A Review of the Antimicrobial Properties of Cyanobacterial Natural Products
Abstract
1. Introduction
2. Toxicology
3. Cyanobacterial Chemistry
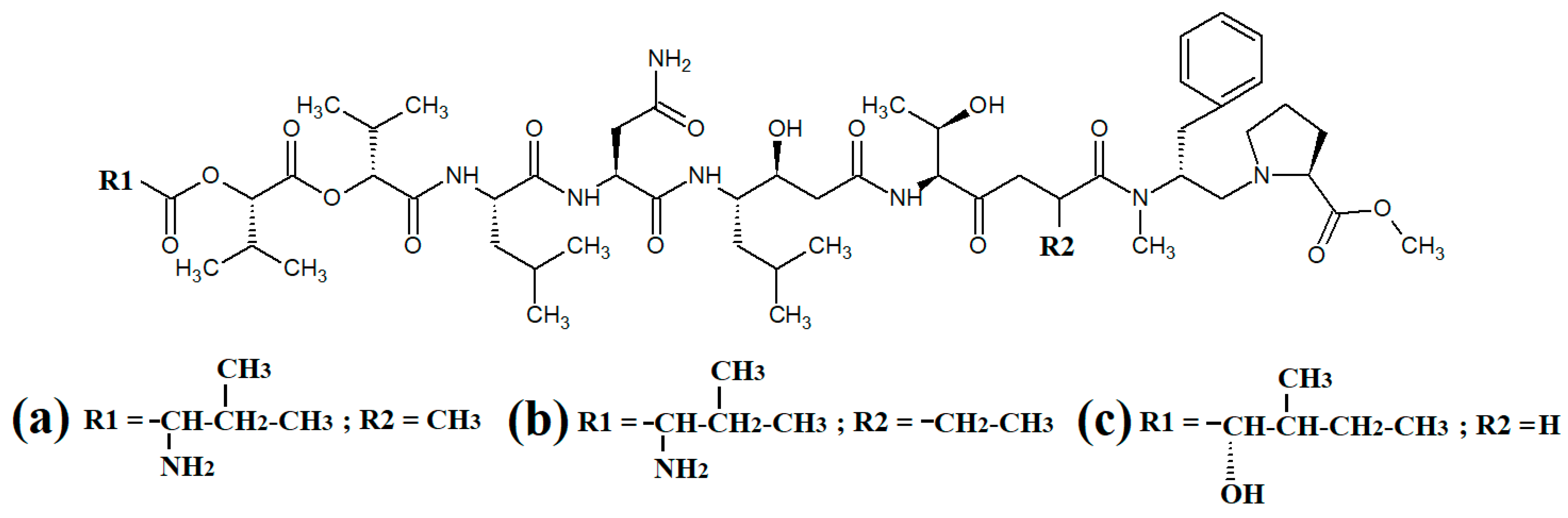
3.1. Linear Peptides and Lipopeptides
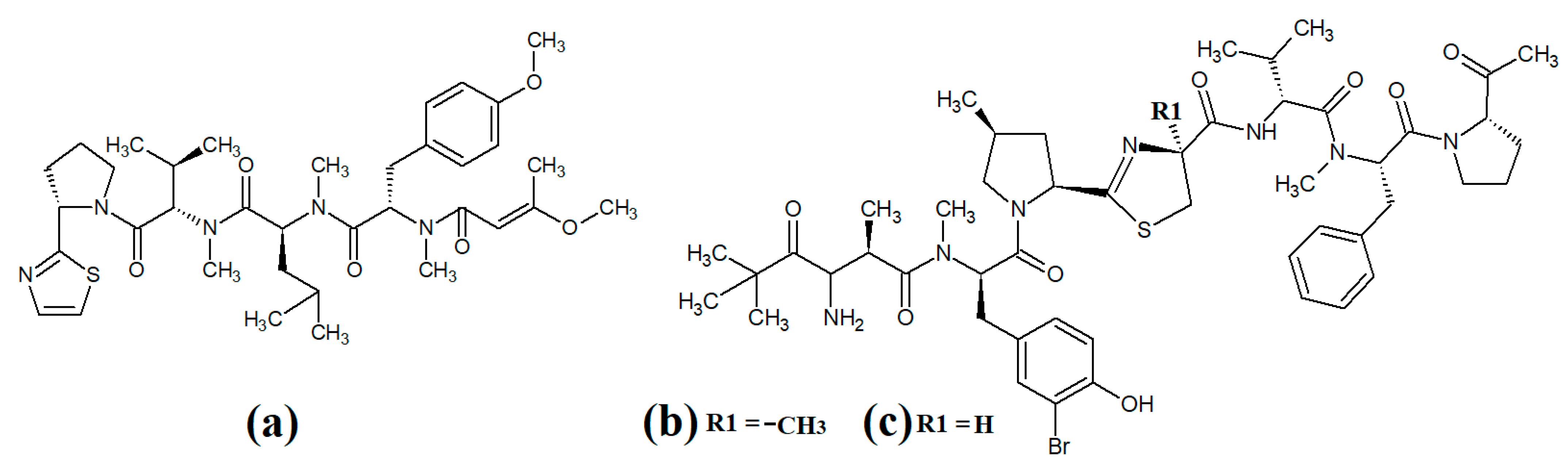
3.2. Linear Lipopeptides and Peptides Containing Heterocyclic Moieties
3.3. Cyclic Depsipeptides and Peptides
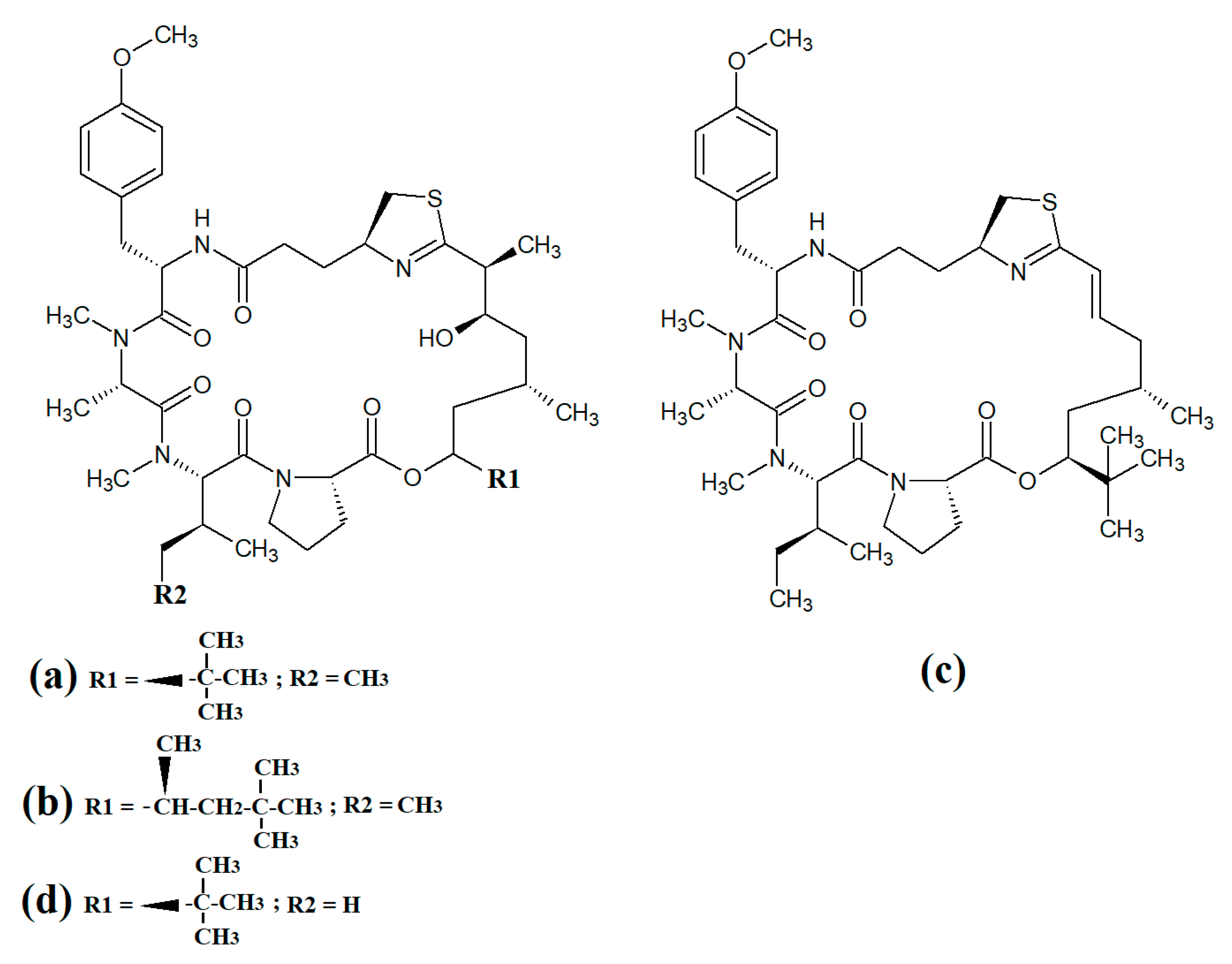
3.4. Cyclic Depsipeptides Containing Heterocyclic Moieties
3.5. Lariat-Type Cyclic Depsipeptides
3.6. Cyclic Depsipeptides with Extensive Polyketide Chain
4. Antimicrobial Properties
4.1. Antibacterial Activity
4.2. Antifungal Activity
4.3. Antiprotozoal Activity
4.4. Antiviral Activity
5. Conclusions
Author Contributions
Funding
Institutional Review Board Statement
Informed Consent Statement
Data Availability Statement
Acknowledgments
Conflicts of Interest
References
- Schopf, W.; Packer, B. Early Archean (3.3-billion to 3.5 billion year old) microfossils from Warrawoona group, Australia. Science 1987, 237, 70–73. [Google Scholar] [CrossRef] [PubMed]
- Zahra, Z.; Choo, D.H.; Lee, H.; Parveen, A. Cyanobacteria: Review of current potentials and applications. Environments 2020, 7, 13. [Google Scholar] [CrossRef]
- Whitton, B.A.; Potts, M. Introduction to the cyanobacteria. In Ecology of Cyanobacteria II 2012; Springer: Dordrecht, The Netherlands, 2012; pp. 1–13. [Google Scholar]
- Abed, R.M.; Dobretsov, S.; Sudesh, K. Applications of cyanobacteria in biotechnology. J. Appl. Microbiol. 2009, 106, 1–12. [Google Scholar] [CrossRef] [PubMed]
- Tan, L.T. Pharmaceutical agents from filamentous marine cyanobacteria. Drug Discov. 2013, 18, 863–871. [Google Scholar] [CrossRef]
- Saeed, M.U.; Hussain, N.; Shahbaz, A.; Hameed, T.; Iqbal, H.M.; Bilal, M. Bioprospecting microalgae and cyanobacteria for biopharmaceutical applications. J. Basic. Microbiol. 2022, 62, 1110–1124. [Google Scholar] [CrossRef]
- Du, X.; Liu, H.; Yuan, L.; Wang, Y.; Ma, Y.; Wang, R.; Chen, X.; Losiewicz, M.D.; Guo, H.; Zhang, H. The diversity of cyanobacterial toxins on structural characterization, distribution and identification: A systematic review. Toxins 2019, 11, 530. [Google Scholar] [CrossRef]
- Mundt, S.; Kreitlow, S.; Nowotny, A.; Effmert, U. Biochemical and pharmacological investigations of selected cyanobacteria. Int. J. Hyg. Environ. Health 2001, 203, 327–334. [Google Scholar] [CrossRef]
- Carmichael, W.W. The toxins of cyanobacteria. Sci. Am. 1994, 270, 78–86. [Google Scholar] [CrossRef]
- Bláha, L.; Babica, P.; Marsálek, B. Toxins produced in cyanobacterial water blooms-toxicity and risks. Interdiscip. Toxicol. 2009, 2, 36–41. [Google Scholar] [CrossRef]
- Svirčev, Z.; Lalić, D.; Bojadžija Savić, G.; Tokodi, N.; Drobac Backović, D.; Chen, L.; Meriluoto, J.; Codd, G.A. Global geographical and historical overview of cyanotoxin distribution and cyanobacterial poisonings. Arch. Toxicol. 2019, 93, 2429–2481. [Google Scholar] [CrossRef]
- Spoof, L.; Catherine, A. Appendix 3: Tables of microcystins and nodularins. In Handbook of Cyanobacterial Monitoring and Cyanotoxin Analysis; John Wiley & Sons, Ltd.: Hoboken, NJ, USA, 2016; Volume 20, pp. 526–537. [Google Scholar]
- Ruebhart, D.R.; Wickramasinghe, W.; Cock, I.E. Protective efficacy of the antioxidants vitamin E and Trolox against Microcystis aeruginosa and microcystin-LR in Artemia franciscana nauplii. J. Toxicol. Environ. Health Part A 2009, 72, 1567–1575. [Google Scholar] [CrossRef]
- Froscio, S.M.; Humpage, A.R.; Burcham, P.C.; Falconer, I.R. Cylindrospermopsin-induced protein synthesis inhibition and its dissociation from acute toxicity in mouse hepatocytes. Environ. Toxicol. 2003, 18, 243–251. [Google Scholar] [CrossRef]
- Shaw, G.R.; Seawright, A.A.; Moore, M.R.; Lam, P.K. Cylindrospermopsin, a cyanobacterial alkaloid: Evaluation of its toxicologic activity. Ther. Drug Monit. 2000, 22, 89–92. [Google Scholar] [CrossRef]
- Shen, X.; Lam, P.K.; Shaw, G.R.; Wickramasinghe, W. Genotoxicity investigation of a cyanobacterial toxin, cylindrospermopsin. Toxicon 2002, 40, 1499–1501. [Google Scholar] [CrossRef] [PubMed]
- Falconer, I.R.; Humpage, A.R. Preliminary evidence for in vivo tumour initiation by oral administration of extracts of the blue-green alga Cylindrospermopsis raciborskii containing the toxin cylindrospermopsin. Environ. Toxicol. 2001, 16, 192–195. [Google Scholar] [CrossRef]
- Wiese, M.; D’agostino, P.M.; Mihali, T.K.; Moffitt, M.C.; Neilan, B.A. Neurotoxic alkaloids: Saxitoxin and its analogs. Mar. Drugs 2010, 8, 2185–2211. [Google Scholar] [CrossRef] [PubMed]
- Rodgers, K.J.; Main, B.J.; Samardzic, K. Cyanobacterial neurotoxins: Their occurrence and mechanisms of toxicity. Neurotox. Res. 2018, 33, 168–177. [Google Scholar] [CrossRef]
- Matsunaga, S.; Moore, R.E.; Niemczura, W.P.; Carmichael, W.W. Anatoxin-a (s), a potent anticholinesterase from Anabaena flosaquae. J. Am. Chem. Soc. 1989, 111, 8021–8023. [Google Scholar] [CrossRef]
- Cardellina, J.H.; Marner, F.J.; Moore, R.E. Seaweed dermatitis: Structure of lyngbyatoxin A. Science 1979, 204, 193–195. [Google Scholar] [CrossRef]
- Osborne, N.J.; Webb, P.M.; Shaw, G.R. The toxins of Lyngbya majuscula and their human and ecological health effects. Environ. Int. 2001, 27, 381–392. [Google Scholar] [CrossRef]
- Nogle, L.M.; Okino, T.; Gerwick, W.H. Antillatoxin B, a neurotoxic lipopeptide from the marine cyanobacterium Lyngbya majuscula. J. Nat. Prod. 2001, 64, 983–985. [Google Scholar] [CrossRef]
- Orjala, J.; Nagle, D.G.; Hsu, V.; Gerwick, W.H. Antillatoxin: An exceptionally ichthyotoxic cyclic lipopeptide from the tropical cyanobacterium Lyngbya majuscula. J. Am. Chem. Soc. 1995, 117, 8281–8282. [Google Scholar] [CrossRef]
- Aráoz, R.; Molgó, J.; de Marsac, N.T. Neurotoxic cyanobacterial toxins. Toxicon 2010, 56, 813–828. [Google Scholar] [CrossRef]
- Caro-Diaz, E.J.; Valeriote, F.A.; Gerwick, W.H. Highly convergent total synthesis and assignment of absolute configuration of majusculamide D, a potent and selective cytotoxic metabolite from Moorea sp. Organ. Lett. 2019, 21, 793–796. [Google Scholar] [CrossRef] [PubMed]
- Ramaswamy, A.V.; Sorrels, C.M.; Gerwick, W.H. Cloning and biochemical characterization of the hectochlorin biosynthetic gene cluster from the marine cyanobacterium Lyngbya majuscula. J. Nat. Prod. 2007, 70, 1977–1986. [Google Scholar] [CrossRef] [PubMed]
- Xue, Y.; Zhao, P.; Quan, C.; Zhao, Z.; Gao, W.; Li, J.; Zu, X.; Fu, D.; Feng, S.; Bai, X.; et al. Cyanobacteria-derived peptide antibiotics discovered since 2000. Peptides 2018, 107, 17–24. [Google Scholar] [CrossRef] [PubMed]
- Harrigan, G.G.; Luesch, H.; Yoshida, W.Y.; Moore, R.E.; Nagle, D.G.; Biggs, J.; Park, P.U.; Paul, V.J. Tumonoic acids, novel metabolites from a cyanobacterial assemblage of Lyngbya majuscula and Schizothrix calcicola. J. Nat. Prod. 1999, 62, 464–467. [Google Scholar] [CrossRef]
- Clark, B.R.; Engene, N.; Teasdale, M.E.; Rowley, D.C.; Matainaho, T.; Valeriote, F.A.; Gerwick, W.H. Natural products chemistry and taxonomy of the marine cyanobacterium Blennothrix cantharidosmum. J. Nat. Prod. 2008, 71, 1530–1537. [Google Scholar] [CrossRef]
- Engene, N.; Choi, H.; Esquenazi, E.; Byrum, T.; Villa, F.A.; Cao, Z.; Murray, T.F.; Dorrestein, P.C.; Gerwick, L.; Gerwick, W.H. Phylogeny-guided isolation of ethyl tumonoate A from the marine cyanobacterium cf. Oscillatoria margaritifera. J. Nat. Prod. 2011, 74, 1737–1743. [Google Scholar] [CrossRef]
- Tan, L.T.; Chang, Y.Y.; Ashootosh, T. Besarhanamides A and B from the marine cyanobacterium Lyngbya majuscula. Phytochemistry 2008, 69, 2067–2069. [Google Scholar] [CrossRef]
- Jiménez, J.I.; Vansach, T.; Yoshida, W.Y.; Sakamoto, B.; Pörzgen, P.; Horgen, F.D. Halogenated fatty acid amides and cyclic depsipeptides from an eastern Caribbean collection of the cyanobacterium Lyngbya majuscula. J. Nat. Prod. 2009, 72, 1573–1578. [Google Scholar] [CrossRef]
- Gross, H.; McPhail, K.L.; Goeger, D.E.; Valeriote, F.A.; Gerwick, W.H. Two cytotoxic stereoisomers of malyngamide C, 8-epi-malyngamide C and 8-O-acetyl-8-epi-malyngamide C, from the marine cyanobacterium Lyngbya majuscula. Phytochemistry 2010, 71, 1729–1735. [Google Scholar] [CrossRef]
- Kwan, J.C.; Teplitski, M.; Gunasekera, S.P.; Paul, V.J.; Luesch, H. Isolation and biological evaluation of 8-epi-malyngamide C from the Floridian marine cyanobacterium Lyngbya majuscule. J. Nat. Prod. 2010, 73, 463–466. [Google Scholar] [CrossRef] [PubMed]
- Han, B.; Reinscheid, U.M.; Gerwick, W.H.; Gross, H. The structure elucidation of isomalyngamide K from the marine cyanobacterium Lyngbya majuscula by experimental and DFT computational methods. J. Molec. Struct. 2011, 989, 109–113. [Google Scholar] [CrossRef] [PubMed]
- Malloy, K.L.; Villa, F.A.; Engene, N.; Matainaho, T.; Gerwick, L.; Gerwick, W.H. Malyngamide 2, an oxidized lipopeptide with nitric oxide inhibiting activity from a Papua New Guinea marine cyanobacterium. J. Nat. Prod. 2011, 74, 95–98. [Google Scholar] [CrossRef] [PubMed]
- Gunasekera, S.P.; Owle, C.S.; Montaser, R.; Luesch, H.; Paul, V.J. Malyngamide 3 and cocosamides A and B from the marine cyanobacterium Lyngbya majuscula from Cocos Lagoon, Guam. J. Nat. Prod. 2011, 74, 871–876. [Google Scholar] [CrossRef]
- Andrianasolo, E.H.; Goeger, D.; Gerwick, W.H. Mitsoamide: A cytotoxic linear lipopeptide from the Madagascar marine cyanobacterium Geitlerinema sp. Pure Appl. Chem. 2007, 79, 593–602. [Google Scholar] [CrossRef]
- Linington, R.G.; Clark, B.R.; Trimble, E.E.; Almanza, A.; Ureña, L.D.; Kyle, D.E.; Gerwick, W.H. Antimalarial peptides from marine cyanobacteria: Isolation and structural elucidation of gallinamide A. J. Nat. Prod. 2009, 72, 14–17. [Google Scholar] [CrossRef]
- Taori, K.; Liu, Y.; Paul, V.J.; Luesch, H. Combinatorial strategies by marine cyanobacteria: Symplostatin 4, an antimitotic natural dolastatin 10/15 hybrid that synergizes with the coproduced HDAC inhibitor largazole. ChemBioChem 2009, 10, 1634–1639. [Google Scholar] [CrossRef]
- Taori, K.; Paul, V.J.; Luesch, H. Structure and activity of largazole, a potent antiproliferative agent from the Floridian marine cyanobacterium Symploca sp. J. Am. Chem. Soc. 2008, 130, 1806–1807. [Google Scholar] [CrossRef]
- McPhail, K.L.; Correa, J.; Linington, R.G.; González, J.; Ortega-Barría, E.; Capson, T.L.; Gerwick, W.H. Antimalarial linear lipopeptides from a Panamanian strain of the marine cyanobacterium Lyngbya majuscula. J. Nat. Prod. 2007, 70, 984–988. [Google Scholar] [CrossRef]
- Balunas, M.J.; Linington, R.G.; Tidgewell, K.; Fenner, A.M.; Ureña, L.D.; Togna, G.D.; Kyle, D.E.; Gerwick, W.H. Dragonamide E, a modified linear lipopeptide from Lyngbya majuscula with antileishmanial activity. J. Nat. Prod. 2010, 73, 60–66. [Google Scholar] [CrossRef] [PubMed]
- Sanchez, L.M.; Lopez, D.; Vesely, B.A.; Della Togna, G.; Gerwick, W.H.; Kyle, D.E.; Linington, R.G. Almiramides A− C: Discovery and development of a new class of leishmaniasis lead compounds. J. Med. Chem. 2010, 53, 4187–4197. [Google Scholar] [CrossRef]
- Simmons, T.L.; Engene, N.; Ureña, L.D.; Romero, L.I.; Ortega-Barría, E.; Gerwick, L.; Gerwick, W.H. Viridamides A and B, lipodepsipeptides with antiprotozoal activity from the marine cyanobacterium Oscillatoria nigro-viridis. J. Nat. Prod. 2008, 71, 1544–1550. [Google Scholar] [CrossRef]
- Kwan, J.C.; Eksioglu, E.A.; Liu, C.; Paul, V.J.; Luesch, H. Grassystatins A− C from marine cyanobacteria, potent cathepsin E inhibitors that reduce antigen presentation. J. Med. Chem. 2009, 52, 5732–5747. [Google Scholar] [CrossRef] [PubMed]
- Zaidi, N.; Kalbacher, H. Cathepsin E: A mini review. Biochem. Biophys. Res. Commun. 2008, 367, 517–522. [Google Scholar] [CrossRef]
- Scarcella, M.; d’Angelo, D.; Ciampa, M.; Tafuri, S.; Avallone, L.; Pavone, L.M.; De Pasquale, V. The key role of lysosomal protease cathepsins in viral infections. Int. J. Mol. Sci. 2022, 23, 9089. [Google Scholar] [CrossRef]
- Matthew, S.; Salvador, L.A.; Schupp, P.J.; Paul, V.J.; Luesch, H. Cytotoxic halogenated macrolides and modified peptides from the apratoxin-producing marine cyanobacterium Lyngbya bouillonii from Guam. J. Nat. Prod. 2010, 73, 1544–1552. [Google Scholar] [CrossRef]
- Teruya, T.; Sasaki, H.; Fukazawa, H.; Suenaga, K. Bisebromoamide, a potent cytotoxic peptide from the marine cyanobacterium Lyngba sp.: Isolation, stereostructure, and biological activity. Org. Lett. 2009, 11, 5062–5065. [Google Scholar] [CrossRef] [PubMed]
- Sasaki, H.; Teruya, T.; Fukazawa, H.; Suenaga, K. Revised structure and structure–activity relationship of bisebromoamide and structure of norbisebromoamide from the marine cyanobacterium Lyngbya sp. Tetrahedron 2011, 67, 990–994. [Google Scholar] [CrossRef]
- Li, W.; Yu, S.; Jin, M.; Xia, H.; Ma, D. Total synthesis and cytotoxicity of bisebromoamide and its analogues. Tetrahedron Lett. 2011, 52, 2124–2127. [Google Scholar] [CrossRef]
- Sumiya, E.; Shimogawa, H.; Sasaki, H.; Tsutsumi, M.; Yoshita, K.i.; Ojika, M.; Suenaga, K.; Uesugi, M. Cell-Morphology Profiling of a natural product library identifies bisebromoamide and miuraenamide A as actin filament stabilizers. ACS Chem. Biol. 2011, 6, 425–431. [Google Scholar] [CrossRef] [PubMed]
- Taevernier, L.; Wynendaele, E.; Gevaert, B.; De Spiegeleer, B. Chemical classification of cyclic depsipeptides. Curr. Protein Pept. Sci. 2017, 18, 425–452. [Google Scholar] [CrossRef] [PubMed]
- Meickle, T.; Gunasekera, S.P.; Liu, Y.; Luesch, H.; Paul, V.J. Porpoisamides A and B, two novel epimeric cyclic depsipeptides from a Florida Keys collection of Lyngbya sp. Bioorg. Med. Chem. 2011, 19, 6576–6580. [Google Scholar] [CrossRef]
- Tripathi, A.; Puddick, J.; Prinsep, M.R.; Lee, P.P.; Tan, L.T. Hantupeptin A, a cytotoxic cyclic depsipeptide from a Singapore collection of Lyngbya majuscula. J. Nat. Prod. 2009, 72, 29–32. [Google Scholar] [CrossRef]
- Tripathi, A.; Puddick, J.; Prinsep, M.R.; Lee, P.P.; Tan, L.T. Hantupeptins B and C, cytotoxic cyclodepsipeptides from the marine cyanobacterium Lyngbya majuscula. Phytochemistry 2010, 71, 307–311. [Google Scholar] [CrossRef]
- Taniguchi, M.; Nunnery, J.K.; Engene, N.; Esquenazi, E.; Byrum, T.; Dorrestein, P.C.; Gerwick, W.H. Palmyramide A, a cyclic depsipeptide from a Palmyra Atoll collection of the marine cyanobacterium Lyngbya majuscula. J. Nat. Prod. 2010, 73, 393–398. [Google Scholar] [CrossRef]
- Gunasekera, S.P.; Ritson-Williams, R.; Paul, V.J. Carriebowmide, a new cyclodepsipeptide from the marine cyanobacterium Lyngbya polychroa. J. Nat. Prod. 2008, 71, 2060–2063. [Google Scholar] [CrossRef]
- Montaser, R.; Abboud, K.A.; Paul, V.J.; Luesch, H. Pitiprolamide, a proline-rich dolastatin 16 analogue from the marine cyanobacterium Lyngbya majuscula from Guam. J. Nat. Prod. 2011, 74, 109–112. [Google Scholar] [CrossRef]
- Simmons, T.L.; Nogle, L.M.; Media, J.; Valeriote, F.A.; Mooberry, S.L.; Gerwick, W.H. Desmethoxymajusculamide C, a cyanobacterial depsipeptide with potent cytotoxicity in both cyclic and ring-opened forms. J. Nat. Prod. 2009, 72, 1011–1016. [Google Scholar] [CrossRef]
- Bonnard, I.; Rolland, M.; Salmon, J.M.; Debiton, E.; Barthomeuf, C.; Banaigs, B. Total structure and inhibition of tumor cell proliferation of laxaphycins. J. Med. Chem. 2007, 50, 1266–1279. [Google Scholar] [CrossRef] [PubMed]
- Maru, N.; Ohno, O.; Uemura, D. Lyngbyacyclamides A and B, novel cytotoxic peptides from marine cyanobacteria Lyngbya sp. Tetrahedron Lett. 2010, 51, 6384–6387. [Google Scholar] [CrossRef]
- Linington, R.G.; González, J.; Ureña, L.D.; Romero, L.I.; Ortega-Barría, E.; Gerwick, W.H. Venturamides A and B: Antimalarial constituents of the Panamanian marine cyanobacterium Oscillatoria sp. J. Nat. Prod. 2007, 70, 397–401. [Google Scholar] [CrossRef] [PubMed]
- Archin, N.M.; Kirchherr, J.L.; Sung, J.A.; Clutton, G.; Sholtis, K.; Xu, Y.; Allard, B.; Stuelke, E.; Kashuba, A.D.; Kuruc, J.D.; et al. Interval dosing with the HDAC inhibitor vorinostat effectively reverses HIV latency. J. Clin. Investig. 2017, 127, 3126–3135. [Google Scholar] [CrossRef]
- Liu, Y.; Salvador, L.A.; Byeon, S.; Ying, Y.; Kwan, J.C.; Law, B.K.; Hong, J.; Luesch, H. Anticolon cancer activity of largazole, a marine-derived tunable histone deacetylase inhibitor. J. Pharmacol. Exper. Ther. 2010, 335, 351–561. [Google Scholar] [CrossRef]
- Luesch, H.; Yoshida, W.Y.; Moore, R.E.; Paul, V.J.; Corbett, T.H. Total structure determination of apratoxin A, a potent novel cytotoxin from the marine Cyanobacterium Lyngbya majuscula. J. Am. Chem. Soc. 2001, 123, 5418–5423. [Google Scholar] [CrossRef]
- Gutiérrez, M.; Suyama, T.L.; Engene, N.; Wingerd, J.S.; Matainaho, T.; Gerwick, W.H. Apratoxin D, a potent cytotoxic cyclodepsipeptide from Papua New Guinea collections of the marine cyanobacteria Lyngbya majuscula and Lyngbya sordida. J. Nat. Prod. 2008, 71, 1099–1103. [Google Scholar] [CrossRef] [PubMed]
- Matthew, S.; Schupp, P.J.; Luesch, H. Apratoxin E, a cytotoxic peptolide from a Guamanian collection of the marine cyanobacterium Lyngbya bouillonii. J. Nat. Prod. 2008, 71, 1113–1116. [Google Scholar] [CrossRef]
- Tidgewell, K.; Engene, N.; Byrum, T.; Media, J.; Doi, T.; Valeriote, F.A.; Gerwick, W.H. Evolved diversification of a modular natural product pathway: Apratoxins F and G, two cytotoxic cyclic depsipeptides from a Palmyra collection of Lyngbya bouillonii. ChemBioChem 2010, 11, 1458–1466. [Google Scholar] [CrossRef]
- Kwan, J.C.; Rocca, J.R.; Abboud, K.A.; Paul, V.J.; Luesch, H. Total structure determination of grassypeptolide, a new marine cyanobacterial cytotoxin. Org. Lett. 2008, 10, 789–792. [Google Scholar] [CrossRef]
- Kwan, J.C.; Ratnayake, R.; Abboud, K.A.; Paul, V.J.; Luesch, H. Grassypeptolides A− C, cytotoxic bis-thiazoline containing marine cyclodepsipeptides. J. Org. Chem. 2010, 75, 8012–8023. [Google Scholar] [CrossRef]
- Thornburg, C.C.; Thimmaiah, M.; Shaala, L.A.; Hau, A.M.; Malmo, J.M.; Ishmael, J.E.; Youssef, D.T.; McPhail, K.L. Cyclic depsipeptides, grassypeptolides D and E and Ibu-epidemethoxylyngbyastatin 3, from a Red Sea Leptolyngbya cyanobacterium. J. Nat. Prod. 2011, 74, 1677–1685. [Google Scholar] [CrossRef]
- Popplewell, W.L.; Ratnayake, R.; Wilson, J.A.; Beutler, J.A.; Colburn, N.H.; Henrich, C.J.; McMahon, J.B.; McKee, T.C. Grassypeptolides F and G, cyanobacterial peptides from Lyngbya majuscula. J. Nat. Prod. 2011, 74, 1686–1691. [Google Scholar] [CrossRef]
- Pereira, A.; Cao, Z.; Murray, T.F.; Gerwick, W.H. Hoiamide a, a sodium channel activator of unusual architecture from a consortium of two Papua New Guinea cyanobacteria. Chem. Biol. 2009, 16, 893–906. [Google Scholar] [CrossRef]
- Choi, H.; Pereira, A.R.; Cao, Z.; Shuman, C.F.; Engene, N.; Byrum, T.; Matainaho, T.; Murray, T.F.; Mangoni, A.; Gerwick, W.H. The hoiamides, structurally intriguing neurotoxic lipopeptides from Papua New Guinea marine cyanobacteria. J. Nat. Prod. 2010, 73, 1411–1421. [Google Scholar] [CrossRef]
- Kelly, C.N.; Townsend, C.E.; Jain, A.N.; Naylor, M.R.; Pye, C.R.; Schwochert, J.; Lokey, R.S. Geometrically diverse lariat peptide scaffolds reveal an untapped chemical space of high membrane permeability. J. Am. Chem. Soc. 2020, 143, 705–714. [Google Scholar] [CrossRef] [PubMed]
- Taori, K.; Matthew, S.; Rocca, J.R.; Paul, V.J.; Luesch, H. Lyngbyastatins 5–7, potent elastase inhibitors from Floridian marine cyanobacteria, Lyngbya spp. J. Nat. Prod. 2007, 70, 1593–1600. [Google Scholar] [CrossRef] [PubMed]
- Rubio, B.K.; Parrish, S.M.; Yoshida, W.; Schupp, P.J.; Schils, T.; Williams, P.G. Depsipeptides from a Guamanian marine cyanobacterium, Lyngbya bouillonii, with selective inhibition of serine proteases. Tetrahedron Lett. 2010, 51, 6718–6721. [Google Scholar] [CrossRef] [PubMed]
- Taori, K.; Paul, V.J.; Luesch, H. Kempopeptins A and B, serine protease inhibitors with different selectivity profiles from a marine cyanobacterium, Lyngbya sp. J. Nat. Prod. 2008, 71, 1625–1629. [Google Scholar] [CrossRef]
- Gunasekera, S.P.; Miller, M.W.; Kwan, J.C.; Luesch, H.; Paul, V.J. Molassamide, a depsipeptide serine protease inhibitor from the marine cyanobacterium Dichothrix utahensis. J. Nat. Prod. 2010, 73, 459–462. [Google Scholar] [CrossRef]
- Linington, R.G.; Edwards, D.J.; Shuman, C.F.; McPhail, K.L.; Matainaho, T.; Gerwick, W.H. Symplocamide A, a potent cytotoxin and chymotrypsin inhibitor from the marine cyanobacterium Symploca sp. J. Nat. Prod. 2008, 71, 22–27. [Google Scholar] [CrossRef]
- Matthew, S.; Ross, C.; Paul, V.J.; Luesch, H. Pompanopeptins A and B, new cyclic peptides from the marine cyanobacterium Lyngbya confervoides. Tetrahedron 2008, 64, 4081–4089. [Google Scholar] [CrossRef]
- Matthew, S.; Paul, V.J.; Luesch, H. Tiglicamides A–C, cyclodepsipeptides from the marine cyanobacterium Lyngbya confervoides. Phytochemistry 2009, 70, 2058–2063. [Google Scholar] [CrossRef]
- Medina, R.A.; Goeger, D.E.; Hills, P.; Mooberry, S.L.; Huang, N.; Romero, L.I.; Ortega-Barría, E.; Gerwick, W.H.; McPhail, K.L. Coibamide A, a potent antiproliferative cyclic depsipeptide from the Panamanian marine cyanobacterium Leptolyngbya sp. J. Amer. Chem. Soc. 2008, 130, 6324–6325. [Google Scholar] [CrossRef] [PubMed]
- Pereira, A.R.; Cao, Z.; Engene, N.; Soria-Mercado, I.E.; Murray, T.F.; Gerwick, W.H. Palmyrolide A, an unusually stabilized neuroactive macrolide from Palmyra Atoll cyanobacteria. Org. Lett. 2010, 12, 4490–4493. [Google Scholar] [CrossRef] [PubMed]
- Soria-Mercado, I.E.; Pereira, A.; Cao, Z.; Murray, T.F.; Gerwick, W.H. Alotamide A, a novel neuropharmacological agent from the marine cyanobacterium Lyngbya bouillonii. Org. Lett. 2009, 11, 4704–4707. [Google Scholar] [CrossRef]
- Tripathi, A.; Puddick, J.; Prinsep, M.R.; Rottmann, M.; Tan, L.T. Lagunamides A and B: Cytotoxic and antimalarial cyclodepsipeptides from the marine cyanobacterium Lyngbya majuscula. J. Nat. Prod. 2010, 73, 1810–1814. [Google Scholar] [CrossRef]
- Adams, B.; Pörzgen, P.; Pittman, E.; Yoshida, W.Y.; Westenburg, H.E.; Horgen, F.D. Isolation and structure determination of malevamide E, a dolastatin 14 analogue, from the marine cyanobacterium Symploca laete-viridis. J. Nat. Prod. 2008, 71, 750–754. [Google Scholar] [CrossRef]
- Gutierrez, R.M.P.; Flores, A.M.; Solis, R.V.; Jimenez, J.C. Two new antibacterial norbietane diterpenoids from cyanobacterium Micrococcus lacustris. J. Nat. Med. 2008, 62, 328–331. [Google Scholar] [CrossRef]
- Raveh, A.; Carmeli, S. Aeruginazole A, a novel thiazole-containing cyclopeptide from the cyanobacterium Microcystis sp. Org. Lett. 2010, 12, 3536–3539. [Google Scholar] [CrossRef]
- Bruno, P.; Pena, S.; Just-Baringo, X.; Albericio, F.; Alvarez, M. Total synthesis of aeruginazole A. Org. Lett. 2011, 13, 4648–4651. [Google Scholar] [CrossRef]
- Falch, B.S.; Konig, G.M.; Wright, A.D.; Sticher, O.; Rüegger, H.; Bernardinelli, G. Ambigol A and B: New biologically active polychlorinated aromatic compounds from the terrestrial blue-green alga Fischerella ambigua. J. Org. Chem. 1993, 58, 6570–6575. [Google Scholar] [CrossRef]
- Wright, A.D.; Papendorf, O.; König, G.M. Ambigol C and 2, 4-dichlorobenzoic acid, natural products produced by the terrestrial cyanobacterium Fischerella ambigua. J. Nat. Prod. 2005, 68, 459–461. [Google Scholar] [CrossRef] [PubMed]
- Raveh, A.; Carmeli, S. Antimicrobial ambiguines from the cyanobacterium Fischerella sp collected in Israel. J. Nat. Prod. 2007, 70, 196–201. [Google Scholar] [CrossRef]
- Mo, S.; Krunic, A.; Santarsiero, B.D.; Franzblau, S.G.; Orjala, J. Hapalindole-related alkaloids from the cultured cyanobacterium Fischerella ambigua. Phytochemistry 2010, 71, 2116–2123. [Google Scholar] [CrossRef] [PubMed]
- Mo, S.; Krunic, A.; Chlipala, G.; Orjala, J. Antimicrobial ambiguine isonitriles from the cyanobacterium Fischerella ambigua. J. Nat. Prod. 2009, 72, 894–899. [Google Scholar] [CrossRef] [PubMed]
- Brumley, D.; Spencer, K.A.; Gunasekera, S.P.; Sauvage, T.; Biggs, J.; Paul, V.J.; Luesch, H.Z. Isolation and characterization of anaephenes A-C, alkylphenols from a filamentous cyanobacterium (Hormoscilla sp., Oscillatoriales). J. Nat. Prod. 2018, 81, 2716–2721. [Google Scholar] [CrossRef]
- Kukla, D.L.; Canchola, J.; Mills, J.J. Synthesis of the cyanobacterial antibiotics anaephenes A and B. J. Nat. Prod. 2020, 83, 2036–2040. [Google Scholar] [CrossRef]
- Kim, H.; Lantvit, D.; Hwang, C.H.; Kroll, D.J.; Swanson, S.M.; Franzblau, S.G.; Orjala, J. Indole alkaloids from two cultured cyanobacteria, Westiellopsis sp. and Fischerella muscicola. Bioorg. Med. Chem. 2012, 20, 5290–5295. [Google Scholar] [CrossRef]
- Dussault, D.; Vu, K.D.; Vansach, T.; Horgen, F.D.; Lacroix, M. Antimicrobial effects of marine algal extracts and cyanobacterial pure compounds against five foodborne pathogens. Food Chem. 2016, 199, 114–118. [Google Scholar] [CrossRef]
- Bui, T.H.; Wray, V.; Nimtz, M.; Fossen, T.; Preisitsch, M.; Schröder, G.; Wende, K.; Heiden, S.E.; Mundt, S. Balticidins A–D, antifungal hassallidin-like lipopeptides from the Baltic Sea cyanobacterium Anabaena cylindrical Bio33. J. Nat. Prod. 2014, 77, 1287–1296. [Google Scholar] [CrossRef]
- Miao, S.; Anderson, R.J.; Allen, T.M. Cytotoxic metabolites from the sponge Ianthella basta collected in Papua New Guinea. J. Nat. Prod. 1990, 53, 1441–1446. [Google Scholar] [CrossRef] [PubMed]
- Shao, C.L.; Linington, R.G.; Balunas, M.J.; Centeno, A.; Boudreau, P.; Zhang, C.; Engene, N.; Spadafora, C.; Mutka, T.S.; Kyle, D.E.; et al. Bastimolide A, a potent antimalarial polyhydroxy macrolide from the marine cyanobacterium Okeania hirsuta. J. Org. Chem. 2015, 80, 7849–7855. [Google Scholar] [CrossRef]
- Larsen, L.K.; Moore, R.E.; Patterson, G.M.L. Beta-carbolines from the blue-green alga Dichothrix baueriana. J. Nat. Prod. 1994, 57, 419–421. [Google Scholar] [CrossRef]
- Volk, R.B.; Girreser, U.; Al-Refai, M.; Laatsch, H. Bromoanaindolone, a novel antimicrobial exometabolite from the cyanobacterium Anabaena constricta. Nat. Prod. Res. 2009, 23, 607–612. [Google Scholar] [CrossRef]
- Shao, C.L.; Mou, X.F.; Cao, F.; Spadafora, C.; Glukhov, E.; Gerwick, L.; Wang, C.Y.; Gerwick, W.H. Bastimolide B, an antimalarial 24-membered marine macrolide possessing a tert-butyl group. J. Nat. Prod. 2018, 81, 211–215. [Google Scholar] [CrossRef]
- Moon, S.S.; Chen, J.L.; Moore, R.E.; Patterson, G.M.L. Calophycin, a fungicidal cyclic decapeptide from the terrestrial blue-green alga Calothrix fusca. J. Org. Chem. 1992, 57, 1097–1103. [Google Scholar] [CrossRef]
- Rickards, R.W.; Rothschild, J.M.; Willis, A.C.; de Chazal, N.M.; Kirk, J.; Kirk, K.; Saliba, K.J.; Smith, G.D. Calothrixins A and B, novel pentacyclic metabolites from Calothrix cyanobacteria with potent activity against malaria parasites and human cancer cells. Tetrahedron 1999, 55, 13513–13520. [Google Scholar] [CrossRef]
- Luo, S.; Kang, H.S.; Krunic, A.; Chlipala, G.E.; Cai, G.; Chen, W.L.; Franzblau, S.G.; Swanson, S.M.; Orjala, J. Carbamidocyclophanes F and G with anti-Mycobacterium tuberculosis activity from the cultured freshwater cyanobacterium Nostoc sp. Tetrahedron Lett. 2014, 55, 686–689. [Google Scholar] [CrossRef]
- Hayashi, K.; Hayashi, T.; Kojima, I.A. Natural sulphated polysaccharide, calcium spirulan, isolated from Spirulina platensis: In vitro and ex vivo evaluation of anti-herpes simplex virus and anti-human immunodeficiency virus activities. AIDS. Res. Hum. Retroviruses 1996, 12, 1463–1471. [Google Scholar] [CrossRef] [PubMed]
- Rechter, S.; König, T.; Auerochs, S.; Thulke, S.; Walter, H.; Dörnenburg, H.; Walter, C.; Marschall, M. Antiviral activity of Arthrospira-derived spirulan-like substances. Antiviral Res. 2006, 72, 197–206. [Google Scholar] [CrossRef]
- Soares, A.R.; Engene, N.; Gunasekera, S.P.; Sneed, J.M.; Paul, V.J. Carriebowlinol, an antimicrobial tetrahydroquinolinol from an assemblage of marine cyanobacteria containing a novel taxon. J. Nat. Prod. 2015, 78, 534–538. [Google Scholar] [CrossRef] [PubMed]
- Jaki, B.; Orjala, J.; Sticher, O. A novel extracellular diterpenoid with antibacterial activity from the cyanobacterium Nostoc commune. J. Nat. Prod. 1999, 62, 502–503. [Google Scholar] [CrossRef]
- Choi, H.; Engene, N.; Smith, J.E.; Preskitt, L.B.; Gerwick, W.H. Crossbyanols A–D, toxic brominated polyphenyl ethers from the Hawaiian bloom-forming Cyanobacterium Leptolyngbya crossbyana. J. Nat. Prod. 2010, 73, 517–522. [Google Scholar] [CrossRef]
- Garrison, A.R.; Giomarelli, B.; Lear-Rooney, C.M.; Saucedo, C.J.; Yellayi, S.; Krumpe, L.R.H.; Rose, M.; Paragas, J.; Bray, M.; Olinger, G.G.; et al. The cyanobacterial lectin scytovirin displays potent in vitro and in vivo activity against Zaire Ebola virus. Antiviral Res. 2014, 112, 1–7. [Google Scholar] [CrossRef]
- Dey, B.; Lerner, D.L.; Lusso, P.; Boyd, M.R.; Elder, J.H.; Berger, E.A. Multiple antiviral activities of cyanovirin-N: Blocking of human immunodeficiency virus type 1 gp120 interaction with CD4 and coreceptor and inhibition of diverse enveloped viruses. J. Virol. 2000, 74, 4562–4569. [Google Scholar] [CrossRef]
- Boyd, M.R.; Gustafson, K.R.; McMahon, J.B.; Shoemaker, R.H.; O’Keefe, B.R.; Mori, T.; Gulakowski, R.J.; Wu, L.; Rivera, M.I.; Laurencot, C.M.; et al. Discovery of cyanovirin-N, a novel human immunodeficiency virus-inactivating protein that binds viral surface envelope glycoprotein gp120: Potential applications to microbicide development. Antimicrob. Agents Chemother. 1997, 41, 1521–1530. [Google Scholar] [CrossRef] [PubMed]
- Barrientos, L.G.; O’Keefe, B.R.; Bray, M.; Sanchez, A.; Gronenborn, A.M.; Boyd, M.R. Cyanovirin-N binds to the viral surface glycoprotein, GP1,2 and inhibits infectivity of Ebola virus. Antiviral Res. 2003, 58, 47–56. [Google Scholar] [CrossRef] [PubMed]
- O’Keefe, B.R.; Smee, D.F.; Turpin, J.A.; Saucedo, C.J.; Gustafson, K.R.; Mori, T.; Blakeslee, D.; Buckheit, R.; Boyd, M.R. Potent anti-influenza activity of cyanovirin-N and interactions with viral hemagglutinin. Antimicrob. Agents Chemother. 2003, 47, 2518–2525. [Google Scholar] [CrossRef] [PubMed]
- Cabanillas, A.H.; Pérez, V.T.; Corral, S.M.; Valencia, D.F.R.; Quintana, A.M.; Doménech, M.O.; Sánchez, Á.R. Cybastacines A and B: Antibiotic sesterterpenes from a Nostoc sp. cyanobacterium. J. Nat. Prod. 2018, 81, 410–413. [Google Scholar] [CrossRef]
- Preisitsch, M.; Heiden, S.E.; Beerbaum, M.; Niedermeyer, T.H.J.; Schneefeld, M.; Herrmann, J.; Kumpfmüller, J.; Thürmer, A.; Neidhardt, I.; Wiesner, C.; et al. Effects of halide ions on the carbamidocyclophane biosynthesis in nostoc sp. CAVN2. Mar. Drugs 2016, 14, 21. [Google Scholar] [CrossRef]
- Mundt, S.; Kreitlow, S.; Jansen, R. Fatty acids with antibacterial activity from the cyanobacterium Oscillatoria redekei HUB 051. J. Appl.Phycol. 2003, 15, 263–267. [Google Scholar] [CrossRef]
- Stewart, J.B.; Bomemann, V.; Chen, J.L.; Moore, R.E.; Caplan, F.R.; Karuso, H.; Larsen, L.K.; Patterson, G.M. Cytotoxic, fungicidal nucleosides from blue-green algae belonging to the Scytonemataceae. J. Antibiot. 1988, 41, 1048–1056. [Google Scholar] [CrossRef] [PubMed]
- Almaliti, J.K.L.; Malloy, E.; Glukhov, C.; Spadafora, M.; Gutierrez, W.H.; Gerwick, A.-D. Dudawalamides, antiparasitic cyclic depsipeptides from the marine cyanobacterium Moorea producens. J. Nat. Prod. 2017, 80, 1827e1836. [Google Scholar] [CrossRef]
- Sturdy, M.; Krunic, A.; Cho, S.; Franzblau, S.; Orjala, J. Eucapsitrione, an anti-Mycobacterium tuberculosis anthraquinone derivative from the cultured freshwater cyanobacterium Eucapsis sp. J. Nat. Prod. 2010, 73, 1441–1443. [Google Scholar] [CrossRef]
- Hagmann, L.; Jüttner, F. Fischerellin A, a novel photosystem-II-inhibiting allelochemical of the cyanobacterium Fischerella muscicola with antifungal and herbicidal activity. Tetrahedron Lett. 1996, 37, 6539–6542. [Google Scholar] [CrossRef]
- Asthana, R.K.; Tripathi, M.K.; Deepali, A.; Srivastava, A.; Singh, A.P.; Singh, S.P.; Nath, G.; Srivastava, R.; Srivastava, B.S. Isolation and identification of a new antibacterial entity from the Antarctic cyanobacterium Nostoc CCC 537. J. Appl. Phycol. 2009, 21, 81–88. [Google Scholar] [CrossRef]
- Moore, R.E.; Cheuk, C.; Yang, X.Q.G.; Patterson, G.M.L.; Bonjouklian, R.; Smitka, T.A.; Mynderse, J.S.; Foster, R.S.; Jones, N.D.; Swartzendruber, J.K.; et al. Hapalindoles, antibacterial and antimycotic alkaloids from the cyanophyte Hapalosiphon fontinalis. J. Org. Chem. 1987, 52, 1036–1043. [Google Scholar] [CrossRef]
- Neuhof, T.; Schmieder, P.; Seibold, M.; Preussel, K.; von Döhren, H. Hassallidin B–second antifungal member of the Hassallidin family. Bioorg. Med. Chem. Lett. 2006, 16, 4220–4222. [Google Scholar] [CrossRef]
- Neuhof, T.; Schmieder, P.; Preussel, K.; Dieckmann, R.; Pham, H.; Bartl, F.; von Döhren, H. Hassallidin A, a glycosylated lipopeptide with antifungal activity from the cyanobacterium Hassallia sp. J. Nat. Prod. 2005, 68, 695–700. [Google Scholar] [CrossRef]
- Ogawa, H.; Iwasaki, A.; Sumimoto, S.; Iwatsuki, M.; Ishiyama, A.; Hokari, R.; Otoguro, K.; Omura, S.; Suenaga, K. Isolation and total synthesis of hoshinolactam, an antitrypanosomal lactam from a marine cyanobacterium. Org. Lett. 2017, 19, 890–893. [Google Scholar] [CrossRef]
- Iwasaki, K.; Iwasaki, A.; Sumimoto, S.; Matsubara, T.; Sato, T.; Nozaki, T.; Saito-Nakano, Y.; Suenaga, K. Ikoamide, an antimalarial lipopeptide from an Okeania sp. marine cyanobacterium. J. Nat. Prod. 2020, 83, 481–488. [Google Scholar] [CrossRef]
- Zainuddin, E.N.; Mentel, R.; Wray, V.; Jansen, R.; Nimtz, M.; Lalk, M.; Mundt, S. Cyclic depsipeptides, ichthyopeptins A and B, from Microcystis ichthyoblabe. J. Nat. Prod. 2007, 70, 1084–1088. [Google Scholar] [CrossRef]
- Sweeney-Jones, A.M.; Gagaring, K.; Antonova-Koch, J.; Zhou, H.; Mojib, N.; Soapi, K.; Skolnick, J.; McNamara, C.W.; Kubanek, J. Antimalarial peptide and polyketide natural products from the Fijian marine cyanobacterium Moorea producens. Mar. Drugs 2020, 18, 167. [Google Scholar] [CrossRef]
- Ishida, K.; Matsuda, H.; Murakami, M.; Yamaguchi, K. Kawaguchipeptin B, an antibacterial cyclic undecapeptide from the cyanobacterium Microcystis aeruginosa. J. Nat. Prod. 1997, 60, 724–726. [Google Scholar] [CrossRef] [PubMed]
- Tripathi, A.; Puddick, J.; Prinsep, M.R.; Rottmann, M.; Chan, K.P.; Chen, D.Y.K.; Tan, L.T. Lagunamide, A cytotoxic cyclodepsipeptide from the marine cyanobacterium Lyngbya majuscule. Phytochemistry 2011, 72, 2369e2375. [Google Scholar] [CrossRef] [PubMed]
- Frankmölle, W.P.; Knübel, G.; Moore, R.E.; Patterson, G.M.L. Antifungal cyclic peptides from the terrestrial blue-green alga Anabaena laxa. II. Structures of laxaphycins A., B, C, D and E. J. Antibiot. 1992, 45, 1458–1466. [Google Scholar] [CrossRef] [PubMed]
- Frankmölle, W.P.; Larsen, L.K.; Caplan, F.R.; Patterson, G.M.L.; Knübel, G.; Levine, I.A.; Moore, R.E. Antifungal cyclic peptides from the terrestrial bluegreen alga Anabaena laxa. I. Isolation and biological properties. J. Antibiot. 1991, 45, 1451–1457. [Google Scholar] [CrossRef]
- Bonnard, I.; Rolland, M.; Francisco, C.; Banaigs, B. Total structure and biological properties of laxaphycins A and B, cyclic lipopeptides from the marine cyanobacterium Lyngbya majuscula. Lett. Pept. Sci. 1997, 4, 289–292. [Google Scholar] [CrossRef]
- Asthana, R.K.; Srivastava, A.; Kayastha, A.M.; Nath, G.; Singh, S. P 2006. Antibacterial potential of c-linolenic acid from Fischerella sp. colonizing Neem tree bark. World J. Microbiol. Biotechnol. 2006, 22, 443–448. [Google Scholar] [CrossRef]
- MacMillan, J.B.; Ernst-Russell, M.A.; de Ropp, J.S.; Molinski, T.F. Lobocyclamides A–C, lipopeptides from a cryptic cyanobacterial mat containing Lyngbya confervoides. J. Org. Chem. 2002, 67, 8210–8215. [Google Scholar] [CrossRef] [PubMed]
- Shaala, L.A.; Youssef, D.T.A.; McPhail, K.L.; Elbandy, M. Malyngamide 4, a new lipopeptide from the Red Sea marine cyanobacterium Moorea producens (formerly Lyngbya majuscula). Phytochemistry Lett. 2013, 6, 183e188. [Google Scholar] [CrossRef]
- Milligan, K.E.; Marquez, B.L.; Williamson, R.T.; Gerwick, W.H. Lyngbyabellin B, a toxic and antifungal secondary metabolite from the marine cyanobacterium Lyngbya majuscula. J. Nat. Prod. 2000, 63, 1440e1443. [Google Scholar] [CrossRef]
- Zainuddin, E.N.; Jansen, R.; Nimtz, M.; Wray, V.; Preisitsch, M.; Lalk, M.; Mundt, S. Lyngbyazothrins A–D, antimicrobial cyclic undecapeptides from the cultured Cyanobacterium lyngbya sp. J. Nat. Prod. 2009, 72, 1373–1378. [Google Scholar] [CrossRef] [PubMed]
- Zi, J.; Lantvit, D.D.; Swanson, S.M.; Orjala, J. Lyngbyaureidamides A and B, two anabaenopeptins from the cultured freshwater cyanobacterium Lyngbya sp. (SAG 36.91). Phytochemistry 2012, 74, 173–177. [Google Scholar] [CrossRef]
- Leão, P.N.; Pereira, A.R.; Liu, W.T.; Ng, J.; Pevzner, P.A.; Dorrestein, P.C.; König, G.M.; Vasconvelos, V.M.; Gerwick, W.H. Synergistic allelochemicals from a freshwater cyanobacterium. Proc. Natl. Acad. Sci. USA 2010, 107, 11183–11188. [Google Scholar] [CrossRef]
- Cardllina, J.H.; Moore, R.E.; Arnold, E.V.; Clardy, J. Structure and absolute configuration of malyngolide, an antibiotic from the marine blue-green alga Lyngbya majuscula gomont. J. Org. Chem. 1979, 44, 4039–4042. [Google Scholar] [CrossRef]
- Gutierrez, M.; Tidgewell, K.; Capson, T.L.; Engene, N.; Almanza, A.; Schemies, J.; Jung, M.; Gerwick, W.H. Malyngolide dimer, a bioactive symmetric cyclodepside from the Panamanian marine cyanobacterium Lyngbya majuscula. J. Nat. Prod. 2010, 73, 709e711. [Google Scholar] [CrossRef] [PubMed]
- Carter, D.C.; Moore, R.E.; Mynderse, J.S.; Niemczura, W.P.; Todd, J.S. Structure of majusculamide C, a cyclic depsipeptide from Lyngbya majuscula. J. Org. Chem. 1984, 49, 236–241. [Google Scholar] [CrossRef]
- Moore, R.E.; Mynderse, J.S. Majusculamide C. U.S. Patent 4342751, 3 August 1982. [Google Scholar]
- Pettit, G.R.; Hogan, F.; Xu, J.P.; Tan, R.; Nogawa, T.; Cichacz, Z.; Pettit, R.K.; Du, J.; Ye, Q.H.; Cragg, G.M.; et al. Antineoplastic agents. New sources of naturally occurring cancer cell growth inhibitors from marine organisms, terrestrial plants, and microorganisms. J. Nat. Prod. 2008, 71, 438–444. [Google Scholar] [CrossRef]
- Ramos, D.F.; Matthiensen, A.; Colvara, W.; de Votto, A.P.S.; Trindade, G.S.; da Silva, P.E.A.; Yunes, J.S. Antimycobacterial and cytotoxicity activity of microcystins. J. Venom. Anim. Toxins Incl. Trop. Dis. 2015, 21, 9. [Google Scholar] [CrossRef][Green Version]
- Shahzad-ul-Hussan, S.; Gustchina, E.; Ghirlando, R.; Clore, G.M.; Bewley, C.A. Solution structure of the monovalent lectin microvirin in complex with Manα(1–2)Man provides a basis for anti-HIV activity with low toxicity. J. Biol. Chem. 2011, 286, 20788–20796. [Google Scholar] [CrossRef] [PubMed]
- Huskens, D.; Férir, G.; Vermeire, K.; Kehr, J.-C.; Balzarini, J.; Dittmann, E.; Schols, D. Microvirin, a novel α(1,2)-mannose-specific lectin isolated from Microcystis aeruginosa, has anti-HIV-1 activity comparable with that of cyanovirin-N but a much higher safety profile. J. Biol. Chem. 2010, 285, 24845–24854. [Google Scholar] [CrossRef]
- Nagatsu, A.; Kajitani, H.; Sakakibara, J. Muscoride A: A new oxazole peptide alkaloid from freshwater cyanobacterium Nostoc muscorum. Tetrahedron Lett. 1995, 36, 4097–4100. [Google Scholar] [CrossRef]
- Volk, R.B.; Furkert, F.H. Antialgal, antibacterial and antifungal activity of two metabolites produced and excreted by cyanobacteria during growth. Microbiol. Res. 2006, 161, 180–186. [Google Scholar] [CrossRef]
- Jaki, B.; Orjala, J.; Heilmann, J.; Linden, A.; Vogler, B.; Sticher, O. Novel extracellular diterpenoids with biological activity from the cyanobacterium Nostoc commune. J. Nat. Prod. 2000, 63, 339–343. [Google Scholar] [CrossRef]
- Kajiyama, S.; Kanzaki, H.; Kawazu, K.; Kobayashi, A. Nostofungicidine, an antifungal lipopeptide from the field-grown terrestrial blue-green alga Nostoc commune. Tetrahedron Lett. 1998, 39, 3737–3740. [Google Scholar] [CrossRef]
- Itoh, T.; Tsuchida, A.; Muramatsu, Y.; Ninomiya, M.; Ando, M.; Tsukamasa, Y.; Koketsu, M. Antimicrobial and anti-inflammatory properties of nostocionone isolated from Nostoc commune Vauch and its derivatives against Propionibacterium acnes. Anaerobe 2014, 27, 56–63. [Google Scholar] [CrossRef]
- Kanekiyo, K.; Lee, J.B.; Hayashi, K.; Takenaka, H.; Hayakawa, Y.; Endo, S.; Hayashi, T. Isolation of an antiviral polysaccharide, nostoflan, from a terrestrial cyanobacteium, Nostoc flagilliforme. J. Nat. Prod. 2005, 68, 1037–1041. [Google Scholar] [CrossRef]
- Ploutno, A.; Carmeli, S. Nostocyclyne A, a novel antimicrobial cyclophane from the cyanobacterium Nostoc sp. J. Nat. Prod. 2000, 63, 1524–1526. [Google Scholar] [CrossRef]
- Kossack, R.; Breinlinger, S.; Nguyen, T.; Moschny, J.; Straetener, J.; Berscheid, A.; Brötz-Oesterhelt, H.; Enke, H.; Schirmeister, T.; Niedermeyer, T.H.J. Nostotrebin 6 related cyclopentenediones and δ-lactones with broad activity spectrum isolated from the cultivation medium of the cyanobacterium Nostoc sp. CBT1153. J. Nat. Prod. 2020, 83, 392–400. [Google Scholar] [CrossRef]
- Saad, M.H.; El-Fakharany, E.M.; Salem, M.S.; Sidkey, N.M. In vitro assessment of dual (antiviral and antitumor) activity of a novel lectin produced by the newly cyanobacterium isolate, Oscillatoria acuminate MHM-632 MK014210. 1. J. Biomolec. Struct. Dyn. 2022, 40, 3560–3580. [Google Scholar] [CrossRef]
- Koharudin, L.M.; Furey, W.; Gronenborn, A.M. Novel fold and carbohydrate specificity of the potent anti-HIV cyanobacterial lectin from Oscillatoria agardhii. J. Biol. Chem. 2011, 286, 1588–1597. [Google Scholar] [CrossRef]
- Berry, J.P.; Gantar, M.; Gawley, R.E.; Wang, M.; Rein, K. S 2004. Pharmacology and toxicology of pahayokolide A, a bioactive metabolite from a freshwater species of Lyngbya isolated from the Florida Everglades. Comp. Biochem. Physiol. Toxicol. Pharmacol. 2004, 139, 231–238. [Google Scholar] [CrossRef]
- An, T.; Kumar, T.Z.S.; Wang, M.; Liu, L.; Lay, J.O.; Liyanage, R.; Berry, J.; Gantar, M.; Marks, V.; Gawley, R.E.; et al. Structures of pahayokolides A and B, cyclic peptides from a Lyngbya sp. J. Nat. Prod. 2007, 70, 730–735. [Google Scholar] [CrossRef]
- Sabarinathan, K.; Ganesan, G. Antibacterial and toxicity evaluation of C-phycocyanin and cell extract of filamentous freshwater cyanobacterium. Eur. Rev. Med. Pharmacol. Sci. 2008, 12, 79–82. [Google Scholar]
- Ghasemi, Y.; Yazdi, M.T.; Shafiee, A.; Amini, M.; Shokravi, S.; Zarrini, G. Parsiguine, A novel antimicrobial substance from Fischerella ambigua. Pharm. Biol. 2008, 42, 318–322. [Google Scholar] [CrossRef]
- Sarada, D.V.L.; Sreenath Kumar, C.; Rengasamy, R. Purified C-phycocyanin from Spirulina platensis (Nordstedt) Geitler: A novel and potent agent against drug resistant bacteria. World J. Microbiol. Biotechnol. 2011, 27, 779–783. [Google Scholar] [CrossRef]
- Pankaj, P.P.; Seth, R.K.; Mallick, N.; Biswas, S. Isolation and purification of C-Phycocyanin from Nostoc Muscorum (Cyanophyceae and cyanobacteria) exhibits antimalarial activity in vitro. J. Advance Lab. Res. Bio. 2010, 1, 86–91. [Google Scholar]
- Shanmugam, A.; Sigamani, S.; Venkatachalam, H.; Jayaraman, J.D.; Ramamurthy, D. Antibacterial activity of extracted phycocyanin from Oscillatoria sp. J. App. Pharma. Sci. 2017, 7, 62–67. [Google Scholar]
- Luesch, H.; Pangilinan, R.; Yoshida, W.Y.; Moore, R.E.; Paul, V.J. A. and B. pitipeptolides, New cyclodepsipeptides from the marine cyanobacterium Lyngbya majuscule. J. Nat. Prod. 2001, 64, 304e307. [Google Scholar] [CrossRef] [PubMed]
- Montaser, R.; Paul, V.J.; Luesch, H. Pitipeptolides C-F, antimycobacterial cyclodepsipeptides from the marine cyanobacterium Lyngbya majuscula from Guam. Phytochemistry 2011, 72, 2068–2074. [Google Scholar] [CrossRef] [PubMed]
- Keller, L.; Siqueira-Neto, J.L.; Souza, J.M.; Eribez, K.; LaMonte, G.M.; Smith, J.E.; Gerwick, W.H. Palstimolide A: A complex polyhydroxy macrolide with antiparasitic activity. Molecules 2020, 25, 1604. [Google Scholar] [CrossRef]
- Pergament, I.; Carmeli, S. Schizotrin A; a novel antimicrobial cyclic peptide from a cyanobacterium. Tetrahedron Lett. 1994, 35, 8473–8476. [Google Scholar] [CrossRef]
- Ishibashi, M.; Moore, R.E.; Patterson, G.M.L.; Xu, C.; Clardy, J. Scytophycins, cytotoxic and antimycotic agents from the cyanophyte Scytonema pseudohofmanni. J. Org. Chem. 1986, 51, 5300–5306. [Google Scholar] [CrossRef]
- Carmeli, S.; Moore, R.E.; Patterson, G.M.L. Tolytoxin and new scytophycins from three species of Scytonema. J. Nat. Prod. 1990, 53, 1533–1542. [Google Scholar] [CrossRef]
- Patterson, G.M.L.; Carmeli, S. Biological effects of tolytoxin (6-hydroxy-7-O-methyl-scytophycin b), a potent bioactive metabolite from cyanobacteria. Arch. Microbiol. 1992, 157, 406–410. [Google Scholar] [CrossRef]
- Patterson, G.M.L.; Smith, C.D.; Kimura, L.H.; Britton, B.A.; Carmeli, S. Action of tolytoxin on cell morphology, cytoskeletal organization, and actin polymerization. Cell Motil. Cytoskelet. 1993, 24, 39–48. [Google Scholar] [CrossRef]
- Patterson, G.M.L.; Bolis, C.M. Fungal cell-wall polysaccharides elicit an antifungal secondary metabolite (phytoalexin) in the cyanobacterium Scytonema ocellatum. J. Phycol. 1997, 33, 54–60. [Google Scholar] [CrossRef]
- Smith, C.D.; Carmeli, S.; Moore, R.E.; Patterson, G.M.L. Scytophycins, novelmicrofilament- depolymerizing agents which circumvent P-glycoprotein-mediated multidrug resistance. Cancer Res. 1993, 53, 1343–1347. [Google Scholar]
- Mo, S.; Krunic, A.; Pegan, S.D.; Franzblau, S.G.; Orjala, J. An antimicrobial guanidine-bearing sesterterpene from the cultured cyanobacterium Scytonema sp. J. Nat. Prod. 2009, 72, 2043–2045. [Google Scholar] [CrossRef] [PubMed]
- Xiong, S.; Fan, J.; Kitazato, K. The antiviral protein cyanovirin-N: The current state of its production and applications. Appl. Microbiol. Biotechnol. 2010, 86, 805–812. [Google Scholar] [CrossRef] [PubMed]
- Bokesch, H.R.; O’Keefe, B.R.; McKee, T.C.; Pannell, L.K.; Patterson, G.M.L.; Gardella, R.S.; Sowder, R.C.; Turpin, J.; Watson, K.; Buckheit, R.W.; et al. A potent novel anti-HIV protein from the cultured cyanobacterium Scytonema varium. Biochemistry 2003, 42, 2578–2584. [Google Scholar] [CrossRef]
- Takebe, Y.; Saucedo, C.J.; Lund, G.; Uenishi, R.; Hase, S.; Tsuchiura, T.; Kneteman, N.; Ramessar, K.; Tyrrell, D.L.J.; Shirakura, M.; et al. Antiviral lectins from red and blue-green algae show potent in vitro and in vivo activity against hepatitis C virus. PLoS ONE 2013, 8, e64449. [Google Scholar] [CrossRef]
- Gustafson, K.R.; Cardellina, J.H.; Fuller, R.W.; Wieslow, O.S.; Kiser, R.F.; Sander, K.M.; Patterson, G.M.; Boyd, M.R. AIDS antiviral sulfolipids from cyanobacteria (blue-green algae). J. Natl. Cancer Inst. 1989, 81, 1254–1258. [Google Scholar] [CrossRef]
- Loya, S.; Reshef, V.; Mizrachi, E.; Silberstein, C.; Rachamim, Y.; Carmeli, S.; Hizi, A. The inhibition of the reverse transcriptase of HIV-1 by the natural sulfoglycolipids from cyanobacteria: Contribution of different moieties to their high potency. J. Nat. Prod. 1998, 61, 891–895. [Google Scholar] [CrossRef]
- Singh, I.P.; Milligan, K.E.; Gerwick, W.H. Tanikolide, a toxic and antifungal lactone from the marine cyanobacterium Lyngbya majuscula. J. Nat. Prod. 1999, 62, 1333–1335. [Google Scholar] [CrossRef]
- Kanada, R.M.; Taniguchi, T.; Ogasawara, K. The first synthesis of (+)-tanikolide, a toxic and antifungal lactone from the marine cyanobactetrium Lyngbya majuscula. Synlett 2000, 7, 1019–1021. [Google Scholar]
- Levert, A.; Alvarino, R.; Bornancin, L.; Mansour, E.A.; Burja, A.M.; Geneviere, A.; Bonnard, I.; Alonso, E.; Botana, L.M.; Banaigs, B. Structures and activities of tiahuramides AeC, cyclic depsipeptides from a Tahitian collection of the marine cyanobacterium Lyngbya majuscula. J. Nat. Prod. 2018, 81, 1301e1310. [Google Scholar] [CrossRef]
- Falch, B.S.; König, G.M.; Wright, A.D.; Sticher, O.; Angerhofer, C.K.; Pezzuto, J.M.; Bachmann, H. Biological activities of cyanobacteria: Evaluation of extracts and pure compounds. Planta Med. 1995, 61, 321–328. [Google Scholar] [CrossRef] [PubMed]
- Jaki, B.; Zerbe, O.; Heilmann, J.; Sticher, O. Two novel cyclic peptides with antifungal activity from the cyanobacterium Tolypothrix byssoidea (EAWAG 195). J. Nat. Prod. 2001, 64, 154–158. [Google Scholar] [CrossRef] [PubMed]
- Pereira, A.R.; Kale, A.J.; Fenley, A.T.; Byrum, T.; Debonsi, H.M.; Gilson, M.K.; Valeriote, F.A.; Moore, B.S.; Gerwick, W.H. The carmaphycins: New proteasome inhibitors exhibiting an α, β-epoxyketone warhead from a marine cyanobacterium. ChemBioChem 2012, 13, 810–817. [Google Scholar] [CrossRef] [PubMed]
- Castro, G.A. Antiparasitic Potential of Natural Marine Compounds. Dissertação de Mestrado em Biologia e Gestão da Qualidade da Água, Faculdade de Ciência da Universidade do Porto. 2016. Available online: https://repositorio-aberto.up.pt/handle/10216/102563 (accessed on 14 July 2023).
- O’Donoghue, A.J.; Bibo-Verdugo, B.; Miyamoto, Y.; Wang, S.C.; Yang, J.Z.; Zuill, D.E.; Matsuka, S.; Jiang, Z.; Almaliti, J.; Caffrey, C.R.; et al. 20S proteasome as a drug target in Trichomonas vaginalis. Antimicrob. Agents Chemother. 2019, 63, e00448-19. [Google Scholar] [CrossRef] [PubMed]
- Trabelsi, L.; M’sakni, N.H.; Ben Ouada, H.; Bacha, H.; Roudesli, S. Partial characterization of extracellular polysaccharides produced by cyanobacterium Arthrospira platensis. Biotechnol. Bioprocess. Eng. 2009, 14, 27–31. [Google Scholar] [CrossRef]
- Roussel, M.; Villay, A.; Delbac, F.; Michaud, P.; Laroche, C.; Roriz, D.; El Alaoui, H.; Diogon, M. Antimicrosporidian activity of sulphated polysaccharides from algae and their potential to control honeybee nosemosis. Carbohydr. Polym. 2015, 133, 213–220. [Google Scholar] [CrossRef]














| Cyanobacterial Compound | Source | Biological Activity | MIC, IC50, GIR or DIZ | Toxicity | References | 
|---|---|---|---|---|---|
| Abietane diterpenes | Microcoleous lacustris | Antibacterial activity against S. aureus, S. epidermidis, S. typhi, V. cholerae, B. cereus, B. subtilis, E. coli, K. pneumoniae | MIC = 14–22 μg/mL a | Not reported in this study. | [91] | 
| Aeruginazole A | Microcystis spp. | Inhibition of B. subtilis, S. aureus, S. epidermidis. Ineffective against E. coli. | 2.2 μM a | Not reported in this study. | [92,93] | 
| Ambigol A–C | Fischerella ambigua | Antibacterial activity against B. megaterium | 8 mm f at 100 nM | Not reported in this study. | [94,95] | 
| Ambiguine isonitriles | Fischerella ambigua | Antibacterial activity against B. anthracis, M. tuberculosis, S. aureus | MIC = 78 ng/mL–2.5 μg/mL a | Moderately toxic. LC50 not provided. | [96,97,98] | 
| Antifungal activity against C. albicans | MIC = 1 μM a | ||||
| Anaephene A–C | Hormoscilla spp. | Antibacterial activity against S. aureus, MRSA, M. luteus, B. cereus | MIC = 6.1–24 μg/mL a | LC50 = 26–>100 μg/mL in HCT116 cells | [99,100] | 
| Anyhdrohapaloxindole A | Fiscerella muscicola and Westiellopsis spp. | Antibacterial activity against M. tuberculosis, M. smegmatis, S. aureus, E. coli, A. baumannii | MIC = <0.6–100 μg/mLa | LC50 = <9.2–>100 μg/mL against Vero cells | [101] | 
| Antifungal activity against C. albicans | MIC = 0.7–100 μg/mL a | ||||
| Antillatoxin B | Moorea producens | Antibacterial activity against B. cereus, S, typhimurium and L. monocytogenes | 7.8–500 μg/mL a. Generally most potent against B. cereus | Not reported in this study. | [102] | 
| Balticidins | Anabaena cylindrica | Antifungal activity against C. maltosa | 6–18 mm f at 6 nM | Cytotoxicity was not reported in this study. | [103] | 
| Bastadin | Anabaena basta | Antibacterial activity. Species not defined. | Antibacterial activity confirmed but not quantified. | Not reported in this study. | [104] | 
| Bastimolide A and B | Okeania hirsuta | Antimalarial activity against P. falciparum | 80–270 nM b | LC50 against Vero cells = 2.1 μM | [105] | 
| Bauerines A–C | Dichotrix baueriana | Anti-HSV-2 activity | IC50 = 3 μg/mL b | LC50 = 5 μg/mL in LoVo cells. | [106] | 
| Bromoanaindolone | Anabaena constricta | Antibacterial activity against B. cereus | 530 μM a | Not reported in this study. | [107] | 
| Brunsicamine A–C | Tychonema spp. | Antibacterial activity against Mycobacteria spp. | 2.6–5.7 μM b | Not reported in this study. | [108] | 
| Calophycin | Calothrix fusca | Antifungal activity against A. oryzae, | 13 mm f at 1 nM | Not reported in this study. | [109] | 
| C. albicans, | 7 mm f at 1 nM | ||||
| P. notatum, | 12 mm f at 1 nM | ||||
| S. cerevisiae and | 12 mm f at 1 nM | ||||
| T. mentagrophytes | 15 mm f at 1 nM | ||||
| Calothrixin A and B | Calothrix spp. | Antiprotozoal activity against P. falciparum | IC50 = 58–180 nM b | LC50 = 40 nM against HeLa cells | [110] | 
| Carbamidocyclophane F | Nostoc spp. UIC10274 | Antibacterial inhibition of M. tuberculosis, A. baumannii, P. aeruginosa, S. aureus, S. pneumoniae and E. faecalis | 0.8–5.4 μM a (M. tuberculosis); >10 μM a against all other bacteria | LC50 = 0.5–0.7 μM against MDA-MB-435 and HT-29 human cancer cell lines. | [111] | 
| Antifungal activity against C. albicans | >10 μM a | ||||
| Carbamidocyclophane G | Antibacterial inhibition of M. tuberculosis, A. baumannii, P. aeruginosa, S. aureus, S. pneumoniae and E. faecalis | 1.8–10 μM a against M. tuberculosis; >10 μM a against all other bacteria | |||
| Antifungal activity against C. albicans | >10 μM a | ||||
| Calcium spirulan | Spirulina platensis | Antiviral activity against HIV, HCMV, Poliovirus and Herpes virus. Also has predicted activity against SARS -CoV-2 | IC50 = 0.92–23 μg/mL b | Low toxicity (LC50 = 2900–7900 μg/mL). | [112,113] | 
| Carmabin | Lyngbya majuscula | Antiparasitic against P. falciparum | 4.3 μM b against chloroquin-resistant strains. | Moderate toxicity in Vero cells. | [43] | 
| Carriebowlinol | Not specified | Antibacterial activity against Vibrio spp. | <1 μM a | Not reported in this study. | [114] | 
| Antibacterial activity against Fusarium spp. | 0.2 μM a | ||||
| Comnostins A-E | Nostoc commune | Antibacterial activity against B. cereus | 40–300 μM a | Cytotoxic LC50 = 1 μM | [115] | 
| E. coli | 10–80 μM a | ||||
| S. epidermidis | 150–300 μM a | ||||
| Crossbyanol A–C | Leptlyngbya crossbyna | Antibacterial activity against S. aureus | 3 μM a | Cytotoxic in brine shrimp assay (LC50 = 3 μM) | [116] | 
| Cyanovirin | Nostoc ellipsosporum | Antiviral activity against HIV, SIV, Hepatitis C, Ebola virus, Parainfluenza virus (type 3), Influenza virus | IC50 = 50 nM (against Ebola and Marburg viruses) b. It has been shown to block HIV cell entry by interacting with HIV gp120. | Not reported in these studies. | [117,118,119,120,121] | 
| Cybastacines A and B | Nostoc spp. | Antibacterial activity against E. faecalis, E. faecium, M. abscessus, N. carnea, N. cyriacigeorgica, S. pyogenes, S. aureus, S. epidermidis | 4–32 μg/mL b | Not reported in this study. | [122] | 
| Cylindrofridin A–C | Cylindrospermum stagnale, Nostoc spp. | Antibacterial activity against S. aureus, MRSA, S. pneumoniae, E. faecium and a wide panel of other bacteria | MIC = 1 μg/mL against S. aereus. a Substantially higher MICs against other bacterial species. | LC50 = 0.9–14 μg/mL against HaCaT cells. | [123] | 
| Cylindrocyclophanes A–C | |||||
| Corioloc acid | Oscillatoria redekei | Antibacterial activity against B. subtilis, M. flavus, S. aureus, S. epidermidis | 2–9 mm f at 50 μg/disc | Not reported in this study. | [124] | 
| Dimorphecolic acid | 3–8 mm f at 100 μg/disc | ||||
| Crossbyanols A–D | Lyngbya spp. | Antibacterial activity against S. aureus, MRSA | MIC = 2–4 μg/mL a | LC50 = 30 μg/mL in brine shrimp toxicity assay. | [116] | 
| Didehydromirabazole | Scytonema mirabile | Antifungal activity against A. oryzae, C. albicans, P. notatum, S. cerevisiae, T. mentagrophytes | 8–34 mm f | LC50 = 0.5–99 μg/mL against KB cells | [125] | 
| Dragonamide A | Lyngbya majuscula | Antiparasitic against P. falciparum, T. cruzi, L. donovani | 5.1 μM c against L. donovani; ineffective against P. falciparum and T. cruzi | Not reported. | [43,44] | 
| Dragonamide E | 6.5 μM c against L. donovani; ineffective against P. falciparum and T. cruzi | ||||
| Dragomabin | Lyngbya majuscula | Antiparasitic against P. falciparum | 1.4–21 μM b against chloroquin-resistant strains. | Moderate toxicity with LC50 = 182 μM in Vero cells. A therapeutic index of >30, indicating its therapeutic safety. | [43] | 
| Dudawalamide A | Moorea producens | Antiparasitic against P. falciparum, T. cruzi, L. donovani | 2.6–10 μM a | Nontoxic at 30 μM against H-460 human lung cancer cells. | [126] | 
| Dudawalamide B | 6–10% a | ||||
| Dudawalamide C | 10 μM a | ||||
| Dudawalamide D | 10 μM a | ||||
| Dudawalamide E | 10 μM a | ||||
| Eucapsitrione | Eucapsis spp. | Antibacterial and antifungal activity against M. tuberculosis, M. smegmatis, S. aureus, E. coli, C. albicans | MIC = 3.1–6.4 μM against M. tuberculosis a. Substantially less active against other bacteria. | IC50 > 20 μM in Vero cells | [127] | 
| Fischerellin A and B | Fischerella muscicola | Antibacterial activity against S. aureus, M. tuberculosis, M. smegmatis, E. coli and antifungal activity against C. albicans | MIC = 2–100 μM a | LC50 = >128 μM in Vero cells | [97] | 
| Antifungal activity against U. appendiculatus and E. grammis | 100% inhibition between 0.6 and 2.5 mM | Not reported in this study. | [128] | ||
| Fischambiguine B | Fischerella ambigua | Antibacterial activity against S. aureus, B. anthracis, M. tuberculosis, M. smegmatis | MIC = 2–100 μM a | LC50 = >128 μM in Vero cells | [97] | 
| Hapalindole (multiple) | Nostoc spp. Fischerella spp. | Antibacterial activity against S. aureus, B. subtilis, E. coli, E. faecium, S. epidermidis, S. pyogenes, S. pneumoniae, H. influenza, K. pneumoniae, P. morganii, Salmonella spp., S. sonnei | 30–36 mm f | Moderate toxicity (LC50 >30 μM) | [129,130] | 
| Hapalosiphon fontinalis | Antifungal activity against C. albicans | 0.7 μM a | LC50 = 12–44 μM | [101] | |
| Hassallidins A and B | Hassallia spp. | Antifungal activity against A. fumigatus and C. albicans | 3.5 μM a | Not reported in this study. | [131,132] | 
| Herbamide B | Lyngbya majuscula | Antiparasitic against P. falciparum | 5.9 μM b against chloroquin-resistant strains. | Moderate toxicity in Vero cells. | [43] | 
| Hoshinolactam | Antiparasitic activity against T. brucei brucei | 3.9 nM b | Not reported in this study. | [133] | |
| Ikoamide | Okeania spp. | Antiparasitic against P. falciparum | 0.14 μM b | Not reported in this study. | [134] | 
| Ichthyopeptins | Microcoleous ichythyoblabe | Antiviral activity against influenza A virus. Additionally, predicted anti-SARS-CoV-2 activity due to ACE inhibitory activity. | IC50 = 12.5 μg/mL b | Not reported in this study. | [135] | 
| Kakeromide B | Moorea producens | Antimalarial activity against P. falciparum (blood stage) and P. berghei (liver stage) | 0.9–1.2 μM b | LC50 against HEK293T and HepG2 cells = >2.3 μM | [136] | 
| Kawaguchipeptins A and B | Microcystis aeruginosa | Antibacterial activity against S. aureus | 0.7 mM a | Not reported in this study. | [137] | 
| Lagunamide A–C | Lyngbya majuscula | Inhibition of P. aeruginosa swarming | Inhibited 49% of swarming e | Cytotoxicity against P388 murine leukaemia, A549 human lung carcinoma, PC3 (human prostate cancer), HCT8 (colorectal adenocarcinoma) and SK-OV (ovarian cancer) cell lines with LC50 values 2.1–4.5 nM. | [89,138] | 
| Antiparasitic against P. falciparum | 0.29 μM b | ||||
| Laxaphycin A | Moorea producens | Antibacterial activity against B. cereus, S. typhimurium and L. monocytogenes | 150–500 μg/mL a. | Not reported in this study. | [102] | 
| Laxaphycin B | |||||
| Laxaphycin B3 | |||||
| Laxaphycins (several) | Anabaena laxa, Moorea producens, Anabaena torulosa | Antifungal activity against A. oryzae | 20 μM a | LC50 = 0.2 μM | [63,139,140,141] | 
| Linoleic acid | Oscillatoria redekei | Antibacterial activity against B. subtilis, Micrococcus flavus, S. aureus, S. epidermidis | 2–18 mm f at 100 μg/disc | Not reported in this study. | [124] | 
| ϒ-Linolenic acid | Fischerella spp. | Antibacterial activity against S. aureus, E. coli, K. aerogenes, P. aeruginosa, S. typhi | 12–22 mm f; MIC = 2–16 μg/mL a | Not reported in this study. | [142] | 
| Lobocyclamide A–D | Lyngbya confervoides | Antifungal activity against C. albicans | 10 μM a | Not reported in this study. | [143] | 
| Lyngbic acid | Moorea producens | Antibacterial inhibition of Mycobactetium tuberculosis | 65% d | LC50 in MDA-MB-231, A549 and HT-29 cells = 0.05–88 μM. | [144] | 
| Lyngbyabellin A and B, 18E-lyngbyalosise C, lyngbyaloside | Moorea producens | Antimalarial activity against P. falciparum (blood stage) and P. berghei (liver stage) | 0.15 nM–>4 μM b. Lyngbyallin A was ~1000-fold more potent than the other compounds. | LC50 against HEK293T and HepG2 cells = 0.3–>4.8 μM | [136] | 
| Lyngbyabellin B | Lyngbya majuscula | Antifungal activity against C. albicans | 10.6 mm f | Potent toxicity (LC50 = 3 ppm) in Artemia nauplii toxicity assay. | [145] | 
| Lyngbyazothrins | Lyngbya spp. | Antibacterial activity against B. subtilis, E. coli | 18 mm f at 16–65 μM | Not reported in this study. | [146,147,148] | 
| Malyngamide 4 | Moorea producens | Antibacterial inhibition of M. tuberculosis | 10–18% d | LC50 in MDA-MB-231, A549 and HT-29 cells = 0.05–88 μM. | [144] | 
| Malyngamide A | |||||
| Malyngamide B | |||||
| Malyngoloide | Lyngbya masculata | Antibacterial activity against B. cereus, S. aureus and S. pyogenes | Reported but not quantified. | Not reported in that study. | [149] | 
| Malyngolide dimer | Lyngbya majuscula | Antiparasitic against P. falciparum | 19 μM b against a chloroquin-resistant strain | Not reported in that study. | [150] | 
| Majusculamide A | Moorea producens | Antibacterial activity against B. cereus, S. typhimurium and L. monocytogenes | 63–>500 μg/mL a. Generally most potent against B. cereus | Not reported in this study. | [102] | 
| Majusculamide C | |||||
| Majusculamide C acetate | |||||
| Majusculamide I | |||||
| Majusculamide J | |||||
| Majusculamide C | Not specified | Antifungal activity against R. solani, P. aphanidermatum, A. euteiches, P. infestans | <1–4 μM a | LC50 = 20–750 nM | [151,152,153] | 
| Microcystin-LR | Microcystis spp. | Antibacterial activity against M. chelonae, M. kansaii, M. terrae, M. tuberculosis | MIC = 60 nM–1.93 μM a | Nontoxic to HTC cells. | [154] | 
| Microvirin | Microcystis aeruginosa | Antiviral activity against HIV-1 and HIV-2. Inhibits virus–cell fusion. | 2–12 nM b | Nontoxic in MT-4 and MVN T cells at concentrations ≤7 μM | [155,156] | 
| Muscoride | Nostoc muscorum | Antibacterial activity against B. subtilis | 3–6 mm f | Not reported in this study. | [157] | 
| 20-Nor-3α-acetoxy-abieta-5,7,9,11,13-pentaene | Microcoleous lacustris | Antibacterial activity against S. aureus, S. epidermidis, S. typhi, V. cholerae, B. subtilis, B. cereus, E. coli, K. pneumoniae | 14–286 μg/mL a. These diterpenoids were most potent against Staphylococcus spp. | Not reported in this study. | [91] | 
| 20-Nor-3α-acetoxy-12 hydroxy-abieta-5,7,9,11,13-pentaene | |||||
| Norharmane (9H-pyrido(3,4-b)indole | Nodularia harveyana and Nostoc insulare | Antibacterial activity against E. coli, P. aeruginosa, S. aureus, B. subtilis, B. cereus | MIC values of 32 μg/mL (E. coli and P. aeruginosa), 160 μg/mL (B. cereus), 128 μg/mL (B. subtilis) and 16 μg/mL (S. aureus) a | Not reported in this study. | [158] | 
| Antifungal activity against C. albicans | 40 μg/mL a | ||||
| 4,4’-Dihydroxybiphenol | Antibacterial activity against E. coli, P. aeruginosa, S. aureus, B. subtilis, B. cereus | MIC values of >128 μg/mL (E. coli and P. aeruginosa), 32 μg/mL (B. cereus), 128 μg/mL (B. subtilis and S. aureus) a | |||
| Antifungal activity against C. albicans | 32 μg/mL a | ||||
| Noscomin | Nostoc commune | Antibacterial activity against B. cereus, S. epidermidis, E. coli | 18–300 μM a | Not reported in this study. | [159] | 
| Nostofungicidine | Nostoc commune | Antifungal activity against A. candidus | 1.5 μM a | LC50 = 1.5 μM against NSF-60 cells | [160] | 
| Nostocionone | Nostoc commune | Antibacterial activity against P. acnes | ~10 mm at 50 μg/disc f | Not reported in this study. | [161] | 
| Nostocionone D1 | ~8mm at 50 μg/disc f | ||||
| Nostocionone D2 | ~9 mm at 50 μg/disc f | ||||
| Nostocionone D3 | ~11.5 mm at 50 μg/disc f | ||||
| Nostoflan | Nostoc flagelliforme | Antiviral activity against HSV-, HSV-2, HCMV, influenza, adenovirus, coxsackie virus | IC50 = 0.37–100 μg/mL. b Particularly good against HSV-1. | Nontoxic. LC50 = 4.9–>10 mg/mL | [162] | 
| Nostocyclyne A | Nostoc spp. | Antibacterial activity against S. aureus, B. subtilis | 30–36 nM a | Not reported in this study. | [163] | 
| Nostotrebin 7 and nostolactone 7 | Nostoc spp. | Antibacterial activity against E. faecium, B. subtilis, S. aureus, M. tuberculosis, E. aerogenes, S. typhi, P. aeruginosa, E. coli | MIC = 2–16 μg/mL a | Not reported in this study. | [129,164] | 
| Novel Oscillatoria lectin | Ocillatoria acuminate, Ocillatoria agarghii | Antiviral activity against HSV-1 | IC50 = 91–131 μg/mL. b | EC50 = 107 (Huh-7 cells) and 254 μg/mL (MCF-7 cells). | [165,166] | 
| Pahayokolide A and B | Lyngbya spp. | Antibacterial activity against B. subtilis, B. megaterium, P. aeruginosa, M. luteus, E. coli and S. epidermidis | Only inhibited Bacillus spp. with 32 mm at 5 μg/mL f | Acute toxicity in zebrafish assay (100% mortality at 3 μg/mL). | [167,168] | 
| C-Phycocyanin | Multiple Westiellopsis spp. (specific species not identified) | Antibacterial activity against B. subtilis, Pseudomonas spp.; Xanthamonas spp. | 1.3–13.2 mm f. Generally most potent against B. subtilis | Nontoxic in silkworm toxicity assay. | [169] | 
| Parsiguine | Fischerella spp. | Antibacterial activity against S. epidermidis and antifungal activity against C. krusei | MIC = 40 μg/mL (S. epidermidis) a and 20 μg/mL (C. krusei) a | Not reported in this study. | [170] | 
| Phycocyanin | Spirulina spp. | Antibacterial activity against S. aureus, E. coli, P. aeruginosa, K. pneumoniae | MIC = 50–125 μg/mL a | Not reported in this study. | [171] | 
| Nostoc muscorum | Antiparasitic activity against P. falciparum | 95% inhibition at 74 μg/mL | Not reported in this study. | [172] | |
| Nostoc spp. | Antibacterial activity against S. aureus, Pseudomonas spp. Klebsiella spp. | 5–13 mm f | Not reported in this study. | [173] | |
| Pitipeptolide A | Lyngbya majuscula | Antibacterial. Inhibition of M. tuberculosis | 9–30 mm f against several M. tuberculosis strains. | Weak cytotoxicity against Vero cells (LC50 = 2–2.25 μg/mL) | [174] | 
| Pitipeptolide B | |||||
| Pitiprolamide | Lyngbya spp. | Antibacterial activity against B. cereus, M. tuberculosis | 10–40 mm at 100 μg in disc f | Weak toxicity (Lc50 = 11–>100 μM) in HT-29 and MCF7 cells | [175] | 
| Plastimolide A | Not specified | Antiprotozoal activity against P. falciparum, L. donovani | 173 nM (P. falciparum), 4.7 μM (L. donovani) b | Low toxicity in GepG2 cells (LC50 = 5 μM) | [176] | 
| Protoamides | Photrmidium spp. | Antibacterial activity against M. luteus, B. subtilis, E. coli | Antibacterial reported but not quantified. | Not reported in this study. | [94] | 
| Schizotrin A | Schizotrix spp. | Antibacterial activity against B. subtilis | 15 mm f at 7 nM | Not reported in this study. | [177] | 
| Scytophytins and tolytoxins | Scytonema spp. and Tolypothrix spp. | Antifungal activity against S. pastorianus, N. crassa, C. albicans, P. ultimum, R, solani, S. homoeocarpa | 24–30 mm at 1.2 μM f | LC50 = 50–100 nM | [178,179,180,181,182,183] | 
| Scytoscalarol | Scytonema spp. | Antibacterial activity against B. anthracis, S. aureus, E. coli, M. tuberculosis | 2–110 μM a | Weak cytotoxicity (LC50 = 135 μM) | [184] | 
| Antifungal activity against C. albicans | 4 μM a | ||||
| Scytovirin | Scytonema varium | Antiviral activity against HIV, Ebola virus (Zaire strain), Marburg virus, Hepatitis C | IC50 = 0.3–22 nM (HIV strains), 41 nM (Zaire Ebola virus), 3.2–96 nM (Marburg virus and Hepatitus C virus). b | LC50 > 400 nM | [117,185,186,187] | 
| Sulfolipids | Lyngbya lagerhimii, Phormidium tenue | Antiviral activity against HIV | Inhibitory at concentrations between 1–100 μg/mL, although no IC50 is recorded. | Not reported in this study. | [188] | 
| Sulfoglycolipid | Scytonema spp. | Antiviral activity against HIV. Activity against viral reverse transcriptase (recorded as DNA polymerase in that study). | IC50 = 24 nM–100 μM b | Not reported in this study. | [189] | 
| Tanikolide | Scytonema spp. | Antifungal activity against C. albicans | 13 mm at 350 nM f | LC50 = 12–32 μM | [190,191] | 
| Tiahuramide A | Lyngbya majuscula | Antibacterial activity against S. baltica, A. salmonicida, V. anguillarum, M. luteus and E. coli. | 6.7–47 μM a | LC50 values 6–14 μM against SH-SY5Y human neuroblastoma cells | [192] | 
| Tiahuramide B | |||||
| Tiahuramide C | |||||
| Tjipanazole D | Fischerella spp. | Antibacterial activity against M. luteus, B. subtilis, E. coli | Antibacterial reported but not quantified. | Not reported in this study. | [193] | 
| Tolybyssidins A and B | Tolypothrix byssoides | Antifungal activity against C. albicans | 22 and 42 μM a | Not reported in this study. | [194] | 
| Ulongamide A | Moorea producens | Antimalarial activity against P. falciparum (blood stage) and P. berghei (liver stage) | 1–4 μM b | LC50 against HEK293T and HepG2 cells > 2.3 μM | [136] | 
| Venturamides A and B | Oscillatoria spp. | Antiprotozoal activity against P. falciparum | 5.6 μM b | Mild cytotoxicity (LC50 = 86 μM) against Vero cells | [65] | 
| Viridamides A and B | Oscillatoria nigro-viridis | Antiprotozoal activity against T. cruzi and L. mexicana | 1.1–1.5 μM b | Not reported in this study. | [46] | 
| Disclaimer/Publisher’s Note: The statements, opinions and data contained in all publications are solely those of the individual author(s) and contributor(s) and not of MDPI and/or the editor(s). MDPI and/or the editor(s) disclaim responsibility for any injury to people or property resulting from any ideas, methods, instructions or products referred to in the content. | 
© 2023 by the authors. Licensee MDPI, Basel, Switzerland. This article is an open access article distributed under the terms and conditions of the Creative Commons Attribution (CC BY) license (https://creativecommons.org/licenses/by/4.0/).
Share and Cite
Cock, I.E.; Cheesman, M.J. A Review of the Antimicrobial Properties of Cyanobacterial Natural Products. Molecules 2023, 28, 7127. https://doi.org/10.3390/molecules28207127
Cock IE, Cheesman MJ. A Review of the Antimicrobial Properties of Cyanobacterial Natural Products. Molecules. 2023; 28(20):7127. https://doi.org/10.3390/molecules28207127
Chicago/Turabian StyleCock, Ian E., and Matthew J. Cheesman. 2023. "A Review of the Antimicrobial Properties of Cyanobacterial Natural Products" Molecules 28, no. 20: 7127. https://doi.org/10.3390/molecules28207127
APA StyleCock, I. E., & Cheesman, M. J. (2023). A Review of the Antimicrobial Properties of Cyanobacterial Natural Products. Molecules, 28(20), 7127. https://doi.org/10.3390/molecules28207127
 
        



 
       