The Recyclability of Fire-Retarded Biobased Polyamide 11 (PA11) Composites Reinforced with Basalt Fibers (BFs): The Influence of Reprocessing on Structure, Properties, and Fire Behavior
Abstract
1. Introduction
2. Results and Discussions
2.1. Structure Analysis
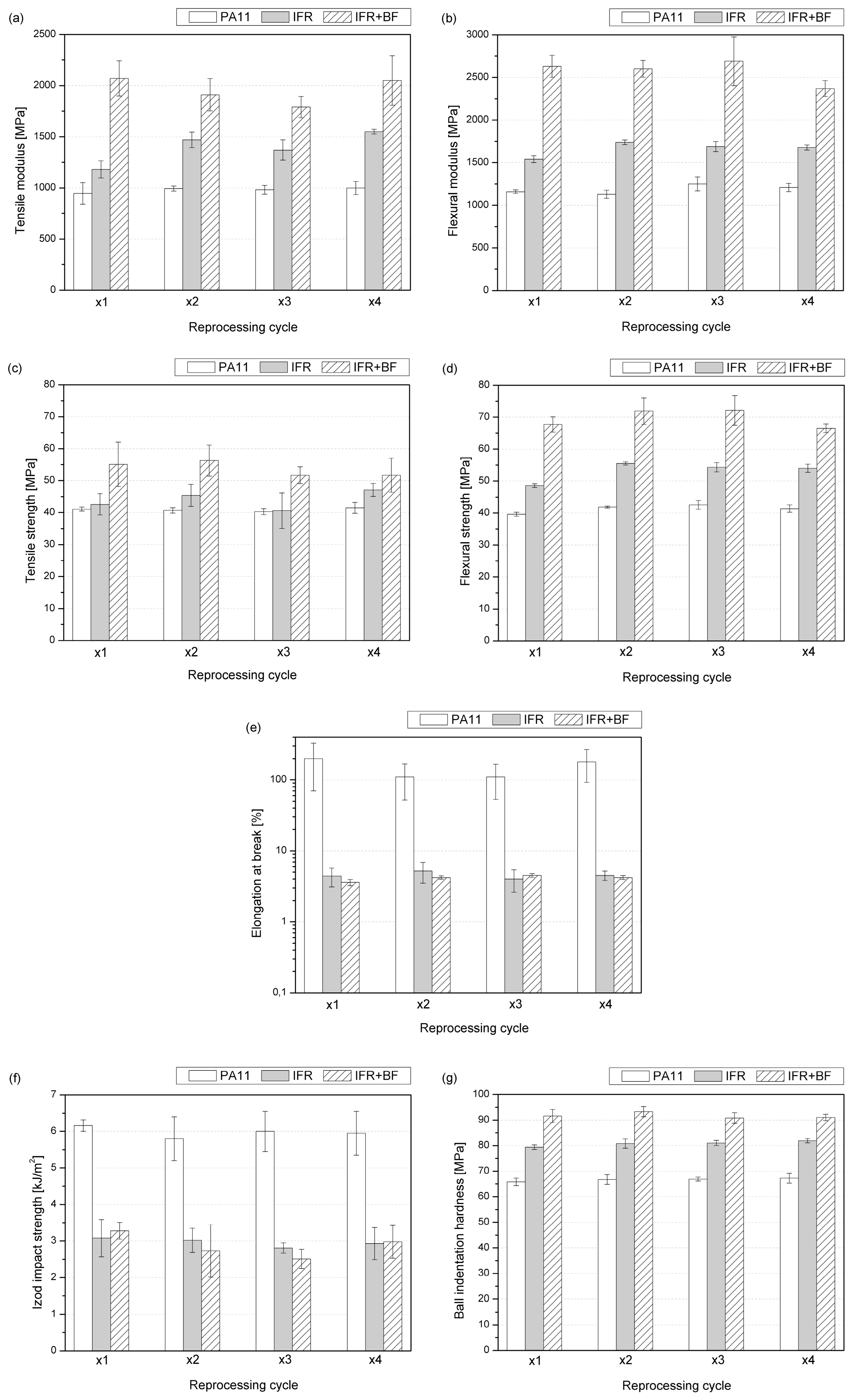
2.2. Mechanical Properties
2.3. Thermomechanical Properties
2.4. Fire Behavior
2.5. Thermal Stability and Analysis of Evolved Gaseous Products
3. Experimental Section
3.1. Materials, Sample Preparation, and Reprocessing Procedure
3.2. Methods
4. Conclusions
Author Contributions
Funding
Institutional Review Board Statement
Informed Consent Statement
Data Availability Statement
Conflicts of Interest
References
- Capuano, R.; Bonadies, I.; Castaldo, R.; Cocca, M.; Gentile, G.; Protopapa, A.; Avolio, R.; Errico, M.E. Valorization and Mechanical Recycling of Heterogeneous Post-Consumer Polymer Waste through a Mechano-Chemical Process. Polymers 2021, 13, 2783. [Google Scholar] [CrossRef]
- Kulkarni, A.; Quintens, G.; Pitet, L.M. Trends in Polyester Upcycling for Diversifying a Problematic Waste Stream. Macromolecules 2023, 56, 1747–1758. [Google Scholar] [CrossRef]
- Czarnecka-Komorowska, D.; Wiszumirska, K. Sustainability Design of Plastic Packaging for the Circular Economy. Polimery 2020, 65, 8–17. [Google Scholar] [CrossRef]
- Deopura, B.L.; Alagirusamy, R.; Joshi, M.; Gupta, B. Polyesters and Polyamides; Woodhead Publishing Limited: Boca Raton, FL, USA, 2008. [Google Scholar]
- Liu, X.-R.; Wang, Y.; Liu, L.-Y.; Dong, X.; Wang, D.-J. Time and Temperature Dependence of the Structural Evolution for Polyamide 1012. Chin. J. Polym. Sci. 2020, 38, 993–998. [Google Scholar] [CrossRef]
- Latko-Durałek, P.; Bertasius, P.; Macutkevic, J.; Banys, J.; Boczkowska, A. Fibers of Thermoplastic Copolyamides with Carbon Nanotubes for Electromagnetic Shielding Applications. Materials 2021, 14, 5699. [Google Scholar] [CrossRef] [PubMed]
- Di Lorenzo, M.L.; Longo, A.; Androsch, R. Polyamide 11/Poly(Butylene Succinate) Bio-Based Polymer Blends. Materials 2019, 12, 2833. [Google Scholar] [CrossRef] [PubMed]
- Gilbert, M. Aliphatic Polyamides. In Brydson’s Plastics Materials; Elsevier: Amsterdam, The Netherlands, 2017; pp. 487–511. [Google Scholar]
- Jin, X.; Cui, S.; Sun, S.; Sun, J.; Zhang, S.; Tang, W.; Bourbigot, S. The Preparation of Polyamide 11 Composites with Extremely Long Ignition Time. Polym. Adv. Technol. 2022, 33, 1202–1210. [Google Scholar] [CrossRef]
- Levchik, S.V.; Costa, L.; Camino, G. Effect of the Fire-Retardant, Ammonium Polyphosphate, on the Thermal Decomposition of Aliphatic Polyamides. I. Polyamides 11 and 12. Polym. Degrad. Stab. 1992, 36, 31–41. [Google Scholar] [CrossRef]
- Sahnoune, M.; Taguet, A.; Otazaghine, B.; Kaci, M.; Lopez-Cuesta, J. Fire Retardancy Effect of Phosphorus-modified Halloysite on Polyamide-11 Nanocomposites. Polym. Eng. Sci. 2019, 59, 526–534. [Google Scholar] [CrossRef]
- Correia, C.; Gomes, T.E.P.; Gonçalves, I.; Neto, V. Reprocessability of PLA through Chain Extension for Fused Filament Fabrication. J. Manuf. Mater. Process. 2022, 6, 26. [Google Scholar] [CrossRef]
- Sikorska, W.; Richert, J.; Rydz, J.; Musioł, M.; Adamus, G.; Janeczek, H.; Kowalczuk, M. Degradability Studies of Poly(l-Lactide) after Multi-Reprocessing Experiments in Extruder. Polym. Degrad. Stab. 2012, 97, 1891–1897. [Google Scholar] [CrossRef]
- Ben Amor, I.; Klinkova, O.; Baklouti, M.; Elleuch, R.; Tawfiq, I. Mechanical Recycling and Its Effects on the Physical and Mechanical Properties of Polyamides. Polymers 2023, 15, 4561. [Google Scholar] [CrossRef] [PubMed]
- Paszkiewicz, S.; Walkowiak, K.; Irska, I.; Mechowska, S.; Stankiewicz, K.; Zubkiewicz, A.; Piesowicz, E.; Miadlicki, P. Influence of the Multiple Injection Moulding and Composting Time on the Properties of Selected Packaging and Furan-Based Polyesters. J. Polym. Environ. 2023, 31, 722–742. [Google Scholar] [CrossRef]
- Evens, T.; Bex, G.-J.; Yigit, M.; De Keyzer, J.; Desplentere, F.; Van Bael, A. The Influence of Mechanical Recycling on Properties in Injection Molding of Fiber-Reinforced Polypropylene. Int. Polym. Process. 2019, 34, 398–407. [Google Scholar] [CrossRef]
- Mohammad Karimi, S.; Neitzel, B.; Lang, M.; Puch, F. Investigation of the Fiber Length and the Mechanical Properties of Waste Recycled from Continuous Glass Fiber-Reinforced Polypropylene. Recycling 2023, 8, 82. [Google Scholar] [CrossRef]
- Andrzejewski, J.; Barczewski, M.; Czarnecka-Komorowska, D.; Rydzkowski, T.; Gawdzińska, K.; Thakur, V.K. Manufacturing and Characterization of Sustainable and Recyclable Wood-Polypropylene Biocomposites: Multiprocessing-Properties-Structure Relationships. Ind. Crops Prod. 2024, 207, 117710. [Google Scholar] [CrossRef]
- Delva, L.; Hubo, S.; Cardon, L.; Ragaert, K. On the Role of Flame Retardants in Mechanical Recycling of Solid Plastic Waste. Waste Manag. 2018, 82, 198–206. [Google Scholar] [CrossRef] [PubMed]
- Zhang, S.; Wang, P.; Tan, L.; Huang, H.; Jiang, G. Relationship between Screw Structure and Properties of Recycled Glass Fiber Reinforced Flame Retardant Nylon 46. RSC Adv. 2015, 5, 13296–13306. [Google Scholar] [CrossRef]
- Davis, R.D.; Gilman, J.W.; VanderHart, D.L. Processing Degradation of Polyamide 6/Montmorillonite Clay Nanocomposites and Clay Organic Modifier. Polym. Degrad. Stab. 2003, 79, 111–121. [Google Scholar] [CrossRef]
- Deng, C.-L.; Du, S.-L.; Zhao, J.; Shen, Z.-Q.; Deng, C.; Wang, Y.-Z. An Intumescent Flame Retardant Polypropylene System with Simultaneously Improved Flame Retardancy and Water Resistance. Polym. Degrad. Stab. 2014, 108, 97–107. [Google Scholar] [CrossRef]
- Yan, H.; Zhao, Z.; Wang, Y.; Jin, Q.; Zhang, X. Structural Modification of Ammonium Polyphosphate by DOPO to Achieve High Water Resistance and Hydrophobicity. Powder Technol. 2017, 320, 14–21. [Google Scholar] [CrossRef]
- Sałasińska, K.; Celiński, M.; Mizera, K.; Barczewski, M.; Kozikowski, P.; Leszczyński, M.K.; Domańska, A. Moisture Resistance, Thermal Stability and Fire Behavior of Unsaturated Polyester Resin Modified with L-Histidinium Dihydrogen Phosphate-Phosphoric Acid. Molecules 2021, 26, 932. [Google Scholar] [CrossRef]
- Pandian, A.; Vairavan, M.; Jebbas Thangaiah, W.J.; Uthayakumar, M. Effect of Moisture Absorption Behavior on Mechanical Properties of Basalt Fibre Reinforced Polymer Matrix Composites. J. Compos. 2014, 2014, 587980. [Google Scholar] [CrossRef]
- Davies, P.; Pomies, F.; Carlsson, L.A. Influence of Water Absorption on Transverse Tensile Properties and Shear Fracture Toughness of Glass/Polypropylene. J. Compos. Mater. 1996, 30, 1004–1019. [Google Scholar] [CrossRef]
- Mysiukiewicz, O.; Sałasińska, K.; Barczewski, M.; Celiński, M.; Skórczewska, K. Effect of Intumescent Flame Retardants on Non-isothermal Crystallization Behavior of High-density Polyethylene. Polym. Eng. Sci. 2022, 62, 2230–2242. [Google Scholar] [CrossRef]
- Song, J.; Liu, J.; Zhang, Y.; Chen, L.; Zhong, Y.; Yang, W. Basalt Fibre-Reinforced PA1012 Composites: Morphology, Mechanical Properties, Crystallization Behaviours, Structure and Water Contact Angle. J. Compos. Mater. 2015, 49, 415–424. [Google Scholar] [CrossRef]
- Patti, A.; Acierno, S.; Nele, L.; Graziosi, L.; Acierno, D. Sustainable Basalt Fibers vs. Traditional Glass Fibers: Comparative Study on Thermal Properties and Flow Behavior of Polyamide 66-Based Composites. ChemEngineering 2022, 6, 86. [Google Scholar] [CrossRef]
- Ichazo, M.; Albano, C.; González, J.; Perera, R.; Candal, M. Polypropylene/Wood Flour Composites: Treatments and Properties. Compos. Struct. 2001, 54, 207–214. [Google Scholar] [CrossRef]
- Mrozek, K.; Chen, S. Selective Induction Heating to Eliminate the Fundamental Defects of Thin-walled Moldings Used in Electrical Industry. J. Appl. Polym. Sci. 2017, 134, 44992. [Google Scholar] [CrossRef]
- Xiao, X.; Cai, Z.; Qian, K. Structure Evolution of Polyamide (11)’s Crystalline Phase under Uniaxial Stretching and Increasing Temperature. J. Polym. Res. 2017, 24, 81. [Google Scholar] [CrossRef]
- Murthy, N.S. Hydrogen Bonding, Mobility, and Structural Transitions in Aliphatic Polyamides. J. Polym. Sci. Part B Polym. Phys. 2006, 44, 1763–1782. [Google Scholar] [CrossRef]
- Zhang, Q.; Mo, Z.; Liu, S.; Zhang, H. Influence of Annealing on Structure of Nylon 11. Macromolecules 2000, 33, 5999–6005. [Google Scholar] [CrossRef]
- Park, S.D.; Todo, M.; Arakawa, K.; Koganemaru, M. Effect of Crystallinity and Loading-Rate on Mode I Fracture Behavior of Poly(Lactic Acid). Polymers 2006, 47, 1357–1363. [Google Scholar] [CrossRef]
- Fidecka, K.; Giacoboni, J.; Picconi, P.; Vago, R.; Licandro, E. Quantification of Amino Groups on Halloysite Surfaces Using the Fmoc-Method. RSC Adv. 2020, 10, 13944–13948. [Google Scholar] [CrossRef]
- Iorio, M.; Santarelli, M.L.; González-Gaitano, G.; González-Benito, J. Surface Modification and Characterization of Basalt Fibers as Potential Reinforcement of Concretes. Appl. Surf. Sci. 2018, 427, 1248–1256. [Google Scholar] [CrossRef]
- Gupta, V.B.; Mittal, R.K.; Sharma, P.K.; Mennig, G.; Wolters, J. Some Studies on Glass Fiber-reinforced Polypropylene. Part II: Mechanical Properties and Their Dependence on Fiber Length, Interfacial Adhesion, and Fiber Dispersion. Polym. Compos. 1989, 10, 16–27. [Google Scholar] [CrossRef]
- Dias, F.G.d.A.; Veiga, A.G.; Gomes, A.P.A.d.C.P.; da Costa, M.F.; Rocco, M.L.M. Using XPS and FTIR Spectroscopies to Investigate Polyamide 11 Degradation on Aging Flexible Risers. Polym. Degrad. Stab. 2022, 195, 109787. [Google Scholar] [CrossRef]
- Pliquet, M.; Rapeaux, M.; Delange, F.; Bussiere, P.O.; Therias, S.; Gardette, J.L. Multiscale Analysis of the Thermal Degradation of Polyamide 6,6: Correlating Chemical Structure to Mechanical Properties. Polym. Degrad. Stab. 2021, 185, 109496. [Google Scholar] [CrossRef]
- Domingos, E.; Pereira, T.M.C.; de Castro, E.V.R.; Romão, W.; Sena, G.L.d.; Guimarães, R.C.L. Monitorando a Degradação Da Poliamida 11 (PA-11) via Espectroscopia Na Região Do Infravermelho Médio Com Transformada de Fourier (FTIR). Polímeros 2012, 23, 37–41. [Google Scholar] [CrossRef]
- Bahrami, M.; Abenojar, J.; Martínez, M.A. Comparative Characterization of Hot-Pressed Polyamide 11 and 12: Mechanical, Thermal and Durability Properties. Polymers 2021, 13, 3553. [Google Scholar] [CrossRef]
- Roger, A.; Sallet, D.; Lemaire, J. Photochemistry of Aliphatic Polyamides. 4. Mechanisms of Photooxidation of Polyamides 6, 11, and 12 at Long Wavelengths. Macromolecules 1986, 19, 579–584. [Google Scholar] [CrossRef]
- Okamba-Diogo, O.; Richaud, E.; Verdu, J.; Fernagut, F.; Guilment, J.; Fayolle, B. Molecular and Macromolecular Structure Changes in Polyamide 11 during Thermal Oxidation. Polym. Degrad. Stab. 2014, 108, 123–132. [Google Scholar] [CrossRef]
- Prabhakar, M.N.; Raghavendra, G.M.; Vijaykumar, B.V.D.; Patil, K.; Seo, J.; Jung-il, S. Synthesis of a Novel Compound Based on Chitosan and Ammonium Polyphosphate for Flame Retardancy Applications. Cellulose 2019, 26, 8801–8812. [Google Scholar] [CrossRef]
- Wang, Z.; Lv, P.; Hu, Y.; Hu, K. Thermal Degradation Study of Intumescent Flame Retardants by TG and FTIR: Melamine Phosphate and Its Mixture with Pentaerythritol. J. Anal. Appl. Pyrolysis 2009, 86, 207–214. [Google Scholar] [CrossRef]
- Chen, Y.; Wang, Q. Reaction of Melamine Phosphate with Pentaerythritol and Its Products for Flame Retardation of Polypropylene. Polym. Adv. Technol. 2007, 18, 587–600. [Google Scholar] [CrossRef]
- Wang, Q.; Ding, Y.; Randl, N. Investigation on the Alkali Resistance of Basalt Fiber and Its Textile in Different Alkaline Environments. Constr. Build. Mater. 2021, 272, 121670. [Google Scholar] [CrossRef]
- Najafi, S.K.; Tajvidi, M.; Chaharmahli, M. Long-term Water Uptake Behavior of Lignocellulosic-high Density Polyethylene Composites. J. Appl. Polym. Sci. 2006, 102, 3907–3911. [Google Scholar] [CrossRef]
- Fu, H.; Xu, H.; Liu, Y.; Yang, Z.; Kormakov, S.; Wu, D.; Sun, J. Overview of Injection Molding Technology for Processing Polymers and Their Composites. ES Mater. Manuf. 2020, 8, 3–23. [Google Scholar] [CrossRef]
- Wu, K.; Zhang, Y.; Hu, W.; Lian, J.; Hu, Y. Influence of Ammonium Polyphosphate Microencapsulation on Flame Retardancy, Thermal Degradation and Crystal Structure of Polypropylene Composite. Compos. Sci. Technol. 2013, 81, 17–23. [Google Scholar] [CrossRef]
- Nuruzzaman, D.M.; Iqbal, A.K.M.A.; Oumer, A.N.; Ismail, N.M.; Basri, S. Experimental Investigation on the Mechanical Properties of Glass Fiber Reinforced Nylon. IOP Conf. Ser. Mater. Sci. Eng. 2016, 114, 012118. [Google Scholar] [CrossRef]
- Unal, H. Morphology and Mechanical Properties of Composites Based on Polyamide 6 and Mineral Additives. Mater. Des. 2004, 25, 483–487. [Google Scholar] [CrossRef]
- Kuciel, S.; Kuzniar, P.; Liber-Kneć, A. Polyamides from Renewable Sources as Matrices of Short Fiber Reinforced Biocomposites. Polimery 2012, 57, 627–634. [Google Scholar] [CrossRef]
- Karger-Kocsis, J. Microstructural Aspects of Fracture in Polypropylene and in Its Filled, Chopped Fiber and Fiber Mat Reinforced Composites. In Polypropylene Structure, Blends and Composites; Springer: Dordrecht, The Netherlands, 1995; pp. 142–201. [Google Scholar]
- Xu, M.; Liu, H.; Ma, K.; Li, B.; Zhang, Z. New Strategy towards Flame Retardancy through Design, Synthesis, Characterization, and Fire Performance of a Chain Extender in Polyamide 6 Composites. Polym. Eng. Sci. 2019, 59, 25030. [Google Scholar] [CrossRef]
- Rusin-Żurek, K.; Kuciel, S.; Kurańska, M. The Effect of Funcionalized Ethylene-n-Octene Copolymer on Mechanical Properties of BioPET with Organic Waste Fillers. Polimery 2023, 68, 330–336. [Google Scholar] [CrossRef]
- Ortega, Z.; McCourt, M.; Romero, F.; Suárez, L.; Cunningham, E. Recent Developments in Inorganic Composites in Rotational Molding. Polymers 2022, 14, 5260. [Google Scholar] [CrossRef] [PubMed]
- Czarnecka-Komorowska, D.; Bryll, K.; Kostecka, E.; Tomasik, M.; Piesowicz, E.; Gawdzińska, K. The Composting of PLA/HNT Biodegradable Composites as an Eco-Approach to the Sustainability. Bull. Polish Acad. Sci. Tech. Sci. 2021, 69, e136720. [Google Scholar] [CrossRef]
- Švehlová, V.; Polouček, E. About the Influence of Filler Particle Size on Toughness of Filled Polypropylene. Angew. Makromol. Chem. 1987, 153, 197–200. [Google Scholar] [CrossRef]
- Gupta, V.B.; Mittal, R.K.; Sharma, P.K.; Mennig, G.; Wolters, J. Some Studies on Glass Fiber-reinforced Polypropylene. Part I: Reduction in Fiber Length during Processing. Polym. Compos. 1989, 10, 8–15. [Google Scholar] [CrossRef]
- Prajapati, R.S.; Jain, S.; Shit, S.C. Development of Basalt Fiber-reinforced Thermoplastic Composites and Effect of PE-g-MA on Composites. Polym. Compos. 2017, 38, 2798–2805. [Google Scholar] [CrossRef]
- Barczewski, M.; Mysiukiewicz, O.; Andrzejewski, J.; Matykiewicz, D.; Medycki, D.; Kloziński, A.; Skórczewska, K.; Szostak, M. Thermo-mechanical and Mechanical Behavior of Hybrid Isotactic Polypropylene Glass Fiber Reinforced Composites (GFRC) Modified with Calcium Carbonate (CaCO3). Polym. Eng. Sci. 2020, 60, 1588–1603. [Google Scholar] [CrossRef]
- Bazan, P.; Nosal, P.; Wierzbicka-Miernik, A.; Kuciel, S. A Novel Hybrid Composites Based on Biopolyamide 10.10 with Basalt/Aramid Fibers: Mechanical and Thermal Investigation. Compos. Part B Eng. 2021, 223, 109125. [Google Scholar] [CrossRef]
- Lv, Z.; Wang, K.; Qiao, Z.; Wang, W. The Influence of Modified Zeolites as Nucleating Agents on Crystallization Behavior and Mechanical Properties of Polypropylene. Mater. Des. 2010, 31, 3804–3809. [Google Scholar] [CrossRef]
- Tomaszewska, J.; Klapiszewski, Ł.; Skórczewska, K.; Szalaty, T.J.; Jesionowski, T. Advanced Organic-Inorganic Hybrid Fillers as Functional Additives for Poly(Vinyl Chloride). Polimery 2017, 62, 19–26. [Google Scholar] [CrossRef]
- Abdel Hakim, A.E. Improving the Vicat Softening Point of Poly (Vinyl Chloride) Mixtures through Blending with Different Polymers and Inorganic Fillers. Egypt. J. Chem. 2021, 64, 5053–5060. [Google Scholar] [CrossRef]
- Vasanthkumar, P.; Balasundaram, R.; Senthilkumar, N.; Palanikumar, K.; Lenin, K.; Deepanraj, B. Thermal and Thermo-Mechanical Studies on Seashell Incorporated Nylon-6 Polymer Composites. J. Mater. Res. Technol. 2022, 21, 3154–3168. [Google Scholar] [CrossRef]
- Fornes, T.D.; Paul, D.R. Modeling Properties of Nylon 6/Clay Nanocomposites Using Composite Theories. Polymer 2003, 44, 4993–5013. [Google Scholar] [CrossRef]
- Cui, L.; Wang, P.; Zhang, Y.; Zhang, L.; Chen, Y.; Wang, L.; Liu, L.; Guo, X. Combined Effect of α-Nucleating Agents and Glass Fiber Reinforcement on a Polypropylene Composite: A Balanced Approach. RSC Adv. 2017, 7, 42783–42791. [Google Scholar] [CrossRef]
- Schartel, B.; Hull, T.R. Development of Fire-Retarded Materials—Interpretation of Cone Calorimeter Data. Fire Mater. 2007, 31, 327–354. [Google Scholar] [CrossRef]
- Barczewski, M.; Sałasińska, K.; Kloziński, A.; Skórczewska, K.; Szulc, J.; Piasecki, A. Application of the Basalt Powder as a Filler for Polypropylene Composites with Improved Thermo-Mechanical Stability and Reduced Flammability. Polym. Eng. Sci. 2019, 59, 24962. [Google Scholar] [CrossRef]
- Levchik, S.V. Introduction to Flame Retardancy and Polymer Flammability. In Flame Retardant Polymer Nanocomposites; Wiley: New York, NY, USA, 2007; pp. 1–29. [Google Scholar]
- Xia, Y.; Jin, F.; Mao, Z.; Guan, Y.; Zheng, A. Effects of Ammonium Polyphosphate to Pentaerythritol Ratio on Composition and Properties of Carbonaceous Foam Deriving from Intumescent Flame-Retardant Polypropylene. Polym. Degrad. Stab. 2014, 107, 64–73. [Google Scholar] [CrossRef]
- Pagacz, J.; Leszczyńska, A.; Modesti, M.; Boaretti, C.; Roso, M.; Malka, I.; Pielichowski, K. Thermal Decomposition Studies of Bio-Resourced Polyamides by Thermogravimetry and Evolved Gas Analysis. Thermochim. Acta 2015, 612, 40–48. [Google Scholar] [CrossRef]
- Ferry, L.; Sonnier, R.; Lopez-Cuesta, J.-M.; Petigny, S.; Bert, C. Thermal Degradation and Flammability of Polyamide 11 Filled with Nanoboehmite. J. Therm. Anal. Calorim. 2017, 129, 1029–1037. [Google Scholar] [CrossRef]
- ISO 527-2:2012; Plastics—Determination of Tensile Properties; Part 2: Test Conditions for Moulding and Extrusion Plastics. ISO: Geneva, Switzerland, 2012.
- ISO 178:2019; Plastics—Determination of Flexural Properties. ISO: Geneva, Switzerland, 2019.
- ISO 180:2023; Plastics—Determination of Izod Impact Strength. ISO: Geneva, Switzerland, 2023.
- ISO 2039-1:2001; Plastics—Determination of Hardness; Part 1: Ball Indentation Method. ISO: Geneva, Switzerland, 2001.
- ISO 306:2022; Plastics—Thermoplastic Materials—Determination of Vicat Softening Temperature (VST). ISO: Geneva, Switzerland, 2022.
- ISO 75-2:2013; Plastics—Determination of Temperature of Deflection under Load; Part 2: Plastics and Ebonite. ISO: Geneva, Switzerland, 2013.
- ISO 5660-1:2015; Reaction-to-Fire Tests—Heat Release, Smoke Production and Mass Loss Rate; Part 1: Heat Release Rate (Cone Calorimeter Method) and Smoke Production Rate (Dynamic Measurement). ISO: Geneva, Switzerland, 2015.










| Material | PA11 | IFR | IFR+BF | |||||||||
|---|---|---|---|---|---|---|---|---|---|---|---|---|
| Processing cycle | 1 | 2 | 3 | 4 | 1 | 2 | 3 | 4 | 1 | 2 | 3 | 4 |
| TC [°C] | 161.1 | 161.8 | 162.3 | 162.5 | 167.5 | 168.1 | 168.8 | 169.5 | 166.9 | 167.8 | 168.6 | 169.7 |
| TM2 [°C] | 190.0 182.1 | 190.2 182.4 | 190.1 182.6 | 189.7 182.4 | 189.1 | 189.0 | 188.9 | 189.1 | 189.2 | 189.2 | 189.1 | 189.2 |
| Xc * [%] | 21.9 | 23.1 | 21.4 | 20.5 | 26.3 | 26.2 | 26.1 | 26.1 | 24.9 | 25.4 | 25.7 | 25.5 |
| Material | TTI | pHRR | MARHE | THR | EHC | TSR |
|---|---|---|---|---|---|---|
| s | kW/m2 | kW/m2 | MJ/m2 | MJ/kg | m2/m2 | |
| PA11 x1 | 76 | 774 | 351 | 89 | 36 | 1247 |
| PA11 x2 | 74 | 829 | 327 | 130 | 29 | 1228 |
| PA11 x3 | 65 | 944 | 354 | 127 | 35 | 1443 |
| PA11 x4 | 70 | 998 | 362 | 147 | 37 | 1346 |
| IFR x1 | 46 | 529 | 224 | 150 | 20 | 669 |
| IFR x2 | 67 | 543 | 234 | 79 | 15 | 676 |
| IFR x3 | 67 | 685 | 232 | 56 | 25 | 676 |
| IFR x4 | 57 | 539 | 284 | 70 | 18 | 846 |
| IFR+BF x1 | 58 | 507 | 261 | 67 | 28 | 726 |
| IFR+BF x2 | 74 | 521 | 244 | 108 | 25 | 1709 |
| IFR+BF x3 | 58 | 562 | 245 | 112 | 28 | 1565 |
| IFR+BF x4 | 73 | 540 | 245 | 109 | 28 | 1699 |
| Material | T5% | T10% | T50% | Tonset | Tfinal | DTG Peaks | Residue | ||||
|---|---|---|---|---|---|---|---|---|---|---|---|
| [°C] | [°C; %/min] | [%] | |||||||||
| PA11 x1 | 397 | 419 | 457 | 447 | - | 466 | - | - | 407; −4.6 | 458; −60.9 | 0.4 |
| PA11 x4 | 397 | 421 | 459 | 441 | - | 475 | - | - | 407; −3.2 | 460; −30.7 | 0.3 |
| IFR x1 | 300 | 323 | 395 | 309 | 353 | 412 | 184; −0.2 | 322; −5.7 | 406; −43.7 | - | 3.5 |
| IFR x4 | 301 | 323 | 392 | 306 | 346 | 408 | 186; −0.7 | 321; −10.7 | 392; −23.2 | - | 3.3 |
| IFR BF x1 | 314 | 340 | 401 | 310 | 366 | 418 | - | 322; −4.4 | 397; −17.8 | 467; −1.5 | 21.8 |
| IFR+BF x4 | 310 | 336 | 402 | 297 | 354 | 415 | - | 325; −2.6 | 399; −17.6 | 464; −1.2 | 21.0 |
Disclaimer/Publisher’s Note: The statements, opinions and data contained in all publications are solely those of the individual author(s) and contributor(s) and not of MDPI and/or the editor(s). MDPI and/or the editor(s) disclaim responsibility for any injury to people or property resulting from any ideas, methods, instructions or products referred to in the content. |
© 2024 by the authors. Licensee MDPI, Basel, Switzerland. This article is an open access article distributed under the terms and conditions of the Creative Commons Attribution (CC BY) license (https://creativecommons.org/licenses/by/4.0/).
Share and Cite
Barczewski, M.; Hejna, A.; Andrzejewski, J.; Aniśko, J.; Piasecki, A.; Mróz, A.; Ortega, Z.; Rutkowska, D.; Sałasińska, K. The Recyclability of Fire-Retarded Biobased Polyamide 11 (PA11) Composites Reinforced with Basalt Fibers (BFs): The Influence of Reprocessing on Structure, Properties, and Fire Behavior. Molecules 2024, 29, 3233. https://doi.org/10.3390/molecules29133233
Barczewski M, Hejna A, Andrzejewski J, Aniśko J, Piasecki A, Mróz A, Ortega Z, Rutkowska D, Sałasińska K. The Recyclability of Fire-Retarded Biobased Polyamide 11 (PA11) Composites Reinforced with Basalt Fibers (BFs): The Influence of Reprocessing on Structure, Properties, and Fire Behavior. Molecules. 2024; 29(13):3233. https://doi.org/10.3390/molecules29133233
Chicago/Turabian StyleBarczewski, Mateusz, Aleksander Hejna, Jacek Andrzejewski, Joanna Aniśko, Adam Piasecki, Adrian Mróz, Zaida Ortega, Daria Rutkowska, and Kamila Sałasińska. 2024. "The Recyclability of Fire-Retarded Biobased Polyamide 11 (PA11) Composites Reinforced with Basalt Fibers (BFs): The Influence of Reprocessing on Structure, Properties, and Fire Behavior" Molecules 29, no. 13: 3233. https://doi.org/10.3390/molecules29133233
APA StyleBarczewski, M., Hejna, A., Andrzejewski, J., Aniśko, J., Piasecki, A., Mróz, A., Ortega, Z., Rutkowska, D., & Sałasińska, K. (2024). The Recyclability of Fire-Retarded Biobased Polyamide 11 (PA11) Composites Reinforced with Basalt Fibers (BFs): The Influence of Reprocessing on Structure, Properties, and Fire Behavior. Molecules, 29(13), 3233. https://doi.org/10.3390/molecules29133233

