Next Article in Journal
Enhancement of Gaseous o-Xylene Elimination by Chlorosulfonic Acid-Modified H-Zeolite Socony Mobil-5
Previous Article in Journal
Pallado-Catalyzed Cascade Synthesis of 2-Alkoxyquinolines from 1,3-Butadiynamides
 
 
Font Type:
Arial Georgia Verdana
Font Size:
Aa Aa Aa
Line Spacing:
Column Width:
Background:
Article

Stationary External Electric Field—Mimicking the Solvent Effect on the Ground-State Tautomerism and Excited-State Proton Transfer in 8-(Benzo[d]thiazol-2-yl)quinolin-7-ol

Institute of Electronics, Bulgarian Academy of Sciences, 1784 Sofia, Bulgaria
*
Author to whom correspondence should be addressed.
Molecules 2024, 29(15), 3506; https://doi.org/10.3390/molecules29153506
Submission received: 10 July 2024 / Revised: 23 July 2024 / Accepted: 23 July 2024 / Published: 26 July 2024
(This article belongs to the Section Physical Chemistry)

Abstract

The effect of the external electric field on the ground-state tautomerism in 8-(benzo[d]thiazol-2-yl)quinolin-7-ol has been studied by using density functional theory. The compound exists as an enol tautomer (off state) and under the influence of the external electric field a long-range intramolecular proton transfer can occur, placing the tautomeric proton at the quinolyl nitrogen atom (on state). This is a result of the much higher dipole moment of the end keto tautomer and indicates that the external electric field can be used to mimic the implicit solvent effect in tautomeric systems. In the excited state, the further stabilization of the most polar on state leads to a situation when the excited-state intramolecular proton transfer becomes impossible, limiting the intramolecular rotation to the conical intersection region.

Graphical Abstract

1. Introduction

The importance of the solvent on relative stabilization of the tautomers has been known since the first days of tautomeric research [1]. In 1896, Claisen in his review [2] defined the major factors that determine the relative stability of the tautomers—the structure (vitally important), the temperature and, if dissolved, the solvent. The most typical and easiest experimental test to prove a moveable tautomeric equilibrium is to measure the absorption spectra of the compound in various solvents [3], and if they differ (and other processes are excluded) the compound exhibits tautomeric forms with near stability, which can be stabilized/destabilized by changing the solvent. The effect of the solvent can be considered at two levels [3,4,5,6,7,8,9]: the implicit solvation, when the solvent acts as a continuum stabilizing/destabilizing the individual tautomers depending on their polarity, and the explicit solvation, where the stabilizing effect of the continuum on a given tautomer can be enlarged, reduced or even nulled depending of the ability to form stable solute–solvent complexes (mainly based on forming intermolecular hydrogen bonding) and their relative strength. In other words, the explicit solvation depends on the ability of the solute and the solvent molecules to interact in a “specific” way, while the implicit effect always exists.
The use of external electric field (EEF) can be considered as an alternative that mimics the implicit solvation [10], based on the fact that the implicit solvent effect is mainly based on stabilization due to different dipole moments. In this way, the EEF, being applied, can give another option to control the tautomeric state in a single solvent without changing the solvent by itself. There are a few examples where the use of EEF with different strengths can potentially change the tautomeric state of the system. Unfortunately, currently there is no reliable experimental evidence that this hypothesis works, and all studies up to now present theoretical results.
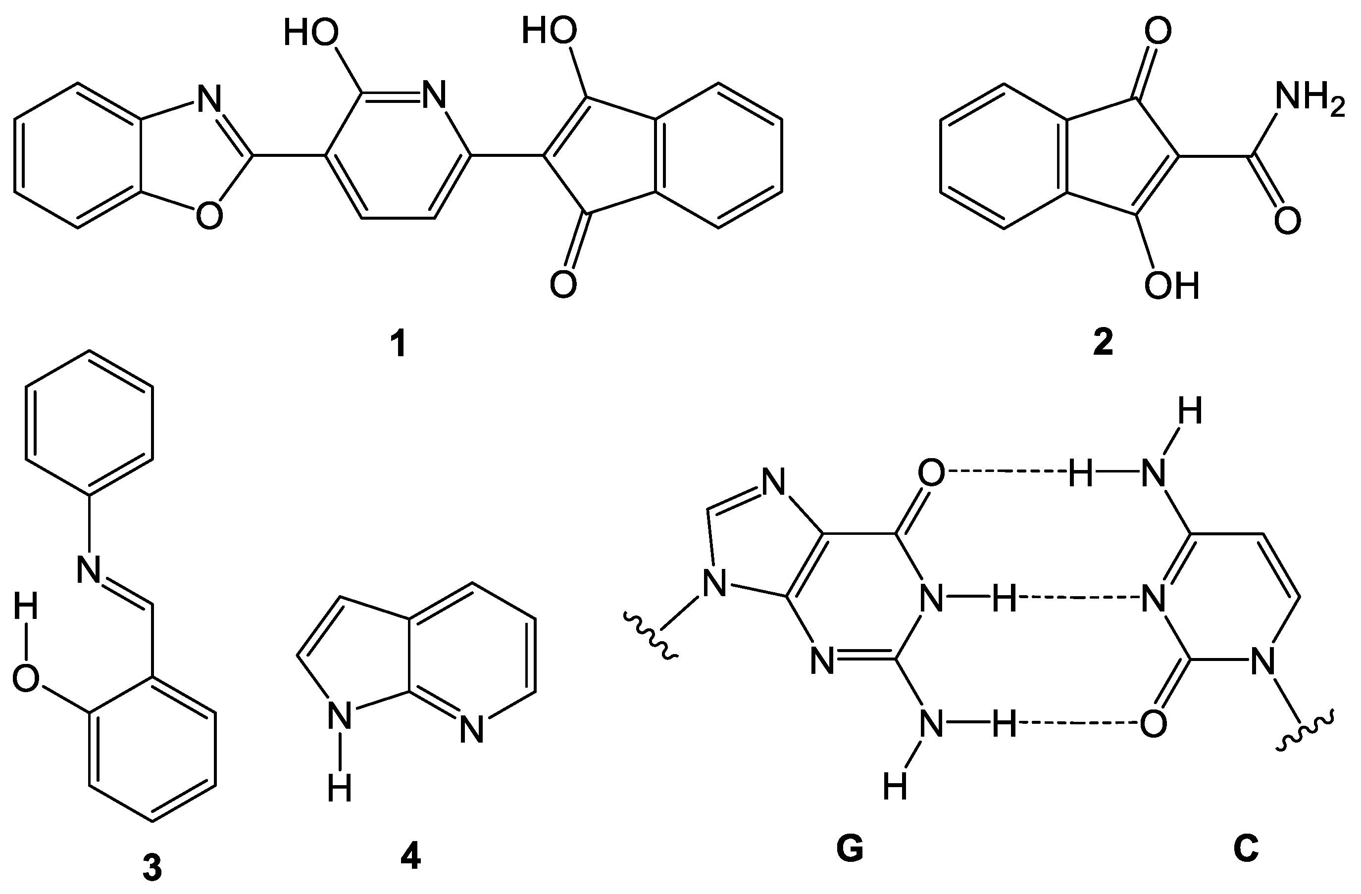
The tautomeric equilibrium of 1 and 2 (Scheme 1) under the influence of EEFs was studied by Enchev et al. [11,12]. The first one is a model system consisting of benzoxazolyl, hydroxypyridyl and indanedionyl fragments, being connected by single bonds, for which MP2 correlated ab initio calculations were used. The results show that the field’s strength and polarity can stabilize different tautomers, based on intramolecular proton transfer, alter the HOMO-LUMO gaps and shift absorption wavelengths. The second study investigates 2-carbamido-1,3-indandione [12], where SCS-MP2 calculations suggest that an electric field as low as 0.0003 a.u. (0.001543 V/Å) can invert the tautomeric equilibrium and stabilize 3-hydroxy-1-oxo-1H-indene-2-carboxamide 2. It should be taken into account that these two tautomers are approximately the same stability, according to the used theoretical model, which makes the shift of the equilibrium relatively easy. Using ab initio quantum chemical calculations and on-the-fly dynamics simulations, Jankowska et al. proposed a novel EEF-driven molecular switch based on intramolecular proton transfer in salicylidene aniline 3 [13]. A stabilization of the keto form is observed when a field (0.01 a.u., corresponding to 0.0514 V/Å) is applied along the main axis of the molecule. Higher field strengths remove the energy barrier of the enol-to-keto transition, making the keto tautomer even more stable. Li et al. used (TD)-DFT calculations to show the effect of the static electric fields on water-assisted proton transfer in 7-azaindole 4 [14]. The EFs, applied in various directions, significantly impact the reaction energetics or the synchronism/asynchronism of intermolecular double-proton transfer. Fields aligned with the net proton transfer direction stabilize specific tautomers, tuning the thermodynamic balance and barrier heights in both ground and excited states. By using DFT calculations, Arabi et al. investigated the Watson–Crick guanin–cytosine (GC, see Scheme 1) base pair under the influence of EFs [15,16]. Strong fields ~ 2.57 × 107 V/cm ( 0.027 a.u.) applied along the +x direction (G to C) accelerate the reaction and favor the formation of rare tautomers. However, weaker fields or those in the -x direction maintain DNA fidelity.
In fact, the tautomeric compounds can be considered as proton exchanging switching systems in which the switching process can be triggered by changing the solvent. This is easy to do in laboratory conditions, but it is technologically inconvenient if a real switching application is sought. Very recently, we have described a highly efficient tautomeric switching system [17], namely 8-(benzo[d]thiazol-2-yl)quinolin-7-ol (HQBT, Scheme 2), where the proton is transferred from the oxygen of the 7-hydroxy quinoline to the nitrogen upon irradiation in a series of consecutive steps (Scheme 2). The efficiency of the process strongly depends on the relative stability of the ground-state end tautomeric forms E (off state) and K (on state) as well as on the intermediate KE and KK. Actually, the switching of this compound very clearly shows the importance of the solvent. In toluene, the KK and K tautomers are similar in energy, which does not allow for the achievement of clean switching to K (Figure 1), while the strong solvent stabilization of the more polar K-form leads to a clean switching with >95% efficiency in acetonitrile.
This opens an interesting question—is it possible to find additional stimulus that can make a clean switching in toluene? This is a general question not only for this particular compound but for any equilibrium system in general. Therefore, in the current study we will theoretically investigate the influence of the EEF on the ground and excited-state tautomerism of HQBT in toluene and how the photoswithching mechanism, based on long-range intramolecular proton transfer (LRIPT), is affected by the changes. The compound has been selected because its switching mechanism has been experimentally studied in detail and there is a theoretical methodology which correctly describes the experimental data [17]. The same (TD)-DFT methodology is used in this paper. To the best of our knowledge, this is the first study on the EEF effect as a mimic of the solvent polarity change in switching systems with LRIPT.

2. Results and Discussion

2.1. Switching of HQBT in the Absence of EEF

The processes of tautomerism and photoswitching of HQBT are sketched in Figure 1. According to the experimental data, the compound exists as a single E tautomer in solution giving absorbance at around 360 nm [17]. The theoretical data also predict a substantial stability of the enol form against the other possible three tautomers. Emission is detected at around 440 nm, corresponding to a fast ESIPT to KE* and consecutive relaxation from KE to E by ground-state intramolecular PT (GSIPT). If the Gibbs free energies are taken into account, both E* to KE* ESIPT and KE to E GSIPT can be considered as barrierless, see Figure 1. The same is suggested for the ESIPT by using coupled cluster calculations [17]. In other words, in the absence of irradiation, the processes are located in the PT region I as indicated in Figure 1.
The intramolecular hydrogen bonding is broken upon irradiation in a substantial part of the existing KE* tautomers, and as a result of a rotation around the double bond, connecting benzothiazole and quinoline rings, the excited particles relax to the ground state through a conical intersection (twisting region, Figure 1). The twist of the benzothiazole rotor roughly corresponds to the rings being perpendicular, which leads to simultaneous population of the ground-state KE and KK. In the frame of the PT region I, the initial enol is restored, while the PT region II leads to obtainment of K. The slow thermal relaxation of K back to E, compared to the very fast ESIPT/GSIPT cycle E*KE*KEE in the PT region I, allows for the accumulation of K (the on state), while the irradiation is turned on. The appearance and accumulation of K can be monitored as red shifted absorption at 460 nm, as suggested by the simulated spectra shown in Figure 2. A new emission coming from the K-form is observed around 560 nm, most probably originating from K* [17]. As seen from Figure 1 the excited K is low in energy, which makes the ESIPT to KK* less possible. The excited-state DLPNO-STEOM-CCSD calculations also suggest the relative stabilization of K* in respect to KK* [17]. The accumulated K relaxes thermally to E when the irradiation is switched off.

2.2. The Effect of EEF in Solution

In order to facilitate the effect of the homogeneous EEF on the ground and excited-state PES of HQBT, some important details should be taken into account. As noticed before [10,18], a substantial part of the applied field strength is initially used to orient the solvent molecules. Therefore, to minimize this effect, toluene is used as a solvent in the current study. The toluene is low polar (μ = 0.31 D), neither a proton acceptor nor a proton donor solvent, from one side, which allows for the neglect of the solvent component of the EEF effect [19] in respect to the much more polar HQBT tautomers (see Figure 3). On the other side, previous experimental data for the ground-state tautomerism and switching of this compound [17], confirming the agreement between the theoretical DFT approach, used in the current study, and the experiment, are available in toluene.
As shown in Figure 3 and Figure S1, the studied tautomers and transition states structures in both ground and excited state have been oriented in a local coordinate system in a way that the dipole moment vector coincides with the X-axis. This allows for facilitation of the effect of the EEF being applied in the direction of this axis and the neglect of the effect of the EEF being applied in direction of the other two axes.
According to the general expectations, if the rotation of the structure around the Z-axis is not allowed, the EEF applied in the direction of X (i.e., in the direction of the dipole moment) stabilizes the structure and vice versa. As an example, the change in the energy of the corresponding ground-state tautomeric and transition-state structures as a function of the applied EEF and its direction is shown in Figure S2. As expected, the positive (stabilization) and negative (destabilization) effects of the EEF are related to the dipole moment of the corresponding structure—moderate in the case of E, for instance, and very dramatic in the case of the strongly polar K and TS(KE-KK).
The concept that the EEF, applied in the direction opposite to the structure dipole moment vector, destabilizes the structure is generally correct. However, the effects similar to those shown in Figure S2 can be considered in an infinite time scale only if the structure is fixed to the local coordinate system, which is the case of molecules deposed on a surface or being placed in an extremely viscous environment (polymer matrix). In solution, the structures placed in a stationary EEF, acting in the direction opposite to the dipole moment vector, should re-orient spontaneously in order to reduce this effect, and this happens in a relatively short time scale. This is actually demonstrated in Figure 4. In the left part of the figure, a structure is placed where the EEF is applied in the direction of the X-axis. The further stabilization of the structure is the net result. If the structure is constrained to the local coordinate system (in the current case this means that the rotation around Z-axis is not allowed) and the EEF is applied in the direction opposite to the X-axis, the structure is destabilized (Figure 4, in the middle). However, if the structure can compensate for the EEF effect by free rotation in the space, the orientation of the molecule leads to a dipole moment in the direction of the applied field as a net effect. This is shown in Figure 4, right. As a result of the free rotation in the space possible within the solution, the structures in Figure 4 left and right have exactly the same energy, although the initial direction of the EEF is exactly opposite. In other words, although the “opposite” EEF effect can be speculated, as is done for some tautomeric systems in solution [11,12,20], in actuality, the final stabilization of the structure in solution does not depend on the direction of the stationary EEF but on its strength and on the dipole moment of the corresponding structure. For this reason, we consider below only effects with a stationary EEF applied in the direction of the dipole moment vector. The same approach is applied in the study of the ESIPT of 2,5-bis(benzoxazol-2-yl)thiophene-3,4-diol in chloroform [21].
Bearing in mind the dipole moments of the ground (Figure 3) and excited-state (Figure S1) tautomers of HQBT, it is relatively easy to build some expectations about the EEF effect. In the ground state, the dipole moments of TS(KE-KK) and of the structures from the PT region II are substantially higher, which with the increasing strength of the EEF could lead to their stabilization and destabilization of the E and KE tautomers. The overall picture in the ground state is shown in Figure 5. In the absence of EEF, the E tautomer is the most stable and is only presented in solution. As seen from the Figure, with the increase in strength of the EEF, the K-tautomer becomes more stable, which finally leads to a full, ground state, switching from E to K. However, the process of relaxation of K back to E, when the EEF is turned off, is expected to be approximately the same rate because the barrier, determined by TS(KE-KK), in respect to K remains approximately the same (from ~25 kcal/mol in the absence of EEF to ~26 kcal/mol at an EEF of strength 0.01 au). This result indicates that the EEF can be used as a stimulus for ground-state LRIPT-based switching if the relative polarities of the on and off state differ substantially. This is based on the thermodynamic distribution of the species and does not answer the question of how the LRIPT could happen as a mechanism.
To go into detail, at an EEF in the range of 0.004–0.005 au, the E and K tautomers become equally stable, as seen in Figure 5 and Figure 6, top. This means that in a relatively short period, the energy of TS(KE-KK) is reduced substantially, and after the EEF has been applied, spectral evidence for shifting the equilibrium towards K should be available with the appearance of a red-shifted shoulder around 440–410 nm (see Figure S3). The existence of both E and K simultaneously could lead to the appearance of the emission coming from K* along with existing ESIPT-based emission from KE*. As is seen, the changes in the excited state are not substantial, but the relative stabilization of KK* and the reduction in the TS(KK*-K*) might lead to an additional weak ESIPT emission. In general, the co-existence of E and K in the ground state makes the system unsuitable for clean switching, Clean switching is considered as a switching process starting from the pure off state (in this particular case—E) and ending to the pure on state (here—K) when a suitable external stimulus is applied. Upon irradiation, depending on the possibility for ESIPT from K* to KK*, two scenarios are possible. If there is such ESIPT followed by rotation of the rotor in respect to the stator, the irradiation could cause slight fluctuations in the proportion between E and K, because two opposite switching processes could be in action (from E to K and from K to E). However, the increase in the EEF strength stimulates the intramolecular charge separation and the breakage of the intramolecular hydrogen bonding in the excited state, and the twisting after that could become more energy demanding and less efficient. In such a case, the parallel mutually independent PT processes in PT regions I and II could dominate. In the opposite case, if there is no ESIPT, accumulation of K could be expected ending in an ideal case of the full disappearance of E.
The further increase in the EEF leads to further stabilization of the structures in the PT region II as shown in Figure 6, bottom. At an EEF of 0.01 au, the K tautomer should only be presented in solution some period after turning on the field, thus performing a clean switching from E. In this way, we show that a complete shift of the tautomeric state of HQBT is possible without applying irradiation or changing the solvent. However, comparing the absorption spectra of E and K before (Figure 2) and after (Figure S4) the EEF-based switching, it seems that the switching event would be hard to detect. The increase in the strength of the EEF leads to a decrease in the HOMO-LUMO gap in E (see Table S1), causing a slight red shift. Exactly the opposite effect is observed in the case of K, where the oscillator strengths are rising in addition. All this together leads to a situation where the spectra of E and K overlap in a way that it is difficult to distinguish. This is evident in Figures S4 and S5. No substantial changes in the excited state could be expected at this EEF upon irradiation, for the reasons discussed above, which makes the photoinduced population of E from K highly unlikely. As is seen, the K* tautomer becomes more and more stabilized in respect to KK*, which reduces the possibility for ESPIT to KK* and consecutive rotation to the conical intersection region. In this case the only way to achieve the restoration of the originally existing E form is to turn off the EEF.

2.3. Theoretical Methodology

Quantum-chemical calculations were performed using the Gaussian 16 C.01 program suite [22]. All structures (in both ground and excited state, in absence or presence of EEF) were optimized without restrictions, using tight optimization criteria and an ultrafine grid in the computation of two-electron integrals and their derivatives. The true minima were verified by performing frequency calculations in the corresponding environment. The implicit solvation was described using the Polarizable Continuum Model [23] (the integral equation formalism variant, IEFPCM, as implemented in Gaussian 16). The transition states were estimated using the STQN method [24] and again verified by performing frequency calculations in the corresponding environment. The effect of the external electric field was modelled by adding a finite electric dipole field as implemented in Gaussian 16. The internal coordinate system was oriented in a way that the X-axis coincides with the dipole moment vector.
The M06-2X [25,26] functional with the def2TZVPP [27] basis set was used for the structure optimizations in the ground state. The use of M06-2X provides very good predictability in the ground-state [17,28,29,30,31,32] tautomeric composition in tautomeric compounds and proton cranes in solution as well as the E/Z isomerization ratio in some rotary switches.
The TD-DFT method [33,34,35] was used for the singlet excited-state optimizations. For consistency with the ground-state calculations, the M06-2X functional with the desf2TZVPP basis set was again used for the optimizations. Previously, we have shown [17] that in the case of HQBT, the results for the excited-state PESs, obtained by M06-2X and CAM-B3LYP, are essentially the same. In addition, the DFT results for both ground and excited state were validated [17] by using domain-based local pair natural orbital coupled cluster singles and doubles and perturbative triple excitations (DLPNO-CCSD(T) [36]), and domain-based local pair natural orbital-similarity transformed equation of motion coupled cluster singles and doubles (DLPNO-STEOM-CCSD [37]), respectively.
Bearing in mind that M06-2X systematically underestimates the absorption band positions [38], the UV–Vis spectral data were predicted by using the B3LYP [39] functional (def2TZVPP basis set) using the M06-2X optimized ground-state geometries. The spectra were simulated according to the methodology described previously by us [40] by using single Gauss shape band half-band width ( Δ ν 1 / 2 ) of 3000 cm−1.

3. Conclusions

We have shown theoretically that in the case of HQBT, the increase in the strength of the EEF can lead to complete ground-state switching from the enol to the end keto tautomer K. This is a result of the much larger dipole moment of K. In other words, the increase in the EFF mimics the change in the solvent with another, with continuously increasing polarity. This could be of practical importance in any equilibrium process. Since the use of EEF leads to strong stabilization of K* and makes it more difficult to break the intramolecular hydrogen bonding, photochemical switching from K to E could not be expected.

Supplementary Materials

The following are available online at https://www.mdpi.com/article/10.3390/molecules29153506/s1, Figure S1: Direction of the dipole moment vectors (in light blue) of the first singlet excited state tautomeric forms and transition states of HQBT in respect of the local coordinate system (in green). The atoms are given as follows: O (red), N (blue), S (yellow), C (grey), H (white). The values of the dipole moments and twisting angle are given for information. Figure S2: Relative stabilization (relative energy, up, relative Gibbs free energy, down) of the tautomers of HQBT and the transition states between them in toluene as a function of the strength and direction of the EEF in respect of the X-axis. Figure S3: Theoretically predicted spectra of the tautomers of HQBT in toluene in presence of EEF of 0.005 au, given as simulated absorption curves (left) and transitions with corresponding oscillator strength (right). Figure S4: Theoretically predicted spectra of the tautomers of HQBT in toluene in presence of EEF of 0.01 au, given as simulated absorption curves (left) and transitions with corresponding oscillator strength (right). Figure S5. Evolution of the spectra to be measured as a function of the EEF. Each spectrum is a function of the fractions of the individual tautomers and their individual spectra. Table S1. Theoretically predicted long-wavelength absorption bands, with corresponding oscillator strengths, of the tautomeric forms of HQBT in toluene at different strength of the EEF.

Author Contributions

Conceptualization, L.A.; methodology, L.A. and L.Z.; validation, I.A.; investigation, L.Z. and I.A.; resources, L.A.; writing—original draft preparation, L.A., L.Z. and I.A.; writing—review and editing, L.A.; visualization, L.Z.; supervision, L.A.; funding acquisition, L.A. All authors have read and agreed to the published version of the manuscript.

Funding

This research was funded by Bulgarian National Science Fund, grant number KP-06-DV-9.

Institutional Review Board Statement

Not applicable.

Informed Consent Statement

Not applicable.

Data Availability Statement

The data presented in this study are available in the article and Supplementary Materials.

Acknowledgments

The authors thank the Bulgarian National Science Fund, National Research Program VIHREN by the project T-Motors (contracted as KP-06-DV-9/2019) for the financial support for this investigation. The theoretical calculations were carried out using the infrastructure purchased under the National Roadmap for RI, financially coordinated by the MES of the Republic of Bulgaria (grant No D01-325/01.12.2023).

Conflicts of Interest

The authors declare no conflict of interest.

References

  1. Taylor, P.J.; van der Zwan, G.; Antonov, L. Tautomerism: Introduction, History, and Recent Developments in Experimental and Theoretical Methods. In Tautomerism: Methods and Theories; Antonov, L., Ed.; Wiley-VCH: Weinheim, Germany, 2013; pp. 1–24. ISBN 978-3-527-65882-4. [Google Scholar]
  2. Claisen, L. Beitrage Zur Kenntniss Der 1,3-Diketone Und Verwandter Verbindungen. Annalen 1896, 291, 25–137. [Google Scholar] [CrossRef]
  3. Antonov, L. Absorption UV-Vis Spectroscopy and Chemometrics: From Qualitative Conclusions to Quantitative Analysis. In Tautomerism: Methods and Theories; Antonov, L., Ed.; Wiley-VCH: Weinheim, Germany, 2013; pp. 25–47. ISBN 978-3-527-65882-4. [Google Scholar]
  4. Powling, J.; Bernstein, H.J. The Effect of Solvents on Tautomeric Equilibria. J. Am. Chem. Soc. 1951, 73, 4353–4356. [Google Scholar] [CrossRef]
  5. Mitsuishi, M.; Kamimura, R.; Ieda, M.; Shinohara, K.; Ishii, N. Tautomerism of 4-phenylazo-1-naphthol in Organic Solvent-water Mixtures. Sen-i Gakkaishi 1976, 32, T382–T388. [Google Scholar] [CrossRef]
  6. Spencer, J.N.; Holmboe, E.S.; Kirshenbaum, M.R.; Firth, D.W.; Pinto, P.B. Solvent Effects on the Tautomeric Equilibrium of 2,4-Pentanedione. Can. J. Chem. 1982, 60, 1178–1182. [Google Scholar] [CrossRef]
  7. Ishida, T.; Hirata, F.; Kato, S. Thermodynamic Analysis of the Solvent Effect on Tautomerization of Acetylacetone: An Ab Initio Approach. J. Chem. Phys. 1999, 110, 3938–3945. [Google Scholar] [CrossRef]
  8. Antonov, L.; Kawauchi, S.; Satoh, M.; Komiyama, J. Ab Initio Modeling of the Solvent Influence on the Azo-Hydrazone Tautomerism. Dyes Pigm. 1999, 40, 163–170. [Google Scholar] [CrossRef]
  9. Reichardt, C.; Welton, T. Solvents and Solvent Effects in Organic Chemistry; Wiley-VCH Verlag GmbH & Co. KGaA: Weinheim, Germany, 2010; ISBN 978-3-527-63222-0. [Google Scholar]
  10. Angelov, I.; Zaharieva, L.; Antonov, L. Effects and Influence of External Electric Fields on the Equilibrium Properties of Tautomeric Molecules. Molecules 2023, 28, 695. [Google Scholar] [CrossRef] [PubMed]
  11. Enchev, V.; Monev, V.; Markova, N.; Rogozherov, M.; Angelova, S.; Spassova, M. A Model System with Intramolecular Hydrogen Bonding: Effect of External Electric Field on the Tautomeric Conversion and Electronic Structures. Comput. Theor. Chem. 2013, 1006, 113–122. [Google Scholar] [CrossRef]
  12. Enchev, V.; Markova, N. Effect of External Electric Field on the Tautomeric Equilibrium and Structure of 2-carbamido-1,3-indandione. Int. J. Quantum Chem. 2021, 121, e26760. [Google Scholar] [CrossRef]
  13. Jankowska, J.; Sadlej, J.; Sobolewski, A.L. Electric Field Control of Proton-Transfer Molecular Switching: Molecular Dynamics Study on Salicylidene Aniline. Phys. Chem. Chem. Phys. 2015, 17, 14484–14488. [Google Scholar] [CrossRef]
  14. Li, Y.; Li, Y.; Su, Q.; Wang, B.; Guo, N.; Liu, F. Tuning of Energetics and Reaction Mechanism of Water-Assisted Intramolecular Proton Transfer of 7-Azaindole by External Electric Field Applied in Various Directions: A TD-DFT Study. Theor. Chem. Acc. 2017, 136, 27. [Google Scholar] [CrossRef]
  15. Arabi, A.A.; Matta, C.F. Effects of Intense Electric Fields on the Double Proton Transfer in the Watson–Crick Guanine–Cytosine Base Pair. J. Phys. Chem. B 2018, 122, 8631–8641. [Google Scholar] [CrossRef]
  16. Gheorghiu, A.; Coveney, P.V.; Arabi, A.A. The Influence of External Electric Fields on Proton Transfer Tautomerism in the Guanine–Cytosine Base Pair. Phys. Chem. Chem. Phys. 2021, 23, 6252–6265. [Google Scholar] [CrossRef] [PubMed]
  17. Rehhagen, C.; Argüello Cordero, M.A.; Kamounah, F.S.; Deneva, V.; Angelov, I.; Krupp, M.; Svenningsen, S.W.; Pittelkow, M.; Lochbrunner, S.; Antonov, L. Reversible Switching Based on Truly Intramolecular Long-Range Proton Transfer–Turning the Theoretical Concept into Experimental Reality. J. Am. Chem. Soc. 2024, 146, 2043–2053. [Google Scholar] [CrossRef]
  18. Dutta Dubey, K.; Stuyver, T.; Kalita, S.; Shaik, S. Solvent Organization and Rate Regulation of a Menshutkin Reaction by Oriented External Electric Fields Are Revealed by Combined MD and QM/MM Calculations. J. Am. Chem. Soc. 2020, 142, 9955–9965. [Google Scholar] [CrossRef]
  19. Ciampi, S.; Darwish, N.; Aitken, H.M.; Díez-Pérez, I.; Coote, M.L. Harnessing Electrostatic Catalysis in Single Molecule, Electrochemical and Chemical Systems: A Rapidly Growing Experimental Tool Box. Chem. Soc. Rev. 2018, 47, 5146–5164. [Google Scholar] [CrossRef]
  20. Wang, Y.; Ren, F.; Cao, D. A Dynamic and Electrostatic Potential Prediction of the Prototropic Tautomerism between Imidazole 3-Oxide and 1-Hydroxyimidazole in External Electric Field. J. Mol. Model. 2019, 25, 330. [Google Scholar] [CrossRef] [PubMed]
  21. Zhao, J.; Zheng, Y. Elaboration and Controlling Excited State Double Proton Transfer Mechanism of 2,5-Bis(Benzoxazol-2-Yl)Thiophene-3,4-Diol. Sci. Rep. 2017, 7, 44897. [Google Scholar] [CrossRef]
  22. Frisch, M.J.; Trucks, G.W.; Schlegel, H.B.; Scuseria, G.E.; Robb, M.A.; Cheeseman, J.R.; Scalmani, G.; Barone, V.; Petersson, G.A.; Nakatsuji, H.; et al. Gaussian 16 Rev. C.01; Gaussian, Inc.: Wallingford, CT, USA, 2016. [Google Scholar]
  23. Tomasi, J.; Mennucci, B.; Cammi, R. Quantum Mechanical Continuum Solvation Models. Chem. Rev. 2005, 105, 2999–3094. [Google Scholar] [CrossRef]
  24. Peng, C.; Ayala, P.Y.; Schlegel, H.B.; Frisch, M.J. Using Redundant Internal Coordinates to Optimize Equilibrium Geometries and Transition States. J. Comput. Chem. 1996, 17, 49–56. [Google Scholar] [CrossRef]
  25. Zhao, Y.; Truhlar, D.G. Density Functionals with Broad Applicability in Chemistry. Acc. Chem. Res. 2008, 41, 157–167. [Google Scholar] [CrossRef] [PubMed]
  26. Zhao, Y.; Truhlar, D.G. The M06 Suite of Density Functionals for Main Group Thermochemistry, Thermochemical Kinetics, Noncovalent Interactions, Excited States, and Transition Elements: Two New Functionals and Systematic Testing of Four M06-Class Functionals and 12 Other Functionals. Theor. Chem. Acc. 2008, 120, 215–241. [Google Scholar] [CrossRef]
  27. Weigend, F.; Ahlrichs, R. Balanced Basis Sets of Split Valence, Triple Zeta Valence and Quadruple Zeta Valence Quality for H to Rn: Design and Assessment of Accuracy. Phys. Chem. Chem. Phys. 2005, 7, 3297–3305. [Google Scholar] [CrossRef] [PubMed]
  28. Kawauchi, S.; Antonov, L. Description of the Tautomerism in Some Azonaphthols. J. Phys. Org. Chem. 2013, 26, 643–652. [Google Scholar] [CrossRef]
  29. Rayne, S.; Forest, K. A Comparative Examination of Density Functional Performance against the ISOL24/11 Isomerization Energy Benchmark. Comput. Theor. Chem. 2016, 1090, 147–152. [Google Scholar] [CrossRef]
  30. Antonov, L. Tautomerism in Azo and Azomethyne Dyes: When and If Theory Meets Experiment. Molecules 2019, 24, 2252. [Google Scholar] [CrossRef] [PubMed]
  31. Deneva, V.; Vassilev, N.G.; Hristova, S.; Yordanov, D.; Hayashi, Y.; Kawauchi, S.; Fennel, F.; Völzer, T.; Lochbrunner, S.; Antonov, L. Chercher de l’eau: The Switching Mechanism of the Rotary Switch Ethyl-2-(2-(Quinolin-8-Yl)Hydrazono)-2-(Pyridin-2-Yl)Acetate. Comput. Mater. Sci. 2020, 177, 109570. [Google Scholar] [CrossRef]
  32. Georgiev, A.; Yordanov, D.; Ivanova, N.; Deneva, V.; Vassilev, N.; Kamounah, F.S.; Pittelkow, M.; Crochet, A.; Fromm, K.M.; Antonov, L. 7-OH Quinoline Schiff Bases: Are They the Long Awaited Tautomeric Bistable Switches? Dyes Pigm. 2021, 195, 109739. [Google Scholar] [CrossRef]
  33. Bauernschmitt, R.; Ahlrichs, R. Treatment of Electronic Excitations within the Adiabatic Approximation of Time Dependent Density Functional Theory. Chem. Phys. Lett. 1996, 256, 454–464. [Google Scholar] [CrossRef]
  34. Improta, R. UV-Visible Absorption and Emission Energies in Condensed Phase by PCM/TD-DFT Methods. In Computational Strategies for Spectroscopy; Barone, V., Ed.; John Wiley & Sons, Inc.: Hoboken, NJ, USA, 2011; pp. 37–75. ISBN 978-1-118-00872-0. [Google Scholar]
  35. Liu, J.; Liang, W. Analytical Approach for the Excited-State Hessian in Time-Dependent Density Functional Theory: Formalism, Implementation, and Performance. J. Chem. Phys. 2011, 135, 184111. [Google Scholar] [CrossRef]
  36. Guo, Y.; Riplinger, C.; Becker, U.; Liakos, D.G.; Minenkov, Y.; Cavallo, L.; Neese, F. Communication: An Improved Linear Scaling Perturbative Triples Correction for the Domain Based Local Pair-Natural Orbital Based Singles and Doubles Coupled Cluster Method [DLPNO-CCSD(T)]. J. Chem. Phys. 2018, 148, 011101. [Google Scholar] [CrossRef] [PubMed]
  37. Berraud-Pache, R.; Neese, F.; Bistoni, G.; Izsák, R. Unveiling the Photophysical Properties of Boron-Dipyrromethene Dyes Using a New Accurate Excited State Coupled Cluster Method. J. Chem. Theory Comput. 2020, 16, 564–575. [Google Scholar] [CrossRef] [PubMed]
  38. Antonov, L.; Kawauchi, S.; Okuno, Y. Prediction of the Color of Dyes by Using Time-Dependent Density Functional Theory. Bulg. Chem. Commun. 2014, 46, 228–237. [Google Scholar]
  39. Becke, A.D. Density-functional Thermochemistry. III. The Role of Exact Exchange. J. Chem. Phys. 1993, 98, 5648–5652. [Google Scholar] [CrossRef]
  40. Nedeltcheva-Antonova, D.; Antonov, L. Ground-State Tautomerism and Excited-State Proton Transfer in 7-Hydroxy-4-Methyl-8-((Phenylimino)Methyl)-2H-Chromen-2-One as a Potential Proton Crane. Physchem 2024, 4, 91–105. [Google Scholar] [CrossRef]
Scheme 1. Compounds for which tautomerism has been studied under EEF up to now.
Scheme 1. Compounds for which tautomerism has been studied under EEF up to now.
Molecules 29 03506 sch001
Scheme 2. Ground-state tautomeric forms of HQBT. The angle of rotation of the rotor (benzothiazole) against the stator (7-hygroxy quinoline) is indicated in pink as a twisting angle α.
Scheme 2. Ground-state tautomeric forms of HQBT. The angle of rotation of the rotor (benzothiazole) against the stator (7-hygroxy quinoline) is indicated in pink as a twisting angle α.
Molecules 29 03506 sch002
Figure 1. Potential energy surface (PES) of HQBT in toluene in ground and first singlet excited state. The stationary forms are indicated in blue, the transition states—in red and the Frank–Condon state—in green. The numerical values present relative energy DE/relative Gibbs free energy DG and are given in kcal/mol units. The ground-state PES in acetonitrile is presented with the same colors but in transparency. In the excited state, the oscillator strength and the angle of rotation of the rotor against the stator are given in brackets, the latter is underlined.
Figure 1. Potential energy surface (PES) of HQBT in toluene in ground and first singlet excited state. The stationary forms are indicated in blue, the transition states—in red and the Frank–Condon state—in green. The numerical values present relative energy DE/relative Gibbs free energy DG and are given in kcal/mol units. The ground-state PES in acetonitrile is presented with the same colors but in transparency. In the excited state, the oscillator strength and the angle of rotation of the rotor against the stator are given in brackets, the latter is underlined.
Molecules 29 03506 g001
Figure 2. Theoretically predicted spectra of the ground-state tautomers of HQBT in toluene given as simulated absorption curves (left) and single transitions with corresponding oscillator strengths (right).
Figure 2. Theoretically predicted spectra of the ground-state tautomers of HQBT in toluene given as simulated absorption curves (left) and single transitions with corresponding oscillator strengths (right).
Molecules 29 03506 g002
Figure 3. Direction of the dipole moment vectors (in light blue) of the ground-state tautomeric forms and transition states of HQBT in respect to the local coordinate system (in green). The atoms are given as follows: O (red), N (blue), S (yellow), C (grey), H (white). The values of the dipole moments and twisting angle (see Scheme 2) are given for information.
Figure 3. Direction of the dipole moment vectors (in light blue) of the ground-state tautomeric forms and transition states of HQBT in respect to the local coordinate system (in green). The atoms are given as follows: O (red), N (blue), S (yellow), C (grey), H (white). The values of the dipole moments and twisting angle (see Scheme 2) are given for information.
Molecules 29 03506 g003
Figure 4. Orientation of E in respect to the local coordinate system when the rotation around the Z-axis is allowed and EEF is applied in the direction of the dipole moment (left) and against it (right). In the middle, the result with a molecule, fixed in respect to the Z-axis, is shown when the EEF is applied against the direction of the dipole moment. In this particular case the applied EEF is of 0.005 au.
Figure 4. Orientation of E in respect to the local coordinate system when the rotation around the Z-axis is allowed and EEF is applied in the direction of the dipole moment (left) and against it (right). In the middle, the result with a molecule, fixed in respect to the Z-axis, is shown when the EEF is applied against the direction of the dipole moment. In this particular case the applied EEF is of 0.005 au.
Molecules 29 03506 g004
Figure 5. Contour map of the ground-state PESs of HQBT in toluene presented as a function of the EEF strength.
Figure 5. Contour map of the ground-state PESs of HQBT in toluene presented as a function of the EEF strength.
Molecules 29 03506 g005
Figure 6. Potential energy surface (PES) of HQBT in toluene in ground and first singlet excited state at EEF of 0.005 (A) and 0.01 (B) au. The stationary forms are indicated in blue, the transition states—in red, the Frank–Condon state—in green. The numerical values present relative energy DE/relative Gibbs free energy DG and are given in kcal/mol units. In the excited state, the oscillator strength and the angle of rotation of the rotor against the stator are given in brackets, the latter is underlined.
Figure 6. Potential energy surface (PES) of HQBT in toluene in ground and first singlet excited state at EEF of 0.005 (A) and 0.01 (B) au. The stationary forms are indicated in blue, the transition states—in red, the Frank–Condon state—in green. The numerical values present relative energy DE/relative Gibbs free energy DG and are given in kcal/mol units. In the excited state, the oscillator strength and the angle of rotation of the rotor against the stator are given in brackets, the latter is underlined.
Molecules 29 03506 g006aMolecules 29 03506 g006b
Disclaimer/Publisher’s Note: The statements, opinions and data contained in all publications are solely those of the individual author(s) and contributor(s) and not of MDPI and/or the editor(s). MDPI and/or the editor(s) disclaim responsibility for any injury to people or property resulting from any ideas, methods, instructions or products referred to in the content.

Share and Cite

MDPI and ACS Style

Zaharieva, L.; Angelov, I.; Antonov, L. Stationary External Electric Field—Mimicking the Solvent Effect on the Ground-State Tautomerism and Excited-State Proton Transfer in 8-(Benzo[d]thiazol-2-yl)quinolin-7-ol. Molecules 2024, 29, 3506. https://doi.org/10.3390/molecules29153506

AMA Style

Zaharieva L, Angelov I, Antonov L. Stationary External Electric Field—Mimicking the Solvent Effect on the Ground-State Tautomerism and Excited-State Proton Transfer in 8-(Benzo[d]thiazol-2-yl)quinolin-7-ol. Molecules. 2024; 29(15):3506. https://doi.org/10.3390/molecules29153506

Chicago/Turabian Style

Zaharieva, Lidia, Ivan Angelov, and Liudmil Antonov. 2024. "Stationary External Electric Field—Mimicking the Solvent Effect on the Ground-State Tautomerism and Excited-State Proton Transfer in 8-(Benzo[d]thiazol-2-yl)quinolin-7-ol" Molecules 29, no. 15: 3506. https://doi.org/10.3390/molecules29153506

APA Style

Zaharieva, L., Angelov, I., & Antonov, L. (2024). Stationary External Electric Field—Mimicking the Solvent Effect on the Ground-State Tautomerism and Excited-State Proton Transfer in 8-(Benzo[d]thiazol-2-yl)quinolin-7-ol. Molecules, 29(15), 3506. https://doi.org/10.3390/molecules29153506

Article Metrics

Back to TopTop