Abstract
A series of halogenated 1,5-diarylimidazole compounds were synthesized and their inhibitory effects on LPS-induced PGE2 production in RAW 264.7 cells were evaluated. A wide variety of 2,4-, 4-, and 2-halogenated 5-aryl-1-(4-methylsulfonylphenyl)imidazoles were synthesized for SAR study via two different pathways. Overall, 4-halogenated 5-aryl-1-(4-methylsulfonylphenyl)imidazoles, regardless of the species of halogen, exhibited very strong inhibitory activities of PGE2 production. Among them, 4-chloro-5-(4-methoxyphenyl)-1-(4-methylsulfonylphenyl)imidazole (3, IC50 3.3 nM ± 2.93), and 4-chloro-5-(4-chlorophenyl)-1-(4-methylsulfonylphenyl)imidazole (13, IC50 5.3 nM ± 0.23) showed the best results.
1. Introduction
Cyclooxygenase (COX), is one of the key proinflammatory enzymes which catalyzes the conversion of arachidonic acid to prostaglandins (PGs). Cyclooxygenase exists in two isoforms, COX-1 and COX-2. Among them, COX-2 is inducible and known as a major isoform found in inflammatory lesions [1].
During the past two decades, extensive efforts have been made on the development of selective COX-2 inhibitors by modifying the central heterocycle scaffold of tricyclic lead compounds. A wide variety of 5-member heterocycle scaffolds can serve as scaffolds for COX-2 inhibitors, such as pyrazole (Celecoxib), thiazole (DUP 697), furanone (Rofecoxib), isoxazole (Valdecoxib), imidazole (Cimicoxib), and pyrrole (Figure 1) [2,3,4,5,6,7,8,9,10]. It was well acknowledged from previous SAR studies that the nature of the central heterocycle scaffold is very important for the bioactivity as well as selectivity. Therefore, the design of new compounds based on alternative structural scaffolds has been demanded.
Figure 1.
Known COX-2 inhibitors possessing 5-membered heterocycle scaffolds.
We previously reported a series of 1,5-diarylimidazole analogs, along with their inhibitory activity toward COX-2 enzyme [11,12,13]. Through a series of studies, we found that 1,5-diarylimidazole analogs with the 4-methylsulfonylphenyl group at 1- or 5-position are important for their inhibitory activities against COX-2 catalyzed PGE2 production, but its position can be exchanged without significant reduction of bioactivity. We also observed that halogen substitution at the 2- or 4-position of 1,5-diarylimidazole ring significantly influenced bioactivity. These results led us to conduct a supplementary SAR study of 1,5-diarylimidazoles halogenated at 2- or/and 4-position(s) of the imidazole ring (Figure 2).
Figure 2.
Structures of 5-aryl-1-(4-methylsulfonylphenyl)imidazoles with halogen(s) on the imidazole ring for SAR study.
2. Results and Discussion
2.1. Synthesis of Halogenated 5-Aryl-1-(4-methylsulfonylphenyl)imidazoles Analogs
A series of 5-aryl-1-(4-methylsulfonylphenyl)imidazoles with halogen(s) on the imidazole ring were synthesized to conduct further SAR study. 5-Aryl-1-(4-methylsulfonylphenyl)imidazoles (1 R=OCH3; 11 R=Cl) were selected since these compounds exhibited strong inhibitory activities of PGE2 production in the precedent experiment [11,12,13].
The target halogenated 1,5-diarylimidazole analogs were prepared following the procedures and conditions as shown in Scheme 1. 5-Aryl-1-(4-methylthiophenylphenyl)imidazoles (Ia and Ib), the key starting materials, were synthesized by 1,3-dipolar cycloaddition of 4-methylsulfanylbenzylidenearylamines and tosylmethyl isocyanide (TosMIC) in the presence of K2CO3. Following oxidations of Ia and Ib with oxoneTM afforded 5-aryl-1-(4-methylsulfonylphenyl)imidazoles (1 and 11, respectively) as described in our previous article [12,13]. Reactions prepared by reacting the 5-aryl-1-(4-methylthiophenylphenyl)imidazoles (Ia and Ib) with halogenating reagents (NCS, NBS) in CHCl3 or CH3CN (NIS) reflux conditions (Halogenation ′′A′′) for 2–5 h yielded products as mixtures, and then purification by silica gel column chromatography afforded pure 2,4- and 4-halogenated 5-aryl-1-(4-methylsulfonylphenyl)imidazole analogs [14]. Halogenations of 5-aryl-1-(4-methylsulfonylphenyl)imidazoles at 2-position were not successful with NCS and NBS. 2-Chloro- and 2-bromo-5-aryl-1-(4-methylsulfonylphenyl)imidazole analogs (4, 7, 14) were prepared by the alternative procedure (Halogenation “B”) from 5-aryl-1-(4-methylthiophenyl)imidazoles (Ia and Ib) in two steps. Reaction of Ia and Ib, halogenating reagents (NCS, NBS), and lithium bis(trimethylsilyl)amide (LiHMDS) in THF followed by oxidation with 3-chloroperbenzoic acid yielded products. Thus, eighteen 5-aryl-1-(4-methylsulfonylphenyl)imidazoles with halogen(s) (Cl, Br, I) at 2/4-, 4-, 2-position(s) were synthesized via two different synthetic procedures and results are shown in Table 1.
Scheme 1.
Synthetic pathways and conditions of 5-aryl-1-(4-methylsulfonylphenyl)imidazoles with halogen(s) on the imidazole ring: (i) MCPBA, DCM (ii) NCS/NBS/NIS, CHCl3 (iii) NCS/NBS, LiHMDS, THF.
Table 1.
Inhibitory activities of halogenated 5-aryl-1-(4-methylsulfonylphenyl)imidazoles against COX-2 catalyzed PGE2 production from LPS-induced RAW 264.7 cells a.
2.2. RAW 264.7 Cell Culture and Measurement of PGE2 Concentrations
RAW 264.7 cells obtained from the American Type Culture Collection (ATCC, VA, USA) were cultured in a petri dish in DMEM supplemented with 10% FBS and 1% antibiotics under 5% CO2 at 37 °C for 3 days based on the previously described procedures [15]. Briefly, cells were plated in 96-well plates (2 × 105 cells/well). After pre-incubation with the test compounds for 1 h, LPS (1 μg/mL) were added and incubated for 24 h. PGE2 concentration in the medium was measured using an ELISA kit for PGE2 (Cayman Chem. Co.) according to the manufacturer’s recommendation.
Cell viability was assessed with MTT assay. All tested compounds showed no or less than 10% reduction of MTT assay at the tested concentrations, indicating that they were not significantly cytotoxic to RAW 264.7 cells in the presence or absence of LPS (Supplementary Material). Therefore, the inhibition of PGE2 production by halogenated 5-aryl-1-(methylsulfonylphenyl)imidazoles might not be associated with their cytotoxicity.
The inhibitory activities of 5-aryl-1-(4-methylsulfonylphenyl)imidazoles (1 and 11) and their halogenated analogs (2~10, 12~20) on PGE2 production against LPS-induced RAW 264.7 cells were estimated and results are shown in Figure 3, Figure 4 and Figure 5 and Table 1.
Figure 3.
Effects of halogenated 5-aryl-1-(4-methylsulfonylphenyl)imidazoles 1–8 on PGE2 production in Raw 264.7 cells. Values are mean ± S.D.; n = 3. # p < 0.05 versus untreated controls. ** p < 0.01; *** p < 0.001 versus LPS-treated cells.
Figure 4.
Effects of halogenated 5-aryl-1-(4-methylsulfonylphenyl)imidazoles 9–20 and celecoxib on PGE2 production in Raw 264.7 cells. Values are mean ± S.D.; n = 3. # p < 0.05 versus untreated controls. * p < 0.05; *** p < 0.001 versus LPS-treated cells.

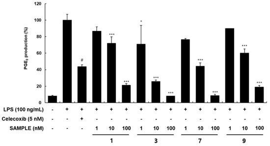
Figure 5.
Effects (IC50) of halogenated 5-aryl-1-(4-methylsulfonylphenyl)imidazoles 1, 3, 7, 9, 13, 16 and 19 on PGE2 production in Raw 264.7 cells. Values are mean ± S.D.; n = 3. # p < 0.05 versus untreated controls. * p < 0.05; ** p < 0.01; *** p < 0.001 versus LPS-treated cells.
As demonstrated in Figure 3 and Figure 4 and Table 1, several halogenated 5-aryl-1-(4-methylsulfonylphenyl)imidazoles (3, 7, 9, 13, 16, 19) exhibited remarkable inhibitory activities of PGE2 production. All the 2,4-dihalogenated 5-aryl-1-(4-methylsulfonylphenyl)imidazole analogs (2, 5, 8, 12, 15, 18) showed reduced inhibitory activities of PGE2 production. Among them, 2,4-dihalogenated (Cl, Br) analogs (12, 15) of the parent compound 11 showed much reduced inhibitory activities than analogs (2, 5) from the parent compound 1. 2,4-Diiodinated analogs (8, 18) showed slightly more reduced inhibitory activities of PGE2 production than their parent compounds 1 and 11, respectively.
Synthesized 4-halogenated 5-aryl-1-(4-methylsulfonylphenyl)imidazole analogs mostly exhibited very strong inhibitory activities of PGE2 production regardless of the parent compound and the species of halogen as we observed from those of compounds 3, 9, 13, 16 and 19 in Figure 5 and Table 1. Among them, 4-chloro-5-(4-methoxyphenyl)-1-(4-methylsulfonylphenyl)imidazole (3, IC50 3.3 nM ± 2.93) and 4-chloro-5-(4-chlorophenyl)-1-(4-methylsulfonyl-phenyl)imidazole (13, IC50 5.3 nM ± 0.23) showed best inhibitory activities of PGE2 production.
The inhibitory activity of PGE2 production of 2-halogenated 5-aryl-1-(4-methylsulfonylphenyl)imidazoles is somewhat complicated to predict a tendency. In case of 5-(4-methoxyphenyl)-1-(4-methylsulfonyl-phenyl)imidazole (1) as the parent compound, mono-halogenation (Br, I) at 2-position exhibited much better inhibitory activity of PGE2 production (7 and 10, respectively), whereas 2-chlornation showed much reduced inhibitory activity of PGE2 production (4) compared to that of the parent compounds (1). In case of 5-(4-chlorophenyl)-1-(4-methylsulfonylphenyl)imidazole (11) as the parent compound, mono-halogenation (Cl, Br) at 2-position resulted in completely loss of inhibitory activity of PGE2 production (14 and 17, respectively), while 2-iodination showed equal inhibitory activity of PGE2 production (20) compared to that of the parent compounds (11).
To examine the selectivity of halogenated imidazole analogs towards COX-2 in comparison to COX-1, we conducted COX Inhibitor Screening Assay (Cayman, MI, USA) using compound 3, one of lead compounds. We evaluated its potency and selectivity of inhibition in vitro. It was found that compound 3 showed a significant inhibitory effect on COX-2 activity at 100 nM, whereas it did not show any inhibitory effect on COX-1 (Figure 6).
Figure 6.
Effects of compound 3 on the COX-1 and COX-2 activity. Values are mean ± S.D.; n = 3. # p < 0.05; * p < 0.05 versus untreated controls.
3. Conclusions
In our study, a series of halogenated 1,5-diarylimidazole compounds were designed, synthesized, and their inhibitory effects on LPS-induced PGE2 production in RAW 264.7 cells were evaluated. Halogenation of 5-aryl-1-(4-methylsulfonylphenyl)imidazoles with NIS, NBS, and NIS afforded diverse 2,4-, 4-, and 2-halogenated 5-aryl-1-(4-methylsulfonylphenyl)imidazoles for SAR study. New synthetic compounds were evaluated for their inhibitory activities on LPS-induced PGE2 production in RAW 264.7 macrophage cells. Among them, 4 compounds (3, 7, 13, 16) were identified as more potent PGE2 production inhibitors than celecoxib (PGE2 IC50 = 8.7 nM ± 1.35). Most 4-halogenated 5-aryl-1-(4-methylsulfonyl-phenyl)imidazoles, regardless of the species of halogen, exhibited very strong inhibitory activities of PGE2 production from LPS-induced RAW 264.7 cells. Overall, the inhibitory activity of PGE2 production was largely dependent on the substitution position (4- >> 2- and 2,4-) and size (Cl >> Br > I) of the halogen atom(s). Compounds 3 (IC50 3.3 nM ± 2.93) and 13 (IC50 5.3 nM ± 0.23) were selected as lead candidates for the further study. We are now investigating the molecular target including COX-2 and mPGES-1 and its molecular mechanism to inhibit the LPS-induced PGE2 production in macrophages, and the results will be reported in due time.
4. Materials and Methods
4.1. General
All chemicals, solvents, and reagents were obtained from commercial suppliers and used without further purification, unless specified. All solvents used for reaction were freshly distilled from proper dehydrating agent under nitrogen gas. Reactions were monitored by thin-layer chromatography performed on glass-packed silica gel plates (60F-254) (Merck, Darmstadt, Germany) with UV light. Flash column chromatography was performed with silica gel (100–200 mesh). 1H-NMR (300 MHz) was recorded on Bruker DPX 300 spectrometers, (Bruker, Billerica, MA, USA) and 13C-NMR was recorded on Bruker Avance Neo 600 spectrometers (Bruker, Billerica, MA, USA), fully decoupled, and chemical shifts are reported in parts per million (ppm) downfield relative to tetramethylsilane as an internal standard. Peak splitting patterns are abbreviated as s (singlet), br s (broad singlet), d (doublet), t (triplet), q (quartet), dd (doublet of doublet), and m (multiplet). Low-resolution mass spectra (LRMS) were recorded on an API 3200 MS system of AB SCIEX. (AB Sciex, Flamingham, MA, USA) High resolution mass spectra (HRMS) were recorded on JEOL JES-X320 electron spin resonance spectrometer. Analytical thin-layer chromatography (TLC) was performed using a commercial glass plate with silica gel 60F254 purchased from Merck. Chromatographic purification was carried out by flash chromatography using Kieselgel 60 (230–400 mesh, Merck, Darmstadt, Germany).
4.1.1. General Procedure for Synthesis of Intermediates Ia and Ib
To the solution of imine (4 mmol) in methanol (MeOH) and dimethoxyethane (20 mL, v/v = 1/2) was added anhydrous potassium carbonate (1.66 g, 12 mmol) and tosylmethyl isocyanide (0.94 g, 4.8 mmol). The reaction mixture was refluxed for 1 day. The solvent was removed, and the residue was extracted with dichloromethane (DCM). The organic layer was washed with brine, dried over magnesium sulfate and concentrated. The residue was purified by silica gel column chromatography with hexane-ethyl acetate (EtOAc) yielded the corresponding imidazole intermediates, respectively.
- 5-(4-methoxyphenyl)-1-(4-methylthiophenyl)imidazole (Ia). Yellow solid, 10%; 1H-NMR (300 MHz, CDCl3) δ 7.65 (s, 1H, 2-H), 7.24 (d, J = 8.6 Hz, 2H, Ar-H), 7.18 (s, 1H, 4-H), 7.08 (m, 4H, Ar-H), 6.81 (d, J = 8.8 Hz, 2H, Ar-H), 3.79 (s, 3H, OCH3), 2.50 (s, 3H, SCH3).
- 5-(4-chorophenyl)-1-(4-methylthiophenyl)imidazole (Ib) Yellow solid, 49%; 1H-NMR (300 MHz, CDCl3) δ 7.67 (d, J = 1.0 Hz, 1H, 2-H), 7.30–7.20 (m, 5H, Ar-H, 4-H), 7.07 (m, 4H, Ar-H), 2.51 (s, 3H, CH3).
4.1.2. General Procedure for Synthesis of Parent Compounds 1 and 11
To the solution of intermediates (Ia and Ib, 1 mmol) in DCM (10 mL) was added, at 0 °C, 3-chloroperbenzoic acid (0.56 g, 2.5 mmol). The mixture was stirred for 2 h, followed by the addition of more DCM, washing with aqueous Na2S2O3, NaHCO3, and brine, drying over magnesium sulfate, and concentration. The residue was purified by silica gel column chromatography with hexane-EtOAc.
- 1-(4-methylsulfonylphenyl)-5-(4-methoxyphenyl)imidazole (1). White solid, 84%; 1H-NMR (300 MHz, CDCl3) δ 7.95 (d, J = 8.6 Hz, 2H, Ar-H), 7.74 (s, 1H, 2-H), 7.38 (d, J = 8.6 Hz, 2H, Ar-H), 7.22 (s, 1H, 4-H), 7.05 (d, J = 8.8 Hz, 2H, Ar-H), 6.84 (d, J = 8.8 Hz, 2H, Ar-H), 3.80 (s, 3H, OCH3), 3.08 (s, 3H, SO2CH3); ESIMS: m/z [M + H]+ 329.1
- 5-(4-chorophenyl)-1-(4-methylsulfonylphenyl)imidazole (11). Yellow solid, 87%; 1H-NMR (300 MHz, CDCl3) δ 8.02 (d, J = 8.6 Hz, 2H, Ar-H), 7.78 (s, 1H, 2-H), 7.30 (m, 5H, Ar-H, 4-H), 7.05 (d, J = 8.5 Hz, 2H, Ar-H), 3.11 (s, 3H, CH3).
4.1.3. General Procedure for Synthesis of Halogenated 5-Aryl-1-(4-methysulfonylphenyl)imidazole Analogs 3, 13, and 16 (Check Supplementary Materials for Other Compounds)
To the solution of compound 1 or 11 (0.5 mmol) in CHCl3 (4 mL) was added NCS/NBS/NIS (0.75 mmol). The mixture was refluxed for 5 h, extracted with DCM, washed with aqueous NaHSO3 and brine, dried over magnesium sulfate, and concentrated. The residue was purified by silica gel column chromatography to give 4-halo and 2,4-dihalo imidazoles. Different from chlorination, 2-bromo imidazole products were separated in some bromination reactions. While iodination with NIS in acetonitrile (CH3CN) afforded 2-, 4- and 2,4-iodo imidazole products. NCS/NBS/NIS are abbreviated name of n-chlorosuccinimide, n-chlorosuccinimide, and n-chlorosuccinimide, respectively.
- 4-chloro-1-(4-methylsulfonylphenyl)-5-(4-methoxyphenyl)imidazole (3). White solid, 41%; 1H-NMR (300 MHz, CDCl3) δ 7.95 (d, J = 8.6 Hz, 2H, Ar-H), 7.65 (s, 1H, 2-H), 7.32 (d, J = 8.6 Hz, 2H, Ar-H), 7.11 (d, J = 8.8 Hz, 2H, Ar-H), 6.88 (d, J = 8.8 Hz, 2H, Ar-H), 3.82 (s, 3H, OCH3), 3.09 (s, 3H, SO2CH3); 13C-NMR (150 MHz, CDCl3) δ 159.9, 140.6, 135.0, 129.1, 129.0, 127.1, 125.7, 118.7, 114.4, 55.3, 44.4; HRMS (EI) m/z Calcd for C17H15ClN2O3S [M] + 362.0492 Found 362.0493.
- 4-chloro-5-(4-chorophenyl)-1-(4-methylsulfonylphenyl)imidazole (13). Yellow solid, 20%; 1H-NMR (300 MHz, CDCl3) δ 8.00 (d, J = 8.6 Hz, 2H, Ar-H), 7.67 (s, 1H, 2-H), 7.32 (m, 4H, Ar-H), 7.13 (d, J = 8.5 Hz, 2H, Ar-H), 3.10 (s, 3H, CH3); 13C-NMR (150 MHz, CDCl3) δ140.8, 140.1, 135.9, 135.2, 131.0, 129.3, 129.2, 125.8, 124.9, 55.1, 49.2, 44.4; HRMS (EI) m/z Calcd for C16H12Cl2N2O2S [M] + 365.9997 Found 365.9994.
- 4-bromo-5-(4-chorophenyl)-1-(4-methylsulfonylphenyl)imidazole (16). Yellow solid, 50%; 1H-NMR (300 MHz, CDCl3) δ 7.98 (d, J = 8.7 Hz, 2H, Ar-H), 7.72 (s, 1H, 2-H), 7.33 (m, 4H, Ar-H), 7.16 (d, J = 8.6 Hz, 2H, Ar-H), 3.10 (s, 3H, CH3); 13C-NMR (150 MHz, CDCl3) δ 140.5, 140.3, 137.1, 135.0, 131.2, 129.2, 129.2, 128.6, 125.8, 125.7, 117.6, 44.4; HRMS (EI) m/z Calcd for C16H12BrClN2O2S [M] + 409.9491 Found 409.9490.
4.1.4. Alternative Procedure for Synthesis of 2-Halogenated 5-aryl-1-(4-methylsulfonylphenyl)imidazole Analogs (Check Supplementary Materials for Other Compounds)
To the solution of 5-aryl-1-(4-methylthiophenyl)imidazoles (Ia or I, 0.4 mmol) in tetrahydrofuran (THF) 3 mL of lithium bis(trimethylsilyl)amide (1 M in THF, 1.2 mL) was added dropwise at −20 °C. The mixture was stirred for 0.5 h, then solution of NCS or NBS (1.6 mmol) in THF (3 mL) was added. The reaction mixture was stirred for 0.5 h at −20 °C and 6 h at room temperature. Saturated aqueous NH4Cl was added to the mixture and extracted with ethyl acetate. The organic layer was washed with aqueous NaHSO3 and brine, dried over magnesium sulfate, and concentrated under vacuum. Following oxidation of crude 2-halogenated 5-aryl-1-(4-methylthiophenyl)imidazole with 3-chloroperbenzoic acid followed by silica gel column chromatography yielded pure 2-halogenated 5-(4-methoxyphenyl)-1-(4-methylsulfonylphenyl)imidazoles.
- 2-bromo-5-(4-methoxyphenyl)-1-(4-methylsulfonylphenyl)imidazole (7). White solid, 12%; 1H-NMR (300 MHz, CDCl3) δ 7.96 (d, J = 8.7 Hz, 2H, Ar-H), 7.64 (s, 1H, 4-H), 7.32 (d, J = 8.7 Hz, 2H, Ar-H), 7.12 (d, J = 8.8 Hz, 2H, Ar-H), 6.88 (d, J = 8.8 Hz, 2H, Ar-H), 3.82 (s, 3H, OCH3), 3.09 (s, 3H, SO2CH3); 13C-NMR (150 MHz, CDCl3) δ 159.9, 140.7, 140.1, 136.4, 131.3, 129.6, 129.0, 125.7, 119.3, 116.9, 114.3, 55.3, 44.4; HRMS (EI) m/z Calcd for C17H15BrN2O3S [M] + 405.9987 Found 405.9988.
4.2. Biology
4.2.1. Cell Culture and Sample Treatment
RAW 264.7 cells were purchased from the Korea Cell Line Bank (Seoul, South Korea) and maintained in DMEM medium containing 10% FBS, streptomycin sulfate, penicillin, HEPES, and sodium bicarbonate in a 5% CO2 atmosphere at 37 °C. RAW 264.7 cells were incubated with SAMPLE (1, 10, 100 nM and 1, 10 μM) for 1 h and then activated with LPS (100 ng/mL) for the indicated time. SAMPLE were dissolved in DMSO and added to the culture media in serial dilution (the final concentration of DMSO in all experiments did not exceed 0.05%).
4.2.2. MTT Assay for Cytotoxicity
RAW 264.7 cells, 2 × 105 cells/mL with 10% fetal bovine serum cell culture medium, and 1 mL of cell suspension were added to each hole of a 24-well plate for 24 h in a 37 °C incubator. Cytotoxicity was determined by MTT assay after treating various concentrations of SAMPLE (1, 10, 100 nM and 1, 10 μM) for another 24 h after overnight incubation. The formed formazan crystals in the cells were dissolved by DMSO, followed by measurement at 540 nm.
4.2.3. Measurement of NO and PGE2 Production
RAW 264.7 cells (2 × 105 cells/mL) were seeded onto a 24-well plate and then incubated with/without LPS (100 ng/mL) in the presence or absence of SAMPLE (1, 10, 100 nM and 1, 10 μM) for 24 h. Nitrite levels of cellular supernatants were measured using the Griess reaction and estimated to reflect the concentration of NO. The absorbance was measured at the wavelength of 540 nm using the microplate reader. In all experiments, fresh culture media were used as blanks. The levels of nitrite in the samples were determined using the standard curve of sodium nitrite. PGE2 concentration in the medium was measured using an ELISA kit for PGE2 (R&D Systems, Minnesota, MN, USA).
4.2.4. Effects of Samples on the COX-1 and COX-2 Activity
Samples were evaluated for its potency and selectivity of inhibition in vitro using COX Inhibitor Screening Assay (Cayman, Michigan, MI, USA). Recombinant COX-1 (ovine) or COX-2 (human) proteins were pre-incubated with Compound 3 for 10 min at 37 °C. The reaction was started by the addition of 100 µM arachidonic acid and allowed to proceed for 2 min. The reaction was terminated by the addition of an HCl solution containing SnCl2. The COX activity assay directly measures PGF2α produced by SnCl2 reduction of COX-derived PGH2. The prostanoid product is quantified via EIA. As control inhibitors for COX-1 or COX-2, SC-560 (100 nM) or Dup-697 (100 nM) were used.
4.2.5. Statistical Analysis
Results are expressed as the mean ± SD of triplicate experiments with similar patterns. Statistically significant values were compared using ANOVA and Dunnett’s post hoc test, and P values of less than 0.05 were considered statistically significant. # p < 0.05 compared with the control group, and * p < 0.05, ** p < 0.01, and *** p < 0.001 compared with the LPS-stimulated group.
Supplementary Materials
The following are available online. 1H-NMR of the synthesized intermediates Ia, Ib, 11; the synthesized compounds (inactive) 2, 4, 5, 8, 12, 14, 15, 17, 18, 20; 1H-NMR and LRMS of the synthesized compounds (equally active) 1, 9, 10, 19; 1H-NMR, 13C-NMR, and HRMS of the synthesized compounds (more active) 3, 7, 13, 16; MTT assay data.
Author Contributions
Conceptualization, H.P.; investigation and writing, H.P. and K.-T.L.; synthesis and formal analysis, Z.Y. and Y.F.; biology, J.-M.K. All authors have read and agreed to the published version of the manuscript.
Funding
This research received no external funding.
Institutional Review Board Statement
Not applicable.
Informed Consent Statement
Not applicable.
Data Availability Statement
The data presented in this study are available on request from the corresponding author.
Acknowledgments
The authors thank to Drug Development Research Institute and Central Laboratory of Kangwon National University for the use of analytical instruments and bioassay facilities.
Conflicts of Interest
The authors declare no conflict of interest.
Sample Availability
Not available.
Abbreviations
| IC50 | 50% inhibitory concentration |
| SAR | structure activity relationship |
| LPS | lipopolysaccharide |
| SD | standard deviation |
| NMR | nuclear magnetic resonance |
| HRMS | high resolution mass |
| DMSO | dimethyl sulfoxide |
| DMEM | Dulbecco’s modified Eagle’s media |
| FES | fetal bovine serum |
| HEPES | hydroxyethyl piperazine ethane sulfonic acid |
References
- Needleman, P.; Isakson, P.C. The discovery and function of COX-2. J. Rheumatol. 1997, 49, 6–8. [Google Scholar]
- Kiani, A.; Rezaee, E.; Tabatabai, S.A. Novel Group of Imidazole Derivatives as Atypical Selective Cyclooxygenase-2 Inhibitors: Design, Synthesis and Biological Evaluation. Iran. J. Pharm. Res. 2018, 17, 78–86. [Google Scholar]
- Carullo, G.; Galligano, F.; Aiello, F. Structure–activity relationships for the synthesis of selective cyclooxygenase 2 inhibitors: An overview (2009–2016). Medchemcomm 2017, 8, 492–500. [Google Scholar] [CrossRef] [PubMed]
- Al-Turki, D.A.; Al-Omar, M.A.; Laila, A.; Abou-zeid, L.A.; Shehata, I.A.; Al-Awady, M.S. Design, synthesis, molecular modeling and biological evaluation of novel diaryl heterocyclic analogs as potential selective cyclooxygenase-2 (COX-2) inhibitors. Saudi Pharm. J. 2017, 25, 59–69. [Google Scholar] [CrossRef] [PubMed] [Green Version]
- Szczukowski, Ł.; Krzyżak, E.; Zborowska, A.; Zając, P.; Potyrak, K.; Peregrym, K.; Wiatrak, B.; Marciniak, A.; Świątek, P. Design, Synthesis and Comprehensive Investigations of Pyrrolo[3,4-d]pyridazinone-Based 1,3,4-Oxadiazole as New Class of Selective COX-2 Inhibitors. Int. J. Mol. Sci. 2020, 21, 9623. [Google Scholar] [CrossRef] [PubMed]
- Black, W.C. Selective Cyclooxygenase-2 Inhibitors. Annu. Rep. Med. Chem. 2004, 39, 125–136. [Google Scholar]
- Singh, S.K.; Vobbalareddy, S.; Shivaramakrishna, S.; Krishnamaraju, A.; Abdul Rajjak, S.; Casturi, S.R.; Akhila, V.; Rao, Y.K. Methanesulfonamide group at position-4 of the C-5-phenyl ring of 1,5-diarylpyrazole affords a potent class of cyclooxygenase-2 (COX-2) inhibitors. Bioorg. Med. Chem. Lett. 2004, 14, 1683–1688. [Google Scholar] [CrossRef] [PubMed]
- Singh, S.K.; Reddy, P.G.; Rao, K.S.; Lohray, B.B.; Misra, P.; Rajjak, S.A.; Rao, Y.K.; Venkateswarlu, A. Polar substitutions in the benzenesulfonamide ring of celecoxib afford a potent 1,5- diarylpyrazole class of COX-2 inhibitors. Bioorg. Med. Chem. Lett. 2004, 14, 499–504. [Google Scholar] [CrossRef] [PubMed]
- Zarghi, A.; Rao, P.N.P.; Knaus, E.E. Synthesis and biological evaluation of methanesulfonamide analogs of rofecoxib: Replacement of methanesulfonyl by methanesulfonamido decrease cyclooxygenase-2 selectivity. Bioorg. Med. Chem. 2007, 15, 1056–1061. [Google Scholar] [CrossRef] [PubMed]
- Navidpour, L.; Shadnia, H.; Shafaroodi, H.; Amini, M.; Dehpour, A.R.; Shafiee, A. Design, synthesis, and biological evaluation of substituted 2-alkylthio-1,5-diarylimidazoles as selective COX-2 inhibitors. Bioorg. Med. Chem. 2007, 15, 1976–1982. [Google Scholar] [CrossRef] [PubMed]
- Truong, N.T.; Sin, K.-S.; Kim, H.P.; Park, H. Synthesis and Antiinflammatory Activity of 1,5-Diarylimidazoles. Arch. Pharm. Res. 2005, 28, 1013–1018. [Google Scholar]
- Che, H.; Truong, N.T.; Kim, H.P.; Park, H. 1,5-Diarylimidazoles with strong inhibitory activity against COX-2 catalyzed PGE2 production from LPS-induced RAW 264.7 cells. Bioorg. Med. Chem. Lett. 2010, 20, 4035–4037. [Google Scholar] [CrossRef] [PubMed]
- Yang, Z.; Truong, T.N.; Pham, T.-A.N.; Lee, J.-W.; Kim, S.-S.; Park, H. Synthesis of 1,5-diarylhaloimidazole analogs and their inhibitory activity against COX-2 catalyzed PGE2 production from LPS-induced RAW 264.7 cells. Bioorg. Med. Chem. 2012, 20, 6256–6259. [Google Scholar] [CrossRef] [PubMed]
- Carrenõ, M.C.; Ruano, J.L.G.; Sanz, G.; Toledo, M.A.; Urbano, A. Mild and regiospecific nuclear iodination of methoxybenzenes and naphthalenes with N-iodosuccinimide in acetonitrile. Tetrahedron Lett. 1996, 37, 4081–4084. [Google Scholar] [CrossRef]
- Kim, K.J.; Choi, M.J.; Shin, J.S.; Kim, M.; Choi, H.E.; Kang, S.M.; Jin, J.H.; Lee, K.T.; Lee, J.Y. Synthesis, biological evaluation, and docking analysis of a novel family of 1-methyl-1H-pyrrole-2,5-diones as highly potent and selective cyclooxygenase-2 (COX-2) inhibitors. Bioorg. Med. Chem. Lett. 2014, 24, 1958–1962. [Google Scholar] [CrossRef] [PubMed]
Publisher’s Note: MDPI stays neutral with regard to jurisdictional claims in published maps and institutional affiliations. |
© 2021 by the authors. Licensee MDPI, Basel, Switzerland. This article is an open access article distributed under the terms and conditions of the Creative Commons Attribution (CC BY) license (https://creativecommons.org/licenses/by/4.0/).







