Sedimentation of a Charged Soft Sphere within a Charged Spherical Cavity
Abstract
1. Introduction
2. Electrokinetic Equations
2.1. Differential Equations
2.2. Boundary Conditions
3. Solution of Electrokinetic Equations
3.1. Equilibrium Electric Potential
3.2. Small Perturbations
3.3. Forces on the Particle
3.4. Sedimentation Velocity
4. Results and Discussion
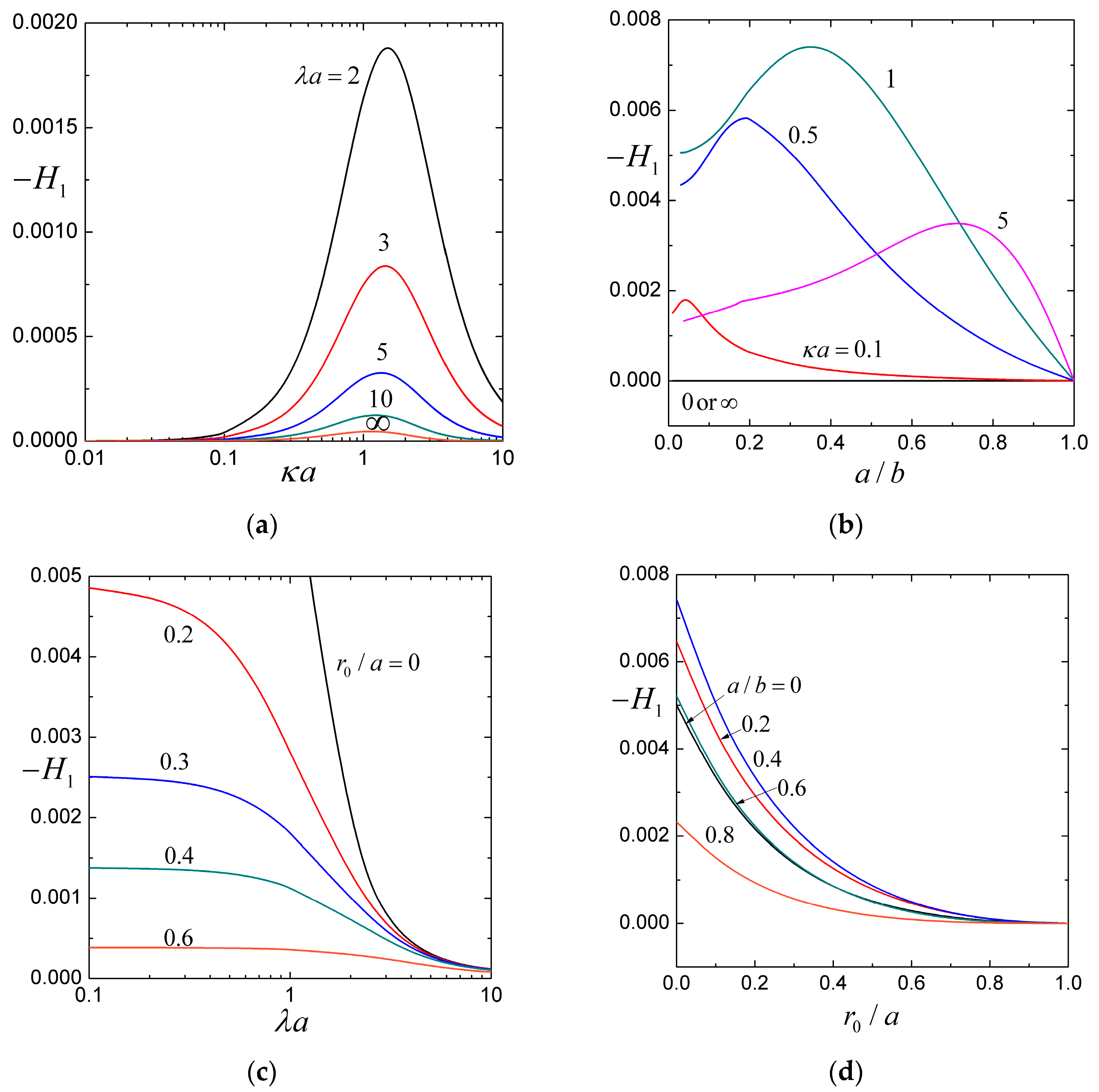
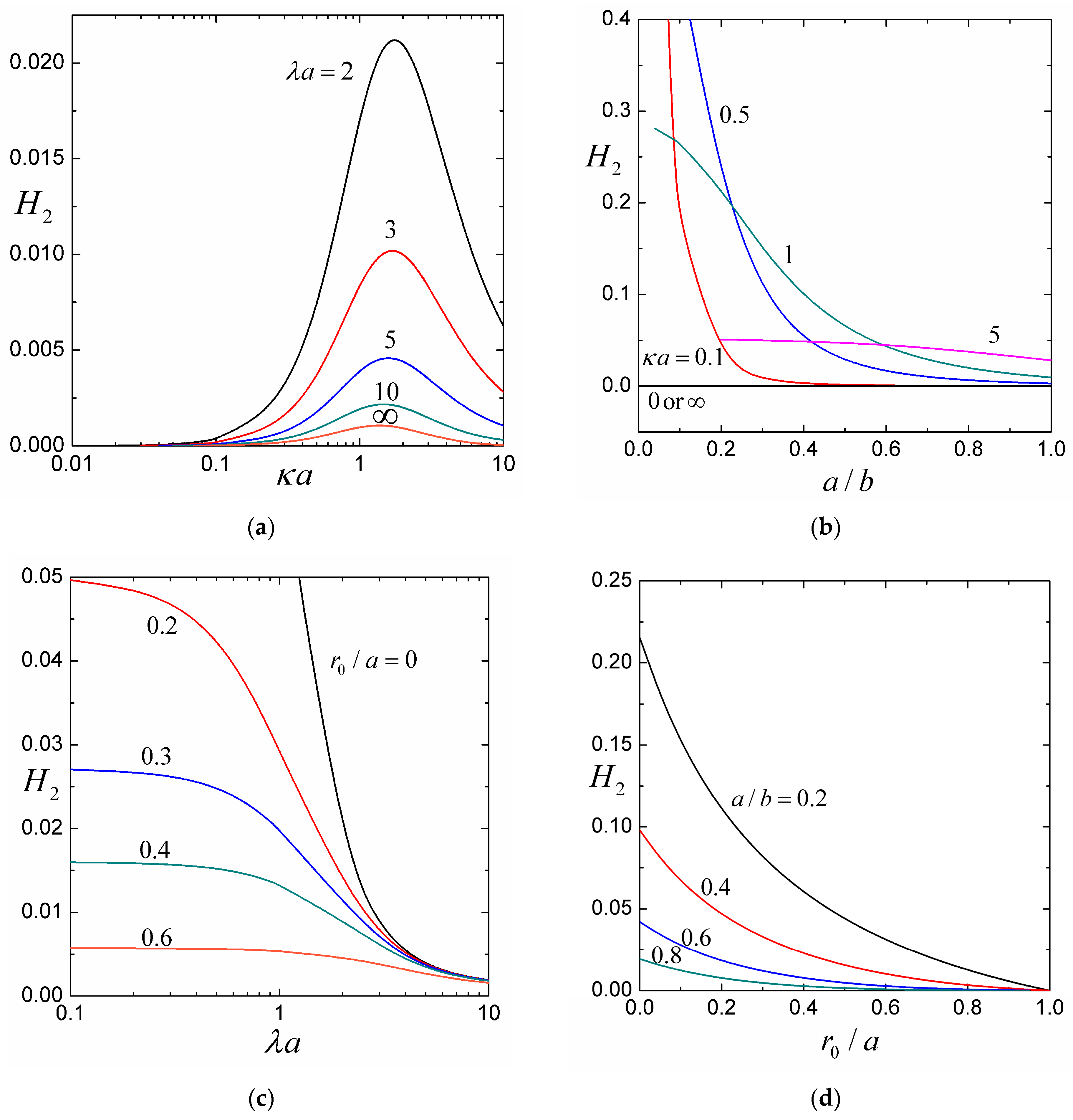
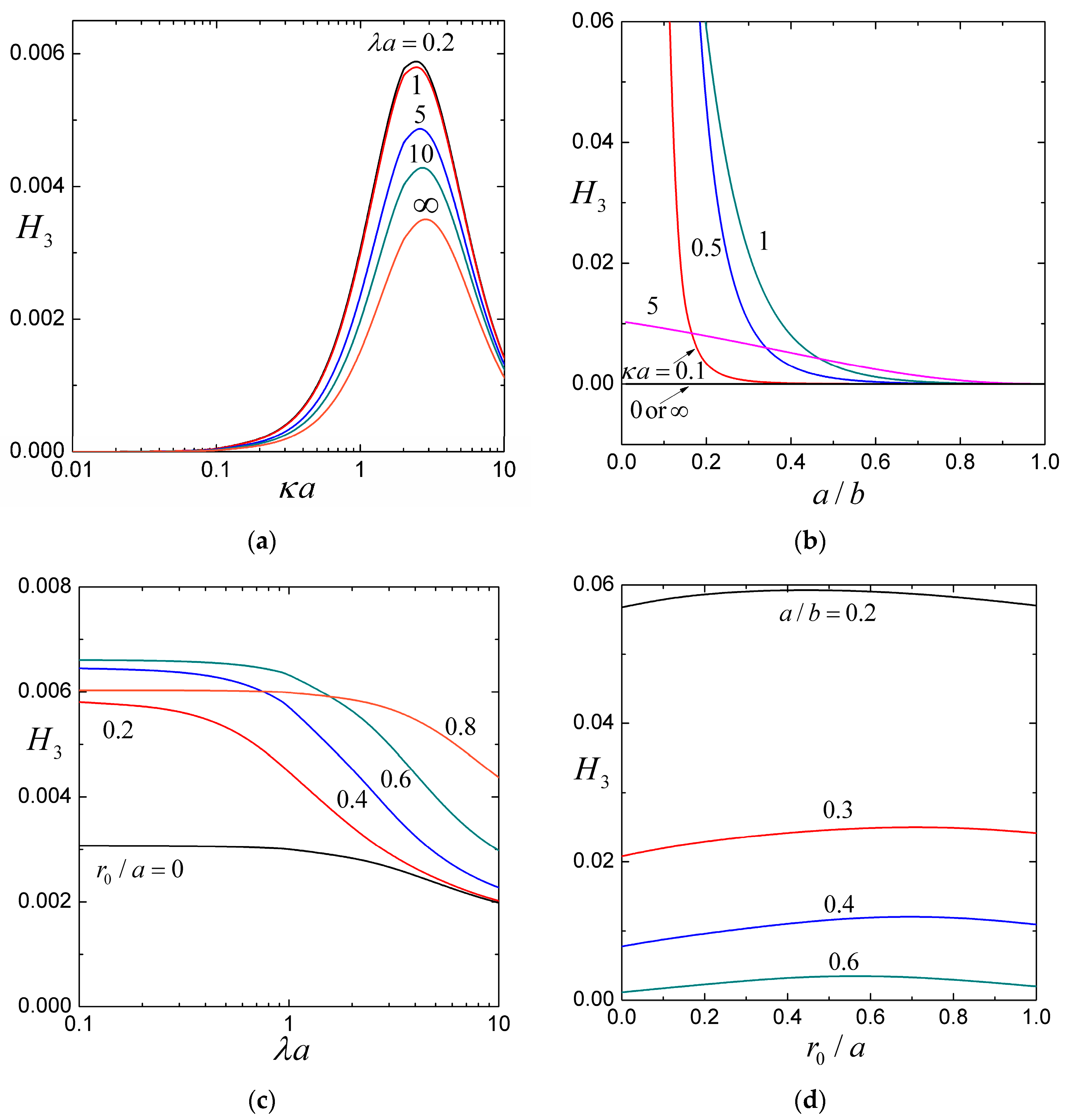
4.1. The Coefficients , , and
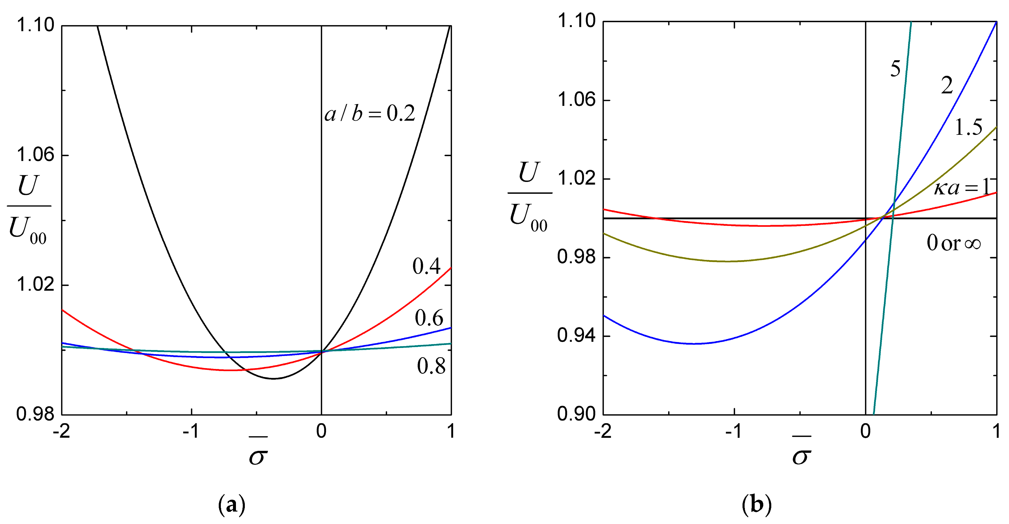
4.2. The Normalized Sedimentation Velocity
5. Conclusions
Author Contributions
Funding
Institutional Review Board Statement
Informed Consent Statement
Data Availability Statement
Conflicts of Interest
Appendix A
References
- Adachi, Y. Sedimentation and Electrophoresis of a Porous Floc and a Colloidal Particle Coated with Polyelectrolytes. Curr. Opin. Colloid Interface Sci. 2016, 24, 72–78. [Google Scholar] [CrossRef]
- Satoh, A. Sedimentation Behavior of Dispersions Composed of Large and Small Charged Colloidal Particles: Development of New Technology to Improve the Visibility of Small Lakes and Ponds. Environ. Eng. Sci. 2015, 32, 528–538. [Google Scholar] [CrossRef]
- Khair, A.S. Strong Deformation of the Thick Electric Double Layer around a Charged Particle during Sedimentation or Electrophoresis. Langmuir 2018, 34, 876–885. [Google Scholar] [CrossRef] [PubMed]
- Gopmandal, P.P.; Bhattacharyya, S.; Barman, B. Effect of Induced Electric Field on Migration of a Charged Porous Particle. Eur. Phys. J. E 2014, 37, 104. [Google Scholar] [CrossRef] [PubMed]
- Booth, F. Sedimentation Potential and Velocity of Solid Spherical Particles. J. Chem. Phys. 1954, 22, 1956–1968. [Google Scholar] [CrossRef]
- Stigter, D. Sedimentation of Highly Charged Colloidal Spheres. J. Phys. Chem. 1980, 84, 2758–2762. [Google Scholar] [CrossRef]
- Ohshima, H.; Healy, T.W.; White, L.R.; O’Brien, R.W. Sedimentation Velocity and Potential in a Dilute Suspension of Charged Spherical Colloidal Particles. J. Chem. Soc. Faraday Trans. 2 1984, 80, 1299–1317. [Google Scholar] [CrossRef]
- Zholkovskiy, E.K.; Masliyah, J.H.; Shilov, V.N.; Bhattacharjee, S. Electrokinetic Phenomena in Concentrated Disperse Systems: General Problem Formulation and Spherical Cell Approach. Adv. Colloid Interface Sci. 2007, 134–135, 279–321. [Google Scholar] [CrossRef] [PubMed]
- Carrique, F.; Arroyo, F.J.; Delgado, A.V. Sedimentation Velocity and Potential in a Concentrated Colloidal Suspension: Effect of a Dynamic Stern Layer. Colloids Surf. A 2001, 195, 157–169. [Google Scholar] [CrossRef]
- Keh, H.J.; Ding, J.M. Sedimentation Velocity and Potential in Concentrated Suspensions of Charged Spheres with Arbitrary Double-Layer Thickness. J. Colloid Interface Sci. 2000, 227, 540–552. [Google Scholar] [CrossRef]
- Ohshima, H. Sedimentation Potential in a Concentrated Suspension of Spherical Colloidal Particles. J. Colloid Interface Sci. 1998, 208, 295–301. [Google Scholar] [CrossRef]
- Levine, S.; Neale, G.; Epstein, N. The Prediction of Electrokinetic Phenomena within Multiparticle Systems II. Sedimentation Potential. J. Colloid Interface Sci. 1976, 57, 424–437. [Google Scholar] [CrossRef]
- Keh, H.J.; Chen, W.C. Sedimentation Velocity and Potential in Concentrated Suspensions of Charged Porous Spheres. J. Colloid Interface Sci. 2006, 296, 710–720. [Google Scholar] [CrossRef]
- Hermans, J.J. Sedimentation and Electrophoresis of Porous Spheres. J. Polym. Sci. 1955, 18, 527–533. [Google Scholar] [CrossRef]
- Chiu, Y.S.; Keh, H.J. Sedimentation Velocity and Potential in a Concentrated Suspension of Charged Soft Spheres. Colloids Surf. A 2014, 440, 185–196. [Google Scholar] [CrossRef]
- Ohshima, H. Sedimentation Potential and Velocity in a Concentrated Suspension of Soft Particles. J. Colloid Interface Sci. 2000, 229, 140–147. [Google Scholar] [CrossRef]
- Jiemvarangkula, P.; Zhang, W.; Lien, H.-L. Enhanced Transport of Polyelectrolyte Stabilized Nanoscale Zero-Valent Iron (nZVI) in Porous Media. Chem. Eng. J. 2011, 170, 482–491. [Google Scholar] [CrossRef]
- Lee, S.Y.; Yalcin, S.E.; Joo, S.W.; Sharma, A.; Baysal, O.; Qian, S. The Effect of Axial Concentration Gradient on Electrophoretic Motion of a Charged Spherical Particle in a Nanopore. Microgravity Sci. Technol. 2010, 22, 329–338. [Google Scholar] [CrossRef]
- Prakash, J. Hydrodynamic mobility of a porous spherical particle with variable permeability in a spherical cavity. Microsyst. Technol. 2020, 26, 2601–2614. [Google Scholar] [CrossRef]
- Lee, T.C.; Keh, H.J. Slow Motion of a Spherical Particle in a Spherical Cavity with Slip Surfaces. Int. J. Eng. Sci. 2013, 69, 1–15. [Google Scholar] [CrossRef]
- Chen, S.B.; Ye, X. Boundary effect on slow motion of a composite sphere perpendicular to two parallel impermeable plates. Chem. Eng. Sci. 2000, 55, 2441–2453. [Google Scholar] [CrossRef]
- Kim, S.; Karrila, S.J. Microhydrodynamics: Principles and Selected Applications; Dover: Mineola, NY, USA, 2005. [Google Scholar]
- Happel, J.; Brenner, H. Low Reynolds Number Hydrodynamics; Nijhoff: Dordrecht, The Netherlands, 1983. [Google Scholar]
- Pujar, N.S.; Zydney, A.L. Boundary Effects on the Sedimentation and Hindered Diffusion of Charged Particles. AIChE J. 1996, 42, 2101–2111. [Google Scholar] [CrossRef]
- Lee, E.; Yen, C.-B.; Hsu, J.-P. Sedimentation of a Nonconducting Sphere in a Spherical Cavity. J. Phys. Chem. B 2000, 104, 6815–6820. [Google Scholar] [CrossRef]
- Keh, H.J.; Cheng, T.F. Sedimentation of a Charged Colloidal Sphere in a Charged Cavity. J. Chem. Phys. 2011, 135, 214706. [Google Scholar] [CrossRef]
- Chang, Y.J.; Keh, H.J. Sedimentation of a Charged Porous Particle in a Charged Cavity. J. Phys. Chem. B 2013, 117, 12319–12327. [Google Scholar] [CrossRef]
- Masliyah, J.H.; Polikar, M. Terminal Velocity of Porous Spheres. Can. J. Chem. Eng. 1980, 58, 299–302. [Google Scholar] [CrossRef]
- Matsumoto, K.; Suganuma, A. Settling Velocity of a Permeable Model Floc. Chem. Eng. Sci. 1977, 32, 445–447. [Google Scholar] [CrossRef]
- Aoyanagi, O.; Muramatsu, N.; Ohshima, H.; Kondo, T. Electrophoretic Behavior of PolyA-Graft-PolyB-Type Microcapsules. J. Colloid Interface Sci. 1994, 162, 222–226. [Google Scholar] [CrossRef]
- Morita, K.; Muramatsu, N.; Ohshima, H.; Kondo, T. Electrophoretic Behavior of Rat Lymphocyte Subpopulations. J. Colloid Interface Sci. 1991, 147, 457–461. [Google Scholar] [CrossRef]
- Kawahata, S.; Ohshima, H.; Muramatsu, N.; Kondo, T. Charge Distribution in the Surface Region of Human Erythrocytes as Estimated from Electrophoretic Mobility Data. J. Colloid Interface Sci. 1990, 138, 182–186. [Google Scholar] [CrossRef]
- Ahualli, S.; Jimenez, M.L.; Carrique, F.; Delgado, A.V. AC Electrokinetics of Concentrated Suspensions of Soft Particles. Langmuir 2009, 25, 1986–1997. [Google Scholar] [CrossRef]
- Lopez-Garcia, J.J.; Grosse, C.; Horno, J. Numerical Calculation of the Electrophoretic Mobility of Concentrated Suspensions of Soft Particles. J. Colloid Interface Sci. 2006, 301, 651–659. [Google Scholar] [CrossRef]
- Koplik, J.; Levine, H.; Zee, A. Velocity Renormalization in the Brinkman Equation. Phys. Fluids 1983, 26, 2864–2870. [Google Scholar] [CrossRef]
- Neale, G.; Epstein, N.; Nader, W. Creeping Flow Relative to Permeable Spheres. Chem. Eng. Sci. 1973, 28, 1865–1874. [Google Scholar] [CrossRef]
- Chen, W.J.; Keh, H.J. Electrophoresis of a charged soft particle in a charged cavity with arbitrary double-layer thickness. J. Phys. Chem. B 2013, 117, 9757–9767. [Google Scholar] [CrossRef]
- Makino, K.; Yamamoto, S.; Fujimoto, K.; Kawaguchi, H.; Ohshima, H. Surface Structure of Latex Particles Covered with Temperature-Sensitive Hydrogel Layers. J. Colloid Interface Sci. 1994, 166, 251–258. [Google Scholar] [CrossRef]
- Blaakmeer, J.; Bohmer, M.R.; Cohen Stuart, M.A.; Fleer, G.J. Adsorption of Weak Polyelectrolytes on Highly Charged Surfaces. Poly(Acrylic Acid) on Polystyrene Latex with Strong Cationic Groups. Macromolecules 1990, 23, 2301–2309. [Google Scholar] [CrossRef]
- Keh, H.J.; Chou, J. Creeping Motions of a Composite Sphere in a Concentric Spherical Cavity. Chem. Eng. Sci. 2004, 59, 407–415. [Google Scholar] [CrossRef]
- Li, L.; Chen, S.; Wang, S.; Tao, X.; Zhu, X.; Cheng, G.; Gui, D. Influence of pickling on the surface composition and flotability of Daliuta long-flame coal. Powder Technol. 2019, 352, 413–421. [Google Scholar] [CrossRef]
- Xu, F.; Wang, S.; Kong, R.; Wang, C. Synergistic effects of dodecane-castor oil acid mixture on the flotation responses of low-rank coal: A combined simulation and experimental study. Int. J. Min. Sci. Technol. 2023, 33, 649–658. [Google Scholar] [CrossRef]
- Lin, Y.J. Sedimentation of a Charged soft Particle in a Charged Cavity. Master’s Thesis, National Taiwan University, Taipei, Taiwan, 2024. [Google Scholar]






| Disclaimer/Publisher’s Note: The statements, opinions and data contained in all publications are solely those of the individual author(s) and contributor(s) and not of MDPI and/or the editor(s). MDPI and/or the editor(s) disclaim responsibility for any injury to people or property resulting from any ideas, methods, instructions or products referred to in the content. | 
© 2024 by the authors. Licensee MDPI, Basel, Switzerland. This article is an open access article distributed under the terms and conditions of the Creative Commons Attribution (CC BY) license (https://creativecommons.org/licenses/by/4.0/).
Share and Cite
Lin, Y.-J.; Keh, H.J. Sedimentation of a Charged Soft Sphere within a Charged Spherical Cavity. Molecules 2024, 29, 3087. https://doi.org/10.3390/molecules29133087
Lin Y-J, Keh HJ. Sedimentation of a Charged Soft Sphere within a Charged Spherical Cavity. Molecules. 2024; 29(13):3087. https://doi.org/10.3390/molecules29133087
Chicago/Turabian StyleLin, Yong-Jie, and Huan J. Keh. 2024. "Sedimentation of a Charged Soft Sphere within a Charged Spherical Cavity" Molecules 29, no. 13: 3087. https://doi.org/10.3390/molecules29133087
APA StyleLin, Y.-J., & Keh, H. J. (2024). Sedimentation of a Charged Soft Sphere within a Charged Spherical Cavity. Molecules, 29(13), 3087. https://doi.org/10.3390/molecules29133087
 
        



