Making Moco: A Personal History
Abstract
1. Meeting Moco
2. Tormented by Pterins
3. Evidence for the Proposed Structure of Moco
4. Discovering Non-Innocence and a Public Disagreement over Oxidation States
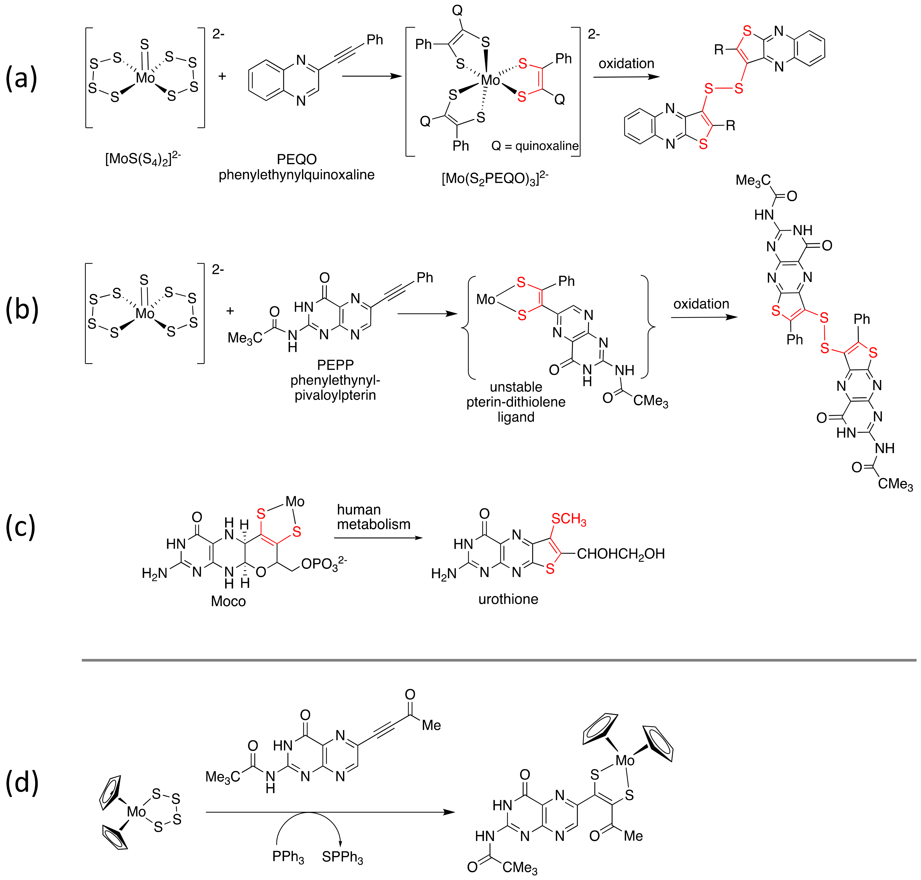
5. The Pyranopterin Is Revealed
Is the Pyranopterin in Moco a Tetrahydropterin?
6. The Dark Years Followed by a Move into the Light
7. The Three-Ring Circus of Pyranopterin
8. The Electronically Unique Mo(4+)-Pyranopterin System
9. The Magenta Species
10. Ongoing Model Studies
11. The Mo-Pyranopterin-Dithiolene Structure Is an Indivisible System
12. Final Thoughts
Funding
Institutional Review Board Statement
Informed Consent Statement
Data Availability Statement
Conflicts of Interest
References
- Birdwhistell, K.R.; Burgmayer, S.J.N.; Templeton, J.L. Tungsten Vinylidenes and Carbynes from Terminal Alkyne Reagents. J. Am. Chem. Soc. 1983, 105, 7789–7790. [Google Scholar] [CrossRef]
- Burgmayer, S.J.N.; Templeton, J.L.; Kenan, W.R. Unusual Ligand Formation in Carbon Disulfide Chemistry: Synthesis, Structure, and Reactivity of Mo2(S2CNEt2)3(.Mu.-CSC(S)S)(.Mu.-S3C2NEt2). Inorg. Chem. 1985, 24, 3939–3946. [Google Scholar] [CrossRef]
- Herrick, R.S.; Burgmayer, S.J.N.; Templeton, J.L. Synthesis and Structure of a Molybdenum Dimer Illustrating d.Pi. Orbital Participation in. Pi. Donation,. Pi. Acceptance, and Metal-Metal Bond Formation. J. Am. Chem. Soc. 1983, 105, 2599–2605. [Google Scholar] [CrossRef]
- Templeton, J.L.; Burgmayer, S.J.N. Frontier Orbital Control of Ligand Addition to Mo(CO)2(S2CNR2)2. Organometallics 1982, 1, 1007–1008. [Google Scholar] [CrossRef]
- Stiefel, E.I. The Coordination and Bioinorganic Chemistry of Molybdenum. In Progress in Inorganic Chemistry; John Wiley & Sons, Ltd.: Hoboken, NJ, USA, 1977; pp. 1–223. ISBN 978-0-470-16623-9. [Google Scholar]
- Spence, J.T. Modeling the Molybdenum Centers of the Molybdenum Hydroxylases. Coord. Chem. Rev. 1983, 48, 59–82. [Google Scholar] [CrossRef]
- Holm, R.H. The Biologically Relevant Oxygen Atom Transfer Chemistry of Molybdenum: From Synthetic Analogue Systems to Enzymes. Coord. Chem. Rev. 1990, 100, 183–221. [Google Scholar] [CrossRef]
- Mendel, R.R. The History of the Molybdenum Cofactor—A Personal View. Molecules 2022, 27, 4934. [Google Scholar] [CrossRef]
- Johnson, J.L.; Rajagopalan, K.V. Structural and Metabolic Relationship between the Molybdenum Cofactor and Urothione. Proc. Natl. Acad. Sci. USA 1982, 79, 6856–6860. [Google Scholar] [CrossRef] [PubMed]
- Stiefel, E.I.; Eisenberg, R.; Rosenberg, R.C.; Gray, H.B. Characterization and Electronic Structures of Six-Coordinate Trigonal-Prismatic Complexes. J. Am. Chem. Soc. 1966, 88, 2956–2966. [Google Scholar] [CrossRef]
- Stiefel, E.I.; Gray, H.B. Six-Coordinate Trigonal-Prismatic Complexes. J. Am. Chem. Soc. 1965, 87, 4012–4013. [Google Scholar] [CrossRef]
- Burgmayer, S.J.N.; Stiefel, E.I. Synthesis and Structure of the First Molybdenum-Pterin Complex. J. Am. Chem. Soc. 1986, 108, 8310–8311. [Google Scholar] [CrossRef]
- Perkinson, J.; Brodie, S.; Yoon, K.; Mosny, K.; Carroll, P.J.; Morgan, T.V.; Burgmayer, S.J.N. Preparations and Properties of Transition-Metal Pterin Complexes. Models for the Metal Site in Phenylalanine Hydroxylase. Inorg. Chem. 1991, 30, 719–727. [Google Scholar] [CrossRef]
- Benkovic, S.J.; Dix, T.A. MechanismofOxygenActivationbyPteridine-Dependent Monooxygenases. Acc. Chem. Res. 1988, 21, 101–107. [Google Scholar]
- McCracken, J.; Pember, S.; Benkovic, S.J.; Villafranca, J.J.; Miller, R.J.; Peisach, J. Electron Spin-Echo Studies of the Copper Binding Site in Phenylalanine Hydroxylase from Chromobacterium Violaceum. J. Am. Chem. Soc. 1988, 110, 1069–1074. [Google Scholar] [CrossRef]
- Thomann, H.; Morgan, T.V.; Jin, H.; Burgmayer, S.J.N.; Bare, R.E.; Stiefel, E.I. Protein Nitrogen Coordination to the Iron-Molybdenum Center of Nitrogenase from Clostridium Pasteurianum. J. Am. Chem. Soc. 1987, 109, 7913–7914. [Google Scholar] [CrossRef]
- Burgmayer, S.J.N.; Stiefel, E.I. Reactions of Molybdate with Dithiothreitol. Structure of [TEA]2[Mo2O5dtt]. Inorg. Chem. 1988, 27, 2518–2521. [Google Scholar] [CrossRef]
- Rajagopalan, K.V.; Johnson, J.L. The Pterin Molybdenum Cofactors. J. Biol. Chem. 1992, 267, 10199–10202. [Google Scholar] [CrossRef] [PubMed]
- Draganjac, M.; Coucouvanis, D. Reaction of MoS92- with Bis(Carboxymethyl)Acetylene. The Crystal and Molecular Structure of (Ph4P)2Mo[S2C2(COOMe)2]3: A Trigonal Prismatic Complex with a New Dithiolene Ligand. J. Am. Chem. Soc. 1983, 105, 139–140. [Google Scholar] [CrossRef]
- Soricelli, C.L.; Szalai, V.A.; Burgmayer, S.J.N. Oxidation of Molybdenum Dithiolene Complexes Yields Thiophene Analogs of Urothione and Molybdopterin Form B. J. Am. Chem. Soc. 1991, 113, 9877–9878. [Google Scholar] [CrossRef]
- Pilato, R.S.; Eriksen, K.A.; Greaney, M.A.; Stiefel, E.I.; Goswami, S.; Kilpatrick, L.; Spiro, T.G.; Taylor, E.C.; Rheingold, A.L. Model Complexes for Molybdopterin-Containing Enzymes: Preparation and Crystallographic Characterization of a Molybdenum Ene-1-Perthiolate-2-Thiolate (Trithiolate) Complex. J. Am. Chem. Soc. 1991, 113, 9372–9374. [Google Scholar] [CrossRef]
- Pilato, R.S.; Eriksen, K.; Greaney, M.A.; Gea, Y.; Taylor, E.C.; Goswami, S.; Kilpatrick, L.; Spiro, T.G.; Rheingold, A.L.; Stiefel, E.I. Pterins, Quinoxalines, and Metallo-Ene-Dithiolates. In Molybdenum Enzymes, Cofactors, and Model Systems; ACS Symposium Series; American Chemical Society: Washington, DC, USA, 1993; Volume 535, pp. 83–97. ISBN 978-0-8412-2708-8. [Google Scholar]
- Burgmayer, S.J.N.; Baruch, A.; Kerr, K.; Yoon, K. A Model Reaction for Molybdenum(VI) Reduction by Molybdopterin. J. Am. Chem. Soc. 1989, 111, 4982–4984. [Google Scholar] [CrossRef]
- Burgmayer, S.J.N.; Arkin, M.R.; Bostick, L.; Dempster, S.; Everett, K.M.; Layton, H.L.; Paul, K.E.; Rogge, C.; Rheingold, A.L. Tetrahydropterin Reactions of Dioxo-Molybdenum(6+) Complexes: Does Redox Occur? J. Am. Chem. Soc. 1995, 117, 5812–5823. [Google Scholar] [CrossRef]
- Kaufmann, H.L.; Liable-Sands, L.; Rheingold, A.L.; Burgmayer, S.J.N. Molybdenum−Pterin Chemistry. 1. The Five-Electron Oxidation of an Oxo Molybdenum Dithiolate Complex of a Reduced Pterin. Inorg. Chem. 1999, 38, 2592–2599. [Google Scholar] [CrossRef]
- Kaufmann, H.L.; Carroll, P.J.; Burgmayer, S.J.N. Molybdenum−Pterin Chemistry. 2. Reinvestigation of Molybdenum(IV) Coordination by Flavin Gives Evidence for Partial Pteridine Reduction. Inorg. Chem. 1999, 38, 2600–2606. [Google Scholar] [CrossRef]
- Thorp, H.H. Bond valence sum analysis of metal-ligand bond lengths in metalloenzymes and model complexes. Inorg. Chem. 1992, 31, 1585–1588. [Google Scholar] [CrossRef]
- Burgmayer, S.J.N.; Williams, B.R.; Basu, P. CHAPTER 2. Pterin-Inspired Model Compounds of Molybdenum Enzymes. In Metallobiology; Hille, R., Schulzke, C., Kirk, M.L., Eds.; Royal Society of Chemistry: Cambridge, UK, 2016; pp. 8–67. ISBN 978-1-78262-877-4. [Google Scholar]
- Fischer, B.; Strähle, J.; Viscoittinf, M. Über Pterinchemie. 90. Mitteilung. Synthese und Kristallstruktur des ersten chinoiden Dihydropterinmolybdän (IV)-Komplexes. Helv. Chim. Acta 1991, 74, 1544–1554. [Google Scholar] [CrossRef]
- Fischer, B.; Schmalle, H.; Dubler, E.; Schaefer, A.; Viscontini, M. Functional and Structural Model for the Molybdenum-Pterin Binding Site in Dimethyl Sulfoxide Reductase. Synthesis, Crystal Structure, and Spectroscopic Investigations of Trichloro(Quinoid-N(8)H-6,7-Dihydropterin)Oxomolybdenum(IV). Inorg. Chem. 1995, 34, 5726–5734. [Google Scholar] [CrossRef]
- Fischer, B.; Schmalle, H.W.; Baumgartner, M.R.; Viscontini, M. Models for the Active Center of Pterin-Containing Molybdenum Enzymes: Crystal Structure of a Molybdenum Complex with Sulfur and Pterin Ligands. Helv. Chim. Acta 1997, 80, 103–110. [Google Scholar] [CrossRef]
- Burgmayer, S.J.N.; Kaufmann, H.L.; Fortunato, G.; Hug, P.; Fischer, B. Molybdenum−Pterin Chemistry. 3. Use of X-Ray Photoelectron Spectroscopy To Assign Oxidation States in Metal Complexes of Noninnocent Ligands. Inorg. Chem. 1999, 38, 2607–2613. [Google Scholar] [CrossRef]
- Selbin, J.; Sherrill, J.; Bigger, C.H. Model Compounds of Biological Molybdenum. Flavin and Mixed-Ligand Complexes of Molybdenum(IV) and (V). Inorg. Chem. 1974, 13, 2544–2549. [Google Scholar] [CrossRef]
- Sawyer, D.T.; Doub, W.H. Formation of Model Compounds of Biological Molybdenum(IV). Inorg. Chem. 1975, 14, 1736–1737. [Google Scholar] [CrossRef]
- Chan, M.K.; Mukund, S.; Arnulf, K.; Adams, M.W.W.; Rees, D.C. Structure of a Hyperthermophilic Tungstopterin Enzyme, Aldehyde Ferredoxin Oxidoreductase. Science 1995, 267, 1463–1469. [Google Scholar] [CrossRef] [PubMed]
- Romão, M.J.; Archer, M.; Moura, I.; Moura, J.J.G.; LeGall, J.; Engh, R.; Schneider, M.; Hof, P.; Huber, R. Crystal Structure of the Xanthine Oxidase-Related Aldehyde Oxido-Reductase from D. Gigas. Science 1995, 270, 1170–1176. [Google Scholar] [CrossRef]
- Nieter Burgmayer, S.J. Dithiolenes in Biology. In Dithiolene Chemistry; John Wiley & Sons, Ltd.: Hoboken, NJ, USA, 2003; pp. 491–537. ISBN 978-0-471-47193-6. [Google Scholar]
- Enemark, J.H.; Garner, C.D. The Coordination Chemistry and Function of the Molybdenum Centres of the Oxomolybdoenzymes. JBIC J. Biol. Inorg. Chem. 1997, 2, 817–822. [Google Scholar] [CrossRef]
- Gardlik, S.; Rajagopalan, K.V. The State of Reduction of Molybdopterin in Xanthine Oxidase and Sulfite Oxidase. J. Biol. Chem. 1990, 265, 13047–13054. [Google Scholar] [CrossRef] [PubMed]
- Gardlik, S.; Rajagopalan, K.V. Oxidation of Molybdopterin in Sulfite Oxidase by Ferricyanide. Effect on Electron Transfer Activities. J. Biol. Chem. 1991, 266, 4889–4895. [Google Scholar] [CrossRef]
- Gardlik, S.; Rajagopalan, K.V. The Mechanisms of Inactivation of Sulfite Oxidase by Periodate and Arsenite. J. Biol. Chem. 1991, 266, 16627–16632. [Google Scholar] [CrossRef]
- Schircks, B.; Bieri, J.H.; Viscontini, M. Pterinechemistry. Part 84. A New, Regiospecific Synthesis OfL-Biopterin. Helv. Chim. Acta 1985, 68, 1639–1643. [Google Scholar] [CrossRef]
- Soyka, R.; Pfleiderer, W.; Prewo, R. Pteridine. Teil XCIV. Synthese Und Eigenschaften von 5,6-Dihydro-6-(1,2,3-Trihydroxypropyl)Pteridinen: Kovalente Intramolekulare Addukte. Helv. Chim. Acta 1990, 73, 808–826. [Google Scholar] [CrossRef]
- Soyka, R.; Pfleiderer, W. Pteridines, XCVI. Synthesis and Reactions of 6-(1,2,3-Trihydroxypropyl)Pteridines. Pteridines 1990, 2, 63–74. [Google Scholar] [CrossRef]
- Nieter Burgmayer, S.J.; Pearsall, D.L.; Blaney, S.M.; Moore, E.M.; Sauk-Schubert, C. Redox Reactions of the Pyranopterin System of the Molybdenum Cofactor. JBIC J. Biol. Inorg. Chem. 2004, 9, 59–66. [Google Scholar] [CrossRef] [PubMed]
- Coucouvanis, D.; Hadjikyriacou, A.; Draganjac, M.; Kanatzidis, M.G.; Ileperuma, O. Unique Reactivity Characteristics of Mo-Coordinated S2−2 and S2−4 Ligands. Polyhedron 1986, 5, 349–356. [Google Scholar] [CrossRef]
- Coucouvanis, D.; Hadjikyriacou, A.; Toupadakis, A.; Koo, S.M.; Ileperuma, O.; Draganjac, M.; Salifoglou, A. Studies of the Reactivity of Binary Thio- and Tertiary Oxothiomolybdates toward Electrophiles. Reactions with Dicarbomethoxyacetylene and the Synthesis and Structures of the [Et4N2[MoO(L)2], Anti-[Et4N]2[Mo2O2S2(L)2]], Syn-[Ph4P]2[Mo2O2S2(L)2].Cntdot.2DMF, Ph4P]2[Mo(L)3]DMF.Cntdot.C6H6, and [Ph4P]2[Mo2S2(L)4]2CH2Cl2 Complexes (L = 1,2-Dicarbomethoxy-1,2-Ethylenedithiolate). Inorg. Chem. 1991, 30, 754–767. [Google Scholar] [CrossRef]
- Seino, H.; Arai, Y.; Iwata, N.; Nagao, S.; Mizobe, Y.; Hidai, M. Preparation of Mononuclear Tungsten Tris(Sulfido) and Molybdenum Sulfido−Tetrasulfido Complexes with Hydridotris(Pyrazolyl)Borate Coligand and Conversion of the Former into Sulfido-Bridged Bimetallic Complex Having Pt(μ-S)2 WS Core. Inorg. Chem. 2001, 40, 1677–1682. [Google Scholar] [CrossRef] [PubMed]
- Sproules, S.A.; Morgan, H.T.; Doonan, C.J.; White, J.M.; Young, C.G. Synthesis and Characterisation of Second-Generation Metallodithiolene Complexes of the Type [Tp*ME(Dithiolene)](M = Mo, W; E = O, S) and a Novel ‘Organoscorpionate’ Complex of Tungsten. Dalton Trans. 2005, 21, 3552. [Google Scholar] [CrossRef] [PubMed]
- Burgmayer, S.J.N.; Kim, M.; Petit, R.; Rothkopf, A.; Kim, A.; BelHamdounia, S.; Hou, Y.; Somogyi, A.; Habel-Rodriguez, D.; Williams, A.; et al. Synthesis, Characterization, and Spectroscopy of Model Molybdopterin Complexes. J. Inorg. Biochem. 2007, 101, 1601–1616. [Google Scholar] [CrossRef] [PubMed]
- Matz, K.G.; Mtei, R.P.; Leung, B.; Burgmayer, S.J.N.; Kirk, M.L. Noninnocent Dithiolene Ligands: A New Oxomolybdenum Complex Possessing a Donor−Acceptor Dithiolene Ligand. J. Am. Chem. Soc. 2010, 132, 7830–7831. [Google Scholar] [CrossRef]
- Matz, K.G.; Mtei, R.P.; Rothstein, R.; Kirk, M.L.; Burgmayer, S.J.N. Study of Molybdenum(4+) Quinoxalyldithiolenes as Models for the Noninnocent Pyranopterin in the Molybdenum Cofactor. Inorg. Chem. 2011, 50, 9804–9815. [Google Scholar] [CrossRef]
- Williams, B.R.; Fu, Y.; Yap, G.P.A.; Burgmayer, S.J.N. Structure and Reversible Pyran Formation in Molybdenum Pyranopterin Dithiolene Models of the Molybdenum Cofactor. J. Am. Chem. Soc. 2012, 134, 19584–19587. [Google Scholar] [CrossRef][Green Version]
- Williams, B.R.; Gisewhite, D.; Kalinsky, A.; Esmail, A.; Burgmayer, S.J.N. Solvent-Dependent Pyranopterin Cyclization in Molybdenum Cofactor Model Complexes. Inorg. Chem. 2015, 54, 8214–8222. [Google Scholar] [CrossRef]
- Gates, C.; Varnum, H.; Getty, C.; Loui, N.; Chen, J.; Kirk, M.L.; Yang, J.; Nieter Burgmayer, S.J. Protonation and Non-Innocent Ligand Behavior in Pyranopterin Dithiolene Molybdenum Complexes. Inorg. Chem. 2022, 61, 13728–13742. [Google Scholar] [CrossRef]
- Kloer, D.P.; Hagel, C.; Heider, J.; Schulz, G.E. Crystal Structure of Ethylbenzene Dehydrogenase from Aromatoleum Aromaticum. Structure 2006, 14, 1377–1388. [Google Scholar] [CrossRef] [PubMed]
- Bertero, M.G.; Rothery, R.A.; Palak, M.; Hou, C.; Lim, D.; Blasco, F.; Weiner, J.H.; Strynadka, N.C.J. Insights into the Respiratory Electron Transfer Pathway from the Structure of Nitrate Reductase A. Nat. Struct. Mol. Biol. 2003, 10, 681–687. [Google Scholar] [CrossRef]
- Youngblut, M.D.; Tsai, C.-L.; Clark, I.C.; Carlson, H.K.; Maglaqui, A.P.; Gau-Pan, P.S.; Redford, S.A.; Wong, A.; Tainer, J.A.; Coates, J.D. Perchlorate Reductase Is Distinguished by Active Site Aromatic Gate Residues. J. Biol. Chem. 2016, 291, 9190–9202. [Google Scholar] [CrossRef] [PubMed]
- Gisewhite, D.R.; Yang, J.; Williams, B.R.; Esmail, A.; Stein, B.; Kirk, M.L.; Burgmayer, S.J.N. Implications of Pyran Cyclization and Pterin Conformation on Oxidized Forms of the Molybdenum Cofactor. J. Am. Chem. Soc. 2018, 140, 12808–12818. [Google Scholar] [CrossRef] [PubMed]
- Gisewhite, D.R.; Nagelski, A.L.; Cummins, D.C.; Yap, G.P.A.; Burgmayer, S.J.N. Modeling Pyran Formation in the Molybdenum Cofactor: Protonation of Quinoxalyl–Dithiolene Promoting Pyran Cyclization. Inorg. Chem. 2019, 58, 5134–5144. [Google Scholar] [CrossRef]
- Joshi, H.K.; Cooney, J.J.A.; Inscore, F.E.; Gruhn, N.E.; Lichtenberger, D.L.; Enemark, J.H. Investigation of Metal–Dithiolate Fold Angle Effects: Implications for Molybdenum and Tungsten Enzymes. Proc. Natl. Acad. Sci. USA 2003, 100, 3719–3724. [Google Scholar] [CrossRef] [PubMed]
- McNaughton, R.L.; Helton, M.E.; Rubie, N.D.; Kirk, M.L. The Oxo-Gate Hypothesis and DMSO Reductase: Implications for a Psuedo-σ Bonding Interaction Involved in Enzymatic Electron Transfer. Inorg. Chem. 2000, 39, 4386–4387. [Google Scholar] [CrossRef]













Disclaimer/Publisher’s Note: The statements, opinions and data contained in all publications are solely those of the individual author(s) and contributor(s) and not of MDPI and/or the editor(s). MDPI and/or the editor(s) disclaim responsibility for any injury to people or property resulting from any ideas, methods, instructions or products referred to in the content. |
© 2023 by the author. Licensee MDPI, Basel, Switzerland. This article is an open access article distributed under the terms and conditions of the Creative Commons Attribution (CC BY) license (https://creativecommons.org/licenses/by/4.0/).
Share and Cite
Burgmayer, S.J.N. Making Moco: A Personal History. Molecules 2023, 28, 7296. https://doi.org/10.3390/molecules28217296
Burgmayer SJN. Making Moco: A Personal History. Molecules. 2023; 28(21):7296. https://doi.org/10.3390/molecules28217296
Chicago/Turabian StyleBurgmayer, Sharon J. Nieter. 2023. "Making Moco: A Personal History" Molecules 28, no. 21: 7296. https://doi.org/10.3390/molecules28217296
APA StyleBurgmayer, S. J. N. (2023). Making Moco: A Personal History. Molecules, 28(21), 7296. https://doi.org/10.3390/molecules28217296

