Abstract
In this paper, we report the effect of metal oxide (Fe2O3) loading in different weight ratios (0.5%, 1%, 2%, and 4%) on the structural and electrical parameters, viz., the complex dielectric constant, electric modulus spectra, and the AC conductivity, of polymeric composites of PVDF/PMMA (30/70 weight ratio) blend. The structural and geometric measurements have been analyzed with the help of peak location, peak intensity, and peak shape obtained from XRD as well as from FTIR spectra. The electrical properties have been investigated using an impedance analyzer in the frequency range 100 Hz to 1 MHz. The real parts of the complex permittivity and the dielectric loss tangent of these materials are found to be frequency independent in the range from 20 KHz to 1 MHz, but they increase with the increase in the concentration of nano-Fe2O3. The conductivity also increases with an increased loading of Fe2O3 in PVDF/PMMA polymer blends. The electric modulus spectra were used to analyze the relaxation processes associated with the Maxwell–Wagner–Sillars mechanism and chain segmental motion in the polymer mix.
1. Introduction
Polymer nano composites (PNC) are basically a polymer matrix containing small amounts of inorganic filler homogeneously dispersed by means of a state- of-the-art process. They are gaining considerable interest from researchers due to their numerous uses in current cutting-edge technologies and devices in the rapidly expanding and changing field of science [1,2,3,4,5,6]. PNCs have the capacity to incorporate the advantageous characteristics of both nanofillers and polymer mixtures. In comparison to pure polymers, doped polymer nanocomposites might offer a wide range of industrial applications. Numerous nano fillers can significantly enhance the thermophysical properties of polymer nanocomposites, enabling a wide range of commercial applications in industries like electronics, optics, energy, sensors, and healthcare [7,8,9,10,11]. Several studies have indicated [12,13,14,15,16,17,18,19,20,21,22,23,24,25,26,27,28,29,30,31] improved composite properties as a result of doping polymers with various nano fillers. The incorporation of carbon soot into polymers enhances their thermal conductivity and mechanical properties, such as tensile strength and hardness, making them suitable for applications where efficient heat dissipation is required. The doping of potassium- based ternary oxides (KMnO4 and K2CrO4); tin salts (SnCl2and SnO2); and ZnO in polymers has been shown to alter optical [5,7,15,16,28] and electrical [3,11,16,22,25,27] properties, thus enabling them to be used as significant EM shielding devices, coatings, textiles, and biomedical devices. FeCl3 [19,30] doping was found suitable for enhancing optical, magnetic, and electrical properties, making it suitable for magnetic resonance imaging (MRI), magnetic sensors, and electromagnetic devices.
When insulating polymers and conducting fillers are combined, they exhibit intriguing electrical behavior [1,4,7,9,12,14,18,21,22,23,24,25,26,27,31,32,33,34]. The interaction between the insulating polymer matrix and the conducting filler leads to the formation of powerful interfaces that actively and passively influence the dielectric behavior of the composite. Upon dispersion of the filler into the polymer matrix, there are changes in the local charge distribution and morphology at the interfaces between the two materials. This alteration affects the density and energy depths of the trap sites, which in turn influences the charge mobility and resulting dielectric properties of the composite. At lower concentrations, the filler particles are sufficiently spaced apart, preventing the creation of a conductive path. In this regime, the electrical behavior of the composite is primarily influenced by interfacial polarization occurring at the interface. Thus, the electrical behavior remains the same as that of the original host material. However, when the filler is added in adequate amounts, a percolation path is formed, connecting the filler particles. This percolation path allows for charge transport through the surface of the filler particles, leading to a change in the charge storage capacity of the composite [7,18,31].
To analyze the electrical behavior, two important contrasting electrical parameters need to be determined:
- The capacitive behavior of the composite described by complex electrical permittivity (εr), which quantifies the ability of the material to store electrical energy in an electric field;
- The conductive behavior of the composite material characterized by the electrical conductivity (σ), which represents the ability of the material to conduct electrical current.
Understanding the electrical behavior of the composite depends on how these electrical properties are affected by the nature, quantity, and addition technique of the fillers. For the design and development of specific materials for dielectric applications in microelectronics, this understanding is crucial. It is feasible to design composites with the appropriate electrical properties for particular applications in the realm of microelectronics by customizing the filler type, concentration, and method.
In this present study, we aimed to investigate the effect of doping Fe2O3 nanofillers at varying concentrations (0%, 0.5% 1%, 2%, and 4% by weight) in the PVDF/PMMA composite blend with a ratio of 3:7. In our previous research, we observed that blending PMMA with PVDF enhances the β-phase of PVDF, resulting in significant dielectric permittivity and extremely low dielectric losses in the blend, making it a suitable host polymer matrix [24,32]. In general, oxides have been attractive materials for enhancing the electrical properties of polymer composites [32,33,34,35,36,37,38,39,40,41]. For instance, SnO2 addition enhances properties such as dielectric permittivity and AC electrical conductivity of poly vinyl pyrrolidone [33]. The Fe2O3 nanoparticles have been shown to exhibit semiconducting behavior, particularly in their hematite form (α-Fe2O3), making them useful in electronic devices, chemical sensors, and energy storage systems. According to a comprehensive review of the literature, adding ferric oxide nanoparticles to polymers alters the material’s structural, optical, ferromagnetic, or superparamagnetic behavior noticeably [38,39,40,41]. In a report by Bashir et al., it was shown that the interaction between Fe2O3 and polyaniline enhanced conductivity to a great extent [40]. In general, it is believed that the increment in complex permittivity with increasing Fe2O3 nanofiller can be attributed to the polarization process due to the enhanced conductivity and interfacial polarization in the composite and the hopping exchange of charges between localized states. A further reason for the influence on the relative complex permittivity of the nanocomposites is the particle size of the Fe2O3 nanofiller, since the nano size had a high specific surface area that enabled good contact between the particles and the matrix. The increment in ε′ and ε″ at low frequency can be attributed to the dominant role of dipolar and interfacial polarization. However, the increment at high frequencies can be attributed to the electronic and ionic polarization of the system. Collectively, α-Fe2O3 is a low-cost ceramic material with dielectric constant ε′= εr = 30; conductivity σ = 10−5 to 10−6 S-cm−1; and band gap = 2.1 eV. With these fascinating properties, the incorporation of α-Fe2O3 in PVDF/PMMA blends is expected to facilitate the following:
- Charge storage in the polymer blend resulting in the enhancement of the dielectric constant;
- Fe2O3 nanoparticles acting as conductive fillers, providing additional pathways for electron transport resulting in an increase in overall conductivity;
- An expected enhancement of dielectric losses, as conductivity would be increasing;
- An alteration in the relaxation timescales and the distribution of relaxation processes, resulting in changes in impedance and frequency-dependent electrical behavior.
We expect these resulting polymeric composites to attain the advantage of being light weight and low cost, with ease of mass processibility with a required moderate dielectric constant in the range 10–30 and enhanced conductivity providing advantages in applications that require efficient charge transport or electrical connectivity, such as electronic devices, sensors, or conductive coatings. There have been no studies on the electric properties of Fe2O3-doped PVDF/PMMA blends so far. Therefore, in this paper, we present the variation in dielectric parameters such as the real part (ε’) and imaginary part (ε″) of the dielectric permittivity, as well as the real part (M′) and imaginary part (M″) of the electrical modulus and the AC conductivity (σac) of Fe2O3-doped PVDF/PMMA blends analyzed in the frequency range of 102–106 Hz at room temperature. By systematically studying the electrical behavior of these composites, we can gain insights into the impact of Fe2O3 doping on their dielectric properties. Studies of XRD and FTIR spectra provide insights into the structural features of the produced PNCs.
2. Results and Discussion
2.1. XRD Analysis of Prepared Polymer Blend Nanocomposite PNC Films
The X-ray diffraction patterns of the prepared samples were recorded in the angular range 5–90° using the PANalytical X’Pert Pro system with radiation (λ = 1.5408 Å). The value of the Bragg angle (2θ) obtained on XRD characterization is used to identify the values of basal distance (d) using Bragg’s equation
2dsinθ = nλ
Figure 1 represents the X-ray diffraction pattern of PVDF/PMMA blend polymers doped with different amounts of Fe2O3 (0, 0.5%, 1%, 2%, and 4wt %). The PVDF/PMMA matrix shows a semi-crystalline structure in the XRD pattern, with the arrangement of molecules allowing both the α and β phases of PVDF to coexist. PMMA is found to exist primarily in an amorphous state, with a broad diffraction peak in between 2θ = 10° to 18° exactly localized at 2θ = 13.59° in all curves. The intensity of this broad peak decreases with an increase in Fe2O3 content, as seen in curves (b–e) of Figure 1. The PVDF diffraction peaks with different alpha phases, seen at 2θ = 18.43°, 20.015°, 22.93°, and 26.67°, correspond to (1 0 0), (0 2 0), (1 1 0), and (0 2 1) planes, and the strong peaks of β-phase observed at 2θ = 20.06° and 2θ = 23.16° correspond to the planes (200) and (101).These are in agreement with those reported in our earlier work as well as those reported by Dhatarwal et al., 2020 [12,24,32,33]. Iron oxides commonly exist in either hematite (α-Fe2O3) or maghemite (γ-Fe2O3) crystal structures; however, here, only one significantly rhombohedral hematite phase is visible in the XRD measurements for hematite powder, i.e., α-Fe2O3. The curves (b–e) of Figure 1 show an increase in the relative intensity of the diffraction peaks of Fe2O3 as the content of filler is increased in the nanocomposite. The sharp hematite (α-Fe2O3) peaks, alongside the host system’s peaks, at 33.38°, 35.69°, 40.89°, 49.48° 54.14°, 57.48°, 61.72°, and 64.77° correspond to (104), (110), (113), (024) (116), (018), (214), and (300) planes, respectively. Here, the indexing of hkl planes of various peaks was carried out for pristine hematite (α-Fe2O3) JCPDS card no. S 13-534 [38,39,40,41]. Further, we can be assured that the α-Fe2O3 powder is free of impurities, as can be concluded from the absence of any residual peak in the XRD spectrum.
Figure 1.
XRD stack representation of Fe2O3-doped polymer composites PVDF/PMMA (by wt% ratio 30/70).
The variation in crystallite size L of the nanocomposites as a function of Fe2O3 concentration was estimated by means of Scherrer’s formula:
The structural parameters for prepared nanocomposites are listed in Table 1.
Table 1.
Bragg’s angle (2θ), basal spacing (d), full width at half maximum (FWHM) β, crystalline size (L), peak intensity I of the PVDF diffraction peaks of (PVDF/PMMA) with x wt% Fe2O3 films as a function of x wt%.
To confirm the particle size, the size and strain broadening were also calculated using the W–H (Williamson–Hall) formula:
where the values of strain (C) and size (kλ/L) are obtained from the slope and intercept of the W–H plot (βcos θ versus sin θ). The slope and intercept obtained are 0.166 and ~24.12 nm, respectively from Figure 2. Here, the positive value of the slope represents the strain of the Fe2O3 loaded polymer blend film, which shows the polymer blend film to be of high tensile strength.
Figure 2.
Williamson–Hall plot for PVDF/PMMA (30/70 wt%) with Fe2O3-doped PNC films.
2.2. FTIR Spectra and Polymer Blend—Nanofiller Interaction
Figure 3 depicts the FTIR spectra in the frequency range 500–4000 cm−1, correlating the chemical structure of the PVDF/PMMA blend and Fe2O3 blend nanocomposites. The FTIR spectrum of the pure polymer blend is in close agreement with one reported earlier [38,39,40,41]. It is clear from the analyzed FTIR spectra that each nano filler -doped PNC film displays the same behavior as that of the pure PB films. A little variation in the intensities of a few of the peaks at lower wave numbers has been observed as compared to the peaks at higher wave numbers (in cm−1), which are flattened as the concentration of Fe2O3 increases. The FTIR patterns showed considerable alterations in several peak intensities and in the shapes of a few bands without any significant deviation in the peak position. This implies no strong chemical interaction between the metal oxide nano particles and the polymer blend matrix. It may be concluded that metal oxide nano particles are basically embedded within the voids between polymer blend chains without affecting the material structure as a physical confinement to the polymer chains only. This leads to slight alterations in the polymer chain packing and the crystalline structure, as is also supported by XRD.
Figure 3.
FTIR spectra for Fe2O3 doped PVDF/PMMA films.
2.3. Variation of Dielectric Parameters with Frequency and Composition
When conducting filler is dispersed into a non-conducting polymer matrix, the distribution and mobility of the charge carriers are affected at their interface. At smaller concentrations of filler, interfacial polarization occurs, and capacitive behavior predominates in the system, but when an adequate amount of filler is added so that the particle distance decreases and the filler particles connect to form a conductive path, it facilitates easy charge transport. Such behavior can be analyzed from the values of complex electrical permittivity (εr) and electrical conductivity (σ), which show the capacitive behavior and the conductive behavior of the composite material, respectively. It is crucial to comprehend how these electrical properties depend on the type and amount of filler and the method of filler addition when designing and developing innovative materials for dielectric applications in microelectronics. The Wayne Kerr 6500B impedance analyzer was utilized to measure the impedance parameters, viz., resistance R, capacitance C, and dissipation factor (D = tan δ); using these, the variation of dielectric parameters (ε’ and ε” and tan δ) with frequency (0.1 kHz–1 MHz) and composition (0.5%, 1%, 2%, 4% by wt. of Fe2O3) was studied and is presented here in this section for the fabricated samples of Fe2O3-doped PVDF/PMMA blend composites.
2.3.1. Variation in Dielectric Constant
The dielectric constant (ε′), or the real part of the complex electric permittivity (εr = ε′ + i ε″), is a measure of the charge retention capacity of a medium and depends upon the polarization of the molecules of the material. The greater the polarizability of the molecules, the higher the dielectric constant. It is calculated using the well-known relation for capacitance
ε′ = C t/(ε0A)
Here, the values of capacitance C over the given frequency range were obtained using an impedance analyzer and assuming the thickness t = 10−4 m, the surface area of sample A = (10−2 m × 10−2 m), and ε0 = 8.854 × 10−12 F/m. The curves for ε′ obtained using this method are depicted in Figure 4 for all the samples.
Figure 4.
Variation of ε’ with the frequency of PMMA/PVDF-Fe2O3 films.
Figure 4 reveals the ε′ values of Fe2O3-doped polymer blend films to be higher than those of the pristine PVDF/PMMA (30/70 wt%) blended films in the entire frequency range. When a small amount of filler (below 3 wt%) is incorporated into the polymer matrix, the nanofillers act as capacitor electrodes, and some microcapacitance structures are formed (the Maxwell–Wagner–Sillars (MWS) effect), resulting in a slight increase in the dielectric constant as compared to that of the pure polymer. On increasing the content of filler material, the host polymer becomes trapped as a very thin dielectric insulating layer of polymer, sandwiched between two neighboring nanoparticle layers. When these nanoparticles become close enough to almost contact each other while still remaining isolated and electrically insulated, they form many parallel or serial microcapacitors; this leads to a high dielectric constant. Concentrations of filler above 5% by weight exhibited an abrupt behavior in measured electrical parameters and are hence not included here.
It can be further observed that the ε’ values of all the prepared films decrease with an increase in frequency throughout the entire frequency range, with a steep decrease in the 100–104 Hz region, and a gradual variation at the frequencies above 104 Hz. The decrease in these values with an increase in frequency is due to the fact that the molecules undergoing polarization are unable to adopt changes due to the oscillations of the external electric field. Periodic and rapid reversals in the electric field make it impossible for dipoles to align along the applied field. As a result, there is no extra charge dispersion along the electric field, and we see a drop in the values of the dielectric constant. At lower frequencies, the dipoles have enough time to align with the electric field, but as the frequency increases, the dipoles are not able to switch on at the same pace as the electric field [22,24,25,27,32,34,36,41].
2.3.2. Variation of Loss Tangent and Dielectric Loss (ε)
The dielectric loss (ε) of the sample films is calculated using the relation:
where D is the dielectric loss tangent or the dissipation factor (tan δ) spectra obtained for blend composites. Figure 5 depicts the variation of the dielectric loss of PVDF/PMMA-Fe2O3 composites with an increase in frequency, indicating that εobeys the same trend as ε′.
Figure 5.
Variation of tan δ (Top) and imaginary part of dielectric constant ε″ (Bottom) with the frequency for PVDF/PMMA-Fe2O3 films at room temperature.
The imaginary part (ε″) of dielectric permittivity, or the dielectric loss, occurs because the molecules undergoing polarization are unable to adopt the same rate of change with which the external electric field oscillates. The time taken by the dipoles to regain their original random orientation, called the relaxation time (τ), is responsible for this. The lagging behind of polarization to the applied electric field is measured by calculating the phase angle between the resistive and reactive components, and it is called the loss tangent or tan δ. Relatively high values of tan δ at low frequencies for the PNC films are observed, which is generally attributed to the leakage current in the polymeric composite samples [22,24,27,34,35,36]. Further, the values of ε″ for the composite films are found to be greater than those for the PVDF/PMMA blend matrix, confirming the increase in energy loss per cycle in the nanocomposites. The addition of Fe2O3 increases the dielectric constant to the desired extent with a simultaneous undesirable increase in dielectric loss. The gain in the dielectric constant compensates for the gain in losses. The presence of Fe2O3 nanofiller in the polymer matrix influences the relaxation process and the ability of the material to dissipate energy, and this information is what we analyze from the tan δ curve and, consequently, from the ε″ curve. The dielectric relaxation peaks exhibited in their tan δ spectra correspond to the mutual local motion of the polymeric chains in the blend, and the broadening of the peaks reflects the overlapping of the IP relaxation process and the merged αβ processes. A similar increase in tan δ values on the incorporation of a Fe2O3 filler in a polymer matrix has also been reported earlier by Bashir and co-researchers [40,41] and in another work, Fe2O3 has been added into a PVA/PEG blend by Sayed et al. [42], and in the study undertaken on Fe2O3 in ten kinds of polymer matrices by Kenichi Hayashida [43], a similar trend was observed. Such behavior has been observed even with other metal oxide fillers in different polymers, e.g., when Al2O3 is inserted in a PVA or PEO-PMMA blend as reported in [14,20], respectively, or when ZnO is inserted in a PVDF/PMMA blend [32], or in research on trends in the use of SnO2 in PVP or PEO [33,34].
2.3.3. Variations in Electric Modulus Spectra (M*) Dielectric Parameters with Frequency and Composition
A detailed understanding of electrical behavior is obtained by studying the variation of the electric modulus M∗(ω) = 1/ε∗(ω) = M′ + jM″.
The real part of the electric modulus (M′) and the imaginary part of the electric modulus (M″) are calculated from the evaluated values of ε’ and ε″ as per the relations:
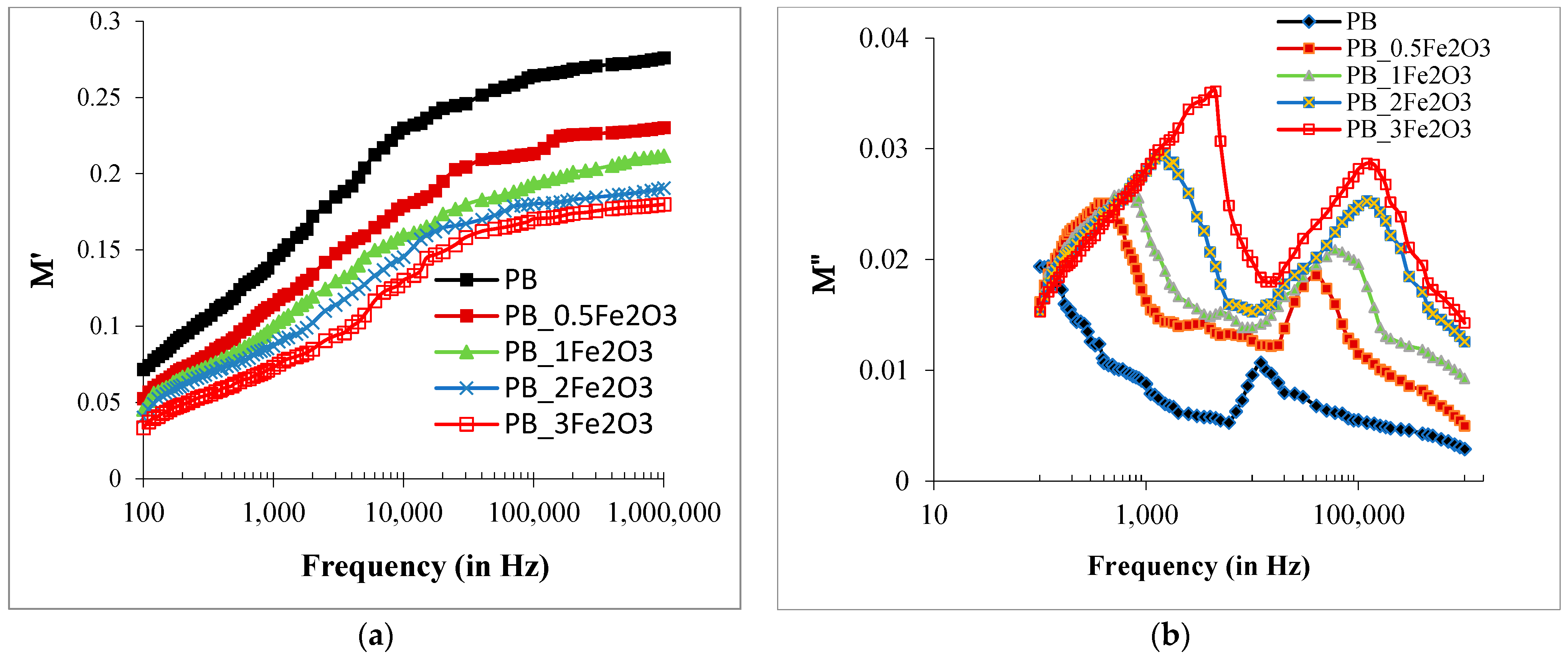
From Figure 6a, it is found that the M′ values of the PNC films initially have a steeper increase with the increase in frequency from 100 Hz to approximately 10 kHz, whereas in the high-frequency region, these values increase gradually and finally approach the steady state above 100 kHz. The non-zero M′ values in the low-frequency region are evidence that the significant increase in ε′ values with the decrease in frequency in the low-frequency range is the bulk property of these PNC materials. The increase in the dielectric permittivity is due to the contribution of the IP effect and is not affected by the EP effect in the ε′ values. This type of M′ behavior has also been observed in several polymer composite materials [20,21,22,23,24,25,26,27,28,29,30,31,32,33,34,35,36]. Figure 6b shows that the M″ spectra of the PNC films exhibit the modulus relaxation peaks in the intermediate frequency range. These relaxation peaks of the M″ spectra are relatively sharp as compared to those of the tan δ spectra peaks, and the same characteristic may also be assigned to the polymers’ cooperative chain segmental dynamics in the modulus formalism. On the addition of Fe2O3 nanoparticles in the PVDF/PMMA blend structure up to 4 wt%, the M″ peak shifts towards the higher- frequency side, which implies that the polymer–nanoparticle interaction reduces the polymer–polymer interaction strength and facilitates the cooperative chain segmental dynamics in the PNC film. The shift in peak towards the higher side can be associated with the reorientation of dipoles, charge redistribution, or other dynamic phenomena occurring at the molecular or microstructural level in the host matrix. As the concentration of filler increases, the peak size is observed to be larger. Larger peak amplitudes indicate higher energy dissipation, suggesting that the composite material exhibits significant electrical loss or charge dissipation behavior. These values are in agreement with the changes observed in the structural properties seen in the XRD and FTIR results.
Figure 6.
Variation of electric modulus (a) real part M′ (b) and imaginary part M″ with frequency for PVDF/PMMA-Fe2O3 films at room temperature.
2.3.4. Electric Conductivity (σ)
The AC electrical conductivity σac(ω), which depends on the frequency of these PNC films, was measured using relation
and it has been plotted in Figure 7 as a function of an electric field frequency of 102–106 Hz at room temperature. We can notice that the values are of the order of 10−7–10−8 S/m at 100 Hz, and this increases with the increase in frequency as well as in filler concentration. The increase with the increase in filler content is obvious due to the increase in charge carriers. Continuous conductive paths of macroscopic length appear in the system, thereby increasing the conductivity with the increase in filler content. The value also rises at higher frequencies due to the short-range intra-well hopping of charge carriers between localized states.
σac(ω) = ωε0ε″
Figure 7.
Variation of AC electrical conductivity of Fe2O3-doped PVDF/PMMA blend films.
3. Materials and Methods
3.1. Materials
To ensure reproducibility and allow other researchers to understand and replicate our study’s methodology, we share here the procurement details of the materials used. In this study, for the polymer blend formation, PVDF in powdered form obtained from Sigma Aldrich Chemicals, Pvt. Ltd. (Delhi, India) and PMMA granules from M/s Gharda Chemicals, Bharuch, India were mixed in a ratio of 30:70 by weight. Ferric oxide (Fe2O3), used as filler material, was obtained from Sigma Aldrich. The solvent used was dichloromethane, which was obtained from Merck India PVT Ltd., Mumbai, India. It had a purity of 99.8%.
3.2. Composite Fabrication and Characterization
The flow chart in Figure 8 below explains the procedure adopted for the fabrication of ferric oxide- doped PVDF/PMMA blend films, which is similar to the steps reported in our previous publications [15,22,24,27,30,32].
Figure 8.
Chart depicting the synthesis of Fe2O3 PNC films (solution casting method for preparing the PNC films).
The obtained films are depicted in Figure 9. These films are clear and with an increasing tinge of reddishness as the content of filler is increased. A number of measurements were performed to obtain information about the uniformity and approximate thickness of the prepared films:
Figure 9.
Fe2O3-doped polymer composite films with different weight ratios: (a) 0.5%; (b) 1.0%; (c) 2.0%; (d) 4%.
- (1)
- Michelson interferometry was performed, where straight-line fringes were obtained only for films of uniform thickness. The fringes were curved and disturbed for films with non-uniform thickness;
- (2)
- The prepared films were measured at different points using a screw gauge with a least count of 0.01 mm;
- (3)
- The measured thickness was verified by performing a volumetric analysis, where, from the measured values of density and mass and the radius of the petri dish, the thickness of the film was calculated;
- (4)
- The thickness of samples was further measured using optical profilometry. The films were then cut into small pieces with a length–breadth ratio of 1:1 for use in XRD, FTIR, and dielectric spectroscopy to investigate their structural and dielectric properties.
The X-ray diffraction for the structural characterization was performed using the PANalytical X’Pert Pro system, and the W–H (Williamson–Hall) formula was used to determine the size and the strain broadening. The FTIR spectroscopic study was carried out using a Perkin Elmer G-FTIR spectrophotometer. The Wayne Kerr 6500B impedance analyzer was utilized to measure the impedance parameters.
4. Conclusions
In studies on complex dielectric permittivity, electrical modulus, and the AC conductivity behavior of PVDF/PMMA films with varying amounts of Fe2O3, results revealed that the introduction of various weight percentages of metal oxide Fe2O3 nanofillers in the host polymer blend matrix significantly alters the dielectric polarization, charge transport property, and electrical conduction. Over the entire experimental frequency range 0.1 K Hz to 1 M Hz, it was found that increasing the Fe2O3 content significantly increases the dielectric constant (ε), AC conductivity (σAC), and loss tangent (tan δ), all of which have higher values than those of the pristine PB film. Further, this dielectric constant decreases with the increase in frequency and increases with the concentration of Fe2O3. Such studies show that these prepared samples are quite promising candidates for use as a tunable nanodielectric substrate in microelectronic device fabrication.
Author Contributions
Conceptualization, M.B.; methodology, F.D. and V.K.; formal analysis, K.S. and F.D.; investigation, F.D. and A.K.G.; data curation, A.J.; writing—original draft preparation, F.D.; writing—review and editing, K.S. and M.B.; supervision, A.J. All authors have read and agreed to the published version of the manuscript.
Funding
This research received no external funding.
Institutional Review Board Statement
Not applicable.
Informed Consent Statement
Not applicable.
Data Availability Statement
Data available with authors.
Acknowledgments
The authors are thankful to Tomoyuki Ichikawa for his technical support during the work.
Conflicts of Interest
The authors declare no conflict of interest.
Sample Availability
Samples are available from the authors.
References
- Tan, D.; Irwin, P. Polymer Based Nanodielectric Composites. In Advances in Ceramics; Sikalidis, C., Ed.; InTech: Rijeka, Croatia, 2011. [Google Scholar] [CrossRef]
- Mittal, V. Characterization Techniques for Polymer Nanocomposites; Wiley-VCH Verlag GmbH & Co. KgaA: Weinheim, Germany, 2012. [Google Scholar] [CrossRef]
- Bafna, M.; Gupta, A.K.; Khanna, R.K.; Vijay, Y.K. Development of potassium permanganate (KMnO4) doped poly methyl methacrylate (PMMA) composite using layered structure for electromagnetic shielding purpose. Mater. Today Proc. 2020, 30, 11–16. [Google Scholar] [CrossRef]
- Keith, N.J. Dielectric Polymer Nanocomposites; Springer Science Business Media, LLC: New York, NY, USA, 2010. [Google Scholar] [CrossRef]
- Bafna, M.; Gupta, A.K.; Khanna, R.K. Effect of potassium chromate nanoparticles on the optical properties of poly (methyl methacrylate) (PMMA) films. Mater. Today Proc. 2019, 10, 38–45. [Google Scholar] [CrossRef]
- Zha, J.W.; Zheng, M.S.; Fan, B.; Dang, Z.M. Polymer-based dielectrics with high permittivity for electric energy storage: A review. Nano Energy 2021, 89, 106438. [Google Scholar]
- Bafna, M.; Sain, N.; Khandelwal, A.; Deeba, F.; Gupta, A.K. Study of refractive index and dispersion behavior of KMnO4 doped poly-methyl-methacrylate (PMMA)composites. Mater. Today Proc. Sci. Direct. 2022, 66, 3481–3486. [Google Scholar] [CrossRef]
- Reddy, B.S.R. Advances in Nanocomposites-Synthesis, Characterization and Industrial Applications; InTech: Rijeka, Croatia, 2011. [Google Scholar]
- Jiang, S.; Jin, L.; Hou, H.; Zhang, L. Polymer-Based Nanocomposites with High Dielectric Permittivity. In Polymer-Based Multifunctional Nanocomposites and Their Applications; Song, K., Liu, C., Guo, J.Z., Eds.; Elsevier: Amsterdam, The Netherlands, 2019; Chapter 8; pp. 201–243. [Google Scholar] [CrossRef]
- Al, D.M.; Madani, M.; Ghobashy, M.M. Preparation and Dielectric Property of TiO2 Doping with Silver Dispersed in Polyvinyl Alcohol and Polyurethane (TiO2@Ag/PVA-PU) Nanocomposite Materials. Asian J. Sci. Res. 2020, 13, 244–252. [Google Scholar] [CrossRef]
- Gupta, A.K.; Bafna, M.; Srivastava, S.; Khanna, R.K.; Vijay, Y.K. Study of electromagnetic shielding effectiveness of metal oxide polymer composite in their bulk and layered forms. Environ. Sci. Pollut. Res. 2021, 28, 3880–3887. [Google Scholar] [CrossRef]
- Sengwa, R.; Dhatarwal, P. Polymer nanocomposites comprising PMMA matrix and ZnO, SnO2, and TiO2 nanofillers: A comparative study of structural, optical, and dielectric properties for multifunctional technological applications. Opt. Mater. 2021, 113, 110837. [Google Scholar] [CrossRef]
- Tailor, R.; Vijay, Y.K.; Bafna, M. Carbon soot polymer nanocomposites (CSPNCs): Production, surface morphological, glass transition temperature phenomenon and optical properties. In Environmental Emissions; InTech: Rijeka, Croatia, 2020. [Google Scholar]
- Sengwa, R.J.; Choudhary, S. Nonlinear enhancement of the dielectric properties of PVA-Al2O3 nanocomposite. Adv. Mater. Proc. 2017, 2, 280–287. [Google Scholar] [CrossRef]
- Gupta, A.K.; Bafna, M.; Vijay, Y.K. Study of optical properties of KMnO4 doped poly (methylmethacrylate)(PMMA) composite films. Bull. Mater. Sci. 2018, 41, 160. [Google Scholar] [CrossRef]
- Garg, N.; Bafna, M. Investigation of structural, optical, electrical and mechanical properties of di-methyl-tin-di-chloride PMMA composite films. Mater. Today Proc. 2020, 30, 78–83. [Google Scholar] [CrossRef]
- Sinha, S.; Chatterjee, S.K.; Ghosh, J.; Meikap, A.K. Analysis of the dielectric relaxation and ac conductivity behavior of polyvinyl alcohol-cadmium selenide nanocomposite films. Polym. Compos. 2017, 38, 287. [Google Scholar] [CrossRef]
- Deeba, F.; Bafna, M.; Jain, A. Tuning of electrical properties of polymer blends or composites by the doping of salts and inorganic fillers: A review. SGVU Int. J. Environ. Sci. Technol. 2022, 8, 46–69. [Google Scholar]
- Bafna, M.; Gupta, A.K.; Agarwal, A.; Sain, N.; Jain, V. Insight into the optical properties of poly-methyl-methacrylate (PMMA) loaded with ferric chloride (FeCl3) in varying concentration. Mater. Today Proc. 2021, 38, 1209–1213. [Google Scholar] [CrossRef]
- Liang, B.; Tang, S.; Jiang, Q.; Chen, C.; Chen, X.; Li, S.; Yan, X. Preparation and characterization of PEO/PMMA polymer composite electrolytes doped with nanoAl2O3. Electrochim. Acta 2015, 169, 334–341. [Google Scholar] [CrossRef]
- Sengwa, R.J.; Dhatarwal, P.; Choudhary, S. Role of preparation methods on the structural and dielectric properties of plasticized polymer blend electrolytes:Correlation between ionic conductivity and dielectric Parameters. Electrochim. Acta 2014, 142, 359–370. [Google Scholar] [CrossRef]
- Gupta, A.K.; Bafna, M.; Khanna, R.K. Dielectric properties of potassium permanganate (KMnO4)-PMMA composite films. J. Emerg. Technol. Innov. Res. 2018, 5, 433–436. [Google Scholar]
- Ghule, B.; Laad, M. Polymer composites with improved dielectric properties: A review. Ukr. J. Phys. 2021, 66, 166–177. [Google Scholar]
- Deeba, F.; Gupta, A.K.; Kulshrestha, V.; Bafna, M.; Jain, A. Investigations on dielectric properties of PVDF/PMMA blends. Mater. Today Proc. 2022, 66, 3547–3552. [Google Scholar] [CrossRef]
- Gupta, A.K.; Bafna, M. Study of dielectric permittivity and electrical modulus of K2CrO4 doped PMMA. Mater. Today Proc. 2022, 67, 890–893. [Google Scholar] [CrossRef]
- Shobhna, C.; Sengwa, R.J. Effect of different inorganic nanoparticles on the structural, dielectric and ion transportation properties of polymers blend based nanocomposite solid polymer electrolytes. Electrochem. Acta 2017, 247, 924–941. [Google Scholar]
- Bafna, M.; Garg, N.; Gupta, A.K. Variation of dielectric properties & AC conductivity with frequency and composition for stannous chloride _ PMMA composite films. J. Emerg. Technol. Innov. Res. 2018, 5, 494–497. [Google Scholar]
- Bafna, M.; Garg, N. Investigation of Optical properties of tin chloride (SnCl2) doped Poly methyl methacrylate (PMMA) composite films. IIS Univ. J. Sci. Technol. 2017, 6, 27–32. [Google Scholar]
- Guo, N.; Di-Benedetto, S.A.; Tewari, P.; Lanagan, M.T.; Ratner, M.A.; Marks, T.J. Nanoparticle, size, shape, and interfacial effects on leakage current density, permittivity, and breakdown strength of metal oxide-polyolefin nanocomposites: Experiment and theory. Chem. Mater. 2010, 22, 1567. [Google Scholar]
- Gupta, A.K.; Bafna, M.; Agarwal, A.; Sain, N. Dielectric studies and alternating current conductivity studies of polymethylmethacrylate (PMMA) doped with ferric chloride (FeCl3) in varying concentration. Mater. Today Proc. 2021, 38, 1263–1266. [Google Scholar] [CrossRef]
- Suporva, M.; Martynkova, G.S.; Barabaszova, K. Effect of Nano fillers Dispersion in Polymer Matrices: A Review. Sci. Adv. Mater. 2011, 3, 1–25. [Google Scholar] [CrossRef]
- Deeba, F.; Gupta, A.K.; Kulshrestha, V.; Bafna, M.; Jain, A. Analysing the dielectric properties of ZnO doped PVDF/PMMA blend composite. J. Mater. Sci. Mater. Electron. 2022, 33, 23703–23713. [Google Scholar] [CrossRef]
- Dhatarwa, P.; Choudhary, S.; Sengwa, R.J. Effectively Nanofiller Concentration Tunable Dielectric Properties of PVP/SnO2 Nanodielectrics. Mater. Lett. 2020, 273, 127913. [Google Scholar] [CrossRef]
- Dhatarwal, P.; Choudhary, S.; Sengwa, R.J. Significantly Enhanced Dielectric Properties and chain segmental dynamics of PEO/SnO2 Nanocomposites. Polym. Bull. 2020, 78, 2357–2373. [Google Scholar] [CrossRef]
- Anu, M.; Pillai, S.S. Structure, thermal, optical and dielectric properties of SnO2 nanoparticles-filled HDPE polymer. Solid State Commun. 2022, 341, 114577. [Google Scholar] [CrossRef]
- Manivel, P.; Ramakrishnan, S.; Kothurkar, N.K.; Balamurugan, A.; Ponpandian, N.; Mangalaraj, D.; Viswanathan, C. Optical and electrochemical studies of polyaniline/SnO2 fibrous nanocomposites. Mater. Res. Bull. 2013, 48, 640–645. [Google Scholar] [CrossRef]
- Martins, P.; Lopes, A.C.; Méndez, S.L. Electroactive phases of poly(vinylidene fluoride): Determination, processing and applications. Prog. Polym. Sci. 2014, 39, 683–706. [Google Scholar] [CrossRef]
- Yuvaraj, H.; Woo, M.H.; Park, E.J.; Jeong, Y.T.; Lim, K.T. Polypyrrole/γ-Fe2O3 magnetic nanocomposites synthesized in supercritical fluid. Eur. Polym. J. 2008, 44, 637–644. [Google Scholar] [CrossRef]
- Bandgar, D.K.; Navale, S.T.; Vanalkar, S.A.; Kim, J.H.; Harale, N.S.; Patil, P.S.; Patil, V.B. Synthesis, structural, morphological, compositional and electrical transport properties of polyaniline/α-Fe2O3 hybrid nanocomposites. Synth. Met. 2014, 195, 350–358. [Google Scholar] [CrossRef]
- Bashir, T.; Shakoor, A.; Ahmad, E.; Saeed, M.; Niaz, N.A.; Tirmizi, S.K. Structural, morphological, and electrical properties of polyaniline-Fe2O3 nanocomposites. Polym. Sci. Ser. B 2015, 57, 257–263. [Google Scholar] [CrossRef]
- Bashir, T.; Shakoor, A.; Ahmed, E.; Niaz, N.A.; Akhtar, M.S.; Raza, M.R.; Malik, M.A.; Foot, P.J.S. Polypyrrole-Fe2O3 Nanocomposites with High Dielectric Constant: In Situ Chemical Polymerisation. Polym. Polym. Compos. 2018, 26, 3. [Google Scholar] [CrossRef]
- El Sayed, A.M.; Morsi, W.M. α-Fe2O3/(PVA + PEG) Nanocomposite films; Synthesis, optical, and dielectric characterizations. J. Mater. Sci. 2014, 15, 49. [Google Scholar] [CrossRef]
- Kenichi, H. Highly improved dielectric properties of polymer/α-Fe2O3 composites at elevated temperatures. RSC Adv. 2016, 6, 64871–64878. [Google Scholar] [CrossRef]
Disclaimer/Publisher’s Note: The statements, opinions and data contained in all publications are solely those of the individual author(s) and contributor(s) and not of MDPI and/or the editor(s). MDPI and/or the editor(s) disclaim responsibility for any injury to people or property resulting from any ideas, methods, instructions or products referred to in the content. |
© 2023 by the authors. Licensee MDPI, Basel, Switzerland. This article is an open access article distributed under the terms and conditions of the Creative Commons Attribution (CC BY) license (https://creativecommons.org/licenses/by/4.0/).








