Natural Products from Leaves of the Ancient Iranian Medicinal Plant Echium amoenum Fisch. & C. A. Mey.
Abstract
1. Introduction
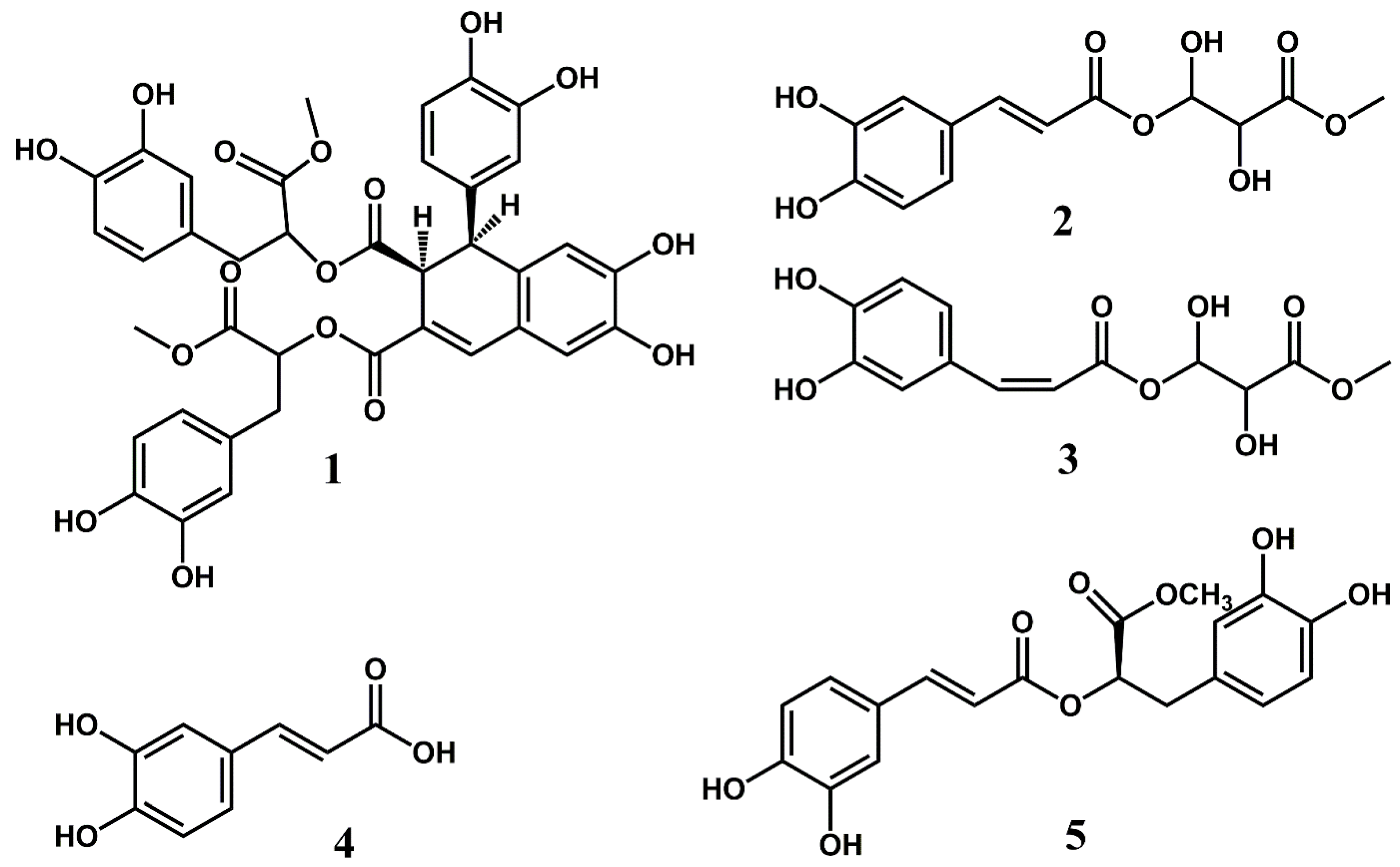
2. Results and Discussion
3. Materials and methods
3.1. Plant Material
3.2. Extraction of Compounds and Partitions with Organic Solvents
3.3. Amberlite XAD-7 Column Chromatography
3.4. Sephadex LH-20 Column Chromatography
3.5. Preparative HPLC
3.6. Analytical HPLC
3.7. Spectroscopy
4. Conclusions
Supplementary Materials
Author Contributions
Funding
Institutional Review Board Statement
Informed Consent Statement
Data Availability Statement
Conflicts of Interest
References
- Amirghofran, Z. Medicinal Plants as Immunosuppressive Agents in Traditional Iranian Medicine. Iran. J. Immunol. 2010, 7, 65–73. [Google Scholar] [PubMed]
- Mehrabani, M.; Ghassemi, N.; Sajjadi, E.; Ghannadi, A.; Shams-Ardakani, M. Main phenolic compound of petals of Echium amoenum Fisch and C.A. Mey, a famous medicinal plant of Iran. DARU J. Pharm. Sci. 2005, 13, 65–69. [Google Scholar]
- Abolhassani, M. Antibacterial effect of borage (Echium amoenum) on Staphylococcus aureus. Braz. J. Infect. Dis. 2004, 8, 382–385. [Google Scholar] [CrossRef] [PubMed][Green Version]
- Hajghanbari, L.; Alizadeh, A.; Honarvar, M. Essential oil constituents and fatty acids in Echium amoenum grown wild in Iran. Int. J. Biosci. IJB 2015, 6, 156–161. [Google Scholar]
- Daneshfar, E.; Kuhkheil, A.; Omidbaigi, R.; Zand, A. Vegetative and Reproductive Characteristics of Iranian Gole-Gav-Zaban (Echium amoenum Fisch & C. A. Mey) Accessions Cultivated in Mazandaran Province. J. Am. Sci. 2011, 7, 911–913. [Google Scholar]
- Uysal, H.; Kizilet, H.; Arif Ayar, T.A. The use of endemic Iranian plant, Echium amoenum, against the ethylmethanesulfonate and the recovery of mutagenic effects. Toxicol. Ind. Health 2015, 31, 44–51. [Google Scholar] [CrossRef] [PubMed]
- Pilerood, S.A.; Prakash, J. Evaluation of nutritional composition and antioxidant activity of Borage (Echium amoenum) and Valerian (Valerian officinalis). J. Food Sci. Technol. 2014, 51, 845–854. [Google Scholar] [CrossRef] [PubMed]
- Agata, I.; Hatano, T.; Nishibe, S.; Okuda, T. Rabdosiin, a new rosmarinic acid dimer with a lignan skeleton from Rabdosia japonica. Chem. Pharm. Bull. 1988, 36, 3223–3225. [Google Scholar] [CrossRef]
- Agata, I.; Hatano, T.; Nishibe, S.; Okuda, T. A tetrameric derivative of caffeic acid from Rabdosia japonica. Phytochemistry 1989, 28, 2447–2450. [Google Scholar] [CrossRef]
- Fedoreyev, S.A.; Veselova, M.V.; Krivoschekova, O.E.; Mischenko, N.P.; Denisenko, V.A.; Dmitrenok, P.S.; Glazunov, V.P.; Bulgakov, V.P.; Tchernoded, G.K.; Zhuravlev, Y.N. Caffeic acid metabolites from Eritrchium sericeum. Planta Med. 2005, 71, 446–451. [Google Scholar] [CrossRef] [PubMed]
- Olennikov, D.N.; Daironas, Z.V.; Zilfikarov, I.N. Shikonin and rosmarinic-acid derivatives from Echium russicum roots. Chem. Nat. Comp. 2017, 53, 953–955. [Google Scholar] [CrossRef]
- Jin, J.; Holland, D.C.; Carroll, A.R.; Zunk, M. Echiumin E, an aryl dihydronaphthalene lignan from the Australian invasive plant Paterson’s Curse (Echium plantagineum). J. Nat. Prod. 2022, 85, 2474–2479. [Google Scholar] [CrossRef] [PubMed]
- Matano, Y.; Watano, T.; Oono, A.; Kanita, M.; Saito, J.; Suzuki, A. Isolation of 1-(3,4-Dihydroxyphenyl)-1,2-Dihydronaphthalene-2,3-Dicarboxylic Acid Derivatives from Leaf of Mentha haplocalyx as Antiinflammatory Agents. Patent JP05025082, 2 February 1993. [Google Scholar]
- Penning, T.M.; Mukharji, I.; Barrows, S.; Talalay, P. Purification and properties of a 3 α-hydroxysteroid dehydrogenase of rat liver cytosol and its inhibition by anti-inflammatory drugs. Biochem. J. 1984, 222, 601–611. [Google Scholar] [CrossRef] [PubMed]
- Penning, T.M.; Sharp, R.B.; Krieger, N.R. Purification and properties of 3 α-hydroxysteroid dehydrogenase from rat brain cytosol. Inhibition by nonsteroidal anti-inflammatory drugs and progestins. J. Biol. Chem. 1985, 260, 15266–15272. [Google Scholar] [CrossRef] [PubMed]
- Cao, Y.G.; Li, H.W.; Cao, B.; Wang, J.C.; Zhang, Y.L.; Zhao, X.; Zheng, X.K.; Feng, W.S. Two new phenylpropanoids and a new dihydrostilbenoid from the flower buds of Magnolia biondii pamp and their acetylcholinesterase inhibitory activities. Nat. Prod. Res. 2021, 35, 3233–3240. [Google Scholar] [CrossRef] [PubMed]
- Karimi, E.; Oskoueian, E.; Karimi, A.; Noura, R.; Ebrahimi, M. Borago officinalis L. flower: A comprehensive study on bioactive compounds and its health-promoting properties. J. Food Meas. Charact. 2018, 12, 826–838. [Google Scholar] [CrossRef]
- Asghari, B.; Mafakheri, S.; Zarrabi, M.M.; Erdem, S.A.; Orhan, I.E.; Bahadori, M.B. Therapeutic target enzymes inhibitory potential, antioxidant activity, and rosmarinic acid content of Echium amoenum. S. Afr. J. Bot. 2019, 120, 191–197. [Google Scholar] [CrossRef]
- Nouri, M.; Farajdokht, F.; Torbati, M.; Ranjbar, F.; Hamedyazdan, S.; Araj-khodaei, M.; Sadigh-Eteghad, S. A Close Look at Echium amoenum processing, neuroactive components, and effects on neuropsychiatric disorders. GMJ 2019, 8, e1559. [Google Scholar] [CrossRef] [PubMed]
- Benamar, H.; Tomassini, L.; Venditti, A.; Marouf, A.; Bennaceur, M.; Serafini, M.; Nicoletti, M. Acetylcholinesterase inhibitory activity of pyrrolizidine alkaloids from Echium confusum Coincy. Nat. Prod. Res. 2017, 31, 1277–1285. [Google Scholar] [CrossRef] [PubMed]


| 1 δ 1H | 1 δ 13C | 2 δ 1H | 2 δ 13C | 3 δ 1H | 3 δ 13C | |
|---|---|---|---|---|---|---|
| 1 | 4.10 d 2.4 | 44.5 | 125.5 | 126.0 | ||
| 2 | 3.72 d 2.4 | 46.7 | 7.04 d 2.0 | 114.9 | 7.37 d 2.0 | 117.8 |
| 3 | 119.4 | 145.4 | 144.8 | |||
| 4 | 7.56 s | 139.4 | 148.4 | 147.2 | ||
| 5 | 6.86 s | 116.7 | 6.75 d 8.2 | 115.8 | 6.71 d 8.2 | 115.0 |
| 6 | 144.4 | 6.99 dd 2.0, 8.2 | 121.5 | 7.05 dd 2.0, 8.2 | 123.7 | |
| 7 | 148.3 | 7.48 d 15.9 | 145.5 | 6.77 d 12.9 | 143.8 | |
| 8 | 6.39 s | 116.4 | 6.24 d 15.9 | 113.8 | 5.73 d 12.9 | 114.8 |
| 9 | 129.3 | 166.4 | 165.8 | |||
| 10 | 122.4 | |||||
| 11 | 171.0 | |||||
| 12 | 165.4 | |||||
| 1A’ | 134.3 | 4.11 m | 64.5 | 4.08 m | n.a | |
| 1B’ | 4.08 m | |||||
| 2′ | 6.26 d 2.3 | 114.7 | 4.02 m | 69.7 | 3.98 m | 69.7 |
| 3′ | 144.9 | 4.17 dd 2.7, 7.2 | 71.3 | 4.12 m | 71.3 | |
| 4′ | 144.1 | 172.9 | 172.9 | |||
| 4′-OCH3 | 3.64 s | 51.6 | 3.64 s | 51.6 | ||
| 5′ | 6.56 d 8.2 | 115.6 | ||||
| 6′ | 6.21 dd 2.3, 8.2 | 117.9 | ||||
| 1″ | 126.5 | |||||
| 2″ | 6.57 d 2.1 | 116.6 | ||||
| 3″ | 145.1 | |||||
| 4″ | 144.2 | |||||
| 5″ | 6.61 d 8.0 | 115.5 | ||||
| 6″ | 6.42 dd 2.1, 8.0 | 120.3 | ||||
| 7″ | 2.79 d 6.7 | 36.2 | ||||
| 8″ | 4.88 t 6.7 | 73.5 | ||||
| 9″ | 169.3 | |||||
| 9″-OCH3 | 3.48 s | 52.0 | ||||
| 1‴ | 126.4 | |||||
| 2‴ | 6.60 d 2.1 | 116.8 | ||||
| 3‴ | 145.1 | |||||
| 4‴ | 144.2 | |||||
| 5‴ | 6.63 d 8.0 | 115.5 | ||||
| 6‴ | 6.43 dd 2.1, 8.0 | 120.3 | ||||
| 7a‴ | 2.91 dd 6.8, 14.1 | 36.4 | ||||
| 7b‴ | 2.87 dd 5.9, 14.1 | |||||
| 8‴ | 4.98 dd, 5.9, 6.8 | 73.3 | ||||
| 9‴ | 169.8 | |||||
| 9‴-OCH3 | 3.52 s | 51.9 | ||||
| 3-OH | 9.13 s | 9.04 s | ||||
| 4-OH | 9.59 s | 9.41 s | ||||
| 6-OH | 9.09 s | |||||
| 7-OH | 9.45 s | |||||
| 2′-OH | 5.18 d 7.0 | 5.16 m | ||||
| 3′-OH | 8.73 s | 5.34 d 7.2 | 5.32 d 7.2 | |||
| 4′-OH | 8.69 s | |||||
| 3″-OH | 8.75 s | |||||
| 4″-OH | 8.726 s | |||||
| 3‴-OH | 8.80 s | |||||
| 4‴-OH | 8.74 s |
Disclaimer/Publisher’s Note: The statements, opinions and data contained in all publications are solely those of the individual author(s) and contributor(s) and not of MDPI and/or the editor(s). MDPI and/or the editor(s) disclaim responsibility for any injury to people or property resulting from any ideas, methods, instructions or products referred to in the content. |
© 2023 by the authors. Licensee MDPI, Basel, Switzerland. This article is an open access article distributed under the terms and conditions of the Creative Commons Attribution (CC BY) license (https://creativecommons.org/licenses/by/4.0/).
Share and Cite
Jamnani, M.J.; Holmelid, B.; Vedeler, A.; Parsian, H.H.; Andersen, H.L.; Fossen, T. Natural Products from Leaves of the Ancient Iranian Medicinal Plant Echium amoenum Fisch. & C. A. Mey. Molecules 2023, 28, 385. https://doi.org/10.3390/molecules28010385
Jamnani MJ, Holmelid B, Vedeler A, Parsian HH, Andersen HL, Fossen T. Natural Products from Leaves of the Ancient Iranian Medicinal Plant Echium amoenum Fisch. & C. A. Mey. Molecules. 2023; 28(1):385. https://doi.org/10.3390/molecules28010385
Chicago/Turabian StyleJamnani, Mehdi Jafari, Bjarte Holmelid, Anni Vedeler, Hoda Houshiar Parsian, Heidi Lie Andersen, and Torgils Fossen. 2023. "Natural Products from Leaves of the Ancient Iranian Medicinal Plant Echium amoenum Fisch. & C. A. Mey." Molecules 28, no. 1: 385. https://doi.org/10.3390/molecules28010385
APA StyleJamnani, M. J., Holmelid, B., Vedeler, A., Parsian, H. H., Andersen, H. L., & Fossen, T. (2023). Natural Products from Leaves of the Ancient Iranian Medicinal Plant Echium amoenum Fisch. & C. A. Mey. Molecules, 28(1), 385. https://doi.org/10.3390/molecules28010385

