Radical-Mediated Trifunctionalization Reactions
Abstract
1. Introduction
2. Reaction of Alkenols and Alkynols
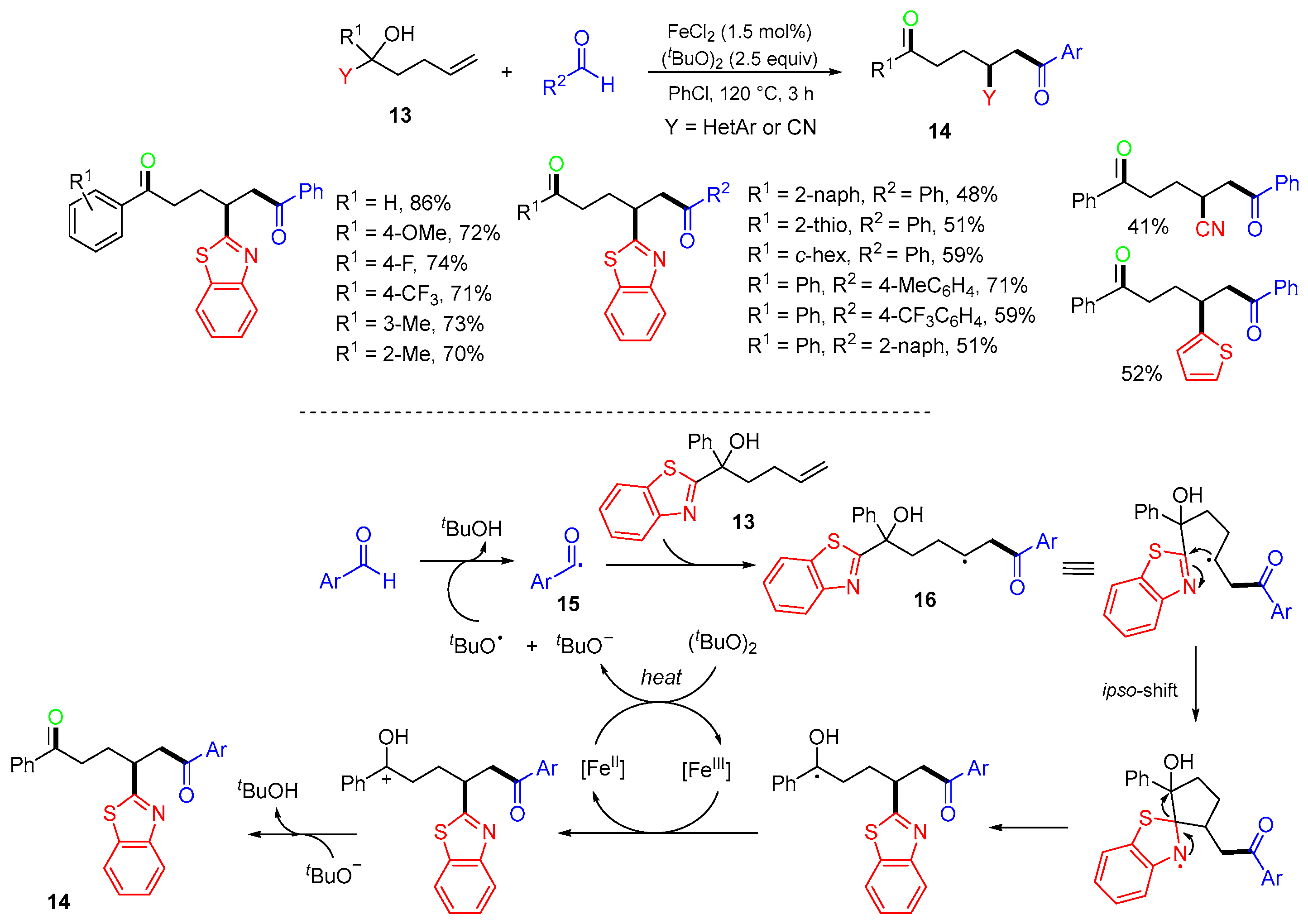
2.1. Reaction of Alkenols
2.2. Reaction of Alkynols
2.3. Reaction of Alkenol Derivatives
3. Reaction of Alkenes and Allenes
3.1. Reaction of Alkenes
3.2. Reaction of Functionalized Alkenes
3.3. Reaction of Allenes
4. Reaction of Alkynes and Enynes
4.1. Reaction of Alkynes
4.2. Reaction of Enynes
5. Reaction of Alkenylnitriles
6. Reaction of Alkynoates
7. Reaction of Oximes, Oxime Ethers, and Oxime Esters
8. Summary and Conclusions
Author Contributions
Funding
Conflicts of Interest
References
- Chatgilialoglu, C.; Studer, A. (Eds.) Encyclopedia of Radicals in Chemistry, Biology and Materials; Wiley: Chichester, UK, 2012. [Google Scholar]
- Zarf, S.Z. Radical Reactions in Organic Synthesis; Oxford University Press: Oxford, UK, 2003. [Google Scholar]
- Clark, A.J. Copper catalyzed atom transfer radical cyclization reactions. Eur. J. Org. Chem. 2016, 2016, 2231–2243. [Google Scholar] [CrossRef]
- Liu, Q.; Dong, X.; Li, J.; Xiao, J.; Dong, Y.; Liu, H. Recent advances on palladium radical involved reactions. ACS Catal. 2015, 5, 6111–6137. [Google Scholar] [CrossRef]
- Ge, Y.; Tian, Y.; Wu, J.; Yan, Q.; Zheng, L.; Ren, Y.; Zhao, J.; Li, Z. Iron-promoted free radical cascade difunctionalization of unsaturated benzamides with silanes. Chem. Commun. 2020, 56, 12656–12659. [Google Scholar] [CrossRef] [PubMed]
- Bag, D.; Mahajan, S.; Sawant, S.D. Transition-metal-catalyzed carbohalogenative 1,2-difunctionalization of C−C multiple bonds. Adv. Synth. Catal. 2020, 362, 3948–3970. [Google Scholar] [CrossRef]
- Wang, J.; Zhang, S.; Tang, Y.; Yan, S.; Li, G. Copper-catalyzed annulation-trifluoromethyl functionalization of enynones. Org. Lett. 2023, 25, 2509–2514. [Google Scholar] [CrossRef] [PubMed]
- Wang, J.; Hao, W.; Li, G.; Jiang, B. Catalytic benzannulation reactions of enynones for accessing heterocycle-incorporating diarylmethanes. Synlett 2023, 34, 243–248. [Google Scholar] [CrossRef]
- Zuo, H.; Yuan, Y.; Chen, X.; Wang, J.-Y.; Yan, S.; Zhang, Y.; Liu, J. Copper-catalyzed radical-induced annulation-halo(bi)cyanomethylation of indole-tethered 1,6-enynes toward pyrrolo [1,2-a]indoles. Adv. Synth. Catal. 2024. advanced article. [Google Scholar] [CrossRef]
- Prier, C.K.; Rankic, D.A.; MacMillan, D.W.C. Visible light photoredox catalysis with transition metal complexes: Applications in organic synthesis. Chem. Rev. 2013, 113, 5322–5363. [Google Scholar] [CrossRef] [PubMed]
- Bag, D.; Koura, H.; Sawant, S.D. Photo-induced 1,2-carbohalofunctionalization of C–C multiple bonds via ATRA pathway. Org. Biomol. Chem. 2020, 18, 8278–8293. [Google Scholar] [CrossRef]
- Dong, D.-Q.; Tian, B.-L.; Yang, H.; Wei, Z.-H.; Yang, S.-H.; Zhou, M.-Y.; Ding, C.-Z.; Wang, Y.-L.; Gao, J.-H.; Wang, S.-J.; et al. Visible light induced palladium-catalyzed reactions involving halogenated hydrocarbon (RX). Mol. Catal. 2023, 541, 113073. [Google Scholar] [CrossRef]
- Zuo, H.; Chen, X.; Zhang, Y.; Liu, J.-W.; Yan, S.-H.; Li, G.; Wang, J.-Y. Photocatalytic thio/selenosulfonylation-bicyclization of indole-tethered 1,6-enynes leading to substituted benzo[c]pyrrolo [1,2,3-lm]carbazoles. Org. Lett. 2024, 26, 3828–3833. [Google Scholar] [CrossRef]
- Yan, M.; Kawamata, Y.; Baran, P.S. Synthetic organic electrochemical methods since 2000: On the verge of a renaissance. Chem. Rev. 2017, 117, 13230–13319. [Google Scholar] [CrossRef]
- Ji, X.-S.; Zuo, H.-D.; Shen, Y.-T.; Hao, W.-J.; Tu, S.-J.; Jiang, B. Electrochemical selective annulative amino-ketalization and amino-oxygenation of 1,6-enynes. Chem. Commun. 2022, 58, 10420–10423. [Google Scholar] [CrossRef]
- Leitch, J.A.; Browne, D.L. Mechanoredox chemistry as an emerging strategy in synthesis. Chem. Eur. J. 2021, 27, 9721–9726. [Google Scholar] [CrossRef]
- Clarke, P.A.; Santos, S.; Martin, W.H.C. Combining pot, atom and step economy (PASE) in organic synthesis. Synthesis of tetrahydropyran-4-ones. Green Chem. 2007, 9, 438–440. [Google Scholar] [CrossRef]
- Zhang, W.; Yi, W.-B. Pot, atom, and step economy (PASE) synthesis. In Springer Briefs in Green Chemistry for Sustainability; Sharma, S.K., Rajasthan, J., Eds.; Springer: Cham, Switzerland, 2019. [Google Scholar] [CrossRef]
- Ma, X.; Zhang, W. Recent developments on one-pot stepwise synthesis (OPSS) of small molecules. iScience 2022, 25, 105005. [Google Scholar] [CrossRef]
- Besset, T.; Poisson, T.; Pannecoucke, X. Direct vicinal difunctionalization of alkynes: An efficient approach towards the synthesis of highly functionalized fluorinated alkenes. Eur. J. Org. Chem. 2015, 2015, 2765–2789. [Google Scholar] [CrossRef]
- Gao, Y.; Tang, G.; Zhao, Y.F. Recent progress toward organophosphorus compounds based on phosphorus-centered radical difunctionalizations. Phosphorus Sulfur Silicon Relat. Elem. 2017, 192, 589–596. [Google Scholar] [CrossRef]
- Koike, T.; Akita, M. A versatile strategy for difunctionalization of carbon–carbon multiple bonds by photoredox catalysis. Org. Chem. Front. 2016, 3, 1345–1349. [Google Scholar] [CrossRef]
- Lan, X.-W.; Wang, N.-X.; Xing, Y. Recent advances in radical difunctionalization of simple alkenes. Eur. J. Org. Chem. 2017, 2017, 5821–5851. [Google Scholar] [CrossRef]
- Bao, X.Z.; Li, J.; Jiang, W.; Huo, C.D. Radical-mediated difunctionalization of styrenes. Synthesis 2019, 51, 4507–4530. [Google Scholar] [CrossRef]
- Lin, J.; Song, R.J.; Hu, M.; Li, J.H. Recent advances in the intermolecular oxidative difunctionalization of alkenes. Chem. Rec. 2019, 19, 440–451. [Google Scholar] [CrossRef]
- Wu, Y.-C.; Xiao, Y.-T.; Yang, Y.-Z.; Song, R.-J.; Li, J.-H. Recent advances in silver-mediated radical difunctionalization of alkenes. Chem. Cat. Chem. 2020, 12, 5312–5329. [Google Scholar] [CrossRef]
- Siu, J.C.; Fu, N.K.; Lin, S. Catalyzing electrosynthesis: A homogeneous electrocatalytic approach to reaction discovery. Acc. Chem. Res. 2020, 53, 547–560. [Google Scholar] [CrossRef]
- Li, Z.L.; Fang, G.C.; Gu, Q.S.; Liu, X.Y. Recent advances in copper-catalysed radical-involved asymmetric 1,2-difunctionalization of alkenes. Chem. Soc. Rev. 2020, 49, 32–48. [Google Scholar] [CrossRef]
- Jiang, H.; Studer, A. Intermolecular radical carboamination of alkenes. Chem. Soc. Rev. 2020, 49, 1790–1811. [Google Scholar] [CrossRef]
- Coppola, G.A.; Pillitteri, S.; Van der Eycken, E.V.; You, S.-L.; Sharma, U.K. Multicomponent reactions and photo/electrochemistry join forces: Atom economy meets energy efficiency. Chem. Soc. Rev. 2022, 51, 2313–2382. [Google Scholar] [CrossRef]
- Xia, D.; Shi, Y.; Jiang, L.; Li, Y.; Kong, J. Recent advances in the radical cascade reaction for constructing nitrogen heterocycles using azides as radical acceptors. Org. Biomol. Chem. 2024, 22, 5511–5523, advance article. [Google Scholar] [CrossRef]
- Yao, H.; Hu, W.; Zhang, W. Difunctionalization of alkenes and alkynes via intermolecular radical and nucleophilic additions. Molecules 2021, 26, 105. [Google Scholar] [CrossRef]
- Ma, X.; Zhang, Q.; Zhang, W. Remote radical 1,3-, 1,4-, 1,5-, 1,6-and 1,7-difunctionalization reactions. Molecules 2023, 28, 3027. [Google Scholar] [CrossRef]
- Zhi, S.; Yao, H.; Zhang, W. Difunctionalization of dienes, enynes and related compounds via sequential radical addition and cyclization reactions. Molecules 2023, 28, 1145. [Google Scholar] [CrossRef]
- Zhi, S.; Ma, X.; Zhang, W. Radical cyclization-initiated difunctionalization reactions of alkenes and alkynes. Molecules 2024, 29, 2559. [Google Scholar] [CrossRef]
- Wu, X.; Wu, S.; Zhu, C. Radical-mediated difunctionalization of unactivated alkenes through distal migration of functional groups. Tetrahedron Lett. 2018, 59, 1328–1336. [Google Scholar] [CrossRef]
- Wu, X.; Zhu, C. Radical-mediated remote functional group migration. Acc. Chem. Res. 2020, 53, 1620–1636. [Google Scholar] [CrossRef]
- Wu, Z.; Ren, R.; Zhu, C. Combination of a cyano migration strategy and alkene difunctionalization: The elusive selective azidocyanation of unactivated olefins. Angew. Chem. Int. Ed. 2016, 55, 10821–10824. [Google Scholar] [CrossRef]
- Wu, Z.; Wang, D.; Liu, Y.; Huan, L.; Zhu, C. Chemo-and regioselective distal heteroaryl ipso-migration: A general protocol for heteroarylation of unactivated alkenes. J. Am. Chem. Soc. 2017, 139, 1388–1391. [Google Scholar] [CrossRef]
- Yu, J.; Wang, D.; Xu, Y.; Wu, Z.; Zhu, C. Distal functional group migration for visible-light induced carbo-difluoroalkylation/monofluoroalkylation of unactivated alkenes. Adv. Synth. Catal. 2018, 360, 744–750. [Google Scholar] [CrossRef]
- Tian, T.; Wang, X.; Lv, L.; Li, Z. Iron-catalyzed acylation-functionalization of unactivated alkenes with aldehydes. Chem. Commun. 2020, 56, 14637–14640. [Google Scholar] [CrossRef]
- Seastram, A.C.; Hareram, M.D.; Knight, T.; Morrill, L.C. Electrochemical alkene azidocyanation via 1,4-nitrile migration. Chem. Commun. 2022, 58, 8658–8661. [Google Scholar] [CrossRef]
- Yang, M.; Chang, X.; Ye, S.; Ding, Q.; Wu, J. Generation of heteroaryl-substituted sulfonyl compounds from sulfur dioxide via remote heteroaryl ipso-migration. J. Org. Chem. 2021, 86, 15177–15184. [Google Scholar] [CrossRef]
- Yuan, X.; Liu, J.; Lv, H.; Qin, L.; Duan, X.; Wang, J.; Wu, M.; Chen, B.; Qiu, J.; Guo, K. Visible-light-induced selective alkylsulfonylation of unactivated alkenes via remote heteroaryl migrations. Green Synth. Catal. 2024, 5, 126–130. [Google Scholar] [CrossRef]
- Zhang, J.H.; Xiao, T.F.; Ji, Z.Q.; Chen, H.N.; Yan, P.J.; Luo, Y.C.; Xu, P.F.; Xu, G.Q. Organic photoredox catalytic amino-heteroarylation of unactivated olefins to access distal amino ketones. Chem. Commun. 2022, 58, 2882–2885. [Google Scholar] [CrossRef] [PubMed]
- Zhang, X.; Li, X.; Zhang, C.; Feng, C. Multisubstituted cyclohexene construction through telescoped radical-addition induced remote functional group migration and Horner-Wadsworth-Emmons (HWE) olefination. Org. Lett. 2021, 23, 9611–9615. [Google Scholar] [CrossRef] [PubMed]
- Zhang, J.J.; Chen, D.; Qin, Y.Q.; Deng, W.; Luo, Y.Y.; Xiang, J.N. Oxidative alkylation/alkynylation of terminal alkenes via alkylaldehyde decarbonylation and 1,2-alkynyl migration. Org. Biomol. Chem. 2021, 19, 3154–3158. [Google Scholar] [CrossRef] [PubMed]
- Zhang, P.; Zhang, T.; Cai, P.; Jiang, B.; Tu, S. Study on tert-butyl radical-initiated 1,2-alkynyl migration. Chin. J. Org. Chem. 2021, 41, 2408–2416. [Google Scholar] [CrossRef]
- Jin, S.; Chen, F.; Qian, P.; Cheng, J. Cyanoalkylation/alkynylation of allylic alcohol through intramolecular radical 1,2-alkynyl migration. Org. Biomol. Chem. 2021, 19, 2416–2419. [Google Scholar] [CrossRef] [PubMed]
- Ge, D.; Wang, X.; Chu, X. Difluoroalkylation/1,2-aryl migration of allylic alcohols under transition metal-free conditions. Tetrahedron Lett. 2021, 70, 153002. [Google Scholar] [CrossRef]
- Wu, X.; Ma, Z.; Feng, T.; Zhu, C. Radical-mediated rearrangements: Past, present, and future. Chem. Soc. Rev. 2021, 50, 11577–11613. [Google Scholar] [CrossRef] [PubMed]
- Kumar Nanda, S. Catalytic radical-polar crossover non-classical semipinacol rearrangements: The sustainable approach. Adv. Synth. Catal. 2023, 365, 834–853. [Google Scholar] [CrossRef]
- Xie, D.-T.; Chen, H.-L.; Wei, D.; Wei, B.-Y.; Li, Z.-H.; Zhang, J.-W.; Yu, W.; Han, B. Regioselective fluoroalkylphosphorylation of unactivated alkenes by radical-mediated alkoxyphosphine rearrangement. Angew. Chem. Int. Ed. 2022, 61, e202203398. [Google Scholar] [CrossRef]
- Dhungana, R.K.; Granados, A.; Ciccone, V.; Martin, R.T.; Majhi, J.; Sharique, M.; Gutierrez, O.; Molander, G.A. Trifunctionalization of cinnamyl alcohols provides access to brominated α,α-difluoro-γ-lactones via a photoinduced radical-polar-radical mechanism. ACS Catal. 2022, 12, 15750–15757. [Google Scholar] [CrossRef]
- Duan, X.; Sun, Q.; Yuan, X.; Qin, L.; Zhang, X.; Liu, J.; Wu, M.; Zhu, S.; Ma, C.; Qiu, J.; et al. Photoinduced remote heteroaryl migration accompanied by cyanoalkylacylation in continuous flow. Green Chem. 2021, 23, 8916–8921. [Google Scholar] [CrossRef]
- Zhang, C.; Yang, M.; Qiu, Y.; Song, M.; Wang, H.; Yang, M.; Xie, W.; Wu, J.; Ye, S. Alkoxysulfonyl radical species: Acquisition and transformation towards sulfonate esters through electrochemistry. Chem. Sci. 2022, 13, 11785–11791. [Google Scholar] [CrossRef]
- Gao, P.; Shen, Y.W.; Fang, R.; Hao, X.H.; Qiu, Z.H.; Yang, F.; Yan, X.B.; Wang, Q.; Gong, X.J.; Liu, X.Y.; et al. Copper-catalyzed one-pot trifluoromethylation/aryl migration/carbonyl formation with homopropargylic alcohols. Angew. Chem. Int. Ed. 2014, 53, 7629–7633. [Google Scholar] [CrossRef]
- Wu, S.; Wu, X.; Wang, D.; Zhu, C. Regioselective vinylation of remote unactivated C(sp3)−H bonds: Access to complex fluoroalkylated alkenes. Angew. Chem. Int. Ed. 2019, 58, 1499–1503. [Google Scholar] [CrossRef]
- Zhou, N.; Xu, P.; Li, W.; Cheng, Y.; Zhu, C. Visible light promoted carbodifluoroalkylation of homopropargylic alcohols via concomitant 1,4-aryl migration. Acta Chim. Sin. 2017, 75, 60–65. [Google Scholar] [CrossRef][Green Version]
- Bao, P.; Yu, F.; He, F.-S.; Tang, Z.; Deng, W.-P.; Wu, J. Visible-light-induced remote C(sp3)−H sulfonylvinylation: Assembly of cyanoalkylated vinyl sulfones. Org. Chem. Front. 2021, 8, 4820–4825. [Google Scholar] [CrossRef]
- Wang, N.; Li, L.; Li, Z.; Yang, N.; Guo, Z.; Zhang, H.; Liu, X. Catalytic diverse radical-mediated 1,2-cyanofunctionalization of unactivated alkenes via synergistic remote cyano migration and protected strategies. Org. Lett. 2016, 18, 6026–6029. [Google Scholar] [CrossRef]
- Kwon, Y.; Zhang, W.; Wang, Q. Copper-catalyzed aminoheteroarylation of unactivated alkenes through distal heteroaryl migration. ACS Catal. 2021, 11, 8807–8817. [Google Scholar] [CrossRef]
- Lei, Z.; Wei, S.; Zhou, L.; Zhang, Z.; Lopez, S.E.; Dolbier, W.R. Photocatalytic difluoromethylarylation of unactivated alkenes via a (hetero)aryl neophyl-like radical migration. Org. Biomol. Chem. 2022, 20, 5712–5715. [Google Scholar] [CrossRef]
- Ma, S.; Guo, Y.; Liu, L.; Shi, L.; Lei, X.; Duan, X.; Jiao, P. Gem-bromonitroalkane involved radical 1,2-aryl migration of α,α-diaryl allyl alcohol TMS ether via visible-light photoredox catalysis. J. Org. Chem. 2023, 88, 474–4756. [Google Scholar] [CrossRef] [PubMed]
- Li, D.; Mao, T.; Huang, J.; Zhu, Q. Denitrogenative imidoyl radical cyclization: Synthesis of 2-substituted benzoimidazoles from 1-azido-2-isocyanoarenes. Org. Lett. 2017, 19, 3223–3226. [Google Scholar] [CrossRef] [PubMed]
- Ma, Z.-Y.; Guo, L.-N.; Gu, Y.-R.; Chen, L.; Duan, X.-H. Iminyl radical-mediated controlled hydroxyalkylation of remote C(sp3)−H bond via tandem 1,5-HAT and difunctionalization of aryl alkenes. Adv. Synth. Catal. 2018, 360, 4341–4347. [Google Scholar] [CrossRef]
- Golagani, D.; Ajmeera, S.; Erb, W.; Mongin, F.; Akondi, S.M. Ferrocene catalyzed redox-neutral difunctionalization of alkenes using cycloketone oxime esters: Access to distal imido-nitriles. Chem. Commun. 2023, 59, 9259–9262. [Google Scholar] [CrossRef] [PubMed]
- Huang, S.; Thirupathi, N.; Tung, C.; Xu, Z. Copper-catalyzed oxidative trifunctionalization of olefins: An access to functionalized β-keto thiosulfones. J. Org. Chem. 2018, 83, 9449–9455. [Google Scholar] [CrossRef] [PubMed]
- Yu, J.; Zhang, X.; Wu, X.; Liu, T.; Zhang, Z.; Wu, J.; Zhu, C. Metal-free radical difunctionalization of ethylene. Chem 2023, 9, 472–482. [Google Scholar] [CrossRef]
- Paulus, F.; Stein, C.; Heusel, C.; Stoffels, T.J.; Daniliuc, C.G.; Glorius, F. Three-component photochemical 1,2,5-trifunctionalizations of alkenes toward densely functionalized lynchpins. J. Am. Chem. Soc. 2023, 145, 23814–23823. [Google Scholar] [CrossRef] [PubMed]
- Duan, X.; Yang, X.; Fang, R.; Peng, X.; Yu, W.; Han, B. Hydrazone radical promoted vicinal difunctionalization of alkenes and trifunctionalization of allyls: Synthesis of pyrazolines and tetrahydropyridazines. J. Org. Chem. 2013, 78, 10692–10704. [Google Scholar] [CrossRef]
- Liu, X.; Tian, S.; Jiang, Y.; Rao, W.; Wang, S. Visible-light-triggered sulfonylation/aryl migration/desulfonylation and C–S/Se bond formation reaction: 1,2,4-trifunctionalization of butenyl benzothiazole sulfone with thiosulfonate/selenosulfonates. Org. Lett. 2021, 23, 8246–8251. [Google Scholar] [CrossRef]
- Liu, X.; Fang, J.; Rao, W.; Shen, D.; Yang, Z.; Wang, S. Overcoming radical stability order via DABCO-triggered desulfurization: Visible-light-promoted 1,2,4-trifunctionalization of butenyl benzothiazole sulfone with thiosulfonate. J. Org. Chem. 2024, 89, 474–483. [Google Scholar] [CrossRef]
- Zhang, Q.; Chiou, M.F.; Ye, C.; Yuan, X.; Li, Y.; Bao, H. Radical 1,2,3-tricarbofunctionalization of α-vinyl-β-ketoesters enabled by a carbon shift from an all-carbon quaternary center. Chem. Sci. 2022, 13, 6836–6841. [Google Scholar] [CrossRef] [PubMed]
- Li, S.; Du, H.; Davies, P.W.; Shu, W. Synthesis of unprotected α-tertiary amines and 1,2-amino alcohols from vinyl azides by light induced denitrogenative alkylarylation/dialkylation. CCS Chem. 2024, 6, 1060–1070. [Google Scholar] [CrossRef]
- Liu, J.; Skaria, M.; Sharma, P.; Chiang, Y.W.; Liu, R.S. Ground-state dioxygen undergoes metal-free [3 + 2]-annulations with allenes and nitrosoarenes under ambient conditions. Chem. Sci. 2017, 8, 5482–5487. [Google Scholar] [CrossRef] [PubMed]
- Ward, R.M.; Schomaker, J.M. Allene trifunctionalization via amidyl radical cyclization and TEMPO trapping. J. Org. Chem. 2021, 86, 8891–8899. [Google Scholar] [CrossRef]
- Nobuta, T.; Hirashima, S.; Tada, N.; Miura, T.; Itoh, A. Facile aerobic photo-oxidative syntheses of α,α-dibromoacetophenones from aromatic alkynes with 48% aq HBr. Tetrahedron Lett. 2010, 51, 4576–4578. [Google Scholar] [CrossRef]
- Jafarpour, F.; Azizzade, M.; Golpazir-Sorkheh, Y.; Navid, H.; Rajai-Daryasarei, S. Divergent synthesis of α-aroyloxy ketones and indenones: A controlled domino radical reaction for di- and trifunctionalization of alkynes. J. Org. Chem. 2020, 85, 8287–8294. [Google Scholar] [CrossRef] [PubMed]
- Meng, X.; Xu, H.; Liu, R.; Zheng, Y.; Huang, S. Electrochemical triamination of alkynes: Controllable synthesis of functionalized indolines and indoles. Green Chem. 2022, 24, 4476–4754. [Google Scholar] [CrossRef]
- Wang, J.; Wu, X.; Cao, Z.; Zhang, X.; Wang, X.; Li, J.; Zhu, C. E-selective radical difunctionalization of unactivated alkynes: Preparation of functionalized allyl alcohols from aliphatic alkynes. Adv. Sci. 2024, 11, e2309022. [Google Scholar] [CrossRef]
- Yang, Y.; Daniliuc, C.G.; Studer, A. 1,1,2-Trifunctionalization of terminal alkynes by radical addition-translocation-cyclization-trapping for the construction of highly substituted cyclopentanes. Angew. Chem. Int. Ed. 2021, 60, 2145–2148. [Google Scholar] [CrossRef]
- Feng, J.; Zhang, F.; Shu, C.; Zhu, G. Copper-catalyzed 1,2,5-trifunctionalization of terminal alkynes using SR as a transient directing group for radical translocation. Chin. J. Chem. 2022, 40, 1667–1673. [Google Scholar] [CrossRef]
- Yue, X.; Hu, M.; He, X.; Wu, S.; Li, J.-H. A radical-mediated 1,3,4-trifunctionalization cascade of 1,3-enynes with sulfinates and tert-butyl nitrite: Facile access to sulfonyl isoxazoles. Chem. Commun. 2020, 56, 6253–6256. [Google Scholar] [CrossRef]
- Chang, C.; Zhang, H.; Wu, X.; Zhu, C. Radical trifunctionalization of hexenenitrile via remote cyano migration. Chem. Commun. 2022, 58, 1005–1008. [Google Scholar] [CrossRef]
- Wang, Z.; Chang, C.; Chen, Y.; Wu, X.; Li, J.; Zhu, C. Remote desaturation of hexenenitriles by radical-mediated cyano migration. Tetrahedron 2023, 131, 133228. [Google Scholar] [CrossRef]
- Guo, K.; Gu, C.; Li, Y.; Xie, X.; Zhang, H.; Chen, K.; Zhu, Y. Photoredox catalyzed trifluoromethyl radical-triggered trifunctionalization of 5-hexenenitriles via cyano migration. Adv. Synth. Catal. 2022, 364, 1388–1393. [Google Scholar] [CrossRef]
- Wang, J.; Wang, Y.; Li, J.; Wei, Z.; Feng, J.; Du, D. Organocatalytic radical relay trifunctionalization of unactivated alkenes by a combination of cyano migration and alkylacylation. Chem. Commun. 2023, 59, 5395–5398. [Google Scholar] [CrossRef]
- Ni, S.; Sha, W.; Zhang, L.; Xie, C.; Mei, H.; Han, J.; Pan, Y. N-iodosuccinimide-promoted cascade trifunctionalization of alkynoates: Access to 1,1-diiodoalkenes. Org. Lett. 2016, 18, 712–715. [Google Scholar] [CrossRef] [PubMed]
- Sahoo, H.; Ramakrishna, I.; Mandal, A.; Baidya, M. Atom transfer oxidative radical cascade of aryl alkynoates towards 1,1-dichalcogenide olefins. Chem. Asian J. 2019, 14, 4549–4552. [Google Scholar] [CrossRef] [PubMed]
- Feng, S.; Li, J.; Liu, Z.; Sun, H.; Shi, H.; Wang, X.; Xie, X.; She, X. Visible-light-mediated radical cascade reaction: Synthesis of 3-bromocoumarins from alkynoates. Org. Biomol. Chem. 2017, 15, 8820–8826. [Google Scholar] [CrossRef]
- Roy, M.; Jamatia, R.; Samanta, A.; Mohar, K.; Srimani, D. Change in the product selectivity in the visible light-induced selenium radical-mediated 1,4-aryl migration process. Org. Lett. 2022, 24, 8180–8185. [Google Scholar] [CrossRef]
- Peng, X.; Wei, D.; Han, W.; Chen, F.; Yu, W.; Han, B. Dioxygen activation via Cu-catalyzed cascade radical reaction: An approach to isoxazoline/cyclic nitrone-featured α-ketols. ACS Catal. 2017, 7, 7830–7834. [Google Scholar] [CrossRef]
- Wei, D.; Liu, T.; He, Y.; Wei, B.; Pan, J.; Zhang, J.; Jiao, N.; Han, B. Radical 1,4/5-amino shift enables access to fluoroalkyl-containing primary β(γ)-aminoketones under metal-free conditions. Angew. Chem. Int. Ed. 2021, 60, 26308–26313. [Google Scholar] [CrossRef] [PubMed]
- Jiang, K.; Li, S.J.; Liu, Q.P.; Yu, N.; Li, Y.L.; Zhou, Y.Q.; He, K.C.; Lin, J.; Zheng, T.Y.; Lang, J.; et al. Iminyl radical-triggered relay annulation for the construction of bridged aza-tetracycles bearing four contiguous stereogenic centers. Chem. Sci. 2022, 13, 7283–7288. [Google Scholar] [CrossRef] [PubMed]
- Zhang, Z.; Wang, J.; Yu, M.; Ye, S.; Wu, J. Construction of β-amino sulfones from sodium metabisulfite via a radical 1,4-amino migration. Org. Lett. 2023, 25, 304–308. [Google Scholar] [CrossRef] [PubMed]
- Qi, Z.; Zhang, Z.; Yang, L.; Zhang, D.; Lu, J.; Wei, J.; Wei, S.; Fu, Q.; Du, X.; Yi, D. Nitrogen-radical-triggered trifunctionalizing ipso-spirocyclization of unactivated alkenes with vinyl azides: A modular access to spiroaminal frameworks. Adv. Synth. Catal. 2021, 363, 3762–3768. [Google Scholar] [CrossRef]
- Liu, S.; Zhang, L.; Xu, L.; Gao, P.; Duan, X.; Guo, L.N. Fe-catalyzed alkylazidation of α-trifluoromethylalkenes: An access to quaternary stereocenters containing CF3 and N3 groups. Org. Lett. 2023, 25, 1336–1341. [Google Scholar] [CrossRef]

































































Disclaimer/Publisher’s Note: The statements, opinions and data contained in all publications are solely those of the individual author(s) and contributor(s) and not of MDPI and/or the editor(s). MDPI and/or the editor(s) disclaim responsibility for any injury to people or property resulting from any ideas, methods, instructions or products referred to in the content. |
© 2024 by the authors. Licensee MDPI, Basel, Switzerland. This article is an open access article distributed under the terms and conditions of the Creative Commons Attribution (CC BY) license (https://creativecommons.org/licenses/by/4.0/).
Share and Cite
Zhang, Q.; Ma, X.; Zhi, S.; Zhang, W. Radical-Mediated Trifunctionalization Reactions. Molecules 2024, 29, 3620. https://doi.org/10.3390/molecules29153620
Zhang Q, Ma X, Zhi S, Zhang W. Radical-Mediated Trifunctionalization Reactions. Molecules. 2024; 29(15):3620. https://doi.org/10.3390/molecules29153620
Chicago/Turabian StyleZhang, Qiang, Xiaoming Ma, Sanjun Zhi, and Wei Zhang. 2024. "Radical-Mediated Trifunctionalization Reactions" Molecules 29, no. 15: 3620. https://doi.org/10.3390/molecules29153620
APA StyleZhang, Q., Ma, X., Zhi, S., & Zhang, W. (2024). Radical-Mediated Trifunctionalization Reactions. Molecules, 29(15), 3620. https://doi.org/10.3390/molecules29153620

