High-Efficiency Photo-Fenton-like Catalyst of FeOOH/g-C3N4 for the Degradation of PNP: Characterization, Catalytic Performance and Mechanism Exploration
Abstract
1. Introduction
2. Experimental
2.1. Materials
2.2. Preparation of FeOOH/g-C3N4
2.3. Characterization
2.4. Experimental Procedures
2.5. Analytical Methods
3. Results and Discussion
3.1. Evaluation of FeOOH/g-C3N4 Catalytic Performance in Different Preparation Conditions
3.2. Characterizations of FeOOH/g-C3N4
3.2.1. Crystal Structure Analysis
3.2.2. Microtopography Analysis
3.2.3. Analysis of Specific Surface Area and Aperture Structure
3.2.4. Optical Property Analysis
3.3. Catalytic Performance of Different Degradation Processes
3.4. Effect of Reaction Conditions on the Decomposition of PNP
3.4.1. Effect of H2O2 Dosage
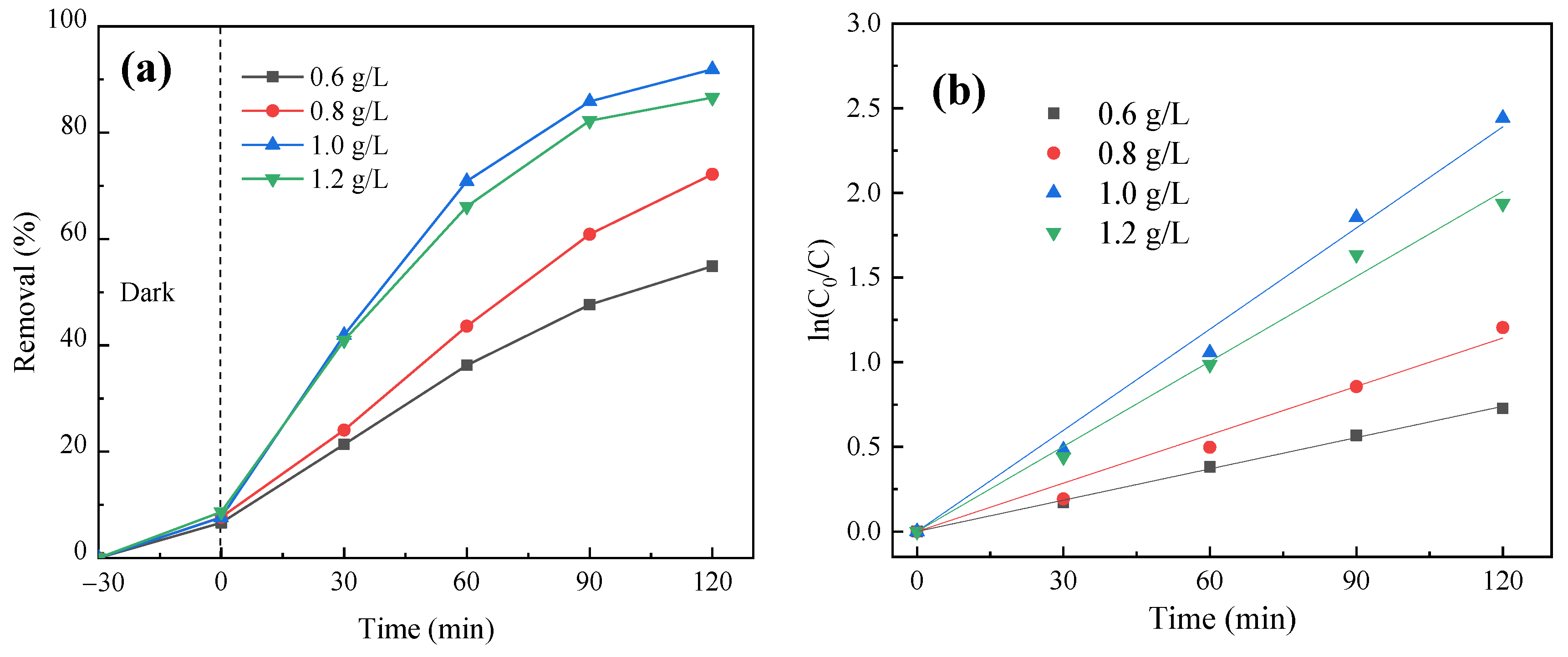
3.4.2. Effect of Catalyst Dosage
3.4.3. Effect of Initial pH Value
3.4.4. Effect of PNP Initial Concentration
3.4.5. Stability of FeOOH/g-C3N4
3.5. Identification of Active Species in the Photo-Fenton-like Process
3.6. Comparison with Other Results about Modification of g-C3N4
4. Conclusions
Author Contributions
Funding
Institutional Review Board Statement
Informed Consent Statement
Data Availability Statement
Conflicts of Interest
References
- Ding, Z.; Zhang, H. Research and application of advanced oxidation technology in refractory organic wastewater. Chem. Adhes. 2010, 32, 72–75. [Google Scholar]
- Raha, S.; Ahmaruzzaman, M. Facile fabrication of g-C3N4 supported Fe3O4 nanoparticles/ZnO nanorods: A superlative visible light responsive architecture for express degradation of pantoprazole. Chem. Eng. J. 2020, 387, 123766. [Google Scholar] [CrossRef]
- Zapata, A.; Malato, S.; Sanchez-Perez, J.A.; Oller, I.; Maldonado, M.I. Scale-up strategy for a combined solar photo-Fenton/biological system for remediation of pesticide-contaminated water. Catal. Today 2010, 151, 100–106. [Google Scholar] [CrossRef]
- De Torres-Socias, E.; Prieto-Rodriguez, L.; Zapata, A.; Fernandez-Calderero, I.; Oller, I.; Malato, S. Detailed treatment line for a specific landfill leachate remediation. Brief economic assessment. Chem. Eng. J. 2015, 261, 60–66. [Google Scholar] [CrossRef]
- Silva, T.F.; Fonseca, A.; Saraiva, I.; Boaventura, R.A.; Vilar, V.J. Scale-up and cost analysis of a photo-Fenton system for sanitary landfill leachate treatment. Chem. Eng. J. 2016, 283, 76–88. [Google Scholar] [CrossRef]
- Lin, Z.; Zhao, L.; Dong, Y.; Xu, J. Degradation of PCB28 by hydrogen peroxide catalyzed by goebite. Acta Sci. Circumstafica Sin. 2011, 31, 2043–2048. [Google Scholar]
- Qian, X.; Wu, Y.; Kan, M.; Fang, M.; Yue, D.; Zeng, J.; Zhao, Y. FeOOH quantum dots coupled g-C3N4 for visible light driving photo- Fenton degradation of organic pollutants. Appl. Catal. B Environ. 2018, 237, 513–520. [Google Scholar] [CrossRef]
- Xu, J.; Li, Y.; Yuan, B.; Cui, H.; Fu, M. Degradation of dichlofenac sodium by visible light catalyzed by α-FeOOH and H2O2. Environ. Sci. 2015, 36, 2122–2128. [Google Scholar]
- Huang, Z.; Han, F.; Li, M.; Zhou, Z.; Guan, X.; Guo, L. Which phase of iron oxyhydroxides (FeOOH) is more competent in overall water splitting as a photocatalyst, goethite, akaganeite or lepidocrocite? A DFT-based investigation. Comput. Mater. Sci. 2019, 169, 109110. [Google Scholar] [CrossRef]
- Wang, C.; Li, A.; Shuang, C. The effect on ozone catalytic performance of prepared-FeOOH by different precursors. J. Environ. Manag. 2018, 228, 158–164. [Google Scholar] [CrossRef]
- Wu, P.; Zhou, C.; Li, Y.; Zhang, M.; Tao, P.; Liu, Q.; Cui, W. Flower-like FeOOH hybridized with carbon quantum dots for efficient photo-Fenton degradation of organic pollutants. Appl. Surf. Sci. 2021, 540, 148362, (prepublish). [Google Scholar] [CrossRef]
- Guo, L.; Zhang, K.; Han, X.; Zhao, Q.; Wang, D.; Fu, F.; Liang, Y. Highly efficient visible-light-driven photo-Fenton catalytic performance over FeOOH/Bi2WO6 composite for organic pollutant degradation. J. Alloys Compd. 2020, 816, 152560. [Google Scholar] [CrossRef]
- Zhang, Y.; Pang, S.; Yu, L.; Liu, L. Research progress of photocatalytic degradation of phenol by modified TiO2. Environ. Dev. 2020, 32, 112–113. [Google Scholar]
- Sim, L.C.; Koh, K.S.; Leong, K.H.; Chin, Y.H.; Abd Aziz, A.; Saravanan, P. In situ growth of g-C3N4 on TiO2 nanotube arrays: Construction of heterostructures for improved photocatalysis properties. J. Environ. Chem. Eng. 2020, 8, 103611. [Google Scholar] [CrossRef]
- Tan, C.; Li, Y.; Liu, H.; Li, J.; Xia, Z.; Zuo, J.; Zhao, L. AgBr/ZnO composite photocatalyst and Its photocatalytic performance. J. Chin. Ceram. Soc. 2021, 49, 202–210. [Google Scholar]
- Ravichandran, K.; Kalpana, K.; Uma, R.; Sindhuja, E. Cost-effective fabrication of ZnO/g-C3N4 composite film coated stainless steel meshes for visible light responsive photocatalysis. Mater. Res. Bull. 2018, 99, 268–280. [Google Scholar] [CrossRef]
- Mamba, G.; Mishra, A.K. Graphitic carbon nitride (g-C3N4) nanocomposites: A new and exciting generation of visible light driven photocatalysts for environmental pollution remediation. Appl. Catal. B Environ. 2016, 198, 347–377. [Google Scholar] [CrossRef]
- Wang, X.; Maeda, K.; Thomas, A.; Takanabe, K.; Xin, G.; Carlsson, J.M.; Domen, K.; Antonietti, M. A metal-free polymeric photocatalyst for hydrogen production from water under visible light. Nat. Mater. 2009, 8, 76–80. [Google Scholar] [CrossRef] [PubMed]
- Ismael, M. A review on graphitic carbon nitride (g-C3N4) based nanocomposites: Synthesis, categories, and their application in photocatalysis. J. Alloys Compd. 2020, 846, 156446. [Google Scholar] [CrossRef]
- Ma, T.; Shen, Q.; Zhao, B.; Xue, J.; Guan, R.; Liu, X.; Jia, H.; Xu, B. Facile synthesis of Fe-doped g-C3N4 for enhanced visible-light photocatalytic activity. Inorg. Chem. Commun. 2019, 107, 107451. [Google Scholar] [CrossRef]
- Patnaik, S.; Dipti, P.S.; Parida, K. Recent advances in anion doped g-C3N4 photocatalysts: A review. Carbon 2021, 172, 682–711. [Google Scholar] [CrossRef]
- Liu, S.; Zhu, H.; Yao, W.; Chen, K.; Chen, D. One step synthesis of P-doped g-C3N4 with the enhanced visible light photocatalytic activity. Appl. Surf. Sci. 2018, 430, 309–315. [Google Scholar] [CrossRef]
- Chen, X.; Hu, T.; Zhang, J.; Yang, C.; Dai, K.; Pam, C. Diethylenetriamine synergistic boosting photocatalytic performance with porous g-C3N4/CdS-diethylenetriamine 2D/2D S-scheme heterojunction. J. Alloys Compd. 2021, 863, 158068. [Google Scholar] [CrossRef]
- She, X.; Wu, J.; Xu, H.; Zhong, J.; Wang, Y.; Song, Y.; Nie, K.; Liu, Y.; Yang, Y. High efficiency photocatalytic water splitting using 2D alpha- Fe2O3/g-C3N4 Z-scheme catalysts. Adv. Energy Mater. 2017, 7, 1700025. [Google Scholar] [CrossRef]
- Sun, S.; Liang, S. Recent advances in functional mesoporous graphitic carbon nitride (mpg-C3N4) polymers. Nanoscale 2017, 9, 10544–10578. [Google Scholar] [CrossRef] [PubMed]
- Jiang, L.; Yuan, X.; Pan, Y.; Liang, J.; Zeng, G.; Wu, Z.; Wang, H. Doping of graphitic carbon nitride for photocatalysis: A review. Appl. Catal. B Environ. 2017, 217, 388–406. [Google Scholar] [CrossRef]
- Hu, J.; Zhang, P.; An, W.; Liu, L.; Liang, Y.; Wang, H. In-situ Fe-doped g-C3N4 heterogeneous catalyst via photocatalysis-Fenton reaction with enriched photocatalytic performance for removal of complex wastewater. Appl. Catal. B Environ. 2019, 245, 130–142. [Google Scholar] [CrossRef]
- Luo, J.; Lin, P.; Zheng, P.; Zhou, X.; Ning, X.; Zhan, L.; Wu, Z.; Liu, X.; Zhou, X. In suit constructing S-scheme FeOOH/MgIn2S4 heterojunction with boosted interfacial charge separation and redox activity for efficiently eliminating antibiotic pollutant. Chemosphere 2022, 298, 134297. [Google Scholar] [CrossRef] [PubMed]
- Zhang, Y.; Shi, L.; Geng, Z.; Ren, T.; Yang, Z. The improvement of photocatalysis O2 production over BiVO4 with amorphous FeOOH shell modification. Sci. Rep. 2019, 9, 19090. [Google Scholar] [CrossRef]
- Yehia, F.Z.; Eshaq, G.; Elmetwally, A.E. Enhancement of the working pH range for degradation of p-nitrophenol using Fe2+-aspartate and Fe2+-glutamate complexes as modified Fenton reagents. Egypt. J. Pet. 2016, 25, 239–245. [Google Scholar] [CrossRef]
- Xu, R. Research progress of catalytic degradation of p-nitrophenol in water. Guangdong Chem. Ind. 2019, 46, 64–65+75. [Google Scholar]
- Bekena, F.T.; Abdullah, H.; Kuo, D.H.; Zeleke, M.A. Photocatalytic reduction of 4-nitrophenol using effective hole scavenger over novel Mg-doped Zn(O,S) nanoparticles. J. Ind. Eng. Chem. 2019, 78, 116–124. [Google Scholar] [CrossRef]
- Xiao, H.; Wang, W.; Liu, G.; Chen, Z.; Lv, K.; Zhu, J. Photocatalytic performances of g-C3N4 based catalysts for RhB degradation: Effect of preparation conditions. Appl. Surf. Sci. 2015, 358, 313–318. [Google Scholar] [CrossRef]
- Ismael, M. The photocatalytic performance of the ZnO/g-C3N4 composite photocatalyst toward degradation of organic pollutants and its inactivity toward hydrogen evolution: The influence of light irradiation and charge transfer. Chem. Phys. Lett. 2020, 739, 136992. [Google Scholar] [CrossRef]
- Wang, Y.; Wang, H.; Chen, F.; Cao, F.; Zhao, X.; Meng, S.; Cui, Y. Facile synthesis of oxygen doped carbon nitride hollow microsphere for photocatalysis. Appl. Catal. B Environ. 2017, 206, 417–425. [Google Scholar] [CrossRef]
- Wu, X.; Zhao, Q.; Guo, F.; Xia, G.; Tan, X.; Lv, H.; Feng, Z.; Wu, W.; Zheng, J.; Wu, M. Porous g-C3N4 and α-FeOOH bridged by carbon dots as synergetic visible-light-driven photo-fenton catalysts for contaminated water remediation. Carbon 2021, 183, 628–640. [Google Scholar] [CrossRef]
- Sun, Y.; Wang, Y.; Chen, Y.; Qian, J.; Chen, F.; Zhou, Z.; Han, C.; Shi, Y.; Lu, X.; Ni, C. In-situ construction of 1D β-FeOOH nanobelts/2D porous g-C3N4 heterojunction for enhanced “signal-on” photoelectrochemical aptasensing. J. Alloys Compd. 2024, 990, 174383. [Google Scholar] [CrossRef]
- Wang, Q.; Xu, P.; Zhang, G.; Hu, L.; Wang, P. Visible-light responsive g-C3N4 coupled with ZnS nanoparticles via a rapid microwave route: Characterization and enhanced photocatalytic activity. Appl. Surf. Sci. 2019, 488, 360–369. [Google Scholar] [CrossRef]
- Yan, S.; Li, Z.; Zou, Z. Photodegradation Performance of g-C3N4 Fabricated by Directly Heating Melamine. Langmuir 2009, 25, 10397–10401. [Google Scholar] [CrossRef]
- Dong, F.; Wang, Z.; Sun, Y.; Ho, W.K.; Zhang, H. Engineering the nanoarchitecture and texture of polymeric carbon nitride semiconductor for enhanced visible light photocatalytic activity. J. Colloid Interface Sci. 2013, 401, 70–79. [Google Scholar] [CrossRef]
- Xiao, D.; Dai, K.; Qu, Y.; Yin, Y.; Chen, H. Hydrothermal synthesis of α-Fe2O3/g-C3N4 composite and its efficient photocatalytic reduction of Cr(VI) under visible light. Appl. Surf. Sci. 2015, 358, 181–187. [Google Scholar] [CrossRef]
- Zhang, B.; Wang, Q.; Zhuang, J.; Guan, S.; Li, B. Molten salt assisted in-situ synthesis of TiO2/g-C3N4 composites with enhanced visible-light-driven photocatalytic activity and adsorption ability. J. Photochem. Photobiol. A Chem. 2018, 362, 1–13. [Google Scholar] [CrossRef]















| H2O2 Dosage (mmol L−1) | Kinetic Equation | Speed Constant k (min−1) | R2 |
|---|---|---|---|
| 2.0 | y = 0.00863x | 0.00863 | 0.99412 |
| 3.0 | y = 0.0145x | 0.0145 | 0.99379 |
| 4.0 | y = 0.01992x | 0.01992 | 0.99543 |
| 5.0 | y = 0.02161x | 0.02161 | 0.99293 |
| Catalyst Dosage (mg L−1) | Kinetic Equation | Speed Constant k (min−1) | R2 |
|---|---|---|---|
| 0.6 | y = 0.00616x | 0.00616 | 0.99924 |
| 0.8 | y = 0.00952x | 0.00952 | 0.99085 |
| 1.0 | y = 0.01992x | 0.01992 | 0.99543 |
| 1.2 | y = 0.01674x | 0.01674 | 0.99574 |
| Initial pH Value | Kinetic Equation | Kinetic Equation k (min−1) | R2 |
|---|---|---|---|
| 3 | y = 0.02469x | 0.02469 | 0.99628 |
| 5 | y = 0.02079x | 0.02079 | 0.99916 |
| 7 | y = 0.01441x | 0.01441 | 0.99292 |
| 9 | y = 0.01098x | 0.01098 | 0.9901 |
| Initial Conc. of PNP (mg L−1) | Kinetic Equation | Kinetic Equation k (min−1) | R2 |
|---|---|---|---|
| 5 | y = 0.02712x | 0.02712 | 0.99774 |
| 10 | y = 0.02079x | 0.02079 | 0.99916 |
| 15 | y = 0.01011x | 0.01011 | 0.99701 |
| 20 | y = 0.00781x | 0.00781 | 0.99443 |
| Catalysts | Target Pollutant | Light Sources | Degradation Time (min) | Degradation Rate (%) | Refs |
|---|---|---|---|---|---|
| Al2O3/g-C3N4 | RhB | 300 W Xe lamp | 120 | 83 | [38] |
| ZnO/g-C3N4 | MO | 150 W Xe lamp | 300 | 65 | [39] |
| O-g-C3N4 | Cr(VI) | 300 W Xe lamp | 60 | 80 | [40] |
| α-Fe2O3/g-C3N4 | Cr(VI) | 300 W Xe lamp | 150 | 98 | [41] |
| TiO2/g-C3N4 | RhB | 300 W Xe lamp | 180 | 80 | [42] |
| FeOOH/g-C3N4 | brilliant blue | 500 W Xe lamp | 30 | 99 | Present work |
Disclaimer/Publisher’s Note: The statements, opinions and data contained in all publications are solely those of the individual author(s) and contributor(s) and not of MDPI and/or the editor(s). MDPI and/or the editor(s) disclaim responsibility for any injury to people or property resulting from any ideas, methods, instructions or products referred to in the content. |
© 2024 by the authors. Licensee MDPI, Basel, Switzerland. This article is an open access article distributed under the terms and conditions of the Creative Commons Attribution (CC BY) license (https://creativecommons.org/licenses/by/4.0/).
Share and Cite
Su, R.; Wang, J.; Jiang, H.; Wei, L.; Mu, D.; Yang, C. High-Efficiency Photo-Fenton-like Catalyst of FeOOH/g-C3N4 for the Degradation of PNP: Characterization, Catalytic Performance and Mechanism Exploration. Molecules 2024, 29, 3202. https://doi.org/10.3390/molecules29133202
Su R, Wang J, Jiang H, Wei L, Mu D, Yang C. High-Efficiency Photo-Fenton-like Catalyst of FeOOH/g-C3N4 for the Degradation of PNP: Characterization, Catalytic Performance and Mechanism Exploration. Molecules. 2024; 29(13):3202. https://doi.org/10.3390/molecules29133202
Chicago/Turabian StyleSu, Rongjun, Junhao Wang, Hao Jiang, Lan Wei, Deying Mu, and Chunyan Yang. 2024. "High-Efficiency Photo-Fenton-like Catalyst of FeOOH/g-C3N4 for the Degradation of PNP: Characterization, Catalytic Performance and Mechanism Exploration" Molecules 29, no. 13: 3202. https://doi.org/10.3390/molecules29133202
APA StyleSu, R., Wang, J., Jiang, H., Wei, L., Mu, D., & Yang, C. (2024). High-Efficiency Photo-Fenton-like Catalyst of FeOOH/g-C3N4 for the Degradation of PNP: Characterization, Catalytic Performance and Mechanism Exploration. Molecules, 29(13), 3202. https://doi.org/10.3390/molecules29133202

