Determination of Minerals in Soft and Hard Cheese Varieties by ICP-OES: A Comparison of Digestion Methods
Abstract
1. Introduction
2. Results and Discussion
2.1. Effect of Digestion Methods on Mineral Levels in the Standard Reference Material
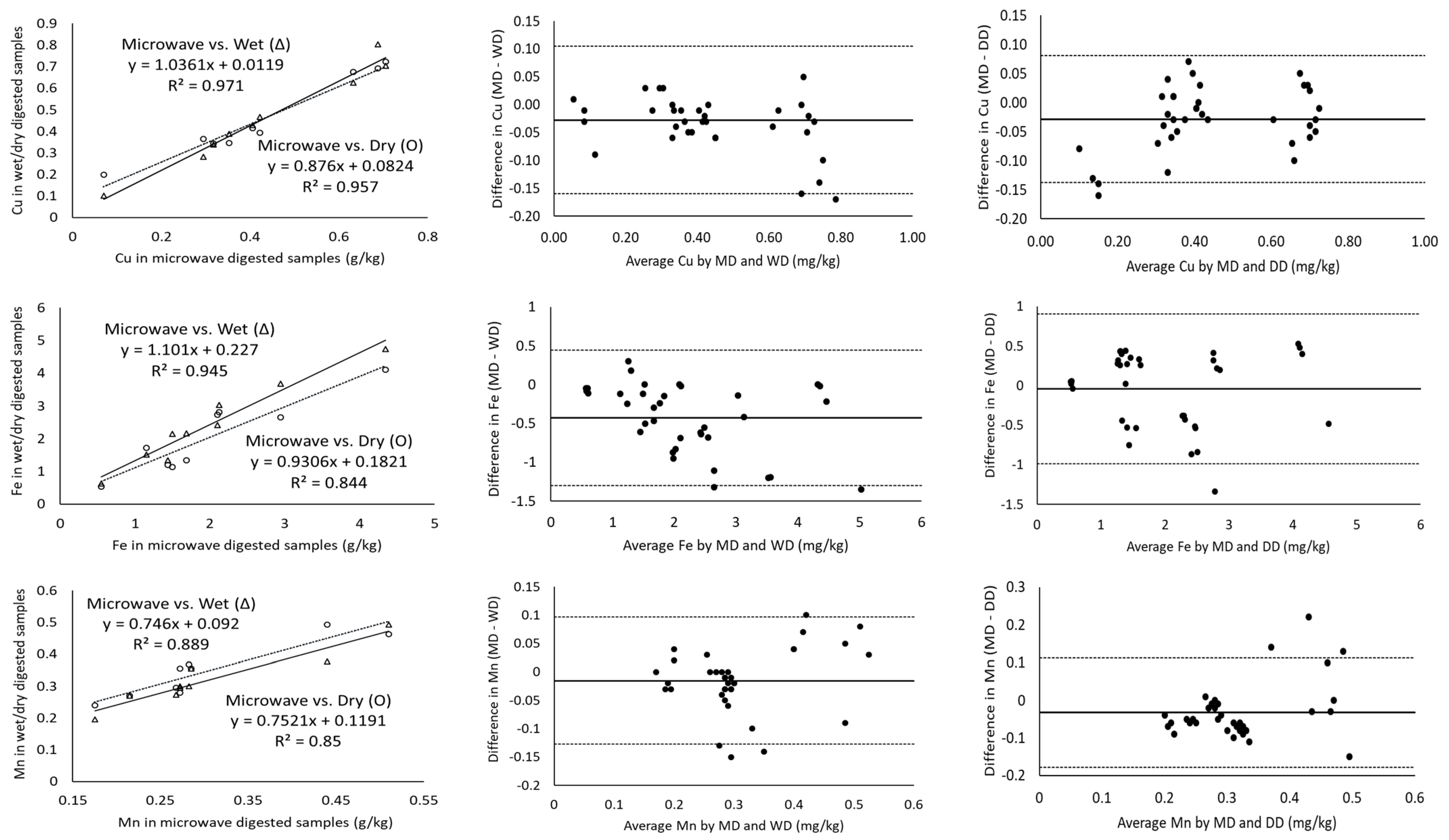
2.2. Determination of Mineral Levels in Cheeses: Comparison of Digestion Methods
3. Materials and Methods
3.1. Sampling
3.2. Sample Digestion Procedures
3.2.1. Dry Digestion
3.2.2. Wet Digestion
3.2.3. Microwave Digestion
3.3. ICP-OES Analysis
3.4. Statistical Analysis
4. Conclusions
Author Contributions
Funding
Institutional Review Board Statement
Informed Consent Statement
Data Availability Statement
Acknowledgments
Conflicts of Interest
Sample Availability
References
- Van Rossum, C.T.M.; Buurma-Rethans, E.J.M.; Dinnissen, C.S.; Beukers, M.H.; Brants, H.A.M.; Ocké, M.C. The Diet of the Dutch: Results of the Dutch National Food Consumption Survey 2012–2016; Rijksinstituut voor Volksgezondheid en Milieu RIVM: Bilthoven, The Netherlands, 2020. [Google Scholar]
- Shkembi, B.; Huppertz, T. Calcium absorption from food products: Food matrix effects. Nutrients 2022, 14, 180. [Google Scholar] [CrossRef] [PubMed]
- ISO 8070:2007; ISO, Milk and Milk Products: Determination of Calcium, Sodium, Potassium and Magnesium Contents—Atomic absorption Spectrometric Method. ISO: Geneva, Switzerland; IDF: Brussels, Belgium, 2007.
- ISO 21424:2018; ISO, Milk, Milk Products, Infant Formula and Adult Nutritionals-Determination of Minerals and Trace Elements-Inductively Coupled Plasma Mass Spectrometry (ICP-MS) Method. International Standards Organisation: Geneva, Switzerland, 2018.
- Schoenfuss, T.C.; Metz, Z.P.; Pataky, A.E.; Schoenfuss, H.L. The equivalency of sodium results in cheese digested by either dry ashing or microwave-accelerated digestion. J. Dairy Sci. 2014, 97, 710–714. [Google Scholar] [CrossRef] [PubMed]
- Bakircioglu, D.; Kurtulus, Y.B.; Ucar, G. Determination of some traces metal levels in cheese samples packaged in plastic and tin containers by ICP-OES after dry, wet and microwave digestion. Food Chem. Toxicol. 2011, 49, 202–207. [Google Scholar] [CrossRef] [PubMed]
- Abd EL Rahim, A.M.; Mohamed, T.H.; Tammam, A.A. Assessment of toxic heavy metal residues in some types of cheese by using ICP-OES. J. Food Dairy Sci. 2012, 3, 725–733. [Google Scholar] [CrossRef]
- de Andrade, B.M.; Margalho, L.P.; Batista, D.B.; Lucena, I.O.; Kamimura, B.A.; Balthazar, C.F.; Brexó, R.P.; Pia, A.K.; Costa, R.A.; Cruz, A.G.; et al. Chemometric classification of Brazilian artisanal cheeses from different regions according to major and trace elements by ICP-OES. J. Food Compost. Anal. 2022, 109, 104519. [Google Scholar] [CrossRef]
- Agarwal, S.; McCoy, D.; Graves, W.; Gerard, P.D.; Clark, S. Sodium content in retail Cheddar, Mozzarella, and process cheeses varies considerably in the United States. J. Dairy Sci. 2011, 94, 1605–1615. [Google Scholar] [CrossRef] [PubMed]
- Grossbier, D.; Schoenfuss, T.C. Using microwave-accelerated digestion instead of dry ashing during sodium analysis of low-moisture, part-skim mozzarella. JDS Commun. 2021, 2, 13–15. [Google Scholar] [CrossRef] [PubMed]
- Acar, O.; Tunçeli, A.; Türker, A.R. Comparison of wet and microwave digestion methods for the determination of copper, iron and zinc in some food samples by FAAS. Food Anal. Methods 2016, 9, 3201–3208. [Google Scholar] [CrossRef]
- Asendorf, S. Analysis of infant formulae and milk powders using the Thermo Scientific iCAP 7400 ICP-OES Duo. In Thermo Fisher Scientiifc Application Note 44392; ThermoFisher Scientific: Bremen, Germany, 2018. [Google Scholar]
- Thompson, J.J.; Pacquette, L.; Brunelle, S.L. Determination of minerals and trace elements in infant formula and adult/pediatric nutritional formula by inductively coupled plasma/mass spectrometry A performance evaluation: Single-Laboratory Validation, First Action 2015.06. J. AOAC Int. 2015, 98, 1711–1720. [Google Scholar] [CrossRef] [PubMed]
- Chand, V.; Prasad, S. ICP-OES assessment of heavy metal contamination in tropical marine sediments: A comparative study of two digestion techniques. Microchem. J. 2013, 111, 53–61. [Google Scholar] [CrossRef]
- Šnirc, M.; Árvay, J.; Král, M.; Jančo, I.; Zajác, P.; Harangozo, Ľ.; Benešová, L. Content of mineral elements in the traditional Oštiepok cheese. Biol. Trace Elem. Res. 2020, 196, 639–645. [Google Scholar] [CrossRef] [PubMed]
- Manuelian, C.L.; Currò, S.; Penasa, M.; Cassandro, M.; De Marchi, M. Characterization of major and trace minerals, fatty acid composition, and cholesterol content of Protected Designation of Origin cheeses. J. Dairy Sci. 2017, 100, 3384–3395. [Google Scholar] [CrossRef] [PubMed]
- Twomey, P.; Kroll, M. How to use linear regression and correlation in quantitative method comparison studies. Int. J. Clin. Pract. 2008, 62, 529–538. [Google Scholar] [CrossRef] [PubMed]
- Bland, J.M.; Altman, D. Statistical methods for assessing agreement between two methods of clinical measurement. Lancet 1986, 327, 307–310. [Google Scholar] [CrossRef]
- Cruijsen, H.; Poitevin, E.; Brunelle, S.L. Determination of minerals and trace elements in milk, milk products, infant formula, and adult nutrition: Collaborative study 2011.14 method modification. J. AOAC Int. 2019, 102, 1845–1863. [Google Scholar] [CrossRef] [PubMed]
- Pacquette, L.H.; Thompson, J.J.; Malaviole, I.; Zywicki, R.; Woltjes, F.; Ding, Y.; Mittal, A.; Ikeuchi, Y.; Sadipiralla, B.; Kimura, S.; et al. Minerals and trace elements in milk, milk products, infant formula, and adult/pediatric nutritional formula, ICP-MS method: Collaborative study, AOAC final action 2015.06, ISO/DIS 21424, IDF 243. J. AOAC Int. 2018, 101, 536–561. [Google Scholar] [CrossRef] [PubMed]




| Element | Certified Value | Dry Digestion | %RSD | Recovery (%) | Wet Digestion | %RSD | Recovery (%) | Microwave Digestion | %RSD | Recovery (%) |
|---|---|---|---|---|---|---|---|---|---|---|
| Ca | 13.9 ± 0.70 | 13.88 ± 0.23 a | 0.16 | 99.85 | 13.82 ± 0.53 a | 0.38 | 99.37 | 13.87 ± 0.24 a | 0.17 | 99.79 |
| K | 17.0 ± 0.80 | 15.99 ± 0.36 a | 2.27 | 94.06 | 16.52 ± 0.98 a | 5.90 | 97.15 | 16.16 ± 0.12 a | 0.77 | 95.07 |
| Mg | 1.26 ± 0.07 | 1.22 ± 0.04 a | 2.02 | 97.11 | 1.25 ± 0.02 a | 1.96 | 99.36 | 1.24 ± 0.04 a | 0.34 | 98.21 |
| Na | 4.19 ± 0.23 | 4.18 ± 0.12 a | 2.93 | 99.66 | 4.04 ± 0.27 b | 5.89 | 96.52 | 4.19 ± 0.14 a | 0.34 | 99.88 |
| P | 11.0 ± 0.60 | 10.02 ± 0.31 a | 3.04 | 91.11 | 9.86 ± 0.29 a | 2.95 | 89.60 | 9.98 ± 0.10 a | 1.03 | 90.76 |
| Cu | 5.00 ± 0.23 | 4.50 ± 0.10 a | 2.40 | 89.60 | 4.60 ± 0.10 a | 2.00 | 92.85 | 4.70 ± 0.10 a | 1.00 | 93.00 |
| Fe | 53.0 ± 4.00 | 55.4 ± 3.70 a | 6.66 | 104.59 | 53.1 ± 1.20 a | 2.22 | 100.19 | 51.5 ± 0.50 a | 0.89 | 97.22 |
| Mn | 0.29 ± 0.03 | 0.34 ± 0.02 a | 4.79 | 118.10 | 0.35 ± 0.03 a | 7.58 | 122.41 | 0.36 ± 0.02 a | 3.40 | 124.13 |
| Zn | 44.9 ± 2.30 | 46.7 ± 1.90 ab | 4.16 | 114.98 | 51.6 ± 3.90 b | 7.57 | 104.01 | 44.7 ± 1.60 a | 3.67 | 99.48 |
| Sample | Digestion | Major Minerals in Cheese (g/kg) | Trace Minerals in Cheese (mg/kg) | |||||||
|---|---|---|---|---|---|---|---|---|---|---|
| Ca | K | Mg | Na | P | Cu | Fe | Mn | Zn | ||
| MO-32 | Wet | 8.12 ± 0.37 a | 0.95 ± 0.021 a | 0.58 ± 0.033 b | 6.23 ± 0.43 a | 5.51 ± 0.23 a | 0.80 ± 0.049 b | 1.52 ± 0.26 b | 0.38 ± 0.004 a | 30.15 ± 0.54 b |
| Microwave | 7.78 ± 0.05 a | 0.94 ± 0.012 a | 0.48 ± 0.022 a | 6.21 ± 0.09 a | 5.26 ± 0.01 a | 0.69 ± 0.013 a | 1.15 ± 0.08 a | 0.44 ± 0.021 b | 27.64 ± 0.18 a | |
| Dry | 7.88 ± 0.05 a | 0.93 ± 0.012 a | 0.49 ± 0.001 a | 6.16 ± 0.10 a | 5.28 ± 0.06 a | 0.69 ± 0.033 a | 1.71 ± 0.11 b | 0.49 ± 0.046 b | 33.41 ± 0.95 c | |
| CC-39 | Wet | 7.80 ± 0.09 b | 0.93 ± 0.022 b | 0.31 ± 0.007 a | 6.41 ± 0.34 a | 5.15 ± 0.07 a | 0.34 ± 0.028 a | 4.74 ± 0.56 a | 0.36 ± 0.047 b | 36.18 ± 1.46 a |
| Microwave | 7.47 ± 0.22 a | 0.88 ± 0.011 a | 0.31 ± 0.002 a | 6.34 ± 0.08 a | 5.26 ± 0.04 b | 0.32 ± 0.011 a | 4.34 ± 0.01 a | 0.29 ± 0.005 a | 35.64 ± 0.26 a | |
| Dry | 7.49 ±0. 09 a | 0.88 ± 0.009 a | 0.31 ± 0.003 a | 6.49 ± 0.06 a | 5.25 ± 0.02 b | 0.34 ± 0.024 a | 4.11 ± 0.40 a | 0.36 ± 0.014 b | 41.11 ± 0.88 b | |
| EM-41 | Wet | 10.48 ± 0.01 a | 0.90 ± 0.027 b | 0.39 ± 0.004 a | 1.82 ± 0.12 a | 6.40 ± 0.15 a | 0.47 ± 0.022 b | 3.04 ± 0.22 b | 0.30 ± 0.007 a | 45.31 ± 1.80 b |
| Microwave | 10.53 ± 0.04 a | 0.85 ± 0.023 a | 0.39 ± 0.001 a | 1.72 ± 0.06 a | 6.32 ± 0.03 a | 0.42 ± 0.004 ab | 2.12 ± 0.10 a | 0.28 ± 0.004 a | 40.62 ± 0.28 a | |
| Dry | 10.52 ± 0.05 a | 0.85 ± 0.028 a | 0.38 ± 0.002 a | 1.66 ± 0.06 a | 6.27 ± 0.06 a | 0.39 ± 0.037 a | 2.82 ± 0.08 b | 0.37 ± 0.014 b | 47.07 ± 1.59 b | |
| HC-48 | Wet | 6.95 ± 0.22 a | 0.83 ± 0.061 a | 0.27 ± 0.011 a | 10.65 ± 0.32 a | 4.27 ± 0.16 a | 0.28 ± 0.032 a | 2.42 ± 0.32 ab | 0.20 ± 0.015 a | 31.46 ± 1.36 b |
| Microwave | 6.70 ± 0.04 a | 0.80 ± 0.011 a | 0.27 ± 0.001 a | 10.55 ± 0.08 a | 4.16 ± 0.02 a | 0.30 ± 0.026 a | 2.10 ± 0.01 a | 0.18 ± 0.005 a | 29.41 ± 0.17 a | |
| Dry | 6.70 ± 0.05 a | 0.81 ± 0.032 a | 0.27 ± 0.002 a | 10.53 ± 0.21 a | 4.18 ± 0.04 a | 0.37 ± 0.018 b | 2.73 ± 0.41 b | 0.24 ± 0.014 b | 34.92 ± 0.70 c | |
| PB-51 | Wet | 7.28 ± 0.05 b | 0.97 ± 0.018 b | 0.27 ± 0.011 a | 9.23 ± 0.50 a | 8.42 ± 0.37 b | 0.43 ± 0.011 b | 2.17 ± 0.27 c | 0.30 ± 0.015 b | 33.74 ± 1.49 b |
| Microwave | 7.15 ± 0.04 a | 0.92 ± 0.012 a | 0.26 ± 0.002 a | 9.02 ± 0.28 a | 8.18 ± 0.04 ab | 0.41 ± 0.005 a | 1.69 ± 0.07 b | 0.27 ± 0.004 a | 28.30 ± 0.15 a | |
| Dry | 7.14 ± 0.08 a | 0.93 ± 0.020 a | 0.26 ± 0.006 a | 9.00 ± 0.20 a | 7.96 ± 0.04 a | 0.42 ± 0.008 ab | 1.34 ± 0.13 a | 0.28 ± 0.012 ab | 40.19 ± 0.40 c | |
| FC-57 | Wet | 3.64 ± 0.49 a | 0.70 ± 0.019 a | 0.21 ± 0.006 a | 5.13 ± 0.06 b | 2.76 ± 0.04 a | 0.71 ± 0.026 a | 1.35 ± 0.19 a | 0.27 ± 0.023 a | 13.42 ± 2.32 a |
| Microwave | 3.69 ± 0.03 a | 0.66 ± 0.012 a | 0.20 ± 0.002 a | 4.77 ± 0.05 a | 2.85 ± 0.02 a | 0.71 ± 0.011 a | 1.44 ± 0.05 a | 0.27 ± 0.008 a | 13.86 ± 0.17 a | |
| Dry | 3.68 ± 0.23 a | 0.67 ± 0.018 a | 0.22 ± 0.002 a | 4.64 ± 0.18 a | 2.73 ± 0.04 a | 0.72 ± 0.019 a | 1.20 ± 0.10 a | 0.30 ± 0.02 a | 15.59 ± 0.20 a | |
| MC-65 | Wet | 3.45 ± 0.69 a | 0.11 ± 0.017 a | 0.11 ± 0.009 a | 3.77 ± 0.08 b | 2.07 ± 0.28 a | 0.39 ± 0.019 b | 2.15 ± 0.29 c | 0.27 ± 0.086 a | 26.79 ± 5.34 a |
| Microwave | 3.18 ± 0.10 a | 0.09 ± 0.003 a | 0.11 ± 0.003 a | 3.24 ± 0.12 a | 2.23 ± 0.04 a | 0.35 ± 0.004 ab | 1.50 ± 0.04 b | 0.22 ± 0.005 a | 27.61 ± 0.20 a | |
| Dry | 3.54 ± 0.09 a | 0.10 ± 0.006 a | 0.10 ± 0.005 a | 3.15 ± 0.17 a | 2.35 ± 0.04 a | 0.35 ± 0.028 a | 1.14 ± 0.08 a | 0.27 ± 0.007 a | 30.62 ± 2.28 a | |
| PT-72 | Wet | 9.30 ± 0.15 a | 2.44 ± 0.110 a | 0.27 ± 0.005 a | 6.58 ± 0.10 b | 11.10 ± 0.41 a | 0.63 ± 0.106 a | 3.68 ± 0.47 b | 0.30 ± 0.016 b | 19.96 ± 0.45 b |
| Microwave | 9.23 ± 0.03 a | 2.35 ± 0.016 a | 0.27 ± 0.001 b | 6.30 ± 0.19 a | 11.00 ± 0.08 a | 0.63 ± 0.046 a | 2.94 ± 0.02 a | 0.27 ± 0.013 a | 17.47 ± 0.06 a | |
| Dry | 9.23 ± 0.10 a | 2.37 ± 0.032 a | 0.27 ± 0.003 b | 6.23 ± 0.05 a | 10.80 ± 0.17 a | 0.68 ± 0.033 a | 2.65 ± 0.08 a | 0.36 ± 0.011 c | 22.25 ± 0.74 c | |
| CO-81 | Wet | 1.04 ± 0.04 a | 1.50 ± 0.047 a | 0.11 ± 0.004 a | 1.41 ± 0.25 a | 1.46 ± 0.02 a | 0.10 ± 0.039 a | 0.62 ± 0.002 b | 0.49 ± 0.028 b | 5.25 ± 0.23 a |
| Microwave | 1.04 ± 0.01 a | 1.45 ± 0.004 a | 0.11 ± 0.001 b | 1.08 ± 0.03 a | 1.45 ± 0.03 a | 0.07 ± 0.007 a | 0.55 ± 0.001 a | 0.51 ± 0.043 b | 5.06 ± 0.14 a | |
| Dry | 1.15 ± 0.06 b | 1.44 ± 0.034 a | 0.13 ± 0.002 a | 2.19 ± 0.20 b | 1.43 ± 0.03 a | 0.20 ± 0.034 b | 0.53 ± 0.003 a | 0.36 ± 0.053 a | 6.01 ± 0.64 b | |
| Minerals | Method | R2 | Bias | SD # | Lower LOA * | Upper LOA * |
|---|---|---|---|---|---|---|
| Ca | Microwave-Wet | 0.997 | −0.141 | 0.385 | −0.896 | 0.613 |
| Microwave-Dry | 0.999 | −0.055 | 0.176 | −0.400 | 0.290 | |
| K | Microwave-Wet | 0.999 | −0.042 | 0.055 | −0.151 | 0.066 |
| Microwave-Dry | 0.999 | −0.003 | 0.028 | −0.057 | 0.051 | |
| Mg | Microwave-Wet | 0.971 | −0.014 | 0.032 | −0.078 | 0.049 |
| Microwave-Dry | 0.994 | −0.001 | 0.012 | −0.029 | 0.018 | |
| Na | Microwave-Wet | 0.997 | −0.153 | 0.331 | −0.802 | 0.496 |
| Microwave-Dry | 0.987 | −0.160 | 0.429 | −1.002 | 0.681 | |
| P | Microwave-Wet | 0.998 | −0.047 | 0.278 | −0.592 | 0.497 |
| Microwave-Dry | 0.999 | 0.053 | 0.141 | −0.223 | 0.329 | |
| Cu | Microwave-Wet | 0.971 | −0.030 | 0.07 | −0.159 | 0.105 |
| Microwave-Dry | 0.957 | −0.03 | 0.06 | −0.138 | 0.081 | |
| Fe | Microwave-Wet | 0.945 | −0.428 | 0.445 | −1.301 | 0.446 |
| Microwave-Dry | 0.844 | −0.045 | 0.483 | −0.991 | 0.902 | |
| Mn | Microwave-Wet | 0.889 | −0.015 | 0.057 | −0.127 | 0.097 |
| Microwave-Dry | 0.850 | −0.033 | 0.074 | −0.179 | 0.113 | |
| Zn | Microwave-Wet | 0.975 | −1.85 | 3.07 | −7.85 | 4.16 |
| Microwave-Dry | 0.962 | −5.05 | 3.27 | −11.47 | 1.35 |
Disclaimer/Publisher’s Note: The statements, opinions and data contained in all publications are solely those of the individual author(s) and contributor(s) and not of MDPI and/or the editor(s). MDPI and/or the editor(s) disclaim responsibility for any injury to people or property resulting from any ideas, methods, instructions or products referred to in the content. |
© 2023 by the authors. Licensee MDPI, Basel, Switzerland. This article is an open access article distributed under the terms and conditions of the Creative Commons Attribution (CC BY) license (https://creativecommons.org/licenses/by/4.0/).
Share and Cite
Deshwal, G.K.; Gómez-Mascaraque, L.G.; Fenelon, M.; Huppertz, T. Determination of Minerals in Soft and Hard Cheese Varieties by ICP-OES: A Comparison of Digestion Methods. Molecules 2023, 28, 3988. https://doi.org/10.3390/molecules28103988
Deshwal GK, Gómez-Mascaraque LG, Fenelon M, Huppertz T. Determination of Minerals in Soft and Hard Cheese Varieties by ICP-OES: A Comparison of Digestion Methods. Molecules. 2023; 28(10):3988. https://doi.org/10.3390/molecules28103988
Chicago/Turabian StyleDeshwal, Gaurav K., Laura G. Gómez-Mascaraque, Mark Fenelon, and Thom Huppertz. 2023. "Determination of Minerals in Soft and Hard Cheese Varieties by ICP-OES: A Comparison of Digestion Methods" Molecules 28, no. 10: 3988. https://doi.org/10.3390/molecules28103988
APA StyleDeshwal, G. K., Gómez-Mascaraque, L. G., Fenelon, M., & Huppertz, T. (2023). Determination of Minerals in Soft and Hard Cheese Varieties by ICP-OES: A Comparison of Digestion Methods. Molecules, 28(10), 3988. https://doi.org/10.3390/molecules28103988

