Synthesis of DPIE [2-(1,2-Diphenyl-1H-indol-3-yl)ethanamine] Derivatives and Their Regulatory Effects on Pro-Inflammatory Cytokine Production in IL-1β-Stimulated Primary Human Oral Cells
Abstract
:1. Introduction
2. Results and Discussion
2.1. Synthesis of DPIE Derivatives
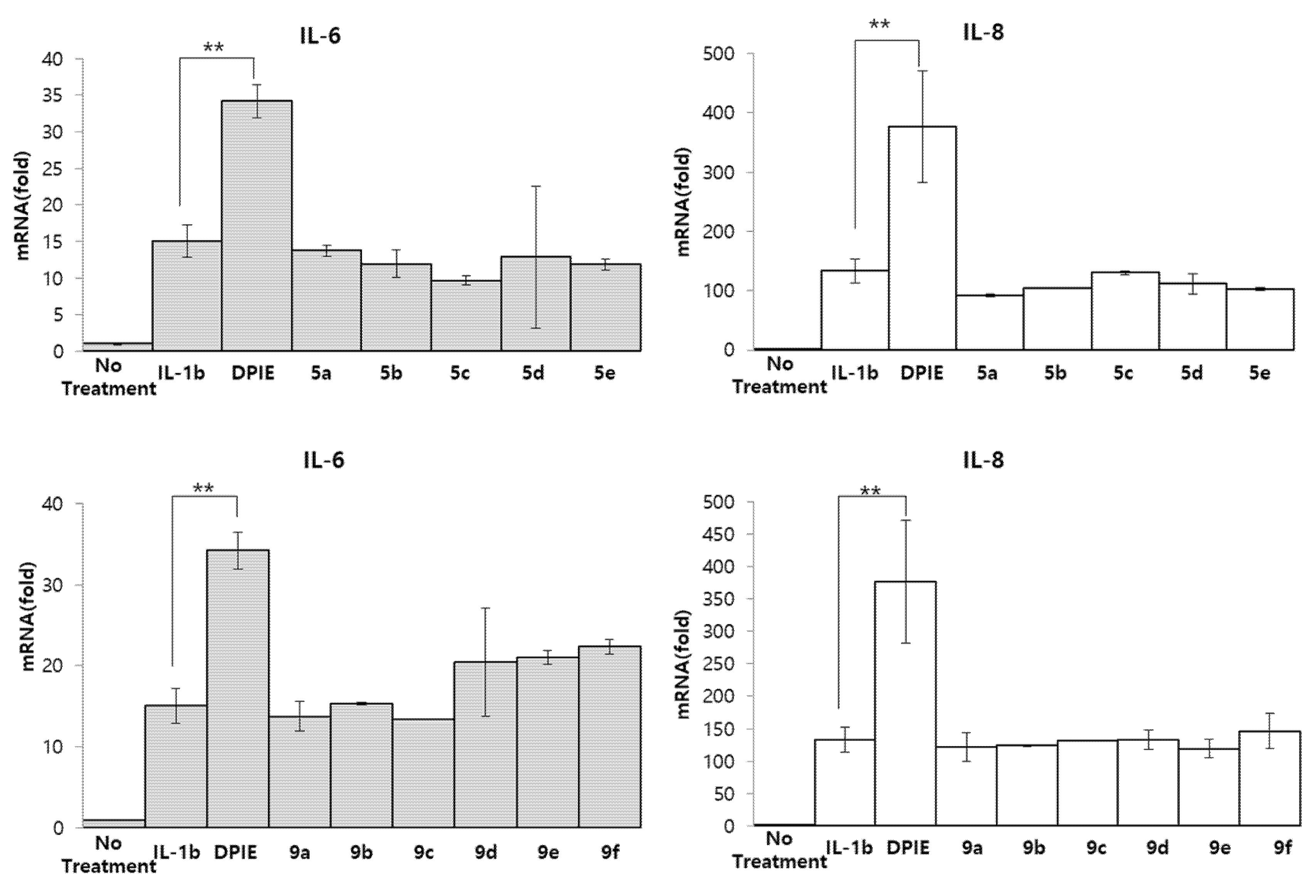
2.2. Effect of DPIE Derivatives on Pro-Inflammatory Cytokine Production in IL-1β-Stimulated GFs
2.3. Molecular Docking Study of DPIE Derivatives and Human IL-1R
3. Materials and Methods
3.1. Ethics Statement
3.2. Cell Culture and Reagents
3.3. Reverse-Transcription PCR
3.4. Statistical Analysis
3.5. Synthetic Method
3.5.1. General Information
3.5.2. General Procedure I: Synthesis of DPIE Derivative Type 1
2-(1,2-Diphenyl-1H-indol-3-yl)ethanamine (4a: DPIE)
2-(1,2-Diphenyl-1H-indol-3-yl)ethanamine (4b)
2-(2-phenyl-1-(4-(trifluoromethyl)phenyl)-1H-indol-3-yl)ethanamine (4c)
2-(1-(9,9-dimethyl-9H-fluoren-2-yl)-2-phenyl-1H-indol-3-yl)ethanamine (4d)
3.5.3. General Procedure II: Synthesis of DPIE Derivative Type 2-1
N-((1,2-Diphenyl-1H-indol-3-yl)methyl)cyclopropanamine (5a)
N-((1,2-Diphenyl-1H-indol-3-yl)methyl)aniline (5b)
N-((1,2-Diphenyl-1H-indol-3-yl)methyl)naphthalen-1-amine (5c)
N-((1,2-Diphenyl-1H-indol-3-yl)methyl)pyridin-2-amine (5d)
N-((1,2-Diphenyl-1H-indol-3-yl)methyl)-N-phenylaniline (5e)
3.5.4. General Procedure III: Synthesis of DPIE Derivative Type 2-2 and Type 3
1,2-Diphenyl-3-propyl-1H-indole (9a)
3-butyl-1,2-Diphenyl-1H-indole (9b)
3-hexyl-1,2-Diphenyl-1H-indole (9c)
3-octyl-1,2-Diphenyl-1H-indole (9d)
3-decyl-1,2-Diphenyl-1H-indole (9e)
3-hexadecyl-1,2-Diphenyl-1H-indole (9f)
3-ethyl-1-phenyl-1H-indole (12a)
1-phenyl-3-propyl-1H-indole(12b)
2-(1-phenyl-1H-indol-3-yl)ethanamine (12c)
3.6. Docking Simulation
4. Conclusions
Supplementary Materials
Author Contributions
Funding
Institutional Review Board Statement
Informed Consent Statement
Data Availability Statement
Acknowledgments
Conflicts of Interest
Sample Availability
References
- Chapple, I.L.C. Time to take periodontitis seriously. BMJ 2014, 348, g2645. [Google Scholar] [CrossRef] [PubMed]
- Lamont, R.J.; Hajishengallis, G. Polymicrobial synergy and dysbiosis in inflammatory disease. Trends Mol. Med. 2014, 21, 172–183. [Google Scholar] [CrossRef] [PubMed] [Green Version]
- Lamont, R.J.; Koo, H.; Hajishengallis, G. The oral microbiota: Dynamic communities and host interactions. Nat. Rev. Genet. 2018, 16, 745–759. [Google Scholar] [CrossRef] [PubMed]
- Kang, W.; Ji, X.; Zhang, X.; Tang, D.; Feng, Q. Persistent Exposure to Fusobacterium nucleatum Triggers Chemokine/Cytokine Release and Inhibits the Proliferation and Osteogenic Differentiation Capabilities of Human Gingiva-Derived Mesenchymal Stem Cells. Front. Microbiol. 2019, 9, 429. [Google Scholar] [CrossRef]
- Zasłona, Z.; Pålsson-McDermott, E.M.; Menon, D.; Haneklaus, M.; Flis, E.; Prendeville, H.; Corcoran, S.E.; Peters-Golden, M.; O’Neill, L.A.J. The Induction of Pro-IL-1β by Lipopolysaccharide Requires Endogenous Prostaglandin E2 Production. J. Immunol. 2017, 198, 3558–3564. [Google Scholar] [CrossRef] [Green Version]
- Brikos, C.; Wait, R.; Begum, S.; O’Neill, L.A.; Saklatvala, J. Mass spectrometric analysis of the endogenous type I interleukin-1 (IL-1) receptor signaling complex formed after IL-1 binding identifies IL-1RAcP, MyD88, and IRAK-4 as the stable components. Mol. Cell. Proteom. 2007, 6, 1551–1559. [Google Scholar] [CrossRef] [Green Version]
- Boraschi, D.; Tagliabue, A. The interleukin-1 receptor family. Semin. Immunol. 2013, 25, 394–407. [Google Scholar] [CrossRef]
- Hong, L.; Sharp, T.; Khorsand, B.; Fischer, C.; Eliason, S.; Salem, A.; Akkouch, A.; Brogden, K.; Amendt, B.A. MicroRNA-200c Represses IL-6, IL-8, and CCL-5 Expression and Enhances Osteogenic Differentiation. PLoS ONE 2016, 11, e0160915. [Google Scholar] [CrossRef]
- Yamaji, Y.; Kubota, T.; Sasaguri, K.; Sato, S.; Suzuki, Y.; Kumada, H.; Umemoto, T. Inflammatory cytokine gene expression in human periodontal ligament fibroblasts stimulated with bacterial lipopolysaccharides. Infect. Immun. 1995, 63, 3576–3581. [Google Scholar] [CrossRef] [Green Version]
- Kaneko, N.; Kurata, M.; Yamamoto, T.; Morikawa, S.; Masumoto, J. The role of interleukin-1 in general pathology. Inflamm. Regen. 2019, 39, 12. [Google Scholar] [CrossRef] [Green Version]
- Arend, W.P.; Joslin, F.G.; Massoni, R.J. Effects of immune complexes on production by human monocytes of interleukin 1 or an interleukin 1 inhibitor. J. Immunol. 1985, 134, 3868–3875. [Google Scholar] [PubMed]
- Cardiel, M.H.; Tak, P.P.; Bensen, W.; Burch, F.X.; Forejtova, S.; Badurski, J.E.; Kakkar, T.; Bevirt, T.; Ni, L.; McCroskery, E.; et al. A phase 2 randomized, double-blind study of AMG 108, a fully human monoclonal antibody to IL-1R, in patients with rheumatoid arthritis. Arthritis Res. Ther. 2010, 12, R192. [Google Scholar] [CrossRef] [PubMed] [Green Version]
- Kovalchin, J.; King, B.; Masci, A.; Hopkins, E.; Fry, J.; Hou, J.; Li, C.; Tenneson, K.; Weber, S.; Wolfe, G.; et al. Preclinical Development of EBI-005: An IL-1 Receptor-1 Inhibitor for the Topical Ocular Treatment of Ocular Surface Inflammatory Diseases. Eye Contact Lens. 2018, 44, 170–181. [Google Scholar] [CrossRef] [PubMed]
- Dubois, E.A.; Rissmann, R.; Cohen, A.F. Rilonacept and canakinumab. Br. J. Clin. Pharmacol. 2011, 71, 639–641. [Google Scholar] [CrossRef] [Green Version]
- Owyang, A.M.; Maedler, K.; Gross, L.; Yin, J.; Esposito, L.; Shu, L.; Jadhav, J.; Domsgen, E.; Bergemann, J.; Lee, S.; et al. XOMA 052, an anti-IL-1β monoclonal antibody, improves glucose control and β-cell function in the diet-induced obesity mouse model. Endocrinology 2010, 151, 2515–2527. [Google Scholar] [CrossRef]
- Sloan-Lancaster, J.; Abu-Raddad, E.; Polzer, J.; Miller, J.W.; Scherer, J.C.; De Gaetano, A.; Berg, J.K.; Landschulz, W.H. Double-blind, randomized study evaluating the glycemic and anti-inflammatory effects of subcutaneous LY2189102, a neutralizing IL-1β antibody, in patients with type 2 diabetes. Diabetes Care 2013, 36, 2239–2246. [Google Scholar] [CrossRef] [Green Version]
- Flores, J.; Noël, A.; Foveau, B.; Lynham, J.; Lecrux, C.; LeBlanc, A.C. Caspase-1 inhibition alleviates cognitive impairment and neuropathology in an Alzheimer’s disease mouse model. Nat. Commun. 2018, 9, 3916. [Google Scholar] [CrossRef] [Green Version]
- Ahn, S.-H.; Lee, J.-K.; Kim, N.D.; Kim, S.-H.; Lee, S.; Jung, S.; Chay, K.-O.; Lee, T.-H. DPIE [2-(1,2-Diphenyl-1H-indol-3-yl)ethanamine] Augments Pro-Inflammatory Cytokine Production in IL-1β-Stimulated Primary Human Oral Cells. Int. J. Mol. Sci. 2018, 19, 1835. [Google Scholar] [CrossRef] [Green Version]
- Quirpga, R.; Villarreal, M.A. Vinardo: A Scoring Function Based on Autodock Vina Improves Scoring, Docking, and Virtual Screening. PLoS ONE 2016, 11, e0155183. [Google Scholar]
- Hou, J.; Townson, S.A.; Kovalchin, J.T.; Masci, A.; Kiner, O.; Shu, Y.; King, B.M.; Schirmer, E.; Golden, K.; Thomas, C.; et al. Design of a superior cytokine antagonist for topical ophthalmic use. Proc. Natl. Acad. Sci. USA 2013, 110, 3913. [Google Scholar] [CrossRef] [Green Version]
- Marvin Was Used for Drawing, Displaying and Characterizing Chemical Structures, Substructures and Reactions, Marvin 17.14, 2017, ChemAxon. Available online: http://www.chemaxon.com (accessed on 22 March 2021).
- Pettersen, E.F.; Goddard, T.D.; Huang, C.C.; Couch, G.S.; Greenblatt, D.M.; Meng, E.C.; Ferrin, T.E. UCSF Chimera—A visualization system for exploratory research and analysis. J. Comput. Chem. 2004, 25, 1605–1612. [Google Scholar] [CrossRef] [PubMed] [Green Version]
- Yu, J.; Mookherjee, N.; Wee, K.; Bowdish, D.M.; Pistolic, J.; Li, Y.; Rehaume, L.; Hancock, R.E. Host defense peptide LL-37, in synergy with inflammatory mediator IL-1beta, augments immune responses by multiple pathways. J. Immunol. 2007, 179, 7684–7691. [Google Scholar] [CrossRef] [PubMed] [Green Version]
- Jayaraman, P.; Sada-Ovalle, I.; Nishimura, T.; Anderson, A.C.; Kuchroo, V.K.; Remold, H.G.; Behar, S.M. IL-1beta promotes antimicrobial immunity in macrophages by regulating TNFR signaling and caspase-3 activation. J. Immunol. 2013, 190, 4196–4204. [Google Scholar] [CrossRef] [PubMed]
- Bresnihan, B.; Newmark, R.; Robbins, S.; Genant, H.K. Effects of anakinra monotherapy on joint damage in patients with rheumatoid arthritis. Extension of a 24-week randomized, placebo-controlled trial. J. Rheumatol. 2004, 31, 1103–1111. [Google Scholar] [PubMed]
- Kapoor, M.; Martel-Pelletier, J.; Lajeunesse, D.; Pelletier, J.P.; Fahmi, H. Role of proinflammatory cytokines in the pathophysiology of osteoarthritis. Nat. Rev. Rheumatol. 2011, 7, 33–42. [Google Scholar] [CrossRef] [PubMed]








Publisher’s Note: MDPI stays neutral with regard to jurisdictional claims in published maps and institutional affiliations. |
© 2022 by the authors. Licensee MDPI, Basel, Switzerland. This article is an open access article distributed under the terms and conditions of the Creative Commons Attribution (CC BY) license (https://creativecommons.org/licenses/by/4.0/).
Share and Cite
Lim, J.; Seong, J.; Jung, S.; Lee, T.-H.; Kim, E.; Lee, S. Synthesis of DPIE [2-(1,2-Diphenyl-1H-indol-3-yl)ethanamine] Derivatives and Their Regulatory Effects on Pro-Inflammatory Cytokine Production in IL-1β-Stimulated Primary Human Oral Cells. Molecules 2022, 27, 899. https://doi.org/10.3390/molecules27030899
Lim J, Seong J, Jung S, Lee T-H, Kim E, Lee S. Synthesis of DPIE [2-(1,2-Diphenyl-1H-indol-3-yl)ethanamine] Derivatives and Their Regulatory Effects on Pro-Inflammatory Cytokine Production in IL-1β-Stimulated Primary Human Oral Cells. Molecules. 2022; 27(3):899. https://doi.org/10.3390/molecules27030899
Chicago/Turabian StyleLim, Jeongah, Jihyoun Seong, Seunggon Jung, Tae-Hoon Lee, Eunae Kim, and Sunwoo Lee. 2022. "Synthesis of DPIE [2-(1,2-Diphenyl-1H-indol-3-yl)ethanamine] Derivatives and Their Regulatory Effects on Pro-Inflammatory Cytokine Production in IL-1β-Stimulated Primary Human Oral Cells" Molecules 27, no. 3: 899. https://doi.org/10.3390/molecules27030899
APA StyleLim, J., Seong, J., Jung, S., Lee, T.-H., Kim, E., & Lee, S. (2022). Synthesis of DPIE [2-(1,2-Diphenyl-1H-indol-3-yl)ethanamine] Derivatives and Their Regulatory Effects on Pro-Inflammatory Cytokine Production in IL-1β-Stimulated Primary Human Oral Cells. Molecules, 27(3), 899. https://doi.org/10.3390/molecules27030899

