Systematically Exploring the Chemical Ingredients and Absorbed Constituents of Polygonum capitatum in Hyperuricemia Rat Plasma Using UHPLC-Q-Orbitrap HRMS
Abstract
:1. Introduction
2. Results and Discussion
2.1. UHPLC-Q-Orbitrap HRMS Analysis of P. capitatum Extract
2.1.1. Phenolic Acids
2.1.2. Flavonoids
2.1.3. Phenylpropanoids
2.1.4. Tannins
2.1.5. Other Phenolics
2.1.6. Amino Acids and Amides
2.1.7. Others
2.2. UHPLC-Q-Orbitrap HRMS Analysis of the Prototype Compounds in Hyperuricemia Rat Plasma
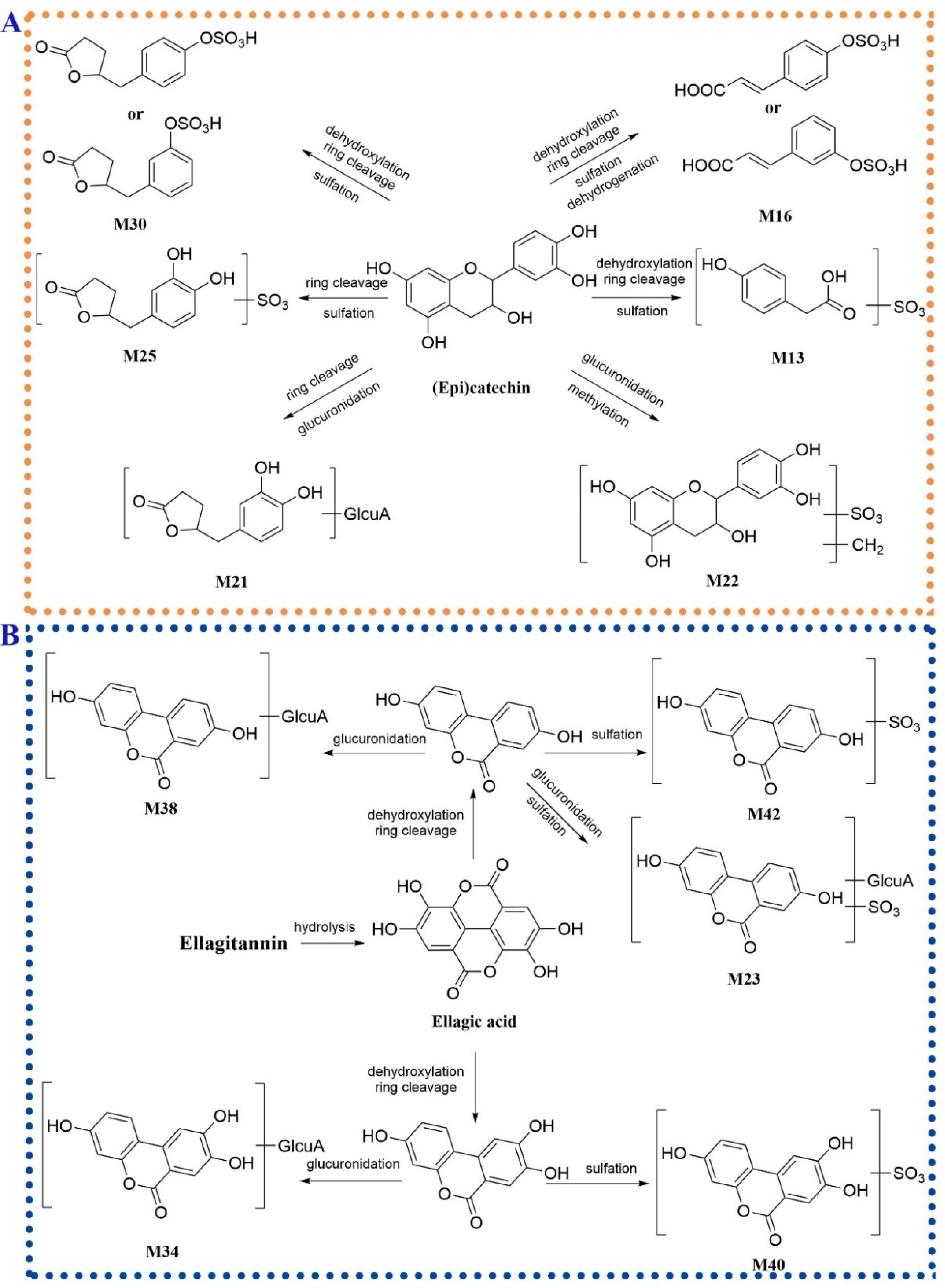
2.3. UHPLC-Q-Orbitrap HRMS Analysis of P. capitatum Metabolites in Hyperuricemia Rat Plasma
2.3.1. Characterization of Phenolic-Related Metabolites
2.3.2. Characterization of Flavonoid-Related Metabolites
2.3.3. Characterization of Phenylpropanoid-Related Metabolites
2.3.4. Characterization of Tannis-Related Metabolites
2.3.5. Characterization of Alkaloid-Related Metabolites
3. Materials and Methods
3.1. Material and Reagents
3.2. Preparation of Mixed Standard Solutions
3.3. Preparation of P. capitatum Samples
3.4. Animal Treatment and Drug Administration
3.5. Collection and Preparation of Plasma Sample
3.6. UHPLC-Q-Orbitrap HRMS Conditions
3.7. Data Analysis
4. Conclusions
Supplementary Materials
Author Contributions
Funding
Institutional Review Board Statement
Informed Consent Statement
Conflicts of Interest
Sample Availability
References
- Benn, C.L.; Dua, P.; Gurrell, R.; Loudon, P.; Pike, A.; Storer, R.I.; Vangjeli, C. Physiology of hyperuricemia and urate-lowering treatments. Front. Med. 2018, 5, 160. [Google Scholar] [CrossRef] [PubMed] [Green Version]
- Wu, X.H.; Ruan, J.L.; Zhang, J.; Wang, S.Q.; Zhang, Y.W. Pallidifloside D, a saponin glycoside constituent from Smilax riparia, resist to hyperuricemia based on URAT1 and GLUT9 in hyperuricemic mice. J. Ethnopharmacol. 2014, 157, 201–205. [Google Scholar] [CrossRef] [PubMed]
- Kim, S.; Kim, H.J.; Ahn, H.S.; Oh, S.W.; Han, K.H.; Um, T.H.; Cho, C.R.; Han, S.Y. Renoprotective effects of febuxostat compared with allopurinol in patients with hyperuricemia: A systematic review and meta-analysis. Kidney Res. Clin. Pract. 2017, 36, 274–281. [Google Scholar] [CrossRef] [PubMed]
- Fitzgerald, J.D.; Dalbeth, N.; Mikuls, T.; Brignardello-Petersen, R.; Guyatt, G.; Abeles, A.M.; Gelber, A.C.; Harrold, L.R.; Khanna, D.; King, C.; et al. 2020 American College of Rheumatology Guideline for the Management of Gout. Arthritis Care Rheumatol. 2020, 72, 744–760. [Google Scholar] [CrossRef] [PubMed]
- Bardin, T.; Richette, P. The role of febuxostat in gout. Curr. Opin. Rheumatol. 2019, 31, 152–158. [Google Scholar] [CrossRef]
- Liao, S.G.; Zhang, L.J.; Sun, F.; Zhang, J.J.; Chen, A.Y.; Lan, Y.Y.; Li, Y.J.; Wang, A.M.; He, X.; Xiong, Y.; et al. Antibacterial and anti-inflammatory effects of extracts and fractions from Polygonum capitatum. J. Ethnopharmacol. 2011, 134, 1006–1009. [Google Scholar] [CrossRef] [PubMed]
- Zhang, C.L.; Zhang, J.J.; Zhu, Q.F.; Guan, H.Y.; Yang, Y.X.; He, X.; Fu, Y.; Chen, T.X.; Dong, L.; Yang, X.S.; et al. Antihyperuricemia and antigouty arthritis effects of Persicaria capitata herba in mice. Phytomedicine 2021, 93, 153765. [Google Scholar] [CrossRef] [PubMed]
- Huang, G.H.; Gao, Y.; Wu, Z.J.; Yang, Y.; Huang, D.D.; Chen, W.S.; Sun, L.N. Chemical constituents from Polygonum capitatum Buch-Ham. ex D. Don. Biochem. Syst. Ecol. 2015, 59, 8–11. [Google Scholar] [CrossRef]
- Yang, Y.; Wu, Z.; Chen, W. Chemical Constituents of Polygonum capitatum. Chem. Nat. Compd. 2015, 51, 332–335. [Google Scholar] [CrossRef]
- Yang, Y.; Yang, Y.B.; Lu, W.Q.; Wu, Z.J.; Chen, W.S. A new hydroxyjasmonic acid derivative from Polygonum capitatum. Chem. Nat. Compd. 2017, 53, 417–421. [Google Scholar] [CrossRef]
- Ma, J.Y.; Zhou, X.; Fu, J.; Hu, T.; Or, P.M.; Feng, R.; He, C.Y.; Chen, W.J.; Zhang, X.; Chen, Y.; et al. Metabolite profiling analysis of FR429, an ellagitannin purified from Polygonum capitatum, in rat and human liver microsomes, cytosol and rat primary hepatocytes in vitro. Chem. Biol. Interact. 2014, 220, 33–40. [Google Scholar] [CrossRef] [PubMed]
- Liao, S.G.; Zhang, L.J.; Sun, F.; Wang, Z.; He, X.; Wang, A.M.; Li, Y.J.; Huang, Y.; Lan, Y.Y.; Zhang, B.L.; et al. Identification and characterisation of phenolics in Polygonum capitatum by ultrahigh-performance liquid chromatography with photodiode array detection and tandem mass spectrometry. Phytochem. Anal. 2013, 24, 556–568. [Google Scholar] [CrossRef] [PubMed]
- Zhou, W.; Zhang, L.Y.; Xie, L.M.; Qiu, L.F.; Wang, J.R.; Ma, S.B.; Jiang, Z.H.; Tang, J.W. Analysis of alcohol extract and water extract of Polygonum capitatum by UPLC-Q-TOF-MS. Chin. J. Chin. Mat. Med. 2017, 42, 3557–3563. [Google Scholar]
- Dong, H.; Xian, Y.; Li, H.; Wu, Y.; Bai, W.; Zeng, X. Analysis of heterocyclic aromatic amine profiles in Chinese traditional bacon and sausage based on ultrahigh-performance liquid chromatography-quadrupole-Orbitrap high-resolution mass spectrometry (UHPLC-Q-Orbitrap-HRMS). Food Chem. 2020, 310, 125937. [Google Scholar] [CrossRef] [PubMed]
- Abou, E.A.M.; Nguyen, K.H.; Ebele, A.J.; Atia, N.N.; Ali, H.R.H.; Harrad, S. A single run, rapid polarity switching method for determination of 30 pharmaceuticals and personal care products in waste water using Q-Exactive Orbitrap high resolution accurate mass spectrometry. J. Chromatogr. A 2019, 1588, 68–76. [Google Scholar] [CrossRef] [PubMed]
- Zhao, H.X.; Bai, H.; Li, W.; Wang, Y.S.; Liu, Y.J.; Liu, A.Q. Chemical constituents from Polygonum capitatum. Nat. Prod. Res. Dev. 2011, 23, 262–266. [Google Scholar]
- Zhang, K.; Zhang, J.; Wei, S.; Jing, W.; Wang, Y.; Liu, A. Development and validation of HPLC coupled with triple quadrupole MS for the simultaneous determination of six phenolic acids, six flavonoids, and a lignan in Polygonum capitatum. J. Sep. Sci. 2013, 36, 2407–2413. [Google Scholar] [CrossRef]
- Zhang, L.; Wang, Y.; Wang, Z.; Li, Y.; Huang, Y.; Long, Q.; Liao, S. Study on the chemical constituents of the active fraction of Polygonum capitatum. J. Chin. Med. Mater. 2012, 35, 1425–1428. [Google Scholar]
- Ogwuru, N.; Adamczeski, M. Bioactive natural products derived from Polygonum species of plants: Their structures and mechanisms of action. In Studies in Natural Products Chemistry; Elsevier Science: Amsterdam, Netherlands, 2000; Volume 22, pp. 607–642. [Google Scholar]
- Wang, H.P.; Cao, F.; Yang, X.W. Chemical constituents in aerial parts of Polygonum capitatum. Chin. Tradit. Herb Drug 2013, 44, 24–30. [Google Scholar]
- Liao, S.G.; Zhang, L.J.; Wang, Z.; Sun, F.; Li, Y.J.; Wang, A.M.; Huang, Y.; Lan, Y.Y.; Wang, Y.L. Electrospray ionization and collision-induced dissociation tandem mass spectrometric discrimination of polyphenolic glycosides: Exact acylation site determination of the O-acylated monosaccharide residues. Rapid Commun. Mass Spectrom. 2012, 26, 2483–2492. [Google Scholar] [CrossRef]
- Song, X.; He, Y.; Liu, M.; Yang, Y.; Yuan, Y.; Yan, J.; Zhang, M.; Huang, J.; Zhang, S.; Mo, F. Mechanism underlying Polygonum capitatum effect on Helicobacter pylori-associated gastritis based on network pharmacology. Bioorg. Chem. 2021, 114, 105044. [Google Scholar] [CrossRef] [PubMed]
- He, L.; Zhang, Z.; Liu, Y.; Chen, D.; Yuan, M.; Dong, G.; Luo, P.; Yan, Z. Rapid discrimination of raw and sulfur-fumigated Smilax glabra based on chemical profiles by UHPLC-QTOF-MS/MS coupled with multivariate statistical analysis. Food Res. Int. 2018, 108, 226–236. [Google Scholar] [CrossRef] [PubMed]
- Gu, L.; Kelm, M.A.; Hammerstone, J.F.; Zhang, Z.; Beecher, G.; Holden, J.; Haytowitz, D.; Prior, R.L. Liquid chromatographic/electrospray ionization mass spectrometric studies of proanthocyanidins in foods. J. Mass Spectrom. 2003, 38, 1272–1280. [Google Scholar] [CrossRef] [PubMed]
- Xing, Y.; Yan, Z.; Li, Y.; Teka, T.; Pan, G.; Dou, Z.; Gao, X.; He, J.; Han, L. An effective strategy for distinguishing the processing degree of Polygonum multiflorum based on the analysis of substance and taste by LC-MS, ICP-OES and electronic tongue. J. Pharmaceut. Biomed. Anal. 2021, 205, 114328. [Google Scholar] [CrossRef]
- Fu, J.; Ma, J.Y.; Zhang, X.F.; Wang, Y.; Feng, R.; Chen, Y.C.; Tan, X.S.; Zhang, Y.Y.; Sun, Y.P.; Zhou, Y.; et al. Identification of metabolites of FR429, a potential antitumor ellagitannin, transformed by rat intestinal bacteria in vitro, based on liquid chromatography-ion trap-time of flight mass spectrometry analysis. J. Pharm. Biomed. Anal. 2012, 71, 162–167. [Google Scholar] [CrossRef]
- Iwaoka, Y.; Suzuki, S.; Kato, N.; Hayakawa, C.; Kawabe, S.; Ganeko, N.; Uemura, T.; Ito, H. Characterization and Identification of Bioactive Polyphenols in the Trapabispinosa Roxb. Pericarp Extract. Molecules 2021, 26, 5802. [Google Scholar] [CrossRef]
- Garazd, Y.L.; Garazd, M.M. Natural dibenzo[b,d]pyran-6-ones: Structural diversity and biological activity. Chem. Nat. Compd. 2016, 52, 1–18. [Google Scholar] [CrossRef]
- Mao, Z.; Sun, W.; Fu, L.; Luo, H.; Lai, D.; Zhou, L. Natural dibenzo-alpha-pyrones and their bioactivities. Molecules 2014, 19, 5088–5108. [Google Scholar] [CrossRef]
- Davinelli, S.; De Stefani, D.; De Vivo, I.; Scapagnini, G. Polyphenols as caloric restriction mimetics regulating mitochondrial biogenesis and mitophagy. Trends Endocrinol. Metab. 2020, 31, 536–550. [Google Scholar] [CrossRef]
- Wang, L.; Sang, M.; Liu, E.; Banahene, P.O.; Zhang, Y.; Wang, T.; Han, L.; Gao, X. Rapid profiling and pharmacokinetic studies of major compounds in crude extract from Polygonum multiflorum by UHPLC-Q-TOF-MS and UPLC-MS/MS. J. Pharm. Biomed. Anal. 2017, 140, 45–61. [Google Scholar] [CrossRef]
- Fan, W.; Zhou, J.; Wu, Z.; Tan, G.; Li, H.; Mei, Q.; Qian, Z. Analysis of antioxidants in Chrysanthemum indici flos by online gradient extraction and HPLC-FRAP. Anal. Methods 2021, 13, 2283–2289. [Google Scholar] [CrossRef] [PubMed]
- Hodgson, J.M.; Morton, L.W.; Puddey, I.B.; Beilin, L.J.; Croft, K.D. Gallic acid metabolites are markers of black tea intake in humans. J. Agric. Food Chem. 2000, 48, 2276–2280. [Google Scholar] [CrossRef] [PubMed]
- Zheng, L.; Zhu, L.; Zhao, M.; Shi, J.; Li, Y.; Yu, J.; Jiang, H.; Wu, J.; Tong, Y.; Liu, Y.; et al. In vivo exposure of kaempferol is driven by phase II metabolic enzymes and efflux transporters. AAPS J. 2016, 18, 1289–1299. [Google Scholar] [CrossRef] [PubMed]
- Bottone, A.; Masullo, M.; Montoro, P.; Pizza, C.; Piacente, S. HR-LC-ESI-Orbitrap-MS based metabolite profiling of Prunus dulcis Mill. (Italian cultivars Toritto and Avola) husks and evaluation of antioxidant activity. Phytochem. Anal. 2019, 30, 415–423. [Google Scholar] [CrossRef] [PubMed]
- Guo, F.; Xiong, H.; Wang, X.; Jiang, L.; Yu, N.; Hu, Z.; Sun, Y.; Tsao, R. Phenolics of green pea (Pisum sativum L.) Hulls, their plasma and urinary metabolites, bioavailability, and in vivo antioxidant activities in a rat model. J. Agric. Food Chem. 2019, 67, 11955–11968. [Google Scholar] [CrossRef] [PubMed]
- Tang, X.Y.; Zeng, J.X.; Dai, Z.Q.; Chen, M.H.; Ye, M.N.; Yao, Z.H.; Dai, Y.; Yao, X.S. Identification and characterization of chemical constituents in Qi-Lin pills and their metabolites in rat bio-samples after oral administration using ultra-high performance liquid chromatography with quadrupole time-of-flight mass spectrometry. J. Pharm. Biomed. Anal. 2020, 188, 113402. [Google Scholar] [CrossRef]
- Borges, G.; van der Hooft, J.J.J.; Crozier, A. A comprehensive evaluation of the [2-(14)C](-)-epicatechin metabolome in rats. Free Radic. Biol. Med. 2016, 99, 128–138. [Google Scholar] [CrossRef]
- Tourino, S.; Perez-Jimenez, J.; Mateos-Martin, M.L.; Fuguet, E.; Vinardell, M.P.; Cascante, M.; Torres, J.L. Metabolites in contact with the rat digestive tract after ingestion of a phenolic-rich dietary fiber matrix. J. Agric. Food Chem. 2011, 59, 5955–5963. [Google Scholar] [CrossRef]
- Tomas-Barberan, F.A.; Gonzalez-Sarrias, A.; Garcia-Villalba, R.; Nunez-Sanchez, M.A.; Selma, M.V.; Garcia-Conesa, M.T.; Espin, J.C. Urolithins, the rescue of “old” metabolites to understand a “new” concept: Metabotypes as a nexus among phenolic metabolism, microbiota dysbiosis, and host health status. Mol. Nutr. Food Res. 2017, 61, 1500901. [Google Scholar] [CrossRef]
- Tu, J.; Li, Q.; Zhou, B. The tannins from Sanguisorba officinalis L. (Rosaceae): A systematic study on the metabolites of rats based on HPLC-LTQ-Orbitrap MS2 analysis. Molecules 2021, 26, 4053. [Google Scholar] [CrossRef]
- Wu, P.; Li, J.; Zhang, X.; Zeng, F.; Liu, Y.; Sun, W. Study of the Treatment Effects of Compound Tufuling Granules in Hyperuricemic Rats Using Serum Metabolomics. Evid. Based Complement. Alternat. Med. 2018, 2018, 3458185. [Google Scholar] [CrossRef] [PubMed] [Green Version]








| Peak No. | Compounds | Molecular Formula | tR | Ion Mode | Precursor Ion | Error (ppm) | Product Ions |
|---|---|---|---|---|---|---|---|
| M1 | Gallic acid glucuronide | C13H14O11 | 1.93 | negative mode | 345.0464 | 3.25 | 169.0132 |
| M2 | 4-O-methylgallic acid-3-O- glucuronide | C14H16O11 | 1.93 | negative mode | 359.0620 | 2.96 | 183.0292, 168.0068, 124.0154 |
| M3 | Gallic acid sulfate | C7H6O8S | 2.13 | negative mode | 248.9707 | 3.15 | 169.0132 |
| M4 | Protocatechuic acid sulfate | C7H6O7S | 2.23 | negative mode | 232.9757 | 2.62 | 153.0183, 109.0295 |
| M5 | 2-O-Methylpyrogallol sulfate | C7H8O6S | 2.35 | negative mode | 218.9963 | 2.31 | 139.0389, 124.0154 |
| M6 | 1-O-Methylpyrogallol-3-O-sulfate | C7H8O6S | 2.72 | negative mode | 218.9964 | 2.72 | 139.0390, 124.0154 |
| M7 | Methylgallic acid sulfate | C8H8O8S | 2.75 | negative mode | 262.9866 | 3.63 | 183.0291, 168.0055 |
| M8 | Pyrogallol-1-O-sulfate or Pyrogallol-2-O-sulfate | C6H6O6S | 2.85 | negative mode | 204.9806 | 2.46 | 125.0233 |
| M9 | 2-O-methylpyrogallol-1-O- glucuronide | C13H16O9 | 3.02 | negative mode | 315.0725 | 4.51 | 139.0401, 124.0166, 113.0245 |
| M10 | 4-O-methylgallic acid or 3-O-methylgallic acid | C8H8O5 | 4.04 | negative mode | 183.0291 | 1.64 | 168.0055, 124.0155 |
| M11 | Phenol sulfate | C6H6O4S | 4.08 | negative mode | 172.9905 | 1.24 | 93.0333 |
| M12 | Pyrogallol-1-O-glucuronide or Pyrogallol-2-O-glucuronide | C12H14O9 | 4.28 | negative mode | 301.0564 | 3.39 | 125.0232 |
| M13 | Dehydroxylation and ring cleavage and sulfation of catechin (3-hydroxyphenylacetic acid sulfate) | C8H8O6S | 4.32 | negative mode | 230.9964 | 2.79 | 187.0063, 151.0393, 107.0490, 79.9560 |
| M14 | 1-O-Methylpyrogallol-2-O-sulfate | C7H8O6S | 4.74 | negative mode | 218.9968 | 4.82 | 139.0402, 124.0166 |
| M15 | Glucuronidation of 5,7- Dihydroxychromone | C15H14O10 | 5.35 | negative mode | 353.0510 | 2.00 | 177.0183 |
| M16 | m-Coumaric acid sulfate or p-coumaric acid sulfate | C9H8O6S | 5.50 | negative mode | 242.9966 | 3.27 | 163.0392, 119.0493 |
| M17 | Sulfation of vanillic acid | C8H8O7S | 5.63 | negative mode | 246.9914 | 2.92 | 167.0340, 152.0107, |
| M18 | Ethyl gallate glucuronide | C15H18O11 | 5.67 | negative mode | 373.0775 | 2.61 | 197.0448, 169.0144, 125.0233 |
| M19 | Syringic acid glucuronide | C15H18O11 | 5.94 | negative mode | 373.0775 | 2.61 | 197.0447, 182.0208, 166.9976 |
| M20 | 3,4-O-dimethylgallic acid sulfate | C9H10O8S | 6.20 | negative mode | 277.0022 | 3.49 | 197.0449, 182.0213, 166.9977 |
| M21 | 5-(3′,4′-Hydroxyphenyl)-γ-valerolactone glucuronide | C17H20O10 | 6.46 | negative mode | 383.0979 | 1.64 | no fragment |
| M22 | Methylcatechin glucuronide | C22H24O12 | 6.64 | negative mode | 479.1188 | 0.91 | 465.1025, 303.0863 |
| M23 | Urolithin A glucuronide-sulfate diconjugate | C19H16O13S | 6.74 | negative mode | 483.0233 | 1.10 | 403.0664, 227.0346 |
| M24 | 3-O- methylgallic acid-4-O-glucuronide | C14H16O11 | 6.81 | negative mode | 359.0617 | 2.29 | 183.0293, 168.0068, 124.0154 |
| M25 | 5-(3′,4′-Dihydroxyphenyl)-γ-valerolactone sulfate | C11H12O7S | 6.88 | negative mode | 287.0233 | 4.35 | 207.0504, 163.0764, 79.9574 |
| M26 | Syringic acid-4-O-sulfate | C9H10O8S | 7.02 | negative mode | 277.0021 | 3.16 | 197.0454, 182.0213, 166.9976 |
| M27 | Quercitrin glucuronide | C27H28O17 | 7.20 | negative mode | 623.1252 | 1.55 | 447.0935 |
| M28 | Sulfation of 5,7- Dihydroxychromone | C9H6O7S | 7.41 | negative mode | 256.9760 | 3.85 | 177.0186, 133.0284 |
| M29 | Trihydroxyflavanone glucuronide | C22H20O12 | 7.60 | negative mode | 463.0884 | 2.76 | 287.0561 |
| M30 | 5-(3′-Hydroxyphenyl)-γ- valerolactone sulfate or 5-(4′-hydroxyphenyl)-γ- valerolactone sulfate | C11H12O6S | 8.09 | negative mode | 271.0280 | 3.19 | 191.0706, 147.0820 |
| M31 | Isolariciresinol-4 (or 4′)-O-glucuronide | C26H32O12 | 8.39 | negative mode | 535.1819 | 1.64 | 359.1497, 344.1266, 329.1036, 241.0507 |
| M32 | Isolariciresinol-4 (or 4′)-O-glucuronide | C26H32O12 | 8.55 | negative mode | 535.1822 | 2.21 | 359.1498, 344.1259 |
| M33 | Glucuronidation of 3,5′-dimethoxy-isolariciresinol | C28H36O14 | 8.72 | negative mode | 595.2025 | -0.07 | 419.1709, 404.1469 |
| M34 | Urolithin C glucuronide | C19H16O11 | 9.47 | negative mode | 419.0620 | 2.61 | 243.0300 |
| M35 | Isolariciresinol-9 (or 9′)-O- glucuronide | C26H32O12 | 9.65 | negative mode | 535.1821 | 2.00 | 359.1498 |
| M36 | Isolariciresinol-9 (or 9′)-O- glucuronide | C26H32O12 | 9.86 | negative mode | 535.1823 | 2.44 | 359.1504, 344.1267, 329.1029, 241.0507 |
| M37 | Sulfation of Isolariciresinol | C20H24O9S | 10.00 | negative mode | 439.1073 | 2.19 | 359.1497 |
| M38 | Urolithin A glucuronide | C19H16O10 | 10.13 | negative mode | 403.0669 | 2.20 | 227.0345, 199.0388, 183.0446, 175.0239, 155.0491 |
| M39 | Quercetin diglucuronide | C27H26O19 | 11.42 | negative mode | 653.0994 | 0.98 | 447.0671, 301.0345 |
| M40 | Urolithin C sulfate | C13H8O8S | 12.80 | negative mode | 322.9865 | 2.87 | 243.0297 |
| M41 | 3-O-Methylquercetin glucuronide sulfate | C22H20O16S | 13.07 | negative mode | 571.0396 | 1.57 | 491.0832, 315.0511, 300.0275, 148.0155 |
| M42 | Urolithin A sulfate | C13H8O7S | 13.60 | negative mode | 306.9917 | 1.03 | 227.0346, 199.0398, 183.0444 |
| M43 | 3,3′-Di-O-methylellagic acid glucuronide | C22H18O14 | 13.95 | negative mode | 505.0623 | 2.10 | 329.0303, 314.0048, 298.9833, 270.9883 |
| M44 | Kaempferol glucuronide | C21H18O12 | 15.11 | negative mode | 461.0726 | 2.42 | 285.0402, 255.0293 |
| M45 | Methylation of Ellagic acid | C15H8O8 | 15.82 | negative mode | 315.0146 | 3.35 | 299.9910 |
| M46 | Naringenin glucuronide | C21H20O11 | 15.82 | negative mode | 447.0934 | 1.22 | 271.0612 |
| M47 | 3,3′-Di-O-methylellagic acid sulfate | C16H10O11S | 16.48 | negative mode | 408.9866 | 1.52 | 329.0304, 314.0062, 298.9833 |
| M48 | Sulfation and loss of 2 × oxygen of catechin | C15H14O6S | 16.86 | negative mode | 321.0436 | 2.73 | 241.0866, 147.0440, 135.0440, 121.0283 |
| M49 | Kaempferol sulfate | C15H10O9S | 17.51 | negative mode | 364.9972 | 2.77 | 285.0403, 255.0294 |
| M50 | Methylquercetin glucuronide | C22H20O13 | 18.03 | negative mode | 491.0829 | 1.78 | 315.0516, 300.0273 |
| M51 | Methylation of Procyanidin B1 or Procyanidin B2 | C31H28O12 | 20.28 | negative mode | 591.1525 | 4.26 | no fragment |
| M52 | Flazin methyl ether | C18H14O4N2 | 20.68 | positive mode | 323.1024 | −0.85 | 263.0814, 206.0837, 180.0806 |
| negative mode | 321.0879 | 2.86 | 259.0511, 217.0766 |
Publisher’s Note: MDPI stays neutral with regard to jurisdictional claims in published maps and institutional affiliations. |
© 2022 by the authors. Licensee MDPI, Basel, Switzerland. This article is an open access article distributed under the terms and conditions of the Creative Commons Attribution (CC BY) license (https://creativecommons.org/licenses/by/4.0/).
Share and Cite
Guan, H.; Li, P.; Wang, Q.; Zeng, F.; Wang, D.; Zhou, M.; Zhou, M.; He, X.; Liao, S.; Pan, W. Systematically Exploring the Chemical Ingredients and Absorbed Constituents of Polygonum capitatum in Hyperuricemia Rat Plasma Using UHPLC-Q-Orbitrap HRMS. Molecules 2022, 27, 3521. https://doi.org/10.3390/molecules27113521
Guan H, Li P, Wang Q, Zeng F, Wang D, Zhou M, Zhou M, He X, Liao S, Pan W. Systematically Exploring the Chemical Ingredients and Absorbed Constituents of Polygonum capitatum in Hyperuricemia Rat Plasma Using UHPLC-Q-Orbitrap HRMS. Molecules. 2022; 27(11):3521. https://doi.org/10.3390/molecules27113521
Chicago/Turabian StyleGuan, Huanyu, Pengfei Li, Qian Wang, Fanli Zeng, Daoping Wang, Mei Zhou, Meng Zhou, Xun He, Shanggao Liao, and Weidong Pan. 2022. "Systematically Exploring the Chemical Ingredients and Absorbed Constituents of Polygonum capitatum in Hyperuricemia Rat Plasma Using UHPLC-Q-Orbitrap HRMS" Molecules 27, no. 11: 3521. https://doi.org/10.3390/molecules27113521
APA StyleGuan, H., Li, P., Wang, Q., Zeng, F., Wang, D., Zhou, M., Zhou, M., He, X., Liao, S., & Pan, W. (2022). Systematically Exploring the Chemical Ingredients and Absorbed Constituents of Polygonum capitatum in Hyperuricemia Rat Plasma Using UHPLC-Q-Orbitrap HRMS. Molecules, 27(11), 3521. https://doi.org/10.3390/molecules27113521
