New Coordination Compounds Based on a Pyrazine Derivative: Design, Characterization, and Biological Study
Abstract
:1. Introduction
2. Results and Discussion
2.1. Activity Predictions
2.2. Thermogravimetric Analysis
2.3. FTIR Spectra Analysis
2.4. ADME Analysis
2.5. Antibacterial and Antifungal Activity
2.6. Cytotoxicity Assay
3. Materials and Methods
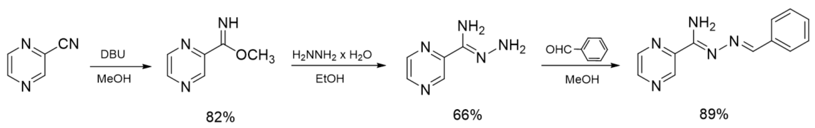
3.1. Chemistry
3.2. Synthesis of the Ligands
3.2.1. Synthesis of Methyl Pyrazine-2-Carbimidate
3.2.2. Synthesis of Pyrazine-2-Carbohydrazonamide
3.2.3. Synthesis of N’-Benzylidenepyrazine-2-Carbohydrazonamide (Ligand L)
3.3. Synthesis of the Mn(II), Fe(III), Co(II) and Ni(II) Complexes
3.4. Activity Predictions
3.5. ADME Analysis
3.6. Antibacterial and Antifungal Activity
3.7. Cell Culture and Treatment
3.8. Cytotoxicity Evaluation
4. Conclusions
Author Contributions
Funding
Institutional Review Board Statement
Informed Consent Statement
Data Availability Statement
Acknowledgments
Conflicts of Interest
Sample Availability
References
- Sung, H.; Ferlay, J.; Siegel, R.L.; Laversanne, M.; Soerjomataram, I.; Jemal, A.; Bray, F. Global Cancer Statistics 2020: GLOBOCAN Estimates of Incidence and Mortality Worldwide for 36 Cancers in 185 Countries. CA Cancer J. Clin. 2021, 71, 209–249. [Google Scholar] [CrossRef] [PubMed]
- Mjos, K.D.; Orvig, C. Metallodrugs in medicinal inorganic chemistry. Chem. Rev. 2014, 114, 4540–4563. [Google Scholar] [CrossRef] [PubMed]
- Riccardi, L.; Genna, V.; De Vivo, M. Metal–ligand interactions in drug design. Nat. Rev. Chem. 2018, 2, 100–112. [Google Scholar] [CrossRef]
- Shagufta; Ahmad, I. Transition metal complexes as proteasome inhibitors for cancer treatment. Inorg. Chim. 2020, 506, 119521. [Google Scholar] [CrossRef]
- Ndagi, U.; Mhlongo, N.; Soliman, M. Metal complexes in cancer therapy—An update from drug design perspective. Drug Des. Dev. Ther. 2017, 11, 599–616. [Google Scholar] [CrossRef] [Green Version]
- Lalla, B.A.; Mandy, D.; Torsten, B.; Claus, J. Metal trafficking: From maintaining the metal homeostasis to future drug design. Metallomics 2009, 1, 292–311. [Google Scholar] [CrossRef]
- Williams, S.L.; De Oliveira, C.A.F.; Vazquez, H.; McCammon, J.A. From Zn to Mn: The Study of Novel Manganese-binding Groups in the Search for New Drugs against Tuberculosis. Chem. Biol. Drug Des. 2011, 77, 117–123. [Google Scholar] [CrossRef]
- Ollivier, A.; Foresti, R.; El Ali, Z.; Martens, T.; Kitagishi, H.; Motterlini, R.; Rivard, M. Design and biological evaluation of manganese-and ruthenium-based hybrid CO-RMs (HYCOs). ChemMedChem 2019, 14, 1684–1691. [Google Scholar] [CrossRef]
- Bahar, E.; Lee, G.H.; Bhattarai, K.R.; Lee, H.Y.; Kim, H.K.; Handigund, M.; Choi, M.K.; Han, S.Y.; Chae, H.J.; Yoon, H. Protective role of quercetin against manganese-induced injury in the liver, kidney, and lung; and hematological parameters in acute and subchronic rat models. Drug Des. Dev. Ther. 2017, 11, 2605. [Google Scholar] [CrossRef] [Green Version]
- Bouché, M.; Hognon, C.; Grandemange, S.; Monari, A.; Gros, P.C. Recent advances in iron-complexes as drug candidates for cancer therapy: Reactivity, mechanism of action and metabolites. Dalton Trans. 2020, 49, 11451–11466. [Google Scholar] [CrossRef]
- Patra, M.; Gasser, G. The medicinal chemistry of ferrocene and its derivatives. Nat. Rev. Chem. 2017, 1, 0066. [Google Scholar] [CrossRef]
- Mahajana, A.; Kremer, L.; Louw, S.; Guéradel, Y.; Chibale, K.; Biot, C. Synthesis and in vitro antitubercular activity of ferrocene-based hydrazones. Bioorganic Med. Chem. Lett. 2011, 21, 2866–2868. [Google Scholar] [CrossRef] [PubMed]
- Zhang, Y.; Wang, C.; Huang, W.; Haruehanroengra, P.; Peng, C.; Sheng, J.; Han, B.; He, G. Application of organocatalysis in bioorganometallic chemistry: Asymmetric synthesis of multifunctionalized spirocyclic pyrazolone–ferrocene hybrids as novel RalA inhibitors. Org. Chem. Front. 2018, 5, 2229–2233. [Google Scholar] [CrossRef]
- Neuse, E.W. Macromolecular ferrocene compounds as cancer drug models. J. Inorg. Organomet. Polym. Mater. 2005, 15, 3–31. [Google Scholar] [CrossRef]
- Zhang, H.R.; Meng, T.; Liu, Y.C.; Chen, Z.F.; Liu, Y.N.; Liang, H. Synthesis, characterization and biological evaluation of a cobalt(II) complex with 5-chloro-8-hydroxyquinoline as anticancer agent. Appl. Organometal. Chem. 2016, 30, 740–747. [Google Scholar] [CrossRef]
- Munteanu, C.R.; Suntharalingam, K. Advances in cobalt complexes as anticancer agents. Dalton Trans. 2015, 44, 13796–13808. [Google Scholar] [CrossRef]
- Heffern, M.C.; Yamamoto, N.; Holbrook, R.J.; Eckermann, A.L.; Meade, T.J. Cobalt derivatives as promising therapeutic agents. Curr. Opin. Chem. Biol. 2013, 17, 189–196. [Google Scholar] [CrossRef] [Green Version]
- Wang, C.H.; Shih, W.C.; Chang, H.C.; Kuo, Y.Y.; Hung, W.C.; Ong, T.G.; Li, W.S. Preparation and characterization of amino-linked heterocyclic carbene palladium, gold, and silver complexes and their use as anticancer agents that act by triggering apoptotic cell death. J. Med. Chem. 2011, 54, 5245–5249. [Google Scholar] [CrossRef]
- Rafi, U.M.; Mahendiran, D.; Haleel, A.K.; Nankar, R.P.; Doble, M.; Rahiman, A.K. New pyridazine-based binuclear nickel (II), copper (II) and zinc (II) complexes as prospective anticancer agents. New J. Chem. 2016, 40, 2451–2465. [Google Scholar] [CrossRef]
- Bal-Demirci, T.; Congur, G.; Erdem, A.; Erdem-Kuruca, S.; Özdemir, N.; Akgün-Dar, K.; Varol, B.; Ülküseven, B. Iron (III) and nickel (II) complexes as potential anticancer agents: Synthesis, physicochemical and structural properties, cytotoxic activity and DNA interactions. New J. Chem. 2015, 39, 5643–5653. [Google Scholar] [CrossRef] [Green Version]
- Tantawy, E.S.; Amer, A.M.; Mohamed, E.K.; Abd Alla, M.M.; Nafie, M.S. Synthesis, characterization of some pyrazine derivatives as anti-cancer agents: In vitro and in Silico approaches. J. Mol. Struct. 2020, 1210, 128013. [Google Scholar] [CrossRef]
- Dolezal, M.; Zitko, J. Pyrazine derivatives: A patent review (June 2012–present). Expert Opin. Ther. Pat. 2015, 25, 33–47. [Google Scholar] [CrossRef] [PubMed]
- Jones, C.J.; Thornback, J.R. Medicinal applications of coordination chemistry. R. Soc. Chem. 2007, 2, 15–100. [Google Scholar] [CrossRef]
- Lipinski, C.A.; Lombardo, F.; Dominy, B.W.; Feeney, P.J. Experimental and computational approaches to estimate solubility and permeability in drug discovery and development settings. Adv. Drug Deliv. Rev. 2001, 46, 3–26. [Google Scholar] [CrossRef]
- Ghose, A.K.; Viswanadhan, V.N.; Wendolski, J.J. A knowledge-based approach in designing combinatorial or medicinal chemistry libraries for drug discovery. 1. A qualitative and quantitative characterization of known drug databases. J. Comb. Chem. 1999, 1, 55–68. [Google Scholar] [CrossRef]
- Egan, W.J.; Merz, K.M.; Baldwin, J.J. Prediction of drug absorption using multivariate statistics. J. Med. Chem. 2000, 3, 3867–3877. [Google Scholar] [CrossRef]
- Veber, D.F.; Johnson, S.R.; Cheng, H.Y.; Smith, B.R.; Ward, K.W.; Kopple, K.D. Molecular properties that influence the oral bioavailability of drug candidates. J. Med. Chem. 2002, 45, 2615–2623. [Google Scholar] [CrossRef]
- Muegge, I.; Heald, S.L.; Brittelli, D. Simple selection criteria f or drug-like chemical matter. J. Med. Chem. 2001, 44, 1841–1946. [Google Scholar] [CrossRef]
- Gobis, K.; Foks, H.; Wiśniewska, K.; Dąbrowska-Szponar, M.; Augustynowicz-Kopeć, E.; Napiórkowska, A. Synthesis and Antimicrobial Activity of Novel Heterocyclic Sulfamoyl-phenyl-carboximidamides Derived from ClinicallyApplied Sulfonamides. Arch. Pharm. Chem. Life Sci. 2012, 345, 911–917. [Google Scholar] [CrossRef]
- Lapasam, A.; Pinder, E.; Phillips, R.M.; Kaminsky, W.; Kollipara, M.R. Synthesis, structure and bonding modes of pyrazine based ligands of Cp*Rh and Cp*Ir complexes: The study of in-vitro cytotoxicity against human cell lines. J. Organomet. Chem. 2019, 899, 120887. [Google Scholar] [CrossRef]
- Foks, H.; Balewski, L.; Gobis, K.; Dabrowska-Szponar, M.; Wisniewska, K. Studies on pyrazine derivatives LII: Antibacterial and antifungal activity of nitrogen heterocyclic compounds obtained by pyrazinamidrazone usage. Heteroat. Chem. 2012, 23, 49–58. [Google Scholar] [CrossRef]
- Wallace, A.C.; Laskowski, R.A.; Thornton, J.M. LIGPLOT: A program to generate schematic diagrams of protein-ligand interactions. Protein Eng. 1995, 8, 127–134. [Google Scholar] [CrossRef] [PubMed]
- Filimonov, D.A.; Lagunin, A.A.; Gloriozova, T.A.; Rudik, A.V.; Druzhilovskii, D.D.; Pogodin, P.V.; Poroikov, V.V. Prediction of the biological activity spectra of organic compounds using the PASS online web resource. Chem. Heterocycl. Compd. 2014, 50, 444–457. [Google Scholar] [CrossRef]
- Lagunin, A.A.; Dubovskaja, V.I.; Rudik, A.V.; Pogodin, P.V.; Druzhilovskiy, D.S.; Gloriozova, T.A.; Filimonov, D.A.; Sastry, G.N.; Poroikov, V.V. CLC-Pred: A freely available web-service for in silico prediction of human cell line cytotoxicity for drug-like compounds. PLoS ONE 2018, 13, 0191838. [Google Scholar] [CrossRef] [Green Version]
- Daina, A.; Michielin, O.; Zoete, V. SwissADME: A free web tool to evaluate pharmacokinetics, drug-likeness and medicinal chemistry friendliness of small molecules. Sci. Rep. 2017, 7, 42717. [Google Scholar] [CrossRef] [Green Version]
- Daina, A.; Zoete, V. A BOILED-Egg to Predict Gastrointestinal Absorption and Brain Penetration of Small Molecules. ChemMedChem 2016, 11, 1117–1121. [Google Scholar] [CrossRef] [Green Version]
- Banerjee, P.; Eckert, A.O.; Schrey, A.K.; Preissner, R. ProTox-II: A webserver for the prediction of toxicity of chemicals. Nucleic Acids Res. 2018, 46, W257–W263. [Google Scholar] [CrossRef] [Green Version]
- Gacki, M.; Kafarska, K.; Pietrzak, A.; Korona-Głowniak, I.; Wolf, W.M. Quasi-isostructural Co(II) and Ni(II) complexes with mefenamato ligand: Synthesis, characterization, and biological activity. Molecules 2020, 25, 3099. [Google Scholar] [CrossRef]
- Stockert, J.C.; Horobin, R.W.; Colombo, L.L.; Blázquez-Castro, A. Tetrazolium salts and formazan products in Cell Biology: Viability assessment, fluorescence imaging, and labeling perspectives. Acta Histochem. 2018, 120, 159–167. [Google Scholar] [CrossRef] [Green Version]










| Pa | Pi | Cell-Line Name | Tissue/Organ | Tumor Type |
|---|---|---|---|---|
| 0.489 | 0.063 | Oligodendroglioma | Brain | Glioma |
| 0.417 | 0.072 | Pancreatic carcinoma | Pancreas | Carcinoma |
| 0.336 | 0.052 | Hepatoblastoma | Liver | Hepatoblastoma |
| 0.307 | 0.050 | Renal carcinoma | Kidney | Carcinoma |
| 0.294 | 0.085 | Leukemic T-cells | Blood | Leukemia |
| 0.303 | 0.135 | Plasma cell myeloma | Blood | Myeloma |
| Pa | Pi | Activity |
|---|---|---|
| 0.675 | 0.011 | HMGCS2 expression enhancer |
| 0.652 | 0.005 | Antituberculotic |
| 0.651 | 0.007 | Antimycobacterial |
| 0.655 | 0.018 | Pterin deaminase inhibitor |
| 0.640 | 0.005 | Antiprotozoal |
| 0.627 | 0.006 | Albendazole monooxygenase inhibitor |
| 0.597 | 0.044 | Mannotetraose 2-alpha-N-acetylglucosaminyltransferase inhibitor |
| 0.592 | 0.040 | Complement factor D inhibitor |
| 0.569 | 0.023 | Glutamine-phenylpyruvate transaminase inhibitor |
| 0.590 | 0.048 | Omptin inhibitor |
| 0.573 | 0.035 | Limulus clotting factor B inhibitor |
| 0.600 | 0.070 | Nicotinic alpha6beta3beta4alpha5 receptor antagonist |
| 0.550 | 0.032 | Antiviral (Picornavirus) |
| Compound | Temperature Range (°C) | Mass Loss (%) | Intermediate Product or Solid Residue | |
|---|---|---|---|---|
| Found | Calculated | |||
| Ligand | 140–170 | 100.0 | 100.00 | Total decomposition |
| Mn(L)Cl2 | 240–760 | 78.0 | 78.05 | Mn3O4 |
| Fe(L)Cl3∙CH3OH | 40–140 | 8.5 | 7.64 | Fe(L)Cl3 |
| Fe(L)Cl3 | 140–650 | 75.5 | 73.96 | Fe3O4 |
| Co(L)Cl2 | 240–770 | 77.5 | 77.40 | Co3O4 |
| Ni(L)Cl2∙C2H5OH | 40–160 | 12.5 | 11.49 | Ni(L)Cl2 |
| Ni(L)Cl2 | 160–740 | 68.0 | 68.55 | Ni3O4 |
| Chemicals Microorganisms | L | Mn(L)Cl2 | Fe(L)Cl3∙CH3OH | Co(L)Cl2 | Ni(L)Cl2∙C2H5OH | Van |
|---|---|---|---|---|---|---|
| Gram-Positive Bacteria | ||||||
| S. aureus ATCC 25923 | 250 | 1000 | 7.8 | 62.5 | >1000 | 0.98 |
| S. epidermidis ATCC 12228 | 125 | 500 | 7.8 | 500 | >1000 | 0.98 |
| M. luteus ATCC 10240 | 125 | 125 | 500 | 62.5 | 500 | 0.12 |
| E. faecalis ATCC 29212 | 125 | 125 | 1000 | 500 | 1000 | 1.95 |
| B. subtilis ATCC 6633 | 125 | 125 | 1000 | 500 | 1000 | 0.24 |
| B. cereus ATCC 10876 | 250 | 500 | 1000 | 500 | >1000 | 0.98 |
| Gram-negative bacteria | Cip | |||||
| S. Typhimurium ATCC 14028 | >1000 | 500 | >1000 | 1000 | >1000 | 0.061 |
| E. coli ATCC 25922 | >1000 | 500 | >1000 | 1000 | >1000 | 0.015 |
| P. mirabilis ATCC 12453 | 500 | 500 | >1000 | 500 | >1000 | 0.03 |
| K. pneumoniae ATCC 13883 | >1000 | 1000 | >1000 | 1000 | >1000 | 0.12 |
| P. aeruginosa ATCC 9027 | >1000 | >1000 | >1000 | >1000 | >1000 | 0.49 |
| Yeasts | Nys | |||||
| C. albicans ATCC 102231 | 1000 | 500 | 1000 | >1000 | >1000 | 0.48 |
| C. parapsilosis ATCC 22019 | 1000 | 250 | 1000 | >1000 | 1000 | 0.24 |
| C. glabrata ATCC 90030 | >1000 | 500 | >1000 | 500 | >1000 | 0.24 |
Publisher’s Note: MDPI stays neutral with regard to jurisdictional claims in published maps and institutional affiliations. |
© 2022 by the authors. Licensee MDPI, Basel, Switzerland. This article is an open access article distributed under the terms and conditions of the Creative Commons Attribution (CC BY) license (https://creativecommons.org/licenses/by/4.0/).
Share and Cite
Climova, A.; Pivovarova, E.; Rogalewicz, B.; Raducka, A.; Szczesio, M.; Korona-Głowniak, I.; Korga-Plewko, A.; Iwan, M.; Gobis, K.; Czylkowska, A. New Coordination Compounds Based on a Pyrazine Derivative: Design, Characterization, and Biological Study. Molecules 2022, 27, 3467. https://doi.org/10.3390/molecules27113467
Climova A, Pivovarova E, Rogalewicz B, Raducka A, Szczesio M, Korona-Głowniak I, Korga-Plewko A, Iwan M, Gobis K, Czylkowska A. New Coordination Compounds Based on a Pyrazine Derivative: Design, Characterization, and Biological Study. Molecules. 2022; 27(11):3467. https://doi.org/10.3390/molecules27113467
Chicago/Turabian StyleClimova, Alina, Ekaterina Pivovarova, Bartłomiej Rogalewicz, Anita Raducka, Małgorzata Szczesio, Izabela Korona-Głowniak, Agnieszka Korga-Plewko, Magdalena Iwan, Katarzyna Gobis, and Agnieszka Czylkowska. 2022. "New Coordination Compounds Based on a Pyrazine Derivative: Design, Characterization, and Biological Study" Molecules 27, no. 11: 3467. https://doi.org/10.3390/molecules27113467
APA StyleClimova, A., Pivovarova, E., Rogalewicz, B., Raducka, A., Szczesio, M., Korona-Głowniak, I., Korga-Plewko, A., Iwan, M., Gobis, K., & Czylkowska, A. (2022). New Coordination Compounds Based on a Pyrazine Derivative: Design, Characterization, and Biological Study. Molecules, 27(11), 3467. https://doi.org/10.3390/molecules27113467

