Efficiency in Carbon Dioxide Fixation into Cyclic Carbonates: Operating Bifunctional Polyhydroxylated Pyridinium Organocatalysts in Segmented Flow Conditions
Abstract
:1. Introduction
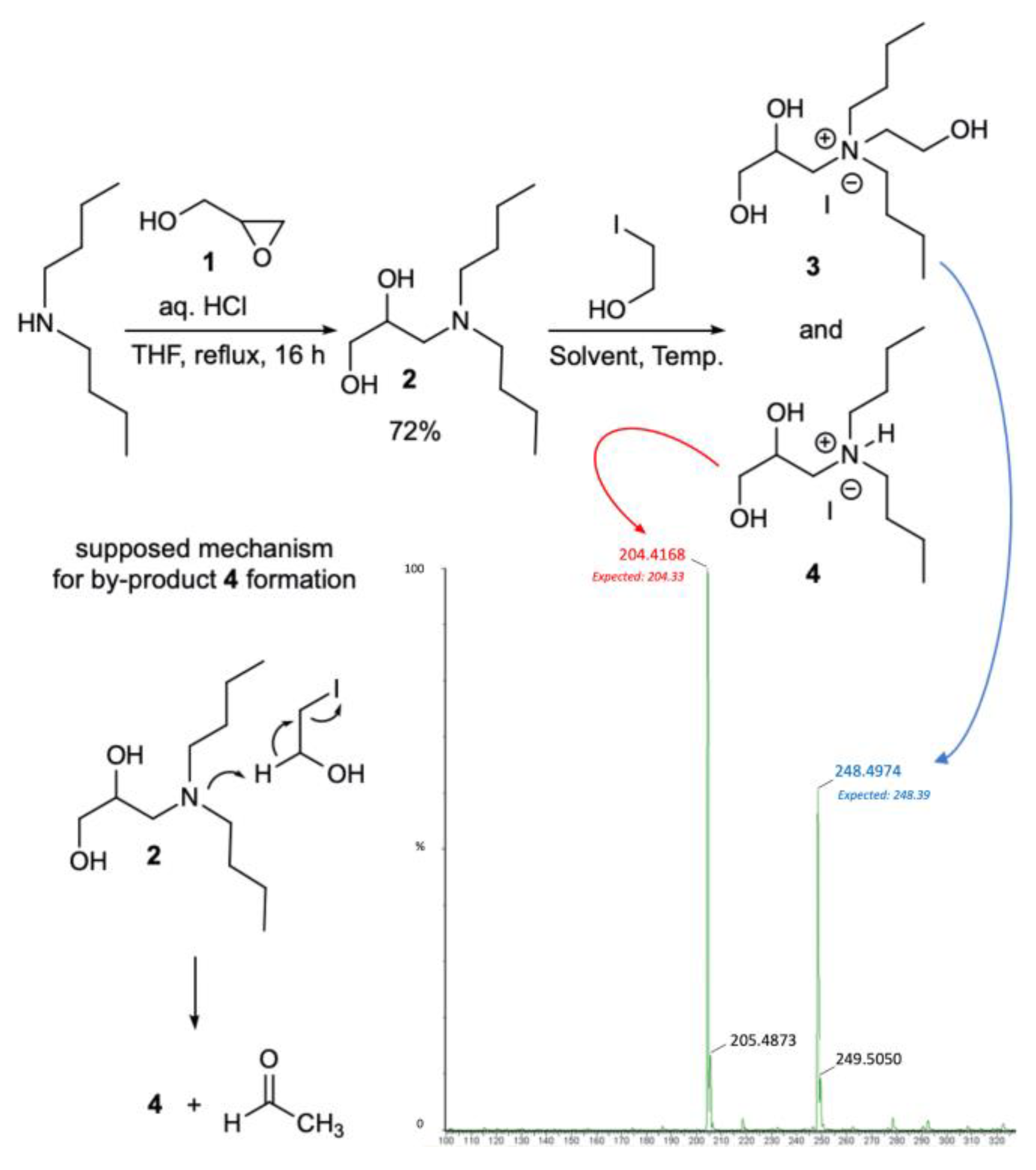
2. Results and Discussion
3. Materials and Methods
3.1. Procedures for the Synthesis of Intermediates 2, 6, 9, 13, 15 and Organocatalysts 3, 5, 8, 14, 16
3.2. General Procedure for the Synthesis of Styrene Carbonates 18a–g under Batch Conditions
3.3. General Procedure for the Synthesis of Cyclic Carbonates 18a–g under Segmented Flow Conditions
4. Conclusions
Supplementary Materials
Author Contributions
Funding
Institutional Review Board Statement
Informed Consent Statement
Data Availability Statement
Acknowledgments
Conflicts of Interest
Sample Availability
References
- Rogelj, J.; Luderer, G.; Pietzcker, R.C.; Kriegler, E.; Schaeffer, M.; Krey, V.; Riahi, K. Energy System Transformations for Limiting End-of-Century Warming to below 1.5 °C. Nat. Clim. Change 2015, 5, 519–527. [Google Scholar] [CrossRef]
- Rogelj, J.; Schaeffer, M.; Meinshausen, M.; Knutti, R.; Alcamo, J.; Riahi, K.; Hare, W. Zero Emission Targets as Long-Term Global Goals for Climate Protection. Environ. Res. Lett. 2015, 10, 105007. [Google Scholar] [CrossRef]
- Bui, M.; Adjiman, C.S.; Bardow, A.; Anthony, E.J.; Boston, A.; Brown, S.; Fennell, P.S.; Fuss, S.; Galindo, A.; Hackett, L.A.; et al. Carbon Capture and Storage (CCS): The Way Forward. Energy Environ. Sci. 2018, 11, 1062–1176. [Google Scholar] [CrossRef]
- Guo, W.; Gómez, J.E.; Cristòfol, À.; Xie, J.; Kleij, A.W. Catalytic Transformations of Functionalized Cyclic Organic Carbonates. Angew. Chem. Int. Ed. 2018, 57, 13735–13747. [Google Scholar] [CrossRef]
- Gao, W.; Liang, S.; Wang, R.; Jiang, Q.; Zhang, Y.; Zheng, Q.; Xie, B.; Toe, C.Y.; Zhu, X.; Wang, J.; et al. Industrial Carbon Dioxide Capture and Utilization: State of the Art and Future Challenges. Chem. Soc. Rev. 2020, 49, 8584–8686. [Google Scholar] [CrossRef] [PubMed]
- Guo, L.; Lamb, K.J.; North, M. Recent Developments in Organocatalysed Transformations of Epoxides and Carbon Dioxide into Cyclic Carbonates. Green Chem. 2020, 23, 77–118. [Google Scholar] [CrossRef]
- Sreejyothi, P.; Mandal, S.K. From CO2 Activation to Catalytic Reduction: A Metal-Free Approach. Chem. Sci. 2020, 11, 10571–10593. [Google Scholar] [CrossRef]
- Yan, S.-S.; Fu, Q.; Liao, L.-L.; Sun, G.-Q.; Ye, J.-H.; Gong, L.; Bo-Xue, Y.-Z.; Yu, D.-G. Transition Metal-Catalyzed Carboxylation of Unsaturated Substrates with CO2. Coord. Chem. Rev. 2018, 374, 439–463. [Google Scholar] [CrossRef]
- Yang, Y.; Lee, J.-W. Toward Ideal Carbon Dioxide Functionalization. Chem. Sci. 2019, 10, 3905–3926. [Google Scholar] [CrossRef]
- Shaikh, R.R.; Pornpraprom, S.; D’Elia, V. Catalytic Strategies for the Cycloaddition of Pure, Diluted, and Waste CO2 to Epoxides under Ambient Conditions. ACS Catal. 2018, 8, 419–450. [Google Scholar] [CrossRef]
- Dabral, S.; Schaub, T. The Use of Carbon Dioxide (CO2) as a Building Block in Organic Synthesis from an Industrial Perspective. Adv. Synth. Catal. 2019, 361, 223–246. [Google Scholar] [CrossRef]
- Martinez, A.S.; Hauzenberger, C.; Sahoo, A.R.; Csendes, Z.; Hoffmann, H.; Bica, K. Continuous Conversion of Carbon Dioxide to Propylene Carbonate with Supported Ionic Liquids. ACS Sustain. Chem. Eng. 2018, 6, 13131–13139. [Google Scholar] [CrossRef]
- Bui, T.Q.; Konwar, L.J.; Samikannu, A.; Nikjoo, D.; Mikkola, J.-P. Mesoporous Melamine-Formaldehyde Resins as Efficient Heterogeneous Catalysts for Continuous Synthesis of Cyclic Carbonates from Epoxides and Gaseous CO2. ACS Sustain. Chem. Eng. 2020, 8, 12852–12869. [Google Scholar] [CrossRef]
- Zanda, N.; Sobolewska, A.; Alza, E.; Kleij, A.W.; Pericàs, M.A. Organocatalytic and Halide-Free Synthesis of Glycerol Carbonate under Continuous Flow. ACS Sustain. Chem. Eng. 2021, 9, 4391–4397. [Google Scholar] [CrossRef]
- Hou, J.; Ee, A.; Cao, H.; Ong, H.; Xu, J.; Wu, J. Visible-Light-Mediated Metal-Free Difunctionalization of Alkenes with CO2 and Silanes or C(Sp3)-H Alkanes. Angew. Chem. Int. Ed. 2018, 57, 17220–17224. [Google Scholar] [CrossRef]
- Wu, X.; Wang, M.; Xie, Y.; Chen, C.; Li, K.; Yuan, M.; Zhao, X.; Hou, Z. Carboxymethyl Cellulose Supported Ionic Liquid as a Heterogeneous Catalyst for the Cycloaddition of CO2 to Cyclic Carbonate. Appl. Catal. A Gen. 2016, 519, 146–154. [Google Scholar] [CrossRef]
- Sathe, A.A.; Nambiar, A.M.K.; Rioux, R.M. Synthesis of Cyclic Organic Carbonates via Catalytic Oxidative Carboxylation of Olefins in Flow Reactors. Catal. Sci. Technol. 2016, 7, 84–89. [Google Scholar] [CrossRef]
- Rigo, D.; Calmanti, R.; Perosa, A.; Selva, M.; Fiorani, G. Diethylene Glycol/NaBr Catalyzed CO2 Insertion into Terminal Epoxides: From Batch to Continuous Flow. Chemcatchem 2021, 13, 2005–2016. [Google Scholar] [CrossRef]
- Wu, Y.; Chen, A.; Liu, X.; Xu, J.; Wang, Y.; Mumford, K.; Stevens, G.W.; Fei, W. Kinetic Study of Highly Efficient CO2 Fixation into Propylene Carbonate Using a Continuous-Flow Reactor. Chem. Eng. Process.-Process Intensif. 2021, 159, 108235. [Google Scholar] [CrossRef]
- North, M.; Villuendas, P.; Young, C. A Gas-Phase Flow Reactor for Ethylene Carbonate Synthesis from Waste Carbon Dioxide. Chem. Eur. J. 2009, 15, 11454–11457. [Google Scholar] [CrossRef]
- Zhao, Y.; Yao, C.; Chen, G.; Yuan, Q. Highly Efficient Synthesis of Cyclic Carbonate with CO2 Catalyzed by Ionic Liquid in a Microreactor. Green Chem. 2012, 15, 446–452. [Google Scholar] [CrossRef]
- Wu, Y.; Ding, Y.; Xu, J.; Wang, Y.; Mumford, K.; Stevens, G.W.; Fei, W. Efficient Fixation of CO2 into Propylene Carbonate with [BMIM]Br in a Continuous-Flow Microreaction System. Green Energy Environ. 2021, 6, 291–297. [Google Scholar] [CrossRef]
- Kozak, J.A.; Wu, J.; Su, X.; Simeon, F.; Hatton, T.A.; Jamison, T.F. Bromine-Catalyzed Conversion of CO2 and Epoxides to Cyclic Carbonates under Continuous Flow Conditions. J. Am. Chem. Soc. 2013, 135, 18497–18501. [Google Scholar] [CrossRef] [PubMed]
- Zhang, X.; Su, D.; Xiao, L.; Wu, W. Immobilized Protic Ionic Liquids: Efficient Catalysts for CO2 Fixation with Epoxides. J. CO2 Util. 2017, 17, 37–42. [Google Scholar] [CrossRef]
- Rehman, A.; Fernández, A.M.L.; Resul, M.F.M.G.; Harvey, A. Kinetic Investigations of Styrene Carbonate Synthesis from Styrene Oxide and CO2 Using a Continuous Flow Tube-in-Tube Gas-Liquid Reactor. J. CO2 Util. 2018, 24, 341–349. [Google Scholar] [CrossRef]
- Seo, H.; Katcher, M.H.; Jamison, T.F. Photoredox Activation of Carbon Dioxide for Amino Acid Synthesis in Continuous Flow. Nat. Chem. 2017, 9, 453–456. [Google Scholar] [CrossRef] [PubMed]
- Wang, T.; Wang, W.; Lyu, Y.; Chen, X.; Li, C.; Zhang, Y.; Song, X.; Ding, Y. Highly Recyclable Polymer Supported Ionic Liquids as Efficient Heterogeneous Catalysts for Batch and Flow Conversion of CO2 to Cyclic Carbonates. RSC Adv. 2017, 7, 2836–2841. [Google Scholar] [CrossRef]
- James, B.R.; Boissonnault, J.A.; Wong-Foy, A.G.; Matzger, A.J.; Sanford, M.S. Structure Activity Relationships in Metal–Organic Framework Catalysts for the Continuous Flow Synthesis of Propylene Carbonate from CO2 and Propylene Oxide. RSC Adv. 2018, 8, 2132–2137. [Google Scholar] [CrossRef]
- Zanda, N.; Primitivo, L.; Chaudhari, M.; Kleij, A.W.; Pericàs, M.À. Organocatalytic N -Formylation of Amines by CO2 in Batch and Continuous Flow. Org. Chem. Front. 2022, 10, 375–381. [Google Scholar] [CrossRef]
- Wu, J.; Kozak, J.A.; Simeon, F.; Hatton, T.A.; Jamison, T.F. Mechanism-Guided Design of Flow Systems for Multicomponent Reactions: Conversion of CO2 and Olefins to Cyclic Carbonates. Chem. Sci. 2014, 5, 1227–1231. [Google Scholar] [CrossRef]
- Zanda, N.; Zhou, L.; Alza, E.; Kleij, A.W.; Pericàs, M.À. Continuous Organocatalytic Flow Synthesis of 2-Substituted Oxazolidinones Using Carbon Dioxide. Green Chem. 2022, 24, 4628–4633. [Google Scholar] [CrossRef]
- Seo, H.; Nguyen, L.V.; Jamison, T.F. Using Carbon Dioxide as a Building Block in Continuous Flow Synthesis. Adv. Synth. Catal. 2019, 361, 247–264. [Google Scholar] [CrossRef]
- Rehman, A.; Saleem, F.; Javed, F.; Ikhlaq, A.; Ahmad, S.W.; Harvey, A. Recent Advances in the Synthesis of Cyclic Carbonates via CO2 Cycloaddition to Epoxides. J. Environ. Chem. Eng. 2021, 9, 105113. [Google Scholar] [CrossRef]
- Schäffner, B.; Schäffner, F.; Verevkin, S.P.; Börner, A. Organic Carbonates as Solvents in Synthesis and Catalysis. Chem. Rev. 2010, 110, 4554–4581. [Google Scholar] [CrossRef]
- Beattie, C.; North, M.; Villuendas, P. Proline-Catalysed Amination Reactions in Cyclic Carbonate Solvents. Molecules 2011, 16, 3420–3432. [Google Scholar] [CrossRef] [PubMed]
- Xu, K. Nonaqueous Liquid Electrolytes for Lithium-Based Rechargeable Batteries. Chem. Rev. 2004, 104, 4303–4418. [Google Scholar] [CrossRef]
- Zhang, S.S. A Review on Electrolyte Additives for Lithium-Ion Batteries. J. Power Sources 2006, 162, 1379–1394. [Google Scholar] [CrossRef]
- Besse, V.; Camara, F.; Voirin, C.; Auvergne, R.; Caillol, S.; Boutevin, B. Synthesis and Applications of Unsaturated Cyclocarbonates. Polym. Chem. 2013, 4, 4545–4561. [Google Scholar] [CrossRef]
- Pyo, S.-H.; Persson, P.; Mollaahmad, M.A.; Sörensen, K.; Lundmark, S.; Hatti-Kaul, R. Cyclic Carbonates as Monomers for Phosgene- and Isocyanate-Free Polyurethanes and Polycarbonates. Pure Appl. Chem. 2011, 84, 637–661. [Google Scholar] [CrossRef]
- Pescarmona, P.P.; Taherimehr, M. Challenges in the Catalytic Synthesis of Cyclic and Polymeric Carbonates from Epoxides and CO2. Catal. Sci. Technol. 2012, 2, 2169–2187. [Google Scholar] [CrossRef]
- von der Assen, N.; Sternberg, A.; Kätelhön, A.; Bardow, A. Environmental Potential of Carbon Dioxide Utilization in the Polyurethane Supply Chain. Faraday Discuss. 2015, 183, 291–307. [Google Scholar] [CrossRef]
- Fukuoka, S.; Kawamura, M.; Komiya, K.; Tojo, M.; Hachiya, H.; Hasegawa, K.; Aminaka, M.; Okamoto, H.; Fukawa, I.; Konno, S. A Novel Non-Phosgene Polycarbonate Production Process Using by-Product CO2 as Starting Material. Green Chem. 2003, 5, 497–507. [Google Scholar] [CrossRef]
- Clements, J.H. Reactive Applications of Cyclic Alkylene Carbonates. Ind. Eng. Chem. Res. 2003, 42, 663–674. [Google Scholar] [CrossRef]
- Dondoni, A.; Massi, A. Decoration of Dihydropyrimidine and Dihydropyridine Scaffolds with Sugars via Biginelli and Hantzsch Multicomponent Reactions: An Efficient Entry to a Collection of Artificial Nucleosides. Mol. Divers. 2003, 6, 261–270. [Google Scholar] [CrossRef] [PubMed]
- Büttner, H.; Longwitz, L.; Steinbauer, J.; Wulf, C.; Werner, T. Recent Developments in the Synthesis of Cyclic Carbonates from Epoxides and CO2. Top. Curr. Chem. 2017, 375, 50. [Google Scholar] [CrossRef] [PubMed]
- Cokoja, M.; Wilhelm, M.E.; Anthofer, M.H.; Herrmann, W.A.; Kühn, F.E. Synthesis of Cyclic Carbonates from Epoxides and Carbon Dioxide by Using Organocatalysts. Chemsuschem 2015, 8, 2436–2454. [Google Scholar] [CrossRef]
- Martín, C.; Fiorani, G.; Kleij, A.W. Recent Advances in the Catalytic Preparation of Cyclic Organic Carbonates. ACS Catal. 2015, 5, 1353–1370. [Google Scholar] [CrossRef]
- Comerford, J.W.; Ingram, I.D.V.; North, M.; Wu, X. Sustainable Metal-Based Catalysts for the Synthesis of Cyclic Carbonates Containing Five-Membered Rings. Green Chem. 2014, 17, 1966–1987. [Google Scholar] [CrossRef]
- Alves, M.; Grignard, B.; Mereau, R.; Jerome, C.; Tassaing, T.; Detrembleur, C. Organocatalyzed Coupling of Carbon Dioxide with Epoxides for the Synthesis of Cyclic Carbonates: Catalyst Design and Mechanistic Studies. Catal. Sci. Technol. 2017, 7, 2651–2684. [Google Scholar] [CrossRef]
- Yang, C.; Chen, Y.; Xu, P.; Yang, L.; Zhang, J.; Sun, J. Facile Synthesis of Zinc Halide-Based Ionic Liquid for Efficient Conversion of Carbon Dioxide to Cyclic Carbonates. Mol. Catal. 2020, 480, 110637. [Google Scholar] [CrossRef]
- Calmanti, R.; Sargentoni, N.; Selva, M.; Perosa, A. One-Pot Tandem Catalytic Epoxidation-CO2 Insertion of Monounsaturated Methyl Oleate to the Corresponding Cyclic Organic Carbonate. Catalysts 2021, 11, 1477. [Google Scholar] [CrossRef]
- Xu, A.; Chen, Z.; Jin, L.; Chu, B.; Lu, J.; He, X.; Yao, Y.; Li, B.; Dong, L.; Fan, M. Quaternary Ammonium Salt Functionalized MIL-101-NH2(Cr) as a Bifunctional Catalyst for the Cycloaddition of CO2 with Epoxides to Produce Cyclic Carbonates. Appl. Catal. A Gen. 2021, 624, 118307. [Google Scholar] [CrossRef]
- Cai, X.; Tolvanen, P.; Virtanen, P.; Eränen, K.; Rahkila, J.; Leveneur, S.; Salmi, T. Kinetic Study of the Carbonation of Epoxidized Fatty Acid Methyl Ester Catalyzed over Heterogeneous Catalyst HBimCl-NbCl5/HCMC. Int. J. Chem. Kinet. 2021, 53, 1203–1219. [Google Scholar] [CrossRef]
- Li, X.; Sun, J.; Xue, M.; Yin, J. Catalytic Conversion of CO2 by Supported Ionic Liquid Prepared with Supercritical Fluid Deposition in a Continuous Fixed-Bed Reactor. J. CO2 Util. 2022, 64, 102168. [Google Scholar] [CrossRef]
- Wang, Y.; Liu, Y.; Su, Q.; Li, Y.; Deng, L.; Dong, L.; Fu, M.; Liu, S.; Cheng, W. Poly(Ionic Liquid) Materials Tailored by Carboxyl Groups for the Gas Phase-Conversion of Epoxide and CO2 into Cyclic Carbonates. J. CO2 Util. 2022, 60, 101976. [Google Scholar] [CrossRef]
- Comin, E.; Aquino, A.S.; Favero, C.; Mignoni, M.L.; de Souza, R.F.; de Souza, M.O.; Pergher, S.B.C.; Campos, C.X.d.S.; Bernardo-Gusmão, K. Cyclic Carbonate Synthesis via Cycloaddition of CO2 and Epoxides Catalysed by Beta Zeolites Containing Alkyl Imidazolium Ionic Liquids Used as Structure-Directing Agents. Mol. Catal. 2022, 530, 112624. [Google Scholar] [CrossRef]
- Hernández, E.; Santiago, R.; Moya, C.; Navarro, P.; Palomar, J. Understanding the CO2 Valorization to Propylene Carbonate Catalyzed by 1-Butyl-3-Methylimidazolium Amino Acid Ionic Liquids. J. Mol. Liq. 2021, 324, 114782. [Google Scholar] [CrossRef]
- Wu, Y.; Chen, Z.; Zhang, X.; Chen, J.; Wang, Y.; Xu, J. Kinetic Study of CO2 Fixation into Propylene Carbonate with Water as Efficient Medium Using Microreaction System. Chin. J. Chem. Eng. 2022, 50, 247–253. [Google Scholar] [CrossRef]
- Shannon, M.S.; Bara, J.E. Properties of Alkylimidazoles as Solvents for CO2 Capture and Comparisons to Imidazolium-Based Ionic Liquids. Ind. Eng. Chem. Res. 2011, 50, 8665–8677. [Google Scholar] [CrossRef]
- Peng, J.; Deng, Y. Cycloaddition of Carbon Dioxide to Propylene Oxide Catalyzed by Ionic Liquids. New J. Chem. 2001, 25, 639–641. [Google Scholar] [CrossRef]
- Girard, A.-L.; Simon, N.; Zanatta, M.; Marmitt, S.; Gonçalves, P.; Dupont, J. Insights on Recyclable Catalytic System Composed of Task-Specific Ionic Liquids for the Chemical Fixation of Carbon Dioxide. Green Chem. 2014, 16, 2815–2825. [Google Scholar] [CrossRef]
- Li, W.; Cheng, W.; Yang, X.; Su, Q.; Dong, L.; Zhang, P.; Yi, Y.; Li, B.; Zhang, S. Synthesis of Cyclic Carbonate Catalyzed by DBU Derived Basic Ionic Liquids. Chin. J. Chem. 2018, 36, 293–298. [Google Scholar] [CrossRef]
- Meng, X.; Ju, Z.; Zhang, S.; Liang, X.; von Solms, N.; Zhang, X.; Zhang, X. Efficient Transformation of CO2 to Cyclic Carbonates Using Bifunctional Protic Ionic Liquids under Mild Conditions. Green Chem. 2019, 21, 3456–3463. [Google Scholar] [CrossRef]
- Galvan, M.; Selva, M.; Perosa, A.; Noè, M. Toward the Design of Halide- and Metal-Free Ionic-Liquid Catalysts for the Cycloaddition of CO2 to Epoxides. Asian J. Org. Chem. 2014, 3, 504–513. [Google Scholar] [CrossRef]
- Shi, T.-Y.; Wang, J.-Q.; Sun, J.; Wang, M.-H.; Cheng, W.-G.; Zhang, S.-J. Efficient Fixation of CO2 into Cyclic Carbonates Catalyzed by Hydroxyl-Functionalized Poly(Ionic Liquids). RSC Adv. 2013, 3, 3726–3732. [Google Scholar] [CrossRef]
- Sun, J.; Wang, J.; Cheng, W.; Zhang, J.; Li, X.; Zhang, S.; She, Y. Chitosan Functionalized Ionic Liquid as a Recyclable Biopolymer -Supported Catalyst for Cycloaddition of CO2. Green Chem. 2012, 14, 654–660. [Google Scholar] [CrossRef]
- Sun, J.; Han, L.; Cheng, W.; Wang, J.; Zhang, X.; Zhang, S. Efficient Acid–Base Bifunctional Catalysts for the Fixation of CO2 with Epoxides under Metal- and Solvent-Free Conditions. Chemsuschem 2011, 4, 502–507. [Google Scholar] [CrossRef]
- Sun, J.; Zhang, S.; Cheng, W.; Ren, J. Hydroxyl-Functionalized Ionic Liquid: A Novel Efficient Catalyst for Chemical Fixation of CO2 to Cyclic Carbonate. Tetrahedron Lett. 2008, 49, 3588–3591. [Google Scholar] [CrossRef]
- Sun, J.; Cheng, W.; Fan, W.; Wang, Y.; Meng, Z.; Zhang, S. Reusable and Efficient Polymer-Supported Task-Specific Ionic Liquid Catalyst for Cycloaddition of Epoxide with CO2. Catal. Today 2009, 148, 361–367. [Google Scholar] [CrossRef]
- Sun, J.; Ren, J.; Zhang, S.; Cheng, W. Water as an Efficient Medium for the Synthesis of Cyclic Carbonate. Tetrahedron Lett. 2009, 50, 423–426. [Google Scholar] [CrossRef]
- Gou, H.; Ma, X.; Su, Q.; Liu, L.; Ying, T.; Qian, W.; Dong, L.; Cheng, W. Hydrogen Bond Donor Functionalized Poly(Ionic Liquid)s for Efficient Synergistic Conversion of CO2 to Cyclic Carbonates. Phys. Chem. Chem. Phys. 2020, 23, 2005–2014. [Google Scholar] [CrossRef]
- Kayahan, E.; Urbani, D.; Dambruoso, P.; Massi, A.; Braeken, L.; Gerven, T.V.; Leblebici, M.E. Overcoming Mass and Photon Transfer Limitations in a Scalable Reactor: Oxidation in an Aerosol Photoreactor. Chem. Eng. J. 2021, 408, 127357. [Google Scholar] [CrossRef]
- Urbani, D.; Rovegno, C.; Massi, A.; Leblebici, M.E.; Kayahan, E.; Polo, E.; Dambruoso, P. Efficiency in CO2-Utilization Strategies: The Case of Styrene Carbonate Synthesis in Microdroplets Conditions. J. CO2 Util. 2023, 67, 102328. [Google Scholar] [CrossRef]
- Pereira, M.P.; Martins, R.d.S.; de Oliveira, M.A.L.; Bombonato, F.I. Amino Acid Ionic Liquids as Catalysts in a Solvent-Free Morita-Baylis-Hillman Reaction. RSC Adv. 2018, 8, 23903–23913. [Google Scholar] [CrossRef] [PubMed]
- Bajwa, J.S.; Anderson, R.C. A Highly Regioselective Conversion of Epoxides to Halohydrins by Lithium Halides. Tetrahedron Lett. 1991, 32, 3021–3024. [Google Scholar] [CrossRef]
- Massi, A.; Cavazzini, A.; Zoppo, L.D.; Pandoli, O.; Costa, V.; Pasti, L.; Giovannini, P.P. Toward the Optimization of Continuous-Flow Aldol and α-Amination Reactions by Means of Proline-Functionalized Silicon Packed-Bed Microreactors. Tetrahedron Lett. 2011, 52, 619–622. [Google Scholar] [CrossRef]
- Bortolini, O.; Caciolli, L.; Cavazzini, A.; Costa, V.; Greco, R.; Massi, A.; Pasti, L. Silica-Supported 5-(Pyrrolidin-2-Yl)Tetrazole: Development of Organocatalytic Processes from Batch to Continuous-Flow Conditions. Green Chem. 2012, 14, 992–1000. [Google Scholar] [CrossRef]
- Bortolini, O.; Cavazzini, A.; Giovannini, P.P.; Greco, R.; Marchetti, N.; Massi, A.; Pasti, L. A Combined Kinetic and Thermodynamic Approach for the Interpretation of Continuous-Flow Heterogeneous Catalytic Processes. Chem. Eur. J. 2013, 19, 7802–7808. [Google Scholar] [CrossRef]
- Greco, R.; Caciolli, L.; Zaghi, A.; Pandoli, O.; Bortolini, O.; Cavazzini, A.; Risi, C.D.; Massi, A. A Monolithic 5-(Pyrrolidin-2-Yl)Tetrazole Flow Microreactor for the Asymmetric Aldol Reaction in Water-Ethanol Solvent. React. Chem. Eng. 2015, 1, 183–193. [Google Scholar] [CrossRef]
- Ragno, D.; Carmine, G.D.; Brandolese, A.; Bortolini, O.; Giovannini, P.P.; Massi, A. Immobilization of Privileged Triazolium Carbene Catalyst for Batch and Flow Stereoselective Umpolung Processes. ACS Catal. 2017, 7, 6365–6375. [Google Scholar] [CrossRef]
- Warias, R.; Zaghi, A.; Heiland, J.J.; Piendl, S.K.; Gilmore, K.; Seeberger, P.H.; Massi, A.; Belder, D. An Integrated Lab-on-a-chip Approach to Study Heterogeneous Enantioselective Catalysts at the Microscale. Chemcatchem 2018, 10, 5382–5385. [Google Scholar] [CrossRef]
- Warias, R.; Ragno, D.; Massi, A.; Belder, D. A Visible-Light-Powered Polymerization Method for the Immobilization of Enantioselective Organocatalysts into Microreactors. Chem. Eur. J. 2020, 26, 13152–13156. [Google Scholar] [CrossRef]
- Risi, C.D.; Bortolini, O.; Brandolese, A.; Carmine, G.D.; Ragno, D.; Massi, A. Recent Advances in Continuous-Flow Organocatalysis for Process Intensification. React. Chem. Eng. 2020, 5, 1017–1052. [Google Scholar] [CrossRef]
- Ragno, D.; Leonardi, C.; Carmine, G.D.; Bortolini, O.; Brandolese, A.; Risi, C.D.; Massi, A. Regiodivergent Isosorbide Acylation by Oxidative N-Heterocyclic Carbene Catalysis in Batch and Continuous Flow. ACS Sustain. Chem. Eng. 2021, 9, 8295–8305. [Google Scholar] [CrossRef]
- Bortolini, O.; Cavazzini, A.; Dambruoso, P.; Giovannini, P.P.; Caciolli, L.; Massi, A.; Pacifico, S.; Ragno, D. Thiazolium-Functionalized Polystyrene Monolithic Microreactors for Continuous-Flow Umpolung Catalysis. Green Chem. 2013, 15, 2981–2992. [Google Scholar] [CrossRef]
- Leonardi, C.; Brandolese, A.; Preti, L.; Bortolini, O.; Polo, E.; Dambruoso, P.; Ragno, D.; Carmine, G.D.; Massi, A. Expanding the Toolbox of Heterogeneous Asymmetric Organocatalysts: Bifunctional Cyclopropenimine Superbases for Enantioselective Catalysis in Batch and Continuous Flow. Adv. Synth. Catal. 2021, 363, 5473–5485. [Google Scholar] [CrossRef]
- Westphal, H.; Warias, R.; Becker, H.; Spanka, M.; Ragno, D.; Gläser, R.; Schneider, C.; Massi, A.; Belder, D. Unveiling Organocatalysts Action-Investigating Immobilized Catalysts at Steady-State Operation via Lab-on-a-Chip Technology. Chemcatchem 2021, 13, 5089–5096. [Google Scholar] [CrossRef]
- Westphal, H.; Warias, R.; Weise, C.; Ragno, D.; Becker, H.; Spanka, M.; Massi, A.; Gläser, R.; Schneider, C.; Belder, D. An Integrated Resource-Efficient Microfluidic Device for Parallelised Studies of Immobilised Chiral Catalysts in Continuous Flow via Miniaturized LC/MS-Analysis. React. Chem. Eng. 2022, 7, 1936–1944. [Google Scholar] [CrossRef]
- Zhao, Y.; Chen, G.; Ye, C.; Yuan, Q. Gas-Liquid Two-Phase Flow in Microchannel at Elevated Pressure. Chem. Eng. Sci. 2013, 87, 122–132. [Google Scholar] [CrossRef]
- Peng, Z.; Wang, G.; Moghtaderi, B.; Doroodchi, E. A Review of Microreactors Based on Slurry Taylor (Segmented) Flow. Chem. Eng. Sci. 2021, 247, 117040. [Google Scholar] [CrossRef]
- Meléndez, J.; North, M.; Villuendas, P. One-component catalysts for cyclic carbonate synthesis. Chem. Commun. 2009, 18, 2577–2579. [Google Scholar] [CrossRef] [PubMed]
- Xin, X.; Shan, H.; Tian, T.; Wang, Y.; Yuan, D.; You, H.; Yao, Y. Conversion of CO2 into Cyclic Carbonates under Ambient Conditions Catalyzed by Rare-Earth Metal Complexes Bearing Poly(phenolato) Ligand. ACS Sustain. Chem. Eng. 2020, 8, 13185–13194. [Google Scholar] [CrossRef]







| Entry 1 | Solvent | Temp. (°C) | 3 (%) 2 | 4 (%) 2 |
|---|---|---|---|---|
| 1 | EtOH | reflux | 32 | 68 |
| 2 | EtOH | 60 | 21 | <5 |
| 3 | DMF | 80 | 24 | 76 |
| 4 | DMF | 70 | 18 | 27 |
| 5 | THF | reflux | 41 | 59 |
| 6 | neat | 25 | <5 | - |
| 7 | neat | 60 | 49 | - |
| 8 | neat | 75 | >95 | - |
![]() | ||||
|---|---|---|---|---|
| Entry 1 | Catalyst | Conv. (%) 2 | Sel. (%) 2 | 18a (%) 2 |
| 1 | 3 | 30 | >99 | 30 |
| 2 | 5 | 5 | >99 | 5 |
| 3 | 8 | 27 | >99 | 27 |
| 4 | 14 | 35 | >99 | 35 |
| 5 | 16 | 44 | >99 | 44 |
![]() | ||||||
|---|---|---|---|---|---|---|
| Entry 1 | 16 (mol%) | Temp. (°C) | Time (h) | Conv. (%) 2 | Sel. (%) 2 | 18a (%) 2 |
| 1 | 10 | 25 | 16 | 44 | >99 | 44 |
| 2 | 10 | 50 | 16 | 62 | >99 | 62 |
| 3 | 10 | 75 | 16 | >95 | >99 | 95 |
| 4 | 5 | 75 | 16 | >95 | >99 | 95 |
| 5 | 2 | 75 | 16 | 74 | >99 | 74 |
| 6 | 5 | 75 | 12 | 88 | >99 | 88 |
| 7 3 | 5 | 75 | 16 | 15 | >99 | 15 |
| 8 4 | 5 | 75 | 16 | 48 | >99 | 48 |
| 9 5 | 5 | 75 | 16 | 92 | >99 | 92 |
| Entry 1 | 18 | Conv. (%) 2 | P3 |
|---|---|---|---|
| 1 | 18a | >95 | 20.1 |
| 2 | 18b | 90 | 18.0 |
| 3 | 18c | >95 | 20.0 |
| 4 | 18d | 86 | 17.2 |
| 5 | 18e | 91 | 18.1 |
| 6 | 18f | >95 | 20.0 |
| 7 | 18f | 92 | 18.4 |
Disclaimer/Publisher’s Note: The statements, opinions and data contained in all publications are solely those of the individual author(s) and contributor(s) and not of MDPI and/or the editor(s). MDPI and/or the editor(s) disclaim responsibility for any injury to people or property resulting from any ideas, methods, instructions or products referred to in the content. |
© 2023 by the authors. Licensee MDPI, Basel, Switzerland. This article is an open access article distributed under the terms and conditions of the Creative Commons Attribution (CC BY) license (https://creativecommons.org/licenses/by/4.0/).
Share and Cite
Poletti, L.; Rovegno, C.; Di Carmine, G.; Vacchi, F.; Ragno, D.; Brandolese, A.; Massi, A.; Dambruoso, P. Efficiency in Carbon Dioxide Fixation into Cyclic Carbonates: Operating Bifunctional Polyhydroxylated Pyridinium Organocatalysts in Segmented Flow Conditions. Molecules 2023, 28, 1530. https://doi.org/10.3390/molecules28041530
Poletti L, Rovegno C, Di Carmine G, Vacchi F, Ragno D, Brandolese A, Massi A, Dambruoso P. Efficiency in Carbon Dioxide Fixation into Cyclic Carbonates: Operating Bifunctional Polyhydroxylated Pyridinium Organocatalysts in Segmented Flow Conditions. Molecules. 2023; 28(4):1530. https://doi.org/10.3390/molecules28041530
Chicago/Turabian StylePoletti, Lorenzo, Caterina Rovegno, Graziano Di Carmine, Filippo Vacchi, Daniele Ragno, Arianna Brandolese, Alessandro Massi, and Paolo Dambruoso. 2023. "Efficiency in Carbon Dioxide Fixation into Cyclic Carbonates: Operating Bifunctional Polyhydroxylated Pyridinium Organocatalysts in Segmented Flow Conditions" Molecules 28, no. 4: 1530. https://doi.org/10.3390/molecules28041530
APA StylePoletti, L., Rovegno, C., Di Carmine, G., Vacchi, F., Ragno, D., Brandolese, A., Massi, A., & Dambruoso, P. (2023). Efficiency in Carbon Dioxide Fixation into Cyclic Carbonates: Operating Bifunctional Polyhydroxylated Pyridinium Organocatalysts in Segmented Flow Conditions. Molecules, 28(4), 1530. https://doi.org/10.3390/molecules28041530



