The Phase Distribution Characteristics and Interphase Mass Transfer Behaviors of the CO2–Water/Saline System under Gathering and Transportation Conditions: Insights on Molecular Dynamics
Abstract
1. Introduction
2. Results and Discussion
2.1. Distribution Characteristics of Each Phase in C-W System
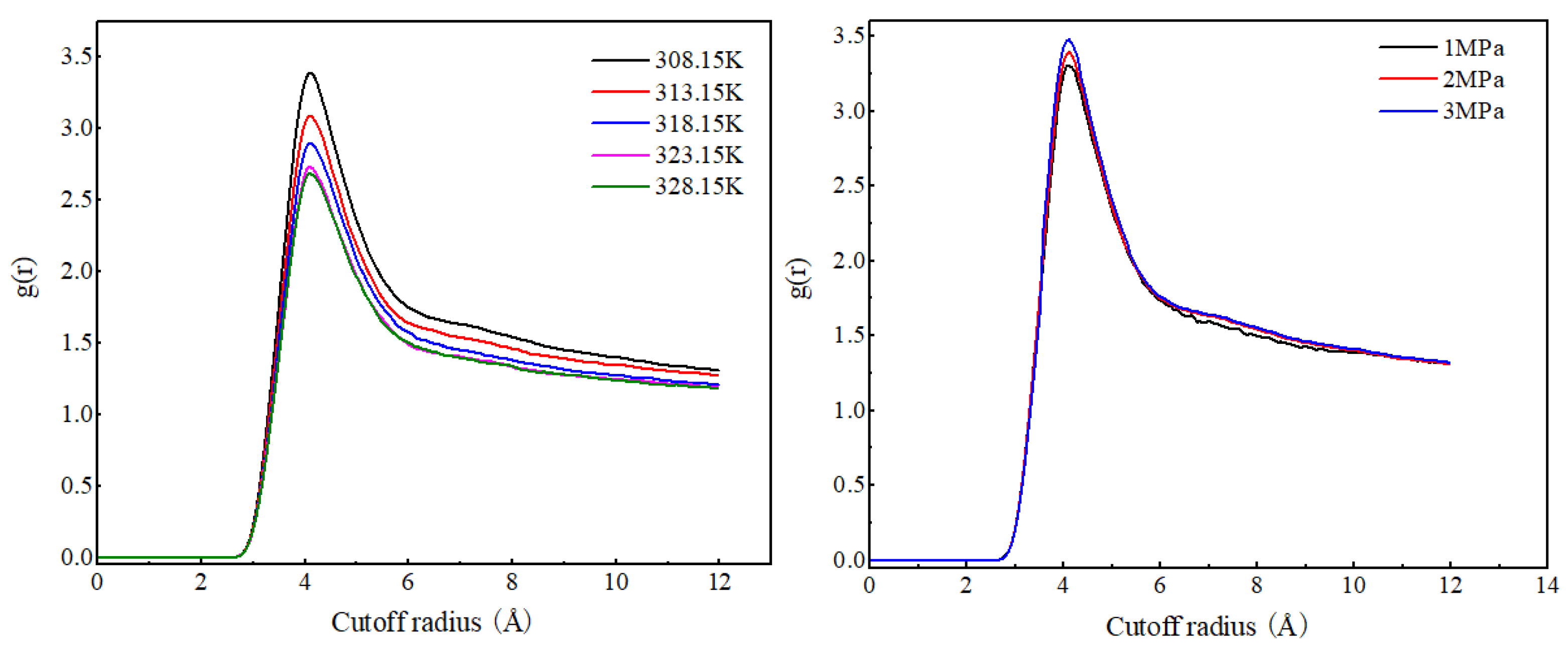
2.2. Effects of Temperature and Pressure on Phase Composition Structure and Diffusion Characteristics of C-W Two-Phase System
2.3. Effect of Salt Concentration on Phase Composition Structure and Diffusion Characteristics of C-W Two-Phase System
- (1)
- Phase composition distribution characteristics of C-SW system
3. Model Establishment and Simulation Details
4. Conclusions
- (1)
- The interphase mass transfer process of the C-W system under gathering conditions is divided into three processes: ① CO2 molecules gradually move towards the water phase; ② CO2 molecules adsorb to the gas–liquid interface and form a loose adsorption layer with a certain thickness and structure; ③ a small amount of CO2 molecules enter the water phase, occupying part of the free space in the water phase.
- (2)
- The influence mechanism of temperature and pressure on the parameters describing the structural and mass transfer characteristics of the system was obtained. As the system temperature increases and pressure decreases, the density peak of CO2 molecules at the gas–liquid interface significantly decreases, the RDF peak gradually decreases, and the self-diffusion coefficient gradually increases. The analysis is that both the increase in temperature and the decrease in pressure weaken the interaction energy between CO2 molecules and water molecules, and some CO2 molecules will break free from the binding of water molecules, resulting in a decrease in the density peak of CO2 molecules at the interface, a weakening of the degree of aggregation, and an increase in diffusion ability.
- (3)
- The addition of salt ions to water exhibits a specific hydration structure, and it is difficult for the interaction between CO2 molecules and water molecules to completely damage the hydration shell structure formed by electrostatic and hydrogen bonding effects, resulting in a decrease in the amount of CO2 entering the aqueous phase. Moreover, as the salt concentration in water increases, the density peak of carbon dioxide molecules at the gas–liquid interface slightly increases, while the density value in the water phase region significantly decreases. At the same time, the RDF peak between carbon dioxide molecules significantly increases, resulting in an increase in aggregation.
Author Contributions
Funding
Institutional Review Board Statement
Informed Consent Statement
Data Availability Statement
Conflicts of Interest
References
- Song, X.; Wang, F.; Ma, D.; Gao, M.; Zhang, Y. Progress and prospect of carbon dioxide capture, utilization and storage in CNPC oilfields. Pet. Explor. Dev. 2023, 50, 229–244. [Google Scholar] [CrossRef]
- Luo, X.; Zheng, P.; Gao, K.; Wei, B.; Feng, Y. Thermo-and CO2-triggered viscosifying of aqueous copolymer solutions for gas channeling control during water-alternating-CO2 flooding. Fuel 2021, 291, 120171. [Google Scholar] [CrossRef]
- Li, D.; Ren, B.; Zhang, L.; Ezekiel, J.; Ren, S.; Feng, Y. CO2-sensitive foams for mobility control and channeling blocking in enhanced WAG process. Chem. Eng. Res. Des. 2015, 102, 234–243. [Google Scholar] [CrossRef]
- Chaturvedi, K.R.; Sharma, T. Modified smart water flooding for promoting carbon dioxide utilization in shale enriched heterogeneous sandstone under surface conditions for oil recovery and storage prospects. Environ. Sci. Pollut. Res. 2022, 29, 41788–41803. [Google Scholar] [CrossRef]
- Cheng, Q.; Li, Z.; Song, D.; Gao, W.; Wu, H.; Xie, H.; Chen, Y.; Gu, L.; Liu, Y. Study on weak link of energy utilization in oil transfer station system: Insights from energy level analysis method. Energy Rep. 2020, 6, 1097–1105. [Google Scholar] [CrossRef]
- Cheng, Q.; Li, Z.; Wu, H.; Yu, C.; Lv, L.; Wei, J. Exergoeconomics evaluation on optimal operation conditions in crude oil gathering and transportation system. Energy Sources Part A Recovery Util. Environ. Eff. 2023, 45, 402–418. [Google Scholar] [CrossRef]
- Almeida, C.F.; Manrique, Y.A.; Lopes, J.C.B.; Martins, F.G.; Dias, M.M. Screening of Equation-of-State Models for Pure Carbon Dioxide Properties and Binary Mixture (Carbon Dioxide/Water and Carbon Dioxide/Ethanol) Phase Equilibrium. J. Chem. Eng. Data 2023. [Google Scholar] [CrossRef]
- Monteiro, M.; Moura-Neto, M.; Pereira, C.; Chiavone-Filho, O. Description of phase equilibrium and volumetric properties for CO2+ water and CO2+ ethanol using the CPA equation of state. J. Supercrit. Fluids 2020, 161, 104841. [Google Scholar] [CrossRef]
- Zhang, Z.; Qian, Z.; Xu, L.; Wu, C.; Guo, K. Deviation of Carbon Dioxide-Water Gas-Liquid Balance from Thermodynamic Equilibrium in Turbulence I: Experiment and Correlation. Chin. J. Chem. Eng. 2013, 21, 770. [Google Scholar] [CrossRef]
- Sun, X.; Li, H.; He, H.; Fu, W.; Wang, Z.; Gao, Y.; Sun, B. Experiments and modeling of CO2 solubility in water-based and oil-based drilling fluids. J. Pet. Sci. Eng. 2022, 212, 110336. [Google Scholar] [CrossRef]
- Aasen, A.; Hammer, M.; Skaugen, G.; Jakobsen, J.P.; Wilhelmsen, Ø. Thermodynamic models to accurately describe the PVTxy-behavior of water/carbon dioxide mixtures. Fluid Phase Equilibria 2017, 442, 125–139. [Google Scholar] [CrossRef]
- Du, G.; Hu, J. An equation of state for accurate thermodynamic modeling of water and carbon dioxide from triple points to 647 K and 100–200 MPa. Int. J. Greenh. Gas Control. 2016, 49, 94–107. [Google Scholar] [CrossRef]
- Kwon, C.H.; Lee, C.H.; Kang, J.W. Calculation of phase equilibrium for water+ carbon dioxide system using nonrandom lattice fluid equation of state. Korean J. Chem. Eng. 2010, 27, 278–283. [Google Scholar] [CrossRef]
- Gan, Y.; Cheng, Q.; Wang, Z.; Yang, J.; Sun, W.; Liu, Y. Molecular dynamics simulation of the microscopic mechanisms of the dissolution, diffusion and aggregation processes for waxy crystals in crude oil mixtures. J. Pet. Sci. Eng. 2019, 179, 56–69. [Google Scholar] [CrossRef]
- Li, Q.; Ren, J.; Liu, Y.; Zhou, Y. Prediction of critical properties and boiling point of fluorine/chlorine-containing refrigerants. Int. J. Refrig. 2022, 143, 28–36. [Google Scholar] [CrossRef]
- Wang, S.; Cheng, Q.; Gan, Y.; Li, Q.; Liu, C.; Sun, W. Effect of Wax Composition and Shear Force on Wax Aggregation Behavior in Crude Oil: A Molecular Dynamics Simulation Study. Molecules 2022, 27, 4432. [Google Scholar] [CrossRef]
- Li, Q.; Deng, X.; Liu, Y.; Cheng, Q.; Liu, C. Gelation of waxy crude oil system with ethylene-vinyl acetate on solid surface: A molecular dynamics study. J. Mol. Liq. 2021, 331, 115816. [Google Scholar] [CrossRef]
- Zhang, H.; Singer, S.J. Analysis of the subcritical carbon dioxide−water interface. J. Phys. Chem. A 2011, 115, 6285–6296. [Google Scholar] [CrossRef]
- Shiga, M.; Morishita, T.; Sorai, M. Interfacial tension of carbon dioxide-water under conditions of CO2 geological storage and enhanced geothermal systems: A molecular dynamics study on the effect of temperature. Fuel 2023, 337, 127219. [Google Scholar] [CrossRef]
- Tulegenov, A.S. On the interaction in the water–carbon dioxide complex. Chem. Phys. Lett. 2011, 505, 71–74. [Google Scholar] [CrossRef]
- Mahdavi, S.; Jalilian, M.; Dolati, S. Review and perspectives on CO2 induced asphaltene instability: Fundamentals and implications for phase behaviour, flow assurance, and formation damage in oil reservoirs. Fuel 2024, 368, 131574. [Google Scholar] [CrossRef]
- Ali, F.; Negash, B.M.; Ridha, S.; Abdulelah, H. A review on the interfacial properties of caprock/CO2/brine system-implications for structural integrity of deep saline aquifers during geological carbon storage. Earth-Sci. Rev. 2023, 247, 104600. [Google Scholar] [CrossRef]
- Harris, J.G.; Yung, K.H. Carbon dioxide’s liquid-vapor coexistence curve and critical properties as predicted by a simple molecular model. J. Phys. Chem. 1995, 99, 12021–12024. [Google Scholar] [CrossRef]
- Nieto-Draghi, C.; de Bruin, T.; Pérez-Pellitero, J.; Avalos, J.B.; Mackie, A.D. Thermodynamic and transport properties of carbon dioxide from molecular simulation. J. Chem. Phys. 2007, 126, 064509. [Google Scholar] [CrossRef] [PubMed]
- Kumar, R.; Skinner, J.L. Water simulation model with explicit three-molecule interactions. J. Phys. Chem. B 2008, 112, 8311–8318. [Google Scholar] [CrossRef]
- Abascal, J.L.F.; Vega, C. A general purpose model for the condensed phases of water: TIP4P/2005. J. Chem. Phys. 2005, 123, 234505. [Google Scholar] [CrossRef]
- Aragones, J.L.; Conde, M.M.; Noya, E.G.; Vega, C. The phase diagram of water at high pressures as obtained by computer simulations of the TIP4P/2005 model: The appearance of a plastic crystal phase. Phys. Chem. Chem. Phys. 2009, 11, 543–555. [Google Scholar] [CrossRef]
- Bauer, B.A.; Warren, G.L.; Patel, S. Incorporating phase-dependent polarizability in nonadditive electrostatic models for molecular dynamics simulations of the aqueous liquid−vapor interface. J. Chem. Theory Comput. 2009, 5, 359–373. [Google Scholar] [CrossRef]
- Wang, S.; Cheng, Q.; Li, Z.; Qi, Y.; Liu, Y. Molecular Dynamics Study on the Diffusion Mass Transfer Behaviour of CO2 and Crude Oil in Fluids Produced via CO2 Flooding. Molecules 2023, 28, 7948. [Google Scholar] [CrossRef]
- Smith, D.E.; Dang, L.X. Computer simulations of NaCl association in polarizable water. J. Chem. Phys. 1994, 100, 3757–3766. [Google Scholar] [CrossRef]













| Temperature (K) | 308.15 | 313.15 | 318.15 | 323.15 | 328.15 |
|---|---|---|---|---|---|
| The diffusion coefficient of CO2 (10−9 m2/s) | 4.7 | 5.6 | 6.1 | 5.8 | 6.2 |
| The diffusion coefficient of water (10−11 m2/s) | 1.3 | 3.0 | 8.5 | 9.0 | 9.1 |
| Pressure (MPa) | 1 | 2 | 3 |
|---|---|---|---|
| The diffusion coefficient of CO2 (10−9 m2/s) | 9.4 | 4.7 | 4.4 |
| The diffusion coefficient of water (10−11 m2/s) | 1.1 | 1.3 | 2.4 |
| Ion concentration (M) | 1.1 | 2.2 | 3.3 |
|---|---|---|---|
| The diffusion coefficient of CO2 (10−10 m2/s) | 4.8 | 1.3 | 0.6 |
| The diffusion coefficient of water (10−12 m2/s) | 7.9 | 3.8 | 3.5 |
Disclaimer/Publisher’s Note: The statements, opinions and data contained in all publications are solely those of the individual author(s) and contributor(s) and not of MDPI and/or the editor(s). MDPI and/or the editor(s) disclaim responsibility for any injury to people or property resulting from any ideas, methods, instructions or products referred to in the content. |
© 2024 by the authors. Licensee MDPI, Basel, Switzerland. This article is an open access article distributed under the terms and conditions of the Creative Commons Attribution (CC BY) license (https://creativecommons.org/licenses/by/4.0/).
Share and Cite
Wang, S.; Cheng, Q.; Li, Z.; Zhao, S.; Liu, Y. The Phase Distribution Characteristics and Interphase Mass Transfer Behaviors of the CO2–Water/Saline System under Gathering and Transportation Conditions: Insights on Molecular Dynamics. Molecules 2024, 29, 4256. https://doi.org/10.3390/molecules29174256
Wang S, Cheng Q, Li Z, Zhao S, Liu Y. The Phase Distribution Characteristics and Interphase Mass Transfer Behaviors of the CO2–Water/Saline System under Gathering and Transportation Conditions: Insights on Molecular Dynamics. Molecules. 2024; 29(17):4256. https://doi.org/10.3390/molecules29174256
Chicago/Turabian StyleWang, Shuang, Qinglin Cheng, Zhidong Li, Shaosong Zhao, and Yue Liu. 2024. "The Phase Distribution Characteristics and Interphase Mass Transfer Behaviors of the CO2–Water/Saline System under Gathering and Transportation Conditions: Insights on Molecular Dynamics" Molecules 29, no. 17: 4256. https://doi.org/10.3390/molecules29174256
APA StyleWang, S., Cheng, Q., Li, Z., Zhao, S., & Liu, Y. (2024). The Phase Distribution Characteristics and Interphase Mass Transfer Behaviors of the CO2–Water/Saline System under Gathering and Transportation Conditions: Insights on Molecular Dynamics. Molecules, 29(17), 4256. https://doi.org/10.3390/molecules29174256
