Design, Microwave-Assisted Synthesis and In Silico Prediction Study of Novel Isoxazole Linked Pyranopyrimidinone Conjugates as New Targets for Searching Potential Anti-SARS-CoV-2 Agents
Abstract
:1. Introduction
2. Results and Discussion
2.1. Chemistry
2.2. Molecular Docking Study
3. Methods and Materials
3.1. Chemistry
3.1.1. General Experimental Procedures
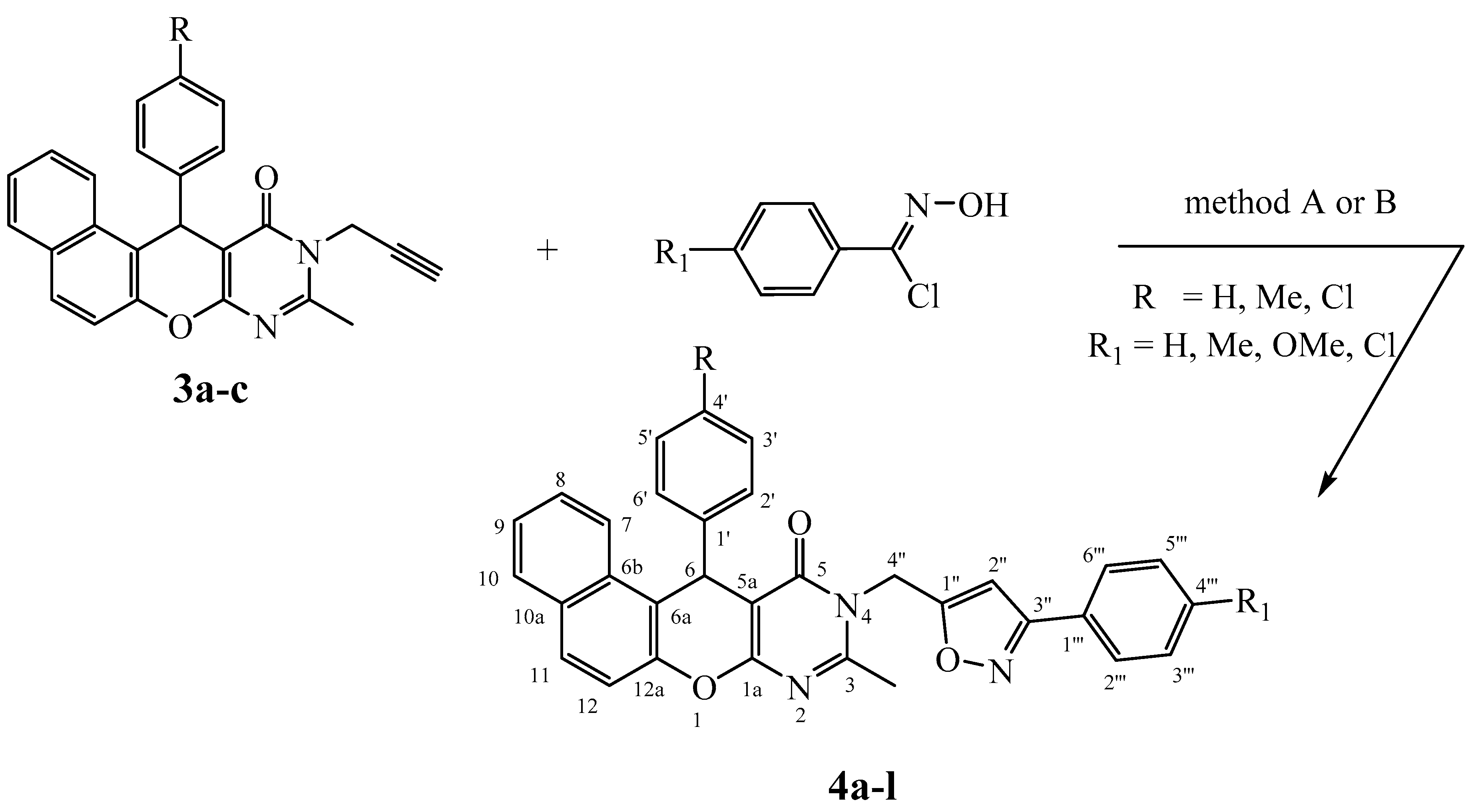
3.1.2. General Procedure for the Preparation of Naphthopyranopyrimidinone N-Propargylated Derivatives 3a–c
3.1.3. General Procedure for the Preparation of Isoxazoles Derivatives 4a–l
3.2. Molecular Docking Procedure
4. Conclusions
Supplementary Materials
Author Contributions
Funding
Institutional Review Board Statement
Informed Consent Statement
Data Availability Statement
Acknowledgments
Conflicts of Interest
Sample Availability
References
- Cascella, M.; Rajnik, M.; Cuomo, A.; Dulebohn, S.C.; Di Napoli, R. Features, Evaluation and Treatment Coronavirus (COVID-19); Stat Pearls Publishing: Treasure Island, FL, USA, 2020. [Google Scholar]
- Sohrabi, C.; Alsafi, Z.; O’Neill, N.; Khan, M.; Kerwan, A.; Al-Jabir, A.; Iosifidis, C.; Agha, R. World Health Organization declares global emergency: A review of the 2019 novel coronavirus (COVID-19). Int. J. Surg. 2020, 76, 71–76. [Google Scholar] [CrossRef]
- Li, H.; Zhou, Y.; Zhang, M.; Wang, H.; Zhao, Q.; Liu, J. Updated Approaches against SARS-CoV. Antimicrob. Agents Chemother. 2020, 64, e00483-20. [Google Scholar] [CrossRef] [Green Version]
- Shen, A.Y.; Hwang, M.H.; Roffler, S.; Chen, C.F. Cytotoxicity and antimicrobial activity of some naphthol derivatives. Arch. Pharm. 1995, 328, 197–201. [Google Scholar] [CrossRef] [PubMed]
- Shen, A.Y.; Tsai, C.T.; Chen, C.L. Synthesis and cardiovascular evaluation of N-substituted aminonaphthols. Eur. J. Med. Chem. 1999, 34, 877–882. [Google Scholar] [CrossRef]
- Huang, M.H.; Wu, S.N.; Wang, J.P.; Lin, C.H.; Lu, S.I.; Liao, L.F.; Shen, A.Y. Biological Study of Naphthalene Derivatives with Antiinflammatory Activities. Drug Dev. Res. 2003, 60, 261–269. [Google Scholar] [CrossRef]
- Ratia, K.; Pegan, S.; Takayama, J.; Sleeman, K.; Coughlin, M.; Baliji, S.; Chaudhuri, R.; Fu, W.; Prabhakar, B.S.; Johnson, M.E.; et al. A noncovalent class of papain-like protease/deubiquitinase inhibitors blocks SARS virus replication. Proc. Natl. Acad. Sci. USA 2008, 105, 16119–16124. [Google Scholar] [CrossRef] [Green Version]
- Ghosh, A.K.; Takayama, J.; Rao, K.V.; Ratia, K.; Chaudhuri, R.; Mulhearn, D.C.; Lee, H.; Nichols, D.B.; Baliji, S.; Baker, S.C.; et al. Severe Acute Respiratory Syndrome Coronavirus Papain-like Novel Protease Inhibitors: Design, Synthesis, Protein−Ligand X-ray Structure and Biological Evaluation. J. Med. Chem. 2010, 53, 4968–4979. [Google Scholar] [CrossRef] [Green Version]
- Eid, F.A.; Abd El-Wahab, A.H.F.; El-Hagali, G.A.M.; Khafagy, M.M. Syhthesis and antimicrobial evaluation of naphtho[2,1-b]pyrano[2,3-d]pyrimidine and pyrano[3,2-e][1,2,4] triazolo[1,5-c]pyrimidine derivatives. Acta Pharm. 2004, 54, 13–26. [Google Scholar]
- Eiden, F.; Denk, F. Synthesis and CNS-activity of pyrane derivatives 6,8-dioxabicyclo(3,2,1)octanes. Arch. Pharm. 1991, 324, 353–354. [Google Scholar] [CrossRef]
- Taylor, N.R.; Cleasby, A.; Singh, O.; Skarzynski, T.; Wonacott, A.J.; Smith, P.W.; Sollis, S.L.; Howes, P.D.; Cherry, P.C.; Bethell, R.; et al. Dihydropyrancarboxamides related to zanamivir: A new series of inhibitors of influenza virus sialidases. Crystallographic and molecular modeling study of complexes of 4-amino-4H-pyran-6-carboxamides and sialidase from influenza virus types A and B. J. Med. Chem. 1998, 41, 798–807. [Google Scholar] [CrossRef]
- Li, C.J.; Zhang, L.J.; Dezube, B.J.; Crumpacker, C.S.; Pardee, A.B. Three inhibitors of type 1 human immunodeficiency virus long terminal repeat-directed gene expression and virus replication. Proc. Natl. Acad. Sci. USA 1993, 90, 1839–1842. [Google Scholar] [CrossRef] [Green Version]
- Rajendran, A.; Raghupathy, D.; Priyadarshini, M. Green synthesis of biologically active pyrazolopyrimidine derivatives using an ionic liquid 2-methyl-3-butyl imidazolium chloride. Int. J. Chem. Tech. Res. 2011, 3, 293–397. [Google Scholar]
- Modia, P.; Patela, S.; Chhabria, M. Structure-based design, synthesis and biological evaluation of a newer series of pyrazolo[1,5-a]pyrimidine analogues as potential anti-tubercular agents. Bioorg. Chem. 2019, 87, 240–251. [Google Scholar] [CrossRef] [PubMed]
- Hu, H.; Dong, Y.; Li, M.; Wang, R.; Zhang, X.; Gong, P.; Zhao, Y. Design, synthesis and biological evaluation of novel thieno[3,2-d] pyrimidine and quinazoline derivatives as potent antitumor agents. Bioorg. Chem. 2019, 90, 103086. [Google Scholar] [CrossRef] [PubMed]
- Mirmortazavi, S.S.; Farvandi, M.; Ghafouri, H.; Mohammadi, A.; Shourian, M. Evaluation of novel pyrimidine derivatives as a new class of mushroom tyrosinase inhibitor. Drug Des. Devel. Ther. 2019, 13, 2169–2178. [Google Scholar] [CrossRef] [Green Version]
- Yanga, F.; Yub, L.Z.; Diaoa, P.C.; Jiana, X.E.; Zhoua, M.F.; Jianga, C.S.; Youa, W.W.; Mab, W.F.; Zhao, P.L. Novel [1,2,4]triazolo[1,5-a]pyrimidine derivatives as potent antitubulin agents: Design, multicomponent synthesis and antiproliferative activities. Bioorg. Chem. 2019, 92, 103260. [Google Scholar] [CrossRef]
- Somakala, K.; Tariq, S.; Amir, M. Synthesis, evaluation and docking of novel pyrazolo pyrimidines as potent p38α MAP kinase inhibitors with improved anti-inflammatory, ulcerogenic and TNF-α inhibitory properties. Bioorg. Chem. 2019, 87, 550–559. [Google Scholar] [CrossRef] [PubMed]
- Acosta, R.S.; Jung, E.; Qiu, L.; Wilson, D.J.; Geraghty, R.J.; Chen, L. 4,7-Disubstituted 7H-Pyrrolo[2,3-d]pyrimidines and Their Analogs as Antiviral Agents against Zika Virus. Molecules 2021, 26, 3779. [Google Scholar] [CrossRef]
- Hockova, D.; Holy, A.; Masojıdkov, M.; Andrei, G.; Snoeck, R.; De Clercqb, E.; Balzarini, J. Synthesis and antiviral activity of 2,4-diamino-5-cyano-6-[2-(phosphonomethoxy)ethoxy]pyrimidine and related compounds. Bioorg. Med. Chem. 2004, 12, 3197–3202. [Google Scholar] [CrossRef]
- Abdelall, E.K.A. Synthesis and biological evaluations of novel isoxazoles and furoxan derivative as anti-inflammatory agents. Bioorg. Chem. 2020, 94, 103441. [Google Scholar] [CrossRef]
- Das Neves, A.R.; Trefzger, O.S.; Barbosa, N.V.; Honorato, A.M.; Carvalho, D.B.; Moslaves, I.S.; Kadri, M.C.T.; Yoshida, N.C.; Kato, M.J.; Arruda, C.C.P.; et al. Effect of isoxazole derivatives of tetrahydrofuran neolignans on intracellular amastigotes of Leishmania (Leishmania) amazonensis: A structure-activity relationship comparative study with triazole-neolignan-based compounds. Chem. Biol. Drug Des. 2019, 94, 2004–2012. [Google Scholar] [CrossRef]
- De Souza, A.N.A.; Xavier, V.F.; Coelho, G.S.; Junior, P.A.S.; Romanha, A.J.; Murta, S.M.F.; Carneiroc, C.M.; Taylor, J.G. Synthesis of 3,5-Diarylisoxazole Derivatives and Evaluation of in vitro Trypanocidal Activity. J. Braz. Chem. Soc. 2018, 29, 269–277. [Google Scholar] [CrossRef]
- Reddy, S.P.; Yamini, G.; Sowmya, D.V.; Padmavathi, V.; Padmaja, A. Synthesis and Antimicrobial Activity of Some New 3,5-Disubstituted Pyrazoles and Isoxazoles. Med. Chem. 2017, 7, 371–380. [Google Scholar] [CrossRef]
- Thotla, K.; Noole, V.G.; Kedika, B.; Reddy, K. An Efficient Synthesis and Antimicrobial Activity of 5-{2-[(1-Aryl-1H-1,2,3-triazol-4-yl)methoxy]- 5-bromophenyl}isoxazoles. Russ. J. Gen. Chem. 2019, 89, 789–793. [Google Scholar] [CrossRef]
- Yang, Z.B.; Li, P.; He, Y.J. Design, Synthesis, and Bioactivity Evaluation of Novel Isoxazole-Amide Derivatives Containing an Acylhydrazone Moiety as New Active Antiviral Agents. Molecules 2019, 24, 3766. [Google Scholar] [CrossRef] [PubMed] [Green Version]
- Lee, Y.S.; Park, S.M.; Kim, B.H. Synthesis of 5-isoxazol-5-yl-20-deoxyuridines exhibiting antiviral activity against HSV and several RNA viruses. Bioorg. Med. Chem. Lett. 2009, 19, 1126–1128. [Google Scholar] [CrossRef] [PubMed]
- Jin, Z.; Du, X.; Xu, Y.; Deng, Y.; Liu, M.; Zhao, Y.; Zhang, B.; Li, X.; Zhang, L.; Peng, C.; et al. Structure of Mpro from SARS-CoV-2 and discovery of its inhibitors. Nature 2020, 582, 289–293. [Google Scholar] [CrossRef] [PubMed] [Green Version]
- Abu-Zaied, M.A.; Elgemeie, G.H.; Mahmoud, N.M. Anti-Covid-19 Drug Analogues: Synthesis of Novel Pyrimidine Thioglycosides as Antiviral Agents Against SARS-COV 2 and Avian Influenza H5N1 Viruses. ACS Omega 2021, 6, 16890–16904. [Google Scholar] [CrossRef]
- Soltane, R.; Chrouda, A.; Mostafa, A.; Al-Karmalawy, A.A.; Chouaïb, K.; Dhahri, A.; Pashameah, R.A.; Alasiri, A.; Kutkat, O.; Shehata, M.; et al. Strong Inhibitory Activity and Action Modes of Synthetic Maslinic Acid Derivative on Highly Pathogenic Coronaviruses: COVID-19 Drug Candidate. Pathogens 2021, 10, 623. [Google Scholar] [CrossRef]
- Ben Said, A.; Rahmouni, A.; Daami-Ramadi, M.; Romdhane, A.; Ben Jannet, H. Design and Synthesis of new antimicrobial [1,2,4]triazolo[1,5-c]pyrimidines. J. Tun. Chem. Soc. 2017, 19, 94–104. [Google Scholar]
- Cherif, M.; Debbabi, M.; Chortani, S.; Romdhane, A.; Ben Jannet, H. Design and synthesis of new naphtho[2,1-b]pyrano [2,3-d]pyrimidinones under classical and microwave conditions. Turk. J. Chem. 2018, 42, 1623–1639. [Google Scholar] [CrossRef]
- Debbabi, M.; Nimbarte, V.D.; Chekir, S.; Chortani, S.; Romdhane, A.; Ben jannet, H. Design and synthesis of novel potent anticoagulant and anti-tyrosinase pyranopyrimidines and pyranotriazolopyrimidines: Insights from molecular docking and SAR analysis. Bioorg. Chem. 2019, 82, 129–138. [Google Scholar] [CrossRef]
- Zayane, M.; Romdhane, A.; Remadi, M.D.; Ben Jannet, H. Access to new antimicrobial 4-methylumbelliferone derivatives. J. Chem. Sci. 2015, 127, 1619–1626. [Google Scholar] [CrossRef]
- Romdhane, A.; Martin, M.T.; Ben Said, A.; Jabrane, A.; Ben Jannet, H. Synthesis of new acetylcholinesterase inhibitors Naphto[2,1-B]pyrano[3,2-E][1,2,4]triazolo[1,5-C]pyrimidine derivatives. J. Tun. Chem. Soc. 2012, 14, 127–135. [Google Scholar]
- Mohammed, F.K.; Soliman, A.Y.; Sawy, A.S.; Badre, M.G. 2-Amino-5- hydroxy-4-phenyl-7-methyl-4H[1-chromeno-3-carbonitrile] as a key precursor for the synthesis of several chromene based heterocyclic systems. J. Chem. Pharm. Res. 2009, 1, 213–224. [Google Scholar]
- Hesek, D.; Lee, M.; Noll, B.C.; Fisher, J.F.; Mobashery, S. Complications from Dual Roles of Sodium Hydride as a Base and as a Reducing Agent. J. Org. Chem. 2009, 74, 2567–2570. [Google Scholar] [CrossRef] [PubMed] [Green Version]
- Chouaïb, K.; Romdhane, A.; Delemasure, S.; Dutartre, P.; Elie, N.; Touboul, D.; Ben Jannet, H.; Hamza, M.A. Regiospecific synthesis, anti-inflammatory and anticancer evaluation of novel 3,5-disubstituted isoxazoles from the natural maslinic and oleanolic acids. Ind. Crop. Prod. 2016, 85, 287–299. [Google Scholar] [CrossRef]
- Trott, O.; Olson, A.J. Software News and Update AutoDock Vina: Improving the Speed and Accuracy of Docking with a New Scoring Function, Efficient Optimization, and Multithreading. J. Comput. Chem. 2010, 31, 455–461. [Google Scholar] [CrossRef] [Green Version]








| Product | R | R1 | Time (h) | Yield (%) a | Time (min) | Yield (%) b |
|---|---|---|---|---|---|---|
| 4a | H | H | 8 | 69 | 5 | 97 |
| 4b | H | Me | 12 | 63 | 3 | 93 |
| 4c | H | OMe | 10 | 62 | 5 | 92 |
| 4d | H | Cl | 8 | 60 | 5 | 92 |
| 4e | Me | H | 12 | 67 | 3 | 95 |
| 4f | Me | Me | 12 | 65 | 3 | 96 |
| 4g | Me | OMe | 8 | 64 | 3 | 94 |
| 4h | Me | Cl | 12 | 68 | 3 | 97 |
| 4i | Cl | H | 9 | 62 | 5 | 93 |
| 4j | Cl | Me | 8 | 58 | 3 | 91 |
| 4k | Cl | OMe | 8 | 67 | 3 | 96 |
| 4l | Cl | Cl | 12 | 60 | 3 | 92 |
| Compound | Binding Energy (kcal/mol) | Interaction Detail: NI/NIAA: IAA |
|---|---|---|
| 4a | −8.4 | 5/5: MET-49, ASN-142, GLY-143 *, MET-165, GLU-166 * |
| 4b | −7.7 | 8/4: MET-165, GLU-166 *, PRO-168, ALA-191 |
| 4c | −7.7 | 7/5: MET-49, GLY-143 *, CYS-145, HIS-163, GLU-166 |
| 4d | −7.7 | 8/4: MET-165, GLU-166 *, PRO-168, ALA-191 |
| 4e | −8.5 | 4/4: MET- 49, ASN-142, GLY-143 *, MET-165 |
| 4f | −7.9 | 8/4: MET-165, GLU-166 *, PRO-168, ALA-191 |
| 4g | −7.6 | 6/5: MET- 49, GLY-143 *, CYS-145, HIS-163, GLU-166 |
| 4h | −8.5 | 7/5: HIS-41, ASN-142, GLY-143 *, CYS-145, PRO-168 |
| 4i | −8.5 | 4/4: MET- 49, ASN-142, GLY-143 *, MET-165 |
| 4j | −8.4 | 5/5: MET- 49, GLY-143 *, CYS-145, HIS-163, GLU-166 * |
| 4k | −8.9 | 6/6: THR-26 *, HIS-41, MET-49, CYS-145, MET-165, PRO-168 |
| 4l | −7.7 | 7/3: MET-165, GLU-166 *, PRO-168 |
| N3 | −7.0 | 6/6: HIS-41, MET-49, GLY-143 *, HIS-164 *, MET-165, GLN-189 * |
| Code | 3D Binding Interactions | 3D Pocket Positioning |
|---|---|---|
| 4a | ![]() | ![]() |
| 4e | ![]() | ![]() |
| 4i | ![]() | ![]() |
| N3 | ![]() | ![]() |
| Code | 3D Binding Interactions | 3D Pocket Positioning |
|---|---|---|
| 4k | ![]() | ![]() |
| 4h | ![]() | ![]() |
| 4j | ![]() | ![]() |
Publisher’s Note: MDPI stays neutral with regard to jurisdictional claims in published maps and institutional affiliations. |
© 2021 by the authors. Licensee MDPI, Basel, Switzerland. This article is an open access article distributed under the terms and conditions of the Creative Commons Attribution (CC BY) license (https://creativecommons.org/licenses/by/4.0/).
Share and Cite
Algethami, F.K.; Cherif, M.; Jlizi, S.; Ben Hamadi, N.; Romdhane, A.; Elamin, M.R.; Alghamdi, M.A.; Ben Jannet, H. Design, Microwave-Assisted Synthesis and In Silico Prediction Study of Novel Isoxazole Linked Pyranopyrimidinone Conjugates as New Targets for Searching Potential Anti-SARS-CoV-2 Agents. Molecules 2021, 26, 6103. https://doi.org/10.3390/molecules26206103
Algethami FK, Cherif M, Jlizi S, Ben Hamadi N, Romdhane A, Elamin MR, Alghamdi MA, Ben Jannet H. Design, Microwave-Assisted Synthesis and In Silico Prediction Study of Novel Isoxazole Linked Pyranopyrimidinone Conjugates as New Targets for Searching Potential Anti-SARS-CoV-2 Agents. Molecules. 2021; 26(20):6103. https://doi.org/10.3390/molecules26206103
Chicago/Turabian StyleAlgethami, Faisal K., Maher Cherif, Salma Jlizi, Naoufel Ben Hamadi, Anis Romdhane, Mohamed R. Elamin, Mashael A. Alghamdi, and Hichem Ben Jannet. 2021. "Design, Microwave-Assisted Synthesis and In Silico Prediction Study of Novel Isoxazole Linked Pyranopyrimidinone Conjugates as New Targets for Searching Potential Anti-SARS-CoV-2 Agents" Molecules 26, no. 20: 6103. https://doi.org/10.3390/molecules26206103
APA StyleAlgethami, F. K., Cherif, M., Jlizi, S., Ben Hamadi, N., Romdhane, A., Elamin, M. R., Alghamdi, M. A., & Ben Jannet, H. (2021). Design, Microwave-Assisted Synthesis and In Silico Prediction Study of Novel Isoxazole Linked Pyranopyrimidinone Conjugates as New Targets for Searching Potential Anti-SARS-CoV-2 Agents. Molecules, 26(20), 6103. https://doi.org/10.3390/molecules26206103















