Abstract
Recently, the sustainable utilization of waste resources has become a low-cost and effective strategy to design high-performance functional materials to solve the increasingly serious environmental pollution problem. Herein, the flexible and highly stretchable polyurethane (PU) composite foams assisted by one-dimensional carbon nanotubes (CNTs) and zero-dimensional Fe3O4 were fabricated using waste tire rubbers (WTRs) as reinforcements during a simple self-foaming process. The collaborative introduction of conductive CNTs, magnetic Fe3O4, and WTRs with three-dimensional cross-linked structures enabled the construction of an efficient electronic transmission path and heterointerfaces inside the composite foam. The resulting composite foam possessed a desired minimum reflection loss (RLmin) of −47.43 dB, and also exhibited superior mechanical properties with a tensile strength of >3 MPa and multiple tensile deformation recovery abilities. In addition, increasing the temperature could significantly improve the electromagnetic wave absorption performance of the composite foam. This comprehensive composite foam derived from WTRs has shown a promising development potential for using waste materials to relieve electromagnetic pollution.
1. Introduction
Nowadays, waste tire rubbers (WTRs) derived from the consumption of a large number of tires, also called black pollution, have hazardous impacts on the human health and environment [1,2]. Traditional solid waste treatment procedures, e.g., underground burial and burning of WTRs, will release an enormous amount of CO2 and other toxic substances, which may cause more serious secondary pollution [3,4]. Therefore, a trend from simple abandonment to sustainable reuse of WTRs is booming. The enhancements in characteristics and the environmental benefits of using WTRs have stimulated more research into developing green high-performance functional materials in the field of architecture [5] and energy storage [6].
With the advent of the 5G era, various electronic devices, e.g., smartphones and intelligent home appliances have ushered in rapid development, greatly facilitating people’s lives. However, the exponential growth in the power of radio frequency equipment also results in a significant increase in ground electromagnetic radiation, which brings about the increasingly serious problem of electromagnetic pollution [7,8,9]. Therefore, developing effectual electromagnetic protection materials has become a hot research topic. In view of the inherent three-dimensional (3D) cross-linked structure and high content of carbon black [10,11], the WTRs can also be considered as potential reinforcements to construct effective electromagnetic interference shielding or electromagnetic wave absorption (EWA) composite materials, by introducing various functional fillers [3,12] to alleviate the electromagnetic pollution. For example, Sheng et al. found that the WTRs could facilitate good distribution of the Ni layers at the interfaces and promote the effective establishment of the conductive network inside the material, thus offering the effective attenuation of electromagnetic waves (EWs) [10]. In our previous research [13] we fabricated an EWA composite composed of the tadpole-like carbon nanotube (CNT)/Fe3O4 and WTRs. The one-dimensional CNTs with high aspect ratio and good mechanical properties could form effective conductive networks inside the composite to attenuate EWs, owing to excellent conductivity and dielectric loss ability of CNTs [14]. While as an eco-friendly magnetic nanomaterial, zero-dimensional Fe3O4, with a feature of ease of synthesis, showed an outstanding magnetic loss property for EWs because free electrons could be exchanged rapidly between iron ions distributed in an octahedral structure [15]. Therefore, the resulting composite could exhibit an ideal EWA capability owing to the synergistic effect of the dielectric and magnetic losses. However, the mechanical instability and difficulty in self-support limited its application scopes. In order to meet realistic application requirements, a reliable route is to design comprehensive and particularly durable 3D elastomer materials (e.g., aerogels, foams) [16,17,18,19], which combines good EWA properties with excellent mechanical properties while tolerating external environmental changes.
For this reason, in this work, the polyurethane (PU) possessing excellent characteristics of low cost, corrosion resistance, and flexibility was exploited as an elastomer matrix [20,21] which could endow the WTR@CNT/Fe3O4 composites with superior mechanical strength and durability, thus developing a highly stretchable, porous, and self-foaming composite foam (Figure 1). The morphology and structure, mechanical performances, electromagnetic parameters, and EWA performances of the composite foam were investigated in detail. Furthermore, its temperature dependence on the EWA characteristics was evaluated and the possible EWA mechanism was also explained. Such a high-performance composite foam derived from the sustainable utilization of WTRs is expected to be assembled into a promising and performance-adjustable electronic device for different realistic scenarios, which can effectively mitigate electromagnetic pollution while promoting waste reutilization.
Figure 1.
The schematic diagram of fabricating the PU/WTR@CNT/Fe3O4 composite foams.
2. Results and Discussion
2.1. Morphology and Structure
The PU/WTR@CNT/Fe3O4 composite foam showed a 3D porous network structure with a pore size of <15 μm after moisture self-foaming (Figure 2a). Its rough surface came from the complex structure of WTRs (Figure 2b) [12]. The cross-linked WTRs helped to connect and bind the CNT/Fe3O4 nanoparticles into the PU matrix (Figure 2c,d). The presence of this porous structure could enhance the multiple reflections of the EWs inside the composite foam, which was highly beneficial to the energy consumption of EWs. The C (Figure 2e) and Fe (Figure 2f) elements could also be observed on the pore wall of the foam and EDS spectrum (Figure S1), implying the effective embedding of WTRs, CNTs, and Fe3O4. In addition, the XRD patterns of the PU/CNT/Fe3O4 and PU/WTR@CNT/Fe3O4 composite foams are exhibited in Figure 3a. The characteristic peaks of each foam appeared at the positions of 2θ = 30.3°, 35.6°, 43.1°, 57.3°, and 63.0°, which corresponded to (220), (311), (400), (511), and (440) planes of Fe3O4, respectively [22]. A weak peak at 2θ = 26.2° was attributed to the graphite (002) crystal plane of CNTs [23]. The above showed that the introduction of WTRs and PU basically did not affect the crystalline structure of the CNT/Fe3O4 nanoparticles.
Figure 2.
(a–d) SEM images of the PU/WTR@CNT/Fe3O4 composite foam with (e) C, and (f) Fe element mapping.
Figure 3.
(a) XRD patterns and (b) tensile stress–strain curves of the PU/CNT/Fe3O4 and PU/WTR@CNT/Fe3O4 composite foams; (c) Ten stretch–release cycles of the PU/WTR@CNT/Fe3O4—1:1.5 composite foam.
Because the materials are exposed to external stresses during their practical use [24], it is necessary to evaluate the mechanical properties of the PU/WTR@CNT/Fe3O4 composite foams. With the increase in the WTR content, although the elongation at break of the composite foam has decreased, the tensile strength could be greatly improved and reach ~3.2 MPa for the PU/WTR@CNT/Fe3O4—1:1.5 composite foam (Figure 3b), which was better than PU/CNT/Fe3O4 by 30%. It was due to the 3D cross-linked structure similar to high-viscosity gel and the enhancement effect of the low-cost and broadly sourced WTRs inside PU matrix [10]. However, as WTRs continued to increase the mechanical property of the foam would drop, probably owing to excessive WTRs inside PU. Particularly, the PU/WTR@CNT/Fe3O4—1:1.5 composite foam could still almost return to its original state even after ten stretch–release cycles (Figure 3c), demonstrating its required stretchability and durability.
2.2. EWA Properties
The EWA properties of the PU/WTR@CNT/Fe3O4 composite foams were evaluated (Figure 4) according to reflection loss (RL) values by combining permittivity (εr) with permeability (μr) as the following equations [25]:
where f, d, c, Zin, and Z0 are the frequency, thickness of the absorber, light velocity, input impedance on the surface of the absorber, and air impedance, respectively. The RL value of < −10 dB is required, meaning that more than 90% of the incoming EWs may be absorbed [26].
Figure 4.
The RL of the composite foams with different thicknesses at different frequencies: (a,b) PU/CNT/Fe3O4, (c,d) PU/WTR@CNT/Fe3O4—1:1, (e,f) PU/WTR@CNT/Fe3O4—1:1.5, and (g,h) PU/WTR@CNT/Fe3O4—1:2.
As shown in Figure 4a,b, the PU/CNT/Fe3O4 composite foam without WTRs showed a limited minimum RL (RLmin) value of −19.75 dB at 11.6 GHz. With the introduction of WTRs and content increase, the EWA performances of the composite foam could be effectively improved and its RLmin peak moved to the low band. When the mass ratio of CNT/Fe3O4 and WTRs was 1:2, a superior RLmin value of −47.43 dB with a matching thickness of 3.5 mm at 8.5 GHz and wide effective absorption bandwidth of 4.2 GHz (6.9–11.1 GHz) was obtained from the PU/WTR@CNT/Fe3O4—1:2 composite foam (Figure 4g,h). Furthermore, the effective absorption bandwidth and absorption peak of the composite foam could be effectively controlled by adjusting the corresponding matching thickness. This ideal EWA characteristic might be attributed to the good synergism between dielectric loss and magnetic loss caused by 1D CNTs and 0D Fe3O4 assisted by WTRs to construct segregated structures inside the composite foam, which facilitated the effective attenuation and absorption of EWs.
A good impedance matching confirms that the EWs are more easily entering the material, leading to better EWA capacity. The |Zin/Z0| values should be near or equal to one, indicating that the vast majority of incident EWs can pass through the material without being reflected at the air-absorber surface [27]. Apparently, the impedance matching of the PU/WTR@CNT/Fe3O4—1:2 composite foam was closer to 1 compared to that of the PU/CNT/Fe3O4 (Figure 5a), indicating its more favorable absorption for EWs. Moreover, the electrical conductivity (σ) is an essential embodiment of EWA performances, as shown in Figure 5b. The addition of WTRs would greatly improve the electrical properties of the PU-based composite foams because of the presence of conductive carbon black inside WTRs [28], which could promote the establishment of more continuous and efficient conductive paths with the participation of CNT/Fe3O4 nanoparticles and PU elastic matrix (Figure 5c) [12]. Meanwhile, the continued increase in WTRs would instead reduce the σ of the composite foams owing to the aggregation of excess WTRs and the increase in non-conductive components inside WTRs. However, it in turn was more conducive to the improvement of the EWA performances. This was because for the attenuation of EWs, too high or too low σ was unfavorable, and only an appropriate σ could help to better match the interface impedance [29].
Figure 5.
(a) The RL and |Zin/Z0| of the composite foams at different frequencies. (b) The σ and (c) conductive network structure of the composite foams.
2.3. EWA Mechanisms
According to Maxwell’s theory, the εr consists of the real part (ε′) and imaginary part (ε″), and the μr is made up of the real part (μ′) and imaginary part (μ″), while the fundamental ε′ and μ′ represent the storage capacity of electrical and magnetic energy, and the ε″ and μ″ are the dissipation capacity of electrical and magnetic power, respectively [30,31]. As can be seen from Figure 6a,b, an overall declining tendency with increasing frequency from 2 to 18 GHz described the complex ε altering ε′ and ε″ of different composite foams, as a result of the frequency dispersion behavior [32]. It was evident that the ε″ value of the PU/CNT/Fe3O4 composite foam without WTRs had the lowest result compared to other samples, due to the increase in the σ and dielectric loss caused by the addition of WTRs inside other foams according to the free electron theory (ε″ = σ/2ε0πf), which might be logically understood [33]. In addition, the ε″ curves of the composite foams fluctuated (Figure 6b), indicating the generation of the inherent resonance peaks from the dipolar polarization related to the CNT/Fe3O4 nanoparticles and interface polarization at the interfaces owing to numerous charge accumulations between fillers and matrix [34,35]. According to Debye theory, the Cole–Cole plots will demonstrate semicircular shapes if polarization losses occur based on equation S1 [36,37]. As shown in Figure S2, all composite foams exhibited several semicircles, indicating the existence of multiple Debye relaxations, which helped to improve the dielectric properties [38]. In addition, with the introduction of WTRs more semicircles and a long straight tail appeared in the PU/WTR@CNT/Fe3O4—1:2 composite foam (Figure S2d), suggesting more enhanced conduction losses [39]. For μr, it was found that the μ′ and μ″ curves were unstable, showing a trend of slight decrease and then increase with increasing frequencies (Figure 6c,d). The increased contents of WTRs possessed a smaller effect on μ′ and μ″ than ε′ and ε″ of the composite foam, which was caused by magnetic losses provided by Fe3O4, including natural resonance at low frequency, eddy current loss and exchange resonance at >10 GHz [40].
Figure 6.
The (a) ε′, (b) ε″, (c) μ′, (d) μ″, (e) tan δε, and (f) tan δμ of the PU/CNT/Fe3O4 and PU/WTR@CNT/Fe3O4 composite foams at different frequencies.
Furthermore, the dielectric loss tangent (tan δε = ε″/ε′) and magnetic loss tangent (tan δμ = μ″/μ′) were used to evaluate the contribution of dielectric loss and magnetic loss for EWA of composite foams at different frequencies. Generally, the effective absorption of EWs of the composite foam was a result of the synergy between dielectric loss and magnetic loss. The value of tan δε was higher than that of tan δμ overall (Figure 6e,f), revealing the dominant position of dielectric loss for the PU/WTR@CNT/Fe3O4 composite foam. Particularly, the attenuation effect of EWs can be assessed by the attenuation constant (α) based on Equation (S2) [41]. With the increase in WTRs, the α values of the composite foams also gradually increased (Figure S3). This was attributed to the adapted electromagnetic features and a 3D porous heterogeneous structure composed of CNTs, Fe3O4, and WTRs inside the PU matrix, which facilitated the strong attenuation for EWs.
To sum up, the EWA mechanisms of the PU/WTR@CNT/Fe3O4 composite foam were interpreted in Figure 7. When the EWs came into contact with the foam surface, except for a small portion that was reflected back, most of them entered the interior of the material due to the good interface impedance matching. Coupling WTRs, CNTs, and Fe3O4 embedding in the PU matrix with porous structures was responsible for the efficient attenuation of EWs inside the composite foam. Firstly, conductive carbon black in WTRs and CNTs acted as conductive paths for charge transmissions, providing enhanced conductivity and considerable dielectric losses. Secondly, the introduction of Fe3O4 nanoparticles supplied good magnetic properties and magnetic losses. In addition, a large number of heterogeneous interfaces were created among CNT/Fe3O4 nanoparticles, WTRs, and PU, increasing interface polarization and relaxation losses. Next, the interior 3D porous feature in the composite foam greatly aided in multiple reflections and scattering of EWs. Finally, the absorbed EWs were consumed by converting them into heat energy or other forms of energy.
Figure 7.
The EWA mechanisms of the PU/WTR@CNT/Fe3O4 composite foam.
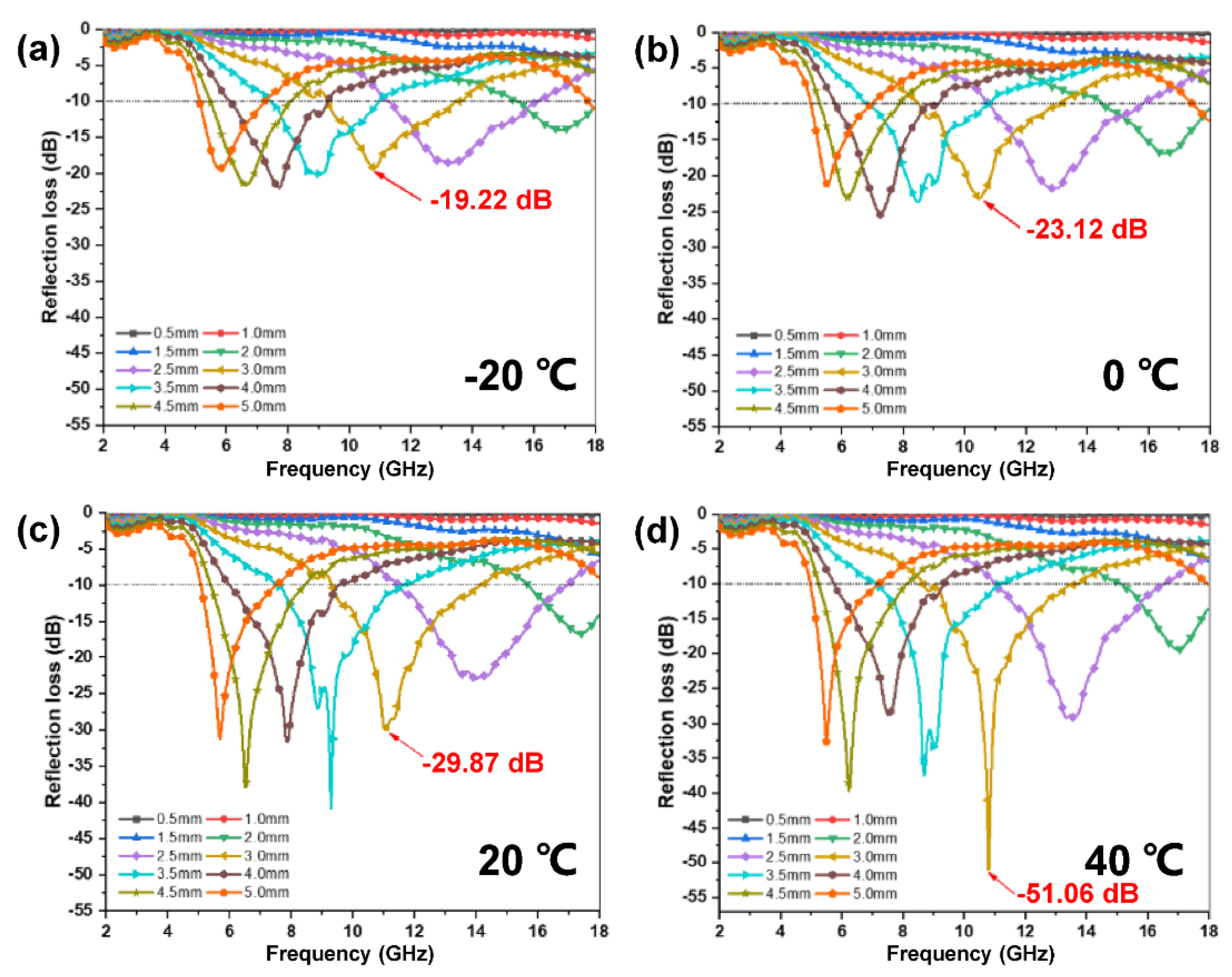
2.4. Temperature Dependence of EWA
Designing a high-performance material with tunable EWA characteristics under the stimulation of external temperature is still a significant challenge. Therefore, the EWA performances of the PU/WTR@CNT/Fe3O4—1:2 composite foam were investigated at different temperatures to evaluate the EWA temperature dependence of the material (Figure 8).
Figure 8.
The EWA temperature dependence of the PU/WTR@CNT/Fe3O4—1:2 composite foam at (a) −20 °C, (b) 0 °C, (c) 20 °C, and (d) 40 °C.
By changing the external temperature, the EWA performances of the composite foam could be regulated. When the temperature was −20 °C, a low RLmin reached only about −20 dB (Figure 8a). With the increase in temperature, the EWA performances of the composite foam also rose significantly, accompanied by an increase in ε′ and ε″ (Figure S4a,b). The highest RLmin value of −51.06 dB could be obtained at 40 °C (Figure 8d). In particular, the μ′ and μ″ values of the foam did not change significantly with adjusting temperatures (Figure S4c,d), indicating that the thermal stimulation had a weak influence on the magnetic loss. Such a characteristic was because when the external temperature rose, the air filled between the porous structures inside the composite foam would be heated and expanded. The resulting pressure could squeeze the pore wall, thus shortening the distance between conductive fillers. Then it was bound to increase the contact between WTRs and CNTs to promote the formation of a more effective conductive network for the migration of free electrons and charge accumulations generating more interface polarizations inside the PU-based composite foam, which was beneficial to the rapid decay of EWs. On the contrary, due to the decreased electron activities and evacuation of the conductive fillers under a low temperature, the attenuation ability of the composite foam to EWs was reduced, resulting in weakening its EWA performances.
3. Materials and Methods
3.1. Materials
WTRs and acidified CNTs were supplied by ENOCH GRASS Co., Ltd. (Guangdong, China) and Nanocyl SA (Sambreville, Belgium), respectively. PU was provided by Jining Huakai Resin Co., Ltd. (Jining, China). NH4Fe(SO4)2·12H2O and (NH4)2Fe(SO4)2·6H2O were purchased from Tianjin Kermel Chemical Reagent Co., Ltd. (Tianjin, China) and Sinopharm Chemical Reagent Co., Ltd. (Shanghai, China), respectively. Ammonia (NH3·H2O) and Ethanol were obtained from Yonghua Chemical Co., Ltd. (Changzhou, China). Deionized water was home-made from the laboratory.
3.2. Fabrication of PU/WTR@CNT/Fe3O4 Composite Foams
The tadpole-like CNT/Fe3O4 nanoparticles were synthesized according to our previous approach [13]. Briefly, CNTs were added in a mixed aqueous solution (120 mL) of (NH4)2Fe(SO4)2·6H2O (0.96 g) and NH4Fe(SO4)2·12H2O (2.37 g) with sonicating for 30 min (XO-1200D, Nanjing Xianou Instrument Manufacturing Co., Ltd., Nanjing, China). Then, a NH3·H2O solution (25 wt%) was dropped into the above mixture for 30 min at 50 °C for the co-precipitation of Fe3O4. The products were collected after multi-washing with ethanol and deionized water, and dried at 60 °C in a DZF-6096 drying oven (Shanghai Yiheng Scientific Instrument Co., Ltd., Shanghai, China) to obtain the CNT/Fe3O4 nanoparticles.
The CNT/Fe3O4 nanoparticles were mixed with the microwave-assisted WTRs in ethanol and were sonicated for 30 min. Next, the WTR@CNT/Fe3O4 composites were collected and dried at 60 °C. Among them, the mass ratios of CNT/Fe3O4 and WTRs were set to 1:1, 1:1.5, and 1:2. The 15 wt% of WTR@CNT/Fe3O4 and 85 wt% of PU matrix were fully blended and poured into in a mold for self-foaming by completely reacting with moisture in the air at room temperature. Finally, the above products were ambient-pressure dried at 35 °C for 5 h, thus obtaining the porous PU/WTR@CNT/Fe3O4 composite foams. The PU/CNT/Fe3O4 composite foam without WTRs was also fabricated for comparison.
3.3. Characterization
A Hitachi S-4800 field-emission scanning electron microscope (SEM, Tokyo, Japan) was used to observe the morphology and structure of the composite foams. The X-ray diffraction (XRD) patterns of different samples were characterized by an Ultima IV X-ray diffractometer (Rigaku, Tokyo, Japan) from 2θ = 10° to 90°. A universal testing machine (UTM4204, Jinan Jiuwang Instrument Co., Ltd., Jinan, China) was applied to measure the tensile properties of the composite foams with a 30 mm/min tensile rate. The EWA parameters of the toroidal foam samples with a 7 mm outer diameter and a 3.04 mm inner diameter were recorded by a ZVB20 vector network analyzer (Rohde & Schwarz, Munich, Germany) in a temperature range from −20 °C to 40 °C.
4. Conclusions
In summary, the functional PU composite foams via sustainable utilization of WTRs were designed successfully using a facile self-foaming method. The electron transport channels and more abundant heterogeneous interfaces inside the composite foam could be formed due to the presence of conductive and magnetic CNT/Fe3O4 nanocomposites with a modest proportion of WTRs. The composite foam not only showed effective absorption for EWs owing to the synergetic dielectric loss and magnetic loss, but also exhibited excellent mechanical properties for multiple stretching. More importantly, the controllable adjustment of its EWA performances could be realized by changing the external temperatures. Above all, this design strategy of fabricating the high-performance PU/WTR@CNT/Fe3O4 composite foams is expected to develop ideal absorber candidates for electromagnetic protection and waste pollution mitigation.
Supplementary Materials
The following supporting information can be downloaded at: https://www.mdpi.com/article/10.3390/molecules27248971/s1, Figure S1: The EDS spectrum of the PU/WTR@CNT/Fe3O4 composite foam; Figure S2: The Cole–Cole plots of the PU/CNT/Fe3O4 and PU/WTR@CNT/Fe3O4 composite foams: (a) PU/CNT/Fe3O4, (b) PU/WTR@CNT/Fe3O4—1:1, (c) PU/WTR@CNT/Fe3O4—1:1.5, and (d) PU/WTR@CNT/Fe3O4—1:2; Figure S3: The attenuation constant (α) of the PU/CNT/Fe3O4 and PU/WTR@CNT/Fe3O4 composite foams at different frequencies; Figure S4: The (a) ε′, (b) ε″, (c) μ′, and (d) μ″ of the PU/WTR@CNT/Fe3O4—1:2 composite foam at different temperatures. Equation (S1): Cole–Cole plots; Equation (S2): attenuation constant (α). Ref [37,41] are cited in the supplementary materials.
Author Contributions
Conceptualization, Y.C. and J.Z.; methodology, M.H.; software, M.H. and W.H.; formal analysis, W.H.; investigation, T.H.; data curation, Z.L.; writing—original draft preparation, J.Z. and Y.C.; writing—review and editing, S.J., S.E. and X.L.; supervision, Y.C.; project administration, J.Z.; funding acquisition, Y.C. and J.Z. All authors have read and agreed to the published version of the manuscript.
Funding
This research was funded by the Zhejiang Provincial Natural Science Foundation of China, “LQ22E030016”; the National Natural Science Foundation of China, “52275137 and 51705467”; the Postdoctoral Research Selected Funding Project of Zhejiang Province, “ZJ2022063”; the Self-Topic Fund of Zhejiang Normal University, “2020ZS04”; and the National Key Research and Development Program of China, “2018YFE0199100”.
Institutional Review Board Statement
Not applicable.
Informed Consent Statement
Not applicable.
Data Availability Statement
Not applicable.
Conflicts of Interest
The authors declare no conflict of interest.
Sample Availability
Not applicable.
References
- Ramarad, S.; Khalid, M.; Ratnam, C.T.; Chuah, A.L.; Rashmi, W. Waste tire rubber in polymer blends: A review on the evolution, properties and future. Prog. Mater. Sci. 2015, 72, 100–140. [Google Scholar] [CrossRef]
- Aoudia, K.; Azem, S.; Aït Hocine, N.; Gratton, M.; Pettarin, V.; Seghar, S. Recycling of waste tire rubber: Microwave devulcanization and incorporation in a thermoset resin. Waste Manag. 2017, 60, 471–481. [Google Scholar] [CrossRef] [PubMed]
- Lamri, Y.; Benzerga, R.; Ayadi, A.; Gendre, L.L.; El-Assal, A. Glass foam composites based on tire’s waste for microwave absorption application. J. Non-Cryst. Solids 2020, 537, 120017. [Google Scholar] [CrossRef]
- Derakhshan, Z.; Ghaneian, M.T.; Mahvi, A.H.; Oliveri Conti, G.; Faramarzian, M.; Dehghani, M.; Ferrante, M. A new recycling technique for the waste tires reuse. Environ. Res. 2017, 158, 462–469. [Google Scholar] [CrossRef] [PubMed]
- Siddika, A.; Mamun, M.A.A.; Alyousef, R.; Amran, Y.H.M.; Aslani, F.; Alabduljabbar, H. Properties and utilizations of waste tire rubber in concrete: A review. Constr. Build. Mater. 2019, 224, 711–731. [Google Scholar] [CrossRef]
- Sathiskumar, C.; Karthikeyan, S. Recycling of waste tires and its energy storage application of by-products—A review. Sustain. Mater. Technol. 2019, 22, e00125. [Google Scholar] [CrossRef]
- Ma, L.; Hamidinejad, M.; Zhao, B.; Liang, C.; Park, C.B. Layered foam/film polymer nanocomposites with highly efficient EMI shielding properties and ultralow reflection. Nano-Micro Lett. 2021, 14, 19. [Google Scholar] [CrossRef]
- Liu, Y.; Liu, X.; E, X.; Wang, B.; Jia, Z.; Chi, Q.; Wu, G. Synthesis of MnxOy@C hybrid composites for optimal electromagnetic wave absorption capacity and wideband absorption. J. Mater. Sci. Technol. 2022, 103, 157–164. [Google Scholar] [CrossRef]
- Jia, X.; Li, Y.; Shen, B.; Zheng, W. Evaluation, fabrication and dynamic performance regulation of green EMI-shielding materials with low reflectivity: A review. Compos. Part B-Eng. 2022, 233, 109652. [Google Scholar] [CrossRef]
- Sheng, A.; Yang, Y.; Ren, W.; Duan, H.; Liu, B.; Zhao, G.; Liu, Y. Ground tire rubber composites with hybrid conductive network for efficiency electromagnetic shielding and low reflection. J. Mater. Sci.-Mater. Electron. 2019, 30, 14669–14678. [Google Scholar] [CrossRef]
- Kaushal, S.; Chaudhary, A.; Dhakate, S.R. Analysis of electromagnetic shielding performance of waste rubber powder-based flexible composites. J. Mater. Sci.-Mater. Electron. 2022, 33, 24434–24446. [Google Scholar] [CrossRef]
- Jia, L.-C.; Li, Y.-K.; Yan, D.-X. Flexible and efficient electromagnetic interference shielding materials from ground tire rubber. Carbon 2017, 121, 267–273. [Google Scholar] [CrossRef]
- Zheng, J.; Hanshe, M.; Sun, Z.; Chen, Y.; Jiang, S.; Zhang, Y.; Cao, Y.; Li, X.; E, S. From waste to wealth: Crumb rubber@carbon nanotube/Fe3O4 composites towards highly effective electromagnetic microwave absorption with wide bandwidth. Diam. Relat. Mater. 2022, 126, 109089. [Google Scholar] [CrossRef]
- Wang, Y.-Y.; Zhou, Z.-H.; Zhu, J.-L.; Sun, W.-J.; Yan, D.-X.; Dai, K.; Li, Z.-M. Low-temperature carbonized carbon nanotube/cellulose aerogel for efficient microwave absorption. Compos. Part B-Eng. 2021, 220, 108985. [Google Scholar] [CrossRef]
- Ma, G.; Zhang, Y.; Liu, X. Electromagnetic wave absorption performance of magnesium phosphate cement functionalized by nano-Fe3O4 magnetic fluid and hollow glass microspheres. Constr. Build. Mater. 2020, 265, 120771. [Google Scholar] [CrossRef]
- Huang, K.; Chen, M.; He, G.; Hu, X.; He, W.; Zhou, X.; Huang, Y.; Liu, Z. Stretchable microwave absorbing and electromagnetic interference shielding foam with hierarchical buckling induced by solvent swelling. Carbon 2020, 157, 466–477. [Google Scholar] [CrossRef]
- Zhao, X.; Zhu, D.; Wu, J.; Zhang, R.; Lu, X.; Fan, B.; Li, Y.; Wu, H. Environmentally friendly a multifunctional cellulose-based carbon foam for superior electromagnetic wave absorption performance. Compos. Commun. 2022, 35, 101320. [Google Scholar] [CrossRef]
- Liang, L.; Li, Q.; Yan, X.; Feng, Y.; Wang, Y.; Zhang, H.-B.; Zhou, X.; Liu, C.; Shen, C.; Xie, X. Multifunctional magnetic Ti3C2Tx MXene/graphene aerogel with superior electromagnetic wave absorption performance. ACS Nano 2021, 15, 6622–6632. [Google Scholar] [CrossRef] [PubMed]
- Shao, G.; Shen, X.; Huang, X. Multilevel structural design and heterointerface engineering of a host-guest binary aerogel toward multifunctional broadband microwave absorption. ACS Mater. Lett. 2022, 4, 1787–1797. [Google Scholar] [CrossRef]
- Xu, Y.; Lin, Z.; Yang, Y.; Duan, H.; Zhao, G.; Liu, Y.; Hu, Y.; Sun, R.; Wong, C.-P. Integration of efficient microwave absorption and shielding in a multistage composite foam with progressive conductivity modular design. Mater. Horiz. 2022, 9, 708–719. [Google Scholar] [CrossRef]
- Li, Y.; Li, X.; Li, Q.; Zhao, Y.; Wang, J. Low-energy-consumption fabrication of porous TPU/graphene composites for high-performance microwave absorption and the influence of Fe3O4 incorporation. J. Alloys Compd. 2022, 909, 164627. [Google Scholar] [CrossRef]
- Lou, Z.; Han, X.; Liu, J.; Ma, Q.; Yan, H.; Yuan, C.; Yang, L.; Han, H.; Weng, F.; Li, Y. Nano-Fe3O4/bamboo bundles/phenolic resin oriented recombination ternary composite with enhanced multiple functions. Compos. Part B-Eng. 2021, 226, 109335. [Google Scholar]
- Sambyal, P.; Iqbal, A.; Hong, J.; Kim, H.; Kim, M.-K.; Hong, S.M.; Han, M.; Gogotsi, Y.; Koo, C.M. Ultralight and mechanically robust Ti3C2Tx hybrid aerogel reinforced by carbon nanotubes for electromagnetic interference shielding. ACS Appl. Mater. Inter. 2019, 11, 38046–38054. [Google Scholar] [CrossRef] [PubMed]
- Sun, Z.; Chen, Y.; Zheng, J.; Jiang, S.; Dong, W.; Li, X.; Li, Y.; E, S. Temperature-dependent electromagnetic microwave absorbing characteristics of stretchable polyurethane composite foams with ultrawide bandwidth. Adv. Eng. Mater. 2022, 24, 2101489. [Google Scholar] [CrossRef]
- Wang, G.; Gao, Z.; Tang, S.; Chen, C.; Duan, F.; Zhao, S.; Lin, S.; Feng, Y.; Zhou, L.; Qin, Y. Microwave absorption properties of carbon nanocoils coated with highly controlled magnetic materials by atomic layer deposition. ACS Nano 2012, 6, 11009–11017. [Google Scholar] [CrossRef]
- Zeng, X.; Jiang, G.; Zhu, L.; Wang, C.; Chen, M.; Yu, R. Fe3O4 nanoflower-carbon nanotube composites for microwave shielding. ACS Appl. Nano Mater. 2019, 2, 5475–5482. [Google Scholar] [CrossRef]
- He, P.; Wang, X.-X.; Cai, Y.-Z.; Shu, J.-C.; Zhao, Q.-L.; Yuan, J.; Cao, M.-S. Tailoring Ti3C2Tx nanosheets to tune local conductive network as an environmentally friendly material for highly efficient electromagnetic interference shielding. Nanoscale 2019, 11, 6080–6088. [Google Scholar] [CrossRef]
- Sripornsawat, B.; Saiwari, S.; Pichaiyut, S.; Nakason, C. Influence of ground tire rubber devulcanization conditions on properties of its thermoplastic vulcanizate blends with copolyester. Eur. Polym. J. 2016, 85, 279–297. [Google Scholar] [CrossRef]
- Chen, Y.; Luo, H.; Guo, H.; Liu, K.; Mei, C.; Li, Y.; Duan, G.; He, S.; Han, J.; Zheng, J.; et al. Anisotropic cellulose nanofibril composite sponges for electromagnetic interference shielding with low reflection loss. Carbohyd. Polym. 2022, 276, 118799. [Google Scholar] [CrossRef]
- Duan, Y.; Li, Y.; Wang, D.; Wang, R.; Wang, Y.; Hou, L.; Yan, X.; Li, Q.; Yang, W.; Li, Y. Transverse size effect on electromagnetic wave absorption performance of exfoliated thin-layered flake graphite. Carbon 2019, 153, 682–690. [Google Scholar] [CrossRef]
- Wang, C.; Wang, B.; Cao, X.; Zhao, J.; Chen, L.; Shan, L.; Wang, H.; Wu, G. 3D flower-like Co-based oxide composites with excellent wideband electromagnetic microwave absorption. Compos. Part B-Eng. 2021, 205, 108529. [Google Scholar] [CrossRef]
- Zuo, X.; Xu, P.; Zhang, C.; Li, M.; Jiang, X.; Yue, X. Porous magnetic carbon nanofibers (P-CNF/Fe) for low-frequency electromagnetic wave absorption synthesized by electrospinning. Ceram. Int. 2019, 45, 4474–4481. [Google Scholar]
- Xu, P.; Han, X.; Wang, C.; Zhou, D.; Lv, Z.; Wen, A.; Wang, X.; Zhang, B. Synthesis of electromagnetic functionalized nickel/polypyrrole core/shell composites. J. Phys. Chem. B 2008, 112, 10443–10448. [Google Scholar] [CrossRef]
- Ma, F.; Qin, Y.; Li, Y.-Z. Enhanced microwave performance of cobalt nanoflakes with strong shape anisotropy. Appl. Phys. Lett. 2010, 96, 202507. [Google Scholar] [CrossRef]
- Yan, L.; Liu, J.; Zhao, S.; Zhang, B.; Gao, Z.; Ge, H.; Chen, Y.; Cao, M.; Qin, Y. Coaxial multi-interface hollow Ni-Al2O3-ZnO nanowires tailored by atomic layer deposition for selective-frequency absorptions. Nano Res. 2017, 10, 1595–1607. [Google Scholar] [CrossRef]
- Wang, X.; Lu, Y.; Zhu, T.; Chang, S.; Wang, W. CoFe2O4/N-doped reduced graphene oxide aerogels for high-performance microwave absorption. Chem. Eng. J. 2020, 388, 124317. [Google Scholar] [CrossRef]
- Levy, O.; Stroud, D. Maxwell Garnett theory for mixtures of anisotropic inclusions: Application to conducting polymers. Phys. Rev. B 1997, 56, 8035–8046. [Google Scholar] [CrossRef]
- Kong, L.; Yin, X.; Yuan, X.; Zhang, Y.; Liu, X.; Cheng, L.; Zhang, L. Electromagnetic wave absorption properties of graphene modified with carbon nanotube/poly(dimethyl siloxane) composites. Carbon 2014, 73, 185–193. [Google Scholar]
- Li, Y.; Gai, L.; Song, G.; An, Q.; Xiao, Z.; Zhai, S. Enhanced properties of CoS2/Cu2S embedded N/S co-doped mesh-like carbonaceous composites for electromagnetic wave absorption. Carbon 2022, 186, 238–252. [Google Scholar] [CrossRef]
- Li, C.; Ge, Y.; Jiang, X.; Sui, J.; Zhang, Z.; Yu, L. Lightweight three-dimensional Fe3O4/carbon micro-flowers with tunable microwave absorption properties. J. Alloys Compd. 2019, 798, 414–423. [Google Scholar] [CrossRef]
- Chuai, D.; Liu, X.; Yu, R.; Ye, J.; Shi, Y. Enhanced microwave absorption properties of flake-shaped FePCB metallic glass/graphene composites. Compos. Part A Appl. Sci. Manuf. 2016, 89, 33–39. [Google Scholar] [CrossRef]
Publisher’s Note: MDPI stays neutral with regard to jurisdictional claims in published maps and institutional affiliations. |
© 2022 by the authors. Licensee MDPI, Basel, Switzerland. This article is an open access article distributed under the terms and conditions of the Creative Commons Attribution (CC BY) license (https://creativecommons.org/licenses/by/4.0/).







