Next Article in Journal
Analytical Methods for the Determination of 90Sr and 239,240Pu in Environmental Samples
Next Article in Special Issue
Enhanced Extraction Efficiency of Flavonoids from Pyrus ussuriensis Leaves with Deep Eutectic Solvents
Previous Article in Journal
Microfluidic Microalgae System: A Review
Previous Article in Special Issue
Hydrothermal CO2 Reduction by Glucose as Reducing Agent and Metals and Metal Oxides as Catalysts
 
 
Font Type:
Arial Georgia Verdana
Font Size:
Aa Aa Aa
Line Spacing:
Column Width:
Background:
Article

Copper-Free Halodediazoniation of Arenediazonium Tetrafluoroborates in Deep Eutectic Solvents-like Mixtures

1
Department of Chemistry, University of Turin, Via Pietro Giuria 7, 10125 Turin, Italy
2
NIS Interdepartmental Centre and INSTM Reference Centre, Universiy of Turin, Via Gioacchino Quarello 15/a, 10125 Turin, Italy
*
Authors to whom correspondence should be addressed.
Molecules 2022, 27(6), 1909; https://doi.org/10.3390/molecules27061909
Submission received: 22 February 2022 / Revised: 9 March 2022 / Accepted: 11 March 2022 / Published: 15 March 2022
(This article belongs to the Special Issue Recent Advances in Green Solvents)

Abstract

:
Deep Eutectic Solvent (DES)-like mixtures, based on glycerol and different halide organic and inorganic salts, are successfully exploited as new media in copper-free halodediazoniation of arenediazonium salts. The reactions are carried out in absence of metal-based catalysts, at room temperature and in a short time. Pure target products are obtained without the need for chromatographic separation. The solvents are fully characterized, and a computational study is presented aiming to understand the reaction mechanism.

Graphical Abstract

1. Introduction

In recent years, the interest in Deep Eutectic Solvents (DESs) has been growing since they are a potentially environmentally benign and sustainable alternative to conventional organic solvents [1,2,3]. Despite the increasing use of DESs in organic synthesis [4,5,6], they have scarcely been utilized in the reactions of diazonium salts. In fact, the literature shows only three very recent examples, where DESs are employed as innocent solvents [7,8,9].
In our previous paper [10] we studied the behaviour of arenediazonium tetrafluoroborates in a new DES formed by KF as a hydrogen bond acceptor (HBA) and glycerol as a hydrogen bond donor (HBD) as reaction media. A controlled decomposition of diazonium salts took place, with the formation of arenes as hydrodediazoniation products. We proposed a plausible mechanism where a relatively fast (strictly depending on the electronic effects of the substituents bound to the aromatic ring) reduction reaction occurs initiated by the formation of a glycerolate-like species. Interestingly, in some preliminary tests we found that the behaviour of 4-nitrobenzenediazonium tetrafluoroborate (1a) in a mixture formed by glycerol (HBD) and KBr or KCl (HBA) was completely different. In fact, a certain amount of halogenation product was obtained, still alongside the reduction product. Therefore, in the present paper, we decided to further investigate the reactivity of these mixtures.
The transformations of arenediazonium salts into several functional groups, such as halogen, hydroxyl, and cyano, are known as Sandmeyer or Sandmeyer-type reactions (Scheme 1) and have been widely used both in the fields of research and in industrial production [11,12,13,14].
In particular, halodediazoniation [15,16,17,18] represents an important organic transformation that converts arylamines to aryl halides via a diazonium salt intermediate and in the presence of Cu(I) as a catalyst. It must be stressed that aryl halides have always been drawing notable attention as beneficial reagents for arylation or for further aromatic core modification [19,20,21]. On these grounds, they have found a wide application in the synthesis of compound libraries, first of all because of smoothly running arylation reactions, as well as metal-catalyzed couplings. Moreover, they are an important structural motif in molecules, usually of marine origin, that exhibit interesting biological and pharmacological activity [22,23].
In recent years, this “old” reaction (proposed by Sandmeyer at the end of the 19th century [14]) has been revisited and has become an interesting research topic (Scheme 1) [24,25]. In light of these, a conversion of aromatic amines via arenediazonium salts in aromatic compounds bearing a C-CF3 [26,27], C-B [28,29], C-Sn [30], C-S [31,32,33,34], and C-P [35,36] bonds have been proposed. Furthermore, some research groups, aiming at increasing the sustainability of the reaction, have developed interesting synthetic procedures that allow aryl halide to be obtained without the use of copper as a catalyst [37,38,39,40,41].
On this basis, in this paper we report a thorough experimental and theoretical study of halodediazoniation reactions carried out in various types of DES-like systems and in total absence of a Cu catalyst.

2. Results and Discussion

As mentioned above, in one of our recent papers [10], we proposed a new DES based on glycerol and KF as an effective solvent for the green reduction of arenediazonium salts with almost quantitative yields. In that context, glycerol/KF 6:1 was unambiguously categorized as a DES system due to an unexpectedly high conductivity (31 S m2 mol−1), much higher than the values predicted by the Walden plot. Similar behaviour was found when K+ was replaced by Cs+, indicating the main role of the anion in the formation of a DES. Indeed, when F was replaced with Cl or Br, the resulting systems presented, from an electrochemical point of view, a conventional behaviour. Additionally, they seemed to be ineffective in the reduction reaction whose mechanism is based on the formation of a glycerolate-like species (i.e., a glycerol molecule involved in a hydrogen bond network). This evidence pushed us to preliminarily classify glycerol/KBr 6:1 and glycerol/KCl 6:1 as “simple” salts in solvent mixtures. Similar findings were evidenced when the cation was tetrabutylammonium (TBA), characterized by a slight decrease in the conductivity of the system ascribable to the increase in the viscosity due to higher steric hindrance of TBA+ with respect to K+. Indeed, in the case of TBABr-Glycerol systems, Andruch et al. [42] reported on the formulation of three mixtures in which the molar ratio of TBABr decreased from 0.5 to 0.20. The latter, having a TBABr:Glycerol ratio of 1:4, presented a DES-like behaviour with a homogeneous aspect and a relatively low melting point (233 K). However, our attempt in the formulation of the same mixture led to unstable solutions (some salt is still present as suspension), proving the needs of a higher amount of HBD (i.e., glycerol).
In this research, we propose a more detailed analysis, also taking into account the thermal behaviour of the proposed mixtures. Conventionally, Differential Scan Calorimetry (DSC) is the technique of election to monitor the freezing/melting process, which is clearly evidenced by a positive/negative peak due to the exothermic/endothermic nature of the transition. Unfortunately, in the case of glycerol, these peaks are not detectable due to the almost heat-neutrality of the freezing process [43], and the same applies to its mixture with the investigated salts (see Supporting Information). These findings prevented us from reliably employing DSC to determine the freezing point of our mixtures. Indeed, the glycerol freezing point is tabulated, but, on the other hand, no values are available for its mixture with unconventional salts. As a matter of fact, the freezing temperature of a (glycerol-based) mixture can be theoretically calculated by means of the freezing point depletion rule (ΔT = Kcr × i × m, where Kcr is the cryoscopic constant, 3.5 K Kg mol−1 for glycerol [44], i is maximum number of ions in which the solute could be divided, and m is the molality of the solution). Having this in mind, an ideal mixture should present a ΔT of 13 K for all systems being independent on the nature of the solute. This should give a freezing point of 278 K (Tf = 291 K for pure glycerol) for the mixture that is investigated here. Once ruling out the possibility of effectively employed DSC to detect the freezing point of the mixtures, we resolved to a different approach (see Experimental part for further details).
The results point out that all investigated mixtures present a freezing point below 260 K (see Table 1), proving an unconventional behaviour. This allows us to unambiguously classify the analysed solvent as a low-melting system. However, a more detailed study is required to clarify if the 6:1 ratio effectively corresponds to the exact eutectic mixture or if a lower freezing point can be obtained by varying the hydrogen bond donor (HBD): hydrogen bond acceptor (HBA) ratio. Therefore, hereafter we will refer to them as DES-like systems, also according to what was reported by Abbott and co-workers for similar mixtures [45]. To shed more light on this aspect but limiting the analyses to the case of Gly/KBr systems, we prepared two other mixtures having a lower (Gly/KBr 4:1) or higher (Gly/KBr 10:1) amount of HBD, leading to a variation of the magnitude of HBD-HBA interaction. In both the cases, compared to Gly/KBr 6:1 (Tm = 225 K), higher melting temperature values (i.e., 238 K and 247 K, respectively) were measured. Therefore, in the following, we focused our analyses on systems having an HBD/HBA ratio equal to 6.
Comparing mixtures in which the halogen atom of the HBD is changed, the mixture containing the Br demonstrated the lowest melting temperature, whereas Cl and I-based systems melt at higher temperatures (i.e., 239 K and 251 K, respectively). This evidence proves that the melting temperature of the mixtures cannot be directly correlated with the electronegativity of the halogen (Cl > Br > I), proving the significance of the interplay between the different interactions and thus allowing the formation of a stable DES (-like) system.
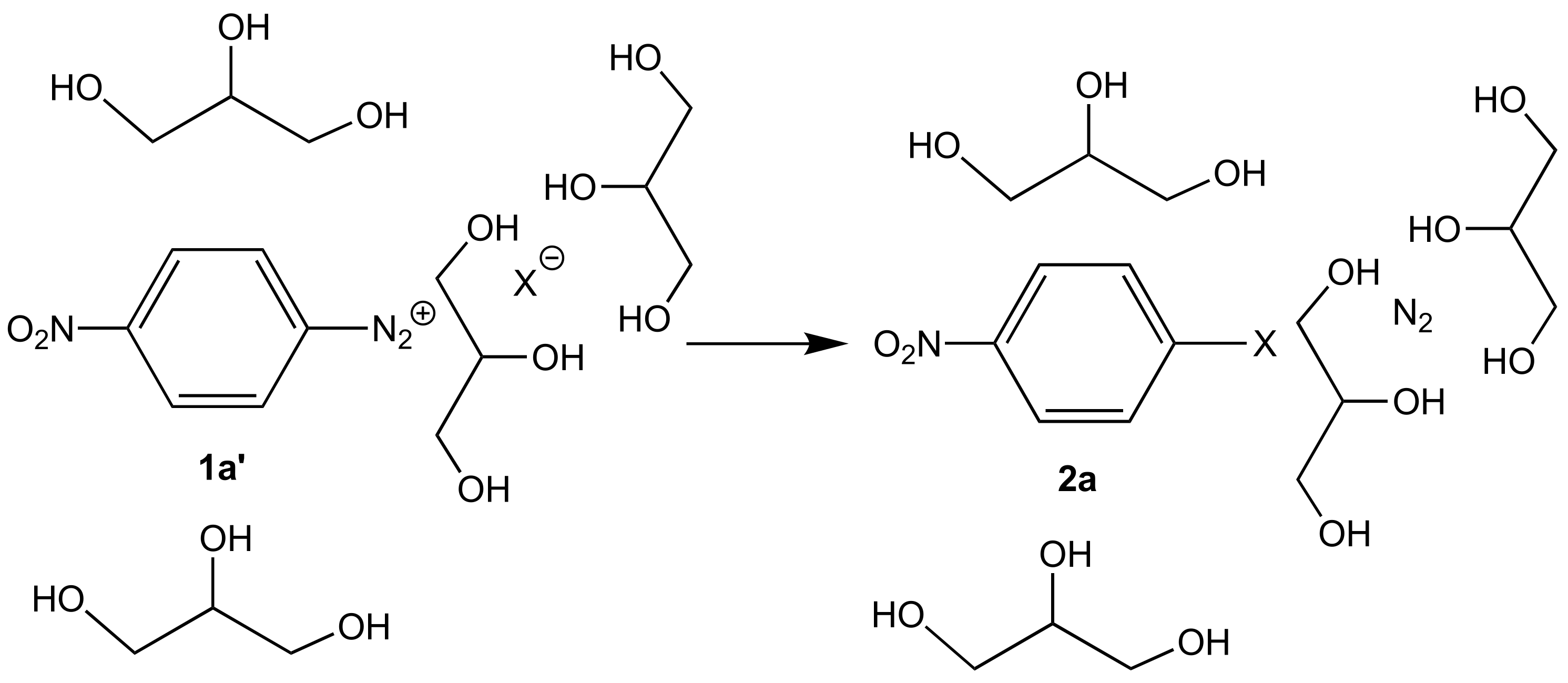
Once the nature of the proposed solvent had been elucidated, a model reaction was preliminarily studied (Table 2), consisting in the reaction, at room temperature, of 4-nitrobenzenediazonium tetrafluoroborate (1a) in both mixtures of glycerol/KBr and conventional organic solvents. The choice of privileging the bromination reactions arises from the reason that, from the synthetic point of view, bromides, compared to chlorides, can be more useful. For example, in the cross-coupling reactions, C–Cl bonds are often too inert, and bromides (or iodides) leaving groups are required for acceptable yields [46].
Firstly, it must be stressed that, at room temperature, when adding salt 1a (2 mmol) to a suspension of KBr in glycerol, target 1-bromo-4-nitrobenzene (2a) was not formed (Table 2; entry 1), not even in strong excess of KBr (Table 2; entry 2). Furthermore, the same negative result was obtained with a KBr suspension in common organic solvents (Table 2; entries 3–5). This evidence shows that a close interplay between glycerol and salt is required to activate the target reaction. Thus, homogeneous mixtures of glycerol and KBr (in various ratios, 10:1; 6:1 and 4:1) were tested. When dissolving 1a (2 mmol) in 2.5 mL of this solution (Table 1; entries 6–8), only traces of 2a were detected. We obtained the target 2a (Table 1; entries 9–11), albeit still in unsatisfactory yields, using 3.5 mL of solvent systems. Consequently, we decided to double their amount (5 mL). The reaction time was 4 h; in these conditions, to our delight, a dramatic increase in yield occurred (72%. Table 1; entries 12,13). The by-product nitrobenzene (3a) was easily removed under vacuum. Alternatively, it could be recovered (20% yield) by chromatographing the crude residue on a short column (see Experimental). It must be stressed that the increase in the amount of solvent or concentration of KBr (Table 2, entries 14,15) does not lead to higher yields, further confirming the likely necessity of the instauration of intermolecular interactions.
After this optimization and choosing glycerol/KBr 6:1 (method A) as privileged solvent systems, the scope of this reaction was extended to a wider library of arenediazonium salts 1 containing both electron-donating and electron-withdrawing groups. The results are summarized in Figure 1.
Good yields of target aryl bromides 2 were achieved in the presence of electron-withdrawing groups. On the other hand, a decreasing of the yields was observed in the presence of electron-donating groups. In any case, longer reaction times or a greater amount of Glycerol/KBr 6:1 did not lead to sizeable improvements. It must be stressed that all aryl bromides 2 were obtained in adequate purity, making further chromatographic purification usually unnecessary since the by-products arenes 3 were usually removed under vacuum. However, from a GC-MS analysis of the crude residues, it is possible, albeit in a completely qualitative way, to have indications on the amount of 3 that were formed. The data are shown in Table 3.
In light of the data described above, a second DES-like mixture formed by glycerol and tetrabutylammonium bromide (TBAB) in ratio 6:1 was used as an alternative solvent to glycerol/KBr (method B). As can be seen from Figure 1, the results achieved with method A or, alternatively, with method B, are almost identical. At the end of the reactions, the solvent system glycerol/KBr was easily recovered (for details see Experimental) and was used in four consecutive runs (Table 4), without observing a decrease in the yield of 2a. In fact, potassium tetrafluoroborate, formed in the reaction as a by- product, remained trapped in the solvent system upon evaporation of the aqueous layer of the extraction, without interfering in the following runs.
In order to further expand the scope of the reaction, chloro and iododediazotation reactions were also studied. Regarding chlorodediazotation, in order to find optimal reaction conditions, a model reaction was preliminarily studied with 2,4-nitrobenzenediazonium tetrafluoroborate (2i) reacting at room temperature in various solvents (Table 5).
The optimal reaction conditions (Table 5; entry 10) were found by reacting salt 1i (2 mmol) with 10 mL of solvent system Glycerol/KCl 6:1 for 4 h. In fact, target 1-chloro-2,4-dinitrobenzene (4i) was obtained in a quantitative yield. After this optimization, the scope was extended to arenediazonium salts 1, containing both electron-donating and electron-withdrawing groups. The results are reported in Figure 2. In the best conditions, salt 1j furnished 2j in excellent yield. It is necessary to point out that, for the success of chlorodediazotation, it is essential to have strong electron-withdrawing groups linked to the aromatic ring. In the case of the salt 1a with a single electron-withdrawing group, a low amount of 4a was obtained and only with an excess of Gly/KCl 6:1 (20 mL) and heating to 35 °C for 4 h. In the presence of electron-donating groups (salts 1e and 1f), the reaction did not occur. Similar results were obtained using a solvent system formed by glycerol and tetrabutylammonium chloride (6:1 ratio).
Finally, although the iododediazotization reaction is normally carried out in the absence of Cu,11,12, Figure 3 reports the preparation of some iododerivatives 5 reacting some arenediazonium salts 1 in Gly/KI solvent system. The yields are always virtually quantitative, independently on the nature of the substituent.
As mentioned above, the Sandmeyer reaction has been rediscovered and “modernized” in recent years. In particular, new methodologies that allow the target products to be obtained in the absence of copper catalysts have been proposed [37,38,39,40,41]. As a result, in the light of the above experiments, we have proposed here a sustainable version of the Sandmeyer halodediazotation reaction. In fact, in our conditions, we were able to achieve important benefits, including the reaction’s use at room temperature in mild conditions and without any metal catalyst and a recoverable and reusable sustainable reaction medium, which plays the role not only of solvent but also of reagent. Moreover, the target halides are usually obtained in adequate purity, making further chromatographic purification unnecessary, and the only solid waste product is potassium tetrafluoroborate, which is soluble in water.
Beside these aspects, we found it interesting to study this reaction from a mechanistic point of view. The mechanisms for the reactions in glycerol with fluoride [10], chloride, bromide, iodide, and pure glycerol were calculated for the electron-poor 1a and for the electron-rich 1f para-substituted benzenediazonium tetrafluoroborates. The preliminary calculations indicated that the dissociations of 1a and 1f to BF4 and to 4-nitrobenzenediazonium (1a’) and 4-methoxybenzenediazonium (1f’), respectively, are thermodynamically favoured by 0.5 and 2.2 kcal mol−1 in terms of free energies, as expected by the ion solvation properties of glycerol. The tests for the reaction of 1a’ with fluoride suggested that the appropriate model for the computational study requires the presence of some explicit glycerol molecules.
In the textbooks [47,48,49], the nucleophilic substitution in arenediazonium compounds is supposed to take place by the SN1 mechanism where the key intermediate is the phenyl cation (i.e., phenylium). However, this cation is so reactive that it can recapture the nitrogen generated in the decomposition (N2-scrambling) [50].
Additionally, attempts to observe the formation of phenyl cations by ionization of aryl triflates have only succeeded when especially stabilizing groups, such as trimethylsilyl groups, are present at the 2- and 6-positions of the aromatic ring [51]. Moreover, the experiments that prove the existence of the phenylium have all been performed in an ionizing but almost non-nucleophilic solvent such as 2,2,2-trifluoroethanol. The transition structure (TS) that we optimized for the N2-scrabling in 4-nitrobenzenediazonium in glycerol is located 30.6 kcal mol−1 above 1a’. However, in all the attempts made to optimize this TS in the presence of explicit glycerol molecules, we found that the C-N bond breaking was immediately followed by the solvent capture (solvolysis). Therefore, the free 4-phenylium is not generated, but, after a proton transfer, the final products are the mixed ether 6a and the protonated glycerol (Scheme 2).
Thus, the solvolysis takes place through a concerted TS corresponding to a front-SN2 as illustrated in Figure 4 (up). Indeed, such a mechanism was already proposed in the literature [52,53], and it is operative also for the halogenations (Scheme 3; an example of the TS is shown in Figure 4 (down), and the pictures of all structures are reported in the Supporting Information). All halogenations as well as the solvolysis are irreversible, being strongly exoergic by 55–60 kcal mol−1 for 1a’ and by 40–56 kcal mol−1 for 1f’ in terms of free energies. From the activation free energies, we calculated the reaction rate constants k (Table 6) by means of the Eyring equation [54]. For the halogenations in Gly/potassium halide 6:1 DES-like systems, we calculated a concentration for the halogenides of 22.8 M, and from this value as well as from k we estimated the lifetimes k, which are reported in Table 5. Although underestimated because of the difficulty in modelling the solvent effects, we observed that the values of τ for the halogenations were in qualitative agreement with the experimental findings; the reactions of 1a’ are sensibly faster than those of 1f’. However, in the case of fluorination, we should remember that in the Gly/KF DES (6:1 ratio) the reductions are the fastest processes [10]. For the other halogenations, because of the limitation in the calculation accuracy, the lifetimes are too close to perform any reliable comparison among the halogens. For iodination we could not exclude radical mechanism that we did not analyse, being out of the scope of the present paper. The solvolyses, which are treated as monomolecular processes as a result of the nucleophile being the solvent, show low k and long lifetimes, in agreement with the fact that mixed ethers 6a and 6f are never found in the experiments because the other reactions always prevail.
We also stress that the observation of a secondary deuterium kinetic isotope effect (KIE) of 1.49 in the dediazotation of benzenediazonium [55], interpreted as evidence of the formation of the phenylium, is also compatible with the present front-SN2 mechanism. In fact, the calculated KIE values for the solvolysis of the 2,6-dideuterated 1a’ and 1f’ are, respectively, 1.40 and 1.43. This is because the electronic and molecular structures of the aryl moieties in the transition structures are similar to that of the arylium. For the solvolysis of 1a’, for example, the natural charges on C1 (0.034 in the 4-nitrobenzenediazonium) are 0.551 in the TS and 0.649 in the 4-nitrophenilium. The C2C1C6 angles (which is 125.4 degree in the 4-nitrobenzenediazonium) are 140.0 degrees in the transition structure and 149.3 in the 4-nitrophenilium.
The reduction of the arenediazonium in DES (see [10]) involves the generation of a phenyl radical Ar• that abstracts a hydrogen from the solvent by a Hydrogen Atom Transfer (HAT). As an alternative, the radical can bind a halide ion X, starting a radical chain that yields to the aryl halide Ar-X (Scheme 4):
The first step of the radical halogenation is in competition with the HAT that yields to the reduction products. The calculated pseudo-first order rate constants for the binding of the 4-nitrophenyl radical with fluoride, chloride, bromide, and iodide are, respectively, 102, 105, 106, and 108 s−1, to be compared with 109 s−1 for the HAT [10]. Clearly, the halogenation by a radical mechanism is not feasible for the three lighter halogens, but it is a possible alternative for the iodination where the radical chain can be initiated by the reduction of the arenediazonium by iodide, as proposed in the literature [11,12]. For the electron-rich 4-methoxybenzenediazonium, the chlorination and the bromination (which are the main interest of this work) by the radical-chain pathway appears to be even less feasible. The reaction of the 4-methoxyphenyl radical with chloride and bromide are strongly endoergic (in term of free energies, respectively 30.3 and 29.5 kcal mol−1 compared to −11.9 and −10.4 kcal mol−1 for the reaction with the 4-nitrophenyl radical). Therefore, the radical chain for these halogenations cannot proceed.
Finally, we studied the mechanism for the direct reaction of 1a’ with BF4 (an intramolecular reaction from the point of view of 1a). The rate constant for this exoergic reaction (ΔG = −34.4 kcal mol−1) is 2.0 × 10−7 s−1, which corresponds to a lifetime of 57 days. This value is in agreement with the experiments where this reaction was performed for 4-tbutybenzenediazonium tetrafluoroborate in CH2Cl2, yielding the corresponding fluoride with a yield of 50% ca. after 10 days at room temperature [56].

3. Materials and Methods

General. All the reactions were carried out in open air glassware. Analytical-grade reagents and solvents (purchased from Merck or Alfa Aesar) were used, and reactions were monitored by GC, GC-MS, and TLC. Column chromatography and TLC were performed on Merck silica gel 60 (70–230 mesh ASTM) and GF 254, respectively. Petroleum ether refers to the fraction boiling in the range 40–70 °C. Room temperature is 22 °C. Mass spectra were recorded on an HP 5989B mass selective detector connected to an HP 5890 GC with a methyl silicone capillary column. GC analyses were performed on a Perkin Elmer AutoSystem XL GC with a methyl silicone capillary column. 1H NMR and 13C NMR spectra were recorded on a Jeol ECZR spectrometer at 600 and 150 MHz, respectively. Arenediazonium tetrafluoroborates were prepared as reported in the literature [57]. Structures and purity of bromoarenes 2, chloroarenes 4, and iodoarenes 5 were confirmed by their spectral (NMR, MS) and physical data, substantially identical to those reported in the literature. Their NMR spectra are reported in the Supporting Information. Differential Scanning Calorimetry (DSC) experiments were performed on Q200 DSC TA instruments with a ramp of 5 or 20 °C/min under N2 atmosphere. After a stabilization at −85 °C, the sample was heated up to 80 °C and then cooled down to -80 °C, and the cycle was repeated two times. As a result of the DSC being unsuitable for the determination of its melting point in glycerol-based mixtures, we resolved to an unconventional approach: we inserted a thermometer into a vial containing the mixture, and then the vial was moved to a freezer (at −79 °C) for 15 min. After this time, the vial was removed from the fridge and was allowed to warm up to room temperature. The Tm value was selected as the temperature signed by thermometer when the latter was extracted (with no solid residues on it) from the vial.
Preparation of solvent systems: typical procedure for glycerol/KBr 6:1. KBr (11.9 g, 0.1 mol) was added at room temperature to glycerol (55.2 g, 0.6 mol). The suspension was stirred at 80 °C for about 2 h. It was cooled to room temperature, and a clear solution was obtained, which was used without any further purification.
Bromodediazotation of 4-nitrobenzenediazonium tetrafluoroborate (1a): typical procedure. Preparation of 1-bromo-4-nitrobenzene (2a). 4-Nitrobenzenediazonium tetrafluoroborate (1a, 0.44 g, 2 mmol) was added at room temperature to glycerol/KBr 6:1 (5 mL). The mixture was stirred at room temperature for 4 h, and the completion of the reaction was confirmed by the absence of azo coupling with 2-naphthol. Then, the reaction mixture was poured into Et2O/H2O (10 mL, 1:1). The aqueous layer was separated and extracted with Et2O (5 mL). The combined organic extracts were washed with H2O (5 mL), dried with Na2SO4, and evaporated under reduced pressure. GC-MS analyses of the crude residue showed a mixture of 2a, as the major product, MS (EI, 70 eV): m/z (%) = 201 (100) [M]+, 203 (100) [M +2]+ and nitrobenzene 3a MS (EI, 70 eV): m/z (%) = 123 (100) [M]+. Further evaporation at reduced pressure allowed 3a to be completely removed and pure 2a to be obtained (GC, GC-MS, TLC and NMR; 290 mg, 72%). Alternatively, in order to quantify 3a, the crude residue was chromatographed on a short column (silica gel; eluent: PE). The first eluted product was 3a (50 mg, 20%). The second one was 2a (284 mg, 70%).
Recovery and reuse of solvent system glycerol/KBr 6:1 The aqueous layers (about 15 mL) were collected and gathered. In order to remove solid residues, they were filtered on a funnel. H2O was evaporated under reduced pressure. The recovered glycerol/KBr (4.9 mL), which showed NMR and IR spectra virtually identical to the initial one, was reused in four consecutive reactions. The average yield of 2a was 69%, and the recovered solvent system (at the end of fifth run) continued to show NMR and IR spectra almost identical to the initial one.
Computational method.
The details and the references related to the computational method are all reported in the Supplementary Materials.

4. Conclusions

We have proposed here a synthetic and computational study of halodediazotation reactions (a Sandmeyer’s class of reactions) carried out in deep eutectic solvent-like mixtures. The computational results are coherent with the experimental findings; the reactions of the control electron-poor 1a are faster than that of the control electron-rich 1f, and the halogenations are always much faster than the solvolysis that would yield the mixed ethers 6a and 6f. Both halogenations and the solvolysis take place through a mechanism similar to that of front-SN2. Diazonium salts are resourceful building blocks in organic synthesis, and the last few years have seen a dramatic resurgence of their chemistry, as new functionalities have been introduced on their aromatic ring. The marriage between diazonium salts and deep eutectic solvents, which have also been defined as “the solvents of the century” [5], can become not only a valid tool to make their chemistry more sustainable but can also allow the exploration of new types of hitherto unknown reactivity.

Supplementary Materials

The following supporting information can be downloaded at: https://www.mdpi.com/article/10.3390/molecules27061909/s1, Computational method, Tables of calculated absolute and relative energies, Pictures and Cartesian Coordinates of all optimized structures, IRCs from the TSs for the chlorination and solvolysis of 1a’, physical and NMR data of aryl halides 2, 4, 5 and NMR of glycerol/KBr solvent system can be downloaded at: https://www.mdpi.com/article/10.3390/molecules27061909/s1. References [58,59,60,61,62,63,64,65,66,67,68,69,70,71,72,73,74,75,76,77,78,79,80,81,82] are cited in the supplementary materials.

Author Contributions

G.G.: general organization, DFT calculations; M.B.: general organization, analysis of solvent systems; A.A.: halodediazotation reactions; C.R.: halodediazotation reactions; S.D.: general organization, halodediazotation reactions. All authors have read and agreed to the published version of the manuscript.

Funding

This research received no external funding.

Data Availability Statement

The data reported in this article can be obtained from the authors upon reasonable request.

Acknowledgments

This work was Presented at VI International Symposium «The Chemistry of Diazo Compounds and Related Systems» Saint Petersburg, Russia, 6-10/9/2021. Dughera, S.; Ghigo, G.; Bonomo, M.; Antenucci, A.; Barolo, C.; Gontrani, L.; Reviglio, C. How do diazonium salts behave in Deep Eutectic solvents? VI International Symposium “The Chemistry of Diazo Compounds and Related Systems”-Book of Abstracts. P. 41 (ISBN 978-5-9651-1365-1).

Conflicts of Interest

The authors declare no conflict of interest.

Sample Availability

Samples of the compounds 2, 4, 5 are available from the authors.

References

  1. Abbott, A.P.; Boothby, D.; Capper, G.; Davies, D.L.; Rasheed, R.K. Deep Eutectic Solvents formed between choline chloride and carboxylic acids: Versatile alternatives to ionic liquids. J. Am. Chem. Soc. 2004, 126, 9142–9147. [Google Scholar] [CrossRef] [PubMed]
  2. Marcus, Y. Deep Eutectic Solvents; Springer International Publishing: Berlin/Heidelberg, Germany, 2019. [Google Scholar]
  3. Hansen, B.B.; Spittle, S.; Chen, B.; Poe, D.; Zhang, Y.; Klein, J.M.; Horton, A.; Adhikari, L.; Zelovich, T.; Doherty, B.W.; et al. Deep Eutectic Solvents: A Review of Fundamentals and Applications. Chem. Rev. 2020, 121, 1232–1285. [Google Scholar] [CrossRef] [PubMed]
  4. Khandelwal, S.; Tailor, Y.K.; Kumar, M. Deep eutectic solvents (DESs) as eco-friendly and sustainable solvent/catalyst systems in organic transformations. J. Mol. Liq. 2016, 215, 345–386. [Google Scholar] [CrossRef]
  5. Alonso, D.A.; Baeza, A.; Chinchilla, R.; Guillena, G.; Pastor, I.M.; Ramón, D.J. Deep Eutectic Solvents: The Organic Reaction Medium of the Century. Eur. J. Org. Chem. 2016, 2016, 612–632. [Google Scholar] [CrossRef] [Green Version]
  6. Hooshmand, S.E.; Afshari, R.; Ramón, D.J.; Varma, R.S. Deep eutectic solvents: Cutting-edge applications in cross-coupling reactions. Green Chem. 2020, 22, 3668–3692. [Google Scholar] [CrossRef]
  7. Kamble, S.S.; Shankarling, G.S. Room temperature diazotization and coupling reaction using a DES-ethanol system: A green approach towards the synthesis of monoazo pigments. Chem. Commun. 2019, 55, 5970–5973. [Google Scholar] [CrossRef]
  8. Lenne, Q.; Andrieux, V.; Levanen, G.; Bergamini, J.F.; Nicolas, P.; Paquin, L.; Lagrost, C.; Leroux, Y.R. Electrochemical grafting of aryl diazonium salts in deep eutectic solvents. Electrochim. Acta 2021, 369, 137672. [Google Scholar] [CrossRef]
  9. Ma, X.; Li, Z. Synthesis of Diarylethynes from Aryldiazonium Salts by Using Calcium Carbide as an Alkyne Source in a Deep Eutectic Solvent. Synlett 2021, 32, 631–635. [Google Scholar] [CrossRef]
  10. Antenucci, A.; Bonomo, M.; Ghigo, G.; Gontrani, L.; Barolo, C.; Dughera, S. How do arenediazonium salts behave in deep eutectic solvents? A combined experimental and computational approach. J. Mol. Liq. 2021, 339, 116743. [Google Scholar] [CrossRef]
  11. Saunders, K.H.; Allen, R.L.M. Aromatic Diazo Compounds; Edward Arnold: London, UK, 1985. [Google Scholar]
  12. Zollinger, H. Diazochemistry: Aromatic and Heteroaromatic Compounds; Wiley-VCH: Weinheim, Germany, 1994. [Google Scholar]
  13. Schareina, T.; Bellen, M. Copper-Catalyzed Cyanations of Aryl Halides and Related Compounds. In Copper-Mediated Cross-Coupling Reactions; Evano, G., Blanchard, N., Eds.; Wiley-VCH: Weinheim, Germany, 2013; pp. 313–334. [Google Scholar]
  14. Sandmeyer, T. Ueber die Ersetzung der Amid-gruppe durch Chlor, Brom und Cyan in den aromatischen Substanzen. Ber. Dtsch. Chem. Ges. 1884, 17, 2650–2653. [Google Scholar] [CrossRef] [Green Version]
  15. Krasnokutskaya, E.A.; Semenischeva, N.I.; Filimonov, V.D.; Knochel, P. A new, one-step, effective protocol for the iodination of aromatic and heterocyclic compounds via aprotic diazotization of amines. Synthesis 2007, 2007, 81–84. [Google Scholar] [CrossRef]
  16. Beletskaya, I.P.; Sigeev, A.S.; Peregudov, A.S.; Petrovskii, P.V. Catalytic Sandmeyer bromination. Synthesis 2007, 2007, 2534–2538. [Google Scholar] [CrossRef]
  17. Hubbard, A.; Okazaki, T.; Laali, K.K. Halo- and azidodediazoniation of arenediazonium tetrafluoroborates with trimethylsilyl halides and trimethylsilyl azide and Sandmeyer-type bromodediazoniation with Cu(I)Br in [BMIM][PF6] ionic liquid. J. Org. Chem. 2008, 73, 316–319. [Google Scholar] [CrossRef] [PubMed]
  18. Filimonov, V.D.; Semenischeva, N.I.; Krasnokutskaya, E.A.; Tretyakov, A.N.; Ho, Y.H.; Chi, K.W. Sulfonic acid based cation-exchange resin: A novel proton source for one-pot diazotization-iodination of aromatic amines in water. Synthesis 2008, 2008, 185–187. [Google Scholar] [CrossRef]
  19. Biffis, A.; Centomo, P.; Del Zotto, A.; Zecca, M. Pd Metal Catalysts for Cross-Couplings and Related Reactions in the 21st Century: A Critical Review. Chem. Rev. 2018, 118, 2249–2295. [Google Scholar] [CrossRef]
  20. Ayogu, J.I.; Onoabedje, E.A. Recent advances in transition metal-catalysed cross-coupling of (hetero)aryl halides and analogues under ligand-free conditions. Catal. Sci. Technol. 2019, 9, 5233–5255. [Google Scholar] [CrossRef]
  21. Nicolaou, K.C.; Bulger, P.G.; Sarlah, D. Palladium-catalyzed cross-coupling reactions in total synthesis. Angew. Chem. Int. Ed. 2005, 44, 4442–4489. [Google Scholar] [CrossRef]
  22. Cabrita, M.T.; Vale, C.; Rauter, A.P. Halogenated compounds from marine algae. Mar. Drugs 2010, 8, 2301–2317. [Google Scholar] [CrossRef] [Green Version]
  23. Wilcken, R.; Zimmermann, M.O.; Lange, A.; Joerger, A.C.; Boeckler, F.M. Principles and applications of halogen bonding in medicinal chemistry and chemical biology. J. Med. Chem. 2013, 56, 1363–1388. [Google Scholar] [CrossRef]
  24. Mo, F.; Qiu, D.; Zhang, Y.; Wang, J. Renaissance of Sandmeyer-Type Reactions: Conversion of Aromatic C-N Bonds into C-X Bonds (X = B, Sn, P, or CF3). Acc. Chem. Res. 2018, 51, 496–506. [Google Scholar] [CrossRef]
  25. Mo, F.; Qiu, D.; Zhang, L.; Wang, J. Recent Development of Aryl Diazonium Chemistry for the Derivatization of Aromatic Compounds. Chem. Rev. 2021, 121, 5741–5829. [Google Scholar] [CrossRef] [PubMed]
  26. Dai, J.J.; Fang, C.; Xiao, B.; Yi, J.; Xu, J.; Liu, Z.J.; Lu, X.; Liu, L.; Fu, Y. Copper-promoted sandmeyer trifluoromethylation reaction. J. Am. Chem. Soc. 2013, 135, 8436–8439. [Google Scholar] [CrossRef] [PubMed]
  27. Danoun, G.; Bayarmagnai, B.; Grünberg, M.F.; Matheis, C.; Risto, E.; Gooßen, L.J. Sandmeyer trifluoromethylation. Synthesis 2014, 46, 2283–2286. [Google Scholar] [CrossRef]
  28. Zhao, C.J.; Xue, D.; Jia, Z.H.; Wang, C.; Xiao, J. Methanol-promoted borylation of arylamines: A simple and green synthetic method to arylboronic acids and arylboronates. Synlett 2014, 25, 1577–1584. [Google Scholar] [CrossRef]
  29. Qi, X.; Li, H.P.; Peng, J.B.; Wu, X.F. Borylation of aryldiazonium salts at room temperature in an aqueous solution under catalyst-free conditions. Tetrahedron Lett. 2017, 58, 3851–3853. [Google Scholar] [CrossRef]
  30. Qiu, D.; Wang, S.; Tang, S.; Meng, H.; Jin, L.; Mo, F.; Zhang, Y.; Wang, J. Synthesis of trimethylstannyl arylboronate compounds by sandmeyer-type transformations and their applications in chemoselective cross-coupling reactions. J. Org. Chem. 2014, 79, 1979–1988. [Google Scholar] [CrossRef]
  31. Zhong, T.; Pang, M.K.; Chen, Z.D.; Zhang, B.; Weng, J.; Lu, G. Copper-free Sandmeyer-type Reaction for the Synthesis of Sulfonyl Fluorides. Org. Lett. 2020, 22, 3072–3078. [Google Scholar] [CrossRef]
  32. Li, Y.; Pu, J.; Jiang, X. A highly efficient Cu-catalyzed S-transfer reaction: From amine to sulfide. Org. Lett. 2014, 16, 2692–2695. [Google Scholar] [CrossRef]
  33. Matheis, C.; Bayarmagnai, B.; Jouvin, K.; Goossen, L.J. Convenient synthesis of pentafluoroethyl thioethers: Via catalytic Sandmeyer reaction with a stable fluoroalkylthiolation reagent. Org. Chem. Front. 2016, 3, 949–952. [Google Scholar] [CrossRef] [Green Version]
  34. Koziakov, D.; Majek, M.; Jacobi Von Wangelin, A. Metal-free radical thiolations mediated by very weak bases. Org. Biomol. Chem. 2016, 14, 11347–11352. [Google Scholar] [CrossRef] [Green Version]
  35. Wang, S.; Qiu, D.; Mo, F.; Zhang, Y.; Wang, J. Metal-Free Aromatic Carbon-Phosphorus Bond Formation via a Sandmeyer-Type Reaction. J. Org. Chem. 2016, 81, 11603–11611. [Google Scholar] [CrossRef] [PubMed]
  36. Estruch-Blasco, M.; Felipe-Blanco, D.; Bosque, I.; Gonzalez-Gomez, J.C. Radical arylation of triphenyl phosphite catalyzed by salicylic acid: Mechanistic investigations and synthetic applications. J. Org. Chem. 2020, 85, 14473–14485. [Google Scholar] [CrossRef] [PubMed]
  37. Kutonova, K.V.; Trusova, M.E.; Postnikov, P.S.; Filimonov, V.D. The first example of the copper-free chloro- and hydrodediazoniation of aromatic amines using sodium nitrite, CCl4, and CHCl3. Russ. Chem. Bull. 2012, 61, 206–208. [Google Scholar] [CrossRef]
  38. Leas, D.A.; Dong, Y.; Vennerstrom, J.L.; Stack, D.E. One-Pot, Metal-Free Conversion of Anilines to Aryl Bromides and Iodides. Org. Lett. 2017, 19, 2518–2521. [Google Scholar] [CrossRef] [PubMed] [Green Version]
  39. Mukhopadhyay, S.; Batra, S. Direct Transformation of Arylamines to Aryl Halides via Sodium Nitrite and N-Halosuccinimide. Chem. Eur. J. 2018, 24, 14622–14626. [Google Scholar] [CrossRef]
  40. Liu, Q.; Sun, B.; Liu, Z.; Kao, Y.; Dong, B.W.; Jiang, S.D.; Li, F.; Liu, G.; Yang, Y.; Mo, F. A general electrochemical strategy for the Sandmeyer reaction. Chem. Sci. 2018, 9, 8731–8737. [Google Scholar] [CrossRef] [Green Version]
  41. Filimonov, V.D.; Trusova, M.; Postnikov, P.; Krasnokutskaya, E.A.; Lee, Y.M.; Hwang, H.Y.; Kim, H.; Chi, K.W. Unusually stable, versatile, and pure arenediazonium tosylates: Their preparation, structures, and synthetic applicability. Org. Lett. 2008, 10, 3961–3964. [Google Scholar] [CrossRef]
  42. Chromá, R.; Vilková, M.; Shepa, I.; Makoś-Chełstowska, P.; Andruch, V. Investigation of tetrabutylammonium bromide-glycerol-based deep eutectic solvents and their mixtures with water by spectroscopic techniques. J. Mol. Liq. 2021, 330, 115617. [Google Scholar] [CrossRef]
  43. Claudy, P.; Commerçon, J.C.; Lètoffé, J.M. Quasi-static study of the glass transition of glycerol by DSC. Thermochim. Acta 1988, 128, 251–260. [Google Scholar] [CrossRef]
  44. Lane, L.B. Freezing Points of Glycerol and Its Aqueous Solutions. Ind. Eng. Chem. 1925, 17, 924. [Google Scholar] [CrossRef]
  45. Abbott, A.P.; D’Agostino, C.; Davis, S.J.; Gladden, L.F.; Mantle, M.D. Do group 1 metal salts form deep eutectic solvents? Phys. Chem. Chem. Phys. 2016, 18, 25528–25537. [Google Scholar] [CrossRef] [PubMed]
  46. Littke, A.F.; Fu, G.C. Palladium-Catalyzed Coupling Reactions of Aryl Chlorides. Angew. Chem. Int. Ed. 2002, 41, 4176–4211. [Google Scholar] [CrossRef]
  47. Clayden, J.; Greeves, N.; Warren, S. Organic Chemistry and Solution Manual, 2nd ed.; Oxford University Press: Oxford, UK, 2013. [Google Scholar]
  48. Smith, M.B.; March, J. March’s Advanced Organic Chemistry, 6th ed.; Wiley: Hoboken, NJ, USA, 2007. [Google Scholar]
  49. Carey, F.A.; Sundberg, R.J. Advanced Organic Chemistry—Part A; Springer: Berlin/Heidelberg, Germany, 2007. [Google Scholar]
  50. Bergstrom, R.G.; Landells, R.G.M.; Wahl, G.H.; Zollinger, H. Dediazoniation of arenediazonium ions in homogeneous solution. 7. Intermediacy of the phenyl cation. J. Am. Chem. Soc. 1976, 98, 3301–3305. [Google Scholar] [CrossRef]
  51. Himeshima, Y.; Kobayashi, H.; Sonoda, T. A first example of generating aryl cations in the solvolysis of aryl triflates in trifluoroethanol. J. Am. Chem. Soc. 1985, 107, 5286–5288. [Google Scholar] [CrossRef]
  52. Martínez, A.G.; Cerero, S.d.; Barcina, J.O.; Jiménez, F.M.; Maroto, B.L. The mechanism of hydrolysis of aryldiazonium ions revisited: Marcus theory vs. canonical Variational transition state theory. Eur. J. Org. Chem. 2013, 2013, 6098–6107. [Google Scholar] [CrossRef]
  53. Wu, Z.; Glaser, R. Ab Initio Study of the SN1Ar and SN2Ar Reactions of Benzenediazonium Ion with Water. On the Conception of “Unimolecular Dediazoniation” in Solvolysis Reactions. J. Am. Chem. Soc. 2004, 126, 10632–10639. [Google Scholar] [CrossRef]
  54. Laidler, K.J.; King, M.C. The development of transition-state theory. J. Phys. Chem. 1983, 87, 2657–2664. [Google Scholar] [CrossRef]
  55. Swain, C.G.; Sheats, J.E.; Gorenstein, D.G.; Harbison, K.G. Aromatic hydrogen isotope effects in reactions of benzenediazonium salts. J. Am. Chem. Soc. 1975, 97, 791–795. [Google Scholar] [CrossRef]
  56. Swain, C.G.; Rogers, R.J. Mechanism of formation of aryl fluorides from arenediazonium fluoborates. J. Am. Chem. Soc. 1975, 97, 799–800. [Google Scholar] [CrossRef]
  57. Roe, A. Preparation of Aromatic Fluorine Compounds from Diazonium Fluoborates. In Organic Reactions; John Wiley & Sons, Inc.: Hoboken, NJ, USA, 2011; pp. 193–228. [Google Scholar] [CrossRef]
  58. Parr, R.G. Density Functional Theory of Atoms and Molecules. In Horizons Quantum Chem; Springer: Berlin/Heidelberg, Germany, 1980; pp. 5–15. [Google Scholar] [CrossRef]
  59. Zhao, Y.; Truhlar, D.G. The M06 suite of density functionals for main group thermochemistry, thermochemical kinetics, noncovalent interactions, excited states, and transition elements: Two new functionals and systematic testing of four M06-class functionals and 12 other functionals. Theor. Chem. Acc. 2008, 120, 215–224. [Google Scholar]
  60. Zhao, Y.; Truhlar, D.G. Density Functionals with Broad Applicability in Chemistry. Acc. Chem. Res. 2008, 41, 157–167. [Google Scholar] [CrossRef] [PubMed]
  61. McLean, A.D.; Chandler, G.S. Contracted Gaussian basis sets for molecular calculations. I. Second row atoms, Z=11–18. J. Chem. Phys. 1980, 72, 5639–5648. [Google Scholar] [CrossRef]
  62. Clark, T.; Chandrasekhar, J.; Spitznagel, G.W.; Schleyer, P.V.R. Efficient diffuse function-augmented basis sets for anion calculations. III. The 3-21+G basis set for first-row elements, Li–F. J. Comput. Chem. 1983, 4, 294–301. [Google Scholar] [CrossRef]
  63. Frisch, M.J.; Pople, J.A.; Binkley, J.S. Self-consistent molecular orbital methods 25. Supplementary functions for Gaussian basis sets. J. Chem. Phys. 1984, 80, 3265–3269. [Google Scholar] [CrossRef]
  64. Foresman, J.; Frisch, A. Exploring Chemistry with Electronic Structure Methods; Gaussian Inc.: Pittsburgh, PA, USA, 1996; Available online: http://gaussian.com/expchem3/ (accessed on 4 June 2021).
  65. Ribeiro, R.F.; Marenich, A.V.; Cramer, C.J.; Truhlar, D.G. Use of Solution-Phase Vibrational Frequencies in Continuum Models for the Free Energy of Solvation. J. Phys. Chem. B. 2011, 115, 14556–14562. [Google Scholar] [CrossRef] [PubMed]
  66. Tomasi, J.; Mennucci, B.; Cammi, R. Quantum Mechanical Continuum Solvation Models. Chem. Rev. 2005, 105, 2999–3093. [Google Scholar] [CrossRef]
  67. Frisch, D.J.; Trucks, M.J.; Schlegel, G.W.; Scuseria, H.B.; Robb, G.E.; Cheeseman, M.A.; Scalmani, R.J.; Barone, V.G.; Petersson, G.A.; Nakatsuji, H.; et al. Gaussian 16, Revision A.03; Gaussian, Inc.: Wallingford, CT, USA, 2016. [Google Scholar]
  68. Schaftenaar, G.; Noordik, J.H. Molden: A pre-and post-processing program for molecular and electronic structures. J. Comput. Aided. Mol. Des. 2000, 14, 123–134. [Google Scholar] [CrossRef]
  69. Zarei, M.; Noroozizadeh, E.; Moosavi-Zare, A.R.; Zolfigol, M.A. Synthesis of Nitroolefins and Nitroarenes under Mild Conditions. J. Org. Chem. 2018, 83, 3645–3650. [Google Scholar] [CrossRef]
  70. Zhu, C.; Chen, F.; Liu, C.; Zeng, H.; Yang, Z.; Wu, W.; Jiang, H. Copper-Catalyzed Unstrained C–C Single Bond Cleavage of Acyclic Oxime Acetates Using Air: An Internal Oxidant-Triggered Strategy toward Nitriles and Ketones. J Org. Chem. 2018, 83, 14713–14722. [Google Scholar] [CrossRef]
  71. Xin, H.-L.; Pang, B.; Choi, J.; Akkad, W.; Morimoto, H.; Ohshima, T. C–C Bond Cleavage of Unactivated 2-Acylimidazoles. J. Org. Chem. 2020, 85, 11592–11606. [Google Scholar] [CrossRef]
  72. Li, T.; Cui, X.; Sun, L.; Li, C. Economical and efficient aqueous reductions of high melting-point imines and nitroarenes to amines: Promotion effects of granular PTFE. RSC Adv. 2014, 4, 33599–33606. [Google Scholar] [CrossRef]
  73. Shao, H.; Foley, D.W.; Huang, S.; Abbas, A.Y.; Lam, F.; Gershkovich, P.; Bradshaw, T.D.; Pepper, C.; Fischer, P.M.; Wang, S. Structure-based design of highly selective 2,4,5-trisubstituted pyrimidine CDK9 inhibitors as anti-cancer agents. Eur. J. Med. Chem. 2021, 214, 113244. [Google Scholar] [CrossRef] [PubMed]
  74. Lerch, U.; Moffatt, J.G. Carbodiimide-Sulfoxide Reactions. XIII. Reactions of Amines and Hydrazine Derivatives. J. Org. Chem. 1971, 36, 3861–3869. [Google Scholar]
  75. Baudet, H.P. The replaceability of the halogen atom in 1-chloro- and 1-bromo-2-cyano-4-nitrobenzene. Recl. Trav. Chim. Pays-Bas 1924, 43, 707–726. [Google Scholar] [CrossRef]
  76. Gianni, J.; Pirovano, V.; Abbiati, G. Silver triflate/p-TSA co-catalysed synthesis of 3-substituted isocoumarins from 2-alkynylbenzoates. Org. Biomol. Chem. 2018, 16, 3213–3219. [Google Scholar] [CrossRef] [PubMed] [Green Version]
  77. Liu, J.; Li, J.; Ren, J.; Zeng, B.-B. Oxidation of aromatic amines into nitroarenes with m-CPBA. Tetrahedron Lett. 2014, 55, 1581–1584. [Google Scholar] [CrossRef]
  78. Ramananda, D.; Uchil, J. 15Cl NQR study of charge-transfer complexes. J. Mol. Struct. 1994, 319, 193–196. [Google Scholar] [CrossRef]
  79. Wilshire, J.F.K. The preaparation of 2-Fluoro-5-nitrobenzonitrile and the proton magnetic resonance spectra of some compounds containing the N-(2-Cyano-4-nitrophenyl)group. Aust. J. Chem. 1967, 20, 1663–1670. [Google Scholar] [CrossRef]
  80. Sloan, N.; Luthra, S.K.; McRobbie, G.; Pimlott, S.L.; Sutherland, A. A one-pot radioiodination of aryl amines via stable diazonium salts: Preparation of 125I-imaging agents. Chem. Commun. 2017, 53, 11008–11011. [Google Scholar] [CrossRef] [Green Version]
  81. Gupta, S.; Ansari, A.; Sashidhara, K.V. Base promoted peroxide systems for the efficient synthesis of nitroarenes and benzamides. Tetrahedron Lett. 2019, 60, 151076. [Google Scholar] [CrossRef]
  82. Fu, Z.; Li, Z.; Song, Y.; Yang, R.; Liu, Y.; Cai, H. Decarboxylative Halogenation and Cyanation of Electron-Deficient Aryl Carboxylic Acids via Cu Mediator as Well as Electron-Rich Ones through Pd Catalyst under Aerobic Conditions. J. Org. Chem. 2016, 81, 2794–2803. [Google Scholar] [CrossRef] [PubMed]
Scheme 1. History of Sandmeyer reactions.
Scheme 1. History of Sandmeyer reactions.
Molecules 27 01909 sch001
Figure 1. Bromodediazotation scope. 1 Reactions were carried out at room temperature for 4 h: 2 mmol of salts 1 and 5 mL of Gly/KBr (method A) or 5 mL of Gly/TBAB (method B). Longer reaction times or higher amounts of solvent systems did not lead to increased yields. Yields refer to pure and isolated 2. 2 In order to remove 3, the crude residue was purified in a chromatography column (eluent: petroleum ether). The yield of 3d was 26%, and the yield of 3l was 42%. 3 Reactions were carried out at room temperature for 24 h: 2 mmol of salts 1 and 5 mL of Gly/KBr (method A) or 5 mL of Gly/TBAB (method B). Longer reaction times as well as higher amounts of solvent systems or higher temperatures did not lead to increased yields. Yields refer to pure and isolated 2. 4 The reaction was carried out at 35 °C suspension of KBr (4 mmol for 2 mmol of 1a) in 2.5 mL of suitable solvent that was prepared.
Figure 1. Bromodediazotation scope. 1 Reactions were carried out at room temperature for 4 h: 2 mmol of salts 1 and 5 mL of Gly/KBr (method A) or 5 mL of Gly/TBAB (method B). Longer reaction times or higher amounts of solvent systems did not lead to increased yields. Yields refer to pure and isolated 2. 2 In order to remove 3, the crude residue was purified in a chromatography column (eluent: petroleum ether). The yield of 3d was 26%, and the yield of 3l was 42%. 3 Reactions were carried out at room temperature for 24 h: 2 mmol of salts 1 and 5 mL of Gly/KBr (method A) or 5 mL of Gly/TBAB (method B). Longer reaction times as well as higher amounts of solvent systems or higher temperatures did not lead to increased yields. Yields refer to pure and isolated 2. 4 The reaction was carried out at 35 °C suspension of KBr (4 mmol for 2 mmol of 1a) in 2.5 mL of suitable solvent that was prepared.
Molecules 27 01909 g001
Figure 2. Chlorodediazotation scope.1 Reaction was carried out at 35 °C for 4 h with 20 mL of solvent. Longer reaction times or higher amounts of solvent systems did not lead to increased yields. Yields refer to pure and isolated 4. GC and GC-MS analyses showed the presence of 3a as main product or 3e and 3f as only products. 2 Reactions were carried out at room temperature for 4 h: 2 mmol of salts 1 and 10 mL of Gly/KCl (method A) or 10 mL of Gly/TBAC (method B). Yields refer to pure and isolated 4.
Figure 2. Chlorodediazotation scope.1 Reaction was carried out at 35 °C for 4 h with 20 mL of solvent. Longer reaction times or higher amounts of solvent systems did not lead to increased yields. Yields refer to pure and isolated 4. GC and GC-MS analyses showed the presence of 3a as main product or 3e and 3f as only products. 2 Reactions were carried out at room temperature for 4 h: 2 mmol of salts 1 and 10 mL of Gly/KCl (method A) or 10 mL of Gly/TBAC (method B). Yields refer to pure and isolated 4.
Molecules 27 01909 g002
Figure 3. Iododediazotation scope. 1 Reactions were carried out at room temperature for 2 h: 2 mmol of salts 1 and 5 mL of Gly/KI. Yields refer to pure and isolated 5.
Figure 3. Iododediazotation scope. 1 Reactions were carried out at room temperature for 2 h: 2 mmol of salts 1 and 5 mL of Gly/KI. Yields refer to pure and isolated 5.
Molecules 27 01909 g003
Scheme 2. The solvolysis of the solvated 4-nitrobenezenediazonium 1a’.
Scheme 2. The solvolysis of the solvated 4-nitrobenezenediazonium 1a’.
Molecules 27 01909 sch002
Scheme 3. The halogenation of the solvated 4-nitrobenezenediazonium 1a’.
Scheme 3. The halogenation of the solvated 4-nitrobenezenediazonium 1a’.
Molecules 27 01909 sch003
Figure 4. Transition structures for the solvolysis (up) and for the bromination (down) of 1a’ in glycerol. Unreactive explicit glycerol solvent molecules have been removed for clarity.
Figure 4. Transition structures for the solvolysis (up) and for the bromination (down) of 1a’ in glycerol. Unreactive explicit glycerol solvent molecules have been removed for clarity.
Molecules 27 01909 g004aMolecules 27 01909 g004b
Scheme 4. Possible radical mechanism.
Scheme 4. Possible radical mechanism.
Molecules 27 01909 sch004
Table 1. Melting temperature of the different DES-like systems investigated within the paper.
Table 1. Melting temperature of the different DES-like systems investigated within the paper.
CodeHBDHBAHBD/HBA RatioMelting Temperature/K
Gly/KBr 4:1GlycerolKBr4:1238
Gly/KBr 6:1GlycerolKBr6:1225
Gly/KBr 10:1GlycerolKBr10:1247
Gly/KCl 6:1GlycerolKCl6:1239
Gly/KI 6:1GlycerolKI6:1251
Gly/TBABr 6:1GlycerolTBABr6:1245
Gly/TBACl 6:1GlycerolTBACl6:1241
Glycerol 1GlycerolGlycerol-291 1
Glycerol 2GlycerolGlycerol-269 2
1 Tabulated value for pure glycerol. 2 Measured value due to the vitrification process.
Table 2. Bromodediazotation: trial reactions.
Table 2. Bromodediazotation: trial reactions.
Molecules 27 01909 i001
EntrySolventAmountTime (h)Yields of 2a 1 (%)
1Gly and KBr 22.5 mL24- 3
2Gly and KBr 42.5 mL24- 3
3EtOH and KBr 22.5 mL24- 3
4DMSO and KBr 22.5 mL24- 3
5MeCN and KBr 22.5 mL24- 3
6Gly/KBr 4:1 52.5 mL24Traces 3
7Gly/KBr 6:1 52.5 mL24Traces 3
8Gly/KBr 10:1 52.5 mL24Traces 3
9Gly/KBr 4:1 53.5 mL1234 6
10Gly/KBr 6:1 53.5 mL1232 6
11Gly/KBr 10:1 53.5 mL1229 6
12Gly/KBr 6:1 55 mL472 6
13Gly/KBr 4:1 55 mL462 6
14Gly/KBr 6:1 510 mL472 6,7,8
15Gly/KBr 4:1 510 mL470 6
1 All reactions were carried out at room temperature. Yields refer to pure and isolate 2a. 2 A suspension of KBr (4 mmol for 2 mmol of 1a) in 2.5 mL of suitable solvent was prepared. 3 GC and MS analyses showed the presence of nitrobenzene 3a as the only or main product. 4 A suspension of KBr (8 mmol for 2 mmol of 1a) in 2.5 mL of glycerol was prepared. 5 The reactions were carried out with 2 mmol of 1a. 6 GC-MS analyses also showed the presence of nitrobenzene 3a. It was removed by evaporation under vacuum. 7 Heating to 40 °C, no increase in yield was observed. 8 After adding 0.1 mmol of Cu(0), same results were obtained. However, the reaction finished in 30 min.
Table 3. GC-MS analyses of crude residues of bromodediazotation and chlorodediazotation.
Table 3. GC-MS analyses of crude residues of bromodediazotation and chlorodediazotation.
EntrySaltEstimated
Yield (%) of 2 or 4
Estimated
Yield (%) of 3
Yields (%) of Isolated 2aMethod
11a2a; 753a; 24 12a; 72A
21a2a; 883a; 102a; 82B
31b2b; 783b; 222b; 70A
41b2b; 823b; 172b; 80B
51c2c; 653c; 342c; 67A
61c2c; 713c; 282c; 80B
71d2d; 693d; 302d; 65A
81d2d; 673d; 33 22d; 63B
91e2e; 283e; 722e; 20A
111f2f; 323f; 682f; 25A
121f2f; 363f; 632f; 30B
131g2g; 603g; 382g; 53A
141g2g; 363g; 632g; 30B
151h2h; 743h; 252h; 69A
161h2h; 773h; 222h; 68B
171i2i; 983i; traces2i; 91A
181i2i; 983i; traces2i; 92B
191j2j; 943j; traces2j; 85A
201j2j; 933j; traces2j; 80B
211k2k; 373k; 602k; 35A
221k2k; 423k; 552k; 40B
231l2l; 393l; 58 32l; 35A
241l2l; 443l; 562l; 40B
251a4a; 273a; 654a; 21A
261a4a; 253a; 674a; 18B
271e4e; -3e; 744e; -A
281e4e; -3e; 764e; -B
291f4f; -3f; 814f; -A
301f4f; -3f; 814f; -B
311i4i; 1003i; -4i; 100A
321i4i; 1003i; -4i; 100B
331j4j; 1003j; -4j; 94A
341j4j; 1003j;-4j; 92B
351m4m; 423m; 554m; 35A
361m4m; 433m; 534m; 33B
1 The yield of isolated 3a, after purification in chromatography column (eluent: petroleum ether) was 20%. 2 The yield of isolated 3d, after purification in chromatography column (eluent: petroleum ether) was 26%. 3 The yield of isolated 3l, after purification in chromatography column (eluent: petroleum ether) was 42%.
Table 4. Recovery and reuse of solvent system Gly/KBr 6:1.
Table 4. Recovery and reuse of solvent system Gly/KBr 6:1.
EntryTime (h)Yield of 2a (%) 1,2Recovery of Solvent
14724.9 mL 3
24704.9 mL 4
34674.7 mL 5
46704.6 mL 6
56684.5 mL
1 Yields refer to the pure and isolated product. 2 The reaction was carried out at room temperature with 2 mmol of 1a and 5 mL of Gly/KBr 6:1. 3 Was used as a solvent in entry 2. 4 Was used as a solvent in entry 3. 5 Was used as a solvent in entry 4. 6 Was used as a solvent in entry 5.
Table 5. Chlorodediazotation: trial reactions.
Table 5. Chlorodediazotation: trial reactions.
Molecules 27 01909 i002
EntrySolventAmountTime (h)Yields of 4i 1 (%)
1Gly and KCl 22.5 mL24- 3
2Gly and KCl 42.5 mL24- 3
3EtOH and KCl 22.5 mL24- 3
4DMSO and KCl 22.5 mL24- 3
5MeCN and KCl 22.5 mL24- 3
6Gly/KCl 4:1 55 mL1265 6,7
7Gly/KCl 6:1 55 mL1263 6,7
8Gly/KCl 10:1 55 mL1249 6.7
9Gly/KCl 6:1 55 mL487 6,7
10Gly/KCl 6:1 510 mL4100 6
1 All reactions were carried out at room temperature; yields refer to pure and isolate 4i. 2 A suspension of KBr (4 mmol for 2 mmol of 1i) in 2.5 mL of suitable solvent was prepared. 3 GC and MS analyses showed the presence of 1,3-dinitrobenzene 3i as the only product. 4 A suspension of KBr (8 mmol for 2 mmol of 1i) in 2.5 mL of glycerol was prepared. 5 The reactions were carried out with 2 mmol of 1i. 6 GC-MS analyses also showed the presence of 1,3-dinitrobenzene 3i. 7 GC calculated yields.
Table 6. Calculated rate constants and lifetimes for the halogenations and solvolysis of 1a’ and 1f’.
Table 6. Calculated rate constants and lifetimes for the halogenations and solvolysis of 1a’ and 1f’.
1a’ 1f’
K1τK1τ
Fluorination2.3 × 1010.002 s1.2 × 10−51.1 h
Chlorination1.2 × 10−10.4 s2.7 × 10−50.5 h
Bromination3.6 × 10−21.2 s1.0 × 10−51.1 h
Iodination4.6 × 10−10.1 s- 2- 2
Solvolysis4.1 × 10−62.8 days5.3 × 10−1060 years
1 In M−1 s−1 for the halogenation and in sec-1 for the solvolysis. 2 Non-calculated.
Publisher’s Note: MDPI stays neutral with regard to jurisdictional claims in published maps and institutional affiliations.

Share and Cite

MDPI and ACS Style

Ghigo, G.; Bonomo, M.; Antenucci, A.; Reviglio, C.; Dughera, S. Copper-Free Halodediazoniation of Arenediazonium Tetrafluoroborates in Deep Eutectic Solvents-like Mixtures. Molecules 2022, 27, 1909. https://doi.org/10.3390/molecules27061909

AMA Style

Ghigo G, Bonomo M, Antenucci A, Reviglio C, Dughera S. Copper-Free Halodediazoniation of Arenediazonium Tetrafluoroborates in Deep Eutectic Solvents-like Mixtures. Molecules. 2022; 27(6):1909. https://doi.org/10.3390/molecules27061909

Chicago/Turabian Style

Ghigo, Giovanni, Matteo Bonomo, Achille Antenucci, Chiara Reviglio, and Stefano Dughera. 2022. "Copper-Free Halodediazoniation of Arenediazonium Tetrafluoroborates in Deep Eutectic Solvents-like Mixtures" Molecules 27, no. 6: 1909. https://doi.org/10.3390/molecules27061909

APA Style

Ghigo, G., Bonomo, M., Antenucci, A., Reviglio, C., & Dughera, S. (2022). Copper-Free Halodediazoniation of Arenediazonium Tetrafluoroborates in Deep Eutectic Solvents-like Mixtures. Molecules, 27(6), 1909. https://doi.org/10.3390/molecules27061909

Article Metrics

Back to TopTop