Regulating Drug Release Performance of Acid-Triggered Dimeric Prodrug-Based Drug Self-Delivery System by Altering Its Aggregation Structure
Abstract
1. Introduction
2. Results
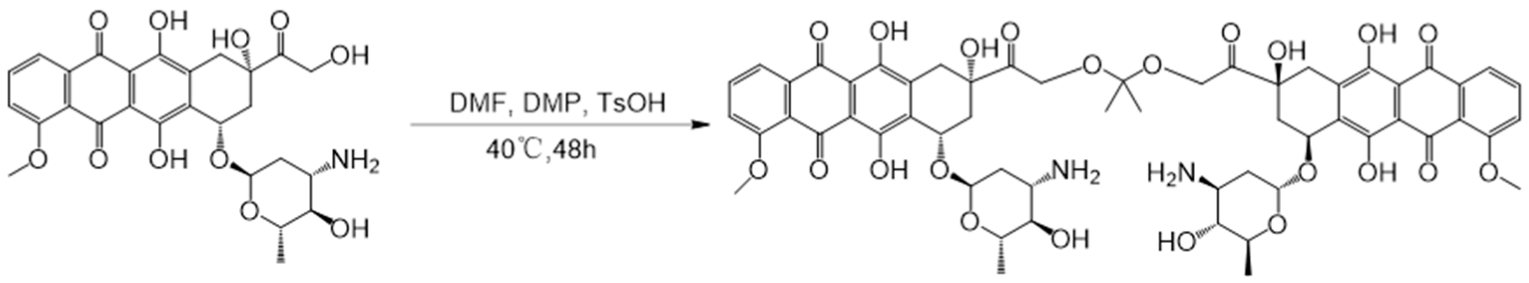
2.1. Synthesis and Characterization of Ketal-Bridged Doxorubicin Dimeric Prodrug (DDOXketal)
2.2. Fabrication and Characterization of DDOXketal Nanoparticles
2.3. In Vitro Acid-Triggered Drug Release
2.4. In Vitro Cellular Uptake and Cytotoxicity
3. Discussion
4. Materials and Methods
4.1. Materials and Reagents
4.2. Analysis and Characterization
4.3. Synthesis of Dimeric Prodrug
4.4. DOX Content Measurement
4.5. Fabrication of DDOXketal Nanoparticles
4.6. Acid-Triggered Drug Release
4.7. In Vitro Cellular Experiments
5. Conclusions
Author Contributions
Funding
Institutional Review Board Statement
Informed Consent Statement
Data Availability Statement
Conflicts of Interest
References
- Kashkooli, F.M.; Soltani, M.; Souri, M. Controlled anti-cancer drug release through advanced nano-drug delivery systems: Static and dynamic targeting strategies. J. Control. Release 2020, 327, 316–349. [Google Scholar] [CrossRef]
- Majumder, J.; Minko, T. Multifunctional and stimuli-responsive nanocarriers for targeted therapeutic delivery. Expert Opin. Drug Deliv. 2021, 18, 205–227. [Google Scholar] [CrossRef]
- Kamaly, N.; Yameen, B.; Wu, J.; Farokhzad, O.C. Degradable controlled-release polymers and polymeric nanoparticles: Mechanisms of controlling drug release. Chem. Rev. 2016, 116, 2602–2663. [Google Scholar] [CrossRef]
- Li, L.; Yang, W.W.; Xu, D.G. Stimuli-responsive nanoscale drug delivery systems for cancer therapy. J. Drug Target. 2019, 27, 423–433. [Google Scholar] [CrossRef] [PubMed]
- Raza, A.; Rasheed, T.; Nabeel, F.; Hayat, U.; Bilal, M.; Iqbal, H.M.N. Endogenous and Exogenous Stimuli-Responsive Drug Delivery Systems for Programmed Site-Specific Release. Molecules 2019, 24, 1117. [Google Scholar] [CrossRef]
- Tian, M.C.; Xin, X.X.; Wu, R.L.; Guan, W.J.; Zhou, W.J. Advances in intelligent-responsive nanocarriers for cancer therapy. Pharm. Res. 2022, 178, 106184. [Google Scholar] [CrossRef] [PubMed]
- Gong, Z.Y.; Peng, S.; Cao, J.J.; Tan, H.N.; Zhao, H.X.; Bai, J.K. Advances in the variations and biomedical applications of stimuli-responsive nanodrug delivery systems. Nanotechnology 2024, 35, 132001. [Google Scholar] [CrossRef] [PubMed]
- Li, L.; Yan, X.; Xia, M.; Shen, B.; Cao, Y.T.; Wu, X.Y.; Sun, J.W.; Zhang, Y.; Zhang, M.C. Nanoparticle/Nanocarrier Formulation as an Antigen: The Immunogenicity and Antigenicity of Itself. Mol. Pharm. 2022, 19, 148–159. [Google Scholar] [CrossRef]
- Qin, S.Y.; Zhang, A.Q.; Cheng, S.X.; Rong, L.; Zhang, X.Z. Drug self-delivery systems for cancer therapy. Biomaterials 2017, 112, 234–247. [Google Scholar] [CrossRef]
- Wang, Y.; Yang, P.F.; Zhao, X.R.; Gao, D.; Sun, N.; Tian, Z.M.; Ma, T.Y.; Yang, Z. Multifunctional Cargo-Free Nanomedicine for Cancer Therapy. Int. J. Mol. Sci. 2018, 19, 2963. [Google Scholar] [CrossRef]
- Karaosmanoglu, S.; Zhou, M.J.; Shi, B.Y.; Zhang, X.J.; Williams, G.R.; Chen, X.F. Carrier-free nanodrugs for safe and effective cancer treatment. J. Control. Release 2021, 329, 805–832. [Google Scholar] [CrossRef] [PubMed]
- Li, S.M.; Shan, X.Z.; Wang, Y.Q.; Chen, Q.; Sun, J.; He, Z.G.; Sun, B.J.; Luo, C. Dimeric prodrug-based nanomedicines for cancer therapy. J. Control. Release 2020, 326, 510–522. [Google Scholar] [CrossRef] [PubMed]
- Wang, Q.; Wang, C.; Li, S.Y.; Xiong, Y.X.; Wang, H.M.; Li, Z.; Wan, J.L.; Yang, X.L.; Li, Z.F. Influence of Linkers within Stimuli-Responsive Prodrugs on Cancer Therapy: A Case of Five Doxorubicin Dimer-Based Nanoparticles. Chem. Mater. 2022, 34, 2085–2097. [Google Scholar] [CrossRef]
- Li, J.G.; Liu, P. Self-Assembly of Drug-Drug Conjugates as Drug Self-Delivery System for Tumor-Specific pH-Triggered Release. Part. Part. Syst. Charact. 2019, 36, 1900113. [Google Scholar] [CrossRef]
- Li, J.G.; Li, X.M.; Liu, P. Doxorubicin-doxorubicin conjugate prodrug as drug self-delivery system for intracellular pH-triggered slow release. Colloid Surf. B-Bioimterfaces 2020, 185, 110608. [Google Scholar] [CrossRef] [PubMed]
- Li, J.G.; Li, X.M.; Pei, M.L.; Liu, P. Acid-labile anhydride-linked doxorubicin-doxorubicin dimer nanoparticles as drug self-delivery system with minimized premature drug leakage and enhanced anti-tumor efficacy. Colloid Surf. B-Biointerfaces 2020, 192, 111064. [Google Scholar] [CrossRef] [PubMed]
- Li, J.G.; Li, X.M.; Xie, P.W.; Liu, P. Regulation of drug release performance using mixed doxorubicin-doxorubicin dimer nanoparticles as a pH-triggered drug self-delivery system. J. Pharm. Anal. 2022, 12, 122–128. [Google Scholar] [CrossRef]
- Song, Q.; Wang, X.; Wang, Y.Q.; Liang, Y.Q.; Zhou, Y.X.; Song, X.N.; He, B.; Zhang, H.; Dai, W.B.; Wang, X.Q.; et al. Reduction Responsive Self-Assembled Nanoparticles Based on Disulfide-Linked Drug–Drug Conjugate with High Drug Loading and Antitumor Efficacy. Mol. Pharm. 2016, 13, 190–201. [Google Scholar] [CrossRef] [PubMed]
- Zhang, H.B.; Zhang, Y.B.; Chen, Y.L.; Zhang, Y.; Wang, Y.G.; Zhang, Y.Y.; Song, L.; Jiang, B.L.; Su, G.H.; Li, Y.; et al. Glutathione-responsive self-delivery nanoparticles assembled by curcumin dimer for enhanced intracellular drug delivery. Int. J. Pharm. 2018, 549, 230–238. [Google Scholar] [CrossRef]
- Yang, Y.X.; Sun, B.J.; Zuo, S.Y.; Li, X.M.; Zhou, S.; Li, L.X.; Luo, C.; Liu, H.Z.; Cheng, M.S.; Wang, Y.J.; et al. Trisulfide bond-mediated doxorubicin dimeric prodrug nanoassemblies with high drug loading, high self-assembly stability, and high tumor selectivity. Sci. Adv. 2020, 6, eabc1725. [Google Scholar] [CrossRef]
- Li, J.; Yang, C.; Zhou, P.P.; Liu, P. Effect of aggregation structures of dimeric prodrug-based carrier-free nanomedicines for tumor chemotherapy. Colloid Surf. A-Physicochem. Eng. Asp. 2024, 693, 134044. [Google Scholar] [CrossRef]
- Xie, P.W.; Liu, P. Formulation of DOX-dimer with bi-functionalized chitooligosaccharide for tumor-specific self-boosted drug release and synergistic chemo/chemodynamic therapy. Carbohydr. Polym. 2023, 320, 121210. [Google Scholar] [CrossRef] [PubMed]
- Yang, C.; Liu, P. Disulfide/α-Amide Bridged Doxorubicin Dimeric Prodrug: Effect of Aggregation Structures on pH GSH Dual-Triggered Drug Release. Langmuir 2024, 40, 11098–11105. [Google Scholar] [CrossRef] [PubMed]
- Sun, B.J.; Luo, C.; Zhang, X.B.; Guo, M.R.; Sun, M.C.; Yu, H.; Chen, Q.; Yang, W.Q.; Zuo, S.Y.; Chen, P.Y.; et al. Probing the impact of sulfur/selenium/carbon linkages on prodrug nanoassemblies for cancer therapy. Nat. Commun. 2019, 10, 3211. [Google Scholar] [CrossRef] [PubMed]
- Xia, R.; Pei, Q.; Wang, J.; Wang, Z.F.; Hu, X.L.; Xie, Z.G. Redox responsive paclitaxel dimer for programmed drug release and selectively killing cancer cells. J. Colloid Interface Sci. 2020, 580, 785–793. [Google Scholar] [CrossRef] [PubMed]
- Li, Y.W.; Pei, Q.; Cui, B.J.; Zhang, H.M.; Han, L.; Li, W.Q.; Zhu, W.H.; Feng, X.M.; Xie, Z.G. A redox-responsive dihydroartemisinin dimeric nanoprodrug for enhanced antitumor activity. J. Nanobiotechnol. 2021, 19, 441. [Google Scholar] [CrossRef] [PubMed]
- Lu, S.J.; Xia, R.; Wang, J.; Pei, Q.; Xie, Z.G.; Jing, X.B. Engineering Paclitaxel Prodrug Nanoparticles via Redox-Activatable Linkage and Effective Carriers for Enhanced Chemotherapy. ACS Appl. Mater. Interfaces 2021, 13, 46291–46302. [Google Scholar] [CrossRef]
- Tian, X.D.; Bera, H.; Guo, X.; Xu, R.Z.; Sun, J.; He, Z.G.; Cun, D.M.; Yang, M.S. Pulmonary Delivery of Reactive Oxygen Species/Glutathione-Responsive Paclitaxel Dimeric Nanoparticles Improved Therapeutic Indices against Metastatic Lung Cancer. ACS Appl. Mater. Interfaces 2021, 13, 56858–56872. [Google Scholar] [CrossRef]
- Yang, Y.X.; Zuo, S.Y.; Zhang, J.X.; Liu, T.; Li, X.M.; Zhang, H.T.; Cheng, M.S.; Wang, S.J.; He, Z.G.; Sun, B.J.; et al. Prodrug nanoassemblies bridged by Mono-/Di-/Tri-sulfide bonds: Exploration is for going further. Nanotoday 2022, 44, 101480. [Google Scholar] [CrossRef]
- Liu, T.; Li, L.X.; Wang, S.; Dong, F.D.; Zuo, S.Y.; Song, J.X.; Wang, X.; Lu, Q.; Wang, H.L.; Zhang, H.T. Hybrid chalcogen bonds in prodrug nanoassemblies provides dual redox-responsivity in the tumor microenvironment. Nat. Commun. 2022, 13, 7228. [Google Scholar] [CrossRef]
- Zuo, S.Y.; Liu, T.; Li, L.X.; Xu, H.Z.; Guo, J.Y.; Wang, Q.; Yang, Y.X.; He, Z.G.; Sun, J.; Sun, B.J. Tetrasulfide bond boosts the anti-tumor efficacy of dimeric prodrug nanoassemblies. Cell Rep. Med. 2024, 5, 101432. [Google Scholar] [CrossRef]
- Hu, Y.R.; Liu, P. Diselenide-Bridged Doxorubicin Dimeric Prodrug: Synthesis and Redox-Triggered Drug Release. Molecules 2024, 29, 1709. [Google Scholar] [CrossRef] [PubMed]
- Huang, P.; Wang, D.L.; Su, Y.; Huang, W.; Zhou, Y.F.; Cui, D.X.; Zhu, X.Y.; Yan, D.Y. Combination of Small Molecule Prodrug and Nanodrug Delivery: Amphiphilic Drug–Drug Conjugate for Cancer Therapy. J. Am. Chem. Soc. 2014, 136, 11748–11756. [Google Scholar] [CrossRef] [PubMed]
- Li, H.N.; Zang, W.L.; Mi, Z.; Li, J.Y.; Wang, L.J.; Xie, D.; Zhao, L.; Wang, D. Tailoring carrier-free nanocombo of small-molecule prodrug for combinational cancer therapy. J. Control. Release 2022, 352, 256–275. [Google Scholar] [CrossRef] [PubMed]
- Zhang, G.Y.; Zhang, Z.Y.; Yang, J.E. DNA tetrahedron delivery enhances doxorubicin-induced apoptosis of HT-29 colon cancer cells. Nanoscale Res. Lett. 2017, 12, 495. [Google Scholar] [CrossRef] [PubMed]
- Gillies, E.R.; Goodwin, A.P.; Fréchet, J.M.J. Acetals as pH-sensitive linkages for drug delivery. Bioconjug. Chem. 2004, 15, 1254–1263. [Google Scholar] [CrossRef] [PubMed]
- Kanamala, M.; Wilson, W.R.; Yang, M.M.; Palmer, B.D.; Wu, Z.M. Mechanisms and biomaterials in pH-responsive tumour targeted drug delivery: A review. Biomaterials 2016, 85, 152–167. [Google Scholar] [CrossRef] [PubMed]
- Chen, D.Q.; Wang, H.B. Novel pH-Sensitive Biodegradable Polymeric Drug Delivery Systems Based on Ketal Polymers. J. Nanosci. Nanotechnol. 2014, 14, 983–989. [Google Scholar] [CrossRef] [PubMed]
- Zhong, H.P.; Mu, J.Q.; Du, Y.Y.; Xu, Z.K.; Xu, Y.; Yu, N.; Zhang, S.B.; Guo, S.T. Acid-Triggered Release of Native Gemcitabine Conjugated in Polyketal Nanoparticles for Enhanced Anticancer Therapy. Biomacromolecules 2020, 21, 803–814. [Google Scholar] [CrossRef]
- Yu, N.; Liu, T.; Zhang, X.; Gong, N.Q.; Ji, T.J.; Chen, J.; Liang, X.J.; Kohane, D.S.; Guo, S.T. Dually Enzyme- and Acid-Triggered Self-Immolative Ketal Glycoside Nanoparticles for Effective Cancer Prodrug Monotherapy. Nano. Lett. 2020, 20, 5465–5472. [Google Scholar] [CrossRef]
- Yu, N.; Xu, Y.; Liu, T.; Zhong, H.P.; Xu, Z.K.; Ji, T.J.; Zou, H.; Mu, J.Q.; Zhen, Z.Q.; Liang, X.J.; et al. Modular ketal-linked prodrugs and biomaterials enabled by organocatalytic transisopropenylation of alcohols. Nat. Commun. 2021, 12, 7978. [Google Scholar] [CrossRef] [PubMed]
- Liu, T.; Zou, H.; Mu, J.Q.; Yu, N.; Xu, Y.; Liu, G.H.; Liang, X.J.; Guo, S.T. Acid-sensitive PEGylated cabazitaxel prodrugs for antitumor therapy. Chin. Chem. Lett. 2021, 32, 1751–1754. [Google Scholar] [CrossRef]
- Zhong, H.P.; Li, X.W.; Yu, N.; Zhang, X.; Mu, J.Q.; Liu, T.; Yuan, B.; Yuan, X.Y.; Guo, S.T. Fine-tuning the sequential drug release of nano-formulated mutual prodrugs dictates the combination effects. Chem. Sci. 2023, 14, 3789–3799. [Google Scholar] [CrossRef]
- Guo, T.T.; Zhong, H.P.; Li, X.W.; Mu, J.Q.; Liu, T.; Yu, N.; Zhao, Y.; Liang, X.J.; Guo, S.T. Drug content on anticancer efficacy of self-assembling ketal-linked dextran-paclitaxel conjugates. J. Control. Release 2023, 359, 175–187. [Google Scholar] [CrossRef] [PubMed]
- Li, X.W.; Zhong, H.P.; Zheng, S.J.; Mu, J.Q.; Yu, N.; Guo, S.T. Tumor-penetrating iRGD facilitates penetration of poly(floxuridine-ketal)-based nanomedicine for enhanced pancreatic cancer therapy. J. Control. Release 2024, 369, 444–457. [Google Scholar] [CrossRef] [PubMed]
- Altreuter, D.H.; Dordick, J.S.; Clark, D.S. Nonaqueous biocatalytic synthesis of new cytotoxic doxorubicin derivatives: Exploiting unexpected differences in the regioselectivity of salt-activated and solubilized subtilisin. J. Am. Chem. Soc. 2002, 124, 1871–1876. [Google Scholar] [CrossRef] [PubMed]
- Blencowe, C.A.; Russell, A.T.; Greco, F.; Hayes, W.; Thornthwaite, D.W. Self-immolative linkers in polymeric delivery systems. Polym. Chem. 2011, 2, 773–790. [Google Scholar] [CrossRef]
- Ding, H.T.; Tan, P.; Fu, S.Q.; Tian, X.H.; Zhang, H.; Ma, X.L.; Gu, Z.W.; Luo, K. Preparation and application of pH-responsive drug delivery systems. J. Control. Release 2022, 348, 206–238. [Google Scholar] [CrossRef] [PubMed]
- Gillies, E.R.; Frechet, J.M.J. pH-Responsive Copolymer Assemblies for Controlled Release of Doxorubicin. Bioconjug. Chem. 2005, 16, 361–368. [Google Scholar] [CrossRef]
- Missirlis, D.; Kawamura, R.; Tirelli, N.; Hubbell, J.A. Doxorubicin Encapsulation and Diffusional Release from Stable, Polymeric, Hydrogel Nanoparticles. Eur. J. Pharm. Sci. 2006, 29, 120–129. [Google Scholar] [CrossRef]
- Zhang, P.; Li, J.; Ghazwani, M.; Zhao, W.C.; Huang, Y.X.; Zhang, X.L.; Venkataramanan, R.; Li, S. Effective Co-Delivery of Doxorubicin and Dasatinib using a PEG-Fmoc Nanocarrier for Combination Cancer Chemotherapy. Biomaterials 2015, 67, 104–114. [Google Scholar] [CrossRef] [PubMed]
- Lee, J.; Kim, J.; Lee, Y.M.; Park, D.; Im, S.; Song, E.H.; Park, H.; Kim, W.J. Self-Assembled Nanocomplex between Polymerized Phenylboronic Acid and Doxorubicin for Efficient Tumor-Targeted Chemotherapy. Acta Pharm. Sin. 2017, 38, 848–858. [Google Scholar] [CrossRef] [PubMed]
- Zhu, X.H.; Li, C.; Lu, Y.; Liu, Y.J.; Wan, D.; Zhu, D.W.; Pan, J.; Ma, G.L. Tumor microenvironment-activated therapeutic peptide-conjugated prodrug nanoparticles for enhanced tumor penetration and local T cell activation in the tumor microenvironment. Acta Biomater. 2021, 119, 337–348. [Google Scholar] [CrossRef] [PubMed]
- Liu, B.; Thayumanavan, S. Substituent Effects on the pH Sensitivity of Acetals and Ketals and Their Correlation with Encapsulation Stability in Polymeric Nanogels. J. Am. Chem. Soc. 2017, 139, 2306–2317. [Google Scholar] [CrossRef]









| Disclaimer/Publisher’s Note: The statements, opinions and data contained in all publications are solely those of the individual author(s) and contributor(s) and not of MDPI and/or the editor(s). MDPI and/or the editor(s) disclaim responsibility for any injury to people or property resulting from any ideas, methods, instructions or products referred to in the content. | 
© 2024 by the authors. Licensee MDPI, Basel, Switzerland. This article is an open access article distributed under the terms and conditions of the Creative Commons Attribution (CC BY) license (https://creativecommons.org/licenses/by/4.0/).
Share and Cite
Yang, C.; Liu, P. Regulating Drug Release Performance of Acid-Triggered Dimeric Prodrug-Based Drug Self-Delivery System by Altering Its Aggregation Structure. Molecules 2024, 29, 3619. https://doi.org/10.3390/molecules29153619
Yang C, Liu P. Regulating Drug Release Performance of Acid-Triggered Dimeric Prodrug-Based Drug Self-Delivery System by Altering Its Aggregation Structure. Molecules. 2024; 29(15):3619. https://doi.org/10.3390/molecules29153619
Chicago/Turabian StyleYang, Chen, and Peng Liu. 2024. "Regulating Drug Release Performance of Acid-Triggered Dimeric Prodrug-Based Drug Self-Delivery System by Altering Its Aggregation Structure" Molecules 29, no. 15: 3619. https://doi.org/10.3390/molecules29153619
APA StyleYang, C., & Liu, P. (2024). Regulating Drug Release Performance of Acid-Triggered Dimeric Prodrug-Based Drug Self-Delivery System by Altering Its Aggregation Structure. Molecules, 29(15), 3619. https://doi.org/10.3390/molecules29153619
 
         
                                                

