Deeper Insight into the Volatile Profile of Rosa willmottiae with Headspace Solid-Phase Microextraction and GC–MS Analysis
Abstract
1. Introduction
2. Results
2.1. Volatile Organic Compounds of Single-Petal Phenotype Rosebuds at Different Stages
2.2. Variation in Flowering Stage of R. willmottiae with Different Phenotypes
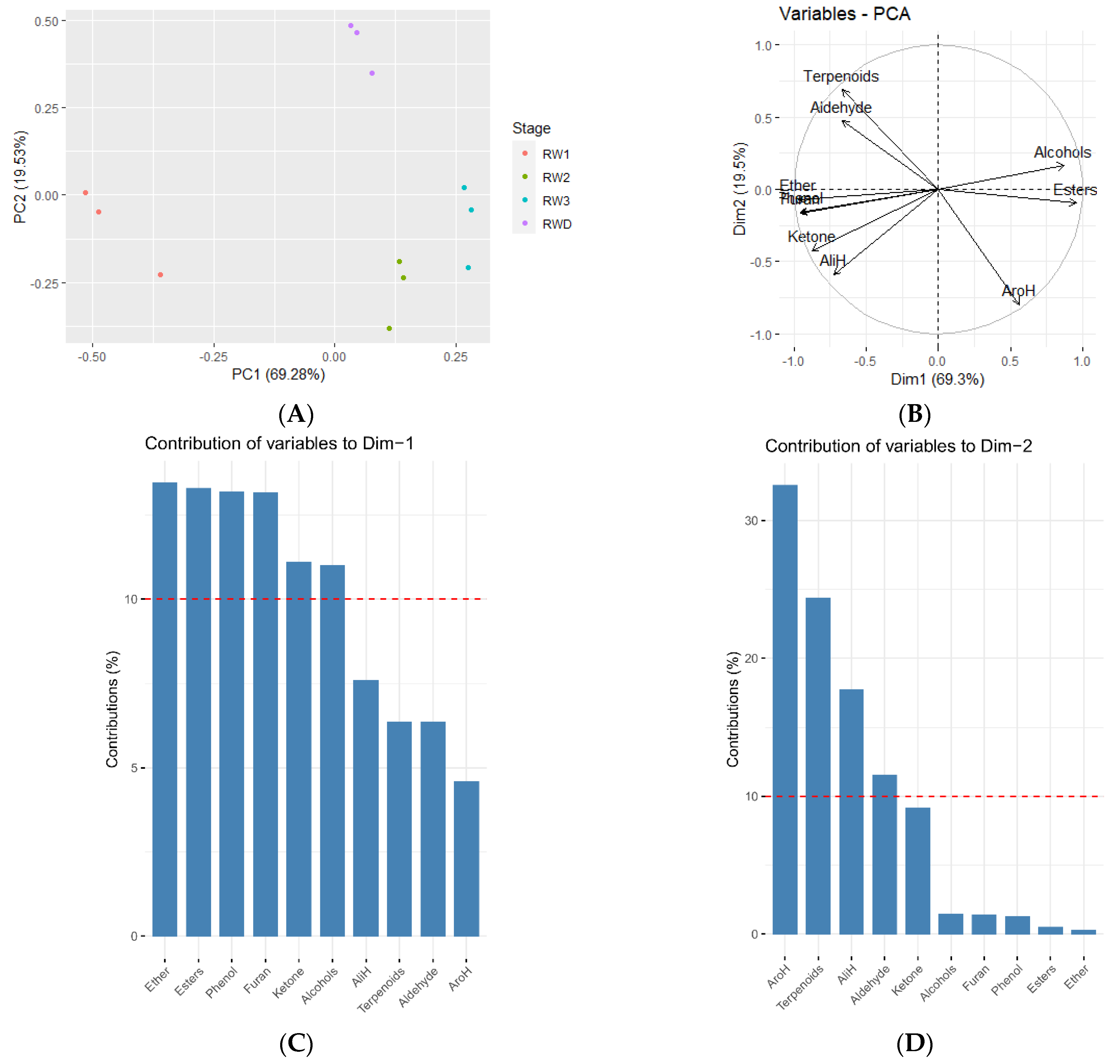
2.3. Principal Component Analysis (PCA)
3. Discussion
3.1. The Main Volatile Organic Compounds of Rosa willmottiae and Their Variation in Flowering Stages
3.2. Heterogeneity of Volatile Organic Compounds in Different Phenotypes’ Flowers of Rosa willmottiae
3.3. Potential Development Value of Floral Flavor Components in Rosa willmottiae
4. Materials and Methods
4.1. Plant Materials
4.2. Extraction and Analysis
4.3. Data Processing and Analysis
5. Conclusions
Supplementary Materials
Author Contributions
Funding
Acknowledgments
Conflicts of Interest
References
- Baser, K.H.C.; Altintaş, A.; Kurkcuoglu, M. Turkish rose. A review of the history, ethnobotany, and modern uses of rose petals, rose oil, rose water, and other rose products. Herbalgram 2013, 96, 40–53. [Google Scholar]
- Ku, T.C. Spongberg SA Malus Miller. In Flora of China, Vol. 9: 339–381; Wu, Z.Y., Raven, P.H., Hong, D.Y., Eds.; Science Press/Missouri Botanical Garden Press: Beijing, China; St. Louis, MO, USA, 2003. [Google Scholar]
- Younis, A.; Khan, M.A.; Ali, A.; Pervaiz, M.A. Performance of Four Rosa Species Under Faisalabad Agroclimatic Conditions. Caderno de Pesquisa série Biologia 2006, 18, 17–27. [Google Scholar]
- Thallaj, N.; Labban, L. The medicinal and pharmacological properties of damascene rose (Rosa damascena): A review. Int. J. Herb. Med. 2020, 8, 33–37. [Google Scholar]
- Gudin, S. Rose: Genetics and Breeding. Plant Breed. Rev. 2010, 17, 159–189. [Google Scholar]
- Magnard, J.L.; Roccia, A.; Caissard, J.C.; Vergne, P.; Sun, P.; Hecquet, R.; Dubois, A.; Hibrand-Saint Oyant, L.; Jullien, F.; Nicole, F.; et al. Biosynthesis of monoterpene scent compounds in roses. Science 2015, 349, 81–83. [Google Scholar] [CrossRef] [PubMed]
- Zhou, L.; Yu, C.; Cheng, B.; Wan, H.; Luo, L.; Pan, H.; Zhang, Q. Volatile compound analysis and aroma evaluation of tea-scented roses in China. Ind. Crops Prod. 2020, 155, 112735. [Google Scholar] [CrossRef]
- Tze-Ming, L. Rose of China and roses of Europe. Acta Hortic. Sin. 1964, 3, 387–394. [Google Scholar]
- Zhou, L.; Yu, C.; Cheng, B.; Han, Y.; Luo, L.; Pan, H.; Zhang, Q. Studies on the volatile compounds in flower extracts of Rosa odorata and R. chinensis. Ind. Crops Prod. 2020, 146, 112143. [Google Scholar] [CrossRef]
- Ueda, Y.; Wang, N.; Sasaki, H.; Watanabe, N.; Yomogida, K. Volatile Components in Chinese Roses. Acta Hortic. 2007, 751, 401–406. [Google Scholar] [CrossRef]
- Ye, L. Study on the main aroma components of ancient Chinese rose type. Modern Hortic. 2017, 2, 1. [Google Scholar]
- Guoliang, W. Old Roses in China. Am. Rose 2016, 43, 58–62. [Google Scholar]
- Ye, H. Medicinal Plants in China; Chemical Industry Press: Beijing, China, 2016. [Google Scholar]
- Wang, Z. Analysis of Volatile Components and Expression of Floral Scent Synthase Gene RhNUDX1 in Rosa L.; Yunnan University: Kunming, China, 2019. [Google Scholar]
- Adler, L.S.I.; Rebecca, E. What you smell is more important than what you see? Natural selection on floral scent. New Phytol. 2012, 195, 510–511. [Google Scholar] [CrossRef]
- Venskutonis, P.R. Effect of drying on the volatile constituents of thyme (Thymus vulgaris L) and sage (Salvia officinalis L). Food Chem. 1997, 59, 219–227. [Google Scholar] [CrossRef]
- Scalliet, G.; Piola, F.; Douady, C.J.; Rety, S.; Raymond, O.; Baudino, S.; Bordji, K.; Bendahmane, M.; Dumas, C.; Cock, J.M.; et al. Scent evolution in Chinese roses. Proc. Natl. Acad. Sci. USA 2008, 105, 5927–5932. [Google Scholar] [CrossRef] [PubMed]
- Kong, Y.; Sun, M.; Pan, H.T.; Zhang, Q.X. Comparison of Different Headspace Gas Sampling Methods for the Analysis of Floral Scent from Lilium ‘Siberia’. Asian J. Chem. 2012, 24, 5175–5178. [Google Scholar]
- Kong, Y.; Sun, M.; Pan, H.-t.; Zhang, Q.-x. Composition and Emission Rhythm of Floral Scent Volatiles from Eight Lily Cut Flowers. Am. Soc. Hortic. Sci. 2012, 137, 376–382. [Google Scholar] [CrossRef]
- Kim, N.S.; Lee, D.S. Comparison of different extraction methods for the analysis of fragrances from Lavandula species by gas chromatography-mass spectrometry. J. Chromatogr. A 2002, 982, 31–47. [Google Scholar] [CrossRef]
- Wang, L.-m.; Li, M.-t.; Jin, W.-w.; Li, S.; Zhang, S.-q.; Yu, L.-j. Variations in the components of Osmanthus fragrans Lour. essential oil at different stages of flowering. Food Chem. 2009, 114, 233–236. [Google Scholar] [CrossRef]
- Lubes, G.; Goodarzi, M. Analysis of Volatile Compounds by Advanced Analytical Techniques and Multivariate Chemometrics. Chem. Rev. 2017, 117, 6399–6422. [Google Scholar] [CrossRef]
- Ozel, M.Z.; Gogus, F.; Lewis, A.C. Comparison of direct thermal desorption with water distillation and superheated water extraction for the analysis of volatile components of Rosa damascena Mill. using GCxGC-TOF/MS. Anal. Chim. Acta 2006, 566, 172–177. [Google Scholar] [CrossRef]
- Yu, C. Construction of a Genetic Linkage Map and QTLs Analysis for Phenotypic Traits in Tetraploid Roses. Ph.D. Thesis, Beijing Forestry University, Beijing, China, 2015. [Google Scholar]
- Fan, Z.; Li, J.; Li, X.; Yin, H. Composition analysis of floral scent within genus Camellia uncovers substantial interspecific variations. Sci. Hortic. 2019, 250, 207–213. [Google Scholar] [CrossRef]
- Pichersky, E.; Noel, J.P.; Dudareva, N. Biosynthesis of Plant Volatiles: Nature’s Diversity and Ingenuity. Science 2006, 311, 808–811. [Google Scholar] [CrossRef]
- McTavish, H.S.; Davies, N.W.; Menary, R.C. Emission of Volatiles from Brown Boronia Flowers: Some Comparative Observations. Ann. Bot. 2000, 86, 347–354. [Google Scholar] [CrossRef][Green Version]
- Dudareva, N.; Pichersky, E. Biochemical and molecular genetic aspects of floral scents. Plant Physiol. 2000, 122, 627–633. [Google Scholar] [CrossRef]
- Al-Kateb, H.; Mottram, D.S. The relationship between growth stages and aroma composition of lemon basil Ocimum citriodorum Vis. Food Chem. 2014, 152, 440–446. [Google Scholar] [CrossRef] [PubMed]
- Li, Y.; Ma, H.; Wan, Y.; Li, T.; Liu, X.; Sun, Z.; Li, Z. Volatile Organic Compounds Emissions from Luculia pinceana Flower and Its Changes at Different Stages of Flower Development. Molecules 2016, 21, 531. [Google Scholar] [CrossRef] [PubMed]
- Burdon, R.C.; Raguso, R.A.; Kessler, A.; Parachnowitsch, A.L. Spatiotemporal Floral Scent Variation of Penstemon digitalis. J. Chem. Ecol. 2015, 41, 641–650. [Google Scholar] [CrossRef]
- Fan, J.; Zhang, W.; Zhang, D.; Wang, G.; Cao, F. Flowering Stage and Daytime Affect Scent Emission of Malus ioensis “Prairie Rose”. Molecules 2019, 24, 2356. [Google Scholar] [CrossRef]
- Dudareva, N.; Pichersky, E.; Gershenzon, J. Biochemistry of plant volatiles. Plant Physiol. 2004, 135, 1893–1902. [Google Scholar] [CrossRef]
- Van Doorn, W.G.; Kamdee, C. Flower opening and closure: An update. J. Exp. Bot. 2014, 65, 5749–5757. [Google Scholar] [CrossRef]
- Reid, M.S.; Dodge, L.L.; Mor, Y.; Evans, R.Y. Effects of Ethylene on Rose opening. Acta Hortic. 1989, 261, 215–220. [Google Scholar] [CrossRef]
- Macnish, A.J.; Simons, D.H.; Joyce, D.C.; Faragher, J.D.; Hofman, P.J. Responses of Native Australian Cut Flowers to Treatment with 1-Methylcyclopropene and Ethylene. HortScience 2000, 35, 254–255. [Google Scholar] [CrossRef]
- Pichersky, E.; Raguso, R.A.; Lewinsohn, E.; Croteau, R. Floral Scent Production in CIarkia (Onagraceae). Plant Physiol. 1994, 106, 1533–1540. [Google Scholar] [CrossRef] [PubMed]
- Deng, B.; Cao, Y.; Fang, S.; Shang, X.; Yang, W.; Qian, C. Variation and stability of growth and leaf flavonoid content in Cyclocarya paliurus across environments. Ind. Crops Prod. 2015, 76, 386–393. [Google Scholar] [CrossRef]
- Knudsen, J.T.; Eriksson, R.; Gershenzon, J.; Stahl, B. Diversity and distribution of floral scent. Bot. Rev. 2006, 72, 1–120. [Google Scholar] [CrossRef]
- Hu, Z.; Tang, B.; Wu, Q.; Zheng, J.; Leng, P.; Zhang, K. Transcriptome Sequencing Analysis Reveals a Difference in Monoterpene Biosynthesis between Scented Lilium ‘Siberia’ and Unscented Lilium ‘Novano’. Front. Plant Sci. 2017, 8, 1351. [Google Scholar] [CrossRef]
- Zhao, Y.Q.L.; Liu, Q. Research Advances in the Formation Mechanism and Genetic Characters of Double Flowers. Acta Bot. Boreali-Occident. Sin. 2009, 29, 832–841. [Google Scholar]
- Dubois, A.; Raymond, O.; Maene, M.; Baudino, S.; Langlade, N.B.; Boltz, V.; Vergne, P.; Bendahmane, M. Tinkering with the C-function: A molecular frame for the selection of double flowers in cultivated roses. PLoS ONE 2010, 5, e9288. [Google Scholar] [CrossRef]
- Theien, G. Development of floral organ identity: Stories from the MADS house. Curr. Opin. Plant Biol. 2001, 4, 75–85. [Google Scholar] [CrossRef]
- Tooke, F.; Battey, N.H. A leaf-derived signal is a quantitative determinant of floral form in Impatiens. Plant Cell 2000, 12, 1837–1847. [Google Scholar] [CrossRef]
- Baër, K.Y.O. An investigation into the cause of sterility in double-flowered freesia varieties and the possibility of restoring fertility. Euphytica 1971, 20, 493–497. [Google Scholar] [CrossRef]
- Fan, T.; Zhang, G.; Tian, Y.; Li, Y. Morphological observation of excessive petal Rosa hybrida induced by low temperature. J. Northeast For. Univ. 2014, 9, 116–121. [Google Scholar]
- Wen-liang, L.U.; Shu-Nong, B.A.I.; Xian-Sheng, Z. Induction of Continuous Tepal Differentiation from in Vitro Regenerated Flower Buds of Hyacinthus orientalis. Acta Bot. Sin. 1999, 41, 921–926. [Google Scholar]
- Hirata, H.; Ohnishi, T.; Tomida, K.; Ishida, H.; Kanda, M.; Sakai, M.; Yoshimura, J.; Suzuki, H.; Ishikawa, T.; Dohra, H.; et al. Seasonal induction of alternative principal pathway for rose flower scent. Sci Rep. 2016, 6, 20234. [Google Scholar] [CrossRef]
- Ruíz-Ramón, F.; Águila, D.J.; Egea-Cortines, M.; Weiss, J. Optimization of fragrance extraction: Daytime and flower age affect scent emission in simple and double narcissi. Ind. Crops Prod. 2014, 52, 671–678. [Google Scholar] [CrossRef]
- Vainstein, A.; Lewinsohn, E.; Pichersky, E.; Weiss, D. Floral Fragrance. New Inroads into an Old Commodity. Plant Physiol. 2001, 127, 1383–1389. [Google Scholar] [CrossRef]
- Harman, L. The human relationship with fragrance. In The Chemistry of Fragrances: From Perfumer to Consumer (2); Sell, C.S., Ed.; The Royal Society of Chemistry: Cambridge, UK, 2006; pp. 1–2. [Google Scholar]
- Baydar, H.; Göktürk, N. The effects of harvest date, fermentation duration and Tween 20 treatment on essential oil content and composition of industrial oil rose (Rosa damascena Mill.). Ind. Crops Prod. 2005, 21, 251–255. [Google Scholar] [CrossRef]
- Kováts, E.S. Composition of essential oils. Part 7. Bulgarian oil of rose (Rosa Damascena mill.). J. Chromatogr. A 1987, 406, 185–222. [Google Scholar]
- Won, M.-M.; Cha, E.-J.; Yoon, O.-K.; Kim, N.-S.; Kim, K.; Lee, D.-S. Use of headspace mulberry paper bag micro solid phase extraction for characterization of volatile aromas of essential oils from Bulgarian rose and Provence lavender. Anal. Chim. Acta 2009, 631, 54–61. [Google Scholar] [CrossRef]
- Tieman, D.; Taylor, M.; Schauer, N.; Fernie, A.R.; Hanson, A.D.; Klee, H.J. Tomato aromatic amino acid decarboxylases participate in synthesis of the flavor volatiles 2-phenylethanol and 2-phenylacetaldehyde. Proc. Natl. Acad. Sci. USA 2006, 103, 8287–8292. [Google Scholar] [CrossRef]
- Chen, X.M.; Kobayashi, H.; Sakai, M.; Hirata, H.; Asai, T.; Ohnishi, T.; Baldermann, S.; Watanabe, N. Functional characterization of rose phenylacetaldehyde reductase (PAR), an enzyme involved in the biosynthesis of the scent compound 2-phenylethanol. J. Plant Physiol. 2011, 168, 88–95. [Google Scholar] [CrossRef] [PubMed]
- Hua, D.; Xu, P. Recent advances in biotechnological production of 2-phenylethanol. Biotechnol. Adv. 2011, 29, 654–660. [Google Scholar] [CrossRef] [PubMed]
- Machas, M.S.; McKenna, R.; Nielsen, D.R. Expanding Upon Styrene Biosynthesis to Engineer a Novel Route to 2-Phenylethanol. Biotechnol. J. 2017, 12, 1700310. [Google Scholar] [CrossRef] [PubMed]
- Atsumi, S.; Hanai, T.; Liao, J.C. Non-fermentative pathways for synthesis of branched-chain higher alcohols as biofuels. Nature 2008, 451, 86–89. [Google Scholar] [CrossRef]
- Fraud, S.; Rees, E.L.; Mahenthiralingam, E.; Russell, A.D.; Maillard, J.Y. Aromatic alcohols and their effect on Gram-negative bacteria, cocci and mycobacteria. J. Antimicrob. Chemother. 2003, 51, 1435–1436. [Google Scholar] [CrossRef]
- Medeiros, K.; Dos Santos, J.R.; Melo, T.C.S.; de Souza, M.F.; Santos, L.G.; de Gois, A.M.; Cintra, R.R.; Lins, L.; Ribeiro, A.M.; Marchioro, M. Depressant effect of geraniol on the central nervous system of rats: Behavior and ECoG power spectra. Biomed. J. 2018, 41, 298–305. [Google Scholar] [CrossRef]
- ZhengYi, W. Flora of Tibet; Science Press: Beijing, China, 1983. [Google Scholar]
- Sparkman, O.D. Identification of essential oil components by gas chromatography/quadrupole mass spectroscopy Robert P. Adams. J. Am. Soc. Mass Spectrom. 2005, 16, 1902–1903. [Google Scholar] [CrossRef]
- Moetamedipoor, S.A.; Saharkhiz, M.J.; Khosravi, A.R.; Jowkar, A. Essential oil chemical diversity of Iranian mints. Ind. Crops Prod. 2021, 172, 114039. [Google Scholar] [CrossRef]






| Phenotype | Alpha Diversity Index | ||
|---|---|---|---|
| Shannon-Wiener | Simpson | Pielou | |
| RW3 (single) | 2.856 | 0.905 | 0.738 |
| RWD (double) | 2.896 | 0.912 | 0.740 |
Publisher’s Note: MDPI stays neutral with regard to jurisdictional claims in published maps and institutional affiliations. |
© 2022 by the authors. Licensee MDPI, Basel, Switzerland. This article is an open access article distributed under the terms and conditions of the Creative Commons Attribution (CC BY) license (https://creativecommons.org/licenses/by/4.0/).
Share and Cite
Jiao, R.; Gao, P.; Gao, X. Deeper Insight into the Volatile Profile of Rosa willmottiae with Headspace Solid-Phase Microextraction and GC–MS Analysis. Molecules 2022, 27, 1240. https://doi.org/10.3390/molecules27041240
Jiao R, Gao P, Gao X. Deeper Insight into the Volatile Profile of Rosa willmottiae with Headspace Solid-Phase Microextraction and GC–MS Analysis. Molecules. 2022; 27(4):1240. https://doi.org/10.3390/molecules27041240
Chicago/Turabian StyleJiao, Ruifang, Ping Gao, and Xinfen Gao. 2022. "Deeper Insight into the Volatile Profile of Rosa willmottiae with Headspace Solid-Phase Microextraction and GC–MS Analysis" Molecules 27, no. 4: 1240. https://doi.org/10.3390/molecules27041240
APA StyleJiao, R., Gao, P., & Gao, X. (2022). Deeper Insight into the Volatile Profile of Rosa willmottiae with Headspace Solid-Phase Microextraction and GC–MS Analysis. Molecules, 27(4), 1240. https://doi.org/10.3390/molecules27041240

