Cycloalkyl Groups as Building Blocks of Artificial Carbohydrate Receptors: Studies with Macrocycles Bearing Flexible Side-Arms
Abstract
1. Introduction
2. Results and Discussion
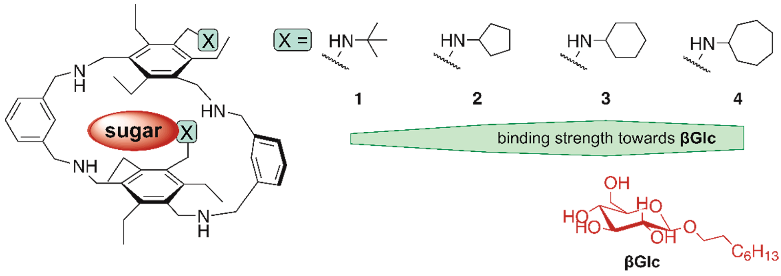
2.1. Design Principle and Selection Criteria: From Acyclic Receptors to Macrocycles with Flexible Side-Arms
2.2. Synthesis of the Target Compounds
2.3. Binding Studies
2.3.1. 1H NMR Titrations
2.3.2. Microcalorimetric Titrations
3. Conclusions
4. Experimental Section
Supplementary Materials
Author Contributions
Funding
Institutional Review Board Statement
Informed Consent Statement
Data Availability Statement
Conflicts of Interest
Sample Availability
References
- Davis, A.P.; James, T.D.; Verdi, P. Functional Synthetic Receptors; Schrader, T., Hamilton, A.D., Eds.; Wiley-VCH: Weinheim, Germany, 2005; pp. 45–109. ISBN 9783527306558. [Google Scholar]
- Davis, A.P. Synthetic lectins. Org. Biomol. Chem. 2009, 7, 3629–3638. [Google Scholar] [CrossRef] [PubMed]
- Davis, A.P. Biomimetic carbohydrate recognition. Chem. Soc. Rev. 2020, 49, 2531–2545. [Google Scholar] [CrossRef] [PubMed]
- Jin, S.; Cheng, Y.; Reid, S.; Li, M.; Wang, B. Carbohydrate recognition by boronolectins, small molecules, and lectins. Med. Res. Rev. 2010, 30, 171–257. [Google Scholar] [CrossRef] [PubMed]
- Kubik, S. Synthetic lectins. Angew. Chem. Int. Ed. 2009, 48, 1722–1725. [Google Scholar] [CrossRef]
- Lindhorst, T.K.; Kubik, S. Supramolecular Approaches to the Study of Glycobiology. In Supramolecular Chemistry: From Molecules to Nanomaterials; Gale, P.A., Steed, J.W., Eds.; Wiley: Chichester, UK, 2012; ISBN 9780470746400. [Google Scholar]
- Mazik, M. Design of lectin mimetics. ChemBioChem 2008, 9, 1015–1017. [Google Scholar] [CrossRef]
- Mazik, M. Molecular recognition of carbohydrates by acyclic receptors employing noncovalent interactions. Chem. Soc. Rev. 2009, 38, 935–956. [Google Scholar] [CrossRef]
- Mazik, M. Recent developments in the molecular recognition of carbohydrates by artificial receptors. RSC Adv. 2012, 2, 2630. [Google Scholar] [CrossRef]
- Miron, C.E.; Petitjean, A. Sugar recognition: Designing artificial receptors for applications in biological diagnostics and imaging. ChemBioChem 2015, 16, 365–379. [Google Scholar] [CrossRef]
- Walker, D.B.; Joshi, G.; Davis, A.P. Progress in biomimetic carbohydrate recognition. Cell. Mol. Life Sci. 2009, 66, 3177–3191. [Google Scholar] [CrossRef]
- Liu, W.; Tan, Y.; Jones, L.O.; Song, B.; Guo, Q.-H.; Zhang, L.; Qiu, Y.; Feng, Y.; Chen, X.-Y.; Schatz, G.C.; et al. PCage: Fluorescent Molecular Temples for Binding Sugars in Water. J. Am. Chem. Soc. 2021, 143, 15688–15700. [Google Scholar] [CrossRef]
- Amrhein, F.; Mazik, M. Compounds Combining a Macrocyclic Building Block and Flexible Side-Arms as Carbohydrate Receptors: Syntheses and Structure-Binding Activity Relationship Studies. Eur. J. Org. Chem. 2021, 2021, 6282–6303. [Google Scholar] [CrossRef]
- Bravo, M.F.; Lema, M.A.; Marianski, M.; Braunschweig, A.B. Flexible Synthetic Carbohydrate Receptors as Inhibitors of Viral Attachment. Biochemistry 2021, 60, 999–1018. [Google Scholar] [CrossRef] [PubMed]
- Bravo, M.F.; Palanichamy, K.; Shlain, M.A.; Schiro, F.; Naeem, Y.; Marianski, M.; Braunschweig, A.B. Synthesis and Binding of Mannose-Specific Synthetic Carbohydrate Receptors. Chemistry 2020, 26, 11782–11795. [Google Scholar] [CrossRef] [PubMed]
- Francesconi, O.; Martinucci, M.; Badii, L.; Nativi, C.; Roelens, S. A Biomimetic Synthetic Receptor Selectively Recognising Fucose in Water. Chemistry 2018, 24, 6828–6836. [Google Scholar] [CrossRef] [PubMed]
- Kaiser, S.; Geffert, C.; Mazik, M. Purine Unit as a Building Block of Artificial Receptors Designed for the Recognition of Carbohydrates. Eur. J. Org. Chem. 2019, 2019, 7555–7562. [Google Scholar] [CrossRef]
- Köhler, L.; Hübler, C.; Seichter, W.; Mazik, M. Binding modes of methyl α-d-glucopyranoside to an artificial receptor in crystalline complexes. RSC Adv. 2021, 11, 22221–22229. [Google Scholar] [CrossRef] [PubMed]
- Köhler, L.; Seichter, W.; Mazik, M. Complexes Formed between Artificial Receptors and β-Glucopyranoside in the Crystalline State. Eur. J. Org. Chem. 2020, 2020, 7023–7034. [Google Scholar] [CrossRef]
- Mateus, P.; Chandramouli, N.; Mackereth, C.D.; Kauffmann, B.; Ferrand, Y.; Huc, I. Allosteric Recognition of Homomeric and Heteromeric Pairs of Monosaccharides by a Foldamer Capsule. Angew. Chem. Int. Ed. 2020, 59, 5797–5805. [Google Scholar] [CrossRef]
- Mateus, P.; Wicher, B.; Ferrand, Y.; Huc, I. Carbohydrate binding through first- and second-sphere coordination within aromatic oligoamide metallofoldamers. Chem. Commun. 2018, 54, 5078–5081. [Google Scholar] [CrossRef]
- Ohishi, Y.; Abe, H.; Inouye, M. Saccharide Recognition and Helix Formation in Water with an Amphiphilic Pyridine-Phenol Alternating Oligomer. Eur. J. Org. Chem. 2017, 2017, 6975–6979. [Google Scholar] [CrossRef]
- Ohishi, Y.; Masuda, K.; Kudo, K.; Abe, H.; Inouye, M. Saccharide Recognition by a Three-Arm-Shaped Host Having Preorganized Three-Dimensional Hydrogen-Bonding Sites. Chem. Eur. J. 2021, 27, 785–793. [Google Scholar] [CrossRef] [PubMed]
- Palanichamy, K.; Bravo, M.F.; Shlain, M.A.; Schiro, F.; Naeem, Y.; Marianski, M.; Braunschweig, A.B. Binding Studies on a Library of Induced-Fit Synthetic Carbohydrate Receptors with Mannoside Selectivity. Chem. Eur. J. 2018, 24, 13971–13982. [Google Scholar] [CrossRef] [PubMed]
- Ríos, P.; Mooibroek, T.J.; Carter, T.S.; Williams, C.; Wilson, M.R.; Crump, M.P.; Davis, A.P. Enantioselective carbohydrate recognition by synthetic lectins in water. Chem. Sci. 2017, 8, 4056–4061. [Google Scholar] [CrossRef] [PubMed]
- Saha, S.; Kauffmann, B.; Ferrand, Y.; Huc, I. Selective Encapsulation of Disaccharide Xylobiose by an Aromatic Foldamer Helical Capsule. Angew. Chem. Int. Ed. 2018, 57, 13542–13546. [Google Scholar] [CrossRef] [PubMed]
- Stapf, M.; Seichter, W.; Mazik, M. Cycloalkyl Groups as Subunits of Artificial Carbohydrate Receptors: Effect of Ring Size of the Cycloalkyl Unit on the Receptor Efficiency. Eur. J. Org. Chem. 2020, 2020, 4900–4915. [Google Scholar] [CrossRef]
- Stewart, P.; Renney, C.M.; Mooibroek, T.J.; Ferheen, S.; Davis, A.P. Maltodextrin recognition by a macrocyclic synthetic lectin. Chem. Commun. 2018, 54, 8649–8652. [Google Scholar] [CrossRef]
- Tromans, R.A.; Carter, T.S.; Chabanne, L.; Crump, M.P.; Li, H.; Matlock, J.V.; Orchard, M.G.; Davis, A.P. A biomimetic receptor for glucose. Nat. Chem. 2019, 11, 52–56. [Google Scholar] [CrossRef]
- Chandravanshi, M.; Gogoi, P.; Kanaujia, S.P. Structural and thermodynamic correlation illuminates the selective transport mechanism of disaccharide α-glycosides through ABC transporter. FEBS J. 2020, 287, 1576–1597. [Google Scholar] [CrossRef]
- Gabius, H.-J. The Sugar Code: Fundamentals of Glycosciences; Wiley-VCH: Weinheim, Germany, 2011; ISBN 9783527644940. [Google Scholar]
- Gabius, H.-J.; André, S.; Jiménez-Barbero, J.; Romero, A.; Solís, D. From lectin structure to functional glycomics: Principles of the sugar code. Trends Biochem. Sci. 2011, 36, 298–313. [Google Scholar] [CrossRef]
- Lis, H.; Sharon, N. Lectins; Kluwer Academic Publishers: Dordrecht, The Netherlands, 2003. [Google Scholar]
- Lemieux, R.U. How Water Provides the Impetus for Molecular Recognition in Aqueous Solution. Acc. Chem. Res. 1996, 29, 373–380. [Google Scholar] [CrossRef]
- Lis, H.; Sharon, N. Lectins: Carbohydrate-Specific Proteins That Mediate Cellular Recognition. Chem. Rev. 1998, 98, 637–674. [Google Scholar] [CrossRef] [PubMed]
- Quiocho, F.A. Protein-carbohydrate interactions: Basic molecular features. Pure Appl. Chem. 1989, 61, 1293–1306. [Google Scholar] [CrossRef]
- Quiocho, F.A.; Wilson, D.K.; Vyas, N.K. Substrate specificity and affinity of a protein modulated by bound water molecules. Nature 1989, 340, 404–407. [Google Scholar] [CrossRef]
- Sauter, N.K.; Glick, G.D.; Crowther, R.L.; Park, S.J.; Eisen, M.B.; Skehel, J.J.; Knowles, J.R.; Wiley, D.C. Crystallographic detection of a second ligand binding site in influenza virus hemagglutinin. Proc. Natl. Acad. Sci. USA 1992, 89, 324–328. [Google Scholar] [CrossRef] [PubMed]
- Weis, W.I.; Drickamer, K. Structural basis of lectin-carbohydrate recognition. Annu. Rev. Biochem. 1996, 65, 441–473. [Google Scholar] [CrossRef] [PubMed]
- Vyas, N.K.; Vyas, M.N.; Quiocho, F.A. Sugar and signal-transducer binding sites of the Escherichia coli galactose chemoreceptor protein. Science 1988, 242, 1290–1295. [Google Scholar] [CrossRef]
- Wright, C.S.; Hester, G. The 2.0 Å structure of a cross-linked complex between snowdrop lectin and a branched mannopentaose: Evidence for two unique binding modes. Structure 1996, 4, 1339–1352. [Google Scholar] [CrossRef]
- Sauerborn, M.K.; Wright, L.M.; Reynolds, C.D.; Grossmann, J.G.; Rizkallah, P.J. Insights into carbohydrate recognition by Narcissus pseudonarcissus lectin: The crystal structure at 2 Å resolution in complex with alpha1-3 mannobiose. J. Mol. Biol. 1999, 290, 185–199. [Google Scholar] [CrossRef]
- Mazik, M. Aminonaphthyridine Derivatives. U.S. Patent EP2139889B1, 18 March 2008. [Google Scholar]
- Mazik, M.; Balzarini, J. Anti-Infective Agents. U.S. Patent EP2139463A2, 18 March 2008. [Google Scholar]
- Sharon, N.; Lis, H. Carbohydrates in Cell Recognition. Sci. Am. 1993, 268, 74–81. [Google Scholar] [CrossRef]
- Sharon, N. When Lectin meets Oligosaccharide. Nature Struct. Biol. 1994, 1, 843–845. [Google Scholar] [CrossRef]
- Sharon, N.; Lis, H. Lectins as Cell Recognition Molecules. Science 1989, 246, 227–234. [Google Scholar] [CrossRef] [PubMed]
- Mazik, M.; Sonnenberg, C. Isopropylamino and isobutylamino groups as recognition sites for carbohydrates: Acyclic receptors with enhanced binding affinity toward β-galactosides. J. Org. Chem. 2010, 75, 6416–6423. [Google Scholar] [CrossRef] [PubMed]
- Koch, N.; Rosien, J.-R.; Mazik, M. Synthesis of compounds based on a dimesitylmethane scaffold and representative binding studies showing di- vs monosaccharide preference. Tetrahedron 2014, 70, 8758–8767. [Google Scholar] [CrossRef]
- Lippe, J.; Seichter, W.; Mazik, M. Improved binding affinity and interesting selectivities of aminopyrimidine-bearing carbohydrate receptors in comparison with their aminopyridine analogues. Org. Biomol. Chem. 2015, 13, 11622–11632. [Google Scholar] [CrossRef] [PubMed]
- Mazik, M.; Bandmann, H.; Sicking, W. Molecular Recognition of Carbohydrates by Artificial Polypyridine and Polypyrimidine Receptors. Angew. Chem. Int. Ed. 2000, 39, 551–554. [Google Scholar] [CrossRef]
- Mazik, M.; Buthe, A.C. Recognition properties of receptors based on dimesitylmethane-derived core: Di- vs. monosaccharide preference. Org. Biomol. Chem. 2009, 7, 2063–2071. [Google Scholar] [CrossRef]
- Mazik, M.; Geffert, C. 8-Hydroxyquinoline as a building block for artificial receptors: Binding preferences in the recognition of glycopyranosides. Org. Biomol. Chem. 2011, 9, 2319–2326. [Google Scholar] [CrossRef]
- Mazik, M.; König, A. Recognition properties of an acyclic biphenyl-based receptor toward carbohydrates. J. Org. Chem. 2006, 71, 7854–7857. [Google Scholar] [CrossRef]
- Mazik, M.; Hartmann, A.; Jones, P.G. Highly effective recognition of carbohydrates by phenanthroline-based receptors: Alpha- versus beta-anomer binding preference. Chem. Eur. J. 2009, 15, 9147–9159. [Google Scholar] [CrossRef]
- Mazik, M.; Kuschel, M. Highly effective acyclic carbohydrate receptors consisting of aminopyridine, imidazole, and indole recognition units. Chem. Eur. J. 2008, 14, 2405–2419. [Google Scholar] [CrossRef]
- Mazik, M.; Radunz, W.; Boese, R. Molecular recognition of carbohydrates with acyclic pyridine-based receptors. J. Org. Chem. 2004, 69, 7448–7462. [Google Scholar] [CrossRef] [PubMed]
- Mazik, M.; Sicking, W. Molecular Recognition of Carbohydrates by Artificial Receptors: Systematic Studies towards Recognition Motifs for Carbohydrates. Chem. Eur. J. 2001, 7, 664–670. [Google Scholar] [CrossRef]
- Rosien, J.-R.; Seichter, W.; Mazik, M. Trimethoxybenzene- and trimethylbenzene-based compounds bearing imidazole, indole and pyrrole groups as recognition units: Synthesis and evaluation of the binding properties towards carbohydrates. Org. Biomol. Chem. 2013, 11, 6569–6579. [Google Scholar] [CrossRef] [PubMed]
- Mazik, M.; Cavga, H.; Jones, P.G. Molecular recognition of carbohydrates with artificial receptors: Mimicking the binding motifs found in the crystal structures of protein-carbohydrate complexes. J. Am. Chem. Soc. 2005, 127, 9045–9052. [Google Scholar] [CrossRef]
- Amrhein, F.; Lippe, J.; Mazik, M. Carbohydrate receptors combining both a macrocyclic building block and flexible side arms as recognition units: Binding properties of compounds with CH2OH groups as side arms. Org. Biomol. Chem. 2016, 14, 10648–10659. [Google Scholar] [CrossRef]
- Lippe, J.; Mazik, M. Artificial receptors inspired by crystal structures of complexes formed between acyclic receptors and monosaccharides: Design, syntheses, and binding properties. J. Org. Chem. 2013, 78, 9013–9020. [Google Scholar] [CrossRef]
- Lippe, J.; Mazik, M. Carbohydrate receptors combining both a macrocyclic building block and flexible side arms as recognition units: Design, syntheses, and binding studies. J. Org. Chem. 2015, 80, 1427–1439. [Google Scholar] [CrossRef]
- Seidel, P.; Mazik, M. Syntheses of Acyclic and Macrocyclic Compounds Derived from 9,9-Diethylfluorene (Part I). ChemistryOpen 2020, 9, 1202–1213. [Google Scholar] [CrossRef]
- Mooibroek, T.J.; Casas-Solvas, J.M.; Harniman, R.L.; Renney, C.M.; Carter, T.S.; Crump, M.P.; Davis, A.P. A threading receptor for polysaccharides. Nature Chem. 2016, 8, 69–74. [Google Scholar] [CrossRef]
- Joshi, G.; Davis, A.P. New H-bonding patterns in biphenyl-based synthetic lectins; pyrrolediamine bridges enhance glucose-selectivity. Org. Biomol. Chem. 2012, 10, 5760–5763. [Google Scholar] [CrossRef]
- Francesconi, O.; Ienco, A.; Moneti, G.; Nativi, C.; Roelens, S. A self-assembled pyrrolic cage receptor specifically recognizes beta-glucopyranosides. Angew. Chem. Int. Ed. 2006, 45, 6693–6696. [Google Scholar] [CrossRef] [PubMed]
- Francesconi, O.; Gentili, M.; Nativi, C.; Ardá, A.; Cañada, F.J.; Jiménez-Barbero, J.; Roelens, S. Systematic dissection of an aminopyrrolic cage receptor for β-glucopyranosides reveals the essentials for effective recognition. Chem. Eur. J. 2014, 20, 6081–6091. [Google Scholar] [CrossRef] [PubMed]
- Wallace, K.J.; Hanes, R.; Anslyn, E.; Morey, J.; Kilway, K.V.; Siegel, J. Preparation of 1,3,5-Tris(aminomethyl)-2,4,6-triethylbenzene from Two Versatile 1,3,5-Tri(halosubstituted) 2,4,6-Triethylbenzene Derivatives. Synthesis 2005, 2005, 2080–2083. [Google Scholar] [CrossRef]
- Stapf, M.; Leibiger, B.; Schwarzer, A.; Mazik, M. Crystal structures of 2-3,5-bis-(bromomethyl)-2,4,6-triethylbenzylisoindoline-1,3-dione and 2-{5-(bromomethyl)-3-(1,3-dioxoisoindolin-2-yl)methyl-2,4,6-triethylbenzyl}isoindoline-1,3-dione. Acta Cryst. 2021, E77, 919–923. [Google Scholar] [CrossRef]
- Hynes, M.J. EQNMR: A computer program for the calculation of stability constants from nuclear magnetic resonance chemical shift data. J. Chem. Soc. Dalton Trans. 1993, 311–312. [Google Scholar] [CrossRef]
- Hübler, C. SupraFit—An Open Source Qt Based Fitting Application to Determine Stability Constants from Titration Experiments. Chem. Methods 2022, 2, e202200006. [Google Scholar] [CrossRef]
- Screen, J.; Stanca-Kaposta, E.C.; Gamblin, D.P.; Liu, B.; Macleod, N.A.; Snoek, L.C.; Davis, B.G.; Simons, J.P. IR-spectral signatures of aromatic-sugar complexes: Probing carbohydrate-protein interactions. Angew. Chem. Int. Ed. 2007, 46, 3644–3648. [Google Scholar] [CrossRef]
- Asensio, J.L.; Ardá, A.; Cañada, F.J.; Jiménez-Barbero, J. Carbohydrate-aromatic interactions. Acc. Chem. Res. 2013, 46, 946–954. [Google Scholar] [CrossRef]
- Chávez, M.I.; Andreu, C.; Vidal, P.; Aboitiz, N.; Freire, F.; Groves, P.; Asensio, J.L.; Asensio, G.; Muraki, M.; Cañada, F.J.; et al. On the importance of carbohydrate-aromatic interactions for the molecular recognition of oligosaccharides by proteins: NMR studies of the structure and binding affinity of AcAMP2-like peptides with non-natural naphthyl and fluoroaromatic residues. Chem. Eur. J. 2005, 11, 7060–7074. [Google Scholar] [CrossRef]
- Houser, J.; Kozmon, S.; Mishra, D.; Hammerová, Z.; Wimmerová, M.; Koča, J. The CH-π Interaction in Protein-Carbohydrate Binding: Bioinformatics and In Vitro Quantification. Chem. Eur. J. 2020, 26, 10769–10780. [Google Scholar] [CrossRef]
- Kiehna, S.E.; Laughrey, Z.R.; Waters, M.L. Evaluation of a carbohydrate-π interaction in a peptide model system. Chem. Commun. 2007, 4026–4028. [Google Scholar] [CrossRef] [PubMed]
- Terraneo, G.; Potenza, D.; Canales, A.; Jiménez-Barbero, J.; Baldridge, K.K.; Bernardi, A. A simple model system for the study of carbohydrate--aromatic interactions. J. Am. Chem. Soc. 2007, 129, 2890–2900. [Google Scholar] [CrossRef] [PubMed]
- Kubik, S. When Molecules Meet in Water-Recent Contributions of Supramolecular Chemistry to the Understanding of Molecular Recognition Processes in Water. ChemistryOpen 2022, 11, e202200028. [Google Scholar] [CrossRef]
- Schneider, H.-J. Dispersive interactions in solution complexes. Acc. Chem. Res. 2015, 48, 1815–1822. [Google Scholar] [CrossRef] [PubMed]
- Bitta, J.; Kubik, S. Cyclic hexapeptides with free carboxylate groups as new receptors for monosaccharides. Org. Lett. 2001, 3, 2637–2640. [Google Scholar] [CrossRef]
- Breiten, B.; Lockett, M.R.; Sherman, W.; Fujita, S.; Al-Sayah, M.; Lange, H.; Bowers, C.M.; Heroux, A.; Krilov, G.; Whitesides, G.M. Water networks contribute to enthalpy/entropy compensation in protein-ligand binding. J. Am. Chem. Soc. 2013, 135, 15579–15584. [Google Scholar] [CrossRef]
- Cooper, A.; Johnson, C.M.; Lakey, J.H.; Nöllmann, M. Heat does not come in different colours: Entropy–enthalpy compensation, free energy windows, quantum confinement, pressure perturbation calorimetry, solvation and the multiple causes of heat capacity effects in biomolecular interactions. Biophys. Chem. 2001, 93, 215–230. [Google Scholar] [CrossRef]
- Dumele, O.; Wu, D.; Trapp, N.; Goroff, N.; Diederich, F. Halogen bonding of (iodoethynyl)benzene derivatives in solution. Org. Lett. 2014, 16, 4722–4725. [Google Scholar] [CrossRef]
- Dunitz, J.D. Win some, lose some: Enthalpy-entropy compensation in weak intermolecular interactions. Chem. Biol. 1995, 2, 709–712. [Google Scholar] [CrossRef]
- Bonar-Law, R.P.; Sanders, J.K.M. Polyol Recognition by a Steroid-Capped Porphyrin. Enhancement and Modulation of Misfit Guest Binding by Added Water or Methanol. J. Am. Chem. Soc. 1995, 117, 259–271. [Google Scholar] [CrossRef]
- Mizutani, T.; Kurahashi, T.; Murakami, T.; Matsumi, N.; Ogoshi, H. Molecular Recognition of Carbohydrates by Zinc Porphyrins: Lewis Acid/Lewis Base Combinations as a Dominant Factor for Their Selectivity. J. Am. Chem. Soc. 1997, 119, 8991–9001. [Google Scholar] [CrossRef]










| Compound | X Unit of the Side-Arms | K11a,b,d [m−1] NMR b | K11a,c,d [m−1] ITC c |
|---|---|---|---|
| CDCl3 (NMR), CHCl3 (ITC) | |||
| 1 2 3 4 | tert-butylamino cyclopentylamino cyclohexylamino cycloheptylamino | 7960 11,200 12,500 9800 | 7780 10,800 12,300 8840 |
| CHCl3/H2O (0.035 M H2O; ITC) | |||
| 3 | cyclohexylamino | -- | 22,650 |
| Compound | K11 [M−1] | −∆G [kJ/mol] | −∆H [kJ/mol] | −T∆S [kJ/mol] | −∆S [J/mol K] |
|---|---|---|---|---|---|
| 1b | 7780 | 21.8 | 98.7 | 76.8 | 262 |
| 2b | 10,800 | 22.6 | 103.8 | 81.2 | 277 |
| 3b | 12,300 | 23.0 | 98.6 | 75.6 | 258 |
| 3c | 22,650 | 24.4 | 102.2 | 77.8 | 265 |
| 4b | 8840 | 22.1 | 103.1 | 81.0 | 276 |
Publisher’s Note: MDPI stays neutral with regard to jurisdictional claims in published maps and institutional affiliations. |
© 2022 by the authors. Licensee MDPI, Basel, Switzerland. This article is an open access article distributed under the terms and conditions of the Creative Commons Attribution (CC BY) license (https://creativecommons.org/licenses/by/4.0/).
Share and Cite
Leibiger, B.; Stapf, M.; Mazik, M. Cycloalkyl Groups as Building Blocks of Artificial Carbohydrate Receptors: Studies with Macrocycles Bearing Flexible Side-Arms. Molecules 2022, 27, 7630. https://doi.org/10.3390/molecules27217630
Leibiger B, Stapf M, Mazik M. Cycloalkyl Groups as Building Blocks of Artificial Carbohydrate Receptors: Studies with Macrocycles Bearing Flexible Side-Arms. Molecules. 2022; 27(21):7630. https://doi.org/10.3390/molecules27217630
Chicago/Turabian StyleLeibiger, Betty, Manuel Stapf, and Monika Mazik. 2022. "Cycloalkyl Groups as Building Blocks of Artificial Carbohydrate Receptors: Studies with Macrocycles Bearing Flexible Side-Arms" Molecules 27, no. 21: 7630. https://doi.org/10.3390/molecules27217630
APA StyleLeibiger, B., Stapf, M., & Mazik, M. (2022). Cycloalkyl Groups as Building Blocks of Artificial Carbohydrate Receptors: Studies with Macrocycles Bearing Flexible Side-Arms. Molecules, 27(21), 7630. https://doi.org/10.3390/molecules27217630

