Cu(II) Coordination Polymers Containing Mixed Ligands with Different Flexibilities: Structural Diversity and Iodine Adsorption
Abstract
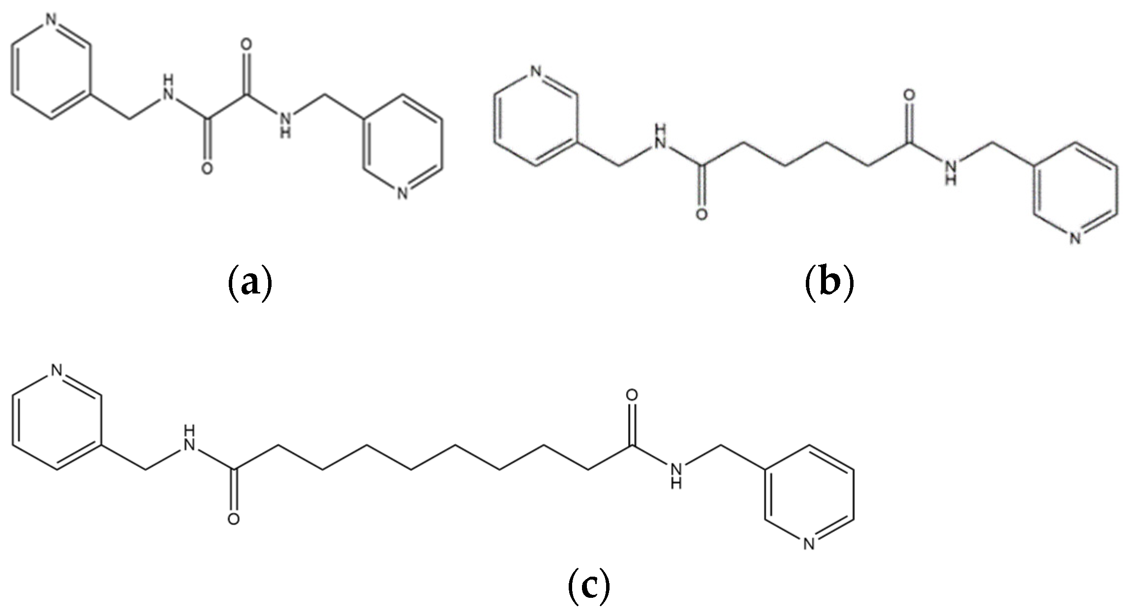
1. Introduction
2. Results and Discussion
2.1. Structure of 1
2.2. Structure of 2
2.3. Structure of 3
2.4. Structure of 4
2.5. Structure of 5 and 6
2.6. Ligand Conformations and Coordination Modes
2.7. Powder X-ray Analysis
2.8. Thermal Properties
2.9. Iodine Adsorption
2.10. Energy Dispersive X-ray (EDX) Analysis
2.11. Gas Adsorption
3. Materials and Methods
3.1. Materials
3.2. Preparations
3.2.1. {[Cu(L1)(1,3,5-HBTC)]·H2O}n, 1
3.2.2. {[Cu1.5(L2)1.5(1,3,5-BTC)(H2O)2]·6.5H2O}n, 2
3.2.3. [Cu(L2)0.5(1,3,5-HBTB)]n, 3
3.2.4. [Cu4(L3)(OH)2(1,3,5-BTC)2]n, 4
3.2.5. {[Cu3(L3)2(1,3,5-BTB)2]·2.5MeOH·2H2O}n, 5, and {[Cu3(L3)2(1,3,5-BTB)2]·DMF·2H2O}n, 6
3.3. X-ray Crystallography
4. Conclusions
Supplementary Materials
Author Contributions
Funding
Institutional Review Board Statement
Informed Consent Statement
Data Availability Statement
Acknowledgments
Conflicts of Interest
References
- Tiekink, E.R.; Vittal, J.J. Frontiers in Crystal Engineering; John Wiley & Sons: West Sussex, UK, 2006. [Google Scholar]
- Batten, S.R.; Neville, S.M.; Turner, D.R. Coordination Polymers Design, Analysis and Application; The Royal Society of Chemistry: London, UK, 2009. [Google Scholar]
- Allendorf, M.D.; Bauer, C.A.; Bhakta, R.K.; Houk, R.J.T. Luminescent metal–organic frameworks. Chem. Soc. Rev. 2009, 38, 1330. [Google Scholar]
- Shi, Y.X.; Zhang, W.H.; Abrahams, B.F.; Braunstein, P.; Lang, J.P. Fabrication of Photoactuators: Macroscopic Photomechanical Responses of Metal-Organic Frameworks to Irradiation by UV Light. Angew. Chem. Int. Ed. 2019, 58, 9453–9458. [Google Scholar] [CrossRef] [PubMed]
- Shi, Y.X.; Chen, H.H.; Zhang, W.H.; Day, G.S.; Lang, J.P.; Zhou, H.C. Photoinduced nonlinear contraction behavior in metalorganic frameworks. Chem. Eur. J. 2019, 25, 8543–8549. [Google Scholar] [CrossRef]
- Liu, D.; Lang, J.-P.; Abrahams, B.F. Highly Efficient Separation of a Solid Mixture of Naphthalene and Anthracene by a Reusable Porous Metal−Organic Framework through a Single-Crystal-to-Single Crystal Transformation. J. Am. Chem. Soc. 2011, 133, 11042. [Google Scholar] [CrossRef]
- Liu, C.-Y.; Chen, X.-R.; Chen, H.-X.; Niu, Z.; Hirao, H.; Braunstein, P.; Lang, J.-P. Ultrafast Luminescent Light-Up Guest Detection Based on the Lock of the Host Molecular Vibration. J. Am. Chem. Soc. 2020, 142, 6690–6697. [Google Scholar] [CrossRef]
- Manna, F.; Oggianu, M.; Avarvari, N.; Mercuri, M.L. Lanthanide-Based Metal–Organic Frameworks with Single-Molecule Magnet Properties. Magnetochemistry 2023, 9, 190. [Google Scholar]
- Mondal, S.; Dastidar, P. Mixed Ligand Coordination Polymers for Metallogelation and Iodine Adsorption. Cryst. Growth Des. 2019, 19, 470–478. [Google Scholar] [CrossRef]
- Chen, C.-J.; Chen, C.-L.; Lee, W.-T.; Hu, J.-H.; Chhetri, P.M.; Chen, J.-D. Coordination polymers with a semi-rigid spacer ligand in a mixed system: Roles of benzene-1, 3, 5-tricarboxylate anions. J. Mol. Struct. 2021, 1244, 131252. [Google Scholar] [CrossRef]
- Blatov, V.A.; Shevchenko, A.P.; Proserpio, D.M. Applied topological analysis of crystal structures with the program package ToposPro. Cryst. Growth Des. 2014, 14, 3576–3586. [Google Scholar] [CrossRef]
- Huang, W.-C.; Chen, W.-H.; Chen, C.-L.; Liao, T.-T.; Chen, Y.-W.; Chen, J.-D. Formation of entangled Co(II) coordination polymers based on bis-pyridyl-bis-amide and angular dicarboxylate ligands: A structural comparison. CrystEngComm 2023, 25, 5575–5587. [Google Scholar] [CrossRef]
- Safarifard, V.; Morsali, A. Influence of an amine group on the highly efficient reversible adsorption of iodine in two novel isoreticular interpenetrated pillared-layer microporous metal–organic frameworks. CrystEngComm. 2014, 16, 8660–8663. [Google Scholar] [CrossRef]
- Guo, B.; Li, F.; Wang, C.; Zhang, L.; Sun, D. A rare (3, 12)-connected zirconium metal–organic framework with efficient iodine adsorption capacity and pH sensing. J. Mater. Chem. A 2019, 7, 13173–13179. [Google Scholar] [CrossRef]
- Arici, M.; Arici, T.A.; Demiral, H.; Taş, M.; Yeşilel, O.Z. A porous Zn (II)-coordination polymer based on a tetracarboxylic acid exhibiting selective CO 2 adsorption and iodine uptake. Dalton Trans. 2020, 49, 10824–10831. [Google Scholar] [CrossRef] [PubMed]
- Lee, W.T.; Liao, T.T.; Chen, J.-D. Nickel (II) Coordination Polymers Supported by Bis-pyridyl-bis-amide and Angular Dicarboxylate Ligands: Role of Ligand Flexibility in Iodine Adsorption. Int. J. Mol. Sci. 2022, 23, 3603. [Google Scholar] [CrossRef] [PubMed]
- Mohanambe, L.; Vasudevan, S. Insertion of iodine in a functionalized inorganic layered solid. Inorg. Chem. 2004, 43, 6421–6425. [Google Scholar] [CrossRef]
- Zhang, N.; Sun, L.X.; Bai, F.Y.; Xing, Y.H. Thorium–organic framework constructed with a semirigid triazine hexacarboxylic acid ligand: Unique structure with thorium oxide wheel clusters and iodine adsorption behavior. Inorg. Chem. 2020, 59, 3964–3973. [Google Scholar] [CrossRef]
- Liu, J.H.; Qi, Y.J.; Zhao, D.; Li, H.H.; Zheng, S.T. Heterometallic organic frameworks built from trinuclear indium and cuprous halide clusters: Ligand-oriented assemblies and iodine adsorption behavior. Inorg. Chem. 2018, 58, 516–523. [Google Scholar] [CrossRef]
- Spek, A.L. checkCIF validation ALERTS: What they mean and how to respond. Acta Crystallogr. 2020, E76, 1–11. [Google Scholar] [CrossRef]
- Ju, Y.; Li, Z.-J.; Lu, H.; Zhou, Z.; Li, Y.; Wu, X.-L.; Guo, X.; Qian, Y.; Zhang, Z.-H.; Lin, J.; et al. Interpenetration Control in Thorium Metal−Organic Frameworks: Structural Complexity toward Iodine Adsorption. Inorg. Chem. 2021, 60, 5617–5626. [Google Scholar]
- Liu, Y.F.; Hu, J.H.; Lee, W.T.; Yang, X.K.; Chen, J.-D. Structural transformations of cobalt (II) coordination polymers constructed from N, N′-di-3-pyridyladipoamide and tetracarboxylic acids: Disentanglement upon water coordination. Cryst. Growth Des. 2020, 20, 7211–7218. [Google Scholar] [CrossRef]
- Bruker, A.X.S. APEX2, V2008.6, SADABS V2008/1, SAINT V7.60A, SHELXTL V6.14; Bruker AXS Inc.: Madison, WI, USA, 2008. [Google Scholar]
- Sheldrick, G.M. Crystal structure refinement with SHELXL. Acta Crystallogr. 2015, C71, 3–8. [Google Scholar]








| Ligand Conformation | Coordination Mode | |
|---|---|---|
| 1 | ![]() trans syn-syn | ![]() μ3-κO: κO′: κO″ |
| 2 | ![]() AAA trans syn-syn | ![]() μ2-κO:κO′ |
| 3 | ![]() AGA cis anti-anti | ![]() μ4-κO: κO′: κO″: κO‴ |
| 4 | ![]() AAAAAAA cis anti-anti | ![]() μ5-κO:κO′:O″:O‴:O″″ |
| 5 | ![]() GGAAAAA cis syn-syn | ![]() μ5-κO:κO′:O″:O‴:O″″ |
| 6 | ![]() AAAAAAA trans anti-anti | ![]() μ5-κO:κO′:O″:O‴:O″″ |
| Complex | Weight Loss of Solvent °C (Calc/Found), % | Weight Loss of Ligand °C (Calc/Found), % |
|---|---|---|
| 1 | H2O 30–250 (3.21/4.38) | L1 + 1,3,5-HBTC2− 250–800 (85.14/85.15) |
| 2 | 6.5 H2O 30–120 (16.19/14.38) | 1.5 (L2) + 1,3,5-BTC3− 120–900 (73.64/70.97) |
| 3 | 0.5 DMA + 3 H2O 30–250 (12.83/7.86) | 0.5 (L2) + 1,3,5-HBTB2− 250–800 (78.75/81.97) |
| 4 | - | L3 + 2 (1,3,5-BTC3−) + 2 (OH−) 270–800 (76.50/80.31) |
| 5 | 2.5 MeOH + 2 H2O 30–270 (5.97/4.28) | 2 (L3) + 2 (1,3,5-BTB3−) 270–800 (84.12/85.60) |
| 6 | DMF + H2O 30–250 (4.71/6.03) | 2 (L3) + 2 (1,3,5-BTB3−) 250–800 (84.42/84.54) |
| Complex | 1 | 2 | 3 |
| CCDC No. | 2311169 | 2311170 | 2311171 |
| Formula | C23H20CuN4O9 | C36H53Cu1.5N6O17.50 | C36H27CuN2O7 |
| Formula weight | 599.97 | 945.15 | 663.13 |
| Crystal system | Triclinic | Triclinic | Monoclinic |
| Space group | Pī | Pī | C2/c |
| a, Å | 10.1482(9) | 8.9062(2) | 18.8531(6) |
| b, Å | 11.1855(10) | 11.2565(3) | 25.8032(8) |
| c, Å | 11.7055(11) | 22.7418(5) | 17.4503(6) |
| α, ° | 111.285(3) | 99.7718(14) | 90 |
| β, ° | 97.429(3) | 94.3827(15) | 99.4362(19) |
| γ,° | 108.425(3) | 105.8728(14) | 90 |
| V, Å3 | 1128.97(18) | 2142.95(9) | 8374.2(5) |
| Z | 2 | 2 | 8 |
| Dcalc, Mg/m3 | 1.647 | 1.465 | 1.052 |
| F(000) | 574 | 989 | 2736 |
| µ(Mo Kα), mm−1 | 1.032 | 0.831 | 0.561 |
| Range(2θ) for data collection, deg | 3.88 ≤ 2θ ≤ 51.99 | 3.66 ≤ 2θ ≤ 56.62 | 3.34 ≤ 2θ ≤ 56.62 |
| Independent reflection | 4415 [R(Int) = 0.0643] | 10315 [R(Int) = 0.0539] | 10067 [R(Int) = 0.0745] |
| Data/restraint/parameter | 4415/0/338 | 10315/0/556 | 10067/0/432 |
| quality-of-fit indicator c | 1.054 | 1.015 | 0.990 |
| Final R indices [I > 2σ(I)] a,b | R1 = 0.0555, wR2 = 0.1419 | R1 = 0.0550, wR2 = 0.1228 | R1 = 0.0536, wR2 = 0.1164 |
| R indices (all data) | R1 = 0.0755, wR2 = 0.1668 | R1 = 0.1158, wR2 = 0.1452 | R1 = 0.1022, wR2 = 0.1345 |
| Complex | 4 | 5 | 6 |
| CCDC No. | 2311172 | 2311173 | 2311174 |
| Formula | C40H38Cu4N4O16 | C100.50H104Cu3N8O20.50 | C101H101Cu3N9O19 |
| Formula weight | 1084.90 | 1942.53 | 1935.52 |
| Crystal system | Monoclinic | Orthorhombic | Orthorhombic |
| Space group | C2/c | Pna21 | Pna21 |
| a, Å | 16.5969(9) | 20.9682(10) | 22.0739(18) |
| b, Å | 13.9067(4) | 25.3489(11) | 24.3392(18) |
| c, Å | 17.6110(5) | 18.1699(8) | 17.9481(15) |
| α, ° | 90 | 90 | 90 |
| β, ° | 90.2248(9) | 90 | 90 |
| γ,° | 90 | 90 | 90 |
| V, Å3 | 4064.73(19) | 9657.7(8) | 9642.8(13) |
| Z | 4 | 4 | 4 |
| Dcalc, Mg/m3 | 1.773 | 1.336 | 1.333 |
| F(000) | 2200 | 4056 | 4036 |
| µ(Mo Kα), mm−1 | 2.145 | 0.728 | 0.728 |
| Range (2θ) for data collection, deg | 3.82 ≤ 2θ ≤ 56.59 | 2.75 ≤ 2θ ≤ 51.99 | 2.82 ≤ 2θ ≤ 56.63 |
| Independent reflection | 5049 [R(Int) = 0.0283] | 18994 [R(Int) = 0.0510] | 20288 [R(Int) = 0.0765] |
| Data/restraint/parameter | 5049/0/311 | 18994/2119/1157 | 20288/1/1181 |
| quality-of-fit indicator c | 1.085 | 1.026 | 1.002 |
| Final R indices [I > 2σ(I)] a,b | R1 = 0.0265, wR2 = 0.0690 | R1 = 0.0526, wR2 = 0.1408 | R1 = 0.0571, wR2 = 0.1019 |
| R indices (all data) | R1 = 0.0323, wR2 = 0.0747 | R1 = 0.0664, wR2 = 0.1503 | R1 = 0.1364, wR2 = 0.1244 |
Disclaimer/Publisher’s Note: The statements, opinions and data contained in all publications are solely those of the individual author(s) and contributor(s) and not of MDPI and/or the editor(s). MDPI and/or the editor(s) disclaim responsibility for any injury to people or property resulting from any ideas, methods, instructions or products referred to in the content. |
© 2024 by the authors. Licensee MDPI, Basel, Switzerland. This article is an open access article distributed under the terms and conditions of the Creative Commons Attribution (CC BY) license (https://creativecommons.org/licenses/by/4.0/).
Share and Cite
Lin, S.-Y.; Shen, Y.-L.; Chen, W.-H.; Govindaraj, M.; Chen, J.-D. Cu(II) Coordination Polymers Containing Mixed Ligands with Different Flexibilities: Structural Diversity and Iodine Adsorption. Molecules 2024, 29, 311. https://doi.org/10.3390/molecules29020311
Lin S-Y, Shen Y-L, Chen W-H, Govindaraj M, Chen J-D. Cu(II) Coordination Polymers Containing Mixed Ligands with Different Flexibilities: Structural Diversity and Iodine Adsorption. Molecules. 2024; 29(2):311. https://doi.org/10.3390/molecules29020311
Chicago/Turabian StyleLin, Shu-Yu, Yi-Lin Shen, Wei-Hao Chen, Manivannan Govindaraj, and Jhy-Der Chen. 2024. "Cu(II) Coordination Polymers Containing Mixed Ligands with Different Flexibilities: Structural Diversity and Iodine Adsorption" Molecules 29, no. 2: 311. https://doi.org/10.3390/molecules29020311
APA StyleLin, S.-Y., Shen, Y.-L., Chen, W.-H., Govindaraj, M., & Chen, J.-D. (2024). Cu(II) Coordination Polymers Containing Mixed Ligands with Different Flexibilities: Structural Diversity and Iodine Adsorption. Molecules, 29(2), 311. https://doi.org/10.3390/molecules29020311













