Fabricating BiOCl Nanoflake/FeOCl Nanospindle Heterostructures for Efficient Visible-Light Photocatalysis
Abstract
:1. Introduction
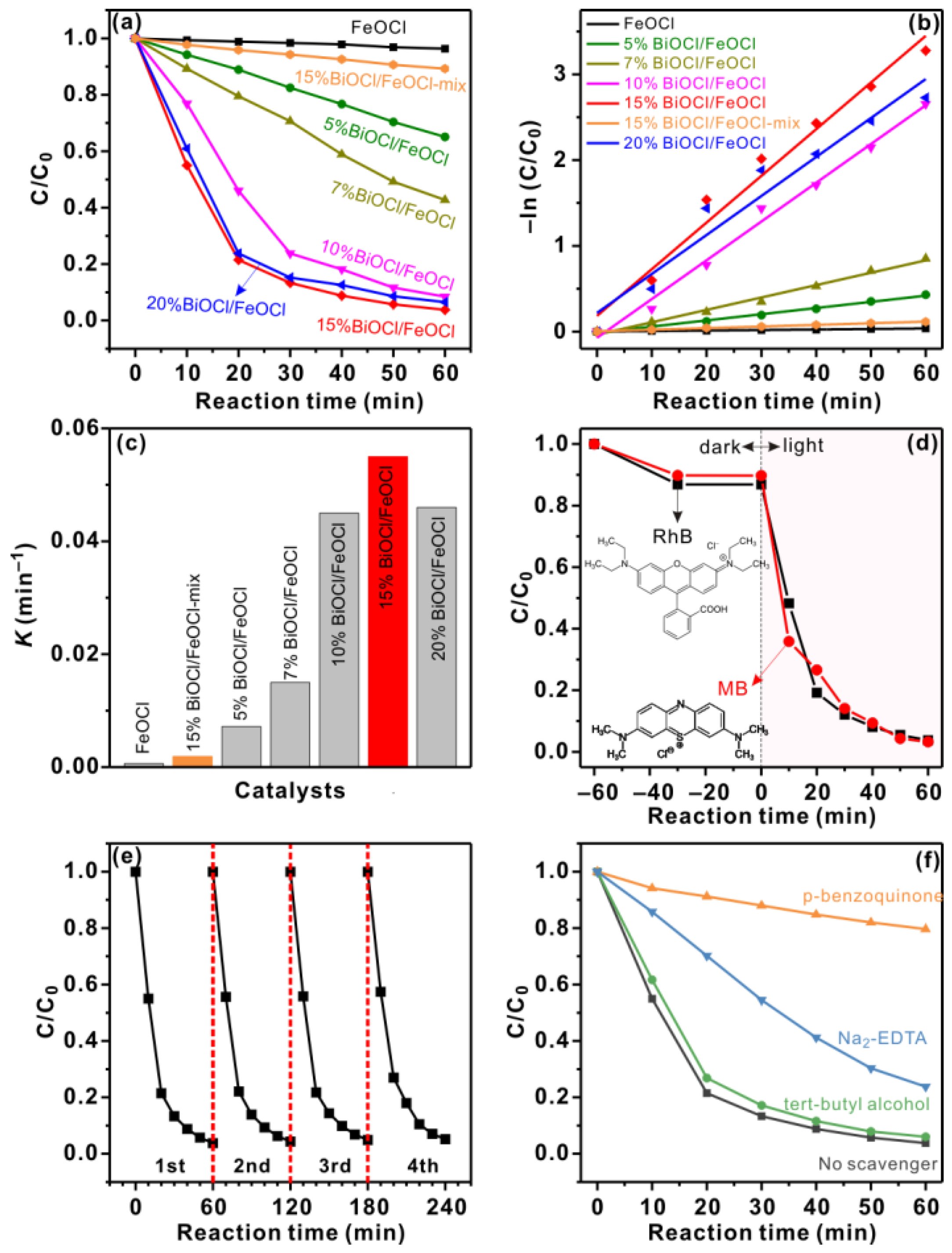
2. Results and Discussion
3. Materials and Methods
3.1. Synthesis of BiOCl/FeOCl
3.2. Characterization
3.3. Catalytic Test
4. Conclusions
Author Contributions
Funding
Institutional Review Board Statement
Informed Consent Statement
Data Availability Statement
Conflicts of Interest
References
- Rafiq, A.; Ikram, M.; Ali, S.; Niaz, F.; Khan, M.; Khan, Q.; Maqbool, M. Photocatalytic degradation of dyes using semiconductor photocatalysts to clean industrial water pollution. J. Ind. Eng. Chem. 2021, 97, 111–128. [Google Scholar] [CrossRef]
- Jiang, S.; Zheng, H.; Sun, X.; Zhu, M.; Zhou, Y.; Wang, D.; Zhang, D.; Zhang, L. New and highly efficient Ultra-thin g-C3N4/FeOCl nanocomposites as photo-Fenton catalysts for pollutants degradation and antibacterial effect under visible light. Chemosphere 2022, 290, 133324. [Google Scholar] [CrossRef] [PubMed]
- Poudel, M.B.; Awasthi, G.P.; Kim, H.J. Novel insight into the adsorption of Cr(VI) and Pb(II) ions by MOF derived Co-Al layered double hydroxide @hematite nanorods on 3D porous carbon nanofiber network. Chem. Eng. J. 2021, 417, 129312. [Google Scholar] [CrossRef]
- Jain, R.; Mathur, M.; Sikarwar, S.; Mittal, A. Removal of the hazardous dye rhodamine B through photocatalytic and adsorption treatments. J. Environ. Manag. 2007, 85, 956–964. [Google Scholar] [CrossRef]
- Al-Gheethi, A.A.; Azhar, Q.M.; Senthil Kumar, P.; Yusuf, A.A.; Al-Buriahi, A.K.; Radin Mohamed, R.M.S.; Al-shaibani, M.M. Sustainable approaches for removing Rhodamine B dye using agricultural waste adsorbents: A review. Chemosphere 2022, 287, 132080. [Google Scholar] [CrossRef]
- Kandel, D.R.; Kim, H.-J.; Lim, J.-M.; Poudel, M.B.; Cho, M.; Kim, H.-W.; Oh, B.-T.; Nah, C.; Lee, S.H.; Dahal, B.; et al. Cold plasma-assisted regeneration of biochar for dye adsorption. Chemosphere 2022, 309, 136638. [Google Scholar] [CrossRef]
- Anwer, H.; Mahmood, A.; Lee, J.; Kim, K.-H.; Park, J.-W.; Yip, A.C.K. Photocatalysts for degradation of dyes in industrial effluents: Opportunities and challenges. Nano Res. 2019, 12, 955–972. [Google Scholar] [CrossRef]
- Mzimela, N.; Tichapondwa, S.; Chirwa, E. Visible-light-activated photocatalytic degradation of rhodamine B using WO3 nanoparticles. RSC Adv. 2022, 12, 34652–34659. [Google Scholar] [CrossRef]
- Ren, G.; Han, H.; Wang, Y.; Liu, S.; Zhao, J.; Meng, X.; Li, Z. Recent Advances of Photocatalytic Application in Water Treatment: A Review. Nanomaterials 2021, 11, 1804. [Google Scholar] [CrossRef]
- Li, H.; Li, J.; Ai, Z.; Jia, F.; Zhang, L. Oxygen vacancy mediated photocatalysis of BiOCl: Reactivity, selectivity, and perspectives. Angew. Chem. Int. Ed. 2018, 57, 122–138. [Google Scholar] [CrossRef] [PubMed]
- Al-Buriahi, A.K.; Al-Gheethi, A.A.; Senthil Kumar, P.; Radin Mohamed, R.M.S.; Yusof, H.; Alshalif, A.F.; Khalifa, N.A. Elimination of rhodamine B from textile wastewater using nanoparticle photocatalysts: A review for sustainable approaches. Chemosphere 2022, 287, 132162. [Google Scholar] [CrossRef]
- Poudel, M.B.; Yu, C.; Kim, H.J. Synthesis of Conducting Bifunctional Polyaniline@Mn-TiO2 Nanocomposites for Supercapacitor Electrode and Visible Light Driven Photocatalysis. Catalysts 2020, 10, 546. [Google Scholar] [CrossRef]
- Singh, P.; Chaubey, S.; Singh, C.; Singh, S.; Yadav, R.K.; Singh, A.P.; Subhash, P.D.; Tiwari, D.; Gupta, N.K.; Kim, T.W. Polystyrene-based eosin-Y as a photocatalyst for solar light-mediated NADH/NADPH regeneration and organic transformations. React. Chem. Eng. 2023, 8, 1072–1082. [Google Scholar] [CrossRef]
- Kumar, S.; Yadav, R.K.; Choi, S.Y.; Singh, P.; Kim, T.W. An efficient polydopamine modified sulphur doped GCN photocatalyst for generation of HCOOH from CO2 under sun ray irradiation. J. Photochem. Photobiol. A 2023, 439, 114591. [Google Scholar] [CrossRef]
- Liu, J.; Zou, S.; Lou, B.; Chen, C.; Xiao, L.; Fan, J. Interfacial Electronic Interaction Induced Engineering of ZnO-BiOI Heterostructures for Efficient Visible-Light Photocatalysis. Inorg. Chem. 2019, 58, 8525–8532. [Google Scholar] [CrossRef] [PubMed]
- Low, J.; Yu, J.; Jaroniec, M.; Wageh, S.; Al-Ghamdi, A.A. Heterojunction Photocatalysts. Adv. Mater. 2017, 29, 1601694. [Google Scholar] [CrossRef]
- Liu, J.; Ma, N.; Wu, W.; He, Q. Recent progress on photocatalytic heterostructures with full solar spectral responses. Chem. Eng. J. 2020, 393, 124719. [Google Scholar] [CrossRef]
- Zhang, L.; Zhang, J.; Yu, H.; Yu, J. Emerging S-Scheme Photocatalyst. Adv. Mater. 2022, 34, 2107668. [Google Scholar] [CrossRef] [PubMed]
- Wang, H.; Zhang, L.; Chen, Z.; Hu, J.; Li, S.; Wang, Z.; Liu, J.; Wang, X. Semiconductor heterojunction photocatalysts: Design, construction, and photocatalytic performances. Chem. Soc. Rev. 2014, 43, 5234–5244. [Google Scholar] [CrossRef] [PubMed]
- Wang, Z.; Lin, Z.; Shen, S.; Zhong, W.; Cao, S. Advances in designing heterojunction photocatalytic materials. Chin. J. Catal. 2021, 42, 710–730. [Google Scholar] [CrossRef]
- Zeng, Y.; Gu, P.; Zhao, Z.; Zhang, B.; Lin, Z.; Peng, Y.; Li, W.; Zhao, W.; Leng, Y.; Tan, P.; et al. 2D FeOCl: A Highly In-Plane Anisotropic Antiferromagnetic Semiconductor Synthesized via Temperature-Oscillation Chemical Vapor Transport. Adv. Mater. 2022, 34, 2108847. [Google Scholar] [CrossRef] [PubMed]
- Zhang, J.; Wölfel, A.; Li, L.; van Smaalen, S.; Williamson, H.L.; Kremer, R.K. Magnetoelastic coupling in the incommensurate antiferromagnetic phase of FeOCl. Phys. Rev. B 2012, 86, 134428. [Google Scholar] [CrossRef]
- Wan, C.; Jiao, Y.; Bao, W.; Gao, H.; Wu, Y.; Li, J. Self-stacked multilayer FeOCl supported on a cellulose-derived carbon aerogel: A new and high-performance anode material for supercapacitors. J. Mater. Chem. A 2019, 7, 9556–9564. [Google Scholar] [CrossRef]
- Zhao, X.; Zhao-Karger, Z.; Wang, D.; Fichtner, M. Metal Oxychlorides as Cathode Materials for Chloride Ion Batteries. Angew. Chem. Int. Ed. 2013, 52, 13621–13624. [Google Scholar] [CrossRef]
- Wu, C.G.; DeGroot, D.C.; Marcy, H.O.; Schindler, J.L.; Kannewurf, C.R.; Bakas, T.; Papaefthymiou, V.; Hirpo, W.; Yesinowski, J.P. Reaction of Aniline with FeOCl. Formation and Ordering of Conducting Polyaniline in a Crystalline Layered Host. J. Am. Chem. Soc. 1995, 117, 9229–9242. [Google Scholar] [CrossRef]
- Zhang, J.; Jiao, X.-L.; Xia, Y.-G.; Liu, F.-F.; Pang, Y.-P.; Zhao, X.-F.; Chen, D.-R. Enhanced Catalytic Activity in Liquid-Exfoliated FeOCl Nanosheets as a Fenton-Like Catalyst. Chem. Eur. J. 2016, 22, 9321–9329. [Google Scholar] [CrossRef]
- Yang, X.-j.; Xu, X.-m.; Xu, J.; Han, Y.-f. Iron Oxychloride (FeOCl): An Efficient Fenton-Like Catalyst for Producing Hydroxyl Radicals in Degradation of Organic Contaminants. J. Am. Chem. Soc. 2013, 135, 16058–16061. [Google Scholar] [CrossRef]
- Zhao, J.; Liu, G.; Zhang, Y.; Dong, J.; Wang, Y.; Liu, Y.; Li, H.; Xia, J. Fabrication of MoS2/FeOCl composites as heterogeneous photo-fenton catalysts for the efficient degradation of water pollutants under visible light irradiation. Colloids Surf. A 2022, 648, 129357. [Google Scholar] [CrossRef]
- Zhao, J.; Ji, M.; Di, J.; Zhang, Y.; He, M.; Li, H.; Xia, J. Novel Z-scheme heterogeneous photo-Fenton-like g-C3N4/FeOCl for the pollutants degradation under visible light irradiation. J. Photochem. Photobiol. A 2020, 391, 112343. [Google Scholar] [CrossRef]
- Vadivel, S.; Fujii, M.; Rajendran, S. Facile synthesis of broom stick like FeOCl/g-C3N5 nanocomposite as novel Z-scheme photocatalysts for rapid degradation of pollutants. Chemosphere 2022, 307, 135716. [Google Scholar] [CrossRef] [PubMed]
- Asadzadeh-Khaneghah, S.; Habibi-Yangjeh, A.; Seifzadeh, D.; Chand, H.; Krishnan, V. Visible-light-activated g-C3N4 nanosheet/carbon dot/FeOCl nanocomposites: Photodegradation of dye pollutants and tetracycline hydrochloride. Colloids Surf. A 2021, 617, 126424. [Google Scholar] [CrossRef]
- Song, J.; Zhang, M.; Yan, C.; Zhao, X.; Liu, G.; Zhang, J. AgSCN/AgCl/FeOCl nanosheets heterojunction with novel interface structure and excellent photocatalytic performance. J. Alloys Compd. 2020, 836, 155544. [Google Scholar] [CrossRef]
- Vadivel, S.; Paul, B.; Mohan, H. Core-shell structured FeOCl/Bi5O7Br nanocrystals for visible-light-driven photocatalyst in aqueous solution. Opt. Mater. 2023, 140, 113894. [Google Scholar] [CrossRef]
- Ganguli, A.K.; Kunde, G.B.; Raza, W.; Kumar, S.; Yadav, P. Assessment of Performance of Photocatalytic Nanostructured Materials with Varied Morphology Based on Reaction Conditions. Molecules 2022, 27, 7778. [Google Scholar] [CrossRef]
- Liu, J.; Guo, H.; Yin, H.; Nie, Q.; Zou, S. Accelerated Photodegradation of Organic Pollutants over BiOBr/Protonated g-C3N4. Catalysts 2022, 12, 1109. [Google Scholar] [CrossRef]
- Hou, H.; Zhang, X. Rational design of 1D/2D heterostructured photocatalyst for energy and environmental applications. Chem. Eng. J. 2020, 395, 125030. [Google Scholar] [CrossRef]
- Sabri, M.; Habibi-Yangjeh, A.; Chand, H.; Krishnan, V. Activation of persulfate by novel TiO2/FeOCl photocatalyst under visible light: Facile synthesis and high photocatalytic performance. Sep. Purif. Technol. 2020, 250, 117268. [Google Scholar] [CrossRef]
- Xie, D.; Tang, C.; Li, D.; Yuan, J.; Xu, F. FeOCl/WS2 composite as a heterogeneous Fenton catalyst to efficiently degrade acid orange II. Inorg. Chem. Commun. 2023, 156, 111085. [Google Scholar] [CrossRef]
- Zhang, J.; Liu, G.; Liu, S. 2D/2D FeOCl/graphite oxide heterojunction with enhanced catalytic performance as a photo-Fenton catalyst. New J. Chem. 2018, 42, 6896–6902. [Google Scholar] [CrossRef]
- Liu, J.; Zhang, S.; Zhao, H. Fabricating visible-light photoactive 3D flower-like BiOCl nanostructures via a one-step solution chemistry method at room temperature. Appl. Surf. Sci. 2019, 479, 247–252. [Google Scholar] [CrossRef]
- Wang, L.; Yang, H.; Kang, L.; Wu, M.; Yang, Y. Highly dispersed of Ag/AgCl nanoparticles on exfoliated FeOCl nanosheets as photo-Fenton catalysts for pollutants degradation via accelerating Fe(II)/Fe(III) cycle. Chemosphere 2022, 296, 134039. [Google Scholar] [CrossRef]
- Wu, Z.; Shen, J.; Li, W.; Li, J.; Xia, D.; Xu, D.; Zhang, S.; Zhu, Y. Electron self-sufficient core-shell BiOCl@Fe-BiOCl nanosheets boosting Fe(III)/Fe(II) recycling and synergetic photocatalysis-Fenton for enhanced degradation of phenol. Appl. Catal. B Environ. 2023, 330, 122642. [Google Scholar] [CrossRef]
- Jiang, L.; Gong, M.; Jiang, X.; Zhang, J.; Liu, G.; Zeng, Q. Vertical growth of 2D BiOCl nanosheets on FeOCl nanoplates as an efficient photo-Fenton catalyst for phenol degradation. Desalination Water Treat. 2021, 225, 320–330. [Google Scholar] [CrossRef]
- Xiong, J.; Cheng, G.; Qin, F.; Wang, R.; Sun, H.; Chen, R. Tunable BiOCl hierarchical nanostructures for high-efficient photocatalysis under visible light irradiation. Chem. Eng. J. 2013, 220, 228–236. [Google Scholar] [CrossRef]
- Zuo, S.; Li, D.; Guan, Z.; Yang, F.; Song, J.; Xu, H.; Xia, D.; Li, H.; Li, X. A directional Built-in electric field mediates the electron transfer synergy mechanism of the Radical/Nonradical pathway in FeOCl-CuO. Chem. Eng. J. 2022, 430, 133004. [Google Scholar] [CrossRef]
- Liu, J.; Guo, H.; Zhang, L.; Yin, H.; Nie, Q. One-pot synthesis of AgBr-Ag-BiOBr nanosheets for efficient visible-light-driven photocatalysis. Mater. Lett. 2022, 323, 132556. [Google Scholar] [CrossRef]
- Zhou, W.; Yin, Z.; Du, Y.; Huang, X.; Zeng, Z.; Fan, Z.; Liu, H.; Wang, J.; Zhang, H. Synthesis of Few-Layer MoS2 Nanosheet-Coated TiO2 Nanobelt Heterostructures for Enhanced Photocatalytic Activities. Small 2013, 9, 140–147. [Google Scholar] [CrossRef]










Disclaimer/Publisher’s Note: The statements, opinions and data contained in all publications are solely those of the individual author(s) and contributor(s) and not of MDPI and/or the editor(s). MDPI and/or the editor(s) disclaim responsibility for any injury to people or property resulting from any ideas, methods, instructions or products referred to in the content. |
© 2023 by the authors. Licensee MDPI, Basel, Switzerland. This article is an open access article distributed under the terms and conditions of the Creative Commons Attribution (CC BY) license (https://creativecommons.org/licenses/by/4.0/).
Share and Cite
Guo, H.; Deng, Y.; Yin, H.; Liu, J.; Zou, S. Fabricating BiOCl Nanoflake/FeOCl Nanospindle Heterostructures for Efficient Visible-Light Photocatalysis. Molecules 2023, 28, 6949. https://doi.org/10.3390/molecules28196949
Guo H, Deng Y, Yin H, Liu J, Zou S. Fabricating BiOCl Nanoflake/FeOCl Nanospindle Heterostructures for Efficient Visible-Light Photocatalysis. Molecules. 2023; 28(19):6949. https://doi.org/10.3390/molecules28196949
Chicago/Turabian StyleGuo, Heng, Yangzhou Deng, Haoyong Yin, Juanjuan Liu, and Shihui Zou. 2023. "Fabricating BiOCl Nanoflake/FeOCl Nanospindle Heterostructures for Efficient Visible-Light Photocatalysis" Molecules 28, no. 19: 6949. https://doi.org/10.3390/molecules28196949
APA StyleGuo, H., Deng, Y., Yin, H., Liu, J., & Zou, S. (2023). Fabricating BiOCl Nanoflake/FeOCl Nanospindle Heterostructures for Efficient Visible-Light Photocatalysis. Molecules, 28(19), 6949. https://doi.org/10.3390/molecules28196949

