Abstract
The thermodynamic, kinetic, and structural properties of Ln3+ complexes with the bifunctional DO3A-ACE4− ligand and its amide derivative DO3A-BACE4− (modelling the case where DO3A-ACE4− ligand binds to vector molecules) have been studied in order to confirm the usefulness of the corresponding Gd3+ complexes as relaxation labels of targeted MRI contrast agents. The stability constants of the Mg2+ and Ca2+ complexes of DO3A-ACE4− and DO3A-BACE4− complexes are lower than for DOTA4− and DO3A3−, while the Zn2+ and Cu2+ complexes have similar and higher stability than for DOTA4− and DO3A3− complexes. The stability constants of the Ln(DO3A-BACE)− complexes increase from Ce3+ to Gd3+ but remain practically constant for the late Ln3+ ions (represented by Yb3+). The stability constants of the Ln(DO3A-ACE)4− and Ln(DO3A-BACE)4− complexes are several orders of magnitude lower than those of the corresponding DOTA4− and DO3A3− complexes. The formation rate of Eu(DO3A-ACE)− is one order of magnitude slower than for Eu(DOTA)−, due to the presence of the protonated amine group, which destabilizes the protonated intermediate complex. This protonated group causes the Ln(DO3A-ACE)− complexes to dissociate several orders of magnitude faster than Ln(DOTA)− and its absence in the Ln(DO3A-BACE)− complexes results in inertness similar to Ln(DOTA)− (as judged by the rate constants of acid assisted dissociation). The 1H NMR spectra of the diamagnetic Y(DO3A-ACE)− and Y(DO3A-BACE)− reflect the slow dynamics at low temperatures of the intramolecular isomerization process between the SA pair of enantiomers, R-Λ(λλλλ) and S-Δ(δδδδ). The conformation of the Cα-substituted pendant arm is different in the two complexes, where the bulky substituent is further away from the macrocyclic ring in Y(DO3A-BACE)− than the amino group in Y(DO3A-ACE)− to minimize steric hindrance. The temperature dependence of the spectra reflects slower ring motions than pendant arms rearrangements in both complexes. Although losing some thermodynamic stability relative to Gd(DOTA)−, Gd(DO3A-BACE)− is still quite inert, indicating the usefulness of the bifunctional DO3A-ACE4− in the design of GBCAs and Ln3+-based tags for protein structural NMR analysis.
1. Introduction
The ultimate goal of modern diagnostic and molecular imaging techniques is the visualization of biological processes that occur at the cellular and molecular levels. Magnetic resonance imaging (MRI) is one of the most powerful clinical imaging tools available due to its superb spatial resolution and the capability of generating excellent soft tissue contrast using different mechanisms, the most common of which results from intrinsic differences in the relaxation times (T1,2) of tissue water protons. The contrast between normal and diseased tissues can be dramatically improved by the use of contrast agents (CAs), namely paramagnetic Gd3+-based complexes or superparamagnetic iron-oxide based nanoparticles (T1- and T2-shortening agents, respectively [1,2,3]. The Gd3+-based contrast agents (GBCAs) currently used in the clinics for T1-weighed imaging are anionic or neutral Gd3+ chelates of linear (DTPA-type) or macrocyclic (DOTA-type) poly(aminocarboxylate) ligands.
To ensure their safety, the GBCA complexes are endowed with high thermodynamic stability and kinetic inertness to prevent in vivo release of the highly toxic free metal ion. However, the recently recognized rare but severe medical condition known as nephrogenic systemic fibrosis (NSF) has been associated with the administration of GBCAs to patients with significant renal disease [4,5], leading to in vivo Gd3+ release which has been detected mostly as GdPO4 deposits by means of elemental bioimaging and speciation analysis [6]. Even more recently, residual gadolinium has been detected in brain structures of patients with normal renal function after repeated application of GBCAs [7,8,9]. Most NSF cases have been associated with the use of linear GBCAs, particularly the neutral Gd(DTPA-bis(amides)) [8]. Lower thermodynamic stability and increased kinetic lability, coupled with slow kidney clearance, result in extensive complex demetallation in vivo [10]. Macrocyclic GBCAs are considered safe due to their higher thermodynamic stability and kinetic inertness [11].
Ways to generate effective contrast at lower doses include efficacy optimization and targeting of the GBCAs to sites of interest. Relaxivity (r1,2), which is the paramagnetic enhancement of water proton relaxation rates R1,2 (R1,2 = 1/T1,2) normalized to 1 mM concentration, is a measure of CA efficacy. The simultaneous optimization of the molecular parameters governing relaxivity, namely the rotational correlation time (τR), the water exchange rate (kex = 1/τM), and the electronic relaxation parameters of the complexes should lead to very high relaxivities [2].The strategies for tuning τR and kex to an optimal range of values to obtain high relaxivities at intermediate fields relevant for clinical MRI have found some success [12,13]. Slower tumbling rates (longer τR) enhance the relaxivity at intermediate fields, which can be attained in different ways involving the increase of the molecular weight of the CA, its self-association or association with macromolecular or nanostructures [12,13]. Accelerating water exchange of GBCAs towards optimal kex values has been attained by enforcing steric compression around the water binding site on Gd3+ complexes with dissociatively activated exchange processes. This has been achieved by introduction of an extra methylene group between the amines of the ligands DOTA4− and DTPA5−, leading to chelators TRITA4− and EPTPA5−, respectively, whose Gd3+ chelates have kex values around two orders of magnitude higher than the parent Gd(DOTA)− and Gd(DTPA)2− [14,15,16]. Gd3+ complexes of ligands bearing a pendant propionate arm (DO3A-Nprop4−, DTTA-Nprop4−) have a moderate (one order of magnitude) water exchange acceleration in relation to Gd(DOTA)− and Gd(DTPA)2−, in the ideal range for attaining high relaxivities at medium (60–100 MHz) frequencies [17]. However, these structural changes of the DOTA4− and DTPA5− framework lead in some extent to loss of thermodynamic stability and kinetic inertness of the corresponding Gd3+ chelates [18,19].
Obtaining optimal targeted GBCAs involves designing bifunctional chelators endowed with conjugability and leading to Gd3+ chelates with high relaxivity, while maintaining high thermodynamic stability and kinetic inertness. We have recently reported the synthesis and in vitro and in vivo evaluation of Gd3+ complexes of the DO3A-N-(α-aminopropionate) chelator [20] and of some of its amide conjugates [21,22,23,24], (Scheme 1) as GBCAs for MRI, which have inspired other research groups [25]. The introduction of an amine group in the propionate pendant arm of DO3A-Nprop and its conjugation with various targeting model molecules did not affect the optimized kex value, leading to high r1 relaxivities at intermediate fields upon slowing down their tumbling rates via self-association or binding to gold nanoparticles, as well as efficient positive contrast in T1-weighted images of small animals [21,22,23,24]. Thus, in this work, we describe a detailed evaluation of the thermodynamic stability of the complexes of DO3A-N-(α-aminopropionate) (DO3A-ACE4−, H4DO3A-ACE = 1-(2-amino-carboxyethyl)-4,7,10-tris-(caboxymethyl)-1,4,7,10-tetraazacyclododecane) and of its benzoylamide conjugate (DO3A-BACE4−, H4DO3A-BACE = 1-(2-benzylamido-carboxyethyl)-4,7,10-tris-(caboxymethyl)-1,4,7,10-tetraazacyclodode cane) (Scheme 1) with essential metal ions (Mg2+, Ca2+, Cu2+, and Zn2+) and the lanthanide ions Ce3+, Gd3+, and Yb3+, as well as the formation kinetics of the Eu3+ complexes and the dissociation kinetics of the Ce3+ and Gd3+ complexes, using pH-potentiometry, 1H relaxometry, and UV-Vis spectrophotometry. The solution structures of the corresponding Y3+ complexes were also studied by 1H NMR. The results were compared with those published for DOTA4−, DO3A3−, DO3A-Nprop4− DO3A-AE3−, and TRITA4−.
Scheme 1.
Chemical structures of H4DO3A-ACE4−, H4DO3A-BACE4−, and related DTPA and DOTA-type ligands discussed in the text.
2. Results
2.1. Ligand Protonation Constants and Stability Constants of the Metal Complexes
The protonation constants of DO3A-ACE4− and DO3A-BACE4− were obtained by pH-potentiometric titrations performed in the pH range 1.80–11.85 at an ionic strength of 0.15 M NaCl and 25 °C (Figures S1 and S2). The protonation constants KiH, defined in Equation (1) and calculated from the titration data, are given in Table 1, where they are compared with values published for the other tetraazacyclododecane carboxylate ligands DOTA4−, DO3A3−, DO3A-N-prop4−, and that of DO3A-AE3−.
Table 1.
Protonation constants of DO3A-ACE4−, DO3A-BACE4−, DOTA4−, DO3A3−, and DO3A-Nprop4− at 25 °C.
In the case of DO3A-BACE4−, the protonation sequence of its basic sites is the same as for DOTA4−, DO3A3−, and DO3A-N-prop4−, namely the first two protonation steps occurring at two opposite amine nitrogen atoms of the macrocycle, followed by protonation of the carboxylate oxygens. The first two protonation constants are significantly lower than the corresponding values for the above ligands, possibly due to the weakening of the H-bond between a protonated ring nitrogen and the carboxylate group of its propionate side chain (which is responsible for the increased basicity of that nitrogen in those ligands) due to the steric hindrance of the bulky substituent at the neighboring amino group. In DO3A-ACE4−, there are three protonation constants, rather than two, in the 10.0–8.5 range, due to the presence of a primary amine at the propionate side chain. This range of values is compatible with the log KH of the amino group of alanine (9.87), as well as the log KH of the DO3A-AE3− free amino group (8.80) [32]. However, the protonation sequence of the first three basic sites cannot be established without the data from a proton NMR pH titration. The other two protonation constants are again significantly lower than the values for the DOTA-type ligands and DO3A-AE3− [32], indicating that the H-bond established between the protonated ring nitrogen and either the carboxylate group (as in DO3A-N-prop4−) [19] or the amino group (as in DO3A-AE3−) [32] is weakened by the steric hindrance of the other substituent. The last two protonation constants of DO3A-ACE4− are in agreement with the last three of DO3A-BACE4−, and correspond to protonation of unsubstituted acetate oxygens. The large decrease of the first protonation constant of the ring nitrogens in the two ligands may also partly be attributed to the non-corrected effect of Na+ present in the medium at 0.15 M concentration, i.e., the NaL complexes are in the fully deprotonated form, as observed before in the case of DOTA4− [29,31]. The decreased overall basicity of the two aminated ligands is reflected in the much lower values of the sum of the first four protonation constants (Σ log K4H) than for the other ligands shown in Table 1.
The stability constants, log KML, and the protonation constants, log KMHiL, of the complexes with several alkali earth, transition, and lanthanide metal ions (Equations (2) and (3)) are also determined by potentiometric titrations (Figures S1 and S2). They are listed and compared with the corresponding values for DOTA4−, DO3A3−, TRITA4−, and DO3A-Nprop4− in Table 2 and Table 3.
For the alkali earth and transition metal ions studied, the trend of decreasing complex stability is Cu2+ > Zn2+ > Ca2+ > Mg2+ for DO3A-ACE4− and DO3A-BACE4−, which remains the same as observed before for the complexes of DOTA4−, DO3A3−, DO3A-Nprop4−, and DO3A-AE3− (Table 2) [19,27,33,34,35,36,37]. While the Cu2+ and Mg2+ complexes of DO3A-BACE4− are more stable than those of DO3A-ACE4−, the opposite trend of stability constants was observed for Zn2+ and Ca2+, highlighting the inverse effect of a bulky neutral benzylamide substituent in the first ligand and the positively charged amino group in the second ligand on the relative stabilities of the two pairs of complexes. The Cu2+ coordination geometry of Cu(DOTA)2− in its X-ray crystal structure is distorted octahedral, with coordination of the four macrocyclic nitrogens and two carboxylate oxygens in trans position, with the other two carboxylates remaining uncoordinated [37]. It is interesting to notice that the Cu2+ complexes of the DO3A-ACE4− and DO3A-BACE4− ligands are seemingly one to two orders of magnitude more stable than the Cu(DOTA)2−. This effect is opposite to the strong destabilization effect of the propionate pendant arm in the Cu(DO3A-Nprop)4− complex [19]. However, it was found for numerous DOTA derivatives that the stability constants determined solely by pH-potentiometic titration, which appeared to be the standard procedure for determining stability constants of Cu2+ complexes, are underestimated, as the majority of the multiply protonated forms of these complexes are formed at 100% extent already near pH = 1.75, which is considered to be the lower limit for the pH-potentiometric method. The fitting of the pH-potentiometric data often returns some, seemingly reliable data as a result of multiple deprotonation steps occurring in the pH-range of 1.75–5.00. Stability constants, obtained by simultaneous fitting of the combined data obtained by multiple methods, return more reliable data and are now available for the Cu2+ complexes formed with DO3A3−, DOTA4−, and DO3A-AE3− systems (Table 2). By comparing our results based on the series of spectra shown in Figure 1 (data corresponding to the Cu(DO3A-BACE)2− complex are shown in Figure S3) with the stability data of DO3A3−, DOTA4−, and DO3A-AE3− complexes one can conclude that they follow the trend which can be predicted based on the basicity of the ligands (Table 1). To overcome the differences observed as a result of the use of different experimental setups (ionic strengths, basicity of the ligands, etc.) we have calculated the pCu values for the Cu2+ complexes which are also shown in Table 2. These data indicate that the Cu(DO3A-BACE)2− has the highest conditional stability among the systems and is compared in Table 2.
Figure 1.
Absorption spectra of the Cu2+–DO3A-ACE4−–H+ system ([HCl] + [NaCl] = 1.0 M; [Cu2+] = [DO3A-ACE4−] = 1.94 mM, l = 1 cm, 25 °C). The top figure shows the batch samples prepared in the acid concentration range of 15.8 to 631 mM, while the other one shows the spectra obtained in the pH range of pH = 1.43 to 11.51. The insert indicates the absorbance measured at 740 nm as a function of pH.
Table 2.
Stability constants of DO3A-ACE4−, DO3A-BACE4−, DOTA4−, DO3A3−, and DO3A-Nprop4− with the essential alkaline earth (Mg2+ and Ca2+) and transition metal (Cu2+ and Zn2+) ions (25 °C).
Table 2.
Stability constants of DO3A-ACE4−, DO3A-BACE4−, DOTA4−, DO3A3−, and DO3A-Nprop4− with the essential alkaline earth (Mg2+ and Ca2+) and transition metal (Cu2+ and Zn2+) ions (25 °C).
| DO3A-ACE4− a | DO3A-BACE4− a | DOTA4− | DO3A-Nprop4− g | DO3A-AE4−h | DO3A3− d | |
|---|---|---|---|---|---|---|
| log KCaL | 11.54 (5) | 10.29 (2) | 16.37 b, 17.23 c; 16.11 f | 12.61 | 14.00 | 11.74; 11.35 e; 12.57 f |
| log KCaL·H | 7.58 (3) | 5.00 (8) | 3.60 b; 3.54 c; - f | 5.63 | 7.44 | 4.60 f |
| log KCaHL·H | 5.97 (6) | - | 4.70 | - | - | |
| log KMgL | 7.99 (4) | 8.27 (2) a | 11.92 c; 11.43 f | 12.15 | - | 9.79 e; 11.64 f |
| log KMgL·H | 8.84 (3) | - | 4.09 c; - f | 6.93 | - | - |
| log KMgHL·H | 7.21 (5) | - | -c | 4.95 | - | - |
| log KZnL | 19.50 (5) | 17.48 (1) | 18.70 b; 21.10 c; 20.21 f | 17.91 | 21.45 | 19.26; 21.57 f |
| log KZnL·H | 6.87 (3) | 3.82 (1) | 5.33 b, 4.18 c; - f | 4.63 | 7.48 | 3.77, 3.47 f |
| log KZnHL·H | 3.68 (3) | 3.07 (1) | 3.96 b–f | 3.65 | 4.10 | 2.07 f |
| log KZnH2L·H | 3.14 (2) | 1.94 (3) | - | - | 2.14 | - |
| log KCuL | 23.47 (10) | 24.64 (10) | 22.72 b; 22.25 c; 24.83 f | 19.64 | 25.36 | 22.87, 25.75 f |
| log KCuL·H | 6.90 (7) | 3.31 (6) | 4.45 b; 3.78 c; - f | 4.42 | 7.35 | 3.2; 3.65 f |
| log KCuHL·H | 3.98 (4) | 3.13 (7) | 3.92 b; - f | 4.05 | 3.67 | 2.8; 1.69 f |
| log KCuH2L·H | 1.67 (4) | 1.10 (7) | - | - | 1.41 | - |
| pCu | 18.78 | 22.41 | 19.33 | 15.10 | 17.11 | 20.02 |
a I = 0.15 M NaCl the log KML·H constants shown correspond to the protonation constants of the complexes (log KML·H = [ML·H]/[ML][H+]), this work; b from Ref. [27], I = 0.1 M KCl; c Ref. [34], 25 °C, I = 0.1 M KNO3; d Ref. [33], I = 0.1 M Me4NCl; e Ref. [35], I = 0.1 M Me4NCl; f Ref. [36], I = 0.1 M KCl; g Ref. [19], I = 0.1 M KCl; h Ref. [32], I = 0.1 M KCl; pCu calculated by using the following conditions: cL = 10 μM, cCu = 1 μM, and pH = 7.4.
Table 3.
Stability constants of DO3A-ACE4−, DO3A-BACE4−, DOTA4−, DO3A3−, and DO3A-Nprop4− with some Ln3+ ions (25 °C).
Table 3.
Stability constants of DO3A-ACE4−, DO3A-BACE4−, DOTA4−, DO3A3−, and DO3A-Nprop4− with some Ln3+ ions (25 °C).
| DO3A-ACE4− | DO3A-BACE4− | DOTA4− | DO3A-Nprop4− | DO3A-AE3−, k | DO3A3− | |
|---|---|---|---|---|---|---|
| log KCeL | 18.13 (9) b | 16.99 (17) a; 17.11 (3) b | 23.4 d; 21.6 f; 24.6 g | - | 20.23 (La3+) | 19.7l; 18.63 (La3+) m |
| log KCeL·H | 6.23 (07) b | - | 1.9 g | - | 6.64 (La3+) | 1.25 l |
| log KGdL | 19.02 (5) c | 17.87 (6) a; 18.20 (5) c | 24.7 d; 25.3 e; 23.6 f; 24.0 h; 21.1 i | 17.91(Zn2+) j | 22.40 | 21.0 l; 21.56 m; 19.05 n |
| log KGdL·H | 8.03 (3) c | 3.18 (6) a | 2.3 h | - | 5.91 | 2.06 l |
| log KYbL | - | 18.07 (4) a | 25.0 d; 24.0 f; 26.4 g | - | 22.09 (Lu3+) | 21.44 (Lu3+) m |
| log KYbL·H | - | 3.22 (3) a | 1.5 g | - | 6.53 (Lu3+) | - |
a This work, I = 0.15 M NaCl, pH potentiometry the log KML·H constants shown correspond to the protonation constants of the complexes (log KLnL·H = [LnL·H]/[LnL][H+]); b this work, I = 0.15 M NaCl, UV-Vis; c this work, 0.15 M NaCl, relaxometry; d Ref. [38], I = 0.1 M KCl, UV-Vis; e Ref. [31], I = 0.1 M Me4NCl, UV-Vis; f Ref. [39], I = 1.0 M NaCl, UV-Vis (37 °C); g Ref. [26], I = 0.1 M Et4NCl, 25 °C ; h Ref. [35], I = 0.1 M Me4NCl; i Ref. [40], I = 1.0 M NaCl, kinetics (UV-Vis, 153Gd radiotracer); j shown as an indicator data, as the stability of Ln(DO3A-Nprop)− complexes were not evaluated in Ref. [19]; k Ref. [32], I = 0.1 M KCl; l Ref. [41], I = 0.1 M Me4NCl, UV-Vis; m Ref. [36], 25 °C, I = 0.1 M KCl; n Ref. [42], I = 0.15 M NaCl.
The stability of the Zn2+ complex of DO3A-BACE4− is between that of DOTA4− and DO3A-Nprop4−, which is only slightly more stable than that of DO3A-ACE4−. In contrast, the Ca2+ and Mg2+ complexes of DO3A-ACE4− and DO3A-BACE4− are much less stable than those of DOTA4− and DO3A-Nprop4−.
These complexes of DO3A-ACE4− and DO3A-BACE4− undergo one or more protonation steps, whose constants are also shown in Table 2. The complexes of DO3A-ACE4− with the four divalent cations studied have a quite high first protonation constant (in the range of 6.87 to 8.84), which can be associated to protonation of the free primary amino group present in the ligand. Such a high protonation constant is not present in the complexes of DO3A-BACE4−, as well as of DOTA4−, DO3A-Nprop4−, and DO3A3−. The Cu2+ and Zn2+ complexes show two protonation constants in the range of 1.7 to 4.4, which can be assigned to protonation of two free carboxylate oxygens in trans position, which were also observed in the DOTA4− and DO3A-Nprop4− complexes.
The stability constants of the complexes of the DO3A-ACE4− and DO3A-BACE4− ligands with the lanthanide(III) ions Ce3+, Gd3+, and Yb3+ are obtained by potentiometric titrations. The stability constants of the Ce3+ and Gd3+ complexes are also obtained by UV-Vis spectrophotometry and water proton T1 relaxometry, respectively. Their values are listed in Table 3, and compared with the corresponding values available in the literature for the DOTA4−, DO3A3−, and DO3A-Nprop4− complexes [26,31,35,36,38,39,40,41,42]. The stability of the complexes with DO3A-ACE4− and DO3A-BACE4− increases as the Ln3+ ionic radius decreases along the lanthanide series, in accordance with the trend observed for DOTA4− and DO3A3−. The stability constants of the different ligands with the same Ln3+ ion (e.g., Gd3+) increase in the order DO3A-BACE4− ≈ DO3A-Nprop4− < DO3A-ACE4− < DO3A3− < DOTA4−, which does not obey the stability order expected from the increase of the ligand basicity expressed by the values of the sum of their first four protonation constants involving their macrocyclic N and carboxylate O atoms (Σ log KiH, i = 1–4, Table 1) [43], except for the relative values of DO3A3− < DOTA4−, which indicates the presence of steric effects in some of the complexes. The large decrease of the log K values of the DO3A-BACE4− and DO3A-ACE4− Gd3+ complexes relative to DOTA4− (and even DO3A3−) results, in part, from the lower stability of the six-membered chelate ring relative to a five-membered chelate ring formed between the Gd3+ and the propionate vs. the acetate pendant arm as observed before for DO3A-Nprop4− [19], which cause a larger destabilization of the complexes than the absence of one acetate pendant arm in Gd(DO3A). The presence of an α-amino group in the propionate arm in DO3A-ACE4− stabilizes the complex relative to DO3A-Nprop4−, but the α-benzylamide group has no adverse effect on the complex stability. Similar to the case of the complexes with alkaline earth and transition metal ions, there is a quite high protonation constant in the Ce(DO3A-ACE)− and Gd(DO3A-ACE)− complexes (6.23 and 8.03, respectively), associated with protonation of the free amino group of the ligand. This is much higher than the values for the Gd(DO3A-BACE)− (3.18), Gd(DO3A) (2.06), and Gd(DOTA)− (2.3) complexes, which likely correspond to protonation of carboxylate oxygens.
2.2. Formation Kinetics of Ln(DO3A-ACE)− Complexes
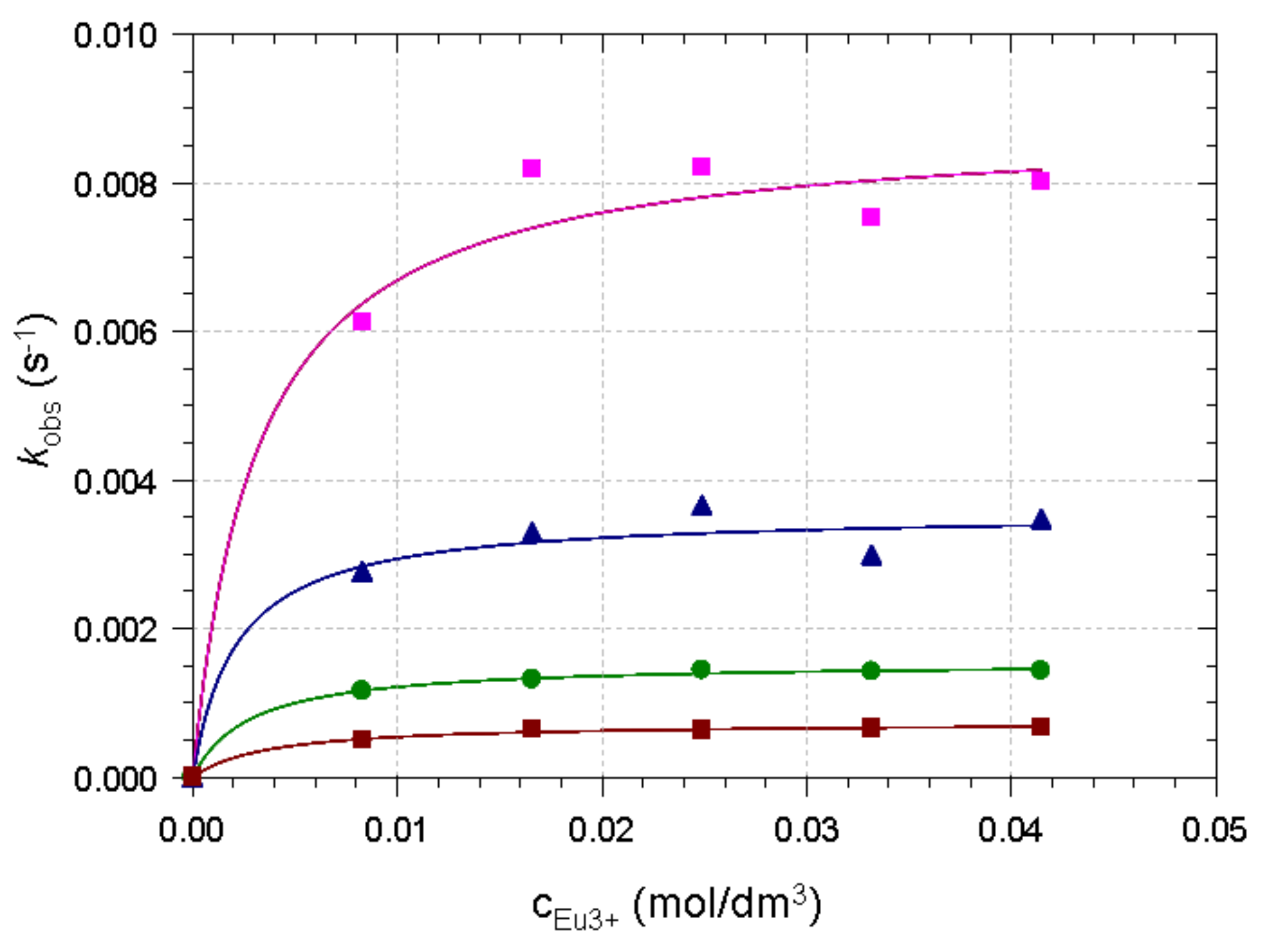
One of the ideas driving the design and synthesis of the DO3A-Nprop4− ligand is the fact that its Gd3+ complex possesses a considerably fast water exchange rate and this is expected to influence the formation rate of its Ln3+ complexes. In fact, the Gd(DO3A-Nprop)− complex is formed somewhat faster than the Gd3+ complex formed with the DOTA ligand, although the formation rate increases less than expected [19]. Thus, we have decided to look at the formation kinetics of the Eu(DO3A-ACE)− complex in order to obtain data on how the amine functionality affects the rate of formation of the Eu3+ chelate. In the pH range studied (4.51 to 5.41), the formation of the complex is slow enough to be followed using UV-Vis spectrophotometry by following changes in the Eu3+ charge transfer (CT) bands (broad “shoulder” between 240 and 305 nm). Λ = 255 nm is selected for these studies since, at this wavelength (Figure S4) the absorbance of Eu3+ and ligand are not significant and the Eu(DO3A-ACE)− complex is the only absorbing species.
In the presence of Eu3+ excess (pseudo-first-order conditions) the formation rate of the complex can be expressed according to Equation (1):
where [L]t is the total concentration of the free DO3A-ACE4− ligand and kobs is the pseudo-first-order rate constant. The formation reactions have been investigated at different pH values and Eu3+ concentrations. Plots of kobs values against metal concentration give saturation curves, for all Eu3+ and pH values used (Figure 2). Such a saturation behavior has been previously observed for other Ln3+ macrocyclic complexes, which is explained by the rapid formation of an intermediate that rearranges in a slow, rate determining step [18,19,44,45]. According to previous results on DOTA-type complexes, the intermediate is assumed to be triprotonated (evidenced in the absorption spectra of the Ce3+ complex as shown in Figure S5), two protons at the macrocyclic nitrogens and one at the primary amine of the ACE arm, H3L*, with a stability constant:
Figure 2.
Pseudo-first-order rate constants (kobs) as a function of the Eu3+ concentration (cEu3+) in the formation reaction of Eu(DO3A-ACE)−: pH = 5.41 (■); 4.82 (▲); 5.11 (●); 4.51 (■) (cL = 1.60 mM, 25 °C: 0.15 M NaCl). The solid lines represent the simultaneous fit of the data at all pH values to Equation (3).
As the concentration of the fully deprotonated and monoprotonated ligand (at the macrocyclic nitrogen) is practically zero at the pH values of the complex formation study, the value of kobs can be derived to be:
where kr is the rate constant of the deprotonation and rearrangement of the intermediate to the product and αH is the fraction of free L in H3L form [18,19,44,45].
The pseudo-first-order rate constants at the various pH values and metal concentrations (Figure 2) have been simultaneously fitted to Equation (3), and the rate constants, kr, and the stability constant of the intermediate, KLnH3L*, are calculated using the ligand protonation constants and kr is found to be 4.2 × 102 (s−1) (corresponding to log KLnH3L*, of 2.61 (0.08)) The given value is larger than those observed for Ln(DO2A)+ complexes (in the range of 1.98 (Ce3+)–1.60 (Yb3+)) or those formed with the DO2A2MnBu2− ligand possessing two acetate and two amide functionalities (2.66 (Ce3+); 2.47 (Eu3+) and 1.67 (Yb3+)) [46,47]. On the other hand, the given value is smaller than the corresponding values determined for the complexes of aminoethyl-DO3A (DO3A-AE3−) synthesized recently as pH responsive MRI CA candidates (4.91 (La3+), 4.89 (Gd3+) and 4.44 (Lu3+)) [32]. Based on these data, one can assume that at least two acetate pendant arms are involved in the coordination of the Eu3+ ion in the given intermediate. Very likely, the arm possessing the positively charged amine functionality remains uncoordinated in the intermediate complex.
In order to complete the reaction, the given intermediate must lose two protons and rearrange to the final complex through a general base catalyzed reaction (the catalyst is OH– or any other base present in the sample). The rate constants kf characterizing the formation rates of the Eu3+ complex at different pH values are presented in Figure 3 as a function of OH– concentration. The data in Figure 3 show that the kf rate constants are inversely proportional to the proton concentration and directly proportional to the OH– concentration, i.e., kf = k’/[H+] = kOH [OH–] (where kOH = k’/Kw). The linear increase of the formation rates of the complex with increasing OH– concentration suggests a OH– catalyzed deprotonation of the Ln(H3L) intermediate, but the interpretation of experimental data is somewhat more complicated. Detailed studies have shown that a dissociation equilibrium exists between the Ln(H3L) and Ln(H2L) intermediates (Ln(H3L) ⇌ Ln(H2L) + H+). It is well known from the literature [26] that the rate determining step of complexation is the loss of the proton from the monoprotonated intermediate. However, the concentration of the Ln(H3L) intermediate is directly proportional to 1/[H+] due to the dissociation equilibrium. The 1/[H+] dependence of the formation rates can be simply described as dependence on the OH– concentration, so the kOH rate constants can be conveniently used for comparison. This very simple rate law is similar to those observed for the complex formation reactions of a large variety of tetraazacyclododecane, as well as cyclotridecane macrocyclic ligand derivatives [19,43,48,49,50,51,52,53].
Figure 3.
Formation rate constants, kf (s−1), as a function of OH− concentration for the Eu(DO3A-ACE)− complex (25 °C).
The calculated kOH values are listed in Table 4, where some data for the formation of other DOTA derivative complexes are also shown for comparison. The data collected in Table 4 indicate that the replacement of an acetate pendant arm in DOTA4− by the 1-(2-amino-carboxyethyl) group results in a considerable (an order of magnitude) decrease in the formation rates of its Eu3+ complex, which is likely the result of the presence of protonated and thus positively charged amine functionality generating a greater repulsion between the ligand and positively charged Eu3+ ion. Similar results were found recently for aminoethyl-DO3A systems (DO3A-AE3− and DO3A-DMAE3−) synthesized as pH responsive T1-MRI CA candidates [34].
Table 4.
Rate constants kOH (M−1s−1) characterizing the formation of Eu3+ and/or Gd3+ macrocyclic complexes (25 °C).
2.3. Dissociation Kinetics of Ln3+ Complexes
The kinetic inertness of Ln3+ complexes is a very important factor of their in vivo safety. The main pathways, through which the decomposition of a LnL complex can occur, are shown in Scheme 2, which depend mainly on the structure of the ligand L and on the solution pH. The spontaneous dissociation path (shown in black in Scheme 2) is important at pH close to neutral, while at lower pH, proton-assisted pathways involving the formation of mono- and deprotonated complexes predominate (shown in red in Scheme 2). Pathways involving the catalysis by the most abundant endogenous metal ions, Cu2+ or Zn2+, can also occur, although they are less likely for the macrocyclic complexes, and the metal-assisted dissociation depends on the stability of dinuclear Gd(L)Cu or Gd(L)Zn complexes (shown in green in Scheme 2). Ligand exchange reactions (shown in blue in Scheme 2) usually do not contribute to dissociation of GdL complexes of macrocyclic ligands (since the formation of ternary complexes L´GdL is very unlikely) yet the given dissociation path was found to be important recently for Ln3+ complexes of DTPA and DTPA-bis(amide) derivatives. Moreover, hydroxide-assisted dissociation pathways (shown in lilac in Scheme 2)) do not contribute to the dissociation at neutral or slightly acidic pH values, whereas the given pathway adds an important contribution for Ga3+ complexes [2,18,19,45,54,55].
Scheme 2.
Possible dissociation pathways of Ln3+ complexes.
The kinetic inertness of the Ce3+ and Gd3+ complexes of DO3A-ACE4− and DO3A-BACE4− was evaluated at 25 °C through the study of their dissociation kinetics in acidic conditions, with a constant total ionic strength I (HCl + NaCl) = 1 M. The proton-assisted dissociation of the Ce3+ complexes was investigated by the UV-Vis method, while the same study for the Gd3+ complexes, as well as the exchange reaction of Gd(DO3A-BACE)− complex occurring with Zn2+, were carried out by water proton T1 relaxometry.
In the presence of a large excess of HCl, the complexes are thermodynamically unstable and dissociate completely. Under these conditions, the reaction occurs with a rate which is proportional to the total concentration of the LnL complex:
where kobs is the pseudo-first-order rate constant and [LnL]t is the total concentration of the complex (under the condition applied it is equal to [LnL] + [LnHL] + [LnH2L] + [LnLM], the last term applicable only for the metal exchange reactions). Figure 4 shows the dependence of dissociation rate constants (kobs) with [H+], obtained in the H+ ion concentration range of 0.025–0.25 M (for Ln(DO3A-ACE)−) and 0.1–1.0 M for Ln(DO3A-BACE)−). The plots of kobs as a function of proton concentration indicate that the Ln3+ complexes of DO3A-ACE4− undergo faster dissociation in acidic conditions than their DO3A-BACE4− counterparts. This can be rationalized by the presence of the amino group which protonates readily by forming quantitatively LnHL complexes below pH = 5.0 and likely contributes to the efficient transfer of these protons to the macrocyclic nitrogens required for the dissociation to occur. This, in fact, means that the parent compound, possessing the amine nitrogen required for bioconjugation purposes, is considerably less inert than the one (DO3A-BACE4−) modelling the coordination environment of the complex conjugated to a biological vector.
Figure 4.
Dependence of the dissociation rate constants (kobs) on the H+ concentration in the dissociation of Ce(DO3A-ACE)− (green), Gd(DO3A-ACE)− (blue), Ce(DO3A-BACE)− (light green), and Gd(DO3A-BACE)− (light blue). The lines correspond to the fit according to Equations (5) and (6).
The plots of kobs versus H+ concentration obtained for the Ln3+ complexes of DO3A-ACE4− and DO3A-BACE4− chelators present rather different shapes (Figure 4). For the complexes of DO3A-ACE4− the dissociation rates show a linear behavior with proton concentration, while for DO3A-BACE4− a second order dependence is observed. The [H+] dependence of kobs can be described by the sum of the contributions from three possible dissociation pathways: The spontaneous dissociation of the LnL complex, with rate constant k0 (being equal to kLnL in Scheme 2), the proton-assisted pathway involving dissociation of the monoprotonated LnHL complex (characterized with protonation KH and rate constant kH), and dissociation of the diprotonated LnH2L complex, with protonation KHH and rate constant kHH. These contributions are described by Equation (5). In all cases, the observed intercept is nearly zero, indicating the absence of spontaneous dissociation (k0 being equal to kLnL in Scheme 2). The linear dependence of DO3A-ACE4− complexes can be attributed to the rapid formation of a stable monoprotonated intermediate (characterized with protonation constants KH and rate constant k1, where k1 = kH·KH) quantitatively at the beginning of the reaction. Thus, the observed first-order dissociation rates are analyzed using Equation (5). For the complexes of DO3A-BACE4−, the kobs values are analyzed using the Equation (6) expression:
and
In this equation, k2 (where k2 = kHH·KH·KHH) represents the rate constant characterizing the dissociation of the complex with the formation of a diprotonated species. Similar dependencies with proton concentration are observed for Ln3+ complexes with a cyclen-based ligand containing a picolinate pendant [50], as well as that of Ce(DOTA)− [56]. The rate constants determined using these equations are listed and compared to those obtained for the complexes of similar ligands in Table 5.
Table 5.
Comparison of the rate constants of spontaneous and acid catalyzed dissociation for various Ce3+ and Gd3+ complexes, and for the exchange reaction of Gd(DO3A-ACE)− with Zn2+ (25 °C).
Since the dissociation of Ln(DO3A-ACE)− complexes occurs considerably faster than those formed with macrocyclic ligands of similar size, we attempted to study metal exchange reactions occurring with Zn2+ ions (in the pH range of 3.96–5.32 using 10-, 20-, 30- and 40-fold excess of the exchanging metal ion). The dependence of the decomposition rate constants (kobs) on [H+] and [Zn2+] for the Gd(DO3A-ACE)− complex is shown in Figure S6. The kobs values increase with [H+] at a given Zn2+ concentration, but they decrease with the increasing Zn2+ concentration at constant pH. This can be explained by the formation of a dinuclear complex Gd(L)Zn which cannot dissociate directly (i.e., dead-end complex), as observed before for macrocyclic complexes such as Gd(TRITA)− [18]. The formation of the intermediate occurs due to the presence of the noncoordinating (to the Gd3+ ion) amino group, yet its formation seemingly is not enough to activate (weaken) considerably the complex and therefore, the direct attack of Zn2+ on the complex (observed often for Gd3+ complexes with DTPA-derivatives) does not occur [19]. The reaction becomes slower as the concentration of the protonated complex decreases as a result of the formation of the dinuclear Gd(L)Zn complex.
Taking all possible pathways into account and equilibrium, as well as rate constants characterizing various pathways, the rate of metal exchange can be expressed as shown in Equation (7) [18,19,57]:
where k3 is the rate constant (where k3 = kM·KM) for the metal-assisted dissociation pathway, KH is the protonation constant of the GdL complex, and KM is the stability constant of the dinuclear intermediate complex Gd(L)Zn. The kobs data determined are included in the supporting information (Figure S6), while the rate constants characterizing spontaneous, acid and metal ions assisted dissociation obtained by the fitting of experimentally determined rate constants to Equation (7) are also shown in Table 5. By analyzing the data listed in Table 5, one can conclude that the Ln3+ complexes of the DO3A-ACE4− and DO3A-BACE4− ligands possess an inertness that lies between the data obtained for the DO3A3− and DOTA4− complexes. Similar results were found for the Ce(DO3A-Nprop)− by É. Tóth et al., which indicate that the inertness of Ln3+ complexes drops with the introduction of propionate pendant arm in lieu of acetates. This process is even more pronounced when the acetate group is replaced by the aminopropionate group in DO3A-ACE4−, which is likely the consequence of the presence of the amino group acting as a “dock” (site) for the proton attacking the complex. This is in agreement with the experimental finding of the relatively stable heterodinuclear intermediate formation while studying the metal exchange reactions for the Gd(DO3A-ACE)− complex. This trend, however, was reversed for the Ln(DO3A-BACE)− complexes, as by eradicating the protonation site, by converting the amino group into the amide mimicking the bioconjugation, the inertness of the corresponding complexes improved considerably. These results are promising, as they indicate that the DO3A-ACE4− bifunctional ligand, upon its conjugation to vector molecules, such as peptides, affibodies, monoclonal antibodies, nanoplatforms, etc., is expected to offer a coordination cage forming inert Ln3+ complexes applicable in vivo.
2.4. Dynamic NMR Studies of the Ln(DO3A-ACE)− and Ln(DO3A-BACE)− Complexes
The structure and molecular dynamics of Ln(DOTA)-type chelates in the solution are well known [58,59,60,61]. There are four possible stereoisomeric structures for these chelates that are related as two enantiomeric pairs. Each structure has a stereochemistry defined by two elements of helicity: The conformation of the macrocyclic ring (either δδδδ or λλλλ) and the orientation of the pendant arms (either Δ or Λ). They combine into two stereoisomeric pairs of enantiomers: Λ(δδδδ) ⇌ Δ(λλλλ), with opposite helicity of the ring and the arms, leading to the SA coordination, and Δ(δδδδ) ⇌ Λ(λλλλ), with the same ring and acetate helicity, which give the TSA structure. These can interconvert in the solution by either ring inversion ((δδδδ) ⇌ (λλλλ)) or acetate arm rotation (Δ ⇌ Λ). When both processes are combined, either in succession or concerted, there is an exchange between enantiomeric pairs. These intramolecular conformational exchange processes, with rate constants of the order of 10 s−1, are relatively slow on the NMR-time scale [61], allowing separate detection of each coordination geometry in the 1H NMR spectrum of a chelate. Analysis of variable temperature 1H EXSY spectra of Yb(DOTA)− has shown that the rates of arm rotation and ring inversion processes are very similar, suggesting a concerted enantiomerization mechanism, while qualitative studies point to a faster arm rotation than ring inversion [59,62]. All results reflect the high rigidity of the Ln3+ complexes of DOTA4−.
Substitution of a DOTA4− chelator has a strong effect on the number of isomers present and on their exchange mechanisms. Introducing a chiral carbon center into the ligand framework turns the four stereoisomeric structures described above into diastereoisomers. However, the introduction of a single chiral center in DOTA4− by derivatizing one of the acetate α-carbons sterically locks the conformation of all the pendant arms, whose orientation is determined by the configuration at the Cα: An R configuration generates Λ orientation, while an S configuration leads to the Δ orientation. This results from the minimization of the torsional strain of the chelate, where the stereochemical control over the orientation of the substituted pendant arm by placing the bulky substituent anti- to the metal ion with respect to the C-N bond leads to maximization of the number of pendant arms that cooperatively adopt a lower energy conformation with the same helicity [63]. This mechanism leads to the presence of only two species in the 1H NMR spectrum of Yb(p-NB-DOTA)− (p-NB = para-nitrobenzyl) [64] Ln(DOTASA) [24,65] and Yb(HP-DO3A) (structures appearing in the NMR part are included in ESI in Figure S7) [66], indicating that two of the four structures are energetically inaccessible. 1H EXSY and ROESY spectra showed that the isomers interconvert by fast ring inversion, which is faster than the substituted pendant arm rotation, which is faster than the acetate arms rotation.
This stereochemical control is also observed in the Ln(TCE-DOTA) [52,63] and Ln(RRRR-DOTMA)− [67,68] chelates with the four Cα substituted acetate arms, where only two species are observed in their 1H NMR spectra. The conformation of the macrocycle may also be locked in a single conformation by ring substitution. A single methyl ring substituent, such as in the MDOTA4− ligand, is enough to rigidify the tetraaza macrocycle but not the acetate arms, as shown by the 1H spectrum of the racemic (R/S) Yb(MDOTA)−, with four totally asymmetric isomers forming two enantiomeric pairs, with SA or TSA geometries, for each (R or S) orientation of the methyl group [69]. Ln(p-NB-DOTA)−, with a single p-NB ring substituent, also shows two isomers in the solution [70]. The Yb(M4DOTA)− complex, where the ligand has four ring methyl substituents with S configuration, originates three species in the solution detected by 1H NMR. The methyl substituents again prevent ring inversion but not acetate arms rotation, and the EXSY spectrum shows an exchange between two of the forms via fast acetate rotation [69]. However, Yb(M4DOTMA)−, where the ligand has four ring methyl substituents and four Cα methyl substituted acetate arms, is a totally rigid complex with a SA geometry [69].
The Ln(DO3A-ACE)− and Ln(DO3A-BACE)− complexes have a single chiral center at their substituted acetate α-carbon, which is racemic as a consequence of the synthesis of the ligands [20,22]. The 1H NMR spectrum of the paramagnetic Eu(DO3A-ACE)− complex in the solution corresponds to a dominant SA isomer conformation with C1 symmetry, with a residual (2%) presence of the TSA isomer [20]. As the SA isomer population is expected to increase for the complexes of the smaller Y3+ cation relative to the Eu3+ complex [59,60], the population of the TSA isomer can be assumed to be negligible for the Y3+ complexes.
The diamagnetic Y(DO3A-ACE)− complex shows a temperature dependent 1H NMR spectrum, which is quite broad at low temperature (0–47 °C), and becomes sharper at high temperatures (57 to 80 °C) (Figure S8). This reflects an intramolecular dynamic isomerization process of the complex between the SA pair of enantiomers, R-Λ(λλλλ) and S-Δ(δδδδ). At 80 °C, the 1D spectrum (Figure S8) is sharp and its intensities indicate that the total and relative areas of the different peaks are in agreement with those expected for a chelate of 4-fold symmetry. Assignments are made on the basis of the relative peak areas, their coupling patterns, and the COSY spectrum (Figure 5 top), referred to the proton numbering of Scheme 3. The methylene protons of the three acetate arms (A2, A3, and A4) originate three AB doublets with shifts of 4.08 and 3.88 ppm for A2ab, 3.97, and 3.89 ppm for A3ab and 3.94 and 3.86 ppm for A4ab with the corresponding COSY cross-peaks (Figure 5, bottom left). Another separate spin system is formed by the A1ab methylene protons and the A1s methine proton of the Cα substituted arm, forming an ABX spin system. The pseudo triplet at 4.46 ppm corresponds to the A1s proton and the non-equivalent A1ab protons appear at 3.48 and 3.22 ppm, respectively, as shown by the COSY cross-peaks (Figure 6 bottom right). The vicinal coupling constants obtained from spectral simulation are quite similar, 3JAs,A1a = 7.4 Hz and 3JAs,A1b = 8.4 Hz, from which the dihedral angles between them of about 30 and 150° were obtained using the Karplus equation [71,72], as illustrated by the corresponding Newman projection of the conformation along the C1ab-C1s bond (Scheme 4, left).
Figure 5.
1H 2D COSY spectrum of Y(DO3A-ACE)− in D2O at 80 °C (top) and two expansions (bottom): A2, A3, and A4 arm protons are in the left, while the cross peaks between A1s and A1ab protons are in the right.
Scheme 3.
Chemical structures of the H4DO3A-ACE and H4DO3A-BACE ligands and numbering scheme of their protons.
Figure 6.
Overlap of the 1H 2D COSY (red) and NOESY spectra of Y(DO3A-ACE)− in D2O at 80 °C. NOESY blue cross peaks are in the same phase of the diagonal and green are in the opposite phase.
Scheme 4.
Newman-projections of conformation along the C1ab-C1s bond of the Cα-substituted pendant arm of Y(DO3A-ACE)− (left) and Y(DO3A-BACE)− (right).
The ring protons R1–4 cannot be fully resolved even at 80 °C due to the fluxional motion of the ring being in the intermediate exchange regime in the NMR time scale, as illustrated by Figure S8. At low temperatures up to 37 °C, the resonances of the arms are fully broadened out and those from the ring protons are very broad, practically unresolved peaks. This indicates that the fluxional motion of the Cα-substituted DOTA-type complex Y(DO3A-ACE)− is in the intermediate exchange regime, but the acetate arms rotation, also in intermediate exchange, is faster than the ring inversion process [58,61]. At higher temperatures, the motion of the arms accelerates first, reaching the fast exchange limit at 70 °C, while the ring motions do not reach the fast exchange regime even at 80 °C, remaining broad and showing very few COSY cross-peaks. These slower internal ring motions relative to the arms motions are the opposite of what has been observed for other Cα-substituted DOTA-type complexes [63,64], which could result from steric hindrance from the amino substituent.
The 2D NOESY spectrum of Y(DO3A-ACE)− at 80 °C (Figure 6 and Figure S10) shows two types of cross-peaks. Those with the same phase of the diagonal peaks (blue) result from magnetization transfer through chemical exchange, and those in opposite phase with the diagonal peaks (green) result from NOE magnetization transfer through dipolar cross-relaxation [73]. Strong exchange cross peaks are observed between the methylene protons of the three acetate arms (but not for the substituted arm), which exchange during the helicity Δ/Λ change. Some peaks are also present between ring protons, which switch their positions during ring inversion. On the other hand, several NOE peaks are observed between the arm and ring protons, indicating that the coordination moved these protons to be close in space in the complex. Comparing the superimposed COSY-NOESY spectra (Figure 6), it becomes clear that there are cross peaks between the arms and ring protons and between ring protons other than COSY peaks, indicating again formation of a compact ligand structure in the complex. An interesting example is the NOE cross peak of the methine proton A1s with ring protons.
The 1H NMR spectrum of Y(DO3A-BACE)− is also temperature dependent but becomes quite sharp at 80 °C (Figure S11), reflecting similar dynamic processes to those present in Y(DO3A-ACE)−. Its assignments are also made on the basis of the relative peak areas, their coupling patterns, and the COSY spectrum (Figure 7 top). The multiplets from the aromatic ring protons are centered at 8.35, 8.18, and 8.10 ppm. There are three AB doublets from the methylene protons of the three acetate arms (A2, A3, and A4), with shifts of 4.08 and 4.03 ppm for A2ab, 4.06 and 4.01 ppm for A3ab, and 4.00 and 3.96 ppm for A4ab, with the respective COSY cross-peaks (Figure 7, bottom left). An ABX spin system with the corresponding COSY cross-peaks can also be seen for the A1ab methylene protons at 3.74 and 3.17 ppm and the A1s methine proton at 5.65 ppm (Figure 7, bottom right). The large upfield shift of the A1s proton results from the ring current effect of the nearby aromatic ring. The A1s is a doublet of doublets due to the very different vicinal coupling constants, 3JA1s,A1b = 3 Hz and 3JA1s,A1a = 11.2 Hz, which correspond to dihedral angles of 45 and 180° between them along the C1ab-C1s bond. This reflects the changed orientations of the two bulky groups of the side-chain, Ph(CO)NH an N(R), which are as far away from each other as possible, as illustrated by the corresponding Newman projection (Scheme 4, right).
Figure 7.
1H 2D COSY spectrum of Y(DO3A-BACE)− in D2O at 80 °C (top) and two expansions (bottom): A2, A3, and A4 arm protons are in the left, while the cross peaks between A1s and A1ab protons are in the right.
The temperature dependence of the 1H NMR spectra of the Y(DO3A-BACE)− complex (Figure S12) indicates that the acetate arm rotation and ring inversion motions are faster at each temperature than for Y(DO3A-ACE)−. The proton resonances from the acetate arms are present even at the very low temperatures, although they are as broad as the ring protons. At higher temperatures, the acetate arms rotation and ring inversion become faster and reach the fast exchange limit at 80 °C, showing a large number of COSY cross-peaks. The internal ring motions in Y(DO3A-BACE)− are faster relative to Y(DO3A-ACE)−, and are closer to what has been observed for other Cα-substituted DOTA-type complexes [64]. This could result from the absence of steric hindrance from the bulky amino substituted Ph(CO)NH group, which is rearranged to a position further away from the ring. This is supported by the lack of NOE cross peaks between the aromatic protons and either the ring or the arm protons in the 2D NOESY spectrum (Figure S13). Enlargement of the labeled box of this spectrum (Figure 8) shows similar exchange and NOE cross peaks as for Y(DO3A-ACE)−, with exchange peaks between arm protons (except for the substituted one) at the low intensity spectrum (right), and NOE peaks between the arm and ring protons and some between ring protons at the high intensity spectrum (left).
Figure 8.
Expanded area of the 1H 2D NOESY spectrum of the Y(DO3A-BACE)− complex at 80 °C shown in Figure S13. The left spectrum has an increased intensity relative to the right one. Blue cross peaks are in the same phase as the diagonal, while the green ones are in the opposite phase.
3. Materials and Methods
3.1. General
DO3A-ACE4− and DO3A-BACE4− were synthesized and purified according to procedures described in the literature [20,22]. Their purity was confirmed by 1H, 13C NMR as well as EA and ESI-MS analysis.
3.2. Preparation of the Stock Solutions
Stock solutions of the MgCl2, CaCl2, ZnCl2, CuCl2 YCl3, and LnCl3 were prepared from analytical grade salts (Aldrich and Sigma, Burlington, MA, USA, 99.9%). The concentrations of the stock solutions were determined by complexometric titration using standardized Na2H2EDTA (Fluka Analytical, Darlington, UK, 99–101%) solution in the presence of an appropriate end-point indicator (eriochrome black-T for MgCl2, and ZnCl2, calconcarboxylic acid for CaCl2, murexide for CuCl2, and xylenol orange for YCl3 and LnCl3 stock solutions). The concentrations of the ligands were determined by pH-potentiometry, on the basis of titration curves of the ligands obtained in the absence and presence of 10-fold excess of CaCl2.
The protonation constants of the ligand were calculated from the data obtained by titrating 2.38 and 3.38 mM ligand solutions (total 189 and 211 data pairs, respectively) with standardized NaOH solution (0.2254 M) in the pH range of 1.78–11.80. The protonation constants of the ligand (log KiH) are defined as:
where i = 1, 2, …, 6 and [Hi-1L] and [H+] are the equilibrium concentrations of the ligand.
3.3. Equilibrium Measurements
The protonation constants of the ligands and the stability constants of the complexes formed with Mg2+, Ca2+, and Zn2+ were determined using direct pH-potentiometric titrations. The determination of the Cu2+ complex stability involved simultaneous data treatment obtained by UV-Vis (“batch” method samples prepared by varying their acid concentration, as well as by conventional UV-Vis titration performed in the pH range of 1.80–11.80) and those obtained by direct pH-potentiometric titration above pH = 1.75. The ligand concentration in the samples was 3.37 mM and the metal-to-ligand concentration ratio was 1:1 in the samples. During the fitting of the UV-Vis data molar absorption coefficients of Cu2+ and that of the final deprotonated complexes (Cu(DO3A-ACE)2− and Cu(DO3A-BACE)2−) were fixed (based on the data determined in a separate experiment at 3–4 different concentrations), while those of the protonated species were refined simultaneously during the stability data refinement.
Direct pH-potentiometric titrations were performed in the pH range 1.78–11.80 with a Methrohm 888 Titrando titration workstation and a Metrohm-6.0233.100 combined electrode (Metrohm AG, Herisau, Switzerland). The stirred samples (6.00 mL) were thermostated at 25 °C, the ionic strength of the solutions was kept constant (0.15 M NaCl) and the titrations were performed under an inert gas atmosphere N2. KH-phtalate (Aldrich and Sigma, 99.95–100.05%, pH = 4.005) and borax (Aldrich and Sigma, 99.5%, pH = 9.177) were used to calibrate the pH meter. A 0.01 M HCl solution was titrated with standardized NaOH solution (Millipore-Sigma, St. Louis, MO, USA). The differences between the measured and calculated pH values were used to calculate the H+ concentrations from the experimentally measured pH values as described by Irving et al. [74]. The ion product of water was determined from the same HCl-NaOH titration experiments over the pH range of about 11.20–11.80 (pKw = 13.845).
The determination of stabilities of Ce3+, Gd3+, and Yb3+ complexes was performed by the out-of-cell technique. Separate samples of 2.0 mL containing the ligand and the metal ion at 2.00 mM were prepared by setting their acid concentration so that the pH in the samples at equilibrium was expected to be in the pH range of 2–4 using model calculations. The samples were set aside for 12 weeks to attain the equilibrium before their pH was measured (the time required to reach the equilibrium was estimated based on UV-Vis measurements performed for Ce3+ complexes). The stability constants of the Ce3+ complexes were also determined using UV-Vis spectrophotometry at 312 nm (corresponding to 4f1 to 4f05d1 transition), in 0.15 M NaCl aqueous solutions at 25 °C, whereas the stability constants of the Gd3+ complexes were also determined by water proton T1 relaxometry at 25 °C set by a circulation water bath. The complex formation in these samples was studied in mixtures containing 1.00 mM Ln3+ and 1.00 mM ligand.
The protonation (Equation (8)) and stability constants (Equations (9) and (10)) were calculated from the titration data using the program PSEQUAD (where I = 1, 2, and 3) [75]. The errors given correspond to one standard deviation.
and
3.4. UV-Vis Spectrophotometry
Formation rates of the Eu3+ complexes were studied by spectrophotometry (JASCO V750 UV-Vis spectrophotometer; Waltham, MA, USA) at 255 nm in the presence of a 5- to 25-fold Eu3+ excess in order to assure the pseudo-first-order conditions. The pH range applied in the study was pH = 4.51–5.59, and the Eu3+ concentration was set to 1.6 mM. The pH in the samples was maintained constant by the application of 0.05 M N-methyl-piperazine (NMP) buffer (log K1H = 4.78(3) determined under similar conditions. The pseudo-first-order rate constants (kobs) were calculated by fitting the absorbance values to Equation (11). The proton assisted dissociation of the Ce3+ complexes was investigated by UV-Vis measurements, where the complex concentration was 1.0 mM and the acid concentration was varied in the concentration range of 0.025–0.25 M (DO3A-ACE4−) and 0.1 to 1.0 M (DO3A-BACE4−). The proton assisted dissociation of the Gd3+ complexes (determined in the same H+-ion concentration as noted for the Ce3+ complexes above) and their exchange reactions with Zn2+ were studied by water proton T1 relaxometry (25 °C). The complex concentration in these experiments was 2.0 mM, while the Zn2+ concentration varied between 20.0 and 80.0 mM. In all studies, the ionic strength of the solutions was kept constant (0.15 M NaCl).
The pseudo-first-order rate constants (kobs) were calculated by fitting the relaxation rate data to Equation (11):
where X0, Xe, and Xt are the absorbance/relaxivity values at the start (t = 0), at equilibrium, and at the time t, respectively. The calculations were performed using the computer program Micromath Scientist, version 2.0 (Salt Lake City, UT, USA).
3.5. NMR Experiments
The longitudinal water proton relaxation times (T1) were measured using a Bruker Minispec MQ20 relaxometer operating at 0.49 T and a standard inversion-recovery sequence (180°-τ-90°) using 12–14 τ values (Bruker, Billerica, MA, USA). The sample relaxivities, r1, were calculated from the measured 1/T1obs relaxation rates according to Equation (12), where 1/T1w is the relaxation rate of water at the given temperature, and [Gd] is the Gd3+ concentration in mM.
A typical 90° pulse width was 3.24 μs, and the reproducibility of the T1 data was 0.5–1.0%. The temperature was controlled with the use of circulating water bath (25 ± 0.1 °C).
1H NMR measurements were performed by a Bruker Avance II 400 spectrometer (9.4 T, 400 MHz) (Bruker, Billerica, MA, USA) equipped with a Bruker BCU II smart cooler using a 5-mm broad-band probe. The structural behavior and the dynamic processes of the Y(DO3A-ACE)− and Y(DO3A-BACE)− complexes were followed by 1D and 2D (COSY and NOESY) NMR spectroscopy.
The complexes were prepared in D2O ([Y(L)] = 0.02 M). The 1H chemical shifts are reported in ppm, with respect to TMS as an external standard (0 ppm). The COSY and NOESY spectra were collected using gradient pulses in the z direction with the standard Bruker pulse programs. For NOESY spectra, the mixing time (D8) was 1000 ms.
4. Conclusions
The DO3A-ACE4− ligand has been synthesized and its complex formed with the Gd3+ ion characterized for several years in the search for the right bifunctional ligands (BFCs) capable of Ln3+ complexation [20,21,22,23,24]. Yet, studies aiming at characterization of the Ln3+ complexes from the thermodynamic and kinetic point of view (formation and dissociation of Ln3+ complexes) are lacking in the literature. In this work, the protonation constants of two DOTA derivative ligands, including the original DO3A-ACE4− and the model amide derivative DO3A-BACE4−, and the stability and protonation constants of their complexes formed with some alkaline earth, transition metal, and lanthanide ions (representing large, medium, and small sized metal ions) are investigated by means of pH-potentiometric, UV-Vis spectrophotometric, and NMR methods at 25 °C in 0.15 M NaCl. The stability constants of the DO3A-ACE4− and DO3A-BACE4− complexes formed with Mg2+ and Ca2+ ions are lower, while the stability constants of the Zn2+ and Cu2+ complexes are similar and higher than those of the DOTA4− and DO3A3− complexes. The stability constants of the lanthanide(III) complexes of DO3A-BACE4− increase from the beginning to the middle of the lanthanide series, then they remain practically constant for the heavier Ln3+ ions (represented by Yb3+). The stability constants of the Ln3+ complexes determined with different methods are in a good agreement with each other. The stability constants of the Ln(DO3A-BACE)− complexes are several orders of magnitude lower than those of the DOTA4− complex. A possible explanation of this phenomenon can be the presence of the amino-propionate pendant arm which is capable of forming a six membered chelate ring with the Ln3+ ions. On the other hand, the given pendant, along with the three acetate groups, can be an intramolecular competitor “pulling out”/”holding away” the metal ion from the cavity of the macrocycle.
The formation of the Eu3+ complex of the DO3A-ACE4− ligand is significantly slower than that observed for Eu(DOTA)−, which is the exact opposite of the trend observed for the Ln3+ complexes of the DO3A-Nprop4− ligand. This difference can be explained by the appearance of the amine group in its protonated form under the conditions applied in the studies (as well as near the physiological pH), thereby lowering the stability constant (and the amount of protonated complex) of the intermediate, as well as its rate of conversion to the final complex (having the metal ion encapsulated). The same group is responsible for the “labilization” of Ln(DO3A-ACE)− complexes, as evidenced by dissociation kinetic studies. We found that the kinetic inertness of the DO3A-ACE4− complexes is higher than that of the DO3A3− complexes, but dissociate several orders of magnitude faster than the complexes of the DOTA4− ligand. The kinetic inertness of DO3A-BACE complexes are similar to that evidenced for the corresponding Ln(DOTA)− complexes. To get more information of the decomplexation reactions of Gd(DO3A-ACE)− complex, the exchange reactions occurring with Zn2+ have also been investigated as a function of pH at different exchanging metal concentrations. We found that the rate of the reactions decreases with the increasing concentration of the exchanging metal which indicates the formation of a “dead-end complex”, whereas the rate of acid assisted dissociation of the complex agrees relatively well with data determined by studying the acid assisted dissociation in fairly acidic samples.
The 1H NMR spectra of the diamagnetic Y(DO3A-ACE)− and Y(DO3A-BACE)− complexes, quite broad at low temperature, sharpen up at 80 °C, reflecting the dynamics of the intramolecular isomerization process between the SA pair of enantiomers, R-Λ(λλλλ) and S-Δ(δδδδ). The spectral assignments of the protons in the pendant arms, obtained on the basis of COSY spectra at 80 °C, allowed obtaining their vicinal coupling constants and relevant dihedral angles and conformations along the C1ab-C1s bond of the Cα-substituted pendant arm. Their comparison showed that the bulky substituent Ph(CO)NH is further away from the macrocyclic ring in Y(DO3A-BACE)− than the amino group in Y(DO3A-ACE)− to minimize the steric hindrance. This is supported by the lack of NOE cross peaks between the aromatic protons and either the ring or the arm protons in the 2D NOESY spectrum of Y(DO3A-BACE)−. The NOESY spectra of the two complexes show cross peaks between the arms and ring protons and between ring protons which are not present in the COSY spectra, indicating spatial proximities which reflect compact ligand structures in both complexes. The temperature dependence of the 1H 1D and NOESY spectra show that the internal ring motions are slower than the pendant arms rearrangements in both complexes, although ring dynamics are faster in Y(DO3A-BACE)− than in Y(DO3A-ACE)−, probably due to the different conformations of the bulky arm substituent in the first complex which minimizes steric hindrance.
In summary, despite the significantly lower stability of Gd(DO3A-BACE)− relative to Gd(DOTA)−, its similar kinetic inertness relative to acid assisted and Zn2+ mediated dissociation is similar to Gd(DOTA)−. This indicates the usefulness of the bifunctional DO3A-ACE in the design of GBCAs and Ln3+-based tags for protein structural NMR.
Supplementary Materials
The following are available online: Additional figures displaying equilibrium (pH-potentiometric titration curves of M(II) complexes formed with DO3A-BACE), spectral (absorption spectra of the Cu(DO3A-BACE)2− as a function of pH, changes in the absorption spectra observed during the formation of Ce(III) and Eu(DO3A-ACE)-complex, 1H-NMR spectra and their temperature dependence observed for the Y(III) complexes of DO3A-ACE and BACE ligands, as well as the 2D NOESY spectra recorded at 80 °C), and kinetic data (dependence of pseudo-first-order rate constants (kobs) on pH and Zn(II) ion concentration for the exchange reaction of Gd(DO3A-ACE)-occurring with Zn(II)). For Supplementary Materials and crystallographic data in CIF or other electronic format.
Author Contributions
This paper is a joint publication performed in the framework of collaboration of three European laboratories (Braga, Coimbra, Portugal and Debrecen, Hungary). The ligand synthesis and their characterization was accomplished by J.A.M.; the majority of equilibrium studies were performed by T.K. and Z.G. under the guidance of G.T. and I.T.; kinetic studies and analysis were performed by Z.G. and F.K.K. under the supervision of I.T.; NMR studies were performed by Z.G. and analyzed by I.B. and C.F.G.C.G.; C.F.G.C.G. and G.T. conceived and supervised the project and the manuscript was written through contributions. All authors have read and agreed to the published version of the manuscript.
Funding
This research was funded by the Hungarian National Research, Development and Innovation Office (Projects NKFIH K-128201, K-134694, and FK-134551).
Institutional Review Board Statement
Not applicable.
Informed Consent Statement
Not applicable.
Data Availability Statement
All Supplementary Materials can be found at MDPI. Our data will also be made available to any investigator upon request.
Acknowledgments
G.T. and C.F.G.C.G. gratefully acknowledge the COST Action CA15209 “European Network on NMR Relaxometry”.
Conflicts of Interest
The authors declare no conflict of interest. The founding sponsors had no role in the design of the study; in the collection, analyses, or interpretation of data; in the writing of the manuscript, and in the decision to publish the results.
Sample Availability
Samples of the compounds are available from the authors.
References
- Caravan, P.; Ellison, J.J.; McMurry, T.J.; Lauffer, R.B. Gadolinium(III) Chelates as MRI Contrast Agents: Structure, Dynamics, and Applications. Chem. Rev. 1999, 99, 2293–2352. [Google Scholar] [CrossRef]
- Helm, L.; Merbach, A.E.; Tóth, É. (Eds.) The Chemistry of Contrast Agents in Medical Magnetic Resonance Imaging, 2nd ed.; John Wiley & Sons Inc.: Hoboken, NJ, USA, 2013; ISBN 978-1-119-99176-2. [Google Scholar]
- Geraldes, C.F.G.C.; Laurent, S. Classification and Basic Properties of Contrast Agents for Magnetic Resonance Imaging. Contrast Media Mol. Imaging 2009, 4, 1–23. [Google Scholar] [CrossRef]
- Grobner, T. Gadolinium—A Specific Trigger for the Development of Nephrogenic Fibrosing Dermopathy and Nephrogenic Systemic Fibrosis? Nephrol. Dial. Transplant. 2006, 21, 1104–1108. [Google Scholar] [CrossRef]
- Marckmann, P.; Skov, L.; Rossen, K.; Dupont, A.; Damholt, M.B.; Heaf, J.G.; Thomsen, H.S. Nephrogenic Systemic Fibrosis: Suspected Causative Role of Gadodiamide Used for Contrast-Enhanced Magnetic Resonance Imaging. J. Am. Soc. Nephrol. 2006, 17, 2359–2362. [Google Scholar] [CrossRef]
- Birka, M.; Wentker, K.S.; Lusmöller, E.; Arheilger, B.; Wehe, C.A.; Sperling, M.; Stadler, R.; Karst, U. Diagnosis of Nephrogenic Systemic Fibrosis by Means of Elemental Bioimaging and Speciation Analysis. Anal. Chem. 2015, 87, 3321–3328. [Google Scholar] [CrossRef] [PubMed]
- Kanda, T.; Ishii, K.; Kawaguchi, H.; Kitajima, K.; Takenaka, D. High Signal Intensity in the Dentate Nucleus and Globus Pallidus on Unenhanced T1-Weighted MR Images: Relationship with Increasing Cumulative Dose of a Gadolinium-Based Contrast Material. Radiology 2014, 270, 834–841. [Google Scholar] [CrossRef] [PubMed]
- Kanal, E.; Tweedle, M.F. Residual or Retained Gadolinium: Practical Implications for Radiologists and Our Patients. Radiology 2015, 275, 630–634. [Google Scholar] [CrossRef] [PubMed]
- McDonald, R.J.; McDonald, J.S.; Kallmes, D.F.; Jentoft, M.E.; Murray, D.L.; Thielen, K.R.; Williamson, E.E.; Eckel, L.J. Intracranial Gadolinium Deposition after Contrast-Enhanced MR Imaging. Radiology 2015, 275, 772–782. [Google Scholar] [CrossRef]
- Port, M.; Idée, J.-M.; Medina, C.; Robic, C.; Sabatou, M.; Corot, C. Efficiency, Thermodynamic and Kinetic Stability of Marketed Gadolinium Chelates and Their Possible Clinical Consequences: A Critical Review. Biometals 2008, 21, 469–490. [Google Scholar] [CrossRef]
- Tircsó, G.; Molnár, E.; Csupász, T.; Garda, Z.; Botár, R.; Kálmán, F.K.; Kovács, Z.; Brücher, E.; Tóth, I. Metal Ions in Bio-Imaging Techniques; Sigel, A., Freisinger, E., Sigel, R.K.O., Eds.; De Gruyter: Berlin, Germany, 2021; Volume 22, ISBN 978-3-11-068570-1. [Google Scholar]
- Wahsner, J.; Gale, E.M.; Rodríguez-Rodríguez, A.; Caravan, P. Chemistry of MRI Contrast Agents: Current Challenges and New Frontiers. Chem. Rev. 2019, 119, 957–1057. [Google Scholar] [CrossRef]
- Caravan, P. Strategies for Increasing the Sensitivity of Gadolinium Based MRI Contrast Agents. Chem. Soc. Rev. 2006, 35, 512. [Google Scholar] [CrossRef]
- Ruloff, R.; Tóth, É.; Scopelliti, R.; Tripier, R.; Handel, H.; Merbach, A.E. Accelerating Water Exchange for GdIII Chelates by Steric Compression around the Water Binding Site. Chem. Commun. 2002, 2630–2631. [Google Scholar] [CrossRef]
- Laus, S.; Ruloff, R.; Tóth, É.; Merbach, A.E. GdIII Complexes with Fast Water Exchange and High Thermodynamic Stability: Potential Building Blocks for High-Relaxivity MRI Contrast Agents. Chem. Eur. J. 2003, 9, 3555–3566. [Google Scholar] [CrossRef]
- Torres, S.; Martins, J.A.; André, J.P.; Geraldes, C.F.G.C.; Merbach, A.E.; Tóth, É. Supramolecular Assembly of an Amphiphilic GdIII Chelate: Tuning the Reorientational Correlation Time and the Water Exchange Rate. Chem. Eur. J. 2006, 12, 940–948. [Google Scholar] [CrossRef] [PubMed]
- Jászberényi, Z.; Sour, A.; Tóth, É.; Benmelouka, M.; Merbach, A.E. Fine-Tuning Water Exchange on GdIII Poly(Amino Carboxylates) by Modulation of Steric Crowding. Dalton Trans. 2005, 2713. [Google Scholar] [CrossRef]
- Balogh, E.; Tripier, R.; Ruloff, R.; Tóth, É. Kinetics of Formation and Dissociation of Lanthanide(iii) Complexes with the 13-Membered Macrocyclic Ligand TRITA4−. Dalton Trans. 2005, 1058–1065. [Google Scholar] [CrossRef]
- Balogh, E.; Tripier, R.; Fousková, P.; Reviriego, F.; Handel, H.; Tóth, É. Monopropionate Analogues of DOTA4– and DTPA5–: Kinetics of Formation and Dissociation of Their Lanthanide(III) Complexes. Dalton Trans. 2007, 3572. [Google Scholar] [CrossRef] [PubMed]
- Ferreira, M.F.; Martins, A.F.; Martins, J.A.; Ferreira, P.M.; Tóth, É.; Geraldes, C.F.G.C. Gd(DO3A-N-α-Aminopropionate): A Versatile and Easily Available Synthon with Optimized Water Exchange for the Synthesis of High Relaxivity, Targeted MRI Contrast Agents. Chem. Commun. 2009, 6475. [Google Scholar] [CrossRef]
- Ferreira, M.F.; Mousavi, B.; Ferreira, P.M.; Martins, C.I.O.; Helm, L.; Martins, J.A.; Geraldes, C.F.G.C. Gold Nanoparticles Functionalised with Stable, Fast Water Exchanging Gd3+ Chelates as High Relaxivity Contrast Agents for MRI. Dalton Trans. 2012, 41, 5472. [Google Scholar] [CrossRef] [PubMed]
- Ferreira, M.F.; Martins, A.F.; Martins, C.I.O.; Ferreira, P.M.; Tóth, É.; Rodrigues, T.B.; Calle, D.; Cerdan, S.; López-Larrubia, P.; Martins, J.A.; et al. Amide Conjugates of the DO3A- N -(α -Amino)Propionate Ligand: Leads for Stable, High Relaxivity Contrast Agents for MRI?: AMIDE CONJUGATES OF THE DO3A- N -(α -AMINO)PROPIONATE LIGAND. Contrast Media Mol. Imaging 2013, 8, 40–49. [Google Scholar] [CrossRef]
- Ferreira, M.F.; Pereira, G.; Martins, A.F.; Martins, C.I.O.; Prata, M.I.M.; Petoud, S.; Toth, E.; Ferreira, P.M.T.; Martins, J.A.; Geraldes, C.F.G.C. Ln[DO3A-N-α-(Pyrenebutanamido)Propionate] Complexes: Optimized Relaxivity and NIR Optical Properties. Dalton Trans. 2014, 43, 3162–3173. [Google Scholar] [CrossRef]
- Ferreira, M.F.; Gonçalves, J.; Mousavi, B.; Prata, M.I.M.; Rodrigues, S.P.J.; Calle, D.; López-Larrubia, P.; Cerdan, S.; Rodrigues, T.B.; Ferreira, P.M.; et al. Gold Nanoparticles Functionalised with Fast Water Exchanging Gd3+ Chelates: Linker Effects on the Relaxivity. Dalton Trans. 2015, 44, 4016–4031. [Google Scholar] [CrossRef]
- Boros, E.; Polasek, M.; Zhang, Z.; Caravan, P. Gd(DOTAla): A Single Amino Acid Gd-Complex as a Modular Tool for High Relaxivity MR Contrast Agent Development. J. Am. Chem. Soc. 2012, 134, 19858–19868. [Google Scholar] [CrossRef]
- Burai, L.; Fábián, I.; Király, R.; Szilágyi, E.; Brücher, E. Equilibrium and Kinetic Studies on the Formation of the Lanthanide(III) Complexes, [Ce(Dota)]− and [Yb(Dota)]− (H4dota = 1,4,7,10-Tetraazacyclododecane-1,4,7,10-Tetraacetic Acid). J. Chem. Soc. Dalton Trans. 1998, 243–248. [Google Scholar] [CrossRef]
- Clarke, E.T.; Martell, A.E. Stabilities of the Alkaline Earth and Divalent Transition Metal Complexes of the Tetraazamacrocyclic Tetraacetic Acid Ligands. Inorg. Chim. Acta 1991, 190, 27–36. [Google Scholar] [CrossRef]
- Chaves, S.; Delgado, R.; Da Silva, J.J.R.F. The Stability of the Metal Complexes of Cyclic Tetra-Aza Tetra-Acetic Acids. Talanta 1992, 39, 249–254. [Google Scholar] [CrossRef]
- Desreux, J.F.; Merciny, E.; Loncin, M.F. Nuclear Magnetic Resonance and Potentiometric Studies of the Protonation Scheme of Two Tetraaza Tetraacetic Macrocycles. Inorg. Chem. 1981, 20, 987–991. [Google Scholar] [CrossRef]
- Stetter, H.; Frank, W. Complex Formation with Tetraazacycloalkane-N,N′,N″,N‴-Tetraacetic Acids as a Function of Ring Size. Angew. Chem. Int. Ed. 1976, 15, 686. [Google Scholar] [CrossRef]
- Kumar, K.; Chang, C.A.; Francesconi, L.C.; Dischino, D.D.; Malley, M.F.; Gougoutas, J.Z.; Tweedle, M.F. Synthesis, Stability, and Structure of Gadolinium(III) and Yttrium(III) Macrocyclic Poly(Amino Carboxylates). Inorg. Chem. 1994, 33, 3567–3575. [Google Scholar] [CrossRef]
- Baranyai, Z.; Rolla, G.A.; Negri, R.; Forgács, A.; Giovenzana, G.B.; Tei, L. Comprehensive Evaluation of the Physicochemical Properties of LnIII Complexes of Aminoethyl-DO3A as pH-Responsive T1-MRI Contrast Agents. Chem. Eur. J. 2014, 20, 2933–2944. [Google Scholar] [CrossRef] [PubMed]
- Kumar, K.; Tweedle, M.F.; Malley, M.F.; Gougoutas, J.Z. Synthesis, Stability, and Crystal Structure Studies of Some Ca2+, Cu2+, and Zn2+ Complexes of Macrocyclic Polyamino Carboxylates. Inorg. Chem. 1995, 34, 6472–6480. [Google Scholar] [CrossRef]
- Delgado, R.; da Silva, J.J.R.F. Metal Complexes of Cyclic Tetra-Azatetra-Acetic Acids. Talanta 1982, 29, 815–822. [Google Scholar] [CrossRef]
- Chang, C.A. Selectivity of Macrocyclic Aminocarboxylates for Alkaline-Earth Metal Ions and Stability of Their Complexes. J. Chem. Soc. Dalton Trans. 1996, 2347–2350. [Google Scholar] [CrossRef]
- Takács, A.; Napolitano, R.; Purgel, M.; Bényei, A.C.; Zékány, L.; Brücher, E.; Tóth, I.; Baranyai, Z.; Aime, S. Solution Structures, Stabilities, Kinetics, and Dynamics of DO3A and DO3A–Sulphonamide Complexes. Inorg. Chem. 2014, 53, 2858–2872. [Google Scholar] [CrossRef] [PubMed]
- Riesen, A.; Zehnder, M.; Kaden, T.A. Metal complexes of macrocyclic ligands. Part XXIII. Synthesis, properties, and structures of mononuclear complexes with 12- and 14-membered tetraazamacrocycle-N,N′,N″,N‴-tetraacetic Acids. Helv. Chim. Acta 1986, 69, 2067–2073. [Google Scholar] [CrossRef]
- Cacheris, W.P.; Nickle, S.K.; Sherry, A.D. Thermodynamic Study of Lanthanide Complexes of 1,4,7-Triazacyclononane-N,N’,N”-Triacetic Acid and 1,4,7,10-Tetraazacyclododecane-N,N′,N″,N‴-Tetraacetic Acid. Inorg. Chem. 1987, 26, 958–960. [Google Scholar] [CrossRef]
- Tóth, Ė.; Brücher, E. Stability Constants of the Lanthanide(III)-1,4,7,10-Tetraazacyclododecane-N,N′,N″,N‴-Tetraacetate Complexes. Inorg. Chim. Acta 1994, 221, 165–167. [Google Scholar] [CrossRef]
- Wang, X.; Jin, T.; Comblin, V.; Lopez-Mut, A.; Merciny, E.; Desreux, J.F. A Kinetic Investigation of the Lanthanide DOTA Chelates. Stability and Rates of Formation and of Dissociation of a Macrocyclic Gadolinium(III) Polyaza Polycarboxylic MRI Contrast Agent. Inorg. Chem. 1992, 31, 1095–1099. [Google Scholar] [CrossRef]
- Kumar, K.; Chang, C.A.; Tweedle, M.F. Equilibrium and Kinetic Studies of Lanthanide Complexes of Macrocyclic Polyamino Carboxylates. Inorg. Chem. 1993, 32, 587–593. [Google Scholar] [CrossRef]
- Gündüz, S.; Vibhute, S.; Botár, R.; Kálmán, F.K.; Tóth, I.; Tircsó, G.; Regueiro-Figueroa, M.; Esteban-Gómez, D.; Platas-Iglesias, C.; Angelovski, G. Coordination Properties of GdDO3A-Based Model Compounds of Bioresponsive MRI Contrast Agents. Inorg. Chem. 2018, 57, 5973–5986. [Google Scholar] [CrossRef]
- Gritmon, T.F.; Goedken, M.P.; Choppin, G.R. The Complexation of Lanthanides by Aminocarboxylate Ligands—I: Stability Constants. J. Inorg. Nucl. Chem. 1977, 39, 2021–2023. [Google Scholar] [CrossRef]
- Tircsó, G.; Kovács, Z.; Sherry, A.D. Equilibrium and Formation/Dissociation Kinetics of Some LnIII PCTA Complexes. Inorg. Chem. 2006, 45, 9269–9280. [Google Scholar] [CrossRef] [PubMed]
- Toth, E.; Brucher, E.; Lazar, I.; Toth, I. Kinetics of Formation and Dissociation of Lanthanide(III)-DOTA Complexes. Inorg. Chem. 1994, 33, 4070–4076. [Google Scholar] [CrossRef]
- Chang, C.A.; Chen, Y.-H.; Chen, H.-Y.; Shieh, F.-K. Capillary Electrophoresis, Potentiometric and Laser Excited Luminescence Studies of Lanthanide(III) Complexes of 1,7-Dicarboxymethyl-1,4,7,10-Tetraazacyclododecane (DO2A). J. Chem. Soc. Dalton Trans. 1998, 3243–3248. [Google Scholar] [CrossRef]
- Tircsó, G.; Tircsóné Benyó, E.; Garda, Z.; Singh, J.; Trokowski, R.; Brücher, E.; Sherry, A.D.; Tóth, É.; Kovács, Z. Comparison of the Equilibrium, Kinetic and Water Exchange Properties of Some Metal Ion-DOTA and DOTA-bis(Amide) Complexes. J. Inorg. Biochem. 2020, 206, 111042. [Google Scholar] [CrossRef]
- Kumar, K.; Tweedle, M.F. Ligand Basicity and Rigidity Control Formation of Macrocyclic Polyamino Carboxylate Complexes of Gadolinium(III). Inorg. Chem. 1993, 32, 4193–4199. [Google Scholar] [CrossRef]
- Szilágyi, E.; Tóth, É.; Kovács, Z.; Platzek, J.; Radüchel, B.; Brücher, E. Equilibria and Formation Kinetics of Some Cyclen Derivative Complexes of Lanthanides. Inorg. Chim. Acta 2000, 298, 226–234. [Google Scholar] [CrossRef]
- Regueiro-Figueroa, M.; Bensenane, B.; Ruscsák, E.; Esteban-Gómez, D.; Charbonnière, L.J.; Tircsó, G.; Tóth, I.; de Blas, A.; Rodríguez-Blas, T.; Platas-Iglesias, C. Lanthanide Dota-like Complexes Containing a Picolinate Pendant: Structural Entry for the Design of Ln III -Based Luminescent Probes. Inorg. Chem. 2011, 50, 4125–4141. [Google Scholar] [CrossRef]
- Táborský, P.; Svobodová, I.; Lubal, P.; Hnatejko, Z.; Lis, S.; Hermann, P. Formation and Dissociation Kinetics of Eu(III) Complexes with H5do3ap and Similar Dota-like Ligands. Polyhedron 2007, 26, 4119–4130. [Google Scholar] [CrossRef]
- Táborský, P.; Lubal, P.; Havel, J.; Kotek, J.; Hermann, P.; Lukeš, I. Thermodynamic and Kinetic Studies of Lanthanide(III) Complexes with H5do3ap (1,4,7,10-Tetraazacyclododecane-1,4,7-Triacetic-10-(Methylphosphonic Acid)), a Monophosphonate Analogue of H4dota. Collect. Czech. Chem. Commun. 2005, 70, 1909–1942. [Google Scholar] [CrossRef]
- Baranyai, Z.; Brücher, E.; Iványi, T.; Király, R.; Lázár, I.; Zékány, L. Complexation Properties of N,N′,N″,N‴-[1,4,7,10-Tetraazacyclododecane-1,4,7,10-Tetrayltetrakis(1-Oxoethane-2,1-Diyl)]Tetrakis[Glycine] (H4Dotagl). Equilibrium, Kinetic, and Relaxation Behavior of the Lanthanide(III) Complexes. Helv. Chim. Acta 2005, 88, 604–617. [Google Scholar] [CrossRef]
- Tóth, É.; Király, R.; Platzek, J.; Radüchel, B.; Brücher, E. Equilibrium and Kinetic Studies on Complexes of 10-[2,3-Dihydroxy-(1-Hydroxymethyl)-Propyl]-1,4,7,10-Tetraazacyclododecane-1,4,7-Triacetate. Inorg. Chim. Acta 1996, 249, 191–199. [Google Scholar] [CrossRef]
- Baranyai, Z.; Pálinkás, Z.; Uggeri, F.; Maiocchi, A.; Aime, S.; Brücher, E. Dissociation Kinetics of Open-Chain and Macrocyclic Gadolinium(III)-Aminopolycarboxylate Complexes Related to Magnetic Resonance Imaging: Catalytic Effect of Endogenous Ligands. Chem. Eur. J. 2012, 18, 16426–16435. [Google Scholar] [CrossRef] [PubMed]
- Brücher, E.; Laurenczy, G.; Makra, Z.S. Studies on the Kinetics of Formation and Dissociation of the Cerium(III)-DOTA Complex. Inorg. Chim. Acta 1987, 139, 141–142. [Google Scholar] [CrossRef]
- Sarka, L.; Burai, L.; Brücher, E. The Rates of the Exchange Reactions between [Gd(DTPA)]2− and the Endogenous Ions Cu2+ and Zn2+: A Kinetic Model for the Prediction of the In Vivo Stability of [Gd(DTPA)]2−, Used as a Contrast Agent in Magnetic Resonance Imaging. Chem. Eur. J. 2000, 6, 719–724. [Google Scholar] [CrossRef]
- Peters, J.A.; Djanashvili, K.; Geraldes, C.F.G.C.; Platas-Iglesias, C. The Chemical Consequences of the Gradual Decrease of the Ionic Radius along the Ln-Series. Coord. Chem. Rev. 2020, 406, 213146. [Google Scholar] [CrossRef]
- Aime, S.; Botta, M.; Ermondi, G. NMR Study of Solution Structures and Dynamics of Lanthanide(III) Complexes of DOTA. Inorg. Chem. 1992, 31, 4291–4299. [Google Scholar] [CrossRef]
- Aime, S.; Botta, M.; Fasano, M.; Marques, M.P.M.; Geraldes, C.F.G.C.; Pubanz, D.; Merbach, A.E. Conformational and Coordination Equilibria on DOTA Complexes of Lanthanide Metal Ions in Aqueous Solution Studied by 1H-NMR Spectroscopy. Inorg. Chem. 1997, 36, 2059–2068. [Google Scholar] [CrossRef] [PubMed]
- Hoeft, S.; Roth, K. Struktur und Dynamik von Lanthanoid-Tetraazacyclododecantetraacetat-(DOTA-)Komplexen in Lösung. Chem. Ber. 1993, 126, 869–873. [Google Scholar] [CrossRef]
- Jacques, V.; Desreux, J.F. Quantitative Two-Dimensional EXSY Spectroscopy and Dynamic Behavior of a Paramagnetic Lanthanide Macrocyclic Chelate: YbDOTA (DOTA = 1,4,7,10-Tetraazacyclododecane-N,N′,N″,N‴-Tetraacetic Acid). Inorg. Chem. 1994, 33, 4048–4053. [Google Scholar] [CrossRef]
- Woods, M.; Aime, S.; Botta, M.; Howard, J.A.K.; Moloney, J.M.; Navet, M.; Parker, D.; Port, M.; Rousseaux, O. Correlation of Water Exchange Rate with Isomeric Composition in Diastereoisomeric Gadolinium Complexes of Tetra(Carboxyethyl)Dota and Related Macrocyclic Ligands. J. Am. Chem. Soc. 2000, 122, 9781–9792. [Google Scholar] [CrossRef]
- Aime, S.; Botta, M.; Ermondi, G.; Terreno, E.; Anelli, P.L.; Fedeli, F.; Uggeri, F. Relaxometric, Structural, and Dynamic NMR Studies of DOTA-like Ln(III) Complexes (Ln = La, Gd, Ho, Yb) Containing a p -Nitrophenyl Substituent. Inorg. Chem. 1996, 35, 2726–2736. [Google Scholar] [CrossRef]
- André, J.P.; Brücher, E.; Kiraly, R.; Carvalho, R.A.; Mäcke, H.; Geraldes, C.F.G.C. H5dotasa (=(ARS)-α-(Carboxymethyl)-1,4,7,10-Tetraazacyclododecane-1,4,7,10-Tetraacetic Acid), an Asymmetrical Derivative of H4dota (=1,4,7,10-Tetraazacyclododecane-1,4,7,10-Tetraacetic Acid) Substituted at One Acetate Pendant Arm: 1H-NMR and Potentiometri. Helv. Chim. Acta 2005, 88, 633–646. [Google Scholar] [CrossRef]
- Shukla, R.B. Rotating-Frame Exchange Spectroscopy of Macrocyclic Systems. J. Magn. Reson. Ser. A 1995, 113, 196–204. [Google Scholar] [CrossRef]
- Brittain, H.G.; Desreux, J.F. Luminescence and NMR Studies of the Conformational Isomers of Lanthanide Complexes with an Optically Active Polyaza Polycarboxylic Macrocycle. Inorg. Chem. 1984, 23, 4459–4466. [Google Scholar] [CrossRef]
- Di Bari, L.; Pintacuda, G.; Salvadori, P. Solution Equilibria in YbDOTMA, a Chiral Analogue of One of the Most Successful Contrast Agents for MRI, GdDOTA. Eur. J. Inorg. Chem. 2000, 1, 75–82. [Google Scholar] [CrossRef]
- Ranganathan, R.S.; Raju, N.; Fan, H.; Zhang, X.; Tweedle, M.F.; Desreux, J.F.; Jacques, V. Polymethylated DOTA Ligands. 2. Synthesis of Rigidified Lanthanide Chelates and Studies on the Effect of Alkyl Substitution on Conformational Mobility and Relaxivity. Inorg. Chem. 2002, 41, 6856–6866. [Google Scholar] [CrossRef]
- Woods, M.; Kovacs, Z.; Kiraly, R.; Brücher, E.; Zhang, S.; Sherry, A.D. Solution Dynamics and Stability of Lanthanide(III) (S)—2-(p-Nitrobenzyl)DOTA Complexes. Inorg. Chem. 2004, 43, 2845–2851. [Google Scholar] [CrossRef]
- Karplus, M. Contact Electron-Spin Coupling of Nuclear Magnetic Moments. J. Chem. Phys. 1959, 30, 11–15. [Google Scholar] [CrossRef]
- Bodor, A.; Bányai, I.; Tóth, I. 1H- and 13C-NMR as Tools to Study Aluminium Coordination Chemistry—Aqueous Al(III)–Citrate Complexes. Coord. Chem. Rev. 2002, 228, 175–186. [Google Scholar] [CrossRef]
- Levitt, M.H. Spin Dynamics; Sheldrick, C.M., Ed.; Wiley: Chichester, UK, 2001; SADABS, Version 2014/5. [Google Scholar]
- Irving, H.M.; Miles, M.G.; Pettit, L.D. A Study of Some Problems in Determining the Stoicheiometric Proton Dissociation Constants of Complexes by Potentiometric Titrations Using a Glass Electrode. Anal. Chim. Acta 1967, 38, 475–488. [Google Scholar] [CrossRef]
- Zékány, L.; Nagypál, I. Computational Methods for Determination of Formation Constants; Legett, D.J., Ed.; Plenum Press: New York, NY, USA, 1985; pp. 291–353. [Google Scholar]
Publisher’s Note: MDPI stays neutral with regard to jurisdictional claims in published maps and institutional affiliations. |
© 2021 by the authors. Licensee MDPI, Basel, Switzerland. This article is an open access article distributed under the terms and conditions of the Creative Commons Attribution (CC BY) license (https://creativecommons.org/licenses/by/4.0/).











