Next Article in Journal
A Study of the Relationship between Phthalate Exposure and the Occurrence of Adult Asthma in Taiwan
Previous Article in Journal
Arylcyanomethylenequinone Oximes: An Overview of Synthesis, Chemical Transformations, and Biological Activity
 
 
Font Type:
Arial Georgia Verdana
Font Size:
Aa Aa Aa
Line Spacing:
Column Width:
Background:
Article

Design and Synthesis of New Sulfonic Acid Functionalized Ionic Liquids as Catalysts for Esterification of Fatty Acids with Bioethanol

Faculty of Science, Jan Evangelista Purkyně University in Ústí nad Labem, Pasteurova 15, 400 96 Ústí nad Labem, Czech Republic
*
Author to whom correspondence should be addressed.
Molecules 2023, 28(13), 5231; https://doi.org/10.3390/molecules28135231
Submission received: 18 May 2023 / Revised: 4 July 2023 / Accepted: 4 July 2023 / Published: 5 July 2023

Abstract

In this study, three types of sulfonic acid group functionalized ionic liquids (SAILs) with a different number of catalytic groups and lipophilicity were synthesized and characterized by FT-IR, NMR, and MS analyses. Their catalytic activities were studied in a model esterification of oleic acid with ethanol; heating in a microwave reactor was also used. The experimental results indicated that SAIL, with the lipophilic alkyl chain, performed the best due to its increased solubility in the reaction mixture. Microwave heating was found to be more effective than conventional heating. Recycling experiments show that these novel SAILs can be reused without significant loss of the catalytic activity.

Graphical Abstract

1. Introduction

The availability of crude oil is expected to decrease in future despite new oil fields being discovered. As a reaction to this serious issue, renewable biofuels, including biodiesel [1], are being developed. Biodiesel is usually a mixture of fatty acid esters with the most common being methyl (FAME) and ethyl (FAEE) esters. Fatty acids can come from various sources but the current trend is a feedstock from waste cooking, frying or nonedible oil, and also animal fat (mutton, chicken, ostrich etc.). Such feedstock, however, contains free fatty acids (FFA) which must be subjected to esterification before base-catalyzed transesterification to FAME or FAEE is carried out because of unwanted simultaneous saponification of FFA. Therefore, the esterification of FFA must be studied to find new approaches including efficient new catalysts.
Traditionally, the industry relies on heterogeneous catalysts [1,2,3,4,5,6] but there are other possibilities. Ionic liquids (IL) were extensively studied over several decades [7,8] and have attracted the attention of biodiesel producers [9] as catalysts among other applications (solvents, extraction media). Comparably simple imidazolium hydrogen sulfates were studied [10,11] but recently, more sophisticated catalysts were published such as IL supported on metal oxides, polymers, carbon, metal-organic frameworks, magnetic composites [12,13,14], or polyamidoamine dendrimers [15]. Kinetic and thermodynamic studies [16] and the application of diethyl carbonate as a transesterification reagent [17] were published in processes with ionic liquids as the catalysts. Recently, ultrasound intensification of IL-catalyzed algal biodiesel production was published [18] with multiobjective optimization.
The IL used are most frequently ammonium or imidazolium salts in which the acidic site is represented by a sulfonic acid group. Xian and coworkers synthesized various 3-sulfopropylammonium (including imidazolium) methanesulfonates and tosylates and showed them to catalyze the conversion of several FFA into their esters with several alcohols [19]. Similar catalysts were used by Xia et al. [20] in a study of the acidity–activity relationship with the conclusion that the presence of the SO3H- group in the catalysts is essential. Miao, Lv et al. used 3-sulfopropylimidazolium hygrogensulfates for the transesterification of rapeseed oil [21]. Further research focused on increasing the number of SO3H- groups [22,23,24]. For example, Ma et al. [25] prepared disulfonic-functionalized acid ionic liquids as efficient catalysts for biodiesel synthesis and carefully examined the role of hydrogen bonds. Recently Qiu et al. [26] synthesized so called self-solidification ionic liquids starting from low-cost amines of the oligo(ethylenediamine) type. Multi SO3H- functionalization allowed solidification of IL after the reaction because of two types of SO3H- groups: the bonding ones forming zwitterions with amine groups and the free ones responsible for catalytic activity. Lin, Qiu et al. [27] later carried out esterification of oleic acid with methanol with IL of this type and a reached high conversion of 97.6%. The IL catalysts were characterized by a number of analytical techniques and, for optimization, the Box–Behnken surface methodology was used. In a continuation of this interesting approach, Lin, Qiu et al. [28] synthesized self-solidifying quarternary phosphonium-containing ionic liquids which showed good reusability in methanol esterification of oleic and several other fatty acids.
Many ionic liquids are rather polar compounds due to their ionic character. However, making, the usually cationic part, more lipophilic could be beneficial for esterification reaction. With this idea in mind, Qin et al. [29] synthesized long-chain Brønsted acid ionic liquids for biodiesel synthesis from FFA and short-chain alcohols with very good reusability of up to nine runs. The ionic liquids were expected to function similarly to phase transfer catalysts. Qiu et al. [30] later named IL with lipophilic chains amphiphilic and published an extensive study of the dependence of biodiesel yield on the length of the chain. Chains C3-C10, C12, C14, C16, and C16 were examined with the maximum yield being at C12. The concept of higher lipophilicity was also used by Lozano et al. [31] who used ionic liquid with a C16 aliphatic chain for the extraction of biodiesel after the biocatalytic transformation of algal oil.
The last concept that we would like to mention in connection with biodiesel production is microwave (MW) heating. ILs have excellent microwave absorbance because of their ionic character; short-chain alcohols are also expected to strongly absorb MW irradiation. Therefore, their mixtures are able to transfer energy rapidly under microwave fields which were used, e.g., in direct transesterification of algal biomass to biodiesel [32,33]. Studies have shown the benefits of microwave heating, such as a shorter reaction time, and efficient and volumetric heating [34,35,36,37]. Bölük and Sönmez selected a combination of IL catalysts and used the microwave method as a process to accelerate the esterification of oleic acid which can be used in biodiesel production. The reaction reached equilibrium in 30 min, the methyl oleate yield was 85.7% and the conversion 94.1% [38]. Yan et al. [39] produced biodiesel by acidic IL catalyzed esterification of oleic acid with methanol under a combination of MW and ultrasonic irradiation. The combined irradiation can intensify the process and significantly shorten the reaction time to 15 min with the oleic acid conversion being 97.85%.
The catalytic stability and simple separation of the used catalyst from the reaction medium are the most important factors for the reusability of the catalyst, hence the most important factors in designing a new catalyst. In this work, we synthesized several sulfonic acid group functionalized ionic liquids (SAIL) with a different number of sulfonic acid catalytic groups and varying lipophilicity as potential catalysts for the esterification of fatty acids recycled from waste oil with bioethanol. These catalysts would combine the advantages of a homogeneous reaction (high activity, selectivity) with the operational advantages of heterogeneous systems (easy separation, easy recyclability, reusability) and very stable activity (Figure 1).

2. Results and Discussion

2.1. Synthesis of SAILs

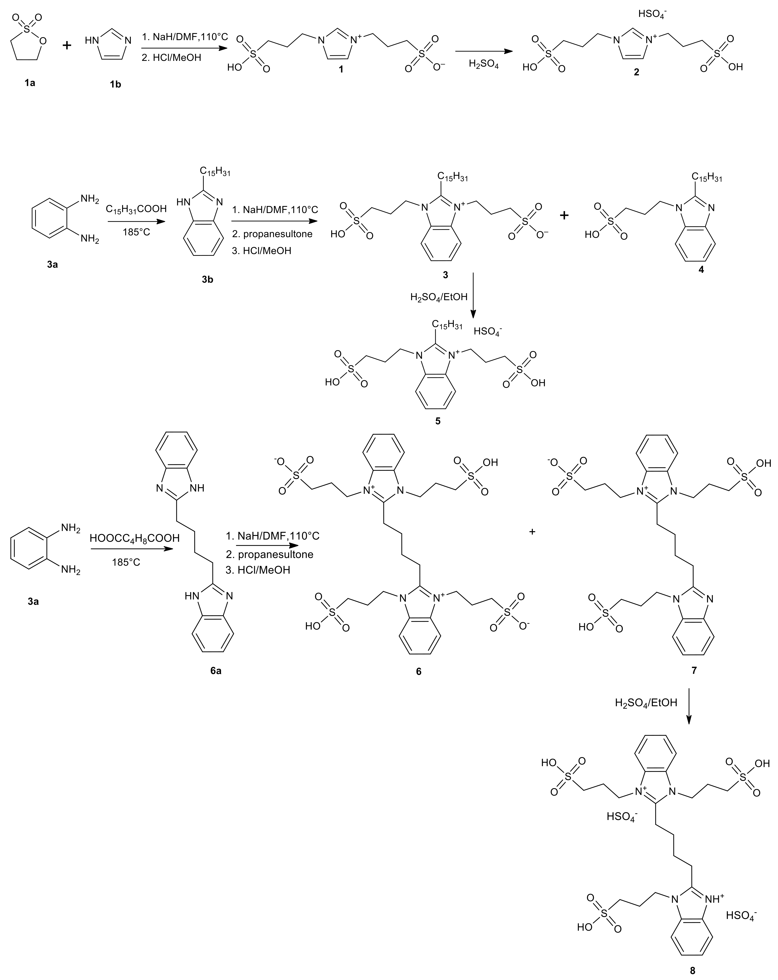
Scheme 1 shows the routes for the synthesis of the SAIL catalysts 18. 2-Pentadecyl-1H-benzimidazole and 2,2′-(butan-1,4-diyl)bis(1H-benzimidazole) were obtained through condensation of o-phenylenediamine with palmitic or adipic acid resp. Then 1,3-propanesultone was reacted through bimolecular nucleophilic substitution (SN2 opening) with imidazole or benzimidazole activated by NaH to yield the IL precursors. Imidazole gave the only product sodium [1-(3-sulfopropyl)-1H-imidazol-3-ium-3-yl]propane-1-sulfonate, but each of benzimidazoles gave two sodium sulfonate products, which then were separated by column chromatography. Finally, a reaction with H2SO4 yielded the desired SAIL catalysts.
In the reaction of 1,3-propanesultone with imidazole and benzimidazole activated by NaH, first, molecule 1,3-propanesultone bonded to atom N in the heterocycle very readily in an hour. Bonding of the second molecule of 1,3-propanesultone to the heterocycle was more difficult. In the case of 2-pentadecyl-1H-benzimidazole, a small amount of product 4 was still present in the reaction mixture after 2 weeks of heating, and in the case of 2,2′-(butan-1,4-diyl)bis(1H-benzimidazole), only a small amount of product 7 was obtained.

2.2. Catalyst Evaluation for Oleic Acid Esterification with Ethanol

Oleic, and palmitic acids (75/25, w/w) esterification with ethanol was used as a model reaction for evaluating the catalytic activities of different SAILs. A fatty acids mixture was used as a mimic of waste oil with highly renewable bioethanol. The esterification conditions were chosen as follows: molar ratio ethanol (1 mL, 16.5 mmol)/fatty acids (0.32 mL, 1.0 mmol) according to the literature [11].
In the microwave esterification runs, catalyst loading varied from 0.1 to 0.3 equivalent to fatty acids, (the concentration range of SAIL was 0.1; 0.2; 0.3 mol/L). Reactions were monitored in 10 min intervals by TLC analysis, and conversions of oleic acid after 30 min microwave heating were determined by HPLC MS. In microwave esterification experiments, good catalytic activity of SAIL 2 and SAIL 5 was found at a concentration 0.1 mol/L, SAIL 8 showed very small catalytic activity under those conditions. The catalytic activity of SAIL 2 is best at a concentration 0.3 mol/L, the catalytic activity of SAIL 5 is also observed best at this concentration but a concentration of 0.2 mol/L gives conversion almost as good as the former one. Reaction equilibrium was established after 20–30 min. Table 1 shows conversions of oleic acid after 30 min of microwave heating, determined by HPLC MS.
Conventional heating esterification experiments were carried out with 0.3 eq catalysts SAIL 2, SAIL 5, and SAIL 8 and reactions were monitored in 2 h intervals by TLC analysis. The reaction temperature was set at 100 °C in the bath, in accordance with previous microwave experiments. TLC indicated reaction equilibrium after approximately 4 h. Conversions of fatty acids after 8 h heating were determined by HPLC MS as described in Table 2, respectively.
During the esterification reaction, SAIL 2 and SAIL 5 exhibited good miscibility with the reactants forming a homogeneous system during heating, and after cooling to room temperature, the SAIL catalysts were separated from the reaction mixture at the bottom of the flask. SAIL 8 was not dissolved in the reaction mixture and formed a suspension, and that could be the reason why it showed very low catalytic activity under microwave heating.
For evaluating the catalytic efficiency and catalyst reusability, a series of recycling experiments with the same molar ratio ethanol to fatty acids 16.5:1, 30% molar loading of SAILs 2, 5, 8, and conventional heating at bath temperature 100 °C in 2 h. Generally, the catalysts have no effect on the chemical equilibrium. In the catalyzed esterification, SAIL catalysts are not reacting in a subsequent step, they are not consumed as reactants as the reaction proceeds, and then they cannot change the equilibrium concentrations. So, to compare those SAIL catalysts in catalytic efficiency, we determined conversion in a certain time before reaction equilibrium was established. The results from TLC and HPLC MS indicated that they are not very different in their catalytic efficiency.
Five cycles of esterification were carried out under the optimum reaction conditions. After each cycle, the crude products were easily separated, removed from the reaction mixture and analyzed by HPLC MS. SAILs in the residue were reused in subsequent runs. As shown in Table 2, the FA conversions after 2 h varied in the range of 67–99%, indicating good to excellent catalyst reusability. The SAIL catalysts were used at least 5 times, and the only in the case of SAIL 8 was there almost no change in the catalytic performance. Overall, SAILs were readily recycled, and are promising catalysts for the esterification of FA to biodiesel.
A comparison of the effectivity of our catalysts with the literature is shown in Table 3; there is also a large review [9] where additional data can be found. It is apparent that although the reaction conditions vary considerably, the literature data about conversion are grouped around 95–96%. Our best result—almost quantitative conversion (99.7%)—is thus outstanding.

3. Materials and Methods

3.1. Materials and Reagents

All reagents used in this study were supplied by Sigma–Aldrich, Acros Organics, Penta, and Lachema. Imidazole 1b (99%, Sigma-Aldrich, Prague, Czech Republic), 1,3-propanesultone 1a (97%, Acros Organics, Geel, Belgium), o-phenylenediamine 3a (99.5%, Sigma-Aldrich), a mixture of oleic and palmitic acids (75/25 w/w, Lach-Ner, Neratovice, Czech Republic), adipic acid (pure, Lachema, Brno, Czech Republic), sodium hydride 60% suspension (Sigma–Aldrich), N,N-dimethylformamide (99.8%, Sigma-Aldrich), and sulphuric acid 96% (Penta, Prague, Czech Republic) were used to synthesise the ILs.
The model esterification to biodiesel was carried out using bioethanol (96%) and fatty acids. Standard ethyl-oleate was used for the identification of the product by TLC. A silica gel matrix TLC aluminium plate without a fluorescent indicator was supplied by Sigma–Aldrich. All other solvents and reagents were HPLC MS grade and analytical reagent grade.
Dimethylformamide (DMF) was distilled under argon, hexane was dried with sodium and distilled under argon. Solution of HCl in methanol (approximately 2.7 M) was obtained through bubbling HCl (formed from the reaction of 16 g NaCl and 16 mL conc. H2SO4) into 100 mL methanol. Synthetic procedures were carried out under an inert atmosphere until acidic workup.

3.2. Characterization Methods

The structures of the ionic liquids and their intermediates were analyzed by IR and NMR spectroscopy and mass spectrometry. The supporting spectroscopic data can be found in the Supplementary Materials (Figures S1–S25, Table S1).
Infrared spectra were measured on a Nicolet 6700 FT-IR spectrometer from Thermo Scientific with the ATR technique using a single reflection horizontal ZnSe crystal. The measurement was carried out at a resolution of 4 cm−1 and the number of scans was 150. The spectra were recorded and processed by the OMNIC 7.3 program.
1H and 13C-NMR spectra were obtained on a JEOL 400 MHz JNM-ECZ400R/M1 nuclear magnetic resonance spectrometer. Chemical shifts are reported in ppm and spin-spin coupling constants are presented in Hz.
Mass spectrometry (MS) spectra were performed on a Thermo Scientific Inc. LCQ Fleet Ion Trap instrument using electrospray (ESI) ionization with helium (6.0 Messer, Czech Republic) as a collision gas. Samples dissolved in 5% (v/v) aqueous acetic acid mixed with methanol (1:1, v:v) (concentrations approximately 100 ng·mL−1) were introduced to the ion source from a Hamilton syringe using an infusion of 15 μL·min−1, source voltage 5.0 kV, tube lens voltage −110.0 V, capillary voltage −35.0 V, capillary temperature 275 °C and N2 as a nebulizing sheath gas 15 p.d.u. In all cases, positive ions corresponding to the molecular ion were observed for the highest peak in the isotopic distribution plot. The isotopic distribution, and the whole shape of the spectra of all detected peaks were in agreement with the calculated spectra. The measurement range was 150 to 2000 a.m.u.
Conversions of esterification reactions were calculated from TIC chromatograms of fatty acids and their ethylesters measured on the system HPLC MS based on a Thermo Finnigan Surveyor HPLC (Autosampler Plus, LC Pump Plus) in tandem with an LCQ Fleet Ion Trap MS detector equipped with APCI ionization probe. Merck Purosphere Star column RP-8, 250 × 2 mm, 5 µm, and acetonitrile-water in 50 min long linear gradient from 60/40 (v/v) to 90/10 (v/v) in the flow of 300 µL/min as a mobile phase were used for simultaneous determination of fatty acids, and their respective ethylesters.

3.3. Synthesis of the Catalysts

3.3.1. Brønsted Acidic Imidazolium-Based IL

3-[1-(3-Sulfopropyl)-1H-imidazol-3-ium-3-yl]propane-1-sulfonate 1
A suspension of sodium hydride (60%, 1.52 g, 38 mmol) was weighed into a two-necked 250 mL flask fitted with a condenser, the apparatus was evacuated and filled with argon and the process was repeated twice. Sodium hydride suspension was washed 3 times with dried hexane (3 × 5 mL), then predistilled DMF (75 mL) and imidazole 1b (2.50 g, 37 mmol) were added and the reaction mixture was stirred vigorously to form a clear solution of sodium imidazol-1-ide. The mixture was cooled in an ice bath for 15 min and 1,3-propanesultone 1a (6.5 mL, 74 mmol) was added, then the reaction mixture was heated at 110 °C in an oil bath for 2 weeks. After that, approximately 60 mL of DMF was distilled off under reduced pressure of 130 °C, the residue was washed 3 times with diethyl ether (3 × 50 mL). The crude product was mixed with methanol (50 mL) and HCl solution in methanol was added until an acidic reaction. Flash chromatography on 20 g silica gel with elution by methanol gave 9.4 g (82%) of the white crystalline product; mp 214–219 °C; 1H-NMR (D2O, 400 MHz) 1.18–2.25 (4H, m, NCH2CH2CH2), 2.83 (4H, t, J = 7.4 Hz, NCH2CH2CH2), 4.26 (4H, t, J = 7.2 Hz, NCH2CH2CH2), 7.46 (2H, s, -CH=CH-), 8.77 (1H, s, NCH=N); 13C-NMR (D2O, 100 MHz) 25.09 (s, NCH2CH2CH2), 47.30 (s, NCH2CH2CH2), 47.93 (s, NCH2CH2CH2), 122.63 (s, -CH=CH-), 135.83 (s, NCH=N); IR (ATR, cm−1) 3154, 3100 (C-H, imidazole), 2950–2850 (C-H, (CH2)3), 1563, 1441 (C=C, C=N, imidazole), 1179, 1044 (S=O, -SO3H, -SO3); ESI MS m/z [M + H]+ 313.14 (100), calculated for C9H17N2O6S2: 313.05.
[1,3-di(3-Sulfopropyl)-1H-imidazol-3-ium] hydrogensulfate 2
Concentrated sulfuric acid (0.75 mL, 13 mmol) was added to [1-(3-sulfopropyl)-1H-imidazol-3-ium-3-yl]propane-1-sulfonate 1 (4.04 g, 13 mmol) in ethanol (50 mL), the mixture was stirred vigorously to form a clear solution, then heated in an oil bath at 80 °C for 1 h. After vacuum evaporation, repeated washing with diethyl ether and vacuum drying, 5.29 g (99%) of white solid product was obtained; mp 192–198 °C; 1H-NMR (D2O, 400 MHz) 2.15–2.22 (4H, m, NCH2CH2CH2), 2.80 (4H, t, J = 7.4 Hz, NCH2CH2CH2), 4.23 (4H, t, J = 7.2 Hz, NCH2CH2CH2), 7.43 (2H, d, J = 2.0 Hz, -CH=CH-), 8.74 (1H, t, J = 2.0 Hz NCH=N); 13C-NMR (D2O, 100 MHz) 25.05 (s, NCH2CH2CH2), 47.25 (s, NCH2CH2CH2), 47.89 (s, NCH2CH2CH2), 122.59 (s, -CH=CH-), 135.80 (s, NCH=N); IR (ATR, cm−1) 3150, 3096 (C-H, imidazole), 2950–2850 (C-H, (CH2)3), 1570, 1447 (C=C, C=N, imidazolium), 1220, 1168, 1023 (S=O, -SO3H, HSO4); ESI MS m/z [M + H]+ 313.08 (65), calculated for C9H17N2O6S2: 313.05.

3.3.2. Brønsted Acidic Benzimidazolium-Based IL

2-Pentadecyl-1H-benzo[d]imidazole 3b
A mixture of palmitic acid (8.26 g, 32 mmol) and o-phenylenediamine 3a (3.28 g, 32 mmol) was placed into a 250 mL round bottom flask with a magnetic stirrer. The apparatus was then evacuated and filled with argon and the process was repeated twice. The reaction mixture was heated at 185 °C and stirred vigorously for 30 min. The crude product was dissolved in 30 mL of ethanol with heating, a spoon of activated charcoal was added to the hot solution, the hot solution was filtered and a small amount of water was added to turbidity. The crystalization was carried out at room temperature. After suction filtration, repeated washing with a mixture of ethanol and water 1:1, and drying, 6.5 g of white crystalline product was obtained, yield 62%; mp 131–138 °C; 1H-NMR (CDCl3, 400 MHz) 0.84 (3H, t, J = 6.8 Hz, CH3-), 1.14–1.28 (22H, m, CH3-C11H22C3H6-benzimidazole), 1.34 (2H, m, C12H25CH2C2H4-benzimidazole), 1.95 (2H, m, J = 7.7 Hz, C13H27CH2CH2-benzimidazole), 3.16 (2H, t, J = 7.6 Hz, C13H27CH2CH2-benzimidazole), 7.31 (2H, m, CH=CH (C5, C6 in benzimidazole)), 7.67 (2H, m, -CH= (C4, C7 in benzimidazole)), 11.90 (1H, bs, -NH-); 13C-NMR (CDCl3, 100 MHz) 14.20 (s, CH3-), 22.76 (s), 27.89 (s), 28.24 (s), 29.32–29.78 (-CnH2n-), 32.00 (s, C13H27CH2CH2-benzimidazole), 53.51 (s, C14H29CH2-benzimidazole), 114.24 (s, -CH=, C4, C7 in benzimidazole), 124.29 (s, -CH=CH, C5, C6 in benzimidazole), 134.19 (s, >C= in benzimidazole), 154.72 (s, HN-C=N, C2 in benzimidazole); ESI MS m/z [M + H]+ 329.50 (100), calculated for C22H37N2: 329.30; IR (ATR, cm−1) 3430, 3300 (C-H, benzimidazole), 2918, 2848 (C-H, C15H31), 1625, 1541, 1457 (C=C, C=N, benzimidazole), 751, 722 (C-H, benzimidazole).
3-(2-Pentadecyl-1-(3-sulfopropyl)-1H-benzo[d]imidazol-3-ium-3-yl)propane-1-sulfonate 3
SAIL 3 was preparated from 2-pentadecyl-1H-benzo[d]imidazole (3.30 g, 10 mmol), activated with sodium hydride (60% suspension, 0.52 g, 12.5 mmol), and 1,3-propanesultone 1a (2.66 mL, 30 mmol) according to the procedure for the preparation of SAIL 1. After chromatography on 70 g silica gel with elution by mixture of dichloromethane and methanol, 7:3 was obtained 4.2 g (73% yield) of oily product 3-(2-pentadecyl-1-(3-sulfopropyl)-1H-benzo[d]imidazol-3-ium-3-yl)propane-1-sulfonate 3; 1H-NMR (CD4OD, 400 MHz) 0.87 (3H, t, J = 6.6 Hz, CH3-), 1.19–1.44 (22H, m, CH3-C11H22C3H6-benzimidazole), 1.56 (2H, m, C12H25CH2C2H4-benzimidazole), 1.78 (2H, m, C13H27CH2CH2-benzimidazole), 2.35 (4H, m, NCH2CH2CH2), 2.97 (4H, t, J = 6.8 Hz, NCH2CH2CH2), 3.35 (2H, t, J = 8.2 Hz, C14H29CH2-benzimidazole), 4.71 (4H, t, J = 7.8 Hz, NCH2CH2CH2), 7.63 (2H, m, CH=CH, C5, C6 in benzimidazole), 8.00 (2H, m, -CH=, C4, C7 in benzimidazole); 13C-NMR (CD4OD, 100 MHz) 13.10 (s, CH3-), 22.40 (s, NCH2CH2CH2), 23.49 (s, CH3-CH2-), 24.76 (s, CH3-CH2-CH2-), 27.61 (s, NCH2CH2CH2), 29.06–29.47 (m, -CnH2n-), 31.74 (s, C14H29CH2-benzimidazole), 44.02 (s, NCH2CH2CH2), 112.96 (s, -CH=, C4, C7 in benzimidazole), 126.51 (s, -CH=CH-, C5, C6 in benzimidazole), 131.34 (s, >C= in benzimidazole), 153.62 (s, HN-C=N, C2 in benzimidazole); ESI MS m/z [M + H]+ 573.56 (75), calcd for C27H61N2O6S2: 573.40; IR (ATR, cm−1): 3439, 3100 (C-H, benzimidazole), 2922, 2852 (C-H, C15H31), 1636, 1520, 1469 (C=C, C=N, benzimidazole), 1159, 1033 (S=O, -SO3H).
Together was isolated 1.3 g of 3-(2-pentadecyl-1H-benzo[d]imidazol-1-yl)propane-1-sulfonic acid 4; mp 120–124 °C; 1H-NMR (CDCl3, 400 MHz) 0.85 (3H, t, J = 6.8 Hz, CH3-), 1.10–1.42 (24H, m, CH3-C12H24C2H4-benzimidazole), 1.75–1.91 (2H, m, C13H27CH2CH2-benzimidazole), 2.32–2.52 (2H, q, NCH2CH2CH2), 2.98 (2H, t, J = 6.0 Hz, NCH2CH2CH2), 3.25 (2H, t, J = 7.8 Hz, C14H29CH2-benzimidazole), 4.72 (2H, t, J = 7.6 Hz, NCH2CH2CH2), 7.39–7.50 (2H, m, CH=CH, C5, C6 in benzimidazole), 7.70–7.78 (1H, m, -CH=, C4 in benzimidazole), 7.95–8.05 (1H, m, -CH=, C7 in benzimidazole); ESI MS m/z [M+H]+ 451.48 (100), calculated for C25H43N2O3S1: 451.30; IR (ATR, cm−1): 3300 (C-H, benzimidazole), 2915, 2849 (C-H, C15H31), 1736, 1665, 1568, 1518, 1470 (C=C, C=N, benzimidazole), 1170, 1030 (S=O, -SO3H).
2-Pentadecyl-1,3-di(3-sulfopropyl)-1H-benzo[d]imidazol-3-ium hydrogen sulfate 5
SAIL 5 was preparated from 1-(3-sulfopropyl)-[(2-pentadecyl-1H-benzimidazol-3-ium)-3-yl]propane-1-sulfonate 3 (2.4 g, 4.2 mmol) and sulfuric acid (0.24 mL, 4.3 mmol) acording to the procedure for the preparation of SAIL 2, to yield 2.8 g (100%) of oily product; 1H-NMR (CD4OD, 400 MHz) 0.88 (3H, t, J = 6.6 Hz, CH3-), 1.23–1.50 (24H, m, CH3-C12H24C2H4-benzimidazole), 1.55 (2H, m, C13H27CH2CH2-benzimidazole), 1.80 (2H, m, C13H27CH2CH2-benzimidazole), 2.34 (4H, m, NCH2CH2CH2), 3.01 (4H, t, J = 6.8 Hz, NCH2CH2CH2), 3.34 (2H, t, J = 8.2 Hz, C14H29CH2-benzimidazole), 4.73 (4H, t, J = 8.0 Hz, NCH2CH2CH2), 7.64 (2H, m, CH=CH, C5, C6 in benzimidazole), 8.02 (2H, m, -CH=, C4, C7 in benzimidazole); 13C-NMR (CD4OD, 100 MHz) 13.14 (s, CH3-), 22.39 (s, CH3-CH2-), 24.75 (s, CH3-CH2-CH2-), 24.80 (s, NCH2CH2CH2), 28.86 (s, -CH2CH2-benzimidazole), 29.03 (s, NCH2CH2CH2), 29.23–29.44 (-CnH2n-), 31.72 (s, C13H27CH2CH2-benzimidazole), 44.03 (s, NCH2CH2CH2), 112.96 (s, -CH=, C4, C7 in benzimidazole), 126.51 (s, CH=CH, C5, C6 in benzimidazole), 131.34 (s, >C= in benzimidazole), 153.59 (s, HN-C=N, C2 in benzimidazole); ESI MS m/z [M+H]+ 573.44 (100), calculated for C28H49N2O6S2: 573.30; IR (ATR, cm−1): 3439 (C-H, benzimidazolium), 2923, 2852 (C-H, C15H31), 1636, 1522, 1470 (C=C, C=N, benzimidazolium), 1168, 1023 (S=O, -SO3H, HSO4).
2,2′-(Butane-1,4-diyl)bis(1H-benzo[d]imidazole) 6a
2,2′-(butane-1,4-diyl)bis(1H-benzo[d]imidazole) was preparated from adipic acid (7.3 g, 0.05 mol) and o-phenylenediamine 3a (10,8 g, 0.10 mol) acording to the procedure for the preparation of 2-pentadecyl-1H-benzo[d]imidazole. Recrystallization from ethanol-water yielded 3.7 g (26%) of white crystalline product; mp 258–265 °C; 1H-NMR (DMSO-d6, 400 MHz) 1.81 (4H, m, benzimidazole-CH2-CH2-CH2-CH2-benzimidazole), 2.82 (4H, t, J = 6.4 Hz, benzimidazole-CH2-CH2-CH2-CH2-benzimidazole), 7.06 (4H, m, CH=CH, C5, C6 in benzimidazole), 7.41 (4H, m, -CH=, C4, C7 in benzimidazole), 12.16 (2H, bs, NH in benzimidazole); 13C-NMR (DMSO-d6, 100 MHz) 27.70 (s, benzimidazole-CH2-CH2-CH2-CH2-benzimidazole), 28.77 (s, benzimidazole-CH2-CH2-CH2-CH2-benzimidazole), 118.78 (s, -CH=, C4, C7 in benzimidazole), 121.29 (s, CH=CH, C5, C6 in benzimidazole), 134.79 (s, >C= in benzimidazole), 155.43 (s, HN-C=N, C2 in benzimidazole); ESI MS m/z [M − H] 289.35 (100); [M+H]+ 291.50 (100),calculated for C18H19N4: 291.16; IR (ATR, cm−1): 3300–2500 (C-H, benzimidazole), 3051, 2932 (C-H, C4H8), 1621, 1529, 1453, 1415 (C=C, C=N, benzimidazole), 742 (C-H, benzimidazole).
2,2′-(butan-1,4-diyl)bis[(1-(3-sulfopropyl)-1H-benzo[d]imidazol-3-ium-3-yl)propane-1-sulfonate] 6
and
2-{4-[1-(3-sulfopropyl)-1H-benzo[d]imidazole-2-yl]butyl}-1-(3-sulfopropyl)-1H-benzo[d]imidazol-3-ium-3-ylpropanesulfonic acid 7
A preparation from 60% suspension of sodium hydride (1.0 g, 25 mmol), 1,4-bis(1H-benzo[d]imidazol-2-yl)butane (2.9 g, 10 mmol) and 1,3-propanesultone 1a (4.4 mL, 6.1 g, 50 mmol) acording to the procedure for the preparation of SAIL 1 and following chromatography on 50 g silica gel, with elution by dichloromethane:methanol 4:1 then methanol, yielded 3.5 g (53%) of 2-{4-[1-(3-sulfopropyl)-1H-benzo[d]imidazole-2-yl]butyl}-1-(3-sulfopropyl)-1H-benzimidazol-3-ium-3-ylpropanesulfonic acid 7; mp > 300 °C; 1H-NMR (DMSO-d6, 400 MHz) 1.85; 2.12 (2H; 2H, m, benzimidazole-CH2-CH2-CH2-CH2-benzimidazole), 2.04 (6H, m, NCH2CH2CH2), 2.50 (6H, m, NCH2CH2CH2), 2.61 (4H, t, J = 6.6 Hz, -CH2-benzimidazole), 4.50 (2H, t, J = 7 Hz), 4.50 (2H, t, J = 7.8 Hz, NCH2CH2CH2), 4.67 (4H, t, J = 7.8 Hz, NCH2CH2CH2), 7.34 (2H, m, CH=CH, C5′, C6′ in benzimidazole), 7.58 (2H, m, CH=CH, C5, C6 in benzimidazole), 7.67; 7.79 (1H; 1H, m, -CH=, C4′, C7′ in benzimidazole), 8.05 (2H, m, CH=CH, C4, C7 in benzimidazole); ESI MS m/z [M+H]+ 657.12 (100), calculated for C27H37N4O9S3: 657.17; IR (ATR, cm−1) 3417 (C-H, benzimidazole), 2940 (C-H, C4H8), 1651, 1518, 1483 (C=C, C=N, benzimidazole), 1184, 1157, 1044 (S=O, -SO3H, -SO3).
Together was isolated 0.2 g (3% yield) of 2,2′-(butan-1,4-diyl)bis[(1-(3-sulfopropyl)-1H-benzo[d]imidazol-3-ium-3-yl)propane-1-sulfonate] 6; mp > 300 °C; 1H-NMR (D2O, 400 MHz) 1.96 (4H, m, benzimidazole-CH2-CH2-CH2-CH2-benzimidazole), 2.23 (8H, m, NCH2CH2CH2), 2.95 (8H, t, J = 7.0 Hz, NCH2CH2CH2), 3.28 (4H, t, J = 6.4 Hz, -CH2-benzimidazole), 4.56 (8H, t, J = 8.2 Hz, NCH2CH2CH2), 7.53 (4H, m), 7.76 (4H, m); ESI MS m/z [M+H]+ 779.26 (100), calculated for C30H43N4O12S4: 779.14; IR (ATR, cm−1) 3423 (C-H, benzimidazole), 2931 (C-H, C4H8), 1728, 1641, 1517, 1464 (C=C, C=N, benzimidazole), 1161, 1039 (S=O, -SO3H, -SO3).
2-{4-[1-(3-sulfopropyl)-1H-benzo[d]imidazol-2-yl]butyl}(1,3-di(3-sulfopropyl)-1H-benzo[d]imidazol-3-ium) hydrogen sulfate 8
SAIL 8 was prepared from SAIL 7 (2.4 g, 4.2 mmol) and sulfuric acid (0.24 mL, 4.3 mmol) acording to the procedure for the preparation of SAIL 2, to yield 2.8 g (100%) of solid product; mp 222–231 °C; 1H-NMR (D2O, 400 MHz) 1.90 (2H, q, benzimidazole-CH2-CH2-CH2-CH2-benzimidazole) 2.06 (2H, q, benzimidazole-CH2-CH2-CH2-CH2-benzimidazole), 2.20 (6H, q, NCH2CH2CH2), 2.92 (6H, m, NCH2CH2CH2), 3.24 (2H, t, J = 8.0 Hz, -CH2-benzimidazole), 3.30 (2H, t, J = 8.0 Hz, -CH2-benzimidazole), 4.54 (6H, m, NCH2CH2CH2), 7.46 (2H, m, CH=CH, C5′, C6′ in benzimidazole), 7.52 (2H, m, CH=CH, C5, C6 in benzimidazole), 7.60 (1H, m, -CH=, C4′ in benzimidazole), 7.70 (1H, m, -CH=, C7′ in benzimidazole), 7.74 (2H, m, -CH=, C4, C7 in benzimidazole); 13C-NMR (D2O, 100 MHz) 23.11 (s, benzimidazole-CH2-CH2-CH2-CH2-benzimidazole), 24.14 (s, benzimidazole-CH2-CH2-CH2-CH2-benzimidazole), 24.36 (s, NCH2CH2CH2), 24.55 (s, NCH2CH2CH2), 25.88 (s, benzimidazole-CH2-CH2-CH2-CH2-benzimidazole), 26.51 (s, benzimidazole-CH2-CH2-CH2-CH2-benzimidazole), 43.32 (s, N’CH2CH2CH2), 43.87 (s, NCH2CH2CH2), 47.46 (s, N’CH2CH2CH2), 47.54 (s, NCH2CH2CH2), 112.41 (s, -CH=, C7′ in benzimidazole), 112.77 (s, -CH=, C4, C7 in benzimidazole), 113.84 (s, -CH=, C4′in benzimidazole), 126.14 (s, -CH=, C6′ in benzimidazole), 126.47 (s, CH=CH, C5, C6 in benzimidazole), 126.77 (s, -CH=, C5′ in benzimidazole), 129.97 (s, >CH= in benzimidazole), 131.13 (s, >CH= in benzimidazole), 131.64 (s, >CH= in benzimidazole), 152.17 (s, HN-C=N, C2 in benzimidazole), 152.76 (s, HN-C=N, C2 in benzimidazole); ESI MS m/z [M+H]+ 657.20 (100), calcd for C27H37N4O9S3: 657.17; IR (ATR, cm−1) 3429 (C-H, benzimidazolium), 2940 (C-H, C4H8), 1635, 1559, 1518, 1469 (C=C, C=N, benzimidazolium), 1151, 1034 (S=O, -SO3H, HSO4).

3.4. Esterification of Oleic Acid with Ethanol Catalyzed by Ionic Liquids and Analysis

3.4.1. General Procedure for the Microwave Esterification Reaction

Esterification experiments were performed using a microwave reactor Plazmatronika (microwave power range 0 to 700 W) equipped with a condenser, temperature control system, and magnetic stirrer. During the experiment, a temperature sensor monitored the temperature in the reaction vessel and constant stirring was applied for homogeneous heating in all runs.
Amounts of the fatty acids mixture (0.32 mL, 1 mmol), ethanol (1 mL, 16.5 mmol), and SAIL catalyst (varied from 0.1 to 0.3 mmol, the concentration range of SAIL was 0.1; 0.2; 0.3 mol/L) were charged into a 25 mL round bottom flask. After mixing, the first sample was taken and put on the TLC plate. Subsequently, the mixture was heated in the microwave reactor at 100% power (700 W) over 3 cycles, and the reaction temperature, measured by a sensor control system, was up to 100 °C, each cycle lasted 10 min and after each cycle, a sample was taken and applied on the TLC. The TLC plate was then eluted in a 9:1 hexane:diethyl ether system, and detected with a saturated solution of phosphomolybdic acid in a mixture of water: ethanol 1:1. After completion of the reaction in a microwave reactor, the conversions were determined by HPLC MS.

3.4.2. Esterification of Fatty Acids with Ethanol with Conventional Heating

A fixed amount of fatty acids (0.32 mL, 1 mmol), ethanol (1 mL, 16.5 mmol), and SAIL catalyst (0.3 mmol) was added to a 25 mL round bottom flask. After mixing, a first sample was taken and applied on the TLC plate, and the reaction was performed with magnetic stirring, heating in an oil bath at 100 °C under reflux condensation for 8 h. Every 2 h, a sample was taken and applied on the TLC plate. The plate was then eluted in a 9:1 n-hexane:diethylether system, and detected with a saturated solution of phosphomolybdic acid in a mixture of water:ethanol 1:1. After completion of the reaction, the conversions were determined by HPLC MS.

3.4.3. The Recycling Experiments

The esterification reactions were carried out under the same conditions as in Section 3.4.2. A mixture of fatty acids (0.32 mL, 1 mmol), ethanol (1 mL, 16.5 mmol), and SAIL catalyst (0.3 mmol) was heated in an oil bath at 100 °C under reflux condensation for 2 h. Then the reaction mixture was cooled down in an ice bath and decanted. The upper layer was removed and stored for further analysis. Ethanol (1 mL) and fatty acids (0.32 mL) were added to the residue and the same procedure was repeated 4 times more.

4. Conclusions

In summary, the characterization results of FT-IR and NMR revealed that the three sulfonic acid group functionalized ionic liquids (SAIL) with a different number of catalytic groups and lipophilicity have been successfully synthesized. The highest catalytic performance for the conversion of fatty acids into respective fatty acids ethyl esters (FAEE) under microwave heating showed SAIL 5, containing a long lipophilic C15 chain. The catalytic activity was slightly higher than using SAIL 2, whereas SAIL 8 was surprisingly almost inactive. With conventional heating (molar ratio ethanol to fatty acids 16.5:1, catalyst amount 30% based on the acid oleic molar amount, reaction time 2 h, and reaction temperature of the bath 100 °C), the conversions to biodiesel were about 98%. The conversion of both fatty acids to FAEE gradually decreases in repeated trials only in the case of SAILs 2 and 5. The catalytic activity of SAIL 8 remains stable, the IL is the most effective catalyst for the esterification of fatty acids to FAEE at conventional heating. The SAIL catalysts can still maintain high catalytic activity after five cycles.

Supplementary Materials

The following supporting information can be downloaded at https://www.mdpi.com/article/10.3390/molecules28135231/s1. Figure S1. 1H NMR spectra of SAIL 1; Figure S2. 1H NMR spectra of SAIL 3, 4; Figure S3. 1H NMR spectra of SAIL 6, 7; Figure S4. 1H, 13C-NMR spectra of SAIL 2; Figure S5. 1H, 13C-NMR spectra of SAIL 5; Figure S6. 1H, 13C-NMR spectra of SAIL 8; Figure S7. IR spektra of SAIL 1, 2; Figure S8. IR spektra of SAIL 3, 5; Figure S9. IR spektra of SAIL 7, 8; Table S1. An overview of the LCQ Fleet IonTrap ESI mass spectrometry characterized SAIL’s samples with a comparison of obtained and calculated masses of molecular cations, and summary formulae; Figure S10. The full scan ESI MS spectrum of SAIL 1; Figure S11. The zoom scan ESI MS spectrum of SAIL 1; Figure S12. The full scan ESI MS spectrum of SAIL 2; Figure S13. The zoom scan ESI MS spectrum of SAIL 2; Figure S14. The full scan ESI MS spectrum of SAIL 3; Figure S15. The zoom scan ESI MS spectrum of SAIL 3; Figure S16. The full scan ESI MS spectrum of SAIL 4; Figure S17. The zoom scan ESI MS spectrum of SAIL 4; Figure S18. The full scan ESI MS spectrum of SAIL 5; Figure S19. The zoom scan ESI MS spectrum of SAIL 5; Figure S20. The full scan ESI MS spectrum of SAIL 6; Figure S21. The zoom scan ESI MS spectrum of SAIL 6; Figure S22. The full scan ESI MS spectrum of SAIL 7; Figure S23. The zoom scan ESI MS spectrum of SAIL 7; Figure S24. The full scan ESI MS spectrum of SAIL 8; Figure S25. The zoom scan ESI MS spectrum of SAIL 8.

Author Contributions

Conceptualization and methodology, T.H.N.T. and V.Š.; experiments, J.K. and T.H.N.T.; spectra, P.K. and L.V.; HPLC MS method development, V.Š. and P.K.; MS measurement, V.Š. and T.H.N.T.; writing—original draft preparation, T.H.N.T.; writing—review and editing, J.Č., V.Š., and P.K.; supervision, J.Č.; project administration, V.Š.; funding acquisition, V.Š. All authors have read and agreed to the published version of the manuscript.

Funding

This work was funded by the ERDF/ESF project “CACTU” No. CZ.02.1.01/0.0/0.0/17_049/0008397.

Institutional Review Board Statement

Not applicable.

Informed Consent Statement

Not applicable.

Data Availability Statement

The datasets generated during and/or analyzed during the current study are available from the corresponding author on reasonable request.

Conflicts of Interest

The authors declare no conflict of interest.

Sample Availability

Samples of the compounds are not available from the authors.

References

  1. Borges, M.E.; Díaz, L. Recent developments on heterogeneous catalysts for biodiesel production by oil esterification and transesterification reactions: A review. Renew. Sustain. Energy Rev. 2012, 16, 2839–2849. [Google Scholar] [CrossRef]
  2. Yu, H.; Niu, S.; Lu, C.; Li, J.; Yang, Y. Preparation and esterification performance of sulfonated coal-based heterogeneous acid catalyst for methyl oleate production. Energy Convers. Manag. 2016, 126, 488–496. [Google Scholar] [CrossRef]
  3. Esmaeili, H. A critical review on the economic aspects and life cycle assessment of biodiesel production using heterogeneous nanocatalysts. Fuel Process. Technol. 2022, 230, 107224. [Google Scholar] [CrossRef]
  4. Vitiello, R.; Taddeo, F.; Russo, V.; Turco, R.; Buonerba, A.; Grassi, A.; Di Serio, M.; Tesser, R. Production of Sustainable Biochemicals by Means of Esterification Reaction and Heterogeneous Acid Catalysts. Chemengineering 2021, 5, 46. [Google Scholar] [CrossRef]
  5. Lawer-Yolar, G.; Dawson-Andoh, B.; Atta-Obeng, E. Synthesis of Biodiesel from Tall Oil Fatty Acids by Homogeneous and Heterogeneous Catalysis. Sustain. Chem. 2021, 2, 206–221. [Google Scholar] [CrossRef]
  6. Munyentwali, A.; Li, H.; Yang, Q. Review of advances in bifunctional solid acid/base catalysts for sustainable biodiesel production. Appl. Catal. A Gen. 2022, 633, 118525. [Google Scholar] [CrossRef]
  7. Hardacre, C.; Parvulescu, V. Catalysis in Ionic Liquids: From Catalyst Synthesis to Application; RSC: London, UK, 2014; ISBN 978-1-84973-603-9. [Google Scholar] [CrossRef]
  8. Keskin, S.; Kayrak-Talay, D.; Akman, U.; Hortaçsu, Ö. A review of ionic liquids towards supercritical fluid applications. J. Supercrit. Fluids 2007, 43, 150–180. [Google Scholar] [CrossRef]
  9. Troter, D.Z.; Todorović, Z.B.; Đokić-Stojanović, D.R.; Stamenković, O.S.; Veljković, V.B. Application of ionic liquids and deep eutectic solvents in biodiesel production: A review. Renew. Sustain. Energy Rev. 2016, 61, 473–500. [Google Scholar] [CrossRef]
  10. Fauzi, A.H.M.; Amin, N.A.S. Optimization of oleic acid esterification catalyzed by ionic liquid for green biodiesel synthesis. Energy Convers. Manag. 2013, 76, 818–882. [Google Scholar] [CrossRef]
  11. Roman, F.F.; Ribeiro, A.E.; Queiroz, A.; Lenzi, G.G.; Chaves, E.S.; Brito, P. Optimization and kinetic study of biodiesel production through esterification of oleic acid applying ionic liquids as catalysts. Fuel 2018, 239, 1231–1239. [Google Scholar] [CrossRef]
  12. Pan, H.; Li, H.; Zhang, H.; Wang, A.; Yang, S. Acidic ionic liquid-functionalized mesoporous melamine-formaldehyde polymer as heterogeneous catalyst for biodiesel production. Fuel 2019, 239, 886–895. [Google Scholar] [CrossRef]
  13. Zhang, W.; Li, M.; Wang, J.; Zhao, Y.; Zhou, S.; Xing, W. Heterogeneous poly(ionic liquids) catalyst on nanofiber-like palygorskite supports for biodiesel production. Appl. Clay Sci. 2017, 146, 167–175. [Google Scholar] [CrossRef]
  14. Zhang, Q.; Hu, Y.; Li, S.; Zhang, M.; Wang, Y.; Wang, Z.; Peng, Y.; Wang, M.; Li, X.; Pan, H. Recent advances in supported acid/base ionic liquids as catalysts for biodiesel production. Front. Chem. 2022, 10, 999607. [Google Scholar] [CrossRef] [PubMed]
  15. Panchal, B.; Bian, K.; Chang, T.; Zhu, Z.; Wang, J.; Qin, S.; Zhao, C.; Sun, Y. Synthesis of Generation-2 polyamidoamine based ionic liquid: Efficient dendrimer based catalytic green fuel production from yellow grease. Energy 2020, 219, 119637. [Google Scholar] [CrossRef]
  16. Tankov, I.; Mustafa, Z.; Nikolova, R.; Veli, A.; Yankova, R. Biodiesel (methyl oleate) synthesis in the presence of pyridinium and aminotriazolium acidic ionic liquids: Kinetic, thermodynamic studies. Fuel 2021, 307, 121876. [Google Scholar] [CrossRef]
  17. Panchal, B.; Zhu, Z.; Qin, S.; Chang, T.; Zhao, Q.; Sun, Y.; Zhao, C.; Wang, J.; Bian, K.; Rankhamb, S. The current state applications of ethyl carbonate with ionic liquid in sustainable biodiesel production: A review. Renew. Energy 2021, 181, 341–354. [Google Scholar] [CrossRef]
  18. Deshpande, G.; Shrikhande, S.; Sawarkar, A.N.; Patle, D.S. Multiobjective optimization of ultrasound intensified and ionic liquid catalyzed in situ algal biodiesel production considering economic, environmental and safety indicators. Chem. Eng. Res. Des. 2022, 180, 134–152. [Google Scholar] [CrossRef]
  19. Zhang, L.; Xian, M.; He, Y.; Li, L.; Yang, J.; Yu, S.; Xu, X. A Brønsted acidic ionic liquid as an efficient and environmentally benign catalyst for biodiesel synthesis from free fatty acids and alcohols. Bioresour. Technol. 2009, 100, 4368–4373. [Google Scholar] [CrossRef]
  20. Zhao, Y.; Long, J.; Deng, F.; Liu, X.; Li, Z.; Xia, C.; Peng, J. Catalytic amounts of Brønsted acidic ionic liquids promoted esterification: Study of acidity–activity relationship. Catal. Commun. 2009, 10, 732–736. [Google Scholar] [CrossRef]
  21. Fan, P.; Xing, S.; Wang, J.; Fu, J.; Yang, L.; Yang, G.; Miao, C.; Lv, P. Sulfonated imidazolium ionic liquid-catalyzed transesterification for biodiesel synthesis. Fuel 2017, 188, 483–488. [Google Scholar] [CrossRef]
  22. Fang, D.; Yang, J.; Jiao, C. Dicationic Ionic Liquids as Environmentally Benign Catalysts for Biodiesel Synthesis. ACS Catal. 2010, 1, 42–47. [Google Scholar] [CrossRef]
  23. Aghabarari, B.; Dorostkar, N.; Ghiaci, M.; Amini, S.G.; Rahimi, E.; Martinez-Huerta, M.V. Esterification of fatty acids by new ionic liquids as acid catalysts. J. Taiwan Inst. Chem. Eng. 2014, 45, 431–435. [Google Scholar] [CrossRef]
  24. Chang, T.; He, L.; Zhang, X.; Yuan, M.; Qin, S.; Zhao, J. Brönsted acid surfactant-combined dicationic ionic liquids as green catalysts for biodiesel synthesis from free fatty acids and alcohols. Chin. J. Catal. 2015, 36, 982–986. [Google Scholar] [CrossRef]
  25. Gao, J.; Zhu, Y.; Liu, W.; Jiang, S.; Zhang, J.; Ma, W. Hydrogen Bonds in Disulfonic-Functionalized Acid Ionic Liquids for Efficient Biodiesel Synthesis. ACS Omega 2020, 5, 12110–12118. [Google Scholar] [CrossRef]
  26. Lin, X.; Ling, X.; Chen, J.; Li, M.; Xu, T.; Qiu, T. Self-solidification ionic liquids as heterogeneous catalysts for biodiesel production. Green Chem. 2019, 21, 3182–3189. [Google Scholar] [CrossRef]
  27. Li, M.; Chen, J.; Li, L.; Ye, C.; Lin, X.; Qiu, T. Novel multi–SO3H functionalized ionic liquids as highly efficient catalyst for synthesis of biodiesel. Green Energy Environ. 2020, 6, 271–282. [Google Scholar] [CrossRef]
  28. Chen, J.; Li, M.; Li, M.; Lin, X.; Qiu, T. Self-Solidifying Quaternary Phosphonium-Containing Ionic Liquids as Efficient and Reusable Catalysts for Biodiesel Production. ACS Sustain. Chem. Eng. 2020, 8, 6956–6963. [Google Scholar] [CrossRef]
  29. He, L.; Qin, S.; Chang, T.; Sun, Y.; Gao, X. Biodiesel synthesis from the esterification of free fatty acids and alcohol catalyzed by long-chain Brønsted acid ionic liquid. Catal. Sci. Technol. 2012, 3, 1102–1107. [Google Scholar] [CrossRef]
  30. Cai, D.; Zhan, G.; Xiao, J.; Zhou, S.-F.; Qiu, T. Design and synthesis of novel amphipathic ionic liquids for biodiesel production from soapberry oil. Renew. Energy 2020, 168, 779–790. [Google Scholar] [CrossRef]
  31. Lozano, P.; Bernal, J.M.; Gómez, C.; Álvarez, E.; Markiv, B.; García-Verdugo, E.; Luis, S.V. Green biocatalytic synthesis of biodiesel from microalgae in one-pot systems based on sponge-like ionic liquids. Catal. Today 2019, 346, 87–92. [Google Scholar] [CrossRef]
  32. Wahidin, S.; Idris, A.; Yusof, N.M.; Kamis, N.H.H.; Shaleh, S.R.M. Optimization of the ionic liquid-microwave assisted one-step biodiesel production process from wet microalgal biomass. Energy Convers. Manag. 2018, 171, 1397–1404. [Google Scholar] [CrossRef]
  33. Wahidin, S.; Idris, A.; Shaleh, S.R.M. Ionic liquid as a promising biobased green solvent in combination with microwave irradiation for direct biodiesel production. Bioresour. Technol. 2016, 206, 150–154. [Google Scholar] [CrossRef] [PubMed]
  34. El Sherbiny, S.A.; Refaat, A.A.; El Sheltawy, S.T. Production of biodiesel using the microwave technique. J. Adv. Res. 2010, 1, 309–314. [Google Scholar] [CrossRef]
  35. Motasemi, F.; Ani, F.N. A review on microwave-assisted production of biodiesel. Renew. Sustain. Energy Rev. 2012, 16, 4719–4733. [Google Scholar] [CrossRef]
  36. Quitain, A.T.; Sumigawa, Y.; Mission, E.G.; Sasaki, M.; Assabumrungrat, S.; Kida, T. Graphene Oxide and Microwave Synergism for Efficient Esterification of Fatty Acids. Energy Fuels 2018, 32, 3599–3607. [Google Scholar] [CrossRef]
  37. Ding, H.; Ye, W.; Wang, Y.; Wang, X.; Li, L.; Liu, D.; Gui, J.; Song, C.; Ji, N. Process intensification of transesterification for biodiesel production from palm oil: Microwave irradiation on transesterification reaction catalyzed by acidic imidazolium ionic liquids. Energy 2018, 144, 957–967. [Google Scholar] [CrossRef]
  38. Bölük, S.; Sönmez, Ö. Microwave-Assisted Esterification of Oleic Acid Using an Ionic Liquid Catalyst. Chem. Eng. Technol. 2020, 43, 1792–1801. [Google Scholar] [CrossRef]
  39. Yan, J.; Zhao, Y.; Li, K.; Zhang, H.; Fan, L.; Lu, Z. Efficient production of biodiesel from ionic liquid catalyzed esterification using ultrasonic-microwave combined intensification. Chem. Eng. Process. Process Intensif. 2020, 149, 107870. [Google Scholar] [CrossRef]
Figure 1. General scheme of fatty acid esterification with acidic ILs.
Figure 1. General scheme of fatty acid esterification with acidic ILs.
Molecules 28 05231 g001
Scheme 1. Synthetic routes to three different types of SAILs.
Scheme 1. Synthetic routes to three different types of SAILs.
Molecules 28 05231 sch001
Table 1. Conversions of fatty acids to FAEE after 30 min microwave heating.
Table 1. Conversions of fatty acids to FAEE after 30 min microwave heating.
Catalyst LoadingSAIL 2
0.1 eq
SAIL 2
0.2 eq
SAIL 2
0.3 eq
SAIL 5
0.1 eq
SAIL 5
0.2 eq
SAIL 5
0.3 eq
SAIL 8
0.1 eq
Conversion FAEE [%]86.886.692.290.894.994.54.3
Table 2. Esterification of fatty acids with ethanol using 30% molar loading of SAIL 2, 5, 8, molar ratio (ethanol to oleic acid) 16.5:1, bath temperature 100 °C (ethanol reflux), conversion after 2 h.
Table 2. Esterification of fatty acids with ethanol using 30% molar loading of SAIL 2, 5, 8, molar ratio (ethanol to oleic acid) 16.5:1, bath temperature 100 °C (ethanol reflux), conversion after 2 h.
Catalyst Conversion of Fatty Acids to FAEE (%)
Experiment 1Recycling 1Recycling 2Recycling 3Recycling 4
SAIL 299.398.295.778.066.7
SAIL 598.497.298.896.181.4
SAIL 899.798.196.099.799.1
Table 3. Esterification of oleic acid with ethanol catalyzed by IL—comparison with the literature.
Table 3. Esterification of oleic acid with ethanol catalyzed by IL—comparison with the literature.
CatalystLoading (mol %)Ethanol/AcidTemperature
(°C)
Reaction Time
(h)
Conversion (%)Ref.TOF (h−1)
[C12Sb][Tos]21.5/1604.595.72410.6
[DDPA][Tos]101.5/160394.6293.2
[NMP][CH3SO3]342/170896.5 a190.35
[TMEDAPS][HSO4]201.8/170696 a220.8
IL8B ionic liquid7.52/150695.4 b232.1
SAIL 83016.5/1100 c299.7 aThis work1.7
a best result; b yield; c bath temperature.
Disclaimer/Publisher’s Note: The statements, opinions and data contained in all publications are solely those of the individual author(s) and contributor(s) and not of MDPI and/or the editor(s). MDPI and/or the editor(s) disclaim responsibility for any injury to people or property resulting from any ideas, methods, instructions or products referred to in the content.

Share and Cite

MDPI and ACS Style

Nguyen Thi, T.H.; Koutecká, J.; Kaule, P.; Vrtoch, L.; Šícha, V.; Čermák, J. Design and Synthesis of New Sulfonic Acid Functionalized Ionic Liquids as Catalysts for Esterification of Fatty Acids with Bioethanol. Molecules 2023, 28, 5231. https://doi.org/10.3390/molecules28135231

AMA Style

Nguyen Thi TH, Koutecká J, Kaule P, Vrtoch L, Šícha V, Čermák J. Design and Synthesis of New Sulfonic Acid Functionalized Ionic Liquids as Catalysts for Esterification of Fatty Acids with Bioethanol. Molecules. 2023; 28(13):5231. https://doi.org/10.3390/molecules28135231

Chicago/Turabian Style

Nguyen Thi, Thu Huong, Jiřina Koutecká, Pavel Kaule, Luboš Vrtoch, Václav Šícha, and Jan Čermák. 2023. "Design and Synthesis of New Sulfonic Acid Functionalized Ionic Liquids as Catalysts for Esterification of Fatty Acids with Bioethanol" Molecules 28, no. 13: 5231. https://doi.org/10.3390/molecules28135231

APA Style

Nguyen Thi, T. H., Koutecká, J., Kaule, P., Vrtoch, L., Šícha, V., & Čermák, J. (2023). Design and Synthesis of New Sulfonic Acid Functionalized Ionic Liquids as Catalysts for Esterification of Fatty Acids with Bioethanol. Molecules, 28(13), 5231. https://doi.org/10.3390/molecules28135231

Article Metrics

Back to TopTop