Transition-Metal-Catalyzed Directed C–H Bond Functionalization with Iodonium Ylides: A Review of the Last 5 Years
Abstract
1. Introduction
2. Iodonium Ylides Serve as C2 Synthon in C–H Annulation
2.1. Amide Group-Directed C–H Annulation
2.2. Hydrazine Group-Directed C–H Annulation
2.3. Sulfamide Group-Directed C–H Annulation
2.4. Nitroso Group-Directed C–H Annulation
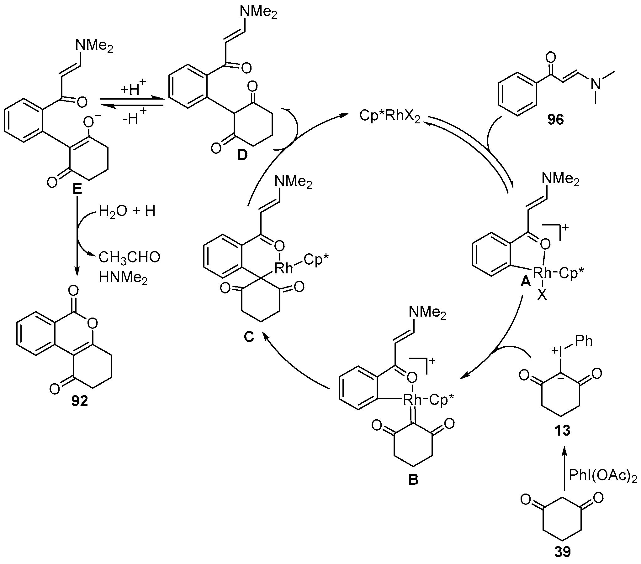
2.5. Amino Group-Directed C–H Annulation
2.6. Heterocyclic Group-Directed C–H Annulation
2.7. Switchable Group-Directed C–H Annulation
3. Iodonium Ylides Serve as C3 Synthon in C–H Annulation
4. Iodonium Ylides Serve as Alkenylating Reagents
5. Conclusions
Author Contributions
Funding
Data Availability Statement
Conflicts of Interest
References
- De Frémont, P.; Marion, N.; Nolan, S.P. Carbenes: Synthesis, properties, and organometallic chemistry. Coord. Chem. Rev. 2009, 253, 862–892. [Google Scholar] [CrossRef]
- Doyle, M.P.; Duffy, R.; Ratnikov, M.; Zhou, L. Catalytic Carbene Insertion into C-H Bond. Chem. Rev. 2010, 110, 704–724. [Google Scholar] [CrossRef]
- Gillingham, D.; Fei, N. Catalytic X-H insertion reactions based on carbenoids. Chem. Soc. Rev. 2013, 42, 4918–4931. [Google Scholar] [CrossRef]
- Jia, M.; Ma, S. New Approaches to the Synthesis of Metal Carbenes. Angew. Chem. Int. Ed. Engl. 2016, 55, 9134–9166. [Google Scholar] [CrossRef] [PubMed]
- Nunewar, S.; Kumar, S.; Talakola, S.; Nanduri, S.; Kanchupalli, V. Co(III), Rh(III) & Ir(III)-Catalyzed Direct C-H Alkylation/Alkenylation/Arylation with Carbene Precursors. Chem. Asian J. 2021, 16, 443–459. [Google Scholar]
- Müller, P. Asymmetric Transfer of Carbenes with Phenyliodonium Ylides. Acc. Chem. Res. 2004, 37, 243–251. [Google Scholar] [CrossRef] [PubMed]
- Zhdankin, V.V.; Stang, P.J. Chemistry of Polyvalent Iodine. Chem. Rev. 2008, 108, 5299–5358. [Google Scholar] [CrossRef]
- Liu, T.X.; Yang, P.; Ma, N.; Li, X.; Wang, X.; Ma, J.; Zhang, G. Synthesis of Fullerene-Fused Allylbenzofurans via Palladium-Catalyzed Migration Reaction. Chin. J. Chem. 2023, 41, 1733–1739. [Google Scholar] [CrossRef]
- Zhdankin, V.V.; Yusubov, M.S.; Yoshimura, A. Iodonium ylides in organic synthesis. Arkivoc 2016, 1, 342–374. [Google Scholar]
- Ackermann, L. Carboxylate-assisted transition-metal-catalyzed C-H bond functionalizations: Mechanism and scope. Chem. Rev. 2011, 111, 1315–1345. [Google Scholar] [CrossRef]
- Sinha, S.K.; Guin, S.; Maiti, S.; Biswas, J.P.; Porey, S.; Maiti, D. Toolbox for Distal C-H Bond Functionalizations in Organic Molecules. Chem. Rev. 2022, 122, 5682–5841. [Google Scholar] [CrossRef] [PubMed]
- Gao, X.Y.; Zhai, R.R.; Chen, X.; Wang, S.J. Recent Progress in C-H Bond Activation Reaction with Vinylene Carbonate. Chin. J. Org. Chem. 2023, 43, 3119–3134. [Google Scholar] [CrossRef]
- Zheng, C.; You, S.-L. Recent development of direct asymmetric functionalization of inert C–H bonds. RSC Adv. 2014, 4, 6173–6214. [Google Scholar] [CrossRef]
- Jiang, Y.; Li, P.; Zhao, J.; Liu, B.; Li, X. Iodonium Ylides as Carbene Precursors in Rh(III)-Catalyzed C-H Activation. Org. Lett. 2020, 22, 7475–7479. [Google Scholar] [CrossRef] [PubMed]
- Mayakrishnan, S.; Tamizmani, M.; Maheswari, N.U. Harnessing hypervalent iodonium ylides as carbene precursors: C-H activation of N-methoxybenzamides with a Rh(III)-catalyst. Chem. Commun. 2020, 56, 15462–15465. [Google Scholar] [CrossRef] [PubMed]
- Han, Z.-P.; Xu, M.-M.; Zhang, R.-Y.; Xu, X.-P.; Ji, S.-J. Rh(III)-Catalyzed C(sp2)-H functionalization/cyclization cascade of N-carboxamide indole and iodonium reagents for access to indoloquinazolinone derivatives. Green Chem. 2021, 23, 6337–6340. [Google Scholar] [CrossRef]
- Sarkar, A.; Saha, M.; Das, A.R. Ru(II)-catalyzed chelation assisted C(sp2)-H bond functionalization along with concomitant (4+2) annulation. Org. Biomol. Chem. 2023, 21, 5567–5586. [Google Scholar] [CrossRef] [PubMed]
- Liu, X.; Shi, S.; Ding, W.; He, Z.; Shen, Y.; Nian, Y.; Wu, X. Accessing 7,8-Dihydroquinoline-2,5-diones via Rh-Catalyzed Olefinic C-H Activation/[4+2] Cyclization. Org. Lett. 2024, 26, 5136–5140. [Google Scholar] [CrossRef] [PubMed]
- Yang, Z.; Zhou, Y.; Li, H.; Lei, J.; Bing, P.; He, B.; Li, Y. A Facile Route to Pyrazolo[1,2-a]cinnoline via Rhodium(III)-catalyzed Annulation of Pyrazolidinoes and Iodonium Ylides. Asian J. Org. Chem. 2022, 11, e202100656. [Google Scholar] [CrossRef]
- Li, R.; Hou, Y.-X.; Xu, J.-H.; Gao, Y.; Hu, X.-Q. Divergent synthesis of fused N-heterocycles via rhodium-catalysed [4+2] cyclization of pyrazolidinones with iodonium ylides. Org. Chem. Front. 2022, 9, 2181–2186. [Google Scholar] [CrossRef]
- Pan, C.; Yuan, C.; Chen, D.; Chen, Y.; Yu, J.T. Rh(III)-Catalyzed C-H Activation/Annulation of N-Methyl Arylhydrazines with Iodonium Ylides toward Ring-fused Cinnolines. Asian J. Org. Chem. 2022, 11, e202100809. [Google Scholar] [CrossRef]
- Li, H.; Gu, H.; Lu, Y.; Xu, N.; Han, N.; Li, J.; Liu, J.; Liu, J. Synthesis of Tetrahydrocarbazol-4-ones via Rh(III)-Catalyzed C-H Activation/Annulation of Arylhydrazines with Iodonium Ylides. J. Org. Chem. 2022, 87, 8142–8150. [Google Scholar] [CrossRef]
- Huang, G.; Shan, Y.; Yu, J.T.; Pan, C. Rhodium-catalyzed C-H activation/cyclization of aryl sulfoximines with iodonium ylides towards polycyclic 1,2-benzothiazines. Org. Biomol. Chem. 2021, 19, 10085–10089. [Google Scholar] [CrossRef] [PubMed]
- Huang, J.; Liu, F.; Du, F.; Zeng, L.; Chen, Z. Cp∗Rh/Ag catalyzed C–H activation/cyclization sequences of NH-sulfoximines to fused aza-polyheterocycles under gentle conditions. Green Synth. Catal. 2023, 4, 160–168. [Google Scholar] [CrossRef]
- Liu, C.; Dai, Q.; Li, Y.; Huang, C.; Guo, L.; Yang, Z. Rh(III)-Catalyzed C-H Annulation of N-Nitrosoanilines with Iodonium Ylides for the Synthesis of N-Alkyl Indoles. J. Org. Chem. 2023, 88, 7281–7289. [Google Scholar] [CrossRef] [PubMed]
- Li, C.; Yang, Y.; Fang, F.; Liu, C.; Li, C.; Wang, D.; Liu, H. Rapid Access to Polysubstituted Tetrahydrocarbazol-4-ones via Sequential Selective C-H Functionalization from N-Nitrosoanilines. Chin. J. Chem. 2023, 41, 1957–1962. [Google Scholar] [CrossRef]
- Wang, K.; Song, X.; Xin, Y.; Zhang, X.; Fan, X. Condition-Controlled Selective Synthesis of Pyranone-Tethered Indazoles or Carbazoles through the Cascade Reactions of N-Nitrosoanilines with Iodonium Ylides. Org. Lett. 2023, 25, 4422–4428. [Google Scholar] [CrossRef] [PubMed]
- Jiao, L.; Zhang, B.; Qu, B.; Zhai, R.; Chen, X. Rh(III)-Catalyzed Direct C-H Cyclization of N-Nitrosoanilines with 1,3-Dicarbonyl Compounds: A Route to Tetrahydrocarbazol-4-ones. J. Org. Chem. 2023, 88, 10662–10669. [Google Scholar] [CrossRef]
- Chen, L.; Zhang, M.; Liu, M.; Liu, Z.; Qiu, Y.; Zhang, Z.; Yu, F.; Huang, J. Rh(III)-catalyzed selective mono- and dual-functionalization/cyclization of 1-aryl-5-aminopyrazoles with iodonium ylides. Chem. Commun. 2023, 60, 432–435. [Google Scholar] [CrossRef]
- Zhai, R.; Jiao, L.; Qu, B.; Yang, X.; Chen, X. Rh(III)-Catalyzed C-H Cyclization of Primary Benzylamines with Iodonium Ylides toward Dihydrophenanthridin-1-ones. Asian J. Org. Chem. 2022, 11, e202200492. [Google Scholar] [CrossRef]
- Zhang, M.; Chen, L.; Sun, H.; Liu, Z.; Yan, S.J.; Yu, F. Rh(III)-Catalyzed [3+2] Annulation/Pinacol Rearrangement Reaction of Enaminones with Iodonium Ylides: Direct Synthesis of 2-Spirocyclo-pyrrol-3-ones. Org. Lett. 2023, 25, 7214–7219. [Google Scholar] [CrossRef] [PubMed]
- Zhang, M.; Chen, L.; Sun, H.; Liu, Z.; Huang, J.; Yu, F. Unprecedented chemoselective Ru(III)-catalyzed [3+2] annulation of enaminones with iodonium ylides for the synthesis of functionalized 3a,7a-dihydroxy hexahydro-4H-indol-4-ones. Org. Chem. Front. 2023, 10, 5660–5666. [Google Scholar] [CrossRef]
- Li, X.; Shen, Y.; Zhang, G.; Zheng, X.; Zhao, Q.; Song, Z. Ru(II)-Catalyzed Decarbonylative Alkylation and Annulations of Benzaldehydes with Iodonium Ylides under Chelation Assistance. Org. Lett. 2022, 24, 5281–5286. [Google Scholar] [CrossRef] [PubMed]
- Nunewar, S.; Kumar, S.; Priyanka, P.; Girase, P.; Kanchupalli, V. The solvent-controlled Rh(III)-catalyzed switchable [4+2] annulation of 2-arylIndoles with iodonium ylides. Chem. Commun. 2022, 58, 6140–6143. [Google Scholar] [CrossRef] [PubMed]
- Li, S.; Chang, J.; Shen, J.; Cui, X. One-pot access to indazole fused-phenanthridinones via Rh(III)-catalyzed [4+2] annulation. Green Synth. Catal. 2023, 2666–5549. [Google Scholar] [CrossRef]
- Nunewar, S.; Kumar, S.; Meshram, A.W.; Kanchupalli, V. Ru(II)-Catalyzed C-H Functionalization of 2-Arylbenzimidazoles with Iodonium Ylides: A Straightforward Access to Bridgehead Polycyclic N-Heterocycles. J. Org. Chem. 2022, 87, 13757–13762. [Google Scholar] [CrossRef] [PubMed]
- Wu, Z.; Lv, G.; Lin, Z.; Tang, J.; Chen, J.; Liu, J.; Hai, L.; Wu, Y. Mild construction of N-fused polycyclic compounds via Rh(III)/EosinY co-catalyze C-H activation. Green Synth. Catal. 2022, 5, 108–111. [Google Scholar] [CrossRef]
- Yan, K.; Liu, X.; Wen, J.; Li, Q.; Zhou, B.; Zhang, Y.; Wang, X. Synthesis of Substituted Pyrido[1,2-a]benzimidazoles by Ruthenium-Catalyzed C−H Bond Activation and Tandem Cyclization of 2-Arylimidazo[1,2-a]pyridines with Iodonium Ylides. Eur. J. Org. Chem. 2023, 26, e202300684. [Google Scholar] [CrossRef]
- Zhong, Z.; Liang, M.; Zhang, Z.; Cui, H.; Wang, N.; Mai, S.; Tao, H. Rh(III)-Catalyzed C-H Annulation of Alkenyl- or Arylimidazoles and (Hetero)cyclic 1,3-Dicarbonyl Compounds: A Rapid Access to Imidazo-Fused Polycyclic Compounds. Org. Lett. 2022, 24, 4850–4854. [Google Scholar] [CrossRef]
- Yang, Z.; Liu, J.; Li, Y.; Ding, J.; Zheng, L.; Liu, Z.Q. Three-Component Synthesis of Isoquinolone Derivatives via Rh(III)-Catalyzed C-H Activation and Tandem Annulation. J. Org. Chem. 2022, 87, 14809–14818. [Google Scholar] [CrossRef]
- Chen, W.L.; Song, J.L.; Fang, S.; Li, J.B.; Zhang, S.S.; Shu, B. Rh(III)-catalyzed C(sp2)-H functionalization/[4+2] annulation of oxadiazolones with iodonium ylides to access diverse fused-isoquinolines and fused-pyridines. Chem. Commun. 2024, 60, 6560–6563. [Google Scholar] [CrossRef] [PubMed]
- Liu, X.; Zhou, B.; Yan, K.; Wen, J.; Li, Q.; Wang, X.; Wang, X. Application of Sulfoxonium Ylides or Iodonium Ylides in Rhodium-Catalyzed Synthesis of Phenanthrenes. Adv. Synth. Catal. 2024, 366, 1744–1750. [Google Scholar] [CrossRef]
- Nunewar, S.; Kumar, S.; Pandhare, H.; Nanduri, S.; Kanchupalli, V. Rh(III)-Catalyzed Chemodivergent Annulations between Indoles and Iodonium Carbenes: A Rapid Access to Tricyclic and Tetracyclic N-Heterocylces. Org. Lett. 2021, 23, 4233–4238. [Google Scholar] [CrossRef] [PubMed]
- Lv, G.; Zhang, Q.; Zhang, C.; Chen, Y.; Lin, Z.; Lai, R.; Yang, Z.; Wu, Y. The Pyridotriazole Works as a Traceless Directing Group: A C-H Activation/Annulation Cascade Reaction with Iodonium Ylides. Org. Lett. 2023, 25, 4022–4027. [Google Scholar] [CrossRef] [PubMed]
- Kumar, S.; Nunewar, S.; Kanchupalli, V. Rh(III)-Catalyzed Cross-Coupling/Annulation of Two Carbene Precursors: Construction of Dihydrobenzo[c]chromen-6-one Scaffolds and Application in the Total Synthesis of Cannabinol. Asian J. Org. Chem. 2021, 11, e202100689. [Google Scholar] [CrossRef]
- Yin, C.; Li, L.; Yu, C. Rh(III)-catalyzed C-H annulation of sulfoxonium ylides with iodonium ylides towards isocoumarins. Org. Biomol. Chem. 2022, 20, 1112–1116. [Google Scholar] [CrossRef] [PubMed]
- Zhang, M.; Chen, L.; Liu, D.; Liu, Z.; Huang, J.; Li, X.; Yu, F. Rh(III)-catalyzed cascade annulation reaction of N,N-dimethyl enaminones with iodonium ylides to give substituted isocoumarins. New J. Chem. 2023, 47, 12274–12278. [Google Scholar] [CrossRef]
- Wang, Q.; Li, Y.; Sun, J.; Chen, S.; Li, H.; Zhou, Y.; Li, J.; Liu, H. Rh-Catalyzed C-H Activation/Annulation of Enaminones and Cyclic 1,3-Dicarbonyl Compounds: An Access to Isocoumarins. J. Org. Chem. 2023, 88, 5348–5358. [Google Scholar] [CrossRef] [PubMed]
- Dai, Y.; Li, X.; Liu, B. Rh(III)-Catalyzed Efficient Synthesis of Isocoumarins from Cyclohexanediones. Chin. J. Org. Chem. 2021, 41, 4476–4483. [Google Scholar] [CrossRef]
- Ren, J.; Pi, C.; Cui, X.; Wu, Y. Transition- Metal-Controlled Divergent Annulations of Azomethine Imines with Iodonium Ylides via C-Centered [1,2]-Rearrangement. Org. Lett. 2023, 25, 2582–2587. [Google Scholar] [CrossRef]
- Wu, F.; Xiao, L.; Xie, H.; Chen, S.Y.; Song, J.L.; Zheng, Y.C.; Liu, Y.Z.; Zhang, S.S. Rhodium(III)-catalyzed regioselective C(sp(2))-H activation of indoles at the C4-position with iodonium ylides. Org. Biomol. Chem. 2022, 20, 5055–5059. [Google Scholar] [CrossRef] [PubMed]
- Ren, J.; Yang, L.; Pi, C.; Cui, X.; Wu, Y. Rhodium(III)-Catalyzed Divergent C-H Functionalization of N-Aryl Amidines with Iodonium Ylides: Access to Carbazolones and Zwitterionic Salts. Adv. Synth. Catal. 2023, 365, 1817–1823. [Google Scholar] [CrossRef]
- Zhang, Z.; Su, B.; Gong, J.; Tao, H.; Mai, S. Rhodium-Catalyzed Difunctionalization of Alkenes Using Cyclic 1,3-Dicarbonyl-Derived Iodonium Ylides. Org. Lett. 2024, 26, 1886–1890. [Google Scholar] [CrossRef] [PubMed]
- Xie, P.; Gao, H.; Li, X.; Jiang, Y.; Liu, B. Rh(III)-Catalyzed C-C coupling of unactivated C(sp3)-H bonds with iodonium ylides for accessing all-carbon quaternary centers. Org. Chem. Front. 2022, 9, 3823–3827. [Google Scholar] [CrossRef]
- Kumar, S.; Borkar, V.; Mujahid, M.; Nunewar, S.; Kanchupalli, V. Iodonium Ylides: An emerging and alternative carbene precursor for C-H functionalizations. Org. Biomol. Chem. 2023, 21, 24–38. [Google Scholar] [CrossRef]









































Disclaimer/Publisher’s Note: The statements, opinions and data contained in all publications are solely those of the individual author(s) and contributor(s) and not of MDPI and/or the editor(s). MDPI and/or the editor(s) disclaim responsibility for any injury to people or property resulting from any ideas, methods, instructions or products referred to in the content. |
© 2024 by the authors. Licensee MDPI, Basel, Switzerland. This article is an open access article distributed under the terms and conditions of the Creative Commons Attribution (CC BY) license (https://creativecommons.org/licenses/by/4.0/).
Share and Cite
Liao, J.; Kong, D.; Gao, X.; Zhai, R.; Chen, X.; Wang, S. Transition-Metal-Catalyzed Directed C–H Bond Functionalization with Iodonium Ylides: A Review of the Last 5 Years. Molecules 2024, 29, 3567. https://doi.org/10.3390/molecules29153567
Liao J, Kong D, Gao X, Zhai R, Chen X, Wang S. Transition-Metal-Catalyzed Directed C–H Bond Functionalization with Iodonium Ylides: A Review of the Last 5 Years. Molecules. 2024; 29(15):3567. https://doi.org/10.3390/molecules29153567
Chicago/Turabian StyleLiao, Juting, Dulin Kong, Xiaoyang Gao, Ruirui Zhai, Xun Chen, and Shuojin Wang. 2024. "Transition-Metal-Catalyzed Directed C–H Bond Functionalization with Iodonium Ylides: A Review of the Last 5 Years" Molecules 29, no. 15: 3567. https://doi.org/10.3390/molecules29153567
APA StyleLiao, J., Kong, D., Gao, X., Zhai, R., Chen, X., & Wang, S. (2024). Transition-Metal-Catalyzed Directed C–H Bond Functionalization with Iodonium Ylides: A Review of the Last 5 Years. Molecules, 29(15), 3567. https://doi.org/10.3390/molecules29153567

