Abstract
The synthesis, anticancer, and antioxidant activities of a series of indole-derived hybrid chalcones are reported here. First, using the well-known Claisen–Schmidt condensation method, a set of 29 chalcones has been designed, synthesized, and consequently characterized. Subsequently, screening for the antiproliferative activity of the synthesized hybrid chalcones was performed on five cancer cell lines (HCT116, HeLa, Jurkat, MDA-MB-231, and MCF7) and two non-cancer cell lines (MCF-10A and Bj-5ta). Chalcone 18c, bearing 1-methoxyindole and catechol structural features, exhibited selective activity against cancer cell lines with IC50 values of 8.0 ± 1.4 µM (Jurkat) and 18.2 ± 2.9 µM (HCT116) and showed no toxicity to non-cancer cells. Furthermore, antioxidant activity was evaluated using three different methods. The in vitro studies of radical scavenging activity utilizing DPPH radicals as well as the FRAP method demonstrated the strong activity of catechol derivatives 18a–c. According to the ABTS radical scavenging assay, the 3-methoxy-4-hydroxy-substituted chalcones 19a–c were slightly more favorable. In general, a series of 3,4-dihydroxychalcone derivatives showed properties as a lead compound for both antioxidant and antiproliferative activity.
1. Introduction
Chalcones are a group of naturally occurring compounds with diverse biological effects that serve as promising starting points for drug design. They possess the structure of 1,3-diphenylprop-2-en-1-one (1) and are open-chain precursors for the biosynthesis of flavonoids and isoflavonoids, which are predominantly polyphenolic compounds. Chalcone-containing plants have been extensively utilized in traditional medicine. Additionally, they serve as lead compounds in the development of new drugs [1], with some of them already undergoing clinical trials or being used as drugs [2].
By replacing the phenyl group in the structure of chalcones with various heterocycles, numerous hybrid chalcones with significant biological effects have been obtained [3]. Indole, a potent pharmacodynamic nucleus found in various natural products such as signal molecules (neurotransmitter serotonin, auxin indole-3-acetic acid, indole phytoalexins) as well as many drugs (sunitinib, indomethacin, vincristine, panobinostat) [4], proved to be a suitable heterocycle in the development of hybrid chalcones. One important indole chalcone is MOMIPP (2), which effectively reduces the growth and viability of temozolomide-resistant glioblastoma and doxorubicin-resistant breast cancer cells at low micromolar concentrations. This compound was found to act through a non-apoptotic mechanism of cell death—metuosis—and may serve as a prototype drug against cancer that is resistant to common forms of cell death (for example, apoptosis) [5].
In our recent study, among the 19 investigated chalcones with 1-methoxyindole and 2-alkoxyindole skeletons, four inhibited the proliferation of colorectal cancer cells HCT-116 with IC50 values < 8 μM and displayed low cytotoxicity towards the fibroblast cell line 3T3. Most of them showed activity against human leukemic T cell lymphoma (Jurkat) with an IC50 below 15 μM. The study also demonstrated the binding interactions of selected chalcones with CT DNA and BSA [6]. The chalcone L1 (3) was subsequently shown to have anti-proliferative and pro-apoptotic effects against the HeLa cervical cancer model and was also suggested to be a modulator of the anti-tumor microenvironment [7].
Our previous study demonstrated the effectiveness of fluorinated derivatives [7]. Consequently, we are committed to developing and exploring new fluorinated derivatives of chalcones with an indole core. Our determination is supported by the fact that, over the last thirty years, fluoropharmaceuticals have accounted for 20% of all approved medicines [8]. Numerous reviews have been published analyzing the database of fluorinated drugs to provide reliable insights into drug discovery [8,9,10]. In recent years, while the decline of small-molecule drugs has been observed at the expense of the rising star of biologics, the number of fluorine-containing drugs remains comparable to biologics. The number of fluorinated pharmaceuticals is expected to increase in the future in parallel with advances in fluorinated functionalization methodologies [8]. The high prevalence of fluorinated drugs can be attributed to several factors [8] that influence the absorption, distribution, metabolism, and excretion (ADME) of candidate drugs [8]. Halogenation is a commonly employed and successful method for derivatizing chalcones in the development of prototype drug structures. A series of 2-fluoro, 4-fluoro, and 2,5-difluoro-substituted chalcone derivatives were synthesized and evaluated against five cancer cell lines (IC50 in the range of 0.029–0.729 µM). Compound 4 was identified as the most promising compound for the development of new therapeutic agents, specifically for the treatment of kidney cancer in humans [11]. In another study, 2-fluoro-4′-aminochalcone 5 was among the most active compounds investigated. It induced apoptosis rather than necrosis in both cells and increased p53 expression in ER-positive cells (MCF-7 line) [12].
As mentioned earlier, chalcones are natural substances widely distributed in vegetables, tea, and other plants. Hydroxyl and methoxy groups are the most commonly used functional groups by nature in the formation of chalcones [13]. Significant findings have emerged from the latest examination of drugs containing hydroxyl groups, which constitute a substantial 37% of all medications [14]. Natural products account for a quarter of all medicines sold, with the majority being of synthetic origin. Up to 69% of natural products contain hydroxyl groups, whereas for synthetics, it is only 23%. It was found that the probability of drugs containing hydroxyl functions is much higher for drugs derived from natural products compared to synthetic drugs origin [14]. Many natural chalcones bearing hydroxyl groups have a wide spectrum of biological activities [15]. Licochalcon A (6), isolated from the root of Glycyrrhiza glabra (liquorice) or Glycyrrhiza inflata, exhibits prominent anticancer effects and has also been found to inhibit the efflux of antineoplastic drugs from cancer cells [15]. Its potential anticancer properties have been demonstrated in various types of cancer cells, including gastric, ovarian, breast, glioma, bladder, and liver cancer cells [16]. Studies show that licochalcone A (6) induces apoptosis in U87 glioma cells, nasopharyngeal cancer cells, epithelial ovarian carcinoma cells, and bladder cancer cells.
The 2,4,3′,4′-tetrahydroxychalcone, butein (8), inhibits the growth of various breast cancer cells, but the molecular mechanisms underlying butein-induced apoptosis remain unclear. Butein has been reported to induce ROS generation in triple-negative MDA-MB-231 breast cancer cells [17]. However, another study described the reduction of ROS levels leading to apoptosis without affecting butein-resistant HER2+ (HCC-1419, SKBR-3, and HCC-2218) cells [18]. Naturally occurring polyhydroxychalcones such as broussochalcone A, butein (8), and xanthohumol (7), the main prenylchalcone found in hops and beer, appear to be even more potent antioxidants than α-tocopherol [19,20,21].
In a constant effort to identify potential candidates with antitumor properties, our research group has successfully synthesized indole-hybrid chalcones in our laboratory [6,7,22]. Continuing this research, new indole chalcones were designed, synthesized, and investigated for antiproliferative as well as antioxidant activity. The indole core is preserved in all compounds as an active pharmacophoric fragment, and the benzene ring is substituted with a fluoro or hydroxyl group (Figure 1).
Figure 1.
Structure of chalcones.
2. Results and Discussion
2.1. Chemistry
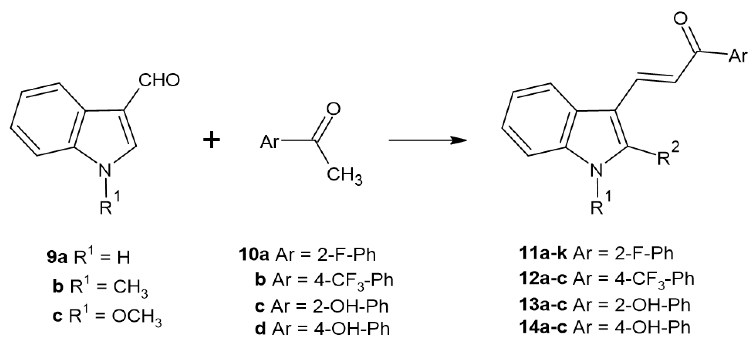
The investigated chalcones, numbered 11–14 and 17–19, were synthesized using either base (50% aq. KOH or piperidine) or acid-catalyzed (SOCl2 in anhydrous ethanol) Claisen–Schmidt reactions according to Scheme 1. The 1,3-diarylpropenones with a 3-indol-3-yl moiety 11a–c–14a–c were prepared by condensation of 1-H (9a), 1-methyl (9b [23]), or 1-methoxy (9c) substituted indole-3-carboxaldehyde [24,25] with equimolar amounts of different acetophenones (2-fluoro-(10a)/4-trifluoromethyl-(10b)/2-hydroxy-(10c) or 4-hydroxy-(10d)), as shown in Scheme 1. During the KOH-catalyzed condensation of 1-methoxyindole-3-carboxaldehyde (9c) with 2-fluoroacetophenone (10a), when the reaction time was extended to 24 h, in addition to the condensation reaction, a nucleophilic substitution occurred on the indole nucleus at position 2. This resulted in the formation of 2-alkoxychalcones 11d–k. The alkoxy group binding (depending on the solvent used) occurred simultaneously with the cleavage of the methoxy group from the indole nitrogen. This nucleophilic substitution phenomenon was previously described by Somei [26], and we have recently employed it in the synthesis of similar 2-alkoxyindol-3-yl-4-fluorophenylprop-2-en-1-ones [6].
Scheme 1.
The synthetic pathway for the synthesis of the arylindolylpropenones 11a–k, 12a–c, 13a–c, and 14a–c.
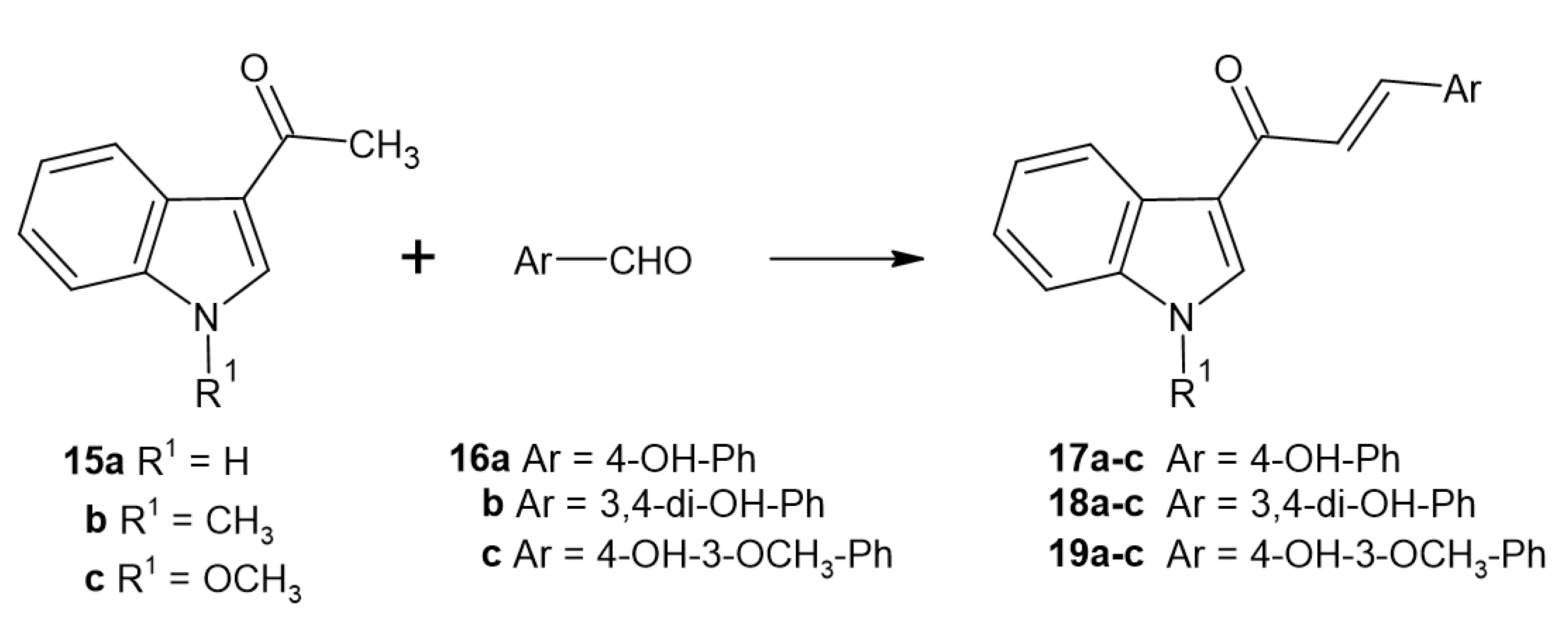
The reaction of 1-H (15a), 1-methyl (15b [27]), or 1-methoxy-3-acetylindole (15c [26]) with 4-hydroxybenzaldehyde (16a), 3,4-dihydroxybenzaldehyde (16b), or vanillin (16c) resulted in the formation of 1-(indol-3-yl)-1,3-diarylpropenones 17a–c, 18a–c, and 19a–c. Yields ranged from 55 to 81% (Scheme 2).
Scheme 2.
The synthetic pathway for the synthesis of the arylindolylpropenones 17a–c, 18a–c, and 19a–c.
The desired 1,3-diarylpropenones were isolated, purified, and characterized using NMR, IR, and HR-MS. The 1H NMR spectra exhibited two diagnostic doublet signals corresponding to H-2 and H-3 protons of 1,3-diarylpropenones, resonating between chemical shift values of 7.02–7.82 ppm and 7.84–8.21 ppm (for 3-(indol-3-yl)prop-2-en-1-ones), and within a narrow range of 7.47–7.64 ppm for both signals in the case of 1-(indol-3-yl)prop-2-en-1-ones. The coupling constant, J, for these doublets, ranged from 15.2 to 15.8 Hz, as shown in Table 1. Such large coupling constant values indicate the trans (E) geometry at the double bond of the propenone linkage. For compounds 17b,c; 18c; and 19b,c, a strong splitting was observed, where Δν/J is less than one. To determine the correct chemical shift positions for peaks H-2 and H-3, we calculated the weighted average of the positions of the two lines, weighted by the intensities of the two lines [28]. Even in the case of compound 18b, we observed that the H-2 and H-3 protons are isochronous, and the interaction constants could not be determined. The 13C NMR spectra of the prepared chalcones displayed signals at the farthest downfield, ranging from 193.1 to 183.1 ppm, assignable to C-1 of the ropanone linkage. The carbonyl atom with 2-hydroxyphenyl substitution (chalcones 13a–c) was shifted downfield to 193.1–193.0 ppm, and C-1 with indol-3-yl substitution (chalcones 17–19) was shifted upfield to 183.1–183.8 ppm. Signals for C-1, C-2, and C-3 were detected as doublets with JCF in the range of 2.3–0.9 Hz for 2-fluorophenyl chalcones 11a–k. A complete assignment of all 1H and 13C resonances was performed using 2D NMR experiments. 1H and 13C NMR spectra of synthesized compounds are presented in Supplementary Materials (Figures S1–S52).
Table 1.
The chemical shifts (ppm) and coupling constants J (Hz) of chalcones.
2.2. Antiproliferative Activity
Screening for antiproliferative activity of the synthesized hybrid chalcones was conducted using five different cancer cell lines: HCT116 (human colorectal carcinoma), HeLa (human cervical adenocarcinoma), Jurkat (human acute T-lymphoblastic leukemia), MDA-MB-231 (human mammary gland adenocarcinoma), and MCF7 (human breast adenocarcinoma). The compounds were evaluated for selective cytotoxicity against cancer cells in comparison to normal cells using two cell lines: MCF-10A (human mammary epithelial cells) and Bj-5ta (immortalized foreskin fibroblasts). The determined IC50 values of the investigated chalcones in comparison with the reference drug cisplatin are listed in Table 2. Values lower than 10 μM, as well as values lower than those for cisplatin, are highlighted in bold. Each value represents the mean ± SD of three independent experiments.
Table 2.
IC50 (μM) ± SD of tested compounds in different cell lines after 72 h incubation.
The results indicate that the 2-fluoroderivatives 11a–k exhibit moderate activity against cancer cells, with the highest efficacy observed against Jurkat leukemic cells. Chalcones having N-H, N-methoxy, and 2-ethoxy substituents on the indole moiety, such as 11a, 11c, and 11e, exhibited an activity of less than 8.3 μM on this cell line, which is similar to the effectiveness of cisplatin. These compounds exhibited greater activity against cancer cells compared to non-cancer cells, as indicated by their selectivity index [IC50(MCF-10A)/IC50(Jurkat cells)]. Generally, compounds 11a, 11c, and 11e had a higher selectivity index than 11. In contrast, cisplatin had a selectivity index of only 4. On the other hand, the introduction of the 2-isopropoxy group (chalcone 11g) decreased selectivity towards non-tumor cells, consistent with our previous study [6]. Chalcone with a 2-propoxy group, 11f, significantly suppressed the proliferation of breast cancer cells (34 and 37.3 μM for MDA-MB-231 and MCF-7) with minimal effect on non-cancer mammary epithelial cells, MCF-10A. The mode of cell death was recently evaluated by our group [29] using flow cytometry, Western blot, and fluorescence microscopy. Chalcone 11f was found to induce cell cycle arrest in the G2/M phase and apoptosis. This was associated with the release of cytochrome c, increased activity of caspase 3 and caspase 7, PARP cleavage, decreased mitochondrial membrane potential, and the activation of the DNA damage response system. Chalcone 11f was shown to initiate autophagy as a defense mechanism in treated cells trying to escape the harmful effects induced by the chalcone [29].
Among the 4-trifluoromethyl chalcones 12a–c, selective activity against HCT116 and MCF-7 cells was observed, with an IC50 of 12.3 and 20.5 μM for the N-methyl derivative 12b and 59.1 and 43.4 μM for the unsubstituted derivative 12a. Minimal activity was observed against non-cancer cells MCF-10A and Bj-5ta (>100 μM). However, such desired selectivity was not observed for the compound with a 1-methoxyindole core 12c; even on non-cancer MCF-10A cells, higher toxicity was observed than on cancer cells. In a recent study, Lagu et al. [19] synthesized and evaluated the antibacterial and antifungal activity of fluorinated chalcones bearing trifluoromethyl and trifluoromethoxy substituents. Compounds bearing the indole ring 12a were found to exhibit the greatest antimicrobial activity compared to standard drugs without showing cytotoxicity on a normal human liver cell line (L02). In recent years, the trend has been to develop multi-targeted drugs to fight cancer and microbial infections commonly seen in immunocompromised patients undergoing chemotherapy. Compounds containing a trifluoromethylphenyl group are undoubtedly an excellent choice for designing multi-targeted drugs.
Another evaluated series comprises hydroxylated chalcones 13–14a–c and 17–19a–c. The results of the antiproliferative activity of the investigated compounds align with the findings that synthetic compounds based on natural substances have a higher likelihood of succeeding as drugs. It is common for natural products to exhibit multiple hydroxyl functions, while most synthetic drugs contain at most one OH group [14]. Natural chalcones often contain a hydroxyl group in position 4, and 3,4-dihydroxy substitution is relatively common in chalcones. Among the evaluated compounds, 4-hydroxyphenyl and 3,4-dihydroxyphenyl chalcones 14c and 18c, both bearing a methoxy group on the indole nitrogen, exhibited IC50 values of 7.3 and 8.0 µM on the Jurkat cell line, proving to be the most effective. In addition, chalcone 18c also demonstrated activity against HCT116 with an IC50 of 18.5 µM and showed no toxicity against non-cancer cells at the investigated concentrations. The activity of 3,4-dihydroxyphenyl chalcone 18c is comparable to that of cis-Pt on these two cell lines. Plants from the family Cruciferae (Brassicaceae) produce natural antimicrobial substances called indole phytoalexins, often with the methoxy group attached to the nitrogen in the indole nucleus. In addition to antimicrobial activity, antiproliferative and chemopreventive activities have also been demonstrated for these compounds [30]. The suitability of the methoxy group as a substituent on indole nitrogen for the development of indole hybrid chalcones with an antiproliferative effect was demonstrated in our previous studies [6,7]. Most hydroxylated chalcones evaluated exhibited moderate activity and lacked selectivity. Some, including 14b, 17a, 17b, 18a, and 19a–c, were more toxic to non-cancer cells than to cancer cells.
In conclusion, based on the results obtained, establishing a significant correlation between structural features and anticancer activity can be challenging since the activity in vitro varies across different cell lines.
From the findings, it can be inferred that the antiproliferative activity is positively influenced by the methoxy group present on the indole nitrogen and the 2-fluoro- or 3,4-dihydroxy substitution on the phenyl nucleus. Moreover, this effect is accompanied by an increase in selectivity activity between cell lines. Based on its selectivity, compound 18c appears to be a promising drug candidate among indole hybrid chalcones for targeting human colorectal carcinoma (HCT116) and Jurkat cells.
Furthermore, it is well known that fluorine acts as a weak hydrogen bond acceptor and can serve as a bioisoster of the hydroxyl group (OH) [8]. Our research has revealed that the 2-fluoro compounds 11 tested in this study, as well as the 4-fluoro compounds examined in a previous study [6], exhibited significantly improved biological effects compared to their 2- and 4-hydroxy counterparts 13 and 14. Further studies on the synthesis of 3,4-difluorophenyl derivatives of indole chalcones would be valuable in determining whether they possess increased activity, similar to the effects observed in our investigation of 3,4-dihydroxylated derivatives 18.
2.3. Antioxidant Activity
In addition to antiproliferative activity, a series of indole-chalcone hybrids were tested for antioxidant activity. Chalcones are precursors for flavonoids and isoflavonoids with well-known antioxidant properties. Additionally, chalcones and chalcone derivatives, especially hydroxy-functionalized chalcones, have shown a high capacity for the scavenging of free radicals [31,32]. Within this study, as seen in Table 3, the set of synthesized hybrid chalcones was assessed for antioxidant activity using three different in vitro methods, namely DPPH (2,2-diphenyl-1-picrylhydrazyl) radical scavenging, ABTS (2,2′-azinobis-(3- ethylbenzothiazoline-6-sulfonic acid) radical scavenging, and ferric reducing antioxidant power assay (FRAP). In addition to chalcones, the activities of the natural polyphenols caffeic acid and p-coumaric acid were also determined at the same concentration of 1 mM, and results were expressed as the µmol equivalent of gallic acid per mmol sample. Generally, in vitro antioxidant assays are relatively simple to perform, but the reaction mechanism is complex and depends on several factors [33,34]. In the case of FRAP, the mechanism is due to single electron transfer (SET), but in the ABTS and DPPH methods, it is assumed to be mixed SET and hydrogen atom transfer (HAT) mechanisms [33,35].
Table 3.
Antioxidant activity.
The DPPH free radical scavenging method is a simple and accepted tool for screening antioxidant activity. According to the DPPH assay, the synthesized chalcones exhibited activity ranging from weak to strong. Among the synthesized compounds, the series of synthesized compounds 11a–c, 13a–c, 14a–c, and 17a–c showed only mild scavenging activity against the DPPH radical. However, synthesized compounds 18a–c were found to be the most potent structures, with activity ranging from 520.1 ± 6.9 to 589.1 ± 8.9 µmol GAE/mmol. This series exhibited activity comparable to that of caffeic acid (690.7 ± 36.6 GAE/mmol) and about half of that of gallic acid.
The ABTS test proved to be more sensitive for the compounds 11a–c, 13a–c, 14a–c, and 17a–c. Additionally, there was not such a significant difference in the activities between individual series of chalcones, and almost all of them showed considerable reducing ability. However, the chalcone series 19a–c with the 4-hydroxy-3-methoxyphenyl function group demonstrated slightly stronger ABTS radical scavenging than series 18a–c, which have a 3,4-dihydroxyl moiety. It is worth noting that the structural feature of the 4-hydroxy-3-methoxyphenyl unit is also present in natural curcumin and synthetic derivatives with potent antioxidant activity [36].
Additionally, the reducing power of newly synthesized hybrid chalcones was measured using the FRAP assay to determine the total antioxidant power. The first set of compounds, including 11a–c, 13a–c, 14a–c, and 17a–c, showed only poor to moderate reducing activity in this method, similar to the DPPH test. However, the second set of synthesized compounds was more effective. The compounds 18a–c demonstrated the best reducing ability, comparable to caffeic acid, followed by chalcones 19a–c.
Moreover, the obtained correlations quantitatively confirm the parallelism between DPPH scavenging activity and reducing power (R = 0.941).
Generally, the structure–activity relationships confirm that free radical scavenging activity and ferric-reducing capacity are mainly related to the number and position of hydroxyl substituents. The presence of two hydroxyl groups arranged in the catechol moiety of derivatives 18a–c revealed the primary influence on antioxidant activity. This finding is also demonstrated by the improved activity of caffeic acid-bearing 3,4-dihydroxy groups compared to p-coumaric acid with only one hydroxyl group. Moreover, it is consistent with the literature, where cinnamic acid substituted in the aromatic ring with two hydroxyl groups (i.e., caffeic acid) had a higher antioxidant capacity compared to monohydroxycinnamic acid (p-coumaric acid) measured in DPPH, ABTS, CUPRAC, and FRAP assays [37]. Additionally, naturally occurring 3,4-dihydroxy chalcone broussochalcone A inhibited iron-induced lipid peroxidation and DPPH radical formation and exerted potent inhibitory effects on NO production [38]. A possible mechanism begins with the abstraction of the H atom of the 4-hydroxyl group by the DPPH radical, followed by the abstraction of an additional H atom at the 3-OH position to form a quinone structure [19]. According to the published QSAR analysis of a series of 25 chalcones [39], the spatial, structural, and lipophilic properties of the compounds were shown to determine their antioxidant properties. Our study indicates that the activity among 1-H, 1-methyl-, and 1-methoxy substituted indole derivatives was higher in favor of unsubstituted derivatives. It was also observed that isomerism played a lesser role compared to the type and number of substituents, as there was no significant difference within isomeric chalcones 14a–c and 17a–c. Moreover, the position of a hydroxyl group (2-OH or 4-OH) was less important than the number of oxygen atoms in the molecule. This was evident from the fact that both the 2-alkoxy on the indole (11f) and the 3-methoxy on the benzene ring contribute (19a–c) to the antioxidant activity. The effect of the fluorine atom can be analyzed by comparing compounds 11a–c and 13a–c, where a minor decline in activity was reported by compounds 11a–c containing electron-withdrawing fluorine instead of the H-bond donor hydroxyl group. This finding was also observed in other series of synthetic chalcones [32].
3. Materials and Methods
3.1. Chemistry
3.1.1. General Method and Materials
All chemicals and solvents used in the synthesis were commercially obtained and were used without further purification unless otherwise specified. Reactions were stirred magnetically and monitored by thin-layer chromatography (TLC). TLC was performed on TLC aluminum sheets coated with silica gel 60 F254 and visualized with UV fluorescence. Column chromatographic purification was carried out using Silica 60A particle size 40–63 microns (Davisil®) with the indicated eluent. Melting points were measured using a digital melting point apparatus (electrothermal) using open glass capillaries and are uncorrected.
NMR spectra were recorded on a VNMRS spectrometer (Varian) operating at 600 MHz for 1H and 150 MHz for 13C at 299.15 K. Chemical shifts (δ in ppm) are given for the internal solvent, DMSO-d6. Based on the 1H NMR spectra analysis, it has been determined that the synthesized compounds are of high purity and suitable for biological testing (impurities less than 5%).
Infrared spectra were recorded using an IRAffinity-1 FTIR Spectrophotometer (Shimadzu) in the range 4000−500 cm−1 using the KBr method (1 mg sample and 150 mg KBr) or with an Avatar FT−IR 6700 spectrometer in the range 4000−400 cm−1 with 64 repetitions for a single spectrum using the ATR (attenuated total reflectance) technique. The obtained data were analyzed using Omnic 8.2.0.387 (2010) software.
High-resolution fragmentation spectra were obtained with the use of the Orbitrap Fusion™ Lumos™ Tribrid™ Mass Spectrometer (Thermo Fisher Scientific, Waltham, MA, USA), following the procedure mentioned in our previous publication [40]. Data processing: To confirm the structure of the studied molecules (11a–k and 12a–c, 13a–c, 14a–c, 18c, and 19c), the precursor ions underwent exhaustive fragmentation using various fragmentation techniques (CID, HCD) at multiple collision energies. The resulting collections of fragmentation spectra at each fragmentation level (MS2 to MS4) facilitated the generation of a comprehensive spectral tree of information (see Figure S53 in Supplementary Information). The acquired data were manually processed using Mass Frontier™ 8.0 software (Thermo Scientific™, Bratislava, Slovakia) in the Curator module. This module employs advanced algorithms to detect any discrepancies between the declared structure precursor and the product MSn fragmentation spectra. The fragments for each structure were obtained using Mass Frontier™ 8.0 software in the Fragments and Mechanisms module, which allows the prediction of in silico fragmentation and suggests a comprehensive fragmentation pathway based on a set of general ionization, fragmentation, and rearrangement rules. Information from the HighChem Fragmentation Library™, which contains around 227,000 mechanisms and is based on a collection of all available scientific journals for mass spectrometry, was also utilized for predicting possible fragments. The fragments and mechanisms tool automatically generates fragments based on a user-supplied molecular structure. If the in silico-generated fragments of a given compound agree with the observed fragments, the ion peaks in the MSn spectra can be annotated. This curation process was applied to every spectrum at every collision energy, for each fragmentation type, at every MSn level, and for each precursor ion. The obtained data were of high quality. Because of this comprehensive data, which contains high-resolution MS/MS and multi-stage MSn spectra acquired at various collision energies using different fragmentation techniques. Moreover, the unequivocal structure was confirmed with mass errors of less than 3 ppm. As a result, these compounds were added to a high-quality mzCloud™ spectral library, which is commercially available (https://www.mzcloud.org, accessed on 10 July 2023) and used for the identification of small molecules using tandem mass spectrometry. The content of the mzCloud™ spectral library is primarily used to identify an unknown compound through a sub-structural search, where the experimental fragmentation spectrum is searched against the mzCloud™ mass spectral database. For prepared compounds, mzCloud™ ID are 11a (11251), 11b (11252), 11c (11232), 11d (11233), 11e (11234), 11f (11235), 11g (11248), 11 h (11249), 11i (11250), 11j (11253), 11k (11266), 12a (11211), 12b (11212), 12c (11210), 13a (11214), 13b (11215), 13c (11213), 14a (11197), 14b (11198), 14c (11196), 18c (11230) and 19c (11231).
3.1.2. General Procedure (A) Acid-Catalyzed Claisen-Schmidt Condensation
To a solution of acetophenone or the corresponding acetylindole (1 mmol) and the appropriate arylaldehyde (1 mmol) in anhydrous ethanol (10 mL), molecular sieves were added, and then SOCl2 (2 mmol) was slowly added. The reaction’s progress was monitored by TLC. After the reaction was complete, the molecular sieves were filtered out, and the reaction mixture was poured into water, followed by extraction with EtOAc. The organic layer was washed with brine, dried over Na2SO4, evaporated, and the product isolated through chromatography and crystallization.
3.1.3. General Procedure (B1) Base-Catalyzed Claisen–Schmidt Condensation (50% aq. KOH)
To a stirred solution of acetophenone or the corresponding acetylindole (0.5 mmol) in solvent (5 mL), 50% KOH in H2O (0.5 mL) was added, followed by the appropriate arylaldehyde (0.5 mmol). The reaction mixture was stirred at room temperature. After the reaction was complete, the mixture was cooled to 0–10 °C and acidified with 1M HCl to pH4. Then, the precipitated product was filtered, washed with H2O and cold alcohol, dried, and crystallized. If the product did not precipitate, the mixture was extracted with EtOAc, and the extract was washed with brine. After drying over anhydrous Na2SO4, the filtrate was evaporated to dryness, and the product was purified by column chromatography on SiO2 and then crystallized to yield the chalcones.
3.1.4. General Procedure (B2) Base-Catalyzed Claisen–Schmidt Condensation (Piperidine)
Arylaldehyde (1 mmol) and acetophenone (1 mmol) were dissolved in anhydrous ethanol (5 mL), and piperidine (2 mmol) was added. The reaction mixture was heated at 60–70 °C, and the course of the reaction was monitored by TLC. After the reaction was complete, the mixture was cooled to room temperature. Then, the precipitated product was filtered, washed with ethanol, dried, and either crystallized or chromatographed on SiO2.
3.1.5. Synthesis and Characterization of Compounds 11–14, 17–19
(2E)-1-(2″-Fluorophenyl)-3-(1′H-indol-3′-yl)prop-2-en-1-one (11a)
Procedure A: 1.5 h, 23%; Procedure B2: 27 h, 15%; Rf 0.39 (hexane/acetone 2:1); yellow crystals; mp 103–105.8 °C (CH2Cl2/hexane); 1H NMR (600 MHz, DMSO-d6): δ 11.97 (s, 1H, NH), 8.08 (s, 1H, H-2′), 7.92 (dd, 1H, J 7.1, 1.2 Hz, H-4′), 7.91 (dd, 1H, J 15.7, 1.2 Hz, H-3), 7.75 (td, 1H, J 7.6, 1.7 Hz, H-6″), 7.63 (dddd, 1H, J 8.3, 7.2, 5.2, 1.8 Hz, H-4″), 7.51–7.48 (m, 1H, H-7′), 7.39–7.34 (m, 2H, H-3″, H-5″), 7.29 (dd, 1H, J 15.7, 2.3 Hz, H-2), 7.25 (td, 1H, J 7.4, 1.3 Hz, H-6′), 7.22 (td, 1H, J 7.4, 1.3 Hz, H-5′); 13C NMR (150 MHz, DMSO-d6): δ 188.2 (d, JCF 2.1 Hz, C-1), 160.0 (d, JCF 249.8 Hz, C-2″), 140.0 (C-3), 137.6 (C-7′a), 134.1 (C-2′), 133.4 (d, JCF 8.7 Hz, C-4″), 130.3 (d, JCF 3.0 Hz, C-6″), 127.8 (d, JCF 14.0 Hz, C-1″), 124.9 (C-3′a), 124.8 (d, JCF 3.2 Hz, C-5″), 122.9 (C-6′), 121.4 (C-5′), 120.1 (C-4′), 119.5 (d, JCF 4.9 Hz, C-2), 116.5 (d, JCF 22.6 Hz, C-3″), 112.6 (C-7′), 112.4 (C-3′); IR (KBr): νmax 3266, 3036, 1609, 1597, 1570, 1508, 1486, 1413, 1313, 1242, 1197, 1162, 1069, 831, 771, 745 cm−1; HRMS: m/z [M+H]+: 266.09757 for C17H13FNO (calcd. 266.09778).
(2E)-1-(2″-Fluorophenyl)-3-(1′-metyl-1′H-indol-3′-yl)prop-2-en-1-one (11b)
Procedure B1: EtOH, 27 h, 57%; Rf 0.49 (hexane/acetone 2:1); yellow crystals; mp 117–120 °C (CH2Cl2/hexane); 1H and 13C NMR data identical with literature [22]; IR (KBr): νmax 3104, 1646, 1609, 1585, 1560, 1528, 1448, 1375, 1285, 1078, 1025, 975, 776, 740 cm−1; HRMS: m/z [M+H]+: 280.11374 for C18H15FNO (calcd. 280.11322).
(2E)-1-(2″-Fluorophenyl)-3-(1′-methoxy-1′H-indol-3′-yl)prop-2-en-1-one (11c) [6]
(2E)-1-(2″-Fluorophenyl)-3-(2′-methoxy-1′H-indol-3′-yl)prop-2-en-1-one (11d)
Procedure B1: MeOH, 24 h, 35%; Rf 0.48 (EtOAc/hexane 2:1); yellow crystals; mp 172–173 °C (acetone/hexane); 1H NMR (DMSO-d6, 600 MHz): δ 12.17 (s, 1H, NH), 7.84 (dd, 1H, J 15.4, 1.5 Hz, H-3), 7.70 (td, 1H, J 7.6, 1.8 Hz, H-6″), 7.66 (d, 1H, J 7.6 Hz, H-4′), 7.59 (dddd, 1H, J 8.3, 7.2, 5.2, 1.8 Hz, H-4″), 7.36–7.32 (m, 3H, H-7′, H-5″, H-3″), 7.17 (td, 1H, J 7.5, 1.2 Hz, H-6′), 7.12 (td, 1H, J 7.7, 1.2 Hz, H-5′), 7.02 (dd, 2H, J 15.4, 2.2 Hz, H-2), 4.14 (s, 3H, OCH3); 13C (DMSO-d6, 150 MHz): δ 187.4 (d, JCF 2.1 Hz, C-1), 159.8 (d, JCF 249.0 Hz, C-2″), 157.7 (C-2′), 136.8 (C-3), 132.9 (d, JCF 8.5 Hz, C-4″), 132.1 (C-7′a), 130.2 (d, JCF 3.2 Hz, C-6″), 128.2 (d, JCF 14.5 Hz, C-1″), 125.1 (C-3′a), 124.7 (d, JCF 3.3 Hz, C-5″), 121.8 (C-5′), 121.2 (C-6′), 118.5 (C-4′), 116.4 (d, JCF 22.9 Hz, C-3″), 115.7 (d, JCF 5.0 Hz, C-2), 111.6 (C-7′), 93.4 (C-3′), 58.8 (OCH3); IR (KBr): νmax 3146, 2938, 1612, 1588, 1560, 1547, 1491, 1474, 1455, 1445, 1434, 1358, 1319, 1285, 1265, 1230, 1211, 1166, 1075, 828, 760 cm−1; HRMS: m/z [M+H]+: 296.10846 for C18H15 FNO2 (calcd. 296.10813).
(2E)-3-(2′-ethoxy-1′H-indol-3′-yl)-1-(2″-fluorophenyl)prop-2-en-1-one (11e)
Procedure B1: EtOH, 24 h at 60 °C, 31%; Rf 0.38 (hexane/acetone 2:1); yellow crystals; mp 170–171 °C (acetone/hexane); 1H (DMSO-d6, 600 MHz): δ 12.11 (s, 1H, NH), 7.88 (dd, 1H, J 15.4, 1.5 Hz, H-3), 7.73 (td, 1H, J 7.6, 1.8 Hz, H-6″), 7.66 (d, 1H, J 7.6 Hz, H-4′), 7.59 (dddd, 1H, J 8.3, 7.2, 5.2, 1.8 Hz, H-4″), 7.36–7.32 (m, 3H, H-7′, H-5″, H-3″), 7.16 (td, 1H, J 7.7, 1.2 Hz, H-6′), 7.11 (td, 1H, J 7.6, 1.2 Hz, H-5′), 7.07 (dd, 1H J 15.4, 2.3 Hz, H-2), 4.45 (q, 2H, J 7.0 Hz, CH2CH3), 1.44 (t, 3H, J 7.0, CH2CH3); 13C NMR (150 MHz, DMSO-d6): δ 187.1 (d, JCF 2.2 Hz, C-1), 160.0 (d, JCF 249.2 Hz, C-2″), 156.9 (C-2′), 136.8 (C-3), 133.0 (d, JCF 8.7 Hz, C-4″), 132.1 (C-7′a), 130.3 (d, JCF 3.2 Hz, C-6″), 128.2 (d, JCF 14.2 Hz, C-1″), 125.0 (C-3′a), 124.7 (d, JCF 3.3 Hz, C-5″), 121.8 (C-5′), 121.2 (C-6′), 118.4 (C-4′), 116.4 (d, JCF 23.0 Hz, C-3″), 115.6 (d, JCF 5.5 Hz, C-2), 111.5 (C-7′), 93.9 (C-3′), 67.6 (OCH2 CH3), 14.7 (OCH2CH3); IR (KBr): νmax 3179, 2984, 2938, 1611, 1543, 1486, 1386, 1345, 1284, 1262, 1227, 1125, 1099, 1075, 1055, 1008, 828, 774, 747 cm−1; HR-MS: m/z [M+H]+: 310.12396 for C19H17FNO2 (calcd. 310.12378).
(2E)-1-(2″-Fluorophenyl)-3-(2′-propoxy-1′H-indol-3′-yl)prop-2-en-1-one (11f)
Procedure B1: n-PrOH, 24 h, 33%; Rf 0.50 (hexane/acetone 2:1); orange crystals; mp 142–144 °C (acetone/hexane); 1H NMR (DMSO-d6, 600 MHz): δ 12.11 (s, 1H, NH), 7.88 (dd, 1H, J 15.4, 1.5 Hz, H-3), 7.71 (td, 1H, J 7.6, 1.8 Hz, H-6″), 7.66 (d, 1H, J 7.8 Hz, H-4′), 7.59 (tdd, 1H, J 8.1, 5.2, 1.8 Hz, H-4″), 7.35–7.32 (m, 3H, H-7′, H-5″, H-3″), 7.16 (td, 1H, J 7.5, 1.1 Hz, H-6′), 7.11 (td, 1H, J 7.7, 1.1 Hz, H-5′), 7.06 (dd, 1H, J 15.4, 2.2 Hz, H-2), 4.36 (t, 2H, J 6.5 Hz, OCH2CH2CH3), 1.82 (qt, 2H, J 7.4, 6.5 Hz, OCH2CH2CH3), 1.01 (t, 3H, J 7.4 Hz, OCH2CH2CH3); 13C NMR (DMSO-d6, 150 MHz): δ 187.3 (d, JCF 2.2 Hz, C-1), 159.9 (d, JCF 249.1 Hz, C-2″), 156.9 (C-2′), 136.9 (C-3), 133.0 (d, JCF 8.7 Hz, C-4″), 132.0 (C-7′a), 130.3 (d, JCF 3.2 Hz, C-6″), 128.2 (d, JCF 14.4 Hz, C-1″), 125,0 (C-3′a), 124.7 (d, JCF 3.2 Hz, C-5″), 121.8 (C-5′), 121.2 (C-6′), 118.4 (C-4′), 116.4 (d, JCF 23.0 Hz, C-3″), 115.7 (d, JCF 5.5 Hz, C-2), 111.5 (C-7′), 93.8 (C-3′), 73.0 (OCH2CH2CH3), 22.1 (OCH2CH2CH3), 10.0 (OCH2CH2CH3). IR (KBr): νmax 1624, 1607, 1579, 1561, 1517, 1484, 1460, 1339, 1280, 1229, 1211, 1203, 1065 cm−1; HRMS: m/z [M+H]+: 324.13989 for C20H19FNO2 (calcd. 324.13943).
(2E)-1-(4″-Fluorophenyl)-3-(2′-isopropoxy-1′H-indol-3′-yl)prop-2-en-1-one (11g)
Procedure B1: iso-PrOH, 24 h, 19%; Rf 0.31 (hexane/acetone 2:1) and (hexane/EtOAc 2:1); orange-brown powder; mp 150–152 °C (acetone/hexane); 1H (DMSO-d6, 600 MHz): δ 12.05 (s, 1H, NH), 7.87 (dd, 1H, J 15.6, 1.5 Hz, H-3), 7.73 (td, 1H, J 7.6, 1.8 Hz, H-6″), 7.67 (d, 1H, J 7.8 Hz, H-4′), 7.60 (dddd, 1H, J 8.3, 7.3, 5.2, 1.8 Hz, H-4″), 7.36–7.32 (m, 3H, H-7′, H-5″, H-3″), 7.16 (td, 1H, J 7.6, 1.1 Hz, H-6′), 7,12 (td, 1H, J 7.6, 1.1 Hz, H-5′), 7.09 (dd, 1H, J 15.6, 2.3 Hz, H-2), 4,91 (septet, 1H, J 6.1 Hz, OCH(CH3)2), 1.40 (d, 6H, J 6.0, OCH(CH3)2); 13C NMR (DMSO-d6, 150 MHz): δ 187.2 (d, JCF 2.1 Hz, C-1), 160.0 (d, JCF 249.1 Hz, C-2″), 155.9 (C-2′), 136.9 (C-3), 133.1 (d, JCF 8.6 Hz, C-4″), 132.2 (C-7′a), 130.3 (d, JCF 3.0 Hz, C-6″), 128.2 (d, JCF 14.6 Hz, C-1″), 124.8 (C-3′a), 124.7 (d, JCF 3.0 Hz, C-5″), 121.7 (C-5′), 121.4 (C-6′), 118.5 (C-4′), 116.4 (d, JCF 23.0 Hz, C-3″), 115.8 (d, JCF 6.0 Hz, C-2), 111.5 (C-7′), 95.2 (C-3′), 75.7 (OCH(CH3)2), 22.1 (OCH(CH3)2); IR (KBr): νmax 3179, 2984, 2938, 1611, 1543, 1486, 1386, 1345, 1284, 1262, 1227, 1125, 1099, 1075, 1055, 1008, 828, 774, 747 cm−1; HRMS: m/z [M+H]+: 324.13986 for C20H19FNO2 (calcd. 324.13943).
(2E)-3-(2′-butoxy-1′H-indol-3′-yl)-1-(2″-fluorophenyl)prop-2-en-1-one (11h)
Procedure B1: n-BuOH, 24 h, 33%; Rf 0.47 (hexane/acetone 2:1) and (hexane/EtOAc 2:1); dark-orange crystals; mp 141–143 °C (acetone/hexane); 1H (DMSO-d6, 600 MHz): δ 12.11 (s,1H, NH), 7,86 (dd, 1H, J 15.4, 1.5 Hz, H-3), 7.71 (td, 1H, J 7.5, 1.7 Hz, H-6″), 7.66 (d, 1H, J 7.6 Hz, H-4′), 7.59 (dddd, 1H, J 8.3, 7.2, 5.2, 1.8 Hz, H-4″), 7.35–7.31 (m, 3H, H-7′, H-5″, H-3″), 7.16 (td, 1H, J 7.6, 1.2 Hz, H-6′), 7.11 (td, 1H, J 7.6, 1.2 Hz, H-5′), 7.05 (dd, 1H, J 15.4, 2.2 Hz, H-2), 4.39 (t, 2H, J 6.4 Hz, CH2CH2CH2CH3), 1.81–1.76 (m, 2H, OCH2CH2CH2CH3), 1.50–1.44 (m, 2H, OCH2CH2CH2CH3), 0.95 (t, 3H, J 7.4 Hz, OCH2CH2CH2CH3); 13C NMR (DMSO-d6, 150 MHz): δ 187.4 (d, JCF 2.0 Hz, C-1), 159.9 (d, JCF 249.1 Hz, C-2″), 156.9 (C-2′), 136.9 (C-3), 132.9 (d, JCF 8.7 Hz, C-4″), 132.0 (C-7′a), 130.2 (d, JCF 3.1 Hz, C-6″), 128.2 (d, JCF 14.4 Hz, C-1″), 125.0 (C-3′a), 124.7 (d, JCF 3.2 Hz, C-5″), 121.8 (C-5′), 121.2 (C-6′), 118.4 (C-4′), 116.3 (d, JCF 23.0 Hz, C-3″), 115.8 (d, JCF 4.9 Hz, C-2), 111.5 (C-7′), 93.9 (C-3′), 71.4 (OCH2CH2CH2CH3), 30.6 (OCH2CH2CH2CH3), 18.5 (OCH2CH2CH2CH3), 13.5 (OCH2CH2CH2CH3); IR (KBr): νmax 3052, 2958, 2872, 1622, 1607, 1560, 1524, 1482, 1344, 1280, 1228, 1071, 1015, 982, 775, 739 cm−1; HRMS: m/z [M+H]+: 338.15570 for C21H21FNO2 (calcd. 338.15508).
(2E)-3-(2′-isobutoxy-1′H-indol-3′-yl)-1-(4″-fluorophenyl)prop-2-en-1-one (11i)
Procedure B1: iso-BuOH, 24 h, 27%; Rf 0.48 (hexane/acetone 2:1); dark-orange crystals; mp 157–159 °C (acetone/hexane); 1H NMR (DMSO-d6, 600 MHz): δ 12.11 (s, 1H, NH), 7.88 (dd, 1H, J 15.4, 1.4, H-3), 7.70 (td, 1H, J 7.4, 1.5 Hz, H-6″), 7.66 (d, 1H, J 7.7 Hz, H-4′), 7.59 (dddd, 1H, J 8.1, 7.2, 5.3, 1.8 Hz, H-4″), 7.35–7.31 (m, 3H, H-7′, H-5″, H-3″), 7.16 (td, 1H, J 7.6, 1.0 Hz, H-6′), 7.11 (td, 1H, J 7.6, 1.1 Hz, H-5′), 7.06 (dd, 1H, J 15.4, 2.1 Hz, H-2), 4.18 (d, 2H, J 6.5 Hz, OCH2CH(CH3)2), 2.16–2.07 (m, 1H, OCH2CH(CH3)2), 1.01 (d, J 6.4 Hz, OCH2CH(CH3)2); 13C NMR (DMSO-d6, 150 MHz): δ 187.4 (d, JCF 2.0 Hz, C-1), 159.9 (d, JCF 248.9 C-2″), 156.9 (C-2′), 137.0 (C-3), 132.9 (d, JCF 8.6 Hz, C-4″), 132.0 (C-7′a), 130.2 (d, JCF 3.2 Hz, C-6″), 128.2 (d, JCF 14.5 Hz, C-1″), 125.1 (C-3′a), 124.7 (d, JCF 3.3 Hz, C-5″), 121.8 (C-5′), 121.2 (C-6′), 118.3 (C-4′), 116.3 (d, JCF 22.0 Hz, C-3″), 115.8 (d, JCF 5.1 Hz, C-2), 111.5 (C-7′), 93.7 (C-3′), 77.3 (OCH2CH(CH3)2), 27.9 (OCH2CH(CH3)2), 18.6 (OCH2CH(CH3)2); IR (KBr): νmax 3120, 2960, 2872, 1622, 1609, 1558, 1524, 1483, 1459, 1346, 1280, 1230, 1203, 1072, 1017, 829, 775 cm−1; HRMS: m/z [M+H]+: 338.15530 for C21H21FNO2 (calcd. 338.15508).
(2E)-1-(2-fluorophenyl)-3-{2-[(1-methoxypropan-2-yl)oxy]-1H-indol-3-yl}prop-2-en-1-one (11j)
Procedure B1: 1-methoxypropan-2-ol, 24 h, 32%; Rf 0.24 (hexane/EtOAc 2:1); orange oil; 1H NMR (DMSO-d6, 600 MHz): δ 12.06 (s, 1H, NH), 7.87 (dd, 1H, J 15.5, 1.4, H-3), 7.73 (td, 1H, J 7.6, 1.8 Hz, H-6″), 7.67 (d, 1H, J 7.7 Hz, H-4′), 7.60 (dddd, 1H, J 8.2, 7.6, 5.2, 1.8 Hz, H-4″), 7.37–7.31 (m, 3H, H-7′, H-5″, H-3″), 7.16 (td, 1H, J 7.5, 1.2 Hz, H-6′), 7.12 (td, 1H, J 7.6, 1.2 Hz, H-5′), 7.09 (dd, 1H, J 15.5, 2.2 Hz, H-2), 4.91 (tk, 1H, J 4.8, 6.3 Hz, OCH(CH3)(CH2OCH3)), 3.58 (d, 2H, J 4.8, OCH(CH3)(CH2OCH3)), 3,30 (s, 3H, OCH(CH3)(CH2OCH3)), 1.35 (d, 3H, J 6.3 Hz, OCH(CH3)(CH2OCH3)); 13C NMR (DMSO-d6, 150 MHz): δ 187.7 (d, JCF 2.2 Hz, C-1), 160.4 (d, JCF 249.3 C-2″), 156.5 (C-2′), 137.4 (C-3), 133.5 (d, JCF 8.7 Hz, C-4″), 132.6 (C-7′a), 130.7 (d, JCF 3.1 Hz, C-6″), 128.6 (d, JCF 14.2 Hz, C-1″), 125.2 (C-3′a), 125.1 (d, JCF 3.3 Hz, C-5″), 122.1 (C-5′), 121.8 (C-6′), 119.0 (C-4′), 116.8 (d, JCF 23.0 Hz, C-3″), 116.4 (d, JCF 5.9 Hz, C-2), 111.9 (C-7′), 95.6 (C-3′), 78.4 (OCH(CH3)(CH2OCH3)), 75.1 (OCH(CH3)(CH2OCH3)), 59.0 (OCH(CH3)(CH2OCH3)), 17.2 (OCH(CH3)(CH2OCH3)); IR: νmax 3191, 2927,1622, 1715, 1607, 1519, 1448, 1335,1275, 1202, 1100, 1060, 1008, 971, 845, 827, 738 cm−1; HRMS: m/z [M+H]+: 354.15040 for C21H20FNO3 (calcd. 354.15000).
(2E)-1-(2-fluorophenyl)-3-[2-(2-hydroxyethoxy)-1H-indol-3-yl]prop-2-en-1-one (11k)
Procedure B1: ethan-1,2-diol, 24 h, 23%; Rf 0.72 (hexane/acetone 1:1) and (hexane/acetone 2:1); orange crystals; mp 140–143 °C (acetone/hexane); 1H NMR (DMSO-d6, 600 MHz): δ 12.07 (s, 1H, NH), 7.94 (dd, 1H, J 15.5, 1.3, H-3), 7.74 (td, 1H, J 7.6, 1.8 Hz, H-6″), 7.66 (d, 1H, J 7.8 Hz, H-4′), 7.59 (dddd, 1H, J 8.5, 7.1, 5.1, 1.8 Hz, H-4″), 7.36–7.32 (m, 3H, H-7′, H-5″, H-3″), 7.16 (td, 1H, J 7.5, 1.2 Hz, H-5′), 7.11 (td, 1H, J 7.6, 1.2 Hz, H-6′), 7.08 (dd, 1H, J 15.5, 2.3 Hz, H-2), 5.14 (s, 1H, OH), 4.43–4.40 (m, 2H, CH2), 3.82–3.79 (m, 2H, CH2); 13C NMR (DMSO-d6, 150 MHz): δ 187.0 (d, JCF 2.3 Hz, C-1), 160.0 (d, JCF 249.4 C-2″), 157.2 (C-2′), 136.8 (C-3), 133.0 (d, JCF 8.6 Hz, C-4″), 132.1 (C-7′a), 130.3 (d, JCF 3.1 Hz, C-6″), 128.3 (d, JCF 14.1 Hz, C-1″), 124.9 (C-3′a), 124.7 (d, JCF 3.3 Hz, C-5″), 121.8 (C-6′), 121.2 (C-5′), 118.5 (C-4′), 116.4 (d, JCF 23.0 Hz, C-3″), 115.5 (d, JCF 5.6 Hz, C-2), 111.5 (C-7′), 93.9 (C-3′), 73.4 (CH2), 59.4 (CH2); IR: νmax 3054, 1603;1552, 1520, 1479, 1367, 1338, 1275, 1228, 1068, 1051, 1017, 884, 842, 738 cm-1; HRMS: m/z [M+H]+: 326.11877 for C19H17FNO3 (calcd. 326.11870).
(2E)-3-(1H-indol-3-yl)-1-(4-trifluoromethylphenyl) prop-2-en-1-one (12a)
Procedure B2: r.t., 24 h, 20%; Rf 0.39 (hexane/EtOAc 2:1); yellow crystals; m.p. 195–197 °C (CH2Cl2/hexane); m.p. 62 °C [41]; 1H NMR (DMSO-d6, 600 MHz): δ 11.99 (s, 1H, NH), 8.29 (d, 2H, J 8.1 Hz, H-2″,6″), 8.16 (s, 1H, H-2′), 8.11 (d, 1H, J 15.4 Hz, H-3), 8.11–8.09 (m, 1H, H-4′), 7.92 (d, 2H, J 8.1 Hz, H-3″,5″), 7.63 (d, 1H, J 15.4 Hz, H-2), 7.52–7.49 (m, 1H, H-7′), 7.26 (ddd, 1H, J 8.6, 7.1, 1.5 Hz, H-6′), 7.24 (ddd, 1H, J 8.5, 7.1, 1.4 Hz, H-5′); 13C NMR (150 MHz, DMSO-d6): δ 188.2 (C-1), 141.9 (C-1″), 140.3 (C-3), 137.6 (C-7′a), 134.1 (C-2′), 131.7 (q, JCF 32.3 Hz, C-4″), 128.9 (C-2″,6″), 125.6 (q, JCF 3.6 Hz, C-3″,5″), 125.1 (C-3′a), 124.0 (q, JCF 272.8 Hz, CF3), 122.9 (C-6′), 121.3 (C-5′), 120.5 (C-4′), 115.1 (C-2) 112.8 (C-3′), 112.5 (C-7′); IR: νmax 3218, 1630, 1583, 1537, 1512, 1433, 1322, 1242,1228,1108, 1064, 1011, 815, 740 cm−1; HRMS m/z: [M+H]+: 316.09442 for C18H12F3NO (calc. 316.09438).
(2E)-3-(1-methyl-1H-indol-3-yl)-1-(4-trifluoromethylphenyl) prop-2-en-1-one (12b)
Mechanochemical synthesis [22] Rf 0.53 (hexane/EtOAc 2:1); yellow crystals; m.p. 182–184 °C; m.p. 160–162 °C [42]; 1H and 13C NMR data identical with literature [22]; IR: νmax 3110, 1648, 1548, 1524, 1460, 1372, 1330,1319,1107, 1027, 810, 734 cm−1; HRMS m/z: [M+H]+: 330.11038 for C19H14F3NO (calc. 330.11003).
(2E)-3-(1-methoxy-1H-indol-3-yl)-1-(4-trifluoromethylphenyl) prop-2-en-1-one (12c)
Procedure B1: 20 min., 25%; Procedure B2: r.t., 24 h, 30%; Rf 0.58 (hexane/EtOAc 2:1); yellow crystals; m.p. 113–115 °C; 1H NMR (400 MHz, DMSO-d6): δ 8.55 (s, 1H, H-2′), 8.30 (d, 2H, J 8.1 Hz, H-2″,6″), 8.15 (dt, 1H, J 8.0, 0.9 Hz, H-4′), 8.02 (d, 1H, J 15.4 Hz, H-3), 7.93 (d, 2H, J 8.1 Hz, H-3″,5″), 7.69 (d, 1H, J 15.4 Hz, H-2), 7.59 (dt, 1H, J 8.2, 0.9 Hz, H-7′), 7.38 (ddd, 1H, J 8.2, 7.1, 1.0 Hz, H-6′), 7.31 (ddd, 1H, J 8.1, 7.1, 1.1 Hz, H-5′), 4.17 (s, 3H, OCH3); 13C NMR (100 MHz, DMSO-d6): δ 188.6 (C-1), 142.1 (C-1″), 139.2 (C-3), 132.9 (C-7′a), 130.2 (C-2′), 132.4 (q, JCF 31.8 Hz, C-4″), 129.4 (C-2″,6″), 126.1 (q, JCF 3.7 Hz, C-3″,5″), 122.4 (C-3′a), 124.4 (q, JCF 272.6 Hz, CF3), 124.2 (C-6′), 122.6 (C-5′), 121.2 (C-4′), 117.0 (C-2), 109.6 (C-7′), 109.0 (C-3′), 67.2 (OCH3); IR: νmax 3102, 2949, 1655, 1584, 1562, 1556, 1512, 1368, 1317, 1274, 1245, 1212, 1105, 953, 804, 730 cm−1; HRMS m/z: [M+H]+: 346.10530 for C19H14F3NO2 (calc. 346.10494).
(2E)-1-(2-hydroxyphenyl)-3-(1H-indol-3-yl)prop-2-en-1-one (13a)
Procedure B2: 10.5 h, 57%; Rf 0.39 (hexane/EtOAc 2:1); orange-yellow crystals; m.p. 179.5–181 °C (EtOAc/hexane), 181–185 °C [43]; 165 °C [44]; 1H (600 MHz, DMSO-d6): δ 13.16 (s, 1H, OH), 12.07 (s, 1H, NH), 8.25 (dd, 1H, J 8.1, 1.6 Hz, H-6″), 8.21 (s, 1H, H-2′), 8.21 (d, 1H, J 15.2 Hz, H-3), 8.15–8.12 (m, 1H, H-4′), 7.77 (d, 1H, J 15.2 Hz, H-2), 7.56 (ddd, 1H, J 8.3, 7.1, 1.6 Hz, H-4″), 7.52–7.50 (m, 1H, H-7′), 7.27 (dd, 1H, J 7.1, 1.7 Hz, H-6′), 7.25 (dd, 1H, J 7.1, 1.6 Hz, H-5′), 7.01 (ddd, 1H, 8.1, 7.1, 1.2 Hz, H-5″), 6.98 (dd, 1H, J 8.3, 1.1 Hz, H-3″); 13C NMR (150 MHz, DMSO-d6): δ 193.1 (C-1), 162.2 (C-2″), 140.4 (C-3), 137.6 (C-7a′), 135.7 (C-4″), 134.4 (C-2′), 130.3 (C-6″), 125.1 (C-3a′), 123.0 (C-6′), 121.5 (C-5′), 120.52 (C-1″), 120.5 (C-4′), 119.0 (C-5″), 117.7 (C-3″), 113.9 (C-2), 113.0 (C-3′), 112.6 (C-7′); IR: (KBr) νmax 3299, 3092, 1631, 1577, 1547, 1484, 1438, 1373, 1344, 1293, 1249, 1202, 1153, 1108, 1032, 966, 830, 762, 740 cm−1; HRMS: m/z [M + H]+: 264.101912 for C17H13NO2 (calcd. 264.10220).
(2E)-1-(2-hydroxyphenyl)-3-(1-methyl-1H-indol-3-yl)prop-2-en-1-one (13b)
Procedure B: 7 h; 90%; 15% [45]; Rf 0.37 (hexane/EtOAc 2:1); yellow crystals; m.p. 205–207 °C (MeCN), 208–209 °C [45]; 1H (600 MHz, DMSO-d6): δ 13.16 (s, 1H, OH), 8.24 (dd, 1H, J 8.1, 1.6 Hz, H-6″), 8,20 (s, 1H, H-2′), 8.16 (d, 1H, J 15.2 Hz, H-3), 8.15 (d, 1H, J 8.0 Hz, H-4′), 7.75 (d, 1H, J 15.2 Hz, H-2), 7.59 (d, 1H, J 8.0 Hz, H-7′), 7.54 (ddd, 1H, J 8.3, 7.1, 1.6 Hz, H-4″), 7.34 (ddd, 1H, J 8.0, 7.0, 1.1 Hz H-6′), 7.30 (ddd, 1H, J 8.0, 7.1, 1.1 Hz, H-5′), 7.01 (ddd, 1H, J 8.1, 7.1, 1.2 Hz, H-5″), 6.98 (dd, 1H, 8.3, 1.2 Hz, H-3″), 3.88 (s, 3H, CH3); 13C NMR (150 MHz, DMSO-d6): δ 193.0 (C-1), 162.2 (C-2″), 139.7 (C-3), 138.1 (C-7a′), 137.7 (C-2′), 135.7 (C-4″), 130.3 (C-6″), 125.6 (C-3a′), 123.0 (C-6′), 121.8 (C-5′), 120.6 (C-4′), 120.5 (C-1″), 119.0 (C-5″), 117.7 (C-3″), 113.9 (C-2), 112.0 (C-3′), 111.0 (C-7′), 33.2 (N-CH3); IR: (KBr) νmax 3097, 3058, 2909, 2833, 1632, 1573, 1548, 1528, 1487, 1393, 1346, 1298, 1262, 1205, 1135, 1075, 1029, 842, 773, 755 cm−1; HRMS: m/z [M + H]+: 278.11768 for C18H15NO2 (calcd. 278.11765).
(2E)-1-(2-hydroxyphenyl)-3-(1-methoxy-1H-indol-3-yl)prop-2-en-1-one (13c)
Procedure B (50 °C): 3.5 h; 53%; Rf 0.62 (hexane/EtOAc 2:1); light-orange crystals; m.p. 139–140 °C (CH2Cl2/hexane); 1H (600 MHz, DMSO-d6): δ 13.0 (s, 1H, OH), 8.59 (s, 1H, H-2′), 8.24 (dd, 1H, J 8.1, 1.6 Hz, H-6″), 8.17 (d, 1H, J 7.9 Hz, H-4′), 8.11 (d, 1H, J 15.3 Hz, H-3), 7.82 (d, 1H, J 15.3 Hz, H-2), 7,60 (d, 1H, J 8.1 Hz, H-7′), 7.55 (ddd, 1H, J 8.3, 7.1, 1.6 Hz, H-4″), 7.38 (t, 1H, J 7.6 Hz H-6′), 7.32 (t, 1H, J 7.6 Hz, H-5′), 7.02 (dd, 1H, J 8.1, 7.1 Hz, H-5″), 6.99 (d, 1H, 8.3 Hz, H-3″), 4.18 (s, 3H, OCH3); 13C NMR (150 MHz, DMSO-d6): δ 193.1 (C-1), 162.1 (C-2″), 138.7 (C-3), 135.8 (C-4″), 132.5 (C-7a′), 130.4 (C-6″), 129.9 (C-2′), 123.8 (C-6′), 122.3 (C-5′), 122.1 (C-3a′), 120.8 (C-4′), 120.5 (C-1″), 119.0 (C-5″), 117.8 (C-3″), 115.7 (C-2), 109.2 (C-7′), 108.7 (C-3′), 66.8 (OCH3); IR: (KBr) νmax 3462, 3103, 1632, 1560, 1488, 1377, 1352, 1298, 1261, 1204, 1156, 1034, 953, 840, 762, 724 cm−1; HRMS: m/z [M + H]+: 294.11292 for C18H15NO3 (calcd. 294.11247).
(2E)-1-(4-hydroxyphenyl)-3-(1H-indol-3-yl)prop-2-en-1-one (14a)
Procedure A: 1 h, 18%; 65% [46]; Rf 0.22 (hexane/acetone 2:1); light-yellow crystals; m.p. 218 °C d (acetone/hexane); 147–148 °C [46]; 1H (600 MHz, DMSO-d6): δ 11.84 (s, 1H, OH), 10.28 (s, 1H, NH), 8.08–8.06 (m, 1H, H-4′), 8.07 (s, 1H, H-2′), 8.04 (d, 2H, J 8.7 Hz, H-2″, H-6″), 7.99 (d, 1H, J 15.5 Hz, H-3), 7.64 (d, 1H, J 15.5 Hz, H-2), 7.49–7.48 (m, 1H, H-7′), 7.25–7.21 (m, 2H, H-5′, H-6′), 6.90 (d, 2H, J 8.7 Hz, H-3″, H-5″); 13C NMR (150 MHz, DMSO-d6): δ 187.0 (C-1), 161.7 (C-4″), 137.7 (C-3), 137.5 (C-7a′), 132.6 (C-2′), 130.6 (C-2″, C-6″), 129.8 (C-1″), 125.2 (C-3a′), 122.6 (C-6′), 121.0 (C-5′), 120.3 (C-4′), 115.4 (C-2), 115.3 (C-3″, C-5″), 112.8 (C-3′), 112.4 (C-7′); IR: (KBr) νmax 3414, 3293, 3092, 1642, 1604, 1557, 1443, 1348, 1274, 1230, 1167, 1039, 818, 737 cm−1; HRMS: m/z [M + H]+: 264.10193 for C17H13NO2 (calcd. 264.10191).
(2E)-1-(4-hydroxyphenyl)-3-(1-methyl-1H-indol-3-yl)prop-2-en-1-one (14b)
Procedure A: 1.5 h, 12%; Rf 0.29 (hexane/acetone 2:1); light-yellow crystals; m.p. 244 °C d (acetone/hexane); 1H (600 MHz, DMSO-d6): δ 10.29 (s, 1H, OH), 8.08 (dt, 1H, J 8.0, 1.1 Hz, H-4′), 8.05 (s, 1H, H-2′), 8.03 (d, 2H, J 8.7 Hz, H-2″, H-6″, 7.94 (d, 1H, J 15.5 Hz, H-3), 7.62 (d, 1H, J 15.5 Hz, H-2), 7.55 (dt, 1H, J 8.1, 1.1 Hz, H-7′), 7.31 (ddd, 1H, J 8.1, 7.0, 1.1 Hz, H-6′), 7.27 (ddd, 1H, J 8.0, 7.0, 1.1 Hz, H-5′), 6.90 (d, 2H, J 8.7 Hz, H-3″, H-5″), 3.85 (s, 3H, CH3); 13C NMR (150 MHz, DMSO-d6): δ 187.0 (C-1), 161.6 (C-4″), 138.0 (C-7a′), 137.0 (C-3), 136.0 (C-2′), 130.6 (C-2″, C-6″), 129.8 (C-1″), 125.6 (C-3a′), 122.7 (C-6′), 121.3 (C-5′), 120.5 (C-4′), 115.4 (C-2), 115.3 (C-3″, C-5″), 111.8 (C-3′), 110.8 (C-7′), 33.0 (CH3); IR (KBr): νmax 3097, 1626, 1587, 1528, 1508, 1473, 1387, 1276, 1225, 1165, 1077, 1050, 973, 816, 745 cm−1; HRMS: m/z [M + H]+: 278.11752 for C18H15NO2 (calcd. 278.11756).
(2E)-1-(4-hydroxyphenyl)-3-(1-methoxy-1H-indol-3-yl)prop-2-en-1-one (14c)
Procedure A: 4.5 h, 28%; Rf 0.33 (hexane/acetone 2:1); orange crystals; m.p. 182–184 °C (acetone/hexane); 1H (600 MHz, DMSO-d6): δ 10.32 (s, 1H, OH), 8.46 (s, 1H, H-2′), 8.11 (dt, 1H, J 8.0, 1.0 Hz, H-4′), 8.05 (d, 2H, J 8.7 Hz, H-2″, H-6″), 7.91 (d, 1H, J 15.5 Hz, H-3), 7.69 (d, 1H, J 15.5 Hz, H-2), 7.57 (dt, 1H, J 8.1, 1.0 Hz, H-7′), 7.36 (ddd, 1H, J 8.1, 7.1, 1.0 Hz, H-6′), 7.27 (ddd, 1H, J 8.0, 7.1, 1.0 Hz, H-5′), 6.91 (d, 2H, J 8.7 Hz, H-3″, H-5″), 4.15 (s, 3H, OCH3); 13C NMR (150 MHz, DMSO-d6): δ 186.9 (C-1), 161.7 (C-4″), 136.1 (C-3), 132.4 (C-7a′), 130.8 (C-2″, C-6″), 129.6 (C-1″), 128.5 (C-2′), 123.5 (C-6′), 122.0 (C-3a′), 121.8 (C-5′), 120.7 (C-4′), 117.0 (C-2), 115.3 (C-3″, C-5″), 109.0 (C-3′), 108.7 (C-7′), 66.6 (OCH3); IR: (KBr) νmax 3241, 1643, 1591, 1555, 1507, 1327, 1287, 1211, 1166, 1046, 952, 838, 742 cm−1; HRMS: m/z [M + H]+: 294.11282 for C18H15NO3 (calcd. 294.11247).
(2E)-3-(4-hydroxyphenyl)-1-(1H-indol-3-yl)prop-2-en-1-one (17a)
Procedure A: 7 h, 49%; 55% [46]; Rf = 0.27 (hexane/acetone 2:1); light-orange crystals; m.p. 197–200 °C d (acetone/hexane); 213–215 °C [46]; 1H (600 MHz, DMSO-d6): δ 12.03 (d, 1H, J 3.1 Hz, NH), 9.92 (s, 1H, OH), 8.66 (d, 1H, J 3.1 Hz, H-2′), 8.33 (ddd, 1H, J 7.9, 1.5, 0.8 Hz, H-4′), 7.70–7.67 (m, 2H, H-2″, H-6″), 7.63 (d, 1H, J 15.4 Hz, H-3), 7.55 (d, 1H, J 15.4 Hz, H-2), 7.48 (dt, 1H, J 7.9, 1.0 Hz, H-7′), 7.23 (ddd, 1H, J 7.9, 7.0, 1.5 Hz, H-6′), 7.20 (ddd, J 8.0, 6.9, 1.0 Hz, 1H, H-5′), 6.85–6.81 (m, 2H, H-3″, H-5″); 13C NMR (150 MHz, DMSO-d6): δ 183.8 (C-1), 159.3 (C-4″), 139.8 (C-3), 136.8 (C-7a′), 134.2 (C-2′), 130.3 (C-2″, C-6″), 126.3 (C-1″), 125.9 (C-3a′), 123.0 (C-6′), 121.8 (C-5′), 121.7 (C-4′), 121.3 (C-2), 117.8 (C-3′), 115.7 (C-3″, C-5″), 112.1 (C-7′); IR: νmax 3493, 3120, 1633, 1604, 1584, 1512, 1442, 1238, 1156, 970. 822, 746 cm−1.
(2E)-3-(4-hydroxyphenyl)-1-(1-methyl-1H-indol-3-yl)prop-2-en-1-one (17b)
Procedure A: 7 h, 55%; Rf 0.33 (hexane/acetone 2:1); light-red crystals; m.p. 236–239 °C (acetone/hexane); 1H (600 MHz, DMSO-d6): δ 9.94 (s, 1H OH), 8.67 (s, 1H, H-2′), 8.34 (dt, 1H, J 7.9, 1.0 Hz, H-4′), 7.69–7.65 (m, 2H, H-2″, H-6″), 7.56 (dt, 1H, J 8.1, 0.9 Hz, H-7′), 7.56 (d, 1H, J 15.8 Hz, H-3), 7.56 (d, 1H, J 15.8 Hz, H-2), 7.30 (ddd, 1H, J 8.1, 7.1, 1.3 Hz, H-6′), 7.25 (ddd, 1H, J 7.9, 7.1, 1.0 Hz, H-5′), 6.86–6.83 (m, 2H, H-3″, H-5″), 3.90 (s, 3H, CH3); 13C NMR (150 MHz, DMSO-d6): δ 183.3 (C-1), 159.3 (C-4″), 139.8 (C-3), 137.8 (C-2′), 137.4 (C-7a′)130.2 (C-2″, C-6″), 126.3 (C-3a′), 126.2 (C-1″), 123.0 (C-6′), 122.0 (C-5′), 121.9 (C-4′), 121.2 (C-2), 116.6 (C-3′), 115.7 (C-3″, C-5″), 110.6 (C-7′), 33.3 (CH3); IR: νmax 3227, 3115, 1634, 1604, 1556, 1523, 1510, 1463, 1428, 1371, 1267, 1217, 1087, 988, 969, 829, 749, cm−1.
(2E)-3-(4-hydroxyphenyl)-1-(1-methoxy-1H-indol-3-yl)prop-2-en-1-one (17c)
Procedure A: 5 h, 76%; Rf 0.38 (hexane/acetone 2:1); light-yellow crystals; m.p. 213–215 °C (acetone/hexane); 1H (600 MHz, DMSO-d6): δ 9.97 (s, 1H, OH), 9.06 (s, 1H, H-2′), 8.38 (dt, 1H, J 8.0, 1.0 Hz, H-4′), 7.71–7.67 (m, 2H, H-2″, H-6″), 7.59 (d, 1H, J 15.5 Hz, H-3), 7.58 (dt, 1H, J 8.1, 0.9 Hz, H-7′), 7.57 (d, 1H, J 15.5 Hz, H-2), 7.36 (ddd, 1H, J 8.1, 7.1, 1.1 Hz, H-6′), 7.29 (ddd, 1H, J 8.0, 7.1, 1.0 Hz, H-5′), 6.86–6.83 (m, 2H, H-3″, H-5″), 4.21 (s, 3H, OCH3); 13C NMR (150 MHz, DMSO-d6): δ 183.4 (C-1), 159.5 (C-4″), 140.4 (C-3), 132.1 (C-7a′), 131.0 (C-2′), 130.4 (C-2″, C-6″), 126.1 (C-1″), 123.9 (C-6′), 122.8 (C-5′), 122.5 (C-3a′), 122.2 (C-4′), 120.8 (C-2), 115.7 (C-3″, C-5″), 113.0 (C-3′), 108.8 (C-7′), 66.9 (OCH3); IR: νmax 3103, 1633, 1607, 1586, 1510, 1388, 1368, 1325, 1275, 1236, 1192, 1167, 1065, 975, 949, 815, 739, 715 cm−1.
(2E)-3-(3,4-dihydroxyphenyl)-1-(1H-indol-3-yl)prop-2-en-1-one (18a)
Procedure A: 3 h, 80%; Rf 0.11 (hexane/acetone 2:1); yellow-green crystals; m.p. 212–215 °C d (acetone/hexane); 1H (600 MHz, DMSO-d6): δ 12.01 (bs, 1H, OH), 9.26 (bs, 1H, OH), 8.65 (s, 1H, H-2′), 8.32 (ddd, 1H, J 7.9, 1.4, 0.9 Hz, H-4′), 7.54 (d, 1H, J 15.5 Hz, H-3), 7.48 (dt, 1H, J 7.9, 1.0 Hz, H-7′), 7.47 (d, 1H, J 15.5 Hz, H-2), 7.24–7.21 (m, 1H, H-6′), 7.23 (d, 1H, J 2.1 Hz, H-2″), 7.19 (ddd, 1H, J 8.1, 7.0, 1.1, H-5′), 7.14 (dd, 1H, 8.1, 2.1 Hz), 6.80 (d, 1H, J 8.1 Hz, H-5″); 13C NMR (150 MHz, DMSO-d6): δ 183.8 (C-1), 147.8 (C-4″), 145.5 (C-3″), 140.3 (C-3), 136. 8 (C-7′a), 134.1 (C-2′), 126. 8 (C-1″), 125.9 (C-3′a), 122.9 (C-6′), 121.8 (C-5′), 121.6 (C-4′), 121.2 (C-6″), 121.2 (C-2), 117.8 (C-3′), 115.7 (C-5″), 115.4 (C-2″), 112.1 (C-7′); IR: νmax 3150, 1632, 1607, 1583, 1514, 1440, 1290, 1236, 1150, 1099, 984, 958, 840, 808, 749 cm−1.
(2E)-3-(3,4-dihydroxyphenyl)-1-(1-methyl-1H-indol-3-yl)prop-2-en-1-one (18b)
Procedure A: 4 h, 81%; Rf 0.15 (hexane/acetone 2:1); yellow-green crystals; m.p. 210–214 °C d (acetone/hexane); 1H (600 MHz, DMSO-d6): δ 9.30 (s, 2H, OH), 8.67 (s, 1H, H-2′), 8.33 (dt, 1H, J 7.9, 1.0 Hz, H-4′), 7.56 (dt, 1H, J 8.1, 0.9 Hz, H-7′), 7.47 (s, 2H, H-3, H-2), 7.30 (ddd, 1H, J 8.1, 7.1, 1.3 Hz, H-6′), 7.25 (ddd, 1H, J 8.0, 7.1, 1.1 Hz, H-5′), 7.22 (d, 1H, J 2.1 Hz, H-2″), 7.11 (dd, 1H, J 8.2, 2.1 Hz, H-6″), 6.80 (d, 1H, J = 8.1 Hz, H-5″), 3.90 (s, 3H, CH3); 13C NMR (150 MHz, DMSO-d6): δ 183.3 (C-1), 147.8 (C-4″), 145.6 (C-3″), 140.4 (C-3), 137.8 (C-2′), 137.4 (C-7′a), 126.7 (C-1″), 126.3 (C-3′a), 123.0 (C-6′), 122.0 (C-5′), 121.9 (C-4′), 121.2 (C-6″), 121.1 (C-2), 116.6 (C-3′), 115.7 (C-5″), 115.2 (C-2″), 110.6 (C-7′), 33.3 (CH3); IR: νmax 3383, 2951, 2715, 1623, 1598, 1518, 1438, 1368, 1276, 1185, 1084, 966, 769 cm−1.
(2E)-3-(3,4-dihydroxyphenyl)-1-(1-methoxy-1H-indol-3-yl)prop-2-en-1-one (18c)
Procedure A: 3 h, 74%; Rf 0.21 (hexane/acetone 2:1); brown-grey crystals; m.p. 206–209 °C d (acetone/hexane); 1H (600 MHz, DMSO-d6): δ 9.75–8.90 (bs, 2H, OH), 9.07 (s, 1H, H-2′), 8.38 (dt, 1H, J 7.9, 0.9 Hz, H-4′), 7.58 (dt, 1H, J 8.1, 0.9 Hz, H-7′), 7.51 (d, 1H, J 15.5 Hz, H-2), 7.50 (d, 1H, J 15.5 Hz, H-3), 7.35 (ddd, 1H, J 8.1, 7.1, 1.0 Hz, H-6′), 7,29 (ddd, 1H, J 7.9, 7.1, 1.0 Hz, H-5′), 7.25 (d, 1H, J 2.1 Hz, H-2″), 7.14 (dd, 1H, J 8.1, 2.1 Hz, H-6″), 6.81 (d, 1H, J 8.1 Hz, H-5″), 4.21 (s, 3H, OCH3); 13C NMR (150 MHz, DMSO-d6): δ 183.4 (C-1), 148.0 (C-4″), 145.6 (C-3″), 140.9 (C-3), 132.1 (C-7′a), 131.0 (C-2′), 126.7 (C-1″), 123.9 (C-6′), 122.7 (C-5′), 122.5 (C-3′a), 122.2 (C-4′), 121.4 (C-6″), 120.8 (C-2), 115.6 (C-5″), 115.4 (C-2″), 113.0 (C-3′), 108.8 (C-7′), 66.9 (OCH3); IR (KBr): νmax 3526, 3441, 3118 do 2560, 1636, 1508, 1450, 1370, 1326, 1283, 1253, 1205, 1113, 1063, 977, 801, 738 cm−1; HRMS: m/z [M+H]+: 310.10764 for C18H15 NO4 (calcd. 310.10738).
(2E)-3-(4-hydroxy-3-methoxyphenyl)-1-(1H-indol-3-yl)prop-2-en-1-one (19a)
Procedure A: 4 h, 79%; 75% [47]; Rf 0.20 (hexane/ acetone 2:1); ligth-orange crystals; m.p. 200–203 °C (acetone/hexane); 215 °C [47]; 1H (600 MHz, DMSO-d6): δ 12.05 (bs, 1H, NH), 9.51 (bs, 1H, OH), 8.69 (s s, 1H, H-2′), 8.33 (dt, 1H, J 7.8, 1.0 Hz, H-4′), 7.64 (d, 1H, J 15.4 Hz, H-2), 7.55 (d, 1H, J 15.4 Hz, H-3), 7.49 (dt, 1H, J 7.9, 1.0 Hz, H-7′), 7.46 (d, 1H, J 1.8 Hz, H-2″), 7.25–7.22 (m, 1H, H-6′), 7.23 (dd, 1H, J 8.1, 1.8 Hz, H-6″), 7.20 (ddd, 1H, J 8.1, 7.1, 1.2 Hz, H-5′), 6.83 (d, 1H, J 8.1 Hz, H-5″), 3.88 (s, 3H, OCH3); 13C NMR (150 MHz, DMSO-d6): δ 183.8 (C-1), 148.8 (C-4″), 147.9 (C-3″), 140.2 (C-3), 136.8 (C-7′a), 134.2 (C-2′), 126.7 (C-1″), 125.9 (C-3′a), 123.1 (C-6″), 123.0 (C-6′), 121.8 (C-5′), 121.7 (C-4′), 121.4 (C-2), 117.8 (C-3′), 115.5 (C-5″), 112.1 (C-7′), 111.4 (C-2″), 55.8 (OCH3); IR: νmax 3544, 3115, 1638, 1504, 1427, 1279, 1261, 1149, 1137, 975, 745 cm−1.
(2E)-3-(4-hydroxy-3-methoxyphenyl)-1-(1-methyl-1H-indol-3-yl)prop-2-en-1-one (19b)
Procedure A: 4.5 h, 81%; Rf 0.30 (hexane/ acetone 2:1); red crystals; m.p. 170–172 °C (acetone/hexane); 1H (600 MHz, DMSO-d6): δ 9.54 (bs, 1H, OH), 8.67 (s, 1H, H-2′), 8.34 (dd, 1H, J 7.9, 1.0 Hz, H-4′), 7.56 (d, 1H, J 15.6 Hz, H-2), 7.58–7.56 (m, 1H, H-7′), 7.55 (d, 1H, J 15.6 Hz, H-3), 7.42 (d, 1H, J 1.8 Hz, H-2″), 7.31 (ddd, 1H, J 8.1, 7.1, 1.0 Hz, H-6′), 7.25 (ddd, 1H, J 8.0, 7.1, 1.0 Hz, H-5′), 7.23 (dd, 1H, J 8.1, 1.8 Hz, H-6″), 6.84 (d, 1H, J 8.1 Hz, H-5″), 3.91 (s, 3H, N-CH3), 3.88 (s, 3H, C-OCH3); 13C NMR (150 MHz, DMSO-d6): δ 183.3 (C-1), 148.9 (C-4″), 147.9 (C-3″), 140.3 (C-3), 137.8 (C-2′), 137.5 (C-7′a), 126.7 (C-1″), 126.4 (C-3′a), 123.0 (C-6′), 122.96 (C-6″), 122.0 (C-5′), 121.9 (C-4′), 121.3 (C-2), 116.6 (C-3′), 115.6 (C-5″), 111.5 (C-2″), 110.6 (C-7′), 55.8 (C-OCH3), 33.3 (N-CH3); IR νmax 3514, 3118, 1616, 1579, 1512, 1400, 1372, 1267, 1207, 1123, 1081, 964, 740 cm−1.
(2E)-3-(4-hydroxy-3-methoxyphenyl)-1-(1-methoxy-1H-indol-3-yl)prop-2-en-1-one (19c)
Procedure A: 3 h, 61%; Rf 0.12 (hexane/EtOAc 2:1); ligth-yellow crystals; m.p. 155–156 °C (acetone/hexane); 1H NMR (600 MHz, DMSO-d6): δ 9.57 (bs, 1H, OH), 9.07 (s, 1H, H-2′), 8.39 (dd, 1H, J 8.1, 0.9 Hz, H-4′), 7.59 (d, 1H, J 15.5 Hz, H-2), 7.60–7.58 (m, 1H, H-7′), 7.58 (d, 1H, J 15.5 Hz, H-3), 7.46 (d, 1H, J 1.8 Hz, H-2″), 7.36 (ddd, 1H, J 8.1, 7.1, 1.0 Hz, H-6′), 7.30 (ddd, 1H, J 8.0, 7.1, 0.9 Hz, H-5′), 7.25 (dd, 1H, J 8.1, 1.8 Hz, H-6″), 6.84 (d, 1H, J 8.1 Hz, H-5″), 4.22 (s, 3H, N-OCH3), 3.89 (s, 3H, C-OCH3); 13C NMR (150 MHz, DMSO-d6): δ 183.3 (C-1), 149.1 (C-4″), 147.9 (C-3″), 140.9 (C-3), 132.1 (C-7′a), 131.0 (C-2′), 126.6 (C-1″), 123.9 (C-6′), 123.3 (C-6″), 122.8 (C-5′), 122.5 (C-3′a), 122.2 (C-4′), 120.9 (C-2), 115.6 (C-5″), 113.0 (C-3′), 111.5 (C-2″), 108.9 (C-7′), 66.9 (N-OCH3), 55.9 (C-OCH3); IR (KBr): νmax 3526, 3423, 3255, 1642, 1586, 1519, 1453, 1377, 1329, 1284, 1201, 1126, 1065, 1031, 976, 842, 807, 738 cm−1; HR-MS: m/z: [M+H]+ 324.12323 for C19H17NO4 (calcd. 324.12303).
3.2. Antiproliferative Activity Studies
3.2.1. Cell Cultures
In the experiments assessing the biological activity of the synthesized chalcones, various tumor cell lines were used. Cell lines MDA-MB-231 (human breast adenocarcinoma), HeLa (human cervical adenocarcinoma), HCT116 (human colorectal carcinoma), and Jurkat (human T lymphocyte leukemia) were cultured in RPMI 1640 medium (Biosera, Kansas City, MO, USA). MCF-7 (human breast adenocarcinoma) cells were cultured in Dulbecco’s Modified Eagle’s Medium (DMEM). Media were enriched with 1% HyCloneTM antibiotic/antimycotic solution containing penicillin, streptomycin, and amphotericin B (Merck, Darmstadt, Germany) and 10% fetal bovine serum (FBS; Gibco, Thermo Scientific, Rockford, IL, USA). The non-tumor cell line MCF-10A (human mammary epithelial cells) was cultured in DMEM F12 medium (high-glucose Dulbecco’s Modified Eagle’s Medium F12, Biosera, Kansas City, MO, USA), supplemented with antibiotic/antimycotic solution, insulin (final concentration of 10 µg/mL), 10% fetal bovine serum, EGF (final concentration of 20 ng/mL), and hydrocortisone (final concentration of 0.5 µg/mL) (Merck, Darmstadt, Germany). Human fibroblast cells, Bj-5ta (immortalized foreskin fibroblasts), were cultured in a mixture of DMEM and M199 media in a 4:1 ratio and supplemented with 10% FBS and hygromycin B (final concentration of 0.01 mg/mL). Cells were maintained in a humidified atmosphere containing 5% CO2 at 37 °C. Cell viability was higher than 95% for each experiment.
3.2.2. MTT Assay
To evaluate the antiproliferative/cytotoxic activity and inhibition of the metabolism of the tested compounds against cell lines, a colorimetric test of the metabolic activity of MTT (3-(4,5-di-methylthiazol-2-yl)2,5-diphenyltetrazolium bromide) was used (Sigma–Aldrich Chemie, Steinheim, Germany). Tested cells were seeded on 96-well culture plates at a density (5 × 103/well) and cultured in the respective culture medium for 24 h. Tested chalcones were added to the cells at concentrations of 10, 50, and 100 μmol/L and incubated for 72 h. After incubation, 100 µL of 10% MTT solution (5 mg/mL, Sigma–Aldrich Chemie, Steinheim, Germany) was added to each well. After 4 h at 37 °C in a 5% CO2 atmosphere, MTT precipitated to insoluble formazan, and 100 µL of 10% SDS (sodium dodecyl sulfate) was added to each well. After dissolving the crystals after 12 h, the absorbance was measured at a wavelength of 540 nm using the automated Cytation™ 3 Cell Imaging Multi-Mode Reader (Biotek, Winooski, VT, USA). IC50 values, determined as half-inhibitory concentrations versus control cells, were calculated using the statistical predictive function Trend.
3.3. Antioxidant Activity Studies
3.3.1. DPPH Radical Scavenging Activity
All antioxidant activity measurements were performed using a UV–vis spectrophotometer (Shimadzu UV-1280, Japan). The DPPH-scavenging activities of the compounds, based on the decolorization of the stable purple DPPH free radical measured at 517 nm [48], were estimated with slight modification [49]. A total of 50 µL of sample stock solution (1 mmol·L−1) or standard gallic acid (0.05–1.5 mmol·L−1) was mixed with 2.0 mL of DPPH solution (0.1 mmol·L−1). At the same time, 50 µL of methanol was used instead of the sample as a blank. After 30 min of incubation in the dark, absorbance was measured. The inhibition of radicals was calculated as a percentage of the blank according to the formula (%) = (1 − Asample/Ablank) × 100, and then the antioxidant activity was expressed as micromoles of gallic acid equivalents per millimole of sample (µmol GAE/mmol).
3.3.2. ABTS Radical Scavenging Activity
The ABTS radical scavenging ability of the compounds was determined by the decrease in absorbance of the radical cation (ABTS•+) at 734 nm. The ABTS•+ was generated by reacting equal volumes of ABTS (7 mmol·L−1) in H2O with the oxidizing agent K2S2O8 (2.45 mmol·L−1) for 12–16 h in the dark at room temperature and subsequently diluted with methanol to obtain an absorbance of 0.76 ± 0.01 at 734 nm. Then, 50 µL of sample stock solution (1 mmol·L−1) or standard gallic acid (0.05–1.5 mmol·L−1) was added to the ABTS solution (2 mL) and mixed. The absorbance of the sample was read at 734 nm after 30 min of incubation at room temperature. The inhibition of radicals was calculated as a percentage of the blank according to the formula (%) = (1 − Asample/Ablank) × 100, and then the antioxidant activity was expressed as micromoles of gallic acid equivalents per millimole of sample (µmol GAE/mmol).
3.3.3. Ferric Reducing Antioxidant Power (FRAP)
The FRAP method is based on the measurement of intense blue-colored Frap-Fe2+ complex formation having an absorption maximum at 595 nm after the reduction of Fe3+ to Fe2+ ions in the complex by sample [50]. The FRAP reagent contained 10 mmol·L−1 of TPTZ (2,4,6-tris(2-pyridyl)-s-triazine) solution in 40 mmol·L−1 HCl, 20 mM FeCl3, and 0.3 M acetate buffer at pH 3.6 in a ratio of 1:1:10. Briefly, 50 µL of sample stock solution (1 mmol·L−1) or standard gallic acid (0.05–1.5 mmol·L−1) were mixed with 2 mL of FRAP reagent and incubated for 30 min in the dark. The antioxidant activity was expressed as micromoles of gallic acid equivalents per millimole of sample (µmol GAE/mmol).
3.3.4. Statistical Analysis
The experimental results were performed in triplicate. The data were recorded as mean ± standard deviation and analyzed by one-way ANOVA followed by Tukey’s t-test. Statistical analyses were performed using GraphPad Prism 5 software (GraphPad Software Inc., San Diego, CA, USA). Results were considered significantly different when p < 0.05.
4. Conclusions
In summary, we reported the synthesis of a novel series of hybrid chalcones bearing unsubstituted N-metyl- or N-methoxy-indole pharmacophores and benzene rings with OH, F, and CF3 substituents. Antiproliferative activity screening indicates that the 2-fluoroderivatives 11a–k exhibit moderate and selective activity against cancer cell lines. The highest efficacy is observed against Jurkat leukemic cells, with even N-H, N-methoxy, and 2-ethoxy chalcones 11a, 11c, and 11e exhibiting activity of less than 8.3 μM on this cell line. Another 2-fluro-chalcone with 2-propoxy group 11f significantly suppresses the proliferation of breast cancer cells with minimal effect on non-cancer mammary epithelial cells (MCF-10A). The compound (2E)-3-(3,4-dihydroxyphenyl)-1-(1-methoxy-1H-indol-3-yl)prop-2-en-1-one (18c) from a series of hydroxylated chalcones demonstrated remarkable effectiveness against Jurkat leukemia cells and a human colon cancer cell line HCT116, with IC50 values of 8.0 ± 1.4 and 18.2 ± 2.9 μM, respectively. This structure contains a 1-methoxyindole nucleus, which shows great potential for the development of prototype anticancer drugs. Additionally, 1-methoxychalcone 14c exhibited impressive efficacy against Jurkat leukemia cells with an IC50 value of 7.3 ± 0.1 μM. These findings confirm the suitability of integrating the 1-methoxyindole nucleus into the design of novel and effective cancer treatments. However, further studies focused on a more detailed understanding of the antiproliferative mechanism of selected chalcone derivatives, as well as in vivo studies to confirm the anticancer effects of these compounds, will be necessary. Compounds 18a–c and 19a–c possess the highest antioxidant potential as determined by the in vitro DPPH, ABTS, and FRAP methods.
Supplementary Materials
The following supporting information can be downloaded at: https://www.mdpi.com/article/10.3390/molecules28186583/s1, Figures S1–S52: 1H NMR and 13C NMR Spectral Data of 11a, 11d–f, 12a–c, 13a–c, 14a–c, 17a–c, 18a–c, 19a–c; Figure S53: HR-MS fragmentation spectra for compound 11a.
Author Contributions
Conceptualization, Z.K. and J.M.; methodology, Z.K., R.M., A.S. and S.B.; validation, Z.K., R.M., A.S. and S.B.; experiments, Z.K., R.M., A.S., M.K. and S.B.; data curation, Z.K., R.M., A.S., M.V. and S.B.; writing—original draft preparation, Z.K., R.M., A.S., M.K., S.B. and J.M.; writing—review and editing, Z.K., R.M., A.S., M.K., M.V. and J.M.; supervision, Z.K. and J.M.; funding acquisition, A.S., M.V. and J.M. All authors have read and agreed to the published version of the manuscript.
Funding
This research was funded in part by the Grant Agency of the Ministry of Education, Science, Research, and Sport of the Slovak Republic (VEGA 1/0539/21, VEGA 1/0513/21, VEGA 2/0112/22) and the Slovak Research and Development Agency under contract No. APVV-16–0446. Moreover, this publication is the result of the project implementation: “Open scientific community for modern interdisciplinary research in medicine (OPENMED)”, ITMS2014+: 313011V455, supported by the Operational Programme Integrated Infrastructure, funded by the ERDF.
Institutional Review Board Statement
Not applicable.
Informed Consent Statement
Not applicable.
Data Availability Statement
Not applicable.
Conflicts of Interest
The authors declare no conflict of interest.
References
- Gomes, M.N.; Muratov, E.N.; Pereira, M.; Peixoto, J.C.; Rosseto, L.P.; Cravo, P.V.L.; Andrade, C.H.; Neves, B.J. Chalcone Derivatives: Promising Starting Points for Drug Design. Molecules 2017, 22, 1210. [Google Scholar] [CrossRef]
- McCluskey, A.; Russell, C. Chalcones: Potential Anticancer Agents. In Translational Research in Cancer; IntechOpen: London, UK, 2021; pp. 1–25. ISBN 0000957720. [Google Scholar]
- Gao, F.; Huang, G.; Xiao, J. Chalcone Hybrids as Potential Anticancer Agents: Current Development, Mechanism of Action, and Structure-Activity Relationship. Med. Res. Rev. 2020, 40, 2049–2084. [Google Scholar] [CrossRef]
- Sravanthi, T.V.; Manju, S.L. Indoles-A Promising Scaffold for Drug Development. Eur. J. Pharm. Sci. 2016, 91, 1–10. [Google Scholar] [CrossRef] [PubMed]
- Robinson, M.W.; Overmeyer, J.H.; Young, A.M.; Erhardt, P.W.; Maltese, W.A. Synthesis and Evaluation of Indole-Based Chalcones as Inducers of Methuosis, a Novel Type of Non-Apoptotic Cell Death. J. Med. Chem. 2012, 55, 1940–1956. [Google Scholar] [CrossRef] [PubMed]
- Kudličková, Z.; Takáč, P.; Sabolová, D.; Vilková, M.; Baláž, M.; Béres, T.; Mojžiš, J. Novel 1-Methoxyindole- and 2-Alkoxyindole-Based Chalcones: Design, Synthesis, Characterization, Antiproliferative Activity and DNA, BSA Binding Interactions. Med. Chem. Res. 2021, 30, 897–912. [Google Scholar] [CrossRef]
- Kuruc, T.; Kello, M.; Petrova, K.; Kudlickova, Z.; Kubatka, P.; Mojzis, J. The Newly Synthetized Chalcone L1 Is Involved in the Cell Growth Inhibition, Induction of Apoptosis and Suppression of Epithelial-to-Mesenchymal Transition of HeLa Cells. Molecules 2021, 26, 1356. [Google Scholar] [CrossRef] [PubMed]
- Inoue, M.; Sumii, Y.; Shibata, N. Contribution of Organofluorine Compounds to Pharmaceuticals. ACS Omega 2020, 5, 10633–10640. [Google Scholar] [CrossRef]
- Yu, Y.; Liu, A.; Dhawan, G.; Mei, H.; Zhang, W.; Izawa, K.; Soloshonok, V.A.; Han, J. Fluorine-Containing Pharmaceuticals Approved by the FDA in 2020: Synthesis and Biological Activity. Chin. Chem. Lett. 2021, 32, 3342–3354. [Google Scholar] [CrossRef]
- Mei, H.; Han, J.; Fustero, S.; Medio-Simon, M.; Sedgwick, D.M.; Santi, C.; Ruzziconi, R.; Soloshonok, V.A. Fluorine-Containing Drugs Approved by the FDA in 2018. Chem. Eur. J. 2019, 25, 11797–11819. [Google Scholar] [CrossRef]
- Burmaoglu, S.; Algul, O.; Anil, D.A.; Gobek, A.; Duran, G.G.; Ersan, R.H.; Duran, N. Synthesis and Anti-Proliferative Activity of Fluoro-Substituted Chalcones. Bioorg. Med. Chem. Lett. 2016, 26, 3172–3176. [Google Scholar] [CrossRef]
- dos Santos, M.B.; Bertholin Anselmo, D.; de Oliveira, J.G.; Jardim-Perassi, B.V.; Alves Monteiro, D.; Silva, G.; Gomes, E.; Lucia Fachin, A.; Marins, M.; de Campos Zuccari, D.A.P.; et al. Antiproliferative Activity and P53 Upregulation Effects of Chalcones on Human Breast Cancer Cells. J. Enzym. Inhib. Med. Chem. 2019, 34, 1093–1099. [Google Scholar] [CrossRef] [PubMed]
- Rozmer, Z.; Perjési, P. Naturally Occurring Chalcones and Their Biological Activities. Phytochem. Rev. 2016, 15, 87–120. [Google Scholar] [CrossRef]
- Cramer, J.; Sager, C.P.; Ernst, B. Hydroxyl Groups in Synthetic and Natural-Product-Derived Therapeutics: A Perspective on a Common Functional Group. J. Med. Chem. 2019, 62, 8915–8930. [Google Scholar] [CrossRef]
- Constantinescu, T.; Lungu, C.N. Anticancer Activity of Natural and Synthetic Chalcones. Int. J. Mol. Sci. 2021, 22, 11306. [Google Scholar] [CrossRef] [PubMed]
- Deng, N.; Qiao, M.; Li, Y.; Liang, F.; Li, J.; Liu, Y. Anticancer Effects of Licochalcones: A Review of the Mechanisms. Front. Pharmacol. 2023, 14, 1074506. [Google Scholar] [CrossRef] [PubMed]
- Yang, L.H.; Ho, Y.J.; Lin, J.F.; Yeh, C.W.; Kao, S.H.; Hsu, L.S. Butein Inhibits the Proliferation of Breast Cancer Cells through Generation of Reactive Oxygen Species and Modulation of ERK and P38 Activities. Mol. Med. Rep. 2012, 6, 1126–1132. [Google Scholar] [CrossRef]
- Cho, S.-G.; Woo, S.-M.; Ko, S.-G. Butein Suppresses Breast Cancer Growth by Reducing a Production of Intracellular Reactive Oxygen Species. J. Exp. Clin. Cancer Res. 2014, 33, 51. [Google Scholar] [CrossRef]
- Chen, W.J.; Song, J.R.; Guo, P.; Wen, Z.Y. Butein, a More Effective Antioxidant than α-Tocopherol. J. Mol. Struct. THEOCHEM 2006, 763, 161–164. [Google Scholar] [CrossRef]
- Miranda, C.L.; Stevens, J.F.; Ivanov, V.; Mccall, M.; Frei, B.; Deinzer, M.L.; Buhler, D.R. Antioxidant and Prooxidant Actions of Prenylated and Nonprenylated Chalcones and Flavanones in Vitro. J. Agric. Food Chem. 2000, 48, 3876–3884. [Google Scholar] [CrossRef]
- Cai, Y.Z.; Sun, M.; Xing, J.; Luo, Q.; Corke, H. Structure-Radical Scavenging Activity Relationships of Phenolic Compounds from Traditional Chinese Medicinal Plants. Life Sci. 2006, 78, 2872–2888. [Google Scholar] [CrossRef]
- Kudličková, Z.; Stahorský, M.; Michalková, R.; Vilková, M.; Baláž, M. Mechanochemical Synthesis of Indolyl Chalcones with Antiproliferative Activity. Green Chem. Lett. Rev. 2022, 15, 474–482. [Google Scholar] [CrossRef]
- Suzdalev, K.F.; Babakova, M.N. Synthesis of Analogues of Indole Alkaloids from Sea Sponges – Aplysinopsins by the Reaction of Amines with (4Z)-4-[(1H-Indol-3-Yl)-Methylene]-1,3-Oxazol-5(4H)-Ones. J. Heterocycl. Chem. 2015, 46, 1200–1206. [Google Scholar] [CrossRef]
- Somei, M.; Kawasaki, T.; Kodama, A.; Nishida, T.; Shimizu, K. Preparation of 1-Hydroxyindole Derivatives and a New Route to 2-Substituted Indoles. Heterocycles 1991, 32, 221. [Google Scholar] [CrossRef]
- Acheson, B.R.M.; Hunt, P.G.; Littlewood, D.M.; Murrer, B.A.; Rosenberg, H.E. The Synthesis, Reactions, and Spectra of 1-Acetoxy-, 1-Hydroxy-, and 1-Methoxy-Indoles. J. Chem. Soc. Perkin Trans. 1 1978, 10, 1117–1125. [Google Scholar] [CrossRef]
- Somei, M.; Nakajou, M.; Teramoto, T.; Tanimoto, A.; Yamada, F. Nucleophilic Substitution Reaction of 3-Acetyl-1-Methoxyindole and Its Application for the Synthesis of Novel 2-Substituted Methyl 2,3-Dihydro-1-Methyl-3-Oxo-5H-Pyrido-[4,3-b]Indole-4-Carboxylates. Heterocycles 1999, 51, 1949–1956. [Google Scholar] [CrossRef]
- Venkatanarayana, M.; Dubey, P.K. Novel and Simple Methodology for the Synthesis of 3-Acetylindoles and Their N-Alkyl Derivatives Using TBAB as Phase Transfer Catalyst. Lett. Org. Chem. 2011, 8, 656–662. [Google Scholar] [CrossRef]
- Jacobsen, N.E. NMR Data Interpretation Explained: Understanding 1D and 2D NMR Spectra of Organic Compounds and Natural Products; John Wiley & Sons, Inc.: Hoboken, NJ, USA, 2016; ISBN 9781118370223. [Google Scholar]
- Michalkova, R.; Kello, M.; Kudlickova, Z.; Gazdova, M.; Mirossay, L.; Mojzisova, G.; Mojzis, J. Programmed Cell Death Alterations Mediated by Synthetic Indole Chalcone Resulted in Cell Cycle Arrest, DNA Damage, Apoptosis and Signaling Pathway Modulations in Breast Cancer Model. Pharmaceutics 2022, 14, 503. [Google Scholar] [CrossRef]
- Chripkova, M.; Zigo, F.; Mojzis, J. Antiproliferative Effect of Indole Phytoalexins. Molecules 2016, 21, 1626. [Google Scholar] [CrossRef]
- Gacche, R.N.; Dhole, N.A.; Kamble, S.G.; Bandgar, B.P. In-Vitro Evaluation of Selected Chalcones for Antioxidant Activity. J. Enzym. Inhib. Med. Chem. 2008, 23, 28–31. [Google Scholar] [CrossRef]
- Chu, J.; Guo, C.L. Design and Discovery of Some Novel Chalcones as Antioxidant and Anti-Inflammatory Agents via Attenuating NF-ΚB. Arch. Pharm. 2016, 349, 63–70. [Google Scholar] [CrossRef] [PubMed]
- Przybylski, P.; Konopko, A.; Łętowski, P.; Jodko-Piórecka, K.; Litwinienko, G. Concentration-Dependent HAT/ET Mechanism of the Reaction of Phenols with 2,2-Diphenyl-1-Picrylhydrazyl (Dpph˙) in Methanol. RSC Adv. 2022, 12, 8131–8136. [Google Scholar] [CrossRef] [PubMed]
- Wang, G.; Xue, Y.; An, L.; Zheng, Y.; Dou, Y.; Zhang, L.; Liu, Y. Theoretical Study on the Structural and Antioxidant Properties of Some Recently Synthesised 2,4,5-Trimethoxy Chalcones. Food Chem. 2015, 171, 89–97. [Google Scholar] [CrossRef]
- Munteanu, I.G.; Apetrei, C. Analytical Methods Used in Determining Antioxidant Activity: A Review. Int. J. Mol. Sci. 2021, 22, 3380. [Google Scholar] [CrossRef] [PubMed]
- Jung, J.C.; Lee, Y.; Min, D.; Jung, M.; Oh, S. Practical Synthesis of Chalcone Derivatives and Their Biological Activities. Molecules 2017, 22, 1872. [Google Scholar] [CrossRef]
- Kalinowska, M.; Płońska, A.; Trusiak, M.; Gołębiewska, E.; Gorlewska-Pietluszenko, A. Comparing the Extraction Methods, Chemical Composition, Phenolic Contents and Antioxidant Activity of Edible Oils from Cannabis Sativa and Silybum Marianu Seeds. Sci. Rep. 2022, 12, 20609. [Google Scholar] [CrossRef]
- Cheng, Z.J.; Lin, C.N.; Hwang, T.L.; Teng, C.M. Broussochalcone A, a Potent Antioxidant and Effective Suppressor of Inducible Nitric Oxide Synthase in Lipopolysaccharide-Activated Macrophages. Biochem. Pharmacol. 2001, 61, 939–946. [Google Scholar] [CrossRef]
- Sivakumar, P.M.; Prabhakar, P.K.; Doble, M. Synthesis, Antioxidant Evaluation, and Quantitative Structure-Activity Relationship Studies of Chalcones. Med. Chem. Res. 2011, 20, 482–492. [Google Scholar] [CrossRef]
- Garberová, M.; Potočňák, I.; Tvrdoňová, M.; Bago-Pilátová, M.; Bekešová, S.; Kudličková, Z.; Samoľová, E.; Kešeľáková, A.; Elečko, J.; Vilková, M. Spectral, Structural, and Pharmacological Studies of Perillaldehyde and Myrtenal Based Benzohydrazides. J. Mol. Struct. 2023, 1271, 134112. [Google Scholar] [CrossRef]
- Lagu, S.B.; Yejella, R.P.; Bhandare, R.R.; Shaik, A.B. Design, Synthesis, and Antibacterial and Antifungal Activities of Novel Trifluoromethyl and Trifluoromethoxy Substituted Chalcone Derivatives. Pharmaceuticals 2020, 13, 375. [Google Scholar] [CrossRef]
- Yao, Y.; Huang, T.; Wang, Y.; Wang, L.; Feng, S.; Cheng, W.; Yang, L.; Duan, Y. Angiogenesis and Anti-Leukaemia Activity of Novel Indole Derivatives as Potent Colchicine Binding Site Inhibitors. J. Enzym. Inhib. Med. Chem. 2022, 37, 652–665. [Google Scholar] [CrossRef] [PubMed]
- Venturella, P.; Bellino, A.; Piozzi, F. Synthesis of Indolylchalcones and Indolylchrom Indolylchromonols. Farm. Ed. Sci. 1971, 26, 591–596. [Google Scholar]
- Yesuthangam, Y.; Pandian, S.; Venkatesan, K.; Gandhidasan, R.; Murugesan, R. Photogeneration of Reactive Oxygen Species and Photoinduced Plasmid DNA Cleavage by Novel Synthetic Chalcones. J. Photochem. Photobiol. B Biol. 2011, 102, 200–208. [Google Scholar] [CrossRef]
- Chang, M.Y.; Chen, K.T.; Tsai, Y.L.; Chen, H.Y. One-Pot Access to 2-Aryl-3-(Arylmethyl)Chromones. Synthesis 2020, 52, 861–872. [Google Scholar] [CrossRef]
- Kumar, D.; Kumar, N.M.; Akamatsu, K.; Kusaka, E.; Harada, H.; Ito, T. Synthesis and Biological Evaluation of Indolyl Chalcones as Antitumor Agents. Bioorganic Med. Chem. Lett. 2010, 20, 3916–3919. [Google Scholar] [CrossRef] [PubMed]
- Rani, P.; Srivastava, V.K.; Kumar, A. Synthesis and Antiinflammatory Activity of Heterocyclic Indole Derivatives. Eur. J. Med. Chem. 2004, 39, 449–452. [Google Scholar] [CrossRef]
- Brand-Williams, W.; Cuvelier, M.E.; Berset, C. Use of a Free Radical Method to Evaluate Antioxidant Activity. LWT Food Sci. Technol. 1995, 28, 25–30. [Google Scholar] [CrossRef]
- Tvrdoňová, M.; Borovská, B.; Salayová, A.; Rončák, R.; Michalčin, P.; Bednáriková, Z.; Gažová, Z. Design and Synthesis of Novel Carbohydrate-Amino Acid Hybrids and Their Antioxidant and Anti-β-Amyloid Aggregation Activity. Bioorg. Chem. 2023, 137, 106636. [Google Scholar] [CrossRef]
- Benzie, I.F.F.; Strain, J.J. The Ferric Reducing Ability of Plasma (FRAP) as a Measure of “Antioxidant Power”: The FRAP Assay. Anal. Biochem. 1996, 239, 70–76. [Google Scholar] [CrossRef]
Disclaimer/Publisher’s Note: The statements, opinions and data contained in all publications are solely those of the individual author(s) and contributor(s) and not of MDPI and/or the editor(s). MDPI and/or the editor(s) disclaim responsibility for any injury to people or property resulting from any ideas, methods, instructions or products referred to in the content. |
© 2023 by the authors. Licensee MDPI, Basel, Switzerland. This article is an open access article distributed under the terms and conditions of the Creative Commons Attribution (CC BY) license (https://creativecommons.org/licenses/by/4.0/).


