The Facile Preparation of PBA-GO-CuO-Modified Electrochemical Biosensor Used for the Measurement of α-Amylase Inhibitors’ Activity
Abstract
:1. Introduction
2. Results and Discussion
2.1. Characterization of PBA-GO-CuO Nanocomposite
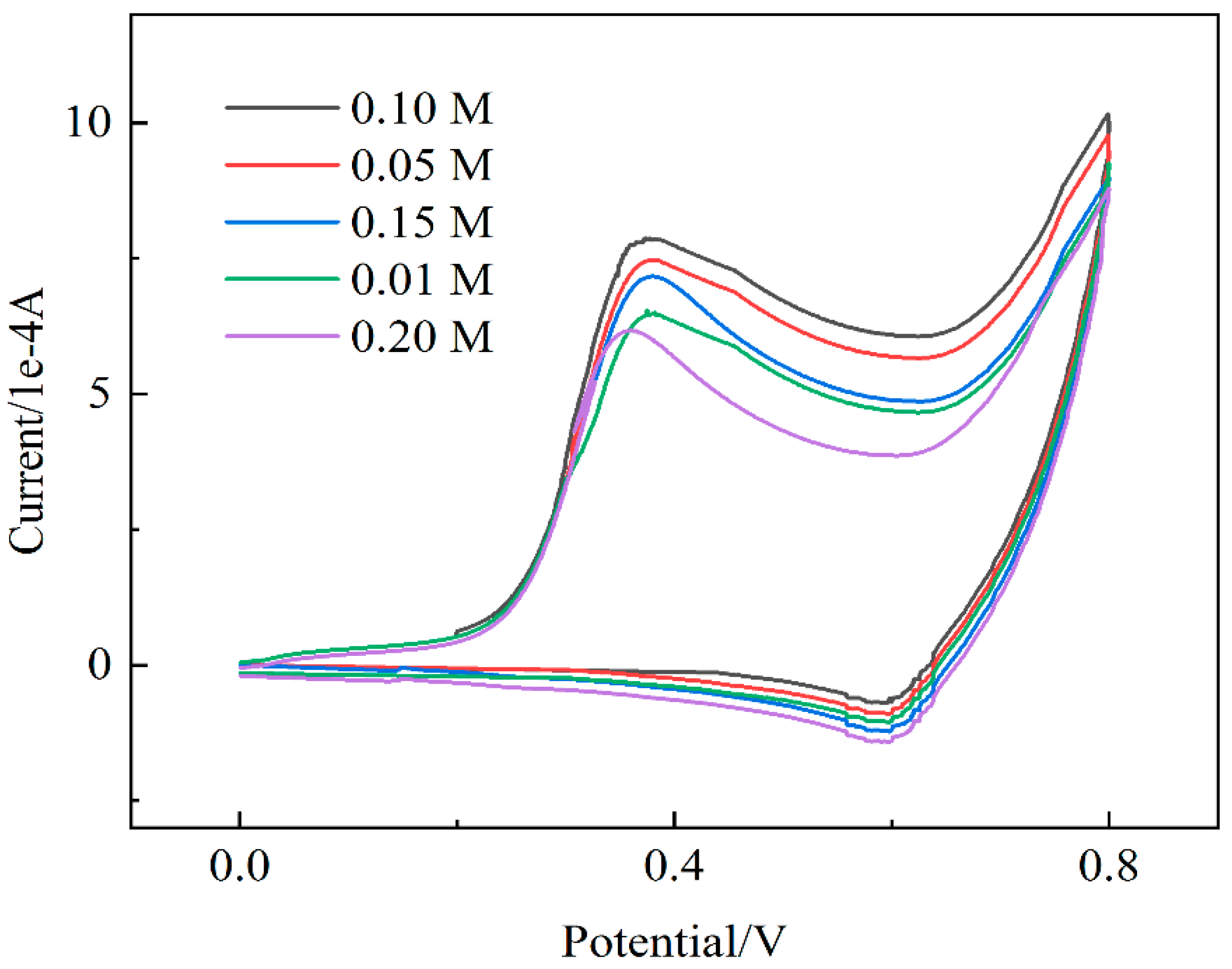
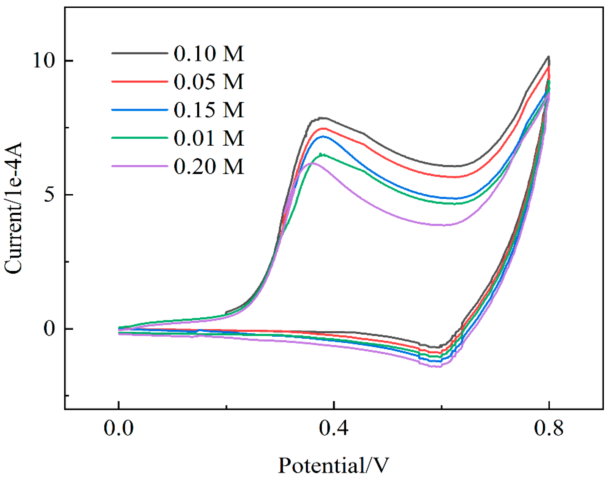
2.2. Electrochemical Characteristics of Modified Electrodes
2.3. Electrochemical Response of Modified Electrode to Glucose
2.4. Chronoamperometry Studies
2.5. Ultrasensitive Screening of Inhibitors from Natural Products
2.6. Sensor Repeatability, Selectivity, and Stability
3. Materials and Methods
3.1. Materials and Apparatus
3.2. Preparation of PBA-GO-CuO Nanocomposite
3.3. Preparation and Measurement of the Glucose Sensor
3.4. Trace α-Amylase Inhibitor Screening from Natural Product
4. Conclusions
Author Contributions
Funding
Institutional Review Board Statement
Informed Consent Statement
Data Availability Statement
Acknowledgments
Conflicts of Interest
Sample Availability
References
- Liu, L.L.; Cen, Y.; Liu, F.; Yu, J.G.; Jiang, X.Y.; Chen, X.Q. Analysis of α-amylase inhibitor from corni fructus by coupling magnetic cross-linked enzyme aggregates of α-amylase with HPLC-MS. J. Chromatogr. B 2015, 15, 30008. [Google Scholar] [CrossRef] [PubMed]
- Malene, J.P.; Rita, D.C.; Louise, K.; Dan, S. Immobilized α-amylase magnetic beads for ligand fishing: Proof of concept and identification of α-amylase inhibitors in Ginkgo biloba. Phytochemistry 2019, 164, 94. [Google Scholar]
- Lima, H.R.; Silva, J.; Farias, E. Electrochemical sensors and biosensors for the analysis of antineoplastic drugs. Biosens. Bioelectron. 2018, 108, 15. [Google Scholar] [CrossRef] [PubMed]
- Mourzina, Y.G.; Ermolenko, Y.E.; Offenhäusser, A. Synthesizing Electrodes into Electrochemical Sensor Systems. Front. Chem. 2021, 9, 641. [Google Scholar] [CrossRef] [PubMed]
- Ye, Y.L.; Ji, J.; Sun, Z.Y. Recent advances in electrochemical biosensors for antioxidant analysis in foodstuff. TrAC Trends Anal. Chem. 2019, 122, 155718. [Google Scholar] [CrossRef]
- Cortina, M.E.; Melli, L.J.; Roberti, M. Electrochemical magnetic microbeads-based biosensor for point-of-care serodiagnosis of infectious diseases. Biosens. Bioelectron. 2016, 80, 15. [Google Scholar] [CrossRef]
- Lv, M.; Liu, Y.; Geng, J.H. Engineering nanomaterials-based biosensors for food safety detection. Biosens. Bioelectron. 2018, 106, 30. [Google Scholar] [CrossRef]
- Zhang, X.L.; Wu, D.; Zhou, X.X. Recent progress on the construction of nanozymes-based biosensors and their applications to food safety assay. TrAC Trends Anal. Chem. 2019, 121, 115668. [Google Scholar] [CrossRef]
- Silva, N.F.; Magalhães, J.M.; Freire, C. Electrochemical biosensors for Salmonella: State of the art and challenges in food safety assessment. Biosens. Bioelectron. 2018, 99, 15. [Google Scholar] [CrossRef] [Green Version]
- Hovancová, J.; Šišoláková, I.; Oriňaková, R. Nanomaterial-based electrochemical sensors for detection of glucose and insulin. J. Solid-State Electrochem. 2017, 21, 2147. [Google Scholar] [CrossRef]
- Tajik, S.; Beitollahi, H.; Ahmadi, S.A. Screen-printed electrode surface modification with NiCo2O4/RGO nanocomposite for hydroxylamine detection. Nanomaterials 2021, 11, 3208. [Google Scholar] [CrossRef] [PubMed]
- Beitollahi, H.; Shahsavari, M.; Sheikhshoaie, I. Amplified electrochemical sensor employing screen-printed electrode modified with Ni-ZIF-67 nanocomposite for high sensitive analysis of Sudan I in present bisphenol A. Food Chem. Toxicol. 2022, 161, 112824. [Google Scholar] [CrossRef]
- Adeel, M.; Rahman, M.M.; Caligiuri, I. Recent advances of electrochemical and optical enzyme-free glucose sensors operating at physiological conditions. Biosens. Bioelectron. 2020, 165, 112. [Google Scholar] [CrossRef] [PubMed]
- Han, T.; Noda, S.; Haneda, K. Development of a glucose sensor using palladium electrode. Diabetes 2018, 67 (Suppl. 1), 2265-PUB. [Google Scholar] [CrossRef]
- Zhu, H.; Li, L.; Zhou, W. Advances in non-enzymatic glucose sensors based on metal oxides. J. Mater. Chem. B 2016, 4, 7333. [Google Scholar] [CrossRef]
- Qian, J.C.; Wang, Y.P.; Pan, J. Non-enzymatic glucose sensor based on ZnO–CeO2 whiskers. MCP 2020, 239, 122051. [Google Scholar] [CrossRef]
- Sode, K.J.; Loew, N.Y.; Ohnishi, Y.S. Novel fungal FAD glucose dehydrogenase derived from Aspergillus niger for glucose enzyme sensor strips. Biosens. Bioelectron. 2017, 87, 305. [Google Scholar] [CrossRef]
- Lee, H.; Hong, Y.J.; Baik, S. Enzyme-based glucose sensor: From invasive to wearable device. Adv. Healthc. Mater. 2018, 7, 1701150. [Google Scholar] [CrossRef] [Green Version]
- Chen, D.; Wang, X.H.; Zhang, K.X. Glucose photoelectrochemical enzyme sensor based on competitive reaction of ascorbic acid. Biosens. Bioelectron. 2020, 166, 112466. [Google Scholar] [CrossRef]
- Salazar, P.; Rico, V.; Rodríguez-Amaro, R. New Copper wide range nanosensor electrode prepared by physical vapor deposition at oblique angles for the non-enzimatic determination of glucose. Electrochim. Acta 2015, 169, 195. [Google Scholar] [CrossRef]
- Liu, L.; Wang, M.; Wang, C.Y. In-situ synthesis of graphitic carbon nitride/iron oxide−copper composites and their application in the electrochemical detection of glucose. Electrochim. Acta 2018, 265, 275. [Google Scholar] [CrossRef]
- Duan, X.X.; Liu, K.L.; Xu, Y. Nonenzymatic electrochemical glucose biosensor constructed by NiCo2O4@Ppy nanowires on nickel foam substrate. Sens. Actuators B Chem. 2019, 292, 121. [Google Scholar] [CrossRef]
- Wei, M.; Qiao, Y.X.; Zhao, H.T. Electrochemical non-enzymatic glucose sensors: Recent progress and perspectives. ChemComm 2020, 56, 14553. [Google Scholar] [CrossRef] [PubMed]
- Sun, C.; Miao, J.J.; Yan, J. Applications of antibiofouling PEG-coating in electrochemical biosensors for determination of glucose in whole blood. Electrochim. Acta 2013, 89, 549. [Google Scholar] [CrossRef]
- Wang, J.; Zhang, W.D. Fabrication of CuO nanoplatelets for highly sensitive enzyme-free determination of glucose. Electrochim. Acta 2011, 56, 7510. [Google Scholar] [CrossRef]
- Fleischmann, M.; Korinek, K.; Pletcher, D. The kinetics and mechanism of the oxidation of amines and alcohols at oxide-covered nickel, silver, copper, and cobalt electrodes. J. Chem. Soc. Perkin Trans. 1972, 2, 1396. [Google Scholar] [CrossRef]
- Seunghee, H.C.; Sun, S.K.; Jaeseok, Y. Chemical and biological sensors based on defect-engineered graphene mesh field-effect transistors. Nano Converg. 2016, 14, 2056. [Google Scholar]
- Zhang, Y.P.; Liu, X.T.; Qiu, S. A Flexible Acetylcholinesterase-Modified Graphene for Chiral Pesticide Sensor. J. Am. Chem. Soc. 2019, 141, 14643. [Google Scholar] [CrossRef]
- Sehit, E.; Altintas, Z. Significance of nanomaterials in electrochemical glucose sensors: An updated review (2016–2020). Biosens. Bioelectron. 2020, 159, 112. [Google Scholar] [CrossRef]
- Wei, S.J.; Hao, Y.B.; Ying, Z. Transfer-free CVD graphene for highly sensitive glucose sensors. J. Mater. Sci. Technol. 2020, 37, 71. [Google Scholar] [CrossRef]
- Rahsepar, M.; Foroughi, F.; Kim, H. A new enzyme-free biosensor based on nitrogen-doped graphene with high sensing performance for electrochemical detection of glucose at biological pH value. Sens. Actuators B Chem. 2019, 282, 322. [Google Scholar] [CrossRef]
- Paraknowitsch, J.P.; Thomas, A. Doping carbons beyond nitrogen: An overview of advanced heteroatom doped carbons with boron, sulphur and phosphorus for energy applications. Energy Environ. Sci. 2013, 6, 2839. [Google Scholar] [CrossRef] [Green Version]
- Li, Y.F.; Zhang, W.W.; Guo, B. Interlayer shear of nanomaterials: Graphene-graphene, boron nitride-boron nitride and graphene-boron nitride. Acta Mech. Solida Sin. 2017, 30, 234. [Google Scholar] [CrossRef]
- Yu, X.M.; Han, P.; Wei, Z.X. Boron-Doped Graphene for Electrocatalytic N2 Reduction. Joule 2018, 2, 1610. [Google Scholar] [CrossRef] [Green Version]
- Justino, C.; Gomes, A.R.; Freitas, A.C. Graphene based sensors and biosensors. Trac-Trend Anal. Chem. 2017, 91, 53. [Google Scholar] [CrossRef]
- Qian, K.; Wang, H.; Liu, J.M. Synthesis of α-glycosidase hybrid nano-flowers and their application for enriching and screening α-glycosidase inhibitors. New J. Chem. 2017, 42, 429. [Google Scholar] [CrossRef]
- Xie, Y.S.; Li, D.W.; Li, Y.F. The activity of α-amylase inhibitor was determined by colorimetric method of iodine test solution. Jiangsu Agric. Sci. 2015, 43, 301. [Google Scholar]
- Rotte, N.K.; Naresh, V.; Muduli, S. Microwave aided scalable synthesis of sulfur, nitrogen co-doped few-layered graphene material for high-performance supercapacitors. Electrochim. Acta 2020, 363, 137209. [Google Scholar] [CrossRef]
- Jiang, B.; Liang, K.M.; Yang, Z.J. FeCoNiB@Boron-doped vertically aligned graphene arrays: A self-supported electrocatalyst for overall water splitting in a wide pH range. Electrochim. Acta 2021, 386, 138459. [Google Scholar] [CrossRef]
- Zhou, X.Y.; Zhang, J.; Su, Q.M. Nanoleaf-on-sheet CuO/graphene composites: Microwave-assisted assemble and excellent electrochemical performances for lithium-ion batteries. Electrochim. Acta 2014, 125, 615. [Google Scholar] [CrossRef]
- Gao, J.P.; Qiu, G.J.; Li, H.J. Boron-doped graphene/TiO2 nanotube-based aqueous lithium-ion capacitors with high energy density. Electrochim. Acta 2020, 329, 135175. [Google Scholar] [CrossRef]
- Shumba, M.; Nyokong, T. Electrode modification using nanocomposites of boron or nitrogen doped graphene oxide and cobalt (II) tetra aminophenoxy phthalocyanine nanoparticles. Electrochim. Acta 2016, 196, 457. [Google Scholar] [CrossRef]
- Yang, S.L.; Li, G.; Wang, D. Synthesis of nanoneedle-like copper oxide on N-doped reduced graphene oxide: A three-dimensional hybrid for nonenzymatic glucose sensor. Sens. Actuators B Chem. 2017, 238, 588. [Google Scholar] [CrossRef]
- Li, Y.R.; Wang, X.; Yang, Q. Ultra-fine CuO Nanoparticles Embedded in Three-dimensional Graphene Network Nanostructure for High-performance Flexible Supercapacitors. Electrochim. Acta 2017, 234, 63. [Google Scholar] [CrossRef]
- Yadav, H.M.; Lee, J.J. One-pot synthesis of copper nanoparticles on glass: Applications for non-enzymatic glucose detection and catalytic reduction of 4-nitrophenol. J. Solid State Electrochem. 2019, 23, 503. [Google Scholar] [CrossRef]
- Sahoo, R.K.; Das, A.; Samantaray, K. Electrochemical glucose Sensing characteristics of two-dimensional faceted and non-faceted CuO nanoribbons. Crystengcomm 2019, 244, 1607. [Google Scholar] [CrossRef]
- He, J.; Sunarso, J.; Zhu, Y.L. High-performance non-enzymatic perovskite sensor for hydrogen peroxide and glucose electrochemical detection. Sens. Actuators B Chem. 2017, 21, 482. [Google Scholar] [CrossRef]
- Foroughi, F.; Rahsepar, M.; Hadianfard, M.J.; Kim, H. Microwave-assisted synthesis of graphene modified CuO nanoparticles for voltammetric enzyme-free sensing of glucose at biological pH values. Microchim. Acta 2017, 185, 57. [Google Scholar] [CrossRef]
- Branagan, D.; Breslin, C.B. Electrochemical detection of glucose at physiological pH using gold nanoparticles deposited on carbon nanotubes. Sens. Actuators B Chem. 2019, 282, 490. [Google Scholar] [CrossRef]
- Su, Y.; Guo, H.; Wang, Z.S. Au@Cu2O core-shell structure for high sensitive non-enzymatic glucose sensor. Sens. Actuators B Chem. 2018, 255, 2510. [Google Scholar] [CrossRef]
- Li, Q.; Shao, Z.F.; Han, T. A High-Efficiency Electrocatalyst for Oxidizing Glucose: Ultrathin Nanosheet Co-Based Organic Framework Assemblies. ACS Sustain. Chem. Eng. 2019, 7, 8986. [Google Scholar] [CrossRef]
- Shahhoseini, L.; Mohammadi, R.; Ghanbari, B. Ni (II) 1D-coordination polymer/C60-modified glassy carbon electrode as a highly sensitive non-enzymatic glucose electrochemical sensor. Appl. Surf. Sci. 2019, 478, 361. [Google Scholar] [CrossRef]
- Wu, W.Q.; Li, Y.B.; Jin, J.Y. A novel nonenzymatic electrochemical sensor based on 3D flower-like Ni7S6 for hydrogen peroxide and glucose. Sens. Actuators B Chem. 2016, 232, 633. [Google Scholar] [CrossRef]
- Zhang, Y.; Wang, L.; Yu, J. Three-dimensional macroporous carbon supported hierarchical ZnO-NiO nanosheets for electrochemical glucose sensing. J. Alloys Compd. 2016, 698, 800. [Google Scholar] [CrossRef]
- Jeong, H.; Nguyen, D.M.; Lee, M.S. N-doped graphene-carbon nanotube hybrid networks attaching with gold nanoparticles for glucose non-enzymatic sensor. Sci. Eng. Compos. Mater. 2018, 90, 38. [Google Scholar] [CrossRef]
- Karikalan, N.; Karthik, R.; Chen, S.M. Sonochemical Synthesis of Sulfur Doped Reduced Graphene Oxide Supported CuS Nanoparticles for the Non-Enzymatic Glucose Sensor Applications. Sci. Rep. 2017, 7, 2494. [Google Scholar] [CrossRef]










| Element | Species | Binding Energy(eV) | Relative Intensity (%) |
|---|---|---|---|
| C 1s | C-C/C=C | 284.01 | 71.26 |
| C-N | 284.62 | 18.30 | |
| C-C=O | 288.50 | 5.29 | |
| C=O | 287.07 | 3.08 | |
| C-B | 284.81 | 2.07 | |
| B 1s | BC3 | 189.92 | 67.21 |
| BC2O | 191.04 | 18.26 | |
| BCO2 | 192.13 | 8.25 | |
| B4C | 187.81 | 6.34 |
| Electrode Material | Electrode | Doping Element (and Its Source) | Sensitivity (μA mM−1 cm−2) | Linear Range | Detection Limit (μM) | Reference |
|---|---|---|---|---|---|---|
| PBA-GO-CuO | GCE | B (1-Pyrene boric acid) | 906 | 0.1 mM–2.0 mM | 0.7 μM | This work |
| GO-CuO | GCE | - | 723 | 0.1 mM–2.0 mM | 1.5 μM | This work |
| CuO | GCE | - | 206 | 0.1 mM–2.0 mM | 9.5 μM | This work |
| Faceted CuO nanoribbons | GCE | - | 412 | 0.05 mM–3.5 mM | 58 μM | Sahoo et al. [46] |
| LSC/rGO | GCE | - | 330 | 2 μM–3.35 mM | 63 μM | He et al. [47] |
| GO/CuO | GCE | - | 37.63 | 0.005 mM–14 mM | 5.04 μM | Foroughi et al. [48] |
| MWCNT/Au | GCE/CSPE | - | 2.77 ± 0.14 | 0.1 mM–20 mM | 4.1 μM | Branagan et al. [49] |
| Au/Cu2O/GCE | GCE | - | 715 | 0.05 mM–2.0 mM | 18 μM | Su et al. [50] |
| Co-MOF Nanosheets | GCE | - | 219.67 | 0.5 μM–8.065 mM | 0.25 μM | Li et al. [51] |
| Co/MoS2/CNTs | GCE | - | 131.69 | 0–5.2 mM | 80 nM | Branagan et al. [49] |
| Ni(II)-CP/C60 | GCE | - | 614.29 | 0.01 mM–3.00 mM | 4.3 μM | Shahhoseini et al. [52] |
| 3D flower-like Ni7S6 | GCE | - | 271.8 | 5 μM–3.7 mM | 0.15 μM | Wu et al. [53] |
| N-GR- CNTs/AuNPs | GCE | N(HNO3) | 0.9824 | 2 μM–19.6 mM | 0.5 μM | Jeong et al. [55] |
| Microwave N-GO/CuO | GCE | N(urea) | 122.336 | 0.01 mM–10 mM | 14.52 μM | Rahsepar et al. [31] |
| S-rGO/CuS | GCE/RDE | S(Na2S) | 429.4 | 3.88 mM–20.17 mM | 0.032 μM | Karikalan et al. [56] |
Publisher’s Note: MDPI stays neutral with regard to jurisdictional claims in published maps and institutional affiliations. |
© 2022 by the authors. Licensee MDPI, Basel, Switzerland. This article is an open access article distributed under the terms and conditions of the Creative Commons Attribution (CC BY) license (https://creativecommons.org/licenses/by/4.0/).
Share and Cite
Li, M.; Yin, X.; Shan, H.; Meng, C.; Chen, S.; Yan, Y. The Facile Preparation of PBA-GO-CuO-Modified Electrochemical Biosensor Used for the Measurement of α-Amylase Inhibitors’ Activity. Molecules 2022, 27, 2395. https://doi.org/10.3390/molecules27082395
Li M, Yin X, Shan H, Meng C, Chen S, Yan Y. The Facile Preparation of PBA-GO-CuO-Modified Electrochemical Biosensor Used for the Measurement of α-Amylase Inhibitors’ Activity. Molecules. 2022; 27(8):2395. https://doi.org/10.3390/molecules27082395
Chicago/Turabian StyleLi, Min, Xiaoying Yin, Hongli Shan, Chenting Meng, Shengxue Chen, and Yinan Yan. 2022. "The Facile Preparation of PBA-GO-CuO-Modified Electrochemical Biosensor Used for the Measurement of α-Amylase Inhibitors’ Activity" Molecules 27, no. 8: 2395. https://doi.org/10.3390/molecules27082395
APA StyleLi, M., Yin, X., Shan, H., Meng, C., Chen, S., & Yan, Y. (2022). The Facile Preparation of PBA-GO-CuO-Modified Electrochemical Biosensor Used for the Measurement of α-Amylase Inhibitors’ Activity. Molecules, 27(8), 2395. https://doi.org/10.3390/molecules27082395
