 ovarian cancer cell proliferation through cell cycle arrest in S phase. Int. J. Oncol. 2014, 45, 558–566. [Google Scholar] [CrossRef]
- Kang, K.; Oh, S.H.; Yun, J.H.; Jho, E.H.; Kang, J.H.; Batsuren, D.; Tunsag, J.; Park, K.H.; Kim, M.; Nho, C.W. A novel topoisomerase inhibitor, daurinol, suppresses growth of HCT116 cells with low hematological toxicity compared to etoposide. Neoplasia 2011, 13, 1043–1057. [Google Scholar] [CrossRef] [PubMed]
- Egamberdieva, D.; Mamedov, N.; Ovidi, E.; Tiezzi, A.; Craker, L. Phytochemical and pharmacological properties of medicinal plants from Uzbekistan: A review. J. Med. Active Plants 2017, 5, 59–75. [Google Scholar]
- Mirdeilami, S.Z.; Barani, H.; Mazandarani, M.; Heshmati, G.A. Ethnopharmacological survey of medicinal plants in Maraveh Tappeh Region, North of Iran. Iran. J. Plant Physiol. 2011, 2, 327–338. [Google Scholar]
- Tekin, M.; Eruygur, N. The structural studies on the medicinal plant Haplophyllum telephioides. Braz. J. Pharmacogn. 2016, 26, 544–552. [Google Scholar] [CrossRef][Green Version]
- Eskandari, N.; Farjam, M.H.; Joukar, M. Comparative evaluation of antimicrobial and antioxidant activity of essential oil and ethanolic extract of Haplophyllum tenue Boiss and Dalbergia sissoo. Adv. Environ. Biol. 2014, 175–180. Available online: https://go.gale.com/ps/i.do?id=GALE%7CA417570467&sid=googleScholar&v=2.1&it=r&linkaccess=abs&issn=19950756&p=AONE&sw=w&userGroupName=anon%7E25701a74 (accessed on 24 June 2021).
Publisher’s Note: MDPI stays neutral with regard to jurisdictional claims in published maps and institutional affiliations. |
© 2021 by the authors. Licensee MDPI, Basel, Switzerland. This article is an open access article distributed under the terms and conditions of the Creative Commons Attribution (CC BY) license (https://creativecommons.org/licenses/by/4.0/).













