Naphthalene vs. Benzene as a Transmitting Moiety: Towards the More Sensitive Trifluoromethylated Molecular Probes for the Substituent Effects
Abstract
:1. Introduction
2. Methodology
3. Results and Discussion
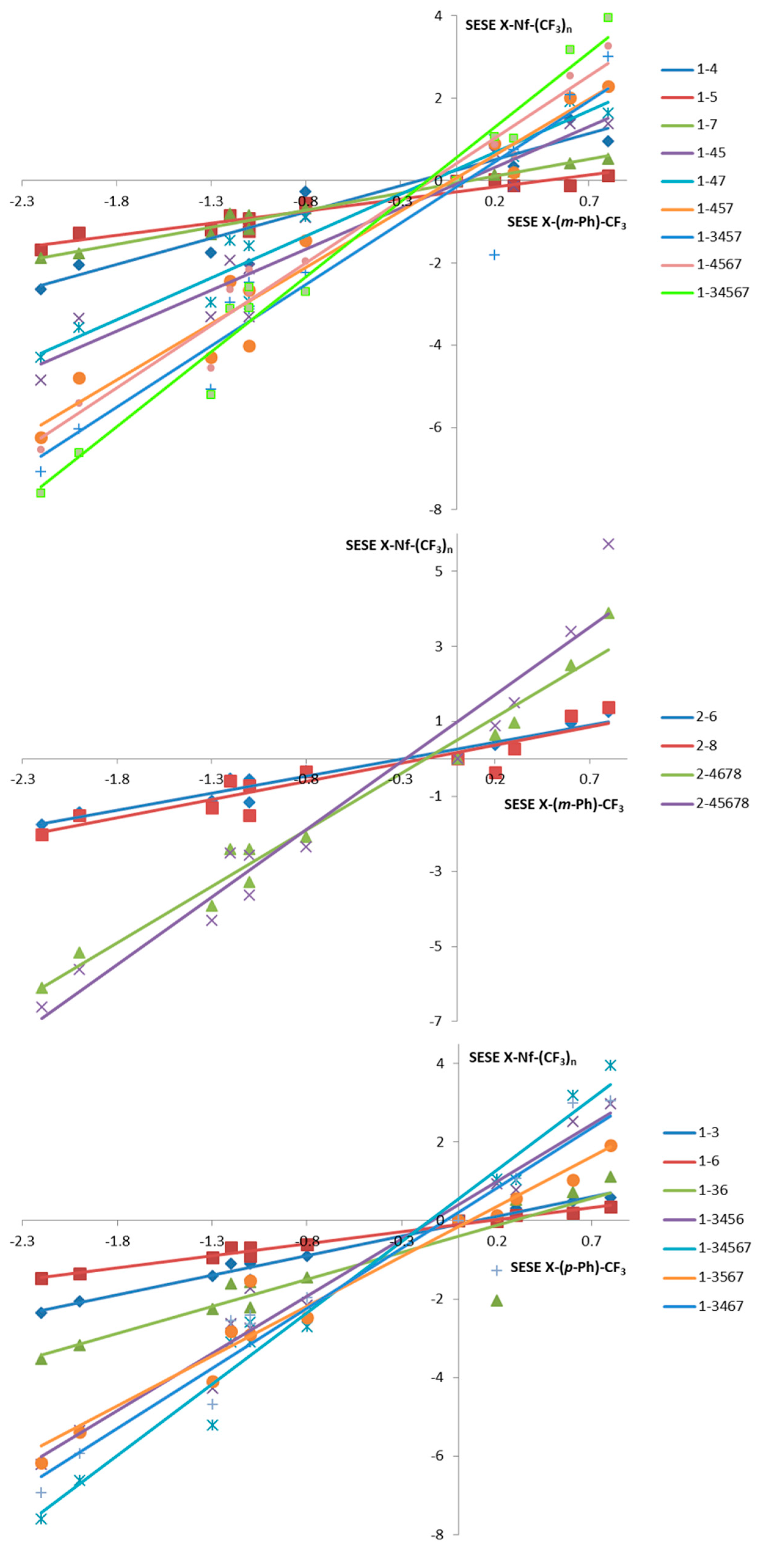
3.1. Dependence of SESE Values of Analysed Probes on SESE Values of X-(p-Ph)-CF3
3.2. Dependence of SESE Values of Analysed Probes on SESE Values of X-(m-Ph)-CF3
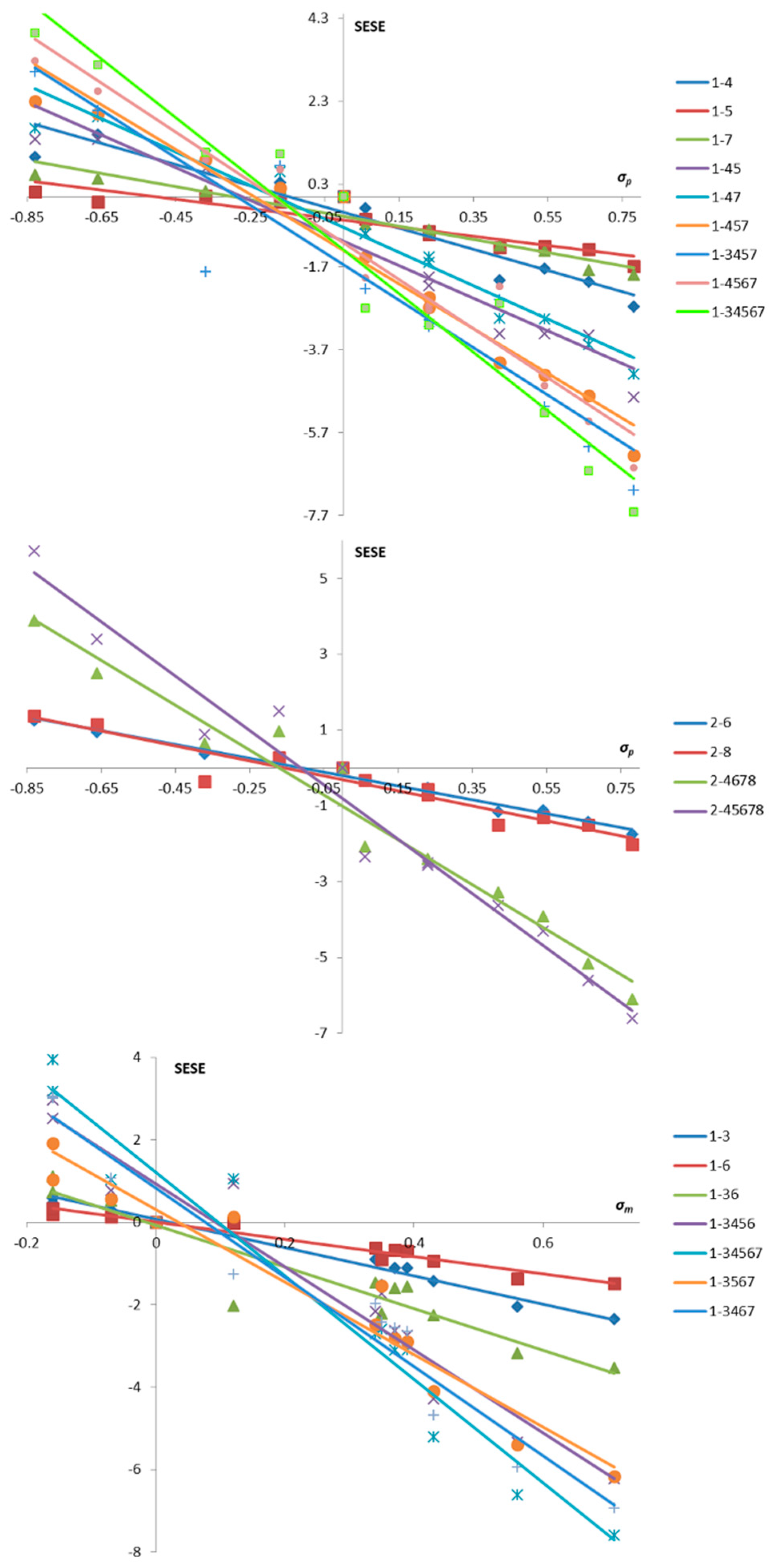
3.3. Dependence of SESE Values on σp and σm
3.4. Dependence of SESE Values on F and R
4. Conclusions
- In the case of para-type substituted naphtalenes, structure 2-6 (R2 = 0.99) is the one with the highest similarity to the p-substituted benzene ring measured by the value of R2. On the other hand, structure 1-4 is the one with the closest sensitivity to the p-substituted benzene ring measured by the value of the slope (a = 1.00). The substituent effect’s transmission in structures 1-4 and 2-6 is, therefore, very similar to that in p-trifluoromethyl-X-benzene;
- In the case of meta-type substituted naphtalenes, structure 1-3 is the one with the highest similarity to the m-substituted benzene ring measured by the value of R2 as well as the value of the slope (R2 = 0.99 and a = 0.99). From the structures having groups X and CF3 substituted to different rings, structure 1-6 has the highest similarity to the m-trifluoromethyl-X-benzene in terms of accuracy and sensitivity;
- It can be stated that β-substituted derivatives are better probes of the substituent effects than α-substituted ones and the sensitivity of such molecular probes increases with the number of the substituted trifluoromethyl groups;
- In the case of correlations of the SESE values with the resonance (R) or inductive (F) component of the substituent effect, it is better to correlate separately the π-electron-donating substituents and the non-π-electron-donating ones;
- Based on the above research results, a few new precise molecular probes with high sensitivity can be considered for future usage, especially those marked as 2-5678, 2-4568, and 2-45678, among which coma the last one is the most sensitive SESE probe obtained so far. The more sensitive response of SESE values on the substitution means more accurately determining the electron-donor/acceptor nature of the examined substituent. It is a step forward toward the more sensitive molecular probes for the substituent’s effects.
Author Contributions
Funding
Institutional Review Board Statement
Informed Consent Statement
Data Availability Statement
Acknowledgments
Conflicts of Interest
Sample Availability
References
- Hammett, L.P. The Effect of Structure upon the Reactions of Organic Compounds. Benzene Derivatives. J. Am. Chem. Soc. 1937, 59, 96–103. [Google Scholar] [CrossRef]
- Hansch, C.; Leo, A.; Taft, R.W. A Survey of Hammett Substituent Constants and Resonance and Field Parameters. Chem. Rev. 1991, 97, 165–195. [Google Scholar] [CrossRef]
- Galabov, B.; Ilieva, S.; Schaefer, H.F. An Efficient Computational Approach for the Evaluation of Substituent Constants. J. Org. Chem. 2006, 71, 6382–6387. [Google Scholar] [CrossRef] [PubMed]
- Williams, V.E.; Lemieux, R.P. Role of Dispersion and Electrostatic Forces on Solute−Solvent Interactions in a Nematic Liquid Crystal Phase. J. Am. Chem. Soc. 1998, 120, 11311–11315. [Google Scholar] [CrossRef]
- Fernandez, I.; Frenking, G. Correlation between Hammett Substituent Constants and Directly Calculated π-Conjugation Strength. J. Org. Chem. 2006, 71, 2251–2256. [Google Scholar] [CrossRef]
- Sadlej-Sosnowska, N. Substituent Active Region—A Gate for Communication of Substituent Charge with the Rest of a Molecule: Monosubstituted Benzenes. Chem. Phys. Lett. 2007, 447, 192–196. [Google Scholar] [CrossRef]
- George, P.; Trachtman, M.; Bock, C.W.; Brett, A.M. Homodesmotic Reactions for the Assessment of Stabilization Energies in Benzenoid and other Conjugated Cyclic Hydrocarbons. J. Chem. Soc. Perkin Trans. 1976, 2, 1222–1227. [Google Scholar] [CrossRef]
- Pross, A.; Radom, L.; Taft, R.W. Theoretical Approach to Substituent Effects. Phenols and Phenoxide Ions. J. Org. Chem. 1980, 45, 818. [Google Scholar] [CrossRef]
- Szatylowicz, H.; Jezuita, A.; Krygowski, T.M. On the Relations between Aromaticity and Substituent Effect. Struct. Chem. 2019, 30, 1529–1548. [Google Scholar]
- Szatylowicz, H.; Jezuita, A.; Marek, P.H.; Krygowski, T.M. Substituent Effects on the Stability of the Four Most Stable Tautomers of Adenine and Purine. RSC Adv. 2019, 9, 31343–31356. [Google Scholar] [CrossRef] [Green Version]
- Szatylowicz, H.; Jezuita, A.; Siodła, T.; Varaksin, K.S.; Domanski, M.A.; Ejsmont, K.; Krygowski, T.M. Toward the Physical Interpretation of Inductive and Resonance Substituent Effects and Reexamination Based on Quantum Chemical Modeling. ACS Omega 2017, 2, 7163–7171. [Google Scholar] [CrossRef] [PubMed]
- Jezuita, A.; Ejsmont, K.; Szatylowicz, H. Substituent Effects of Nitro Group in Cyclic Compounds. Struct. Chem. 2021, 32, 179–203. [Google Scholar] [CrossRef]
- Krygowski, T.M.; Palusiak, M.; Płonka, A.; Zachara-Horeglad, J.E. Relationship between substituent effect and aromaticity—Part III: Naphthalene as a transmitting moiety for substituent effect. J. Phys. Org. Chem. 2007, 20, 297–306. [Google Scholar] [CrossRef]
- Chembers, R.D. Fluorine in Organic Chemistry; Blackwell Publishing Ltd.: Hoboken, NJ, USA, 2004. [Google Scholar]
- Smart, B.E. Fluorine Substituent Effects (on Bioactivity). J. Fluor. Chem. 2001, 109, 3–11. [Google Scholar] [CrossRef]
- Studer, F.R.; Grätz, K.W.; Mutzbauer, T.S. Citalopram versus other antidepressants for late-life depression: A systematic review and meta-analysis. Oral Maxillofac. Surg. 2012, 16, 341–347. [Google Scholar] [CrossRef]
- Seitz, D.P.; Gill, S.S.; Conn, D.K. Citalopram versus other antidepressants for late-life depression: A systematic review and meta-analysis. Int. J. Geriatr. Psychiatry 2010, 25, 1296–1305. [Google Scholar] [CrossRef]
- Xu, D.; Wang, C.; Zhu, X.; Zhao, W.; Jiang, B.; Cui, S.; Sun, Y.; Cui, Z. The antidepressant-like effects of fluvoxamine in mice involve the mTOR signaling in the hippocampus and prefrontal cortex. Psychiatry Res. 2020, 285, 112708. [Google Scholar] [CrossRef]
- Kudryashov, N.V.; Kalinina, T.S.; Shimshirt, A.A.; Volkova, A.V.; Narkevich, V.B.; Naplekova, P.L.; Kasabov, K.A.; Kudrin, V.S.; Voronina, T.A.; Fisenko, V.P. The Behavioral and Neurochemical Aspects of the Interaction between Antidepressants and Unpredictable Chronic Mild Stress. Behav. Pharmacol. 2018, 29, 375–378. [Google Scholar] [CrossRef]
- Quincozes-Santos, A.; Bobermin, L.; Tonial, R.P.L.; Bambini-Junior, V. Effects of Atypical (Risperidone) and Typical (Haloperidol) Antipsychotic Agents on Astroglial Functions. Eur. Arch. Psychiatry Clin. Neurosci. 2010, 260, 475–481. [Google Scholar] [CrossRef]
- Dong, C.; Chen, Y.; Li, H.J.; Yang, Y.; Zhang, H.T.; Ke, K.; Shi, X.-N.; Liu, X.; Li, L.; Ma, J.; et al. The Antipsychotic Agent Flupentixol is a New PI3K Inhibitor and Potential Anticancer Drug for Lung Cancer. Int. J. Biol. Sci. 2019, 15, 1523–1532. [Google Scholar] [CrossRef] [Green Version]
- Liew, A.; Verma, S.; Lye, Y.P.; Edimansyah, A.; Subramaniam, M.; Vaingankar, J.; Chong, S.A. Comparing Effectiveness of Risperidone with First-Generation Antipsychotic Medications in Patients with Schizophrenia-Spectrum Disorders. J. Psychopharmacol. 2010, 24, 973–980. [Google Scholar] [CrossRef] [PubMed]
- Tardy, M.; Huhn, M.; Engel, R.R.; Leucht, S. Fluphenazine versus low-potency first-generation antipsychotic drugs for schizophrenia. Cochrane Database Syst. Rev. 2014, CD009230. [Google Scholar] [CrossRef] [PubMed] [Green Version]
- Siodła, T.; Ozimiński, W.P.; Hoffmann, M.; Koroniak, H.; Krygowski, T.M. Toward a Physical Interpretation of Substituent Effects: The Case of Fluorine and Trifluoromethyl Groups. J. Org. Chem. 2014, 79, 7321–7331. [Google Scholar] [CrossRef] [PubMed]
- Siodła, T.; Anastaziak, K.; Koroniak, H. Increasing the sensitivity of the molecular probes for the substituent effects –The SESE approach. J. Mol. Struct. 2021, 1246, 131186. [Google Scholar] [CrossRef]
- Schwabe, T.; Grimme, S. Theoretical Thermodynamics for Large Molecules: Walking the Thin Line between Accuracy and Computational Cost. Acc. Chem. Res. 2008, 41, 569–579. [Google Scholar] [CrossRef]
- Becke, A.D. Density-Functional Thermochemistry. III. The Role of Exact Exchange. J. Chem. Phys. 1993, 98, 5648–5652. [Google Scholar] [CrossRef] [Green Version]
- Lee, C.; Yang, W.; Parr, R.G. Development of the Colle-Salvetti Correlation-Energy Formula into a Functional of the Electron Density. Phys. Rev. B 1988, 37, 785–789. [Google Scholar] [CrossRef] [Green Version]
- Krishnan, R.; Binkley, J.S.; Seeger, R.; Pople, J.A. Self-Consistent Molecular Orbital Methods. XX. A Basis Set for Correlated Wave Functions. J. Chem. Phys. 1980, 72, 650–654. [Google Scholar] [CrossRef]
- Szatylowicz, H.; Siodla, T.; Stasyuk, O.A.; Krygowski, T.M. Towards physical interpretation of substituent effects: The case of meta- and para-substituted anilines. Phys. Chem. Chem. Phys. 2016, 18, 11711–11721. [Google Scholar] [CrossRef]
- Frisch, M.J.; Trucks, G.W.; Schlegel, H.B.; Scuseria, G.E.; Robb, M.A.; Cheeseman, J.R.; Scalmani, G.; Barone, V.; Mennucci, B.; Petersson, G.A.; et al. Gaussian 09, Revision, B.01; Gaussian, Inc.: Wallingford, CT, USA, 2010. [Google Scholar]











| Substituent | σp | σm | R | F | SESE X-(p-Ph)-CF3 [kcal mol−1] | SESE X-(m-Ph)-CF3 [kcal mol−1] |
|---|---|---|---|---|---|---|
| Br | 0.23 | 0.39 | −0.22 | 0.45 | −0.8 | −1.1 |
| CF3 | 0.54 | 0.43 | 0.16 | 0.38 | −1.4 | −1.3 |
| CH3 | −0.17 | −0.07 | −0.18 | 0.01 | 0.5 | 0.3 |
| CHO | 0.42 | 0.35 | 0.09 | 0.33 | −1.5 | −1.1 |
| Cl | 0.23 | 0.37 | −0.19 | 0.42 | −0.8 | −1.2 |
| CN | 0.66 | 0.56 | 0.15 | 0.51 | −1.9 | −2.0 |
| F | 0.06 | 0.34 | −0.39 | 0.45 | −0.3 | −0.8 |
| H | 0.00 | 0.00 | 0.00 | 0.00 | 0.0 | 0.0 |
| NH2 | −0.66 | −0.16 | −0.74 | 0.08 | 1.5 | 0.6 |
| NMe2 | −0.83 | −0.16 | −0.98 | 0.15 | 1.9 | 0.8 |
| NO2 | 0.78 | 0.71 | 0.13 | 0.65 | −2.2 | −2.2 |
| OH | −0.37 | 0.12 | −0.70 | 0.33 | 0.7 | 0.2 |
| Type of Structure | Type of Substitution | Dependence of SESE of Examined Structures on: | |||||||||||||||
|---|---|---|---|---|---|---|---|---|---|---|---|---|---|---|---|---|---|
| σp | σm | SESE X-(p-Ph)-CF3 | SESE X-(m-Ph)-CF3 | R | R (Only Resonance EDG) | F | F (without Resonance EDG) | ||||||||||
| a | R2 | a | R2 | a | R2 | a | R2 | a | R2 | a | R2 | a | R2 | a | R2 | ||
| 1-3 | meta | −1.89 | 0.90 | −3.44 | 0.96 | 0.73 | 0.93 | 0.99 | 0.99 | −1.99 | 0.60 | −2.44 | 0.94 | −4.20 | 0.77 | −4.05 | 0.98 |
| 1-4 | para | −2.56 | 0.93 | −4.31 | 0.84 | 1.00 | 0.95 | 1.28 | 0.90 | −3.02 | 0.75 | −2.95 | 0.84 | −4.81 | 0.55 | −4.47 | 0.93 |
| 1-5 | para | −1.11 | 0.84 | −2.00 | 0.87 | 0.42 | 0.86 | 0.58 | 0.93 | −1.16 | 0.57 | −1.37 | 0.94 | −2.41 | 0.70 | −2.51 | 0.98 |
| 1-6 | meta | −1.15 | 0.89 | −2.10 | 0.96 | 0.45 | 0.92 | 0.61 | 0.99 | −1.21 | 0.59 | −1.45 | 0.95 | −2.58 | 0.77 | −2.54 | 0.98 |
| 1-7 | para | −1.59 | 0.92 | −2.85 | 0.94 | 0.62 | 0.95 | 0.83 | 0.98 | −1.76 | 0.65 | −1.94 | 0.95 | −3.41 | 0.71 | −3.33 | 0.97 |
| 2-4 | meta | −1.59 | 0.85 | −2.92 | 0.98 | 0.60 | 0.86 | 0.82 | 0.94 | −1.51 | 0.48 | −2.13 | 0.88 | −3.76 | 0.86 | −3.58 | 0.98 |
| 2-5 | meta | −1.50 | 0.96 | −2.59 | 0.91 | 0.59 | 0.98 | 0.75 | 0.94 | −1.72 | 0.73 | −1.92 | 0.91 | −2.97 | 0.63 | −2.67 | 0.93 |
| 2-6 | para | −1.82 | 0.99 | −3.71 | 0.90 | 0.71 | 0.99 | 0.90 | 0.94 | −2.15 | 0.79 | −2.38 | 0.95 | −3.43 | 0.58 | −3.02 | 0.96 |
| 2-7 | meta | −1.52 | 0.83 | −2.70 | 0.83 | 0.51 | 0.80 | 0.70 | 0.86 | −1.39 | 0.50 | −1.77 | 0.73 | −3.14 | 0.74 | −2.89 | 0.89 |
| 2-8 | para | −1.98 | 0.91 | −3.42 | 0.88 | 0.74 | 0.92 | 0.95 | 0.88 | −2.15 | 0.68 | −2.48 | 0.73 | −3.91 | 0.65 | −3.35 | 0.98 |
| 1-36 | meta | −2.95 | 0.91 | −5.24 | 0.97 | 1.01 | 0.77 | 1.37 | 0.82 | −2.52 | 0.41 | −3.10 | 0.53 | −6.54 | 0.80 | −6.20 | 0.98 |
| 1-45 | para | −3.95 | 0.93 | −6.77 | 0.88 | 1.53 | 0.95 | 1.98 | 0.93 | −4.53 | 0.72 | −4.92 | 0.94 | −7.72 | 0.61 | −7.27 | 0.96 |
| 1-47 | para | −4.03 | 0.95 | −6.92 | 0.90 | 1.57 | 0.97 | 2.03 | 0.94 | −4.65 | 0.74 | −4.78 | 0.91 | −7.89 | 0.61 | −7.41 | 0.95 |
| 1-57 | para | −2.60 | 0.91 | −4.65 | 0.93 | 1.01 | 0.93 | 1.35 | 0.98 | −2.83 | 0.64 | −3.21 | 0.97 | −5.56 | 0.71 | −5.51 | 0.99 |
| 2-45 | meta | −3.27 | 0.93 | −5.69 | 0.95 | 1.53 | 0.95 | 1.98 | 0.93 | −4.53 | 0.72 | −4.92 | 0.94 | −7.72 | 0.61 | −7.27 | 0.96 |
| 2-68 | para | −3.69 | 0.96 | −6.29 | 0.89 | 1.40 | 0.97 | 1.79 | 0.92 | −4.20 | 0.75 | −4.88 | 0.85 | −7.07 | 0.62 | −5.98 | 0.98 |
| 1-457 | para | −5.40 | 0.96 | −9.33 | 0.91 | 2.10 | 0.97 | 2.73 | 0.95 | −6.20 | 0.73 | −6.86 | 0.96 | −10.71 | 0.63 | −9.97 | 0.97 |
| 1-3456 | mixed | −5.64 | 0.93 | −10.07 | 0.94 | 2.17 | 0.92 | 2.92 | 0.97 | −6.26 | 0.66 | −8.06 | 0.94 | −11.95 | 0.70 | −10.65 | 0.93 |
| 1-3457 | mixed | −5.73 | 0.87 | −10.59 | 0.95 | 2.22 | 0.88 | 2.98 | 0.92 | −6.09 | 0.57 | −7.52 | 0.80 | −13.07 | 0.76 | −12.04 | 0.95 |
| 1-3467 | mixed | −5.91 | 0.89 | −10.83 | 0.95 | 2.29 | 0.90 | 3.06 | 0.93 | −6.37 | 0.60 | −7.43 | 0.77 | −13.21 | 0.74 | −12.05 | 0.96 |
| 1-3567 | mixed | −4.75 | 0.86 | −8.80 | 0.94 | 1.83 | 0.86 | 2.54 | 0.96 | −5.02 | 0.56 | −6.60 | 0.96 | −10.89 | 0.76 | −10.40 | 0.93 |
| 1-4567 | mixed | −5.92 | 0.95 | −10.45 | 0.94 | 2.28 | 0.94 | 3.03 | 0.97 | −6.66 | 0.70 | −8.25 | 0.95 | −12.25 | 0.68 | −10.96 | 0.95 |
| 2-4567 | mixed | −5.70 | 0.95 | −10.05 | 0.94 | 2.22 | 0.97 | 2.89 | 0.95 | −6.40 | 0.70 | −8.10 | 0.91 | −11.79 | 0.68 | −10.35 | 0.96 |
| 2-4568 | mixed | −6.48 | 0.97 | −11.21 | 0.93 | 2.51 | 0.98 | 3.25 | 0.95 | −7.44 | 0.74 | −9.41 | 0.93 | −12.85 | 0.64 | −10.91 | 0.96 |
| 2-4578 | mixed | −5.96 | 0.96 | −10.45 | 0.94 | 2.31 | 0.97 | 3.02 | 0.96 | −6.74 | 0.71 | −8.51 | 0.93 | −12.18 | 0.67 | −10.66 | 0.97 |
| 2-4678 | mixed | −5.93 | 0.97 | −10.37 | 0.95 | 2.30 | 0.98 | 3.01 | 0.97 | −6.72 | 0.72 | −8.35 | 0.94 | −12.05 | 0.67 | −10.59 | 0.98 |
| 2-5678 | mixed | −5.79 | 0.99 | −9.77 | 0.90 | 2.24 | 0.99 | 2.86 | 0.94 | −6.85 | 0.80 | −8.09 | 0.94 | −10.83 | 0.58 | −9.09 | 0.96 |
| 1-34567 | mixed | −7.07 | 0.94 | −12.54 | 0.95 | 2.72 | 0.94 | 3.64 | 0.98 | −7.90 | 0.69 | −9.92 | 0.94 | −14.79 | 0.69 | −13.15 | 0.95 |
| 2-45678 | mixed | −7.17 | 0.97 | −12.42 | 0.93 | 2.78 | 0.97 | 3.59 | 0.95 | −8.24 | 0.74 | −10.64 | 0.92 | −14.22 | 0.64 | −11.92 | 0.96 |
| Type of Structure | a | as | η |
|---|---|---|---|
| 1-36 | 1.01 | 1.18 | −15.98% |
| 1-45 | 1.53 | 1.42 | 7.10% |
| 1-47 | 1.57 | 1.62 | −3.30% |
| 1-57 | 1.01 | 1.05 | −3.84% |
| 2-45 | 1.53 | 1.18 | 22.81% |
| 2-68 | 1.40 | 1.45 | −3.03% |
| 1-457 | 2.10 | 2.05 | 2.64% |
| 1-3456 | 2.17 | 2.60 | −19.74% |
| 1-3457 | 2.22 | 2.78 | −24.92% |
| 1-3467 | 2.29 | 2.80 | −22.02% |
| 1-3567 | 1.83 | 2.22 | −21.33% |
| 1-4567 | 2.28 | 2.49 | −9.33% |
| 2-4567 | 2.22 | 2.40 | −8.21% |
| 2-4568 | 2.51 | 2.63 | −4.59% |
| 2-4578 | 2.31 | 2.43 | −5.11% |
| 2-4678 | 2.30 | 2.56 | −11.15% |
| 2-5678 | 2.24 | 2.55 | −13.65% |
| 1-34567 | 2.72 | 3.22 | −18.25% |
| 2-45678 | 2.78 | 3.14 | −13.09% |
| Type of Structure | a | as | η |
|---|---|---|---|
| 1-36 | 1.37 | 1.60 | −16.77% |
| 1-45 | 1.98 | 1.85 | 6.51% |
| 1-47 | 2.03 | 2.11 | −3.63% |
| 1-57 | 1.35 | 1.41 | −4.23% |
| 2-45 | 1.98 | 1.57 | 20.91% |
| 2-68 | 1.79 | 1.85 | −3.25% |
| 1-457 | 2.73 | 2.68 | 1.68% |
| 1-3456 | 2.92 | 3.45 | −17.97% |
| 1-3457 | 2.98 | 3.67 | −23.27% |
| 1-3467 | 3.06 | 3.70 | −21.15% |
| 1-3567 | 2.54 | 3.00 | −18.35% |
| 1-4567 | 3.03 | 3.29 | −8.42% |
| 2-4567 | 2.89 | 3.17 | −9.54% |
| 2-4568 | 3.25 | 3.42 | −5.18% |
| 2-4578 | 3.02 | 3.21 | −6.27% |
| 2-4678 | 3.01 | 3.37 | −11.95% |
| 2-5678 | 2.86 | 3.30 | −15.38% |
| 1-34567 | 3.64 | 4.28 | −17.62% |
| 2-45678 | 3.59 | 4.12 | −14.50% |
| Type of Structure | Dependence of SESE Values on | |||||
|---|---|---|---|---|---|---|
| σp | σm | |||||
| a | as | η | a | as | η | |
| 1-36 | −2.95 | −3.04 | −2.95% | −5.24 | −5.55 | −5.80% |
| 1-45 | −3.95 | −3.67 | 6.95% | −6.77 | −6.32 | 6.73% |
| 1-47 | −4.03 | −4.15 | −3.07% | −6.92 | −7.16 | −3.53% |
| 1-57 | −2.60 | −2.71 | −4.02% | −4.65 | −4.85 | −4.35% |
| 2-45 | −3.27 | −3.08 | 5.63% | −5.69 | −5.51 | 3.13% |
| 2-68 | −3.69 | −3.80 | −2.82% | −6.29 | −7.13 | −13.27% |
| 1-457 | −5.40 | −5.27 | 2.51% | −9.33 | −9.17 | 1.71% |
| 1-3456 | −5.64 | −6.71 | −18.92% | −10.07 | −11.86 | −17.79% |
| 1-3457 | −5.73 | −7.16 | −24.91% | −10.59 | −12.61 | −19.08% |
| 1-3467 | −5.91 | −7.19 | −21.55% | −10.83 | −12.71 | −17.42% |
| 1-3567 | −4.75 | −5.75 | −21.07% | −8.80 | −10.40 | −18.25% |
| 1-4567 | −5.92 | −6.41 | −8.33% | −10.45 | −11.27 | −7.89% |
| 2-4567 | −5.70 | −6.43 | −12.76% | −10.05 | −11.92 | −18.52% |
| 2-4568 | −6.48 | −6.88 | −6.19% | −11.21 | −12.64 | −12.73% |
| 2-4578 | −5.96 | −6.58 | −10.49% | −10.45 | −11.63 | −11.28% |
| 2-4678 | −5.93 | −6.91 | −16.55% | −10.37 | −12.75 | −22.95% |
| 2-5678 | −5.79 | −6.82 | −17.66% | −9.77 | −12.42 | −27.12% |
| 1-34567 | −7.07 | −8.30 | −17.43% | −12.54 | −14.71 | −17.32% |
| 2-45678 | −7.17 | −8.40 | −17.19% | −12.42 | −15.34 | −23.54% |
| Type of Structure | Dependence of SESE Values on | |||||
|---|---|---|---|---|---|---|
| R (Only Resonance EDG) | F (without Resonance EDG) | |||||
| a | as | η | a | as | η | |
| 1-36 | −3.10 | −3.89 | −25.35% | −6.20 | −6.59 | −6.23% |
| 1-45 | −4.92 | −4.31 | 12.28% | −7.27 | −6.98 | 4.01% |
| 1-47 | −4.78 | −4.89 | −2.30% | −4.47 | −7.80 | −5.21% |
| 1-57 | −3.21 | −3.31 | −3.10% | −2.51 | −5.84 | −5.94% |
| 2-45 | −4.92 | −4.05 | 17.58% | 0.96 | −6.25 | 14.05% |
| 2-68 | −4.88 | −4.87 | 0.35% | 0.98 | −6.37 | −6.36% |
| 1-457 | −6.86 | −6.26 | 8.77% | 0.97 | −10.31 | −3.41% |
| 1-3456 | −8.06 | −8.20 | −1.76% | 0.93 | −13.57 | −27.45% |
| 1-3457 | −7.52 | −8.70 | −15.66% | 0.95 | −14.36 | −19.23% |
| 1-3467 | −7.43 | −8.78 | −18.12% | 0.96 | −14.38 | −19.33% |
| 1-3567 | −6.60 | −7.20 | −9.13% | 0.93 | −12.43 | −19.52% |
| 1-4567 | −8.25 | −7.71 | 6.61% | 0.95 | −12.85 | −17.18% |
| 2-4567 | −8.10 | −8.21 | −1.30% | 0.96 | −12.15 | −17.48% |
| 2-4568 | −9.41 | −8.92 | 5.24% | 0.96 | −12.62 | −15.64% |
| 2-4578 | −8.51 | −8.30 | 2.37% | 0.97 | −12.49 | −17.12% |
| 2-4678 | −8.35 | −8.77 | −4.95% | 0.98 | −12.84 | −21.27% |
| 2-5678 | −8.09 | −8.56 | −5.82% | 0.96 | −11.92 | −31.15% |
| 1-34567 | −9.92 | −10.14 | −2.27% | 0.95 | −16.90 | −28.48% |
| 2-45678 | −10.64 | −10.69 | −0.41% | 0.96 | −15.50 | −30.10% |
Publisher’s Note: MDPI stays neutral with regard to jurisdictional claims in published maps and institutional affiliations. |
© 2022 by the authors. Licensee MDPI, Basel, Switzerland. This article is an open access article distributed under the terms and conditions of the Creative Commons Attribution (CC BY) license (https://creativecommons.org/licenses/by/4.0/).
Share and Cite
Sokół, A.; Koroniak, H.; Hoffmann, M.; Siodła, T. Naphthalene vs. Benzene as a Transmitting Moiety: Towards the More Sensitive Trifluoromethylated Molecular Probes for the Substituent Effects. Molecules 2022, 27, 4173. https://doi.org/10.3390/molecules27134173
Sokół A, Koroniak H, Hoffmann M, Siodła T. Naphthalene vs. Benzene as a Transmitting Moiety: Towards the More Sensitive Trifluoromethylated Molecular Probes for the Substituent Effects. Molecules. 2022; 27(13):4173. https://doi.org/10.3390/molecules27134173
Chicago/Turabian StyleSokół, Adam, Henryk Koroniak, Marcin Hoffmann, and Tomasz Siodła. 2022. "Naphthalene vs. Benzene as a Transmitting Moiety: Towards the More Sensitive Trifluoromethylated Molecular Probes for the Substituent Effects" Molecules 27, no. 13: 4173. https://doi.org/10.3390/molecules27134173
APA StyleSokół, A., Koroniak, H., Hoffmann, M., & Siodła, T. (2022). Naphthalene vs. Benzene as a Transmitting Moiety: Towards the More Sensitive Trifluoromethylated Molecular Probes for the Substituent Effects. Molecules, 27(13), 4173. https://doi.org/10.3390/molecules27134173

