Assessment of the Porous Structure and Surface Chemistry of Activated Biocarbons Used for Methylene Blue Adsorption
Abstract
1. Introduction
2. Results and Discussion
2.1. Proximate Analysis
2.2. Textural Characteristics
2.3. XRD
2.4. Raman Spectroscopy
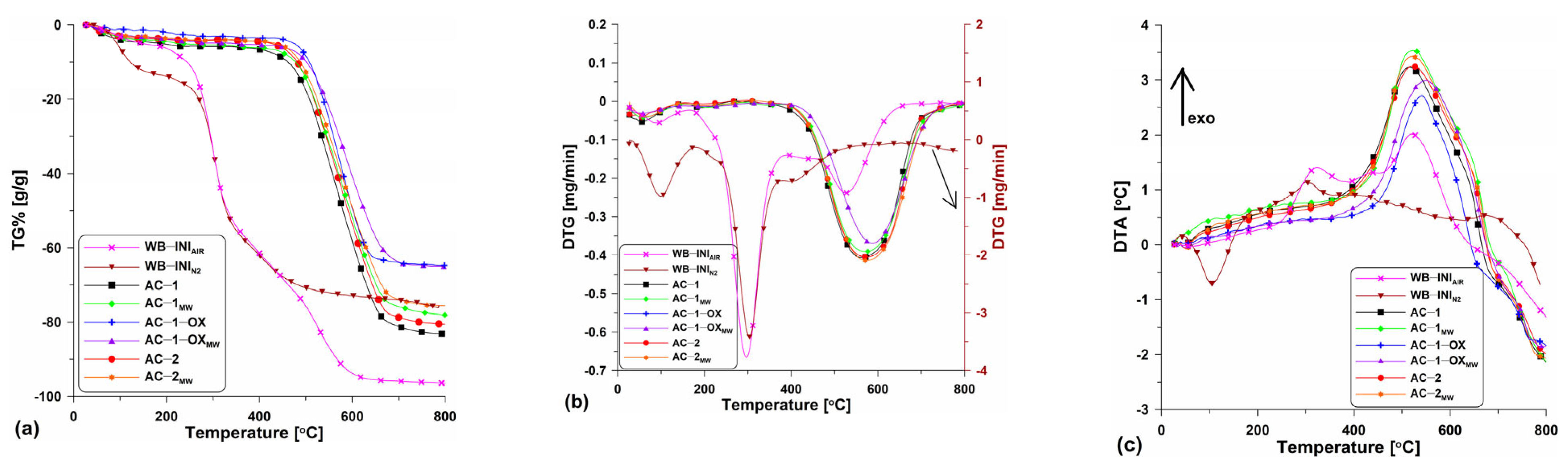
2.5. Thermal Analysis
2.6. SEM/EDX
2.7. Surface Chemical Nature
2.8. FT-IR/ATR
2.9. Adsorption Kinetics
2.10. Adsorption Isotherm
3. Materials and Methods
3.1. Material Preparation
- -
- temperature increasing up to 400 °C (10 °C/min);
- -
- isothermal stage at 400 °C for 1 h (AC-1) or 2 h (AC-2);
- -
- sample annealing at 800 °C for 3 h.
3.2. Characterization of Biochars
3.3. Adsorption Kinetics
3.4. Determination of Adsorption Isotherm
4. Conclusions
Supplementary Materials
Author Contributions
Funding
Institutional Review Board Statement
Informed Consent Statement
Data Availability Statement
Acknowledgments
Conflicts of Interest
References
- Gonzalez, J.F.; Roman, S.; Gonzalez-Garcia, C.M.; Nabias, J.M.V.; Ortiz, A.L. Porosity development in activated carbons prepared from walnut shells by carbon dioxide or steam activation. Ind. Eng. Chem. Res. 2009, 48, 7474–7481. [Google Scholar] [CrossRef]
- Demiral, İ.; Samdan, C.; Demiral, H. Enrichment of the surface functional groups of activated carbon by modification method. Surf. Interfaces 2021, 22, 100873. [Google Scholar] [CrossRef]
- Saleem, J.; Shahid, U.B.; Hijab, M.; Mackey, H.; McKay, G. Production and applications of activated carbons as adsorbents from olive stones. Biomass Convers. Biorefinery 2019, 9, 775–802. [Google Scholar] [CrossRef]
- İzgi, M.S.; Saka, C.; Bayton, O.; Saracoglu, G.; Şahin, Ö. Preparation and characterization of activated carbon from microwave and conventional heated almond shells using phosphoric acid activation. Anal. Lett. 2018, 52, 772–789. [Google Scholar] [CrossRef]
- Nowicki, P.; Skibiszewska, P.; Pietrzak, R. Hydrogen sulphide removal on carbonaceous adsorpents prepared from soffee industry waste materials. Chem. Eng. J. 2014, 248, 208–215. [Google Scholar] [CrossRef]
- Yang, H.; Tang, Y.; Huang, X.; Wang, L.; Zhang, Q. Activated porous carbon derived from walnut shells with promising material properties for supercapacitors. J. Mater. Sci. Mater. Electron. 2017, 28, 18637–18645. [Google Scholar] [CrossRef]
- Zhang, Y.; Song, X.; XU, Y.; Shen, H.; Kong, X.; Xu, H. Utilization of wheat bran for producing activated carbon with high specific surface area via NaOH activation using industrial furnace. J. Clean. Prod. 2019, 210, 366–375. [Google Scholar] [CrossRef]
- Roman, S.; Gonzalez, J.F.; Gonzalez-Garcia, C.M.; Zamora, F. Control of pore development during CO2 and steam activation of olive stones. Fuel Process. Technol. 2008, 89, 715–720. [Google Scholar] [CrossRef]
- Heidarinejad, Z.; Dehghani, M.H.; Heidari, M.; Javedan, G.; Ali, I.; Sillanpaa, M. Methods for preparation and activation of activated carbon: A review. Environ. Chem. Lett. 2020, 18, 393–415. [Google Scholar] [CrossRef]
- Pallares, J.; Gonzalez-Cencerrado, A.; Arauzo, I. Production and characterization of activated carbon from barley straw by physical activation with carbon dioxide and steam. Biomass Bioenergy 2018, 115, 64–73. [Google Scholar] [CrossRef]
- Zhang, Y.J.; Xing, Z.J.; Duan, Z.K.; Li, M.; Wang, Y. Effects of steam activation on the pore structure and surface chemistry of activated carbon derived from bamboo waste. Appl. Surf. Sci. 2014, 315, 279–286. [Google Scholar] [CrossRef]
- Wigmans, T. Industrial aspects of production and use of activated carbons. Carbon 1989, 27, 13–22. [Google Scholar] [CrossRef]
- Jankowska, H.; Świątkowski, A.; Choma, J. Active Carbon; Ellis Horwood: Chichester, UK; Prentice Hall: Englewood Cliffs, NJ, USA, 1991. [Google Scholar]
- Molina-Sabio, M.; Gonzalez, M.T.; Rodriguez-Reinoso, F.; Sepulveda-Escribano, A. Effect of steam and carbon dioxide activation in the micropore size distribution of activated carbon. Carbon 1996, 34, 505–509. [Google Scholar] [CrossRef]
- Yahya, M.A.; Mansor, M.H.; Zolkarnaini, W.A.A.W.; Rusli, N.S.; Aminuddin, A.; Mohamad, K.; Sabhan, F.A.M.; Abdallah, A. A brief review on activated carbon derived from agriculture by-product. AIP Conf. Proc. 2018, 1972, 030023. [Google Scholar]
- Ao, W.; Fu, J.; Mao, X.; Kang, Q.; Ran, C.; Liu, Y.; Dai, J. Microwave assisted preparation of activated carbon from biomass. Renew. Sustain. Energy Rev. 2018, 9, 958–979. [Google Scholar] [CrossRef]
- Alslaibi, T.M.; Abustan, I.; Ahmad, M.A.; Foul, A.A. A review: Production of activated carbon from agricultural byproducts via conventional and microwave heating. J. Chem. Technol. Biotechnol. 2013, 88, 1183–1190. [Google Scholar] [CrossRef]
- Lazdovica, K.; Liepina, L.; Kampars, V. Catalytic pyrolysis of wheat bran for hydrocarbons production in the presence of zeolites and noble-metals by using TGA-FTIR method. Bioresour. Technol. 2016, 207, 126–133. [Google Scholar] [CrossRef]
- Blankenship, L.S.; Balahmar, N.; Mokaya, R. Oxygen-rich microporous carbons with exceptional hydrogen storage capacity. Nat. Commun. 2017, 8, 1545. [Google Scholar] [CrossRef]
- Alcaraz, L.; Escudero, M.E.; Alguacil, F.J.; Llorente, I.; Urbieta, A.; Fernandez, P.; Lopez, F.A. Dysprosium removal from water using active carbons obtained from spent coffee ground. Nanomaterials 2019, 9, 1372. [Google Scholar] [CrossRef]
- Shimodaira, N.; Masui, A. Raman spectroscopic investigations of activated carbon materials. J. Appl. Phys. 2002, 92, 902. [Google Scholar] [CrossRef]
- Ferrari, A.C.; Robertson, J. Interpretation of Raman spectra of disordered and amorphous carbon. Phys. Rev. B 2000, 6, 14095–14107. [Google Scholar] [CrossRef]
- Schonherr, J.; Buchheim, J.R.; Scholz, P.; Adelhelm, P. Boehm titration revisited (part I): Practical aspects for achieving a high precision in quantifying oxygen-containing surface groups on carbon materials. J. Carbon Res. 2018, 4, 21. [Google Scholar] [CrossRef]
- Kalijadis, A.M.; Vukcevic, M.M.; Jovanovic, Z.M.; Lausevic, Z.V.; Lausevic, M.D. Characterization of surface oxygen groups on different carbon materials by the Boehm method and temperature-programmed desorption. J. Serb. Chem. Soc. 2011, 76, 757–768. [Google Scholar] [CrossRef]
- Zielińska, A.; Oleszczuk, P.; Charmas, B.; Skubiszewska-Zięba, J.; Pasieczna-Patkowska, S. Effect of sewage sludge properties on the biochar characteristic. J. Anal. Appl. Pyrolysis 2015, 112, 201–213. [Google Scholar] [CrossRef]
- Bellamy, L.J. The infrared spectra of complex molecules. In Advances in Infrared Group Frequencies; Chapman and Hall: London, UK, 1980. [Google Scholar]
- Socrates, G. Infrared and Raman Characteristic Group Frequencies: Tables and Charts; John Wiley&Sons, Ltd.: Chichester, UK, 2001. [Google Scholar]
- Shin, S.; Jang, J.; Yoon, S.H.; Mochida, I. A study in the effect of heat treatment on functional groups of pitch based activated carbon fiber using FTIR. Carbon 1997, 35, 1739–1743. [Google Scholar] [CrossRef]
- Barosso-Bogeat, A.; Alexandre-Fracco, M.; Fernandez-Gonzalez, C.; Gomez-Serrano, V. FT-IR analysis of pyrone and chromene structures in activated carbon. Energy Fuels 2014, 28, 4096–4103. [Google Scholar] [CrossRef]
- Gomez-Serrano, V.; Piriz-Almeida, F.; Duran-Valle, C.J.; Pastor-Villegas, J. Formation of oxygen structures by air activation. A study by FT-IR spectroscopy. Carbon 1999, 37, 1517–1528. [Google Scholar] [CrossRef]
- Spreadbury, C.; Rodriguez, R.; Mazyck, D. Comparison between FTIR and Boehm titration for activated carbon functional group quantification. J. Undergrad. Res. 2017, 18, 1–7. [Google Scholar]
- Aichour, A.; Zaghouane-Boudiaf, H.; Zuki, F.B.M.; Aroua, M.K.; Ibbora, C.V. Low-cost, biodegradable and highly effective adsorbents for batch and column fixed bed adsorption processes of methylene blue. J. Environ. Chem. Eng. 2019, 7, 103409. [Google Scholar] [CrossRef]
- Wiśniewska, M.; Chibowski, S.; Wawrzkiewicz, M.; Onyszko, M.; Bogatyrov, V.C.I. Basic Red 46 removal from sewage by carbon and silica based composite: Equilibrium, kinetic and electrokinetic studies. Molecules 2022, 27, 1043. [Google Scholar] [CrossRef]
- Jedynak, K.; Repelewicz, M.; Kurdziel, K.; Wideł, D. Mesoporous carbons as adsorbents to removal of methyl orange (anionic dye) and methylene blue (cationic dye) from aqueous solutions. Desalin. Water Treat. 2021, 220, 363–379. [Google Scholar] [CrossRef]
- Sahoo, T.R.; Prelot, B. Adsorption processes for the removal of contaminants from wastewater: The perspective role of nanomaterials and nanotechnology. In Nanomaterials for the Detection and Removal of Wastewater Pollutants; Bonelli, B., Freyria, F.S., Rossetti, I., Sethi, R., Eds.; Elsevier: Amsterdam, The Netherlands, 2020; pp. 161–222. [Google Scholar]
- Wu, F.C.; Tseng, R.L.; Juans, R.S. Characteristics of Elovich equation used for the analysis of adsorption kinetics in dye-chitosan systems. Chem. Eng. J. 2009, 150, 366–373. [Google Scholar] [CrossRef]
- Arias, F.; Guevara, M.; Tene, T.; Angamarca, P.; Molina, R.; Valarezo, A.; Salguero, O.; Gomez-Vacacela, C.; Arias, M.; Caputi, L.S. The adsorption of methylene blue on eco-friendly reduced graphene oxide. Nanomaterials 2020, 10, 681. [Google Scholar] [CrossRef]
- Eyni, H.; Tahhemansoiri, H.; Kiani, F.; Jahangiri, M. Kinetics, equilibrium and isotherms of Pb2+ adsorption from aqueous solutions on carbon nanotubes functionalized with 3-amino-5a,10a-dihydroxybenzo[b] indeno [2,l-d]furan-10-one. New Carbon Mater. 2019, 34, 512–523. [Google Scholar] [CrossRef]
- Jedynak, K.; Repelewicz, M.; Kurdziel, K.; Wideł, D. Removal of orange II from aqueous solutions using micro-mesoporous carbon materials: Kinetic and equilibrium studies. Desalin. Water Treat. 2020, 190, 294–311. [Google Scholar] [CrossRef]
- Dotto, G.L.; Santos, J.M.N.; Rodrigues, I.L.; Rosa, R.; Pavan, F.A.; Lima, E.C. Adsorption of Methylene Blue by ultrasonic surface modified chitin. J. Colloid Interface Sci. 2015, 446, 133–140. [Google Scholar] [CrossRef]
- Liu, Q.-S.; Zheng, T.; Li, N.; Wang, P.; Abulikemu, G. Modification of bamboo-based activated carbon using microwave radiation and its effects on the adsorption of methylene blue. Appl. Surf. Sci. 2010, 256, 3309–3315. [Google Scholar] [CrossRef]
- Gregg, S.J.; Sing, K.S.W. Adsorption, Surface Area and Porosity, 2nd ed.; Academic Press: London, UK, 1982. [Google Scholar]
- Barret, E.; Joyner, L.; Halenda, P. The Determination of the Pore Volume and Area Distributions in Porous Substances. I. Computations from Nitrogen Isotherms. J. Am. Chem. Soc. 1951, 73, 373–380. [Google Scholar] [CrossRef]
- Zięzio, M.; Charmas, B.; Jedynak, K.; Hawryluk, M.; Kucio, K. Preparation and characterization of activated carbons obtained from the waste materials impregnated with phosphoric acid(V). Appl. Nanosci. 2020, 10, 4703–4716. [Google Scholar] [CrossRef]
- Boehm, H.P.; Diehl, E.; Heck, W.; Sappok, R. Surface Oxides of Carbon. Angew. Chem. 1964, 3, 669–677. [Google Scholar] [CrossRef]
- Jedynak, K.; Charmas, B. Preparation and characterization of physicochemical properties of spruce cone biochars activated by CO2. Materials 2021, 14, 3859. [Google Scholar] [CrossRef] [PubMed]
- Shafiq, M.; Alazba, A.A.; Amin, M.T. Kinetic and isotherm studies of Ni2+ and Pb2+ adsorption from synthetic wastewater using Eucalyptus camdulensis—Derived Biochar. Sustainability 2021, 13, 3785. [Google Scholar] [CrossRef]
- Kurdziel, K.; Raczyńska-Żak, M.; Dąbek, L. Equilibrium and kinetic studies on the process of removing chromium(VI) from solutions using HDTMA-modified halloysite. Desalin. Water Treat. 2019, 137, 88. [Google Scholar] [CrossRef]
- Palanivell, P.; Ahmed, O.H.; Latifah, O.; Majid, N.M.A. Adsorption and desorption of nitrogen, phosphorus, potassium, and soil buffering capacity following application of chicken litter biochar to an acid soil. Appl. Sci. 2020, 10, 295. [Google Scholar] [CrossRef]
- Rigueto, C.V.T.; Piccin, J.S.; Dettmer, A.; Rosseto, M.; Dotto, G.L.; De Oliveira Schmitz, A.P.; Perondi, D.; Martins De Freitas, T.S.; Loss, R.A.; Geraldi, C.A.Q. Water hyacinth (Eichhornia crassipes) roots, an amazon natural waste, as an alternative biosorbent to uptake a reactive textile dye from aqueous solutions. Ecol. Eng. 2020, 150, 105817. [Google Scholar] [CrossRef]
- Jedynak, K.; Wideł, D.; Rędzia, N. Removal of Rhodamine B (A Basic Dye) and Acid Yellow 17 (An Acidic Dye) from Aqueous Solutions by Ordered Mesoporous Carbon and Commercial Activated Carbon. Colloids Interfaces 2019, 3, 30. [Google Scholar] [CrossRef]










| Sample | Volatile Matter [%] | Ash [%] | Fixed Carbon [%] |
|---|---|---|---|
| Wheat bran | 72.4 | 8.7 | 18.3 |
| AC-1 | 39.1 | 16.9 | 38.9 |
| AC-1MW | 28.5 | 22.4 | 44.8 |
| AC-1-OX | 31.4 | 35.2 | 31.8 |
| AC-1-OXMW | 19.8 | 36.3 | 40.3 |
| AC-2 | 24.6 | 19.9 | 51.7 |
| AC-2MW | 19.9 | 26.0 | 50.8 |
| Sample Designation | SBET | Smicro | Vp | Vmicro | Vtotal | Vmacro | Rav | %B |
|---|---|---|---|---|---|---|---|---|
| AC-1 | 339.6 | 307.7 | 0.160 | 0.134 | 1.252 | 1.092 | 0.94 | 75.4 |
| AC-1MW | 358.4 | 298.6 | 0.179 | 0.130 | 1.031 | 0.852 | 0.99 | - |
| AC-1-OX | 594.0 | 405.7 | 0.356 | 0.174 | 3.013 | 2.657 | 1.20 | 84.4 |
| AC-1-OXMW | 600.4 | 367.4 | 0.380 | 0.156 | 2.340 | 1.960 | 1.28 | - |
| AC-2 | 346.7 | 320.5 | 0.157 | 0.140 | 1.686 | 1.529 | 0.91 | 74.6 |
| AC-2MW | 393.9 | 320.0 | 0.197 | 0.139 | 1.286 | 1.089 | 1.00 | - |
| Element/Line [%w/w] | Sample Designation | |||
|---|---|---|---|---|
| AC-1 | AC-1-OX | AC-1-OXMW | AC-2 | |
| C/K | 90.48 | 73.03 | 83.89 | 86.57 |
| N/K | 2.24 | 1.22 | 1.92 | 2.69 |
| O/K | 3.81 | 11.28 | 6.13 | 7.08 |
| Mg/K | 0.06 | 1.53 | 0.72 | 0.27 |
| Si/K | - | - | - | 0.18 |
| P/K | 0.94 | 5.13 | 2.41 | 1.18 |
| S/K | 0.06 | - | 0.05 | 0.08 |
| K/K | 1.04 | 7.05 | 3.98 | 1.70 |
| Ca/K | 1.17 | 0.52 | 0.60 | - |
| Mn/K | 0.19 | 0.16 | 0.16 | 0.21 |
| Fe/K | - | 0.09 | 0.14 | - |
| Sample Designation | Content of Oxygen Surface Groups by Boehm’s Titration [mEq/g] | pHpzc | |||
|---|---|---|---|---|---|
| Phenolic | Lactonic | Acidic Groups Total Number | Basic Groups Total Number | ||
| AC-1 | 1.642 | 0.307 | 1.949 | 1.370 | 7.7 |
| AC-1MW | 1.936 | - | 1.936 | 0.511 | 7.5 |
| AC-1-OX | 1.883 | - | 1.883 | 0.696 | 8.4 |
| AC-1-OX MW | 1.820 | - | 1.820 | 0.233 | 7.6 |
| AC-2 | 1.638 | 0.351 | 1.989 | 1.202 | 8.4 |
| AC-2MW | 1.872 | - | 1.872 | 0.808 | 7.6 |
| T [K] | PFO | PSO | Elovich Kinetic Model | ||||||
|---|---|---|---|---|---|---|---|---|---|
| Sample Designation | qe,exp | k1 | R2 | k2 | R2 | α | β | R2 | |
| AC-1 | 298 | 141.7 | 4.21 × 10−4 | 0.85 | 2.25 × 10−3 | 0.99 | 6.66 | 4.5 × 10−2 | 0.95 |
| 303 | 144.92 | 2.74 × 10−4 | 0.82 | 2.11 × 10−3 | 0.99 | 5.17 | 4.1 × 10−2 | 0.96 | |
| 308 | 148.96 | 3.13 × 10−4 | 0.77 | 1.80 × 10−3 | 0.99 | 15.83 | 5.2 × 10−2 | 0.88 | |
| AC-1MW | 298 | 149.60 | 6.09 × 10−4 | 0.86 | 1.80 × 10−3 | 0.99 | 5.20 | 4.1 × 10−2 | 0.95 |
| 303 | 154.04 | 3.04 × 10−4 | 0.67 | 1.89 × 10−3 | 0.99 | 5.72 | 4 × 10−2 | 0.95 | |
| 308 | 157.36 | 3.62 × 10−4 | 0.90 | 2.12 × 10−3 | 0.99 | 32.36 | 5.6 × 10−2 | 0.89 | |
| AC-1-OX | 298 | 147.90 | 3.73 × 10−4 | 0.86 | 2.25 × 10−3 | 0.99 | 8.79 | 4.8 × 10−2 | 0.97 |
| 303 | 176.80 | 6.67 × 10−4 | 0.83 | 1.14 × 10−3 | 0.99 | 7.36 | 3.9 × 10−2 | 0.96 | |
| 308 | 179.08 | 3.23 × 10−4 | 0.78 | 2.08 × 10−3 | 0.99 | 8.61 | 3.7 × 10−2 | 0.95 | |
| AC-1-OXMW | 298 | 148.15 | 4.80 × 10−4 | 0.68 | 1.14 × 10−3 | 0.97 | 7.34 | 4.4 × 10−2 | 0.95 |
| 303 | 183.63 | 5.88 × 10−4 | 0.95 | 9.62 × 10−4 | 0.99 | 6.09 | 3.7 × 10−2 | 0.96 | |
| 308 | 188.87 | 3.92 × 10−4 | 0.87 | 1.92 × 10−3 | 0.99 | 8.43 | 3.6 × 10−2 | 0.96 | |
| AC-2 | 298 | 142.20 | 3.14 × 10−4 | 0.76 | 1.29 × 10−3 | 0.99 | 2.61 | 3.7 × 10−2 | 0.96 |
| 303 | 147.73 | 3.73 × 10−4 | 0.74 | 1.64 × 10−3 | 0.99 | 5.17 | 4.1 × 10−2 | 0.97 | |
| 308 | 153.93 | 4.11 × 10−4 | 0.89 | 7.06 × 10−4 | 0.97 | 2.13 | 3.7 × 10−2 | 0.95 | |
| AC-2MW | 298 | 145.40 | 4.80 × 10−4 | 0.91 | 1.13 × 10−3 | 0.99 | 3.06 | 3.9 × 10−2 | 0.98 |
| 303 | 154.42 | 4.71 × 10−4 | 0.97 | 2.12 × 10−3 | 0.99 | 2.76 | 3.6 × 10−2 | 0.98 | |
| 308 | 156.93 | 5.00 × 10−4 | 0.93 | 9.23 × 10−4 | 0.99 | 2.70 | 3.7 × 10−2 | 0.97 | |
| Sample Designation | T [K] | I Stage | ||
|---|---|---|---|---|
| kd1 | C1 | R2 | ||
| AC-1 | 298 | 39.91 | 0.747 | 0.93 |
| 303 | 39.02 | 0.361 | 0.93 | |
| 308 | 45.67 | 4.391 | 0.90 | |
| AC-1MW | 298 | 44.22 | 7.553 | 0.93 |
| 303 | 36.82 | 8.225 | 0.85 | |
| 308 | 42.63 | 20.17 | 0.95 | |
| AC-1-OX | 298 | 32.83 | 16.35 | 0.89 |
| 303 | 24.32 | 38.71 | 0.81 | |
| 308 | 52.16 | 2.508 | 0.94 | |
| AC-1-OXMW | 298 | 39.15 | 4.836 | 0.92 |
| 303 | 25.27 | 35.15 | 0.79 | |
| 308 | 48.19 | 10.64 | 0.94 | |
| AC-2 | 298 | 41.16 | 17.99 | 0.98 |
| 303 | 40.13 | 4.874 | 0.98 | |
| 308 | 23.55 | 6.119 | 0.95 | |
| AC-2MW | 298 | 33.80 | 3.943 | 0.98 |
| 303 | 32.63 | 1.457 | 0.97 | |
| 308 | 34.27 | 3.681 | 0.98 | |
| T [K] | Langmuir | Freundlich | ||||||
|---|---|---|---|---|---|---|---|---|
| Sample Designation | qe,exp | qm,calc | KL | R2 | n | KF | R2 | |
| AC-1 | 298 | 152.71 | 199.70 | 0.0036 | 0.99 | 2.20 | 6.99 | 0.95 |
| 303 | 154.18 | 197.29 | 0.0046 | 0.97 | 2.41 | 9.58 | 0.93 | |
| 308 | 159.13 | 197.56 | 0.0052 | 0.98 | 2.51 | 11.06 | 0.87 | |
| AC-1MW | 298 | 159.49 | 193.74 | 0.0042 | 0.99 | 2.27 | 7.79 | 0.94 |
| 303 | 168.71 | 192.78 | 0.0072 | 0.99 | 2.73 | 14.26 | 0.97 | |
| 308 | 174.96 | 188.78 | 0.0136 | 0.99 | 3.29 | 23.32 | 0.96 | |
| AC-1-OX | 298 | 192.79 | 194.99 | 0.0111 | 0.98 | 3.37 | 26.60 | 0.96 |
| 303 | 195.35 | 198.13 | 0.0164 | 0.99 | 3.78 | 36.50 | 0.96 | |
| 308 | 211.91 | 227.14 | 0.0212 | 0.99 | 4.08 | 45.29 | 0.95 | |
| AC-1-OXMW | 298 | 212.59 | 225.31 | 0.0033 | 0.97 | 2.04 | 8.09 | 0.95 |
| 303 | 220.79 | 231.54 | 0.0026 | 0.98 | 1.92 | 7.33 | 0.97 | |
| 308 | 241.95 | 255.01 | 0.0028 | 0.98 | 1.96 | 8.64 | 0.98 | |
| AC-2 | 298 | 153.31 | 194.18 | 0.0045 | 0.98 | 2.42 | 9.42 | 0.95 |
| 303 | 158.25 | 196.02 | 0.0051 | 0.97 | 2.55 | 11.37 | 0.94 | |
| 308 | 161.21 | 194.09 | 0.0061 | 0.98 | 2.75 | 14.12 | 0.95 | |
| AC-2MW | 298 | 164.45 | 200.01 | 0.0053 | 0.98 | 2.57 | 11.95 | 0.95 |
| 303 | 169.21 | 195.82 | 0.0082 | 0.97 | 3.05 | 19.02 | 0.94 | |
| 308 | 175.70 | 194.18 | 0.0139 | 0.97 | 3.64 | 28.84 | 0.94 | |
Disclaimer/Publisher’s Note: The statements, opinions and data contained in all publications are solely those of the individual author(s) and contributor(s) and not of MDPI and/or the editor(s). MDPI and/or the editor(s) disclaim responsibility for any injury to people or property resulting from any ideas, methods, instructions or products referred to in the content. |
© 2023 by the authors. Licensee MDPI, Basel, Switzerland. This article is an open access article distributed under the terms and conditions of the Creative Commons Attribution (CC BY) license (https://creativecommons.org/licenses/by/4.0/).
Share and Cite
Charmas, B.; Zięzio, M.; Jedynak, K. Assessment of the Porous Structure and Surface Chemistry of Activated Biocarbons Used for Methylene Blue Adsorption. Molecules 2023, 28, 4922. https://doi.org/10.3390/molecules28134922
Charmas B, Zięzio M, Jedynak K. Assessment of the Porous Structure and Surface Chemistry of Activated Biocarbons Used for Methylene Blue Adsorption. Molecules. 2023; 28(13):4922. https://doi.org/10.3390/molecules28134922
Chicago/Turabian StyleCharmas, Barbara, Magdalena Zięzio, and Katarzyna Jedynak. 2023. "Assessment of the Porous Structure and Surface Chemistry of Activated Biocarbons Used for Methylene Blue Adsorption" Molecules 28, no. 13: 4922. https://doi.org/10.3390/molecules28134922
APA StyleCharmas, B., Zięzio, M., & Jedynak, K. (2023). Assessment of the Porous Structure and Surface Chemistry of Activated Biocarbons Used for Methylene Blue Adsorption. Molecules, 28(13), 4922. https://doi.org/10.3390/molecules28134922

