Next Article in Journal
Thermodynamic Assessment of a Solar-Driven Integrated Membrane Reactor for Ethanol Steam Reforming
Next Article in Special Issue
Unusual Reactivities of ortho-Hydroxy-β-nitrostyrene
Previous Article in Journal
Cholesteric Molecular Tweezer Artificial Receptor for Rapid and Highly Selective Detection of Ag+ in Food Samples
Previous Article in Special Issue
Charge Transfer Complexes of 1,3,6-Trinitro-9,10-phenanthrenequinone with Polycyclic Aromatic Compounds
 
 
Font Type:
Arial Georgia Verdana
Font Size:
Aa Aa Aa
Line Spacing:
Column Width:
Background:
Article

N-Arylation of Protected and Unprotected 5-Bromo-2-aminobenzimidazole as Organic Material: Non-Linear Optical (NLO) Properties and Structural Feature Determination through Computational Approach

1
Department of Chemistry, Government College University, Faisalabad 38000, Pakistan
2
Department of Chemistry, University of Management and Technology (UMT), C11, Johar Town, Lahore 54770, Pakistan
3
Department of Chemistry, COMSATS University Islamabad, Abbottabad Campus, Abbottabad 22060, Pakistan
4
Institute of Nanoscience and Nanotechnology (ION2), Universiti Putra Malaysia (UPM), Serdang 43400, Selangor, Malaysia
*
Authors to whom correspondence should be addressed.
Molecules 2021, 26(22), 6920; https://doi.org/10.3390/molecules26226920
Submission received: 2 July 2021 / Revised: 11 October 2021 / Accepted: 20 October 2021 / Published: 17 November 2021
(This article belongs to the Special Issue The Chemistry of Nitrocompounds)

Abstract

:
The interest in the NLO response of organic compounds is growing rapidly, due to the ease of synthesis, availability, and low loss. Here, in this study, Cu(II)-catalyzed selective N-arylation of 2-aminobenzimidazoles derivatives were achieved in the presence of different bases Et3N/TMEDA, solvents DCM/MeOH/H2O, and various aryl boronic acids under open atmospheric conditions. Two different copper-catalyzed pathways were selected for N-arylation in the presence of active nucleophilic sites, providing a unique tool for the preparation of NLO materials, C-NH (aryl) derivatives of 2-aminobenzimidazoles with protection and without protection of NH2 group. In addition to NMR analysis, all synthesized derivatives (1a1f and 2a2f) of 5-bromo-2-aminobenzimidazole (1) were computed for their non-linear optical (NLO) properties and reactivity descriptor parameters. Frontier molecular orbital (FMO) analysis was performed to get information about the electronic properties and reactivity of synthesized compounds.

1. Introduction

There are 30 derivatives of 2-aminobenzimidazole registered in the world as drugs that exhibit diverse pharmacological activities, e.g., antiparasitic, antifungal, antiviral, and anti-allergic [1]. The 2-aminobenzimidazoles are interesting compounds with many biological effects, such as immunotropic, diuretic, antihistamine, and highly selective characteristics of p38aMaP inhibition [2,3,4]. Moreover, 2-aminobenzimidazole derivatives with antiviral activity against herpes simplex virus (HSV), human cyclomegalo virus (HCMV), and HIV have also been developed and patented [5,6,7]. The benzimidazole moiety is also a component of chemosensor receptors, which are utilized to recognize anions selectively and play an essential part in several biological activities [8]. The polyfunctionality of the cyclic guanidine moiety in the 2-aminobenzimidazole has made it a building block for the synthesis of a wide range of pharmacologically important benzimidazole derivatives [9,10]. Therefore, the selective N-arylation of amino-substituted N-heterocycles without protection and with protection of nucleophilic sites is important synthetically, as it gives an easy approach to a variety of different bio-actively potent N-arylated compounds.
Optimizing a catalytic pathway for substrates, where a couple of hetero atom sites are available for cross-coupling reactions, is an actual challenge for the organic chemist. The selective N-arylation of heteroaromatics, which has more than one nucleophilic site, could be precious because it quickly develops molecular complexity in target molecules with the fewest synthetic influences. However, a large number of transition metal-catalyzed protocols have developed as incredible tools for numerous types of regio/chemoselective N-(hetero) arylation reactions in organic synthesis [11]. Different Pd- and Cu-catalyzed arylations, such as Goldberg [12], Ullman [13], and Buchwald–Hartwig [14] procedures, were used for N-arylations of azoles. More recently, the copper-catalyzed Chan–Lam coupling method for arylation of N-nucleophile by using copper acetate and aryl boronic acids was introduced as the standard because of its mild reaction conditions [15,16]. The Chan–Lam coupling has been used for N-arylation of various amines, anilines, esters, imidazoles, and nitrogen-containing heterocycles [17].
These days computational chemistry [18] has emerged as a well-recognized partner of experimental chemistry. Computational chemistry is an extremely vast topic but herein we limited ourselves to density functional theory (DFT) [19]. Over the last 40 years, density functional theory (DFT) has become the most dominant and powerful tool in computational quantum chemistry for the modeling and simulation of chemical systems. Materials demonstrating great non-linear optical response play a key role in telecommunication, optical information processing, optical computing, etc. [20,21]. Nadeem and co-workers studied benzimidazole derivatives to tune the second-order nonlinear optical molecular switching by proton abstraction. Their results illustrate that substituted compounds have robustly large off–on NLO switching with a difference in βo values of 7, 63, 85, and 75 times larger than their neutral counterparts, respectively [22]. Tayade and Sekar examined Benzimidazole-Thiazole based NLOphoric Styryl Dyes both experimentally and theoretically. The nonlinear response based on α, and β was increased after the substitution of acceptor groups [23]. Thakare et al. experimentally and theoretically analyzed the NLO response of BODIPY–benzimidazole conjugate. The results obtained from the DFT method are in good accordance with those produced from solvatochromic method. The values obtained for nonlinear absorption coefficient (β) and third-order susceptibility χ(3) are 7.45 × 1012 and 3.85 × 1013, respectively [24]. These reports shed light on the importance of substituted benzimidazole synthesis and their use in the field of optical and nonlinear optical materials using the DFT method.
In the present study, 2-aminobenzimidazole and its derivatives were synthesized via Chan–Lam cross-coupling reaction and analyzed theoretically for structural, spectroscopic [25], and NLO properties [26]. Density functional theory (DFT) calculations were used to investigate quantum chemical parameters, such as electron affinity (EA), ionization potential (I), electronic chemical potential (μ), electrophilicity index (ω), and chemical hardness (η) [27] of synthesized derivatives of 5-bromo-2-aminobenzimidazole. We hope that electron-donating and withdrawing groups substitution can enhance the NLO response of the newly designed bezimidazoles, and we will obtain large first-order hyperpolarizability for these compounds.

2. Results and Discussion

2.1. Chemistry

For the acquisition of optimized protocol for selective C-NH arylation of 5-bromo-2-amino benzimidazole, we initiated our examination by adopting two different protocols in which we used 5-bromo-2-aminobenzimidazole (1) and its derivative N-(5-bromo-1H-benzo[d]imidazol-2-yl)acetamide (2) with aryl boronic acids in presence of Cu(OAc)2 as a catalyst, Triethylamine (Et3N) or Tetramethylethylenediamine (TMEDA) as a base, and the solvent DCM and methanol. The reaction was carried out at normal temperature under an open-air environment (Scheme 1).
N-(5-bromo-1H-benzo[d]imidazol-2-yl)acetamide (2) was synthesized after selective protection of amino group of 5-bromo-2-aminobenzimidazole (1) by acetic anhydride at 40 °C through a previously reported method [28].
Generally, N-arylation of the heterocyclic compound with aryl boronic acid takes place under anhydrous conditions. In one protocol of direct N-arylation of 5-bromo-2-aminobenzimidazole (1) to produce its derivatives 1a1f (Figure 1), we used a TMEDA base and Cu(OAc)2·H2O catalyst with mixed parotic solvent (CH3OH/H2O 8:1). The desired products were obtained in good yield within only 2 h [29]. In contrast, in the second protocol for selective N-arylation of N-(5-bromo-1H-benzo[d]imidazol-2-yl)acetamide (2) to produce its derivatives 2a2f (Figure 2), we used anhydrous Cu(OAc)2 instead of Cu(OAc)2·H2O with aryl boronic acid in presence of dry DCM instead of CH3OH/H2O, Et3N, and 4 Å molecular sieves [15,30]. This method was not found efficient, as we failed to isolate the desired product in good yield, even after 24 h, and various tedious steps, such as protection of 5-bromo-2-aminobenzimidazole (1) involved in this method. It was noticed that, by the addition of TMEDA base and a small amount of water, the yield of desired products is enhanced significantly.
In the present study, it was observed that the base can significantly affect the Chan–Lam coupling. Et3N and pyridine are commonly used bases in Chan–Lam cross-coupling reactions. These bases contain amine additives which donate the electron pair to Cu(II) and allow it to oxidize Cu(III) intermediate and also capture the acetic acid which produces during the transmetallation step. For selective N-arylation of 5-bromo-2-aminobenzimidazole (1) without protection, we used TMEDA and Et3N as bases and obtained products in good yield with TMEDA base. It is observed that TMEDA act as a bidentate ligand and forms a more stable complex with copper which enhances its reactivity toward the NH group of imidazole ring as compared to Et3N for its selective N-arylation [31,32].

2.2. Density Functional Theory (DFT) Studies

All synthesized compounds (1a1f and 2a2f) were computationally studied to investigate the structural–properties relationships. First of all, compounds were optimized at B3LYP functional of DFT by using GAUSSIAN 09 software [33]. For molecular orbitals description, Pople’6-31+G(d,p) [34] was used (Figure 3A,B). Frequency analysis were completed at the same level of theory for further confirmation of these structures as true minima energy structures on potential energy surfaces. A frontier molecular orbitals (FMOs) analysis and reactivity descriptor parameters were calculated at B3LYP/6-31+G(d,p) method [35]. Nonlinear optical (NLO) properties along with polarizabilities and first hyperpolarizability parameters were evaluated using CAM-B3LYP [36], LC-BLYP [37], and ωB97XD [38] density functionals with 6-31+G(d,p) basis set.

2.2.1. Frontier Molecular Orbital (FMO) Analysis

FMOs analysis is performed to get information about the electronic properties and reactivity of compounds. The energies of HOMOs (EHOMOs) and LUMOs (ELUMOs) explain electronic properties and HOMO–LUMO gaps (GH-L) validate kinetic stability and reactivity of compounds. Large GH-L declared the less reactivity and more stability of compound and vice versa [39]. The energies of HOMOs (EHOMOs), energies of LUMOs, (ELUMOs), and HOMO–LUMO energy gaps (GH-L) of all compounds are summarized in Table 3.
Among the compounds 1a1f, 1d has the smallest GH-L (4.25 eV), whose EHOMO and ELUMO are −6.02 and −1.77 eV, respectively. Thus, 1d is considered as kinetically less stable and moderately reactive among 1a1f series. Previously reported gaps for substituted benzimidazole-, thiazole-, and benzothiazole-based compounds range from 3 to 0.63 eV. They are reported as highly stable compounds [23,40,41]. On the other side, 4.69 eV of GH-L is calculated for compounds 1a, 1b and 1e, which represent more stability and less reactivity of these compounds. The other compounds have GH-L values of 4.25 to 4.52 eV, which represent their adequate stability with moderate reactivity. In the other series (2a2f), 2d has the lower GH-L (4.79 eV), similar to the results of compound 1d. The rest of the compounds have GH-L values from 4.91 to 5.08 eV and represent high stability and less reactivity of these compounds. All compounds of this series have a larger GH-L and are ultimately less reactive compared to compounds 1a1f (Table 3).
The FMOs isodensity distributions of compounds 1a1f are shown in Figure 4A. The isodensity in HOMOs is distributed on benzimidazole rings and bromine atoms attached to these rings in compounds 1a and 1e. Bromine is a strong electron-withdrawing group so electronic densities move toward it. However, some of the isodensity also reside on oxygen, chlorine, nitrogen, and sulfur atoms of compounds 1bd and 1f, respectively, because these atoms also have more electronegativity like bromine atoms. The result is the shift of electronic density from benzimidazole rings towards heteroatoms (C, O, N, S, and Cl) attached as substituents. This specific distribution explains the lower HOMO–LUMO gaps of these compounds (1bd and 1f) compared to other compounds (1a and 1e). The isodensity shift is prominent for 1d compared to other compounds. The isodensity in LUMOs is mainly distributed on phenyl rings in all compounds (1a1f, except 1d). These results clarify that the electron densities are migrating mainly from the donor (electron-donating groups terminal) to the acceptor unit (electron-withdrawing groups terminal). Compounds (2a2f) also have similar isodensity distributions and their HOMO and LUMO densities are given in Figure 4B. Isodenisties are localized on the benzimidazole rings in compounds 2ad and 2e. LUMO densities are present on the aromatic rings. In compounds 2c and 2f, HOMO densities shifted towards the chloro-substituted aromatic and thiophene rings and LUMO densities are on the benzimidazole rings. The gaps are mainly due to the smaller values of the LUMOs of 1d and 2d, and since the LUMOs are mainly centered on the N-arylated part, the gap is smaller due to the accepting nature of the pyridine. As shown by its highest electrophilicity value, the ω values of 1d and 2d are 3.56 and 3.80 eV, respectively.

2.2.2. Reactivity Descriptor Parameters

For further interpretation of the reactivity of compounds (1a1f and 2a2f), some other reactivity descriptor parameters were also analyzed and the results of their analysis are shown in Table 4. These parameters involve electron affinity (EA), ionization potential (I), electronic chemical potential (μ), chemical hardness (η), and electrophilicity index (ω). According to Koopman’s theorem, the negative values of HOMOs and LUMOs correspond to ionization potential (I) and electron affinity (EA), respectively [42,43,44].
The value of chemical hardness (η) is mathematically calculated as follows:
Chemical hardness (η) = (EHOMO − ELUMO)/2
The chemical hardness of 1a2f compounds is from 2.13 to 2.35 eV. The highly unstable and most reactive compound is 1d based on its small chemical hardness value (η = 2.13 eV). Compounds 1a, 1b, and 1e are stable compounds which are also confirmed from their η values of 2.34, 2.33, and 2.35 eV, respectively. The chemical hardness of other compounds is between 2.24 and 2.26 eV representing their moderate stability and reactivity. Ionization energy is between 5.78 and 6.02 eV and electron affinity are in the range of 1.10–1.77 eV. Looking towards compounds 2a2f, we see that 2d has lower chemical hardness (2.39 eV), and others are noticed as hard compounds; their η values range from 2.45 to 2.54 eV. The ionization potential and electron affinity values of 2a2f are more than those of 1a2f (Table 4).
Electronic chemical potential (μ) tells about the charge transfer at their ground state inside the compounds, and it is mathematically represented as follows:
Electronic chemical potential (μ) = (EHOMO + ELUMO)/2
where the μ of compounds 1a1f is from −3.44 to −3.89 eV. The highest μ value (−3.89 eV) and lowest μ value (−3.44 eV) were calculated for 1d and 1e, respectively. In other series (1a1f), compound 2d also has a high value of μ (−4.26 eV), which signifies that more charge transfer is from an electron donor to acceptor group.
Based on energy, the electrophilicity index (ω) represents the stability of compounds when an extra charge is transferred from the surrounding [44], and it is mathematically calculated as follows:
Electrophilicity index (ω) = μ2/2η
For compounds 1a1f, the ω values range from 3.61 to 4.02 eV. The compound 1d has the highest ω value of 3.56 eV which indicates that it is less stable for the incoming charge. The presence of electron donor and acceptor groups linked through extended conjugation is the reason for less stability of this compound and enhance its reactivity as incoming charge causes more delocalization of electronic density. In the series of 2a2f, the ω value of 2d is 3.80 eV and represents the more charge accepting capability of these compounds. Other compounds have a low ω value, i.e., up to 2.63 eV.

2.3. Non-Linear Optical (NLO) Properties

From the start of this century, scientists are following the methods to produce non-linear optical (NLO) materials because of their potential consumptions in optical data storage, optical communication, optical computing, optical limiting, medical imaging, laser devices, etc. [45,46]. To increase the NLO response of the compounds, different strategies are adopted, such as push–pull mechanism [47], metal–organic framework [48], excess electron system [45,49], etc. The organic molecules develop a strong NLO response as the transformation of electrons from donor to acceptor group is responsible for the improved value of βo [50]. Polarizability (αo) and first hyperpolarizability (βo) parameters are used to measure the NLO response of respective compounds.
Polarizability (αo) and hyperpolarizability (βo) parameters of optical and nonlinear optical properties are studied at different density functionals, i.e., CAM-B3LYP, LC-BLYP, and ωB97XD (vide infra). CAM-B3LYP has a 0.65 fraction of nonlocal exchange at an asymptotic distance and is a highly reliable method for calculating hyperpolarizabilities [36]. Full range-separated functionals LC-BLYP [37] and ωB97XD [38] have the correct 1.00 fraction of nonlocal exchange they are also well-known funtionals in the field of NLO. Almost comparable results are obtained at all selected density functionals where polarizability ranges from 182 to 239 au and hyperpolarizability is between 1.73 × 10−30 and 5.63 × 10−30 esu for 1a1f and 2a2f at LC-BLYP. Polarizability values for all them (1a1f and 2a2f) is from 188 to 246 au and hyperpolarizability is between 5.31 × 10−30 and 1.90 × 10−30 esu at ωB97XD. Moreover, 188 to 247 au and 2.00 × 10−30 to 5.66 × 10−30 esu are the polarizability and the hyperpolarizability ranges for 1a1f and 2a2f at CAM-B3LYP (Table 3 and Supplementary Materials Table S1). The highest polarizability (247 au) and hyperpolarizability (5.66 × 10−30 esu) are calculated at CAM-B3LYP functional. Therefore, the results of CAM-B3LYP are given in the main manuscript other results are given in supplementary material (Table S1). The short-range intermolecular interaction plays important role in describing optical and nonlinear optical properties of all these compounds due to which the results of CAM-B3LYP are better than the other two functionals.
Polarizability is the distribution of electron density in a system. The compounds having electron-donating and accepting groups at the opposite edge of phenyl rings have a high value of αo because of positive and negative centers. On the other side, the compounds having equal electronic density distribution due to similar functional groups on the opposite terminal have a low αo value. The compound 1a has a high value of αo (220 au) whereas 1e has a low αo value (182 au). Other compounds have moderate αo values, from 183 to 208 au. The αo values of compounds 2a2f range from 208 to 239 au. The αo value of 2e is high due to electron-withdrawing and donating groups attached at opposite terminals of the ring.
Benzimidazole ring act as electron-rich species when phenyl ring having different substitution are attached. The shifting of electronic density occurs due to an extended conjugated system between electron-withdrawing and donating groups, the corresponding intersystem charge transfer (ICT) increases the βo. The compound 1b displayed the largest βo value (5.66 × 10−30 esu), because of the strong electron-donating group (MeO-) at the para position of the aromatic ring, and on the other side of this molecule, the electron-withdrawing bromine group is attached. According to the push–pull mechanism, shifting of electronic density (ICT) occur under extended conjugation. A βo value of (4.61 × 10−30 esu) was observed for compound 1a where a lower electron-donating methyl group is attached to the phenyl ring compared to the methoxy group. The βo values of 1d, 1e, and 1f compounds are 4.40 × 10−30, 4.00 × 10−30, and 4.30 × 10−30 esu, respectively. All these compounds have electron-donating property-based substations, i.e., pyridine, di-methylbenzene, and thiazole rings, which enhance βo. In compound 1c, chlorine and bromine groups are present on opposite terminals of the compound and result in a lower βo value (3.81 × 10−30 esu). Both halogen groups withdraw electronic density towards themselves, and the ICT transfer is low compared to other above-discussed compounds. For compounds 2a2f, βo values are in a range from 2.00 × 10−30 to 3.54 × 10−30 esu. Compounds (2a2f) have a lower βo compared to compounds (1a2f), but the overall results are similar 1a2f series. The reason is the acetamide group where resonance occurs between the nitrogen and carbonyl groups, and it also acts as an electron-donating group, although the extent of donation is low. Strong electron-donating methoxy of 2b (3.54 × 10−30 esu), moderate electron-donating pyridine, and thiophene groups of 2d (2.40 × 10−30 esu) and 2f (2.37 × 10−30 esu) enhance delocalization of the π bonding and electron-withdrawing group bromine on the other side accept the electronic density. The shifting of density is more in the case of methoxy group as compared to thiophene and pyridine. The sulfur of thiophene (2f) has the opposite effect due to the electronegativity of sulfur, so its βo is lower than the methoxy group. A low electron-donating group methyl in compounds 2a (2.02 × 10−30 esu), 2e (2.01 × 10−30 esu) has a lower tendency to undergo ICT and have comparatively low βo. The lowest βo value is obtained for 2c due to electron-withdrawing groups’ attachment on the opposite side but due to the presence of moderately electron-donating group the ICT is more compared to 1c and a value of 2.00 × 10−30 is seen.
We compare the result of 1b at CAM-B3LYP with already reported compounds from benzimidazole family and their comparative graph is given in Table 5. The table clearly represents that values of our designed compounds are close to the already reported compounds (salicylidenephenyl)benzimidazole] (Spbzl) at B3LYP, salicylidenephenyl)benzimidazole]* (Spbzl*) at CAM-B3LYP and 4-((3-(1H-benzimidazol-2-yl)phenylimino)methyl)-3-hydroxybenzoic acid (Pbzlb) at CAM-B3LYP.) in the gaseous phase at B3LYP and CAM-B3LYP level [51]. The table shows almost similar NLO response of our compounds to already reported on which justifies the better performance of our compounds.

2.4. UV–VIS Absorption Analysis

UV–VIS absorption analysis is performed by using the TD-DFT method to get an insight into electronic excitation that occurs from a lower energy state to a higher energy state [52]. UV–VIS spectra of the parent compound (1) and substituted compounds (1a2f and 2a2f) are given in Figure 5. Results of oscillating strength (fo), excitation energies (∆E), and wavelength (λ) of all compounds (1,1a2f and 2a2f) are given in Table 6 The redshift is seen in all substituted compounds (1a2f) in comparison to the parent compound (1). The pronounced effect is seen for 1a compound in series of 1a2f compounds. The electronic excitation takes place from donor–acceptor groups. In compounds where on both sides of the parent skeleton electron-donating and withdrawing groups are attached, this excitation is more prominent. In compound 1a, the electron-withdrawing bromine group (-Br) is attached, while, on the other side, the electron-donating methyl group (-CH3) is attached. A prominent redshift of 248 nm wavelength is observed for it (1a). Based on the electron-donating capability of other groups, the corresponding redshift is observed. The increasing trend of wavelength is as follows: 1a (248 nm) > 1b (226 nm) > 1d (221 nm) > 1f (217 nm) > 1e (213 nm) > 1c (212 nm).
UV–VIS analysis for 2a2f series of compounds is also performed where hydrogen is replaced by an amide group (Figure 5). Again, a redshift is seen compared to parent compound 1, which indicates the electronic excitation; the bathochromic shift is seen where peaks move toward a higher wavelength. Maximum wavelength is obtained for compound 2b, where the peak is located at 222 nm. The amide group increases the wavelength of the compounds that have a lower wavelength in the 2a2f series, because of the presence of electron-withdrawing groups at both opposite terminals (compound 2e). The maximum wavelength for these compounds 2a2f ranges from 214 to 223 nm. Amide is an electron-withdrawing group, and it facilitates the push–pull mechanism and delocalization of electrons. The observed electronic excitations enable these compounds (1a1f and 2a2f) as efficient NLO materials usage in a second-harmonic generation. These compounds show transparency below 200 nm, so they can also be used in UV laser technology. Su and co-workers also worked on the single group substitution of benzimidazole; they observed that electron-donating groups decrease the wavelength, whereas the electron-withdrawing group increases the observed wavelength [53]. Their calculated wavelength is lower than our reported maximum wavelength for compounds 1a and 1b.

3. Experimental

All the purchased chemicals (Sigma Aldrich, St. Louis, MO, USA) and solvents were purified before use by distillation, or, for extra purity, some of the solvents were also dried in the lab. All the reactions were completed under and open-air environment. The reaction progress was checked by using a TLC card. Organic solutions were evaporated from the reaction by using a rotatory evaporator (Buchi, R-210, Allschwil, Switzerland) and vacuum pump (Buchi, V-700, Flawil, Switzerland). NMR spectra were calculated in CDCl3 and DMSO-d6 by using Bruker ARX 400 and 125 MHz FT–NMR spectrometers (Billercia, MA, USA). Different aryl boronic acid, bases, and solvents were used for the synthesis of required compounds by following specific methods.

3.1. General Protocol for the Synthesis of Compounds

3.1.1. General Procedures for the Synthesis of 5-Bromo-1H-benzo[d]imidazol-2-amine Derivatives (1a1f)

A dry 100 mL round-bottom flask was loaded with 0.94 mmol of 5-bromo-2-aminobenzimidazole (1), 0.94 mmol of Cu(OAc)2, and 8 mL of methanol. Then the mixture was stirred under an open-air environment for 15 min. After that, 1.88 mmol of base Et3N or TMEDA, 1.128 mmol of aryl boronic acid, and 2 mL of water were added and stirred again for two hours. The reaction progress was monitored by TLC. After completion, the reaction mixture was filtered and concentrated by rotary evaporated to get residue [29]. The residue was column chromatographed to get the desired product, which was further analyzed by using NMR spectroscopic techniques.

3.1.2. Synthesis of N-(5-Bromo-1H-benzo[d]imidazol-2-yl) Acetamide (2)

The mixture of 5-bromo-2-aminobenzimidazole (0.1 g, 0.47 mmol) in 5 mL of acetic anhydride was heated at 40 °C for 4 h. The precipitates of the reaction mixture were cooled to 0 °C, then filtered off and washed with DCM and water. Finally, they were dried to give the final product with white crystals [28].

3.1.3. General Procedures for the Synthesis of N-(5-Bromo-1H-benzo[d]imidazol-2-yl) Acetamide Derivatives (2a2f)

A dry 100 mL round-bottom flask was loaded with 0.39 mmol of N-(5-bromo-1H-benzo[d]imidazol-2-yl)acetamide, 0.47 mmol of aryl boronic acid, 0.59 mmol of Cu(OAc)2, 0.59 mmol of triethylamine, 100 mg of 4 Å molecular sieves, and then 10 mL of dry DCM. Then, the reaction mixture was stirred at room temperature, for 36 h; TLC examination was carried out to monitor the reaction completion. Upon completion, the reaction mixture was filtered and washed with ethyl acetate (5 mL). Then, the solvent was evaporated by rotary evaporation to obtain the residue [15,30]. The residue was column chromatographed by utilizing a mixture of hexane and ethyl acetate (60/40) to obtain the wanted product with a good % yield, which was further analyzed by using NMR spectroscopic techniques. The NMR spectra are given in Supplementary Material (Figures S1–S18).

3.2. Characterization Data

5-bromo-1-p-tolyl-1H-benzo[d]imidazol-2-amine (1a): 1H-NMR (400 MHz, CDCl3): δ = 7.86 (d, J = 6.9 Hz, 3H), 7.18 (d, J = 7.5 Hz, 3H), 7.12 (d, J = 8.0 Hz, 1H), 6.98 (s, 2H), 2.34 (s, 3H). 13C-NMR (125 MHz, DMSO-d6): δ = 158.42, 142.54, 140.36, 138.02, 137.53, 128.95, 128.85, 128.22, 127.79, 124.96, 119.63, 112.46, 111.18, 21.15. Anal. Calcd. For C14H12BrN3: C, 55.65; H, 4.00; N, 13.91. Found: C, 55.72; H, 4.09; N, 13.88.
5-bromo-1-(4-methoxyphenyl)-1H-benzo[d]imidazol-2-amine (1b): 1H-NMR (400 MHz, CDCl3): δ = 7.93 (d, J = 7.9 Hz, 2H), 7.70 (d, J = 29.8 Hz, 1H), 7.08 (d, J = 7.4 Hz, 1H), 6.94–6.91 (m, 3H), 6.82 (s, 2H), 3.80 (s, 3H). 13C-NMR (125 MHz, DMSO-d6): δ = 155.58, 140.21, 140.14, 134.50, 130.67, 124.58, 121.64, 1117.64, 116.91, 113.68, 110.82, 110.77, 109.87, 60.33. Anal. Calcd. For C14H12BrN3O: C, 52.85; H, 3.80; N, 13.21. Found: C, 52.83; H, 3.86; N, 13.25.
5-bromo-1-(3-chlorophenyl)-1H-benzo[d]imidazol-2-amine (1c): 1H-NMR (400 MHz, CDCl3) δ = 7.85 (d, J = 7.9 Hz, 3H), 7.63 (s, 1H), 7.33 (d, J = 8.2 Hz, 4H), 7.22 (d, J = 6.8 Hz, 1H). 13C-NMR (125 MHz, DMSO-d6): δ = 160.87, 156.29, 150.14, 141.45, 139.32, 139.20, 137.30, 134.46, 121.11, 118.66, 114.38, 112.41, 110.88. Anal. Calcd. For C13H9BrClN3: C, 48.40; H, 2.81; N, 13.03. Found: C, 48.48; H, 2.85; N, 13.00.
5-bromo-1-(pyridin-3-yl)-1H-benzo[d]imidazol-2-amine (1d): 1H-NMR (400 MHz, CDCl3) δ = 8.60 (d, J = 4.2 Hz, 2H), 7.66 (t, J = 7.7 Hz, 2H), 7.41 (s, 1H), 7.14 (dt, J = 16.8, 8.4 Hz, 4H). 13C-NMR (125 MHz, DMSO-d6): δ = 161.80, 146.93, 136.70, 135.23, 134.89, 134.53, 133.57, 131.78, 121.71, 119.30, 117.42, 114.69. Anal. Calcd. For C12H9BrN4: C, 49.85; H, 3.14; N, 19.38. Found: C, 49.93; H, 3.15; N, 19.33.
5-bromo-1-(3,5-dimethylphenyl)-1H-benzo[d]imidazol-2-amine (1e): 1H-NMR (400 MHz, CDCl3) δ = 7.68–7.47 (m, 5H), 7.32 (s, 1H), 7.07 (s, 2H), 2.37 (s, 6H). 13C-NMR (125 MHz, DMSO-d6): δ = 154.26, 151.85, 149.37, 142.11, 136.30, 130.94, 126.54, 120.85, 118.15, 116.85, 113.22, 111.00, 27.46. Anal. Calcd. For C15H14BrN3: C, 56.98; H, 4.46; N, 13.29. Found: C, 57.02; H, 4.49; N, 13.24.
5-bromo-1-(thiophen-3-yl)-1H-benzo[d]imidazol-2-amine (1f): 1H-NMR (400 MHz, CDCl3): δ = 7.82 (s, 1H), 7.49 (t, J = 9.7 Hz, 2H), 7.37–7.32 (m, 2H), 7.12 (d, J = 7.3 Hz, 1H), 6.98 (s, 2H). 13C-NMR (125 MHz, DMSO-d6): δ = 154.67, 149.45, 144.50, 129.31, 122.00, 120.36, 117.72, 116.02, 115.76, 115.01, 111.88. Anal. Calcd. For C11H8BrN3S: C, 44.91; H, 2.74; N, 14.28. Found: C, 44.98; H, 2.76; N, 14.25.
N-(5-bromo-1H-benzo[d]imidazol-2-yl)acetamide (2): 1H-NMR (400 MHz, CDCl3): δ = 7.98 (d, J = 2.0 Hz, 1H), 7.62 (dd, J = 9.2, 2.8 Hz, 2H), 6.97 (s, 1H), 5.94 (s, 1H), 2.28 (s, 3H). 13C-NMR (125 MHz, CDCl3): δ = 172.48, 147.28, 134.47, 133.26, 122.63, 117.39, 115.46, 112.57, 23.43. Anal. Calcd. For C9H8BrN3O: C, 42.54; H, 3.17; N, 16.54. Found: C, 42.59; H, 3.20; N, 16.52.
N-(5-bromo-1-p-tolyl-1H-benzo[d]imidazol-2-yl)acetamide (2a): 1H-NMR (400 MHz, CDCl3): δ = 8.08 (d, J = 8.1 Hz, 1H), 7.85 (d, J = 8.1 Hz, 1H), 7.68 (d, J = 8.1 Hz, 2H), 7.31 (d, J = 8.1 Hz, 1H), 7.22 (d, J = 8.2 Hz, 2H), 4.37 (s, 1H), 2.52 (s, 3H), 2.47 (s, 3H). 13C-NMR (125 MHz, CDCl3): δ = 172.46, 148.04, 139.77, 137.59, 135.30, 133.73, 130.69, 125.23, 120.74, 118.42, 115.78, 113.78, 23.91, 20.92. Anal. Calcd. For C16H14BrN3O: C, 55.83; H, 4.10; N, 12.21. Found: C, 55.91; H, 4.14; N, 12.19.
N-(5-bromo-1-(4-methoxyphenyl)-1H-benzo[d]imidazol-2-yl)acetamide (2b): 1H-NMR (400 MHz, CDCl3): δ = 7.97 (d, J = 1.6 Hz, 1H), 7.84 (d, J = 8.7 Hz, 2H), 7.66 (d, J = 8.8 Hz, 1H), 7.41 (dd, J = 8.4, 1.2 Hz, 1H), 7.0 (d, J = 8.0 Hz, 2H), 5.91 (s, 1H), 3.88 (s, 3H), 2.24 (s, 3H). 13C-NMR (125 MHz, CDCl3): δ = 171.98, 162.78, 148.75, 138.98, 135.39, 130.71, 128.74, 123.64, 120.62, 118.89, 116.32, 113.01, 57.46, 23.86. Anal. Calcd. For C16H14BrN3O2: C, 53.35; H, 3.92; N, 11.67. Found: C, 53.42; H, 3.90; N, 11.66.
N-(5-bromo-1-(3-chlorophenyl)-1H-benzo[d]imidazol-2-yl)acetamide (2c): 1H-NMR (400 MHz, CDCl3): δ = 8.04–8.02 (m, 1H), 7.94 (d, J = 1.8 Hz, 1H), 7.81 (d, J = 1.7 Hz, 1H), 7.64 (d, J = 8.5 Hz, 1H), 7.47–7.41 (m, 3H), 5.97 (s, 1H), 2.28 (s, 3H). 13C-NMR (125 MHz, CDCl3): δ = 172.67, 148.47, 138.78, 135.56, 134.58, 132.67, 130.77, 128.57, 126.82, 124.04, 122.09, 120.02, 117.47, 113.89, 24.01. Anal. Calcd. For C15H11BrClN3O: C, 49.41; H, 3.04; N, 11.52. Found: C, 49.43; H, 3.09; N, 11.49.
N-(5-bromo-1-(pyridin-3-yl)-1H-benzo[d]imidazol-2-yl)acetamide (2d): 1H-NMR (400 MHz, DMSO-d6): δ = 8.17 (d, J = 2.3 Hz, 1H), 7.96 (d, J = 7.4 Hz, 2H), 7.80 (dd, J = 8.8, 2.4 Hz, 2H), 7.55 (d, J = 8.8 Hz, 2H), 4.70 (s, 1H), 2.55 (s, 3H). 13C-NMR (125 MHz, CDCl3): δ = 171.94, 147.92, 145.46, 142.56, 136.84, 134.87, 131.75, 129.99, 125.45, 122.04, 118.52, 117.15, 115.97, 23.67. Anal. Calcd. For C14H11BrN4O: C, 50.77; H, 3.35; N, 16.92. Found: C, 50.86; H, 3.41; N, 16.86.
N-(5-bromo-1-(3,5-dimethylphenyl)-1H-benzo[d]imidazol-2-yl)acetamide (2e): 1H-NMR (400 MHz, CDCl3) δ = 7.67 (s, 3H), 7.34 (s, 1H), 7.11 (d, J = 6.4 Hz, 3H), 2.34 (s, 3H), 2.32 (s, 6H). 13C-NMR (125 MHz, DMSO-d6): δ = 172.65, 149.19, 136.09, 134.71, 132.25, 129.28, 127.51, 126.28, 124.61, 121.69, 117.05, 113.96, 21.51, 17.65. Anal. Calcd. For C17H16BrN3O: C, 57.00; H, 4.50; N, 11.73. Found: C, 57.06; H, 4.53; N, 11.70.
N-(5-bromo-1-(thiophen-3-yl)-1H-benzo[d]imidazol-2-yl)acetamide (2f): 1H-NMR (400 MHz, CDCl3) δ = 7.98 (d, J = 7.2 Hz, 2H), 7.84 (s, 1H), 7.63–7.59 (m, 1H), 7.43 (s, 1H), 7.36 (s, 1H), 4.37 (s, 1H), 2.34 (s, 3H). 13C-NMR (125 MHz, DMSO-d6): δ = 172.75, 149.97, 148.28, 135.52, 131.88, 125.49, 122.28, 121.86, 114.90, 113.05, 111.91, 109.59, 21.51. Anal. Calcd. For C13H10BrN3OS: C, 46.44; H, 3.00; N, 12.50. Found: C, 46.49; H, 2.98; N, 12.56.

3.3. Computational Details

All synthesized compounds (1a1f and 2a2f) were computationally studied by using Gaussian 09 [33] and GaussView 5.0 software [54]. First of all, compounds were optimized at B3LYP functional of DFT. B3LYP functional is widely used for optimization because of fewer chances of errors in the geometrical parameters’ description [35,55]. Frequency analyses were done at the same level of theory for further confirmations of these structures as true minima energy structures on potential energy surfaces. An analysis of frontier molecular orbitals (FMOs) was performed, and reactivity descriptor parameters were calculated at B3LYP/6-31+G(d,p) method. Nonlinear optical (NLO) properties, including polarizabilities and first hyperpolarizability parameters, were measured at CAM-B3LYP [36], LC-BLYP [37], and ωB97XD [38] with a 6-31+G(d,p) [34] level.

4. Conclusions

Consequently, our investigation concentrated on the cross-coupling of 5-bromo-2-aminobenzimidazole and aryl boronic acids under various reaction conditions. The impact of different bases and solvents was observed, and we noted that the reaction is not potent with Et3N and pyridine; however, the reaction products obtained a good yield with TMEDA. Finally, all synthesized derivatives (1a1f and 2a2f) were computationally studied by applying DFT calculations. Frontier molecular orbital (FMO) analysis provides information about the electronic properties and reactivity of compounds. Out of 1a1f, compound 1d, and out of 2a2f, compound 2d presented the lowest HOMO–LUMO energy gap of 4.25 and 4.79 eV, respectively. The isodensity shift was more pronounced for these compounds as compared to others. Reactivity descriptor parameters were also calculated to determine the chemical reactivity relations of all synthesized derivatives. Compounds 1d and 2d have the lowest values of chemical hardness (2.13 and 2.39 eV), lower electronic chemical potential (−3.89 and −4.26 eV), and highest values of electrophilicity index (3.56 and 3.80 eV), respectively. Also, Compounds 2d has lowest electronic chemical potential (−4.26 eV) among all compounds. The compounds 1a1f displayed better results for all properties when compared to compounds 2a2f, because the acetamide group shows conjugation between nitrogen and carbonyl groups, where electronic density shifting is low. Moreover, polarizability (αo) and first hyperpolarizability (βo) parameters were used to measured NLO response. Overall, 1a has a high αo value of 228 au, and 2e exhibited the highest value of 247 au due to electron-withdrawing and donating groups attached at opposite terminals of the rings. The highest value of βo is shown by 1b (5.66 × 10−30 au). UV–VIS absorption analysis is performed to understand electronic excitation in the designed compounds. These results suggested the use of these compounds in the field of optics and nonlinear optics.

Supplementary Materials

The following are available online. Figures S1–S18: 1H-NMR and s 13C-NMR pectrum of compound 1a2f; Table S1: Polarizability and hyperpolarizability of compounds 1a1f and 2a2f.

Author Contributions

Conceptualization, N.R., U.R. and M.M.; methodology, N.R. and M.M.; formal analysis, G.A.; investigation and data curation G.A. and M.M.; writing draft preparation, G.A. and N.R.; writing—review and editing, N.R., M.M., N.K., G.A. and U.R. All authors have read and agreed to the published version of the manuscript.

Funding

Article Processing Charges (APC) was funded by Research Management Center (RMC), Universiti Putra Malaysia (UPM), Malaysia.

Institutional Review Board Statement

Not applicable.

Informed Consent Statement

Not applicable.

Data Availability Statement

Not applicable.

Acknowledgments

The present data are part of the Ph.D. thesis research work of Mubeen Mumtaz.

Conflicts of Interest

The authors declare no conflict of interest.

Sample Availability

Samples of the compounds are available from the authors.

References

  1. Karaffa, L.S. The Merck Index: An Encyclopedia of Chemicals, Drugs, and Biologicals; RSC Publishing: London, UK, 2013. [Google Scholar]
  2. Nawrocka, W.; Zimecki, M.; Kuznicki, T.; Kowalska, M.W. Immunotropic Properties of 2-Aminobenzimidazole Derivatives in Cultures of Human Peripheral Blood Cells, Part 5. Arch. Pharm. Int. J. Pharm. Med. Chem. 1999, 332, 85–90. [Google Scholar] [CrossRef]
  3. Mor, M.; Bordi, F.; Silva, C.; Rivara, S.; Zuliani, V.; Vacondio, F.; Rivara, M.; Barocelli, E.; Bertoni, S.; Ballabeni, V. Synthesis, biological activity, QSAR and QSPR study of 2-aminobenzimidazole derivatives as potent H3-antagonists. Bioorganic Med. Chem. 2004, 12, 663–674. [Google Scholar] [CrossRef]
  4. de Dios, A.; Shih, C.; de Uralde, B.L.; Sánchez, C.; del Prado, M.; Martín Cabrejas, L.M.; Pleite, S.; Blanco-Urgoiti, J.; Lorite, M.J.; Nevill, C.R. Design of potent and selective 2-aminobenzimidazole-based p38α MAP kinase inhibitors with excellent in vivo efficacy. J. Med. Chem. 2005, 48, 2270–2273. [Google Scholar] [CrossRef] [PubMed]
  5. Nawrocka, W.; Sztuba, B.; Kowalska, M.W.; Liszkiewicz, H.; Wietrzyk, J.; Nasulewicz, A.; Pełczyńska, M.; Opolski, A. Synthesis and antiproliferative activity in vitro of 2-aminobenzimidazole derivatives. II Farm. 2004, 59, 83–91. [Google Scholar]
  6. Iriepa, I.; Gil-Alberdi, B.; Gálvez, E.; Villasante, F.J.; Bellanato, J.; Carmona, P. Synthesis, structural, conformational and pharmacological study of some carbamates derived from 3-methyl-2, 4-diphenyl-3-azabicyclo [3.3. 1] nonan-9β-ol. J. Mol. Struct. 1999, 482, 437–442. [Google Scholar] [CrossRef]
  7. Vigorita, M.; Previtera, T.; Zappalà, C.; Trovato, A.; Monforte, M.; Barbera, R.; Pizzimenti, F. N-trifluoroacetyl derivatives as pharmacological agents. V. Evaluation of antiinflammatory and antimicrobial activities of some N-heterocyclic trifluoroacetamides. Farmaco 1990, 45, 223–235. [Google Scholar] [PubMed]
  8. Hu, Y.; Long, S.; Fu, H.; She, Y.; Xu, Z.; Yoon, J. Revisiting imidazolium receptors for the recognition of anions: Highlighted research during 2010–2019. Chem. Soc. Rev. 2021, 50, 589–618. [Google Scholar] [CrossRef] [PubMed]
  9. Wahe, H.; Asobo, P.F.; Cherkasov, R.A.; Nkengfack, A.E.; Folefoc, G.N.; Fomum, Z.T.; Doepp, D. Heterocycles of biological importance. Part 6. The formation of novel biologically active pyrimido [1,2-a] benzimid-azoles from electron deficient alkynes and 2-aminobenzimidazoles. Arkivoc 2003, 2003, 170–177. [Google Scholar] [CrossRef] [Green Version]
  10. Nawrocka, W. Syntheses and pharmacological properties of new 2-aminobenzimidazole derivatives. Boll. Chim. Farm. 1996, 135, 18–23. [Google Scholar] [PubMed]
  11. Rossi, R.; Lessi, M.; Manzini, C.; Marianetti, G.; Bellina, F. Achievement of regioselectivity in transition metal-catalyzed direct C–H (hetero) arylation reactions of heteroarenes with one heteroatom through the use of removable protecting/blocking substituents or traceless directing groups. Tetrahedron 2016, 72, 1795–1837. [Google Scholar] [CrossRef] [Green Version]
  12. Maria Thomas, A.; Sujatha, A.; Anilkumar, G. Goldberg reaction: Development, mechanistic insights and applications. Mini Rev. Org. Chem. 2015, 12, 3–23. [Google Scholar] [CrossRef]
  13. Reddy, K.R.; Kumar, N.S.; Sreedhar, B.; Kantam, M.L. N-Arylation of nitrogen heterocycles with aryl halides and arylboronic acids catalyzed by cellulose supported copper (0). J. Mol. Catal. A Chem. 2006, 252, 136–141. [Google Scholar] [CrossRef]
  14. Guram, A.S.; Buchwald, S.L. Palladium-catalyzed aromatic aminations with in situ generated aminostannanes. J. Am. Chem. Soc. 1994, 116, 7901–7902. [Google Scholar] [CrossRef]
  15. Chan, D.M.; Monaco, K.L.; Wang, R.-P.; Winters, M.P. New N-and O-arylations with phenylboronic acids and cupric acetate. Tetrahedron Lett. 1998, 39, 2933–2936. [Google Scholar] [CrossRef]
  16. Rao, D.N.; Rasheed, S.; Kumar, K.A.; Reddy, A.S.; Das, P. Copper-Catalyzed C-NH2 Arylation of 2-Aminobenzimidazoles and Related C-Amino-NH-azoles. Adv. Synth. Catal. 2016, 358, 2126–2133. [Google Scholar] [CrossRef]
  17. Qiao, J.X.; Lam, P.Y. Recent Advances in Chan–Lam Coupling Reaction: Copper-Promoted C–Heteroatom Bond Cross-Coupling Reactions with Boronic Acids and Derivatives. In Boronic Acids: Preparation and Applications in Organic Synthesis, Medicine and Materials, 1&2, 2nd ed.; John Wiley & Sons GmbH: Weinheim, Germany, 2011; Volume 1, pp. 315–361. [Google Scholar]
  18. Cramer, C.J.; Bickelhaupt, F. Essentials of computational chemistry. Angew. Chem. Int. Ed. Engl. 2003, 42, 381. [Google Scholar]
  19. Koch, W.; Holthausen, M.C. A Chemist’s Guide to Density Functional Theory; John Wiley & Sons: Hoboken, NJ, USA, 2015. [Google Scholar]
  20. Ledoux, I. New advances in molecular engineering for quadratic nonlinear optics. Synth. Met. 1993, 54, 123–137. [Google Scholar] [CrossRef]
  21. Duo-rong, Y.; Dong, X.; Nan, Z.; Ming-guo, L.; Min-hua, J. Organic nonlinear optical crystal MHBA for compact blue-violet laser. Chin. Phys. Lett. 1996, 13, 841. [Google Scholar]
  22. Muhammad, S.; Xu, H.; Janjua, M.R.S.A.; Su, Z.; Nadeem, M. Quantum chemical study of benzimidazole derivatives to tune the second-order nonlinear optical molecular switching by proton abstraction. PCCP 2010, 12, 4791–4799. [Google Scholar] [CrossRef]
  23. Tayade, R.P.; Sekar, N. Benzimidazole-thiazole based NLOphoric styryl dyes with solid state emission—Synthesis, photophysical, hyperpolarizability and TD-DFT studies. Dye. Pigment. 2016, 128, 111–123. [Google Scholar] [CrossRef]
  24. Thakare, S.S.; Sreenath, M.C.; Chitrambalam, S.; Joe, I.H.; Sekar, N. Non-linear optical study of BODIPY-benzimidazole conjugate by solvatochromic, Z-scan and theoretical methods. Opt. Mater. 2017, 64, 453–460. [Google Scholar] [CrossRef]
  25. Tamer, Ö.; Gözüaçık, F.; Avcı, D.; Atalay, Y. Theoretical analysis on structural, spectroscopic, and electronic properties of some 2-aminobenzimidazole complexes by using PBE1PBE, B3LYP, and HF methods. Opt. Spectrosc. 2014, 116, 12–32. [Google Scholar] [CrossRef]
  26. Muthuraja, A.; Kalainathan, S. A study on growth, optical, mechanical, and NLO properties of 2-Mercaptobenzimidazole, 2-Phenylbenzimidazole and 2-Hydroxy benzimidazole single crystals: A comparative investigation. Mater. Technol. 2017, 32, 335–348. [Google Scholar] [CrossRef]
  27. Zhan, C.-G.; Nichols, J.A.; Dixon, D.A. Ionization potential, electron affinity, electronegativity, hardness, and electron excitation energy: Molecular properties from density functional theory orbital energies. J. Phys. Chem. A 2003, 107, 4184–4195. [Google Scholar] [CrossRef] [Green Version]
  28. Ma, C.; Liu, Z.; Yao, Q. Synthesis and characterization of 5-amino-1,3,6-trinitro-1H-benzo[d]imidazol-2(3H)-one as an energetic material. RSC Adv. 2014, 4, 42215–42219. [Google Scholar] [CrossRef]
  29. Yue, Y.; Zheng, Z.G.; Wu, B.; Xia, C.Q.; Yu, X.Q. Copper-Catalyzed Cross-Coupling Reactions of Nucleobases with Arylboronic Acids: An Efficient Access to N-Arylnucleobases. Eur. J. Org. Chem. 2005, 2005, 5154–5157. [Google Scholar] [CrossRef]
  30. Ikram, H.M.; Rasool, N.; Hashmi, M.A.; Anjum, M.A.; Ali, K.G.; Zubair, M.; Ahmad, G.; Mahmood, T. Density functional theory-supported studies of structural and electronic properties of substituted-phenol derivatives synthesized by efficient O-or C-arylation via Chan Lam or Suzuki cross-coupling reactions. Turk. J. Chem. 2019, 43, 1306–1321. [Google Scholar] [CrossRef]
  31. Inque, S.; Imanaka, Y. Reactions of organozinc coordination compounds II. Reactivity with secondary amines. J. Organomet. Chem. 1972, 35, 1–7. [Google Scholar] [CrossRef]
  32. Collum, D.B. Is N, N, N′, N′-tetramethylethylenediamine a good ligand for lithium? Acc. Chem. Res. 1992, 25, 448–454. [Google Scholar] [CrossRef]
  33. Frisch, M.J.; Trucks, G.W.; Schlegel, H.B.; Scuseria, G.E.; Robb, M.A.; Cheeseman, J.R.; Scalmani, G.; Barone, V.; Mennucci, B.; Petersson, G.A.; et al. Gaussian 09, Revision D.01; Gaussian, Inc.: Wallingford, CT, USA, 2009. [Google Scholar]
  34. Ochterski, J.W.; Petersson, G.A.; Montgomery, J.A., Jr. A complete basis set model chemistry. V. Extensions to six or more heavy atoms. J. Chem. Phys. 1996, 104, 2598–2619. [Google Scholar] [CrossRef]
  35. Adamo, C.; Barone, V. Exchange functionals with improved long-range behavior and adiabatic connection methods without adjustable parameters: The m PW and m PW1PW models. J. Chem. Phys. 1998, 108, 664–675. [Google Scholar] [CrossRef]
  36. Bannwarth, C.; Grimme, S. A simplified time-dependent density functional theory approach for electronic ultraviolet and circular dichroism spectra of very large molecules. Comput. Theor. Chem. 2014, 1040, 45–53. [Google Scholar] [CrossRef]
  37. Iikura, H.; Tsuneda, T.; Yanai, T.; Hirao, K. A long-range correction scheme for generalized-gradient-approximation exchange functionals. J. Chem. Phys. 2001, 115, 3540–3544. [Google Scholar] [CrossRef]
  38. Russo, T.V.; Martin, R.L.; Hay, P.J. Density functional calculations on first-row transition metals. J. Chem. Phys. 1994, 101, 7729–7737. [Google Scholar] [CrossRef] [Green Version]
  39. Yoosefian, M.; Etminan, N. The role of solvent polarity in the electronic properties, stability and reactivity trend of a tryptophane/Pd doped SWCNT novel nanobiosensor from polar protic to non-polar solvents. RSC Adv. 2016, 6, 64818–64825. [Google Scholar] [CrossRef]
  40. Tayade, R.P.; Sekar, N. Novel thiazole based styryl dyes with benzimidazole unit-synthesis, photophysical and TD-DFT studies. J. Fluoresc. 2017, 27, 167–180. [Google Scholar] [CrossRef]
  41. Muhammad, S.; Kumar, S.; Koh, J.; Saravanabhavan, M.; Ayub, K.; Chaudhary, M. Synthesis, characterisation, optical and nonlinear optical properties of thiazole and benzothiazole derivatives: A dual approach. Mol. Simul. 2018, 44, 1191–1199. [Google Scholar] [CrossRef]
  42. Ayub, K. Are phosphide nano-cages better than nitride nano-cages? A kinetic, thermodynamic and non-linear optical properties study of alkali metal encapsulated X 12 Y 12 nano-cages. J. Mater. Chem. C 2016, 4, 10919–10934. [Google Scholar] [CrossRef]
  43. Hirata, S.; Nooijen, M.; Bartlett, R.J. High-order determinantal equation-of-motion coupled-cluster calculations for ionized and electron-attached states. Chem. Phys. Lett. 2000, 328, 459–468. [Google Scholar] [CrossRef]
  44. Parr, R.G.; Szentpály, L.V.; Liu, S. Electrophilicity index. J. Am. Chem. Soc. 1999, 121, 1922–1924. [Google Scholar] [CrossRef]
  45. Kosar, N.; Mahmood, T.; Ayub, K.; Tabassum, S.; Arshad, M.; Gilani, M.A. Doping superalkali on Zn12O12 nanocage constitutes a superior approach to fabricate stable and high-performance nonlinear optical materials. Opt. Laser Technol. 2019, 120, 105753. [Google Scholar]
  46. Ullah, F.; Kosar, N.; Ayub, K.; Mahmood, T. Superalkalis as a source of diffuse excess electrons in newly designed inorganic electrides with remarkable nonlinear response and deep ultraviolet transparency: A DFT study. Appl. Surf. Sci. 2019, 483, 1118–1128. [Google Scholar] [CrossRef]
  47. Mahmood, N.; Rasool, N.; Ikram, H.M.; Hashmi, M.A.; Mahmood, T.; Zubair, M.; Ahmad, G.; Rizwan, K.; Rashid, T.; Rashid, U. Synthesis of 3, 4-Biaryl-2, 5-Dichlorothiophene through Suzuki Cross-Coupling and Theoretical Exploration of Their Potential Applications as Nonlinear Optical Materials. Symmetry 2018, 10, 766. [Google Scholar] [CrossRef] [Green Version]
  48. Guo, Z.; Cao, R.; Wang, X.; Li, H.; Yuan, W.; Wang, G.; Wu, H.; Li, J. A multifunctional 3D ferroelectric and NLO-active porous metal− organic framework. J. Am. Chem. Soc. 2009, 131, 6894–6895. [Google Scholar] [CrossRef]
  49. Tahir, H.; Kosar, N.; Ayub, K.; Mahmood, T. Outstanding NLO response of thermodynamically stable single and multiple alkaline earth metals doped C20 fullerene. J. Mol. Liq. 2020, 305, 112875. [Google Scholar] [CrossRef]
  50. Lu, S.I. Computational study of static first hyperpolarizability of donor–acceptor substituted (E)-benzaldehyde phenylhydrazone. J. Comput. Chem. 2011, 32, 730–736. [Google Scholar] [CrossRef]
  51. Suman, G.; Bubbly, S.; Gudennavar, S.; Muthu, S.; Roopashree, B.; Gayatri, V.; Gowda, N.N. Structural investigation, spectroscopic and energy level studies of Schiff base: 2-[(3′-N-salicylidenephenyl) benzimidazole] using experimental and DFT methods. J. Mol. Struct. 2017, 1139, 247–254. [Google Scholar] [CrossRef]
  52. Wasim, F.; Kosar, N.; Mahmood, T.; Ayub, K. Sensor applications of polypyrrole for oxynitrogen analytes: A DFT study. J. Mol. Model. 2018, 24, 1–14. [Google Scholar] [CrossRef] [PubMed]
  53. Arif, A.M.; Yousaf, A.; Xu, H.-L.; Su, Z.-M. Spectroscopic behavior, FMO, NLO and substitution effect of 2-(1H-Benzo[d]imidazole-2-ylthio)-No-substituted-acetamides: Experimental and theoretical approach. Dye. Pigment. 2019, 171, 107742. [Google Scholar] [CrossRef]
  54. Dennington, R.; Keith, T.; Millam, J. GaussView, Version 5; Semichem Inc.: Shawnee Mission, KS, USA, 2009. [Google Scholar]
  55. Kosar, N.; Mahmood, T.; Ayub, K. Role of dispersion corrected hybrid GGA class in accurately calculating the bond dissociation energy of carbon halogen bond: A benchmark study. J. Mol. Struct. 2017, 1150, 447–458. [Google Scholar] [CrossRef]
Scheme 1. Synthesis of and 5-bromo-1H-benzo[d]imidazol-2-amine derivatives (1a1f), N-(5-bromo-1H-benzo[d]imidazol-2-yl)acetamide (2), and N-(5-bromo-1H-benzo[d]imidazol-2-yl)acetamide derivatives (2a2f). Reagents and conditions: (1) Cu(OAc)2 (0.94 mmol), 1 (0.94 mmol), Arylboronic acid (1.88 mmol), Et3N/TMEDA (1.88 mmol), MeOH/H2O (8:1), r.t., air, time of 2 h; (2) 1 (47 mmol), acetic anhydride (5 mL), temperature of 40 °C, time of 4 h; (3) Cu(OAc)2 (0.59 mmol), 2 (0.39 mmol), Arylboronic acid (0.47 mmol), Et3N/Py (0.59 mmol), DCM (10 mL), r.t., air, time of 24–72 h.
Scheme 1. Synthesis of and 5-bromo-1H-benzo[d]imidazol-2-amine derivatives (1a1f), N-(5-bromo-1H-benzo[d]imidazol-2-yl)acetamide (2), and N-(5-bromo-1H-benzo[d]imidazol-2-yl)acetamide derivatives (2a2f). Reagents and conditions: (1) Cu(OAc)2 (0.94 mmol), 1 (0.94 mmol), Arylboronic acid (1.88 mmol), Et3N/TMEDA (1.88 mmol), MeOH/H2O (8:1), r.t., air, time of 2 h; (2) 1 (47 mmol), acetic anhydride (5 mL), temperature of 40 °C, time of 4 h; (3) Cu(OAc)2 (0.59 mmol), 2 (0.39 mmol), Arylboronic acid (0.47 mmol), Et3N/Py (0.59 mmol), DCM (10 mL), r.t., air, time of 24–72 h.
Molecules 26 06920 sch001
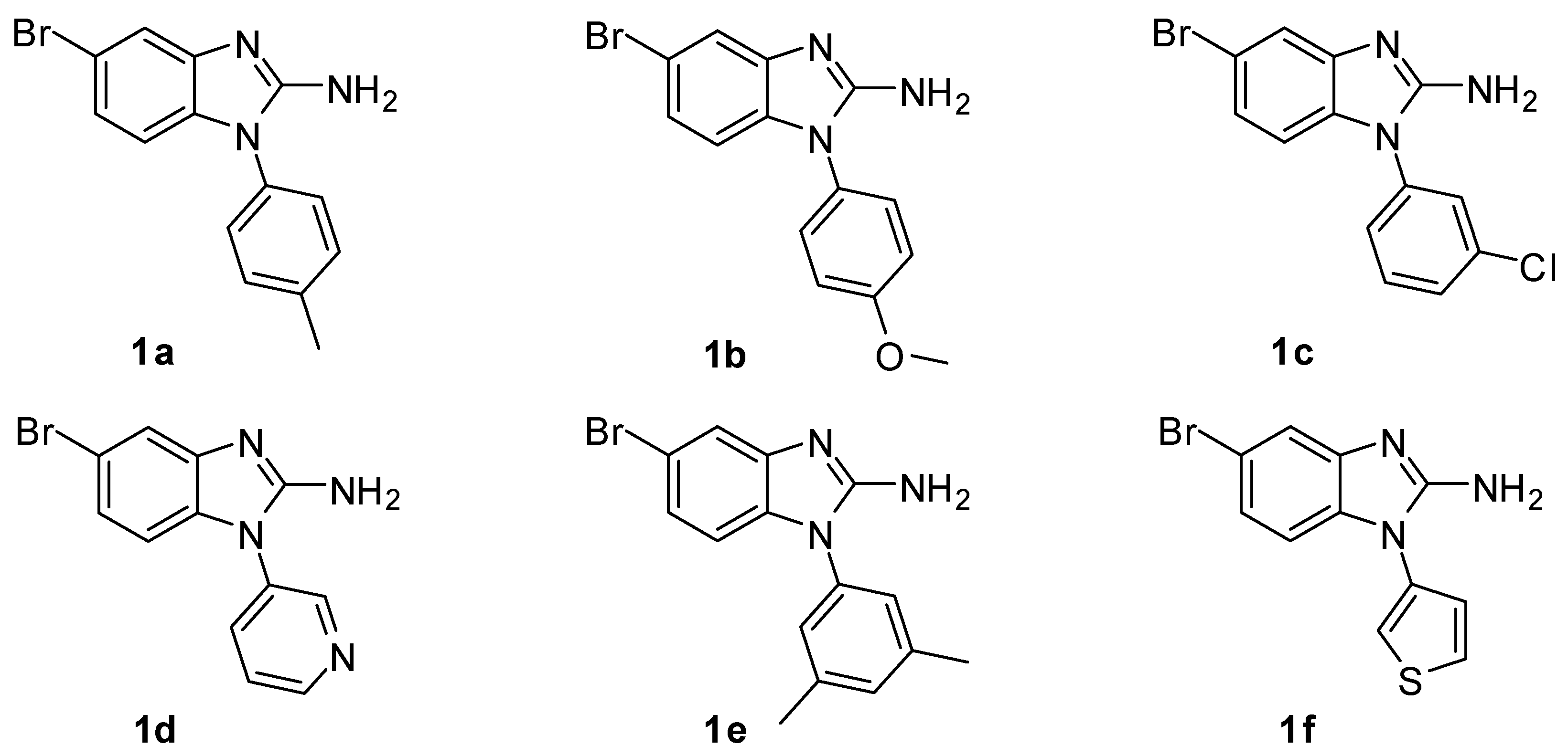
Figure 1. Synthesized 5-bromo-1H-benzo[d]imidazol-2-amine derivatives (1a1f).
Figure 1. Synthesized 5-bromo-1H-benzo[d]imidazol-2-amine derivatives (1a1f).
Molecules 26 06920 g001
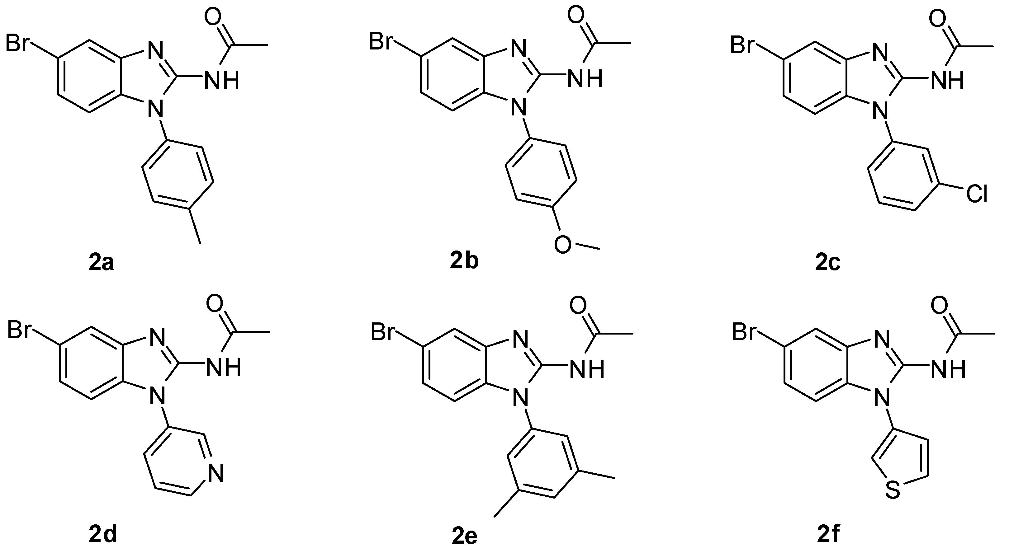
Figure 2. Synthesized N-(5-bromo-1H-benzo[d]imidazol-2-yl)acetamide derivatives (2a2f).Different aryl/heteroaryl boronic acids were used in Suzuki Cross-coupling reactions under optimized conditions to get the desired derivatives of 5-bromo-2-aminobenzimidazole (1). The %age yield of various synthesized derivatives 1a1f and 2a2f are given in Table 1 and Table 2.
Figure 2. Synthesized N-(5-bromo-1H-benzo[d]imidazol-2-yl)acetamide derivatives (2a2f).Different aryl/heteroaryl boronic acids were used in Suzuki Cross-coupling reactions under optimized conditions to get the desired derivatives of 5-bromo-2-aminobenzimidazole (1). The %age yield of various synthesized derivatives 1a1f and 2a2f are given in Table 1 and Table 2.
Molecules 26 06920 g002
Figure 3. Optimized structures of (A) 1a1f; (B) 2a2f at B3LYP/6-31+G(d,p) level of theory.
Figure 3. Optimized structures of (A) 1a1f; (B) 2a2f at B3LYP/6-31+G(d,p) level of theory.
Molecules 26 06920 g003aMolecules 26 06920 g003b
Figure 4. Isodensities of HOMOs and LUMOs of compounds (A) 1a1f and (B) 2a2f at cutoff values of 0.05.
Figure 4. Isodensities of HOMOs and LUMOs of compounds (A) 1a1f and (B) 2a2f at cutoff values of 0.05.
Molecules 26 06920 g004aMolecules 26 06920 g004b
Figure 5. Calculated UV–VIS absorption spectra of parent (1) and substituted compounds (1a1f (above) and 2a2f (below)), using GaussView 05 software. The width at half maximum used for the Gaussian broadening is 28.98 σ.
Figure 5. Calculated UV–VIS absorption spectra of parent (1) and substituted compounds (1a1f (above) and 2a2f (below)), using GaussView 05 software. The width at half maximum used for the Gaussian broadening is 28.98 σ.
Molecules 26 06920 g005aMolecules 26 06920 g005b
Table 1. Optimization of Cu(II)-catalyzed C-N cross-coupling of 5-bromo-2-amino benzimidazole and aryl boronic acid in MeOH/H2O at room temperature.
Table 1. Optimization of Cu(II)-catalyzed C-N cross-coupling of 5-bromo-2-amino benzimidazole and aryl boronic acid in MeOH/H2O at room temperature.
EntryAryl Boronic AcidBaseProductYield (%)
14-MeC6H4B(OH)2Et3N1atrace
24-MeC6H4B(OH)2TMEDA1a70
34-OMeC6H4B(OH)2TMEDA1b80
43-ClC6H4B(OH)2TMEDA1c78
53-NC5H4B(OH)2TMEDA1d73
63,5-Me2C6H3B(OH)2TMEDA1e71
73-SC4H3B(OH)2TMEDA1f69
Table 2. Optimization of Cu(II)-catalyzed C-N cross-coupling of 5-bromo-1H-benzo[d]imidazol-2-amine and aryl boronic acid in DCM at room temperature.
Table 2. Optimization of Cu(II)-catalyzed C-N cross-coupling of 5-bromo-1H-benzo[d]imidazol-2-amine and aryl boronic acid in DCM at room temperature.
EntryAryl Boronic AcidBaseProductYield (%)
14-MeC6H4B(OH)2Et3N2a40
24-MeC6H4B(OH)2Pyridine2a37
34-OMeC6H4B(OH)2Et3N2b42
43-ClC6H4B(OH)2Et3N2c41
53-NC5H4B(OH)2Et3N2d45
63,5-Me2C6H3B(OH)2Et3N2e49
73-SC4H3B(OH)2Et3N2f39
Table 3. Energy of HOMOs (EHOMOs) and LUMOs (ELUMOs), HOMO-LUMO energy gap (GH-L), dipole moment (μo), polarizability (αo), and first static hyperpolarizability (βo) of compounds 1a1f and 2a2f.
Table 3. Energy of HOMOs (EHOMOs) and LUMOs (ELUMOs), HOMO-LUMO energy gap (GH-L), dipole moment (μo), polarizability (αo), and first static hyperpolarizability (βo) of compounds 1a1f and 2a2f.
CompoundsEHOMO (eV)ELUMO (eV)GH-L (eV)μo (Debye)αo (Au)βo (Esu)
Density FunctionalsB3LYPCAM-B3LYP
1a−5.81−1.124.698.462284.61 × 10−30
1b−5.78−1.114.667.952155.66 × 10−30
1c−5.99−1.504.494.912103.81 × 10−30
1d−6.02−1.774.255.631904.40 × 10−30
1e−5.79−1.104.697.562224.00 × 10−30
1f−5.91−1.394.526.321884.30 × 10−30
2a−6.44−1.405.046.052352.02 × 10−30
2b−6.19−1.115.085.932403.54 × 10−30
2c−6.59−1.684.913.742362.00 × 10−30
2d−6.66−1.874.795.352152.40 × 10−30
2e−6.42−1.395.036.032472.01 × 10−30
2f−6.52−1.525.004.692152.37 × 10−30
Table 4. Ionization potential (I), electron affinity (EA), chemical hardness (η), electronic chemical potential (μ), and electrophilicity index (ω) of compounds 1a1f and 2a2f.
Table 4. Ionization potential (I), electron affinity (EA), chemical hardness (η), electronic chemical potential (μ), and electrophilicity index (ω) of compounds 1a1f and 2a2f.
CompoundsI (eV)EA (eV)η (eV)μ (eV)ω (eV)
1a5.811.122.34−3.472.56
1b5.781.112.33−3.452.55
1c5.991.502.24−3.753.12
1d6.021.772.13−3.893.56
1e5.791.102.35−3.442.53
1f5.911.392.26−3.652.94
2a6.441.402.52−3.923.04
2b6.191.112.54−3.652.63
2c6.591.682.45−4.143.49
2d6.661.872.39−4.263.80
2e6.421.392.52−3.903.03
2f6.521.522.50−4.023.23
Table 5. Hyperpolarizabilty values of currently reported compound 1b at CAM-B3LYP, and already reported salicylidenephenyl)benzimidazole] (Spbzl) at B3LYP, salicylidenephenyl)benzimidazole]* (Spbzl*) at CAM-B3LYP and 4-((3-(1H-benzimidazol-2-yl)phenylimino)methyl)-3-hydroxybenzoic acid (Pbzlb) at CAM-B3LYP.
Table 5. Hyperpolarizabilty values of currently reported compound 1b at CAM-B3LYP, and already reported salicylidenephenyl)benzimidazole] (Spbzl) at B3LYP, salicylidenephenyl)benzimidazole]* (Spbzl*) at CAM-B3LYP and 4-((3-(1H-benzimidazol-2-yl)phenylimino)methyl)-3-hydroxybenzoic acid (Pbzlb) at CAM-B3LYP.
CompoundsHyperpolarizability (βo)
1b5.66 × 10−30
Spbzl1.27 × 10−29
Spbzl8.50 × 10−30
Pbzlb1.48 × 10−29
Table 6. Oscillating strength (fo), excitation energies (∆E) and wavelength (λmax) of parent and substituted compounds (1,1a2f and 2a2f).
Table 6. Oscillating strength (fo), excitation energies (∆E) and wavelength (λmax) of parent and substituted compounds (1,1a2f and 2a2f).
Compoundsfo∆Eλmax
10.715.94209
1a0.165.00248
1b0.325.49226
1c0.485.85212
1d0.185.62221
1e0.655.82213
1f0.455.71217
2a0.405.69218
2b0.145.56223
2c0.275.70218
2d0.485.78214
2e0.375.74216
2f0.315.67219
Publisher’s Note: MDPI stays neutral with regard to jurisdictional claims in published maps and institutional affiliations.

Share and Cite

MDPI and ACS Style

Mumtaz, M.; Rasool, N.; Ahmad, G.; Kosar, N.; Rashid, U. N-Arylation of Protected and Unprotected 5-Bromo-2-aminobenzimidazole as Organic Material: Non-Linear Optical (NLO) Properties and Structural Feature Determination through Computational Approach. Molecules 2021, 26, 6920. https://doi.org/10.3390/molecules26226920

AMA Style

Mumtaz M, Rasool N, Ahmad G, Kosar N, Rashid U. N-Arylation of Protected and Unprotected 5-Bromo-2-aminobenzimidazole as Organic Material: Non-Linear Optical (NLO) Properties and Structural Feature Determination through Computational Approach. Molecules. 2021; 26(22):6920. https://doi.org/10.3390/molecules26226920

Chicago/Turabian Style

Mumtaz, Mubeen, Nasir Rasool, Gulraiz Ahmad, Naveen Kosar, and Umer Rashid. 2021. "N-Arylation of Protected and Unprotected 5-Bromo-2-aminobenzimidazole as Organic Material: Non-Linear Optical (NLO) Properties and Structural Feature Determination through Computational Approach" Molecules 26, no. 22: 6920. https://doi.org/10.3390/molecules26226920

APA Style

Mumtaz, M., Rasool, N., Ahmad, G., Kosar, N., & Rashid, U. (2021). N-Arylation of Protected and Unprotected 5-Bromo-2-aminobenzimidazole as Organic Material: Non-Linear Optical (NLO) Properties and Structural Feature Determination through Computational Approach. Molecules, 26(22), 6920. https://doi.org/10.3390/molecules26226920

Article Metrics

Back to TopTop