Abstract
Mn/TiO2 catalysts with varying solid contents were innovatively prepared by the sol–gel method and were used for selective catalytic reduction of NO at low temperatures using NH3 (NH3-SCR) as the reducing agent. Surprisingly, it was found that as the solid content of the sol increased, the catalytic activity of the developed Mn/TiO2 catalyst gradually increased, showing excellent catalytic performance. Notably, the Mn/TiO2 (50%) catalyst demonstrates outstanding denitration performance, achieving a 96% NO conversion rate at 100 °C under a volume hourly space velocity (VHSV) of 24,000 h−1, while maintaining high N2 selectivity and stability. It was discovered that as the solid content increased, the catalyst’s specific surface area (SSA), surface Mn4+ concentration, chemisorbed oxygen, chemisorption of NH3, and catalytic reducibility all improved, thereby enhancing the catalytic efficiency of NH3-SCR in degrading NO. Moreover, NH3 at the Lewis acidic sites and NH4+ at the Bronsted acidic sites of the catalyst were capable of reacting with NO. Conversely, NO and NO2 adsorbed on the catalyst, along with bidentate and monodentate nitrates, were unable to react with NH3 at low temperatures. Consequently, the developed catalyst’s low-temperature catalytic reaction mechanism aligns with the E-R mechanism.
1. Introduction
In recent years, as industry has rapidly developed, environmental pollution has become a pressing issue. Industrial NOx emissions cause significant environmental damage, including acid rain, the greenhouse effect, and haze. Additionally, the high mobility of NOx compounds can easily lead to global issues [1,2,3,4]. To the human body, NOx is one of the causes of respiratory diseases, posing a serious threat to personal safety [5]. The issue of NOx emissions has garnered widespread attention across countries. Developing technologies that can effectively handle NOx has become essential for addressing air pollution.
Currently, the NH3-SCR technique is the most widely applied mature flue gas denitrification technology, with its core being the selective catalyst [6]. The traditional commercial V2O5-WO3(MoO3)/TiO2 catalyst exhibits its highest activity within the temperature range of 250–400 °C achieving a NOx conversion rate of up to 90% [7]. However, the catalytic activity drops significantly when the flue gas temperature falls below 200 °C.
Recent research indicates that manganese-based catalysts have exhibited exceptional low-temperature catalytic activity. This is primarily attributed to the high concentration of active oxygen species within these catalysts and the numerous acidic sites present on the MnOx surface, enabling them to efficiently facilitate the NH3-SCR reaction even at low temperatures [8,9]. TiO2 boasts a large specific surface area, endowing it with robust adsorption and loading capabilities. The loading capacity influences the denitrification efficiency, making it a favored choice as the support for denitrification catalysts [10]. The Mn/TiO2 catalyst exhibits outstanding catalytic performance at low temperatures, positioning it as a focal point in the research of low-temperature denitrification techniques [11,12].
Research has found that compared with traditional MnOx-TiO2 catalysts, the incorporation of metal elements such as Ce, Fe, Pb, Sb, Sm, and Pr, along with the preparation of composite supports, can significantly enhance the catalyst’s low-temperature catalytic performance [13,14,15,16,17,18,19,20]. Wu et al. [21] synthesized a series of Mn/TiO2 catalysts modified by doping with different transition metals (Fe, Cu, Ni, Cr) using the sol–gel method. Among them, the Fe0.1Mn0.4/TiO2 catalyst has the highest catalytic activity. Lu et al. [22] first prepared the TiO2Gr composite nanocarrier using the sol–gel method, and then loaded the Mn and Ce active components onto the composite nanocarrier using the impregnation method, synthesizing a series of CeMn/TiO2Gr catalysts. When the Ce/Mn molar ratio is 0.3 and the mass fraction of Ce and Mn is 7%, the catalyst exhibits the best catalytic performance. Chen et al. [23] synthesized a series of Co0.2CexMn0.8-xTi10 catalysts by the sol–gel method. The results showed that the Co0.2Ce0.35Mn0.45Ti10 sample had the best NH3-SCR activity. Co and Ce doping can provide more acid sites and NO adsorption sites, further improving the catalytic activity of the catalyst.
Currently, there are many reports in the literature about catalysts prepared by the sol–gel method, but there is less research on the impact of changes in sol solid content on the catalytic performance of the catalysts. This paper mainly uses the sol–gel method to prepare a series of Mn/TiO2 catalysts with varying solid contents, investigating the mechanism linking the impact of solid content variations on catalyst structure and performance, and further explores the reaction mechanism of Mn/TiO2 (50%) catalyst sample NH3-SCR degradation of NO at low temperatures.
2. Results and Discussion
2.1. Catalytic Performance of Catalysts
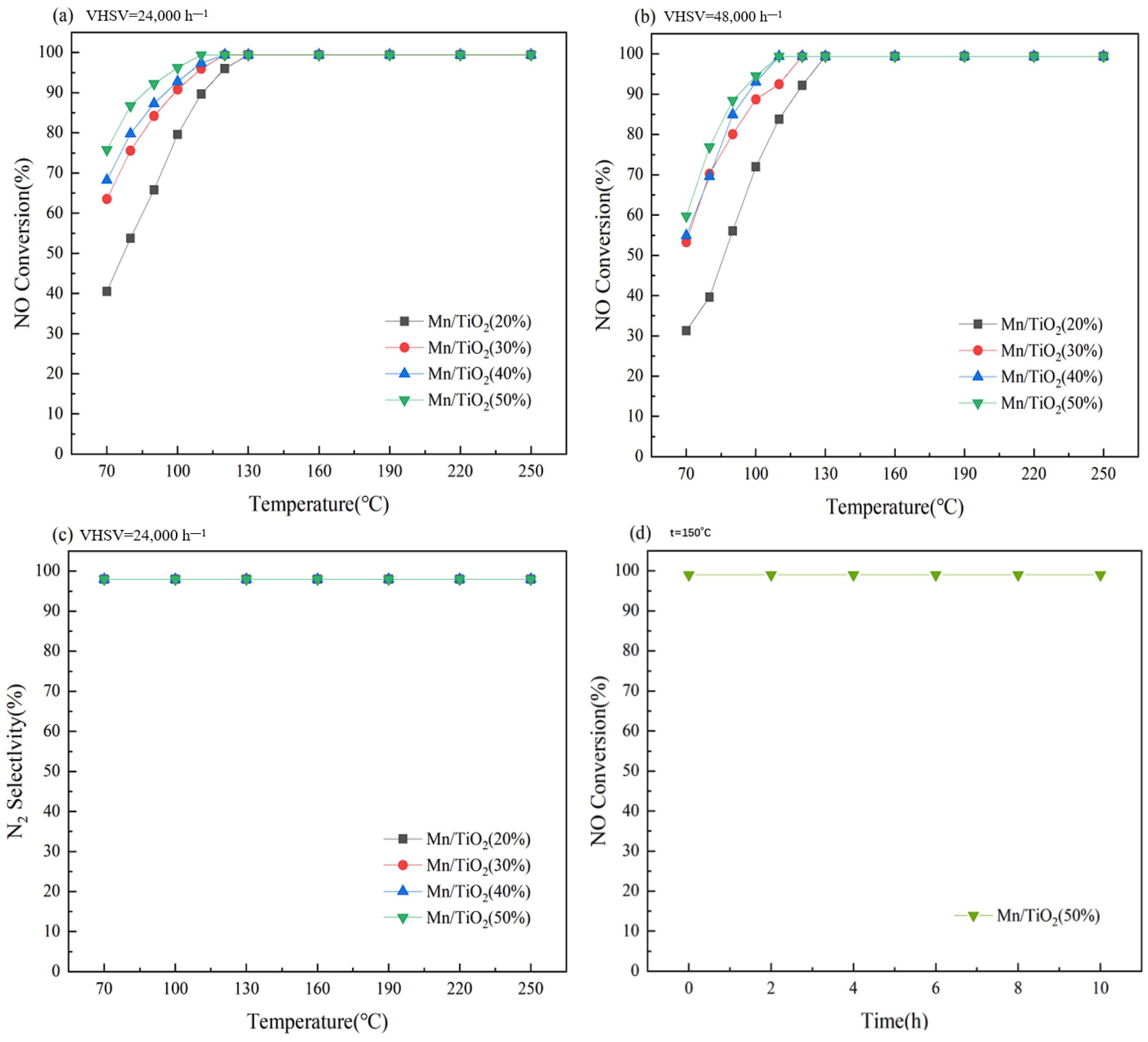
To investigate the NH3-SCR catalytic efficacy of the catalysts, the catalyst’s activity was assessed via a reactor setup. Figure 1a illustrates the variations in NO conversion rates for various catalysts at a VHSV of 24,000 h−1. The NO conversion rate of each catalyst showed good catalytic performance in the temperature range of 70–130 °C, and the conversion rate gradually increased with the increase in solid content, indicating that the reaction efficiency gradually improved. It is speculated that this is mainly due to the increase in solid content, such that the specific surface area of the catalyst tends to increase. The Mn/TiO2 (50%) catalyst achieved a NO conversion rate of 96% at 100 °C and sustained a rate of 99% across the temperature range of 110–250 °C. Figure 1b shows the changes in NO conversion rates of various catalysts at a VHSV of 48,000 h−1. The catalytic activity of the catalysts has slightly decreased, but the NO conversion rate of the Mn/TiO2 (50%) catalyst remains the highest, reaching 99% even after 110 °C. Therefore, it can be predicted that the Mn/TiO2 (50%) catalyst has a higher contact surface area, resulting in higher catalytic reaction efficiency. As shown in Figure 1c, the N2 selectivity of all the catalysts remains above 98%. Figure 1d depicts the stability test curve for the Mn/TiO2 (50%) catalyst at 150 °C. The graph demonstrates that the catalyst maintains excellent stability for 10 h. In order to further clarify the mechanism and reasons for the impact of increased solid content on the catalytic performance of catalysts, a series of characterization analyses were subsequently conducted.
Figure 1.
NO conversion rates (a,b) of catalysts at VHSV of 24,000 h−1 and 48,000 h−1; N2 selectivity (c) and stability (d) at 24,000 h−1.
2.2. Morphology, Crystallinity, and Porous Property Analysis
To observe the impact of varying solid contents on the surface micromorphology of Mn/TiO2 catalysts, SEM observations were conducted on catalysts. Figure 2 displays the SEM images of catalysts. The particles on the surface of the catalyst are spherical, with uniform size and local agglomeration (with Mn/TiO2 (50%) being more obvious), but the overall dispersion is good, indicating that catalysts with different solid contents have similar microstructures on their surfaces.
Figure 2.
SEM images of catalysts: (a) Mn/TiO2 (20%), (b) Mn/TiO2 (30%), (c) Mn/TiO2 (40%), (d) Mn/TiO2 (50%).
Figure 3a displays the XRD patterns of Mn/TiO2 catalysts with varying solid contents. The figures reveal that all catalysts display similar characteristic XRD diffraction peaks, and the solid content variations do not alter the crystal forms of the catalysts. Diffraction peaks near 2θ = 25.2°, 38.0°, 47.9°, 54.4°, 62.8°, 69.1°, and 75.1° are characteristic of anatase TiO2, which is conducive to enhanced low-temperature SCR catalytic performance. No characteristic peaks of manganese oxides were detected on the surfaces of the catalysts, suggesting that manganese oxides are either highly evenly dispersed on the catalyst surfaces, exist in an amorphous state, or are present in concentrations too low to be detected by XRD [24]. The XRD analysis indicates that the diffraction peak intensity of Mn/TiO2 (20%) is the highest. As the solid content of Mn/TiO2 increases, the intensity of the characteristic peaks diminishes, and the crystallinity of the TiO2 support decreases, The change in solid content has an impact on the diffraction peak of the titanium dioxide carrier. As depicted in Figure 3b, even after the catalyst stability test, similar peaks are still present; the peak at 2θ = 25.2° weakens slightly, suggesting that the catalyst’s structure remains largely unchanged after the stability test. At the same time, XRF tests were conducted on the active metal loading before and after the stability test of the catalyst. The Mn content of the active metal before the catalyst reaction was 19.50%, and the content remained at 19.22% after the stability test. Therefore, it once again strongly supports the conclusion of stability testing.
Figure 3.
XRD patterns of different solid contents catalysts (a) and Mn/TiO2 (50%) catalysts before (B) and after (A) stability testing (b).
Figure 4 shows the adsorption–desorption isotherm and pore size distribution curve of the catalysts. As illustrated in Figure 4a, the adsorption–desorption isotherms of catalysts display characteristic IV and H 2 type hysteresis loops, confirming that all catalysts possess mesoporous structures [25,26]. Figure 4b presents the pore structure distribution curve. As depicted, the pore sizes of the catalysts primarily fall within the range of 2–10 nm. Table 1 provides the data related to the SSA and pore size of catalysts. The SSA and pore volume data were derived from BET and BJH analyses. As indicated in Table 1, with an increase in solid content, the SSA of the catalyst markedly increases from 146.44 m2/g to 165.34 m2/g. This suggests that an increase in solid content positively impacts the catalyst’s SSA. This likely stems from a more uniform distribution of active components on the catalyst surface, leading to smaller pore sizes and an increased number of pores with higher solid content. Among the catalysts, Mn/TiO2 (50%) exhibits the highest SSA, favoring an increase in the adsorbed amount and rate of reactants on the catalyst surface, and enhancing the desorption of reaction products, thus boosting the catalyst’s low-temperature SCR catalytic performance [27]. This validates the results of performance testing and predictive analysis very well.
Figure 4.
N2 adsorption–desorption diagram (a) and pore size distribution curve (b) of catalysts.
Table 1.
The data related to SSA and pore size of catalysts.
2.3. XPS Analysis
To study the impact of valence changes of surface elements on the catalytic performance of catalysts, XPS measurements were conducted on all catalysts. As depicted in Figure 5a, the primary peaks of Mn 2p3/2 and Mn 2p1/2 are located at approximately 642.0 eV and 653.5 eV, respectively. Peak fitting of Mn 2p3/2 yielded three electronic peaks: Mn2+ (641.4 ± 0.1 eV), Mn3+ (642.6 ± 0.1 eV), and Mn4+ (643.6 ± 0.1 eV) [27]. As indicated in Table 2, as the solid content of the catalyst increases, the ratio of Mn4+/(Mn2+ + Mn3+ + Mn4+) progressively increases. Therefore, the Mn4+ content is highest for Mn/TiO2 (50%) catalysts. High concentration of Mn4+ enhances low-temperature SCR catalytic reduction reactions [24].
Figure 5.
XPS profiles of catalysts: (a) Mn 2p, (b) O 1s.
Table 2.
Surface atom concentration and peak area of catalysts.
Figure 5b displays two overlapping peaks at 529.8 eV and 531.5 eV, resulting from the fitting of the O 1s peaks [28]. The peak at 529.8 eV corresponds to lattice oxygen (Oβ), whereas the peak at 531.5 eV corresponds to chemisorbed oxygen (Oα). On the catalyst surface, Oα demonstrates a greater migration rate than Oβ. An elevated ratio of Oα/(Oα + Oβ) improves the oxidation capability of NO at low temperatures and speeds up the SCR reaction during these conditions [24,25,26,27,28,29]. Table 2 demonstrates that Mn/TiO2 (50%) exhibits the highest Mn4+/Mnn+ and Oα/(Oα + Oβ) ratios, suggesting that as the solid content increases, both the Mn4+ concentration and chemisorbed oxygen content on the catalyst surface rise, contributing to its superior catalytic performance at low temperatures. This conclusion once again strongly supports the performance testing results of the catalyst.
2.4. H2-TPR, NH3-TPD Analysis
To explore the impact of varying solid contents on the redox performance of Mn/TiO2 catalysts, H2-TPR tests were conducted on catalysts. Figure 6a displays the H2-TPR spectra for catalysts, revealing three reduction peaks between 250–550 °C. The reduction peak around 300 °C is attributed to the transformation from MnO2 to Mn2O3, the peak near 400 °C to the transition from Mn2O3 to Mn3O4, and the peak near 520 °C to the reduction from Mn3O4 to MnO [30,31,32]. With the increase in solid content of the catalyst, the reduction peaks of the Mn/TiO2 catalysts generally shift towards higher temperatures. Calculations of the peak areas, as detailed in Table 2, reveal that the Mn/TiO2 (50%) catalyst exhibits the largest peak area, suggesting an abundance of reducing substances within the catalyst, therefore enhancing the low-temperature SCR reaction.
Figure 6.
H2-TPR (a) and NH3-TPD (b) spectra of catalysts.
Studies have demonstrated that a positive correlation exists between the number of acidic sites on the surface of catalysts and their catalytic activity. Consequently, catalysts were subjected to NH3-TPD characterization. Figure 6b displays the NH3-TPD spectra for catalysts, revealing two distinct strong desorption peaks. Literature records indicate that the desorption peak near 100 °C is attributed to NH3 adsorbed on Bronsted acidic sites (weak acids) [33,34], while the peak near 300 °C corresponds to NH3 adsorbed on medium-strength acid sites [34]. The surface acidity of the catalyst was semi-quantitatively obtained by calculating the peak area of the NH3-TPD spectrum; as shown in Table 2, the Mn/TiO2 (50%) catalyst exhibited the largest peak area for NH3 desorption, indicating the highest number of acid sites on its surface. Additionally, the graph demonstrates that the Mn/TiO2 (50%) catalyst achieves its peak area at low temperatures ranging from 50 to 150 °C, correlating with its superior low-temperature catalytic activity, which aligns with performance test results.
2.5. In Situ DRIFTS
In order to illustrate the types of ammonia and NO formed by NH3-SCR and the reaction mechanism, in situ drift measurements were conducted on the Mn/TiO2 (50%) catalyst. Figure 7a presents the in situ infrared spectrum of the NO + O2 adsorption reaction over time, following the pre-adsorption of NH3 on the Mn/TiO2 (50%) catalyst at 120 °C. Upon introducing NH3 gas, the absorption peaks at 1195 cm−1 and 1617 cm−1 are attributed to the vibrations of NH3 species on Lewis acidic sites, while the characteristic peaks at 1399 cm−1 and 1691 cm−1 are due to NH4+ on Bronsted acidic sites. Upon introducing NO and O2 into the reaction tank, the peak corresponding to ammonia adsorption decreases. As the levels of NO and O2 in the reaction cells increase, the peak intensities of NH3 (1195 cm−1) on Lewis acidic sites and NH4+ (1691 cm−1) on Bronsted acidic sites gradually diminish. This experiment demonstrates that both NH3 on Lewis acidic sites and NH4+ on Bronsted acidic sites are capable of reacting with NO + O2.
Figure 7.
The in situ infrared spectrum of the NO + O2 (a) (NH3 (b)) reaction, following the pre-adsorption of NH3 (a) (NO + O2 (b)) on the Mn/TiO2 (50%) catalyst at 120 °C.
Figure 7b presents the in situ infrared spectrum of the NH3 adsorption reaction over time, following the pre-adsorption of NO + O2 on the Mn/TiO2 (50%) catalyst at 120 °C. Upon introducing the NO + O2 gas, the absorption peak at 1621 cm−1 is attributed to the weak adsorption peaks of NO and NO2, the peak at 1524 cm−1 to bidentate nitrate, and the peak at 1470 cm−1 to monodentate nitrate. Upon switching to NH3, the intensities of the three absorption peaks remained nearly unchanged, with new characteristic peaks emerging at 1176 and 1613 cm−1, attributed to the characteristic peaks of ammonia species. NO and NO2 adsorbed on the catalyst, along with bidentate and monodentate nitrates, are unable to react with NH3 at low temperatures. As indicated in Figure 7a, the reaction mechanism of the Mn/TiO2 catalyst is determined to be the E-R mechanism (Figure 8) [28].
Figure 8.
E-R reaction mechanism diagram.
3. Experimental Section
3.1. Preparation of Catalysts
A series of Mn/TiO2 catalysts with varying solid contents were synthesized by the sol–gel method. The specific steps are as follows: first, put Ti[CH3(CH2)3O]4 (AR, Sinopharm Chemical, Shanghai, China) into a mixed solution containing CH3COOH (AR, Sinopharm Chemical), CH3CH2OH (AR, Sinopharm Chemical) and ultrapure water (UP, laboratory-made), then add Mn(NO3)2 (AR, 50 wt% in H2O, Shanghai MacLean reagent), stir vigorously at room temperature for 5 h, and then place in a drying oven at 30 °C for 144 h to obtain the gel. The solid obtained was dried at 60 °C for 8 h, then at 120 °C for 8 h, followed by calcination in air atmosphere at 400 °C for 4 h and sieving to produce a 40–60 mesh finished catalyst. The Mn/TiO2 catalysts had solid contents of 20%, 30%, 40%, and 50%, respectively, the Mn/Ti molar ratio was fixed at 0.3. The synthesized catalyst is denoted as Mn/TiO2 (x), where x indicates the solid content of the sol (x = (mTi[CH3(CH2)3O]4 + mMn(NO3)2)/(mTi[CH3(CH2)3O]4 + mMn(NO3)2 + msolvent), x varies with the change of msolvent). The loading amount of active metal remains constant.
3.2. Characterizations
Scanning electron microscopy (JSM-7610FPlus, JEOL, Tokyo, Japan) was employed to observe the microstructure and morphology of the surfaces of catalysts. The stability test of the catalyst before and after the active metal loading test was conducted using an X-ray diffraction spectrometer (EDX-7000, Shimadzu, Kagoshima, Japan). The specific surface area (SSA) and pore volume of catalysts were determined by the N2 adsorption–desorption principle (ASAP2460, Micromeritics, Norcross, GA, USA), and calculated using the Brunauer–Emmett-Teller (BET) and Barrett–Joyner–Halenda (BJH) methods. The crystal structure of catalysts was measured using X-ray diffraction (XRD-7000, Shimadzu, Kagoshima, Japan). X-ray photoelectron spectroscopy (Escalab 250xi, ThermoFisher, Waltham, MA, USA) was used to analyze the valence state and composition of the elements on the catalysts surface, with the Al K Alpha target serving as the excitation source, and the C1s peak (284.8 eV) employed to calibrate the elements for catalysts. H2-TPR and NH3-TPD were measured using a temperature programmed chemical adsorption analyzer TPD/TPR (AutoChem II 2920, Micromeritics, Norcross, GA, USA). Firstly, the catalyst sample was subjected to drying pretreatment at 300 °C, followed by N2 (30 mL/min) blowing for 1 h. Then, NH3 (or H2) was adsorbed for 1 h under 10% NH3/N2 (or 10% H2/N2). The Fourier Transform Infrared Spectrometer (INVENIO S, Bruker, Karlsruhe, Germany) was used for in situ diffuse reflectance infrared spectroscopy experiments. The catalyst sample was purged with N2 at 300 °C for 30 min, and then stabilized at 120 °C for subsequent measurements.
3.3. Performance Testing of Catalysts
The denitrification performance of the catalyst was tested in a fixed-bed quartz tube reactor. As illustrated in Figure 9, the reaction gas comprises 0.6% NO, 0.3% NH3, high-purity O2, and high-purity N2, with respective concentrations of (350 ppm) NO, (350 ppm) NH3, 5% O2, and 5% N2 as the equilibrium gas. The catalyst (40–60 mesh), with a bed height of 1 cm (approximately 0.88 g), was placed at the temperature-controlled section of the reaction tube. The total gas flow rates were set at 300 mL/min and 600 mL/min, and the VHSV values were 24,000 h−1 and 48,000 h−1. An online gas analyzer (GW-2000) was used to measure the NO content in the tail gas following the reaction. A specific gas detection tube (MHY-15232) was used to measure the NH3 content at both the inlet and outlet and an N2O detector (FGD2-C-N2O) was employed to determine the N2O content generated in the reaction’s exhaust gas. The conversion rate of NO and the selectivity towards N2 were calculated using the following Formulas (1) and (2).
Figure 9.
Flowchart of the experimental apparatus for catalyst NH3-SCR performance testing.
4. Conclusions
Mn/TiO2 catalysts with varying solid contents were innovatively prepared by the sol–gel method for NO removal at low temperature. The developed Mn/TiO2 catalysts exhibited outstanding performance in the selective catalytic reduction (SCR) process, utilizing NH3 as the reductant, for NO removal at low temperatures. Furthermore, as the solid content increased, the catalyst’s activity at low temperatures gradually enhanced. Notably, the Mn/TiO2 (50%) catalyst demonstrates outstanding denitration performance, achieving a 96% NO conversion rate at 100 °C, and remained at 99% within the temperature range of 110–250 °C under a VHSV of 24,000 h−1, while maintaining high N2 selectivity and stability. Meanwhile, the correlation mechanism between performance test results and the increase in solid content was discovered through characterization testing: as the solid content increased, the catalyst’s specific surface area, surface Mn4+ concentration, and chemisorbed oxygen content all increased, positively impacting the SCR-NH3 low-temperature activity of the catalyst. Additionally, as the solid content of the catalyst increased, the number of acid sites on the catalyst surface and the reduction performance of the catalyst also increased, thereby enhancing the SCR-NH3 reaction activity at low temperatures. Furthermore, NH3 at the Lewis acidic sites and NH4+ at the Bronsted acidic sites of the catalyst were capable of reacting with NO. Conversely, NO and NO2 adsorbed on the catalyst, along with bidentate and monodentate nitrates, were unable to react with NH3 at low temperatures. Consequently, the developed catalyst’s low-temperature catalytic reaction mechanism aligns with the E-R mechanism.
Author Contributions
Investigation: L.Y., Z.W., B.X., J.H., D.P., G.F., L.Z. and Z.Z.; original manuscript writing: L.Y., B.X. and Z.W.; manuscript review: B.X., J.H., L.Z. and G.F. All authors have read and agreed to the published version of the manuscript.
Funding
This research was supported by the financial assistance provided by the Key Project of the Scientific Research Program of the Hubei Provincial Department of Education (D20201602) and the Hubei Natural Science Foundation (2023AFB385).
Institutional Review Board Statement
The study was conducted in the laboratory of the Hubei Provincial Engineering Technology Research Center of Agricultural and Sideline Resources Chemical Engineering and Utilization, School of Chemistry and Environmental Engineering, Wuhan Polytechnic University and approved by the Institutional Review Board, 2023.
Informed Consent Statement
Not applicable.
Data Availability Statement
The data presented in this study are available on request from the corresponding author.
Acknowledgments
The authors express their gratitude to the laboratory of the Hubei Provincial Engineering Technology Research Center of Agricultural and Sideline Resources Chemical Engineering and Utilization, School of Chemistry and Environmental Engineering, Wuhan Polytechnic University, in whose laboratories the study was carried out.
Conflicts of Interest
The authors declare no conflicts of interest.
References
- Chen, Z.F.; Liao, Y.F.; Chen, Y.; Ma, X.Q. In situ DRIFTS FT-IR and DFT study on Fe-VW/Ti removal of NOx and VOCs. Environ. Sci. Pollut. Res. 2022, 29, 81571–81582. [Google Scholar] [CrossRef] [PubMed]
- Joseph, C.C.; Nguyen, V.H.; Lasek, J.; Chiang, S.W.; Li, D.X.; Jeffrey, C.S. NOx abatement from stationary emission sources by photo-assisted SCR: Lab-scale to pilot-scale studies. Appl. Catal. A 2016, 523, 294–303. [Google Scholar]
- Zhang, B.L.; Zhang, S.G.; Liu, B. Comparative study on transition element doped Mn-Zr-Ti-oxides catalysts for the low-temperature selective catalytic reduction of NO with NH3. React. Kinet. Mech. Catal. 2019, 127, 637–652. [Google Scholar] [CrossRef]
- Yang, S.J.; Qi, F.H.; Dang, H.; Liao, Y.; Wong, P.K.; Li, J.H.; Xiong, H.C. MnOx supported on Fe-Ti spinel: A novel Mn based low temperature SCR catalyst with a high N2 selectivity. Appl. Catal. B-Environ. 2016, 181, 570–580. [Google Scholar] [CrossRef]
- Xu, S.Y.; Chen, J.W.; Li, Z.G.; Liu, Z.M. Highly ordered mesoporous MnOx catalysis for the NH3-SCR of NOx at low temperatures. Appl. Catal. A-Gen. 2023, 649, 118966. [Google Scholar] [CrossRef]
- Gao, Q.; Han, S.; Ye, Q.; Cheng, S.Y.; Kang, T.F.; Dai, H.X. Effects of Lanthanide Doping on the Catalytic Activity and Hydrothermal Stability of Cu-SAPO-18 for the Catalytic Removal of NOx (NH3-SCR) from Diesel Engines. Catalysts 2020, 10, 336. [Google Scholar] [CrossRef]
- Jung, Y.J.; Cha, J.S.; Kim, B.S. Characteristics of deactivation and thermal regeneration of Nb-doped V2O5-WO3/TiO2 catalyst for NH3-SCR reaction. Environ. Res. 2023, 227, 115744. [Google Scholar] [CrossRef] [PubMed]
- Boningari, T.; Pappas, D.K.; Smirniotis, P.G. Metal oxide-confined interweaved titania nanotubes M/TNT (M = Mn, Cu, Ce, Fe, V, Cr, and Co) for the selective catalytic reduction of NOx in the presence of excess oxygen. J. Catal. 2018, 365, 320–333. [Google Scholar] [CrossRef]
- Serrano, L.A.; Monte, M.; Iglesias, J.A.; Pavon, C.P.; Portela, R.; Avila, P. MnOx-support interactions in catalytic bodies for selective reduction of NO with NH3. Appl. Catal. B-Environ. 2019, 256, 117821. [Google Scholar] [CrossRef]
- Li, H.R.; Schill, L.; Gao, Q.; Mossin, S.; Riisager, A. The effect of dopants (Fe, Al) on the low-temperature activity and SO2 tolerance in solvothermally synthesized MnOx NH3-SCR catalysts. Fuel 2024, 358, 130111. [Google Scholar] [CrossRef]
- Zhai, G.P.; Han, Z.T.; Wu, X.T.; Du, H.; Gao, Y.; Yang, S.L.; Song, L.G.; Dong, J.M.; Pan, X.X. Pr-modified MnOx catalysts for selective reduction of NO with NH3 at low temperature. J. Taiwan Inst. Chem. Eng. 2021, 125, 132–140. [Google Scholar] [CrossRef]
- Zhang, Y.P.; Huang, T.J.; Xiao, R.; Xu, H.T.; Shen, K.; Zhou, C.C. A comparative study on the Mn/TiO2-M (M = Sn, Zr or Al) Ox catalysts for NH3-SCR reaction at low temperature. Environ. Technol. 2018, 39, 1284–1294. [Google Scholar] [CrossRef] [PubMed]
- Lee, S.M.; Park, K.H.; Hong, S.C. MnOx/CeO2-TiO2 mixed oxide catalysts for the selective catalytic reduction of NO with NH3 at low temperature. Chem. Eng. J. 2012, 195, 323–331. [Google Scholar] [CrossRef]
- Kim, Y.J.; Kwon, H.J.; Nam, I.S.; Choung, J.W.; Kil, J.K.; Kim, H.J.; Cha, M.S.; Yeo, G.K. High deNOx performance of Mn/TiO2 catalyst by NH3. Catal. Today 2010, 151, 244–250. [Google Scholar] [CrossRef]
- Qi, G.S.; Yang, R.T. Low-temperature selective catalytic reduction of NO with NH3 over iron and manganese oxides supported on titania. Appl. Catal. B-Environ. 2003, 44, 217–225. [Google Scholar] [CrossRef]
- Wang, Y.N.; Zhao, X.T.; Zheng, P.W.; Jiang, H.; Chen, T.; Zhang, Y.R.; Cao, H.L.; Lin, H.; Zhan, R.G. Pd-M-TiO2 (M = Mn, Cu, Ce and Fe) as passive NOx adsorber (PNA) at low temperature. J. Cent. South Univ. 2022, 29, 2253–2265. [Google Scholar] [CrossRef]
- Yan, D.J.; Zhao, J.X.; Li, J.; Abbas, G.; Chen, Z.H.; Guo, T. Improvement of Sb-Modified Mn-Ce/TiO2 Catalyst for SO2 and H2O Resistance at Low-Temperature SCR. Catal. Lett. 2022, 153, 2838–2852. [Google Scholar] [CrossRef]
- Xie, H.D.; He, P.W.; Chen, C.; Yang, C.; Chai, S.; Wang, N.; Ge, C.M. Enhanced Water and Sulfur Resistance by Sm3+ Modification of Ce-Mn/TiO2 for NH3-SCR. Catal. Lett. 2023, 153, 850–862. [Google Scholar] [CrossRef]
- Zhang, Y.P.; Wu, P.; Li, G.B.; Zhuang, K.; Shen, W.; Huang, T.J. Improved activity of Ho-modified Mn/Ti catalysts for the selective catalytic reduction of NO with NH. Environ. Sci. Pollut. Res. 2020, 27, 26954–26964. [Google Scholar] [CrossRef]
- Qi, Y.F.; Shan, X.W.; Wang, M.T.; Hu, D.D.; Song, Y.B.; Ge, P.L.; Wu, J. Study on Low-Temperature SCR Denitration Mechanisms of Manganese-Based Catalysts with Different Carriers. Water Air Soil Pollut. 2020, 231, 1–16. [Google Scholar] [CrossRef]
- Wu, Z.B.; Jiang, B.Q.; Liu, Y. Effect of transition metals addition on the catalyst of manganese/titania for low-temperature selective catalytic reduction of nitric oxide with ammonia. Appl. Catal. B-Environ. 2008, 79, 347–355. [Google Scholar] [CrossRef]
- Lu, X.L.; Song, C.Y.; Jia, S.H.; Tong, Z.S.; Tang, X.L.; Teng, Y.X. Low-temperature selective catalytic reduction of NOx with NH3 over cerium and manganese oxides supported on TiO2-graphene. Chem. Eng. J. 2015, 260, 776–784. [Google Scholar] [CrossRef]
- Chen, L.Q.; Yuan, F.L.; Li, Z.B.; Niu, X.Y.; Zhu, Y.J. Synergistic effect between the redox property and acidity on enhancing the low temperature NH3-SCR activity for NOx removal over the Co0.2CexMn0.8-xTi10 (x = 0–0.40) oxides catalysts. Chem. Eng. J. 2018, 354, 393–406. [Google Scholar] [CrossRef]
- Smirniotis, P.G.; Sreekanth, P.M.; Pena, D.A.; Jenkins, R.G. Manganese oxide catalysts supported on TiO2, Al2O3, and SiO2: A comparison for low-temperature SCR of NO with NH3. Ind. Eng. Chem. Res. 2006, 45, 6436–6443. [Google Scholar] [CrossRef]
- Gao, G.; Shi, J.W.; Liu, C.; Gao, C.; Fan, Z.Y.; Niu, C.M. Mn/CeO2 catalysts for SCR of NOx with NH3: Comparative study on the effect of supports on low-temperature catalytic activity. Appl. Surf. Sci. 2017, 411, 338–346. [Google Scholar] [CrossRef]
- Zhao, K.; Meng, J.P.; Lu, J.Y.; He, Y.; Huang, H.Z.; Tang, Z.C.; Zhen, X.P. Sol-gel one-pot synthesis of efficient and environmentally friendly iron-based catalysts for NH3-SCR. Appl. Surf. Sci. 2018, 445, 454–461. [Google Scholar] [CrossRef]
- Jiang, B.Q.; Liu, Y.; Wu, Z.B. Low-temperature selective catalytic reduction of NO on MnOx/TiO2 prepared by different methods. J. Hazard. Mater. 2009, 162, 1249–1254. [Google Scholar] [CrossRef]
- Niu, C.H.; Wang, B.R.; Xing, Y.; Su, W.; He, C.; Xiao, L.; Xu, Y.; Zhao, S.; Cheng, Y.H.; Shi, J.W. Thulium modified MnOx/TiO2 catalyst for the low-temperature selective catalytic reduction of NO with ammonia. J. Clean. Prod. 2021, 290, 125858. [Google Scholar] [CrossRef]
- Yang, J.; Ren, S.; Zhang, T.S.; Su, Z.H.; Long, H.M.; Kong, M.; Yao, L. Iron doped effects on active sites formation over activated carbon supported Mn-Ce oxide catalysts for low-temperature SCR of NO. Chem. Eng. J. 2020, 379, 122398. [Google Scholar] [CrossRef]
- Wu, P.; Zhang, Y.P.; Zhuang, K.; Shen, K.; Wang, S.; Huang, T.J. Promoting effect and mechanism of neodymium on low-temperature selective catalytic reduction with NH3 over Mn/TiO2 catalysts. J. Rare Earths 2020, 38, 1215–1223. [Google Scholar] [CrossRef]
- Liu, Z.M.; Zhu, J.Z.; Li, J.H.; Ma, L.L.; Woo, S.I. Novel Mn-Ce-Ti mixed-oxide catalyst for the selective catalytic reduction of NOx with NH3. ACS Appl. Mater. 2014, 6, 14500–14508. [Google Scholar] [CrossRef] [PubMed]
- Deng, S.C.; Meng, T.T.; Xu, B.L.; Gao, F.; Ding, Y.H.; Yu, L.; Fan, Y.N. Advanced MnOx/TiO2 catalyst with preferentially exposed anatase {001} facet for low-temperature SCR of NO. ACS Catal. 2016, 6, 5807–5815. [Google Scholar] [CrossRef]
- Putluru, S.S.R.; Schill, L.; Jensen, A.D.; Siret, B.; Tabaries, F.; Fehrmann, R. Mn/TiO2 and Mn-Fe/TiO2 catalysts synthesized by deposition precipitation-promising for selective catalytic reduction of NO with NH3 at low temperatures. Appl. Catal. B-Environ. 2015, 165, 628–635. [Google Scholar] [CrossRef]
- Yao, X.J.; Ma, K.L.; Zou, W.X.; He, S.G.; An, J.B.; Yang, F.M.; Dong, L. Influence of preparation methods on the physicochemical properties and catalytic performance of MnOx-CeO2 catalysts for NH3-SCR at low temperature. Chin. J. Catal. 2017, 38, 146–159. [Google Scholar] [CrossRef]
Disclaimer/Publisher’s Note: The statements, opinions and data contained in all publications are solely those of the individual author(s) and contributor(s) and not of MDPI and/or the editor(s). MDPI and/or the editor(s) disclaim responsibility for any injury to people or property resulting from any ideas, methods, instructions or products referred to in the content. |
© 2024 by the authors. Licensee MDPI, Basel, Switzerland. This article is an open access article distributed under the terms and conditions of the Creative Commons Attribution (CC BY) license (https://creativecommons.org/licenses/by/4.0/).








