Recent Advances in C–C Bond Formation via Visible Light-Mediated Desulfonylation and Its Application in the Modification of Biologically Active Compounds
Abstract
1. Introduction
2. Sulfonyl Chlorides
3. Sulfinates
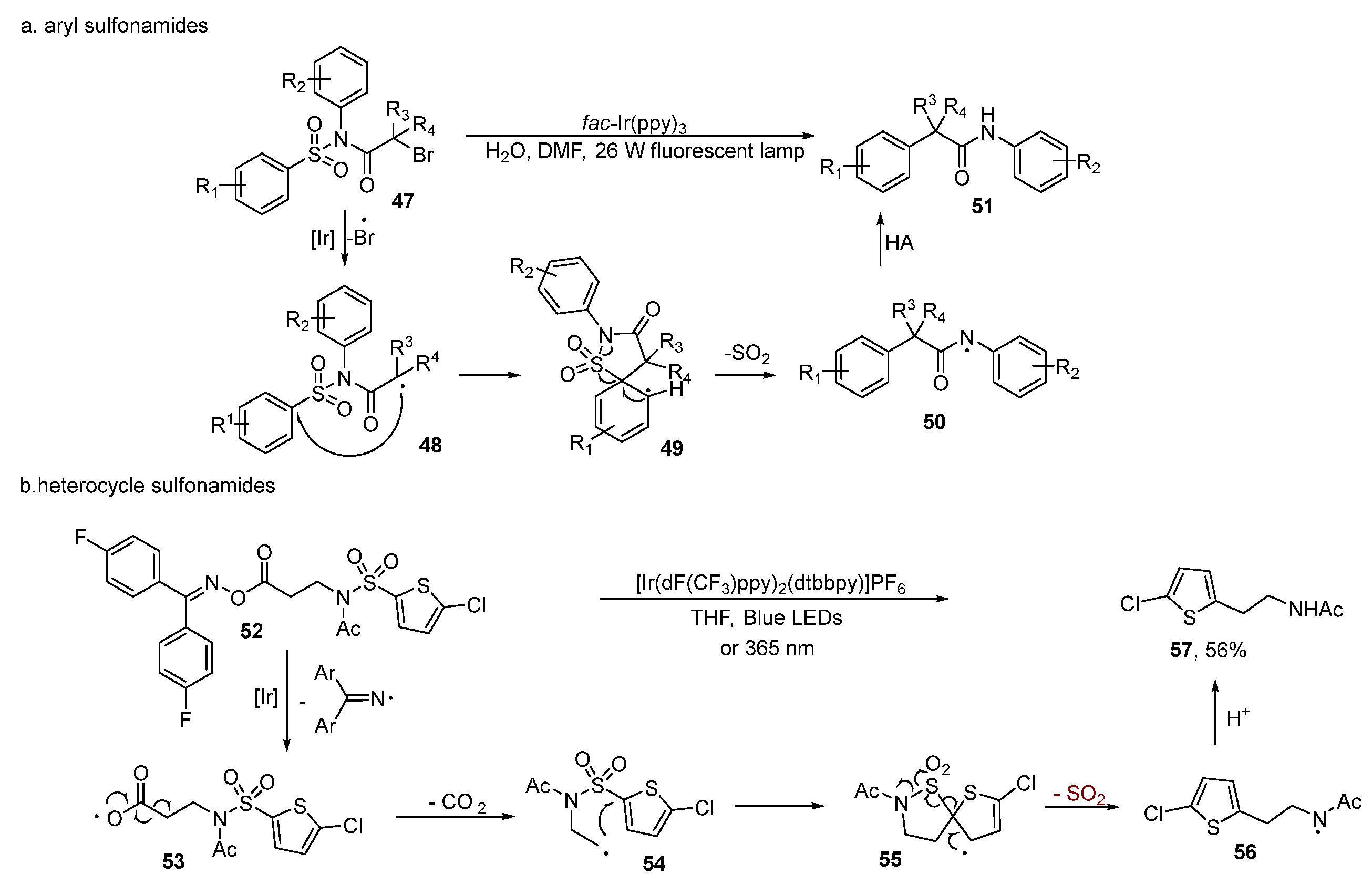
4. Sulfonamides
5. Sulfones
6. Sulfonylhydrazones
7. Conclusions and Outlook
Author Contributions
Funding
Institutional Review Board Statement
Informed Consent Statement
Acknowledgments
Conflicts of Interest
References
- Cherney, A.H.; Kadunce, N.T.; Reisman, S.E. Enantioselective and Enantiospecific Transition-Metal-Catalyzed Cross-Coupling Reactions of Organometallic Reagents To Construct C-C Bonds. Chem. Rev. 2015, 115, 9587–9652. [Google Scholar] [CrossRef] [PubMed]
- Kim, D.S.; Park, W.J.; Jun, C.H. Metal-Organic Cooperative Catalysis in C-H and C-C Bond Activation. Chem. Rev. 2017, 117, 8977–9015. [Google Scholar] [CrossRef] [PubMed]
- Villo, P.; Shatskiy, A.; Karkas, M.D.; Lundberg, H. Electrosynthetic C-O Bond Activation in Alcohols and Alcohol Derivatives. Angew. Chem. Int. Ed. 2023, 62, e202211952. [Google Scholar] [CrossRef]
- Wang, Q.; Su, Y.; Li, L.; Huang, H. Transition-metal catalysed C-N bond activation. Chem. Soc. Rev. 2016, 45, 1257–1272. [Google Scholar] [CrossRef] [PubMed]
- Merchant, R.R.; Edwards, J.T.; Qin, T.; Kruszyk, M.M.; Bi, C.; Che, G.; Bao, D.-H.; Qiao, W.; Sun, L.; Collins, M.R.; et al. Modular radical cross-coupling with sulfones enables access to sp3-rich (fluoro)alkylated scaffolds. Science 2018, 360, 75–80. [Google Scholar] [CrossRef]
- Ariki, Z.T.; Maekawa, Y.; Nambo, M.; Crudden, C.M. Preparation of Quaternary Centers via Nickel-Catalyzed Suzuki-Miyaura Cross-Coupling of Tertiary Sulfones. J. Am. Chem. Soc. 2018, 140, 78–81. [Google Scholar] [CrossRef]
- Gong, L.; Sun, H.B.; Deng, L.F.; Zhang, X.; Liu, J.; Yang, S.; Niu, D. Ni-Catalyzed Suzuki-Miyaura Cross-Coupling of alpha-Oxo-vinylsulfones To Prepare C-Aryl Glycals and Acyclic Vinyl Ethers. J. Am. Chem. Soc. 2019, 141, 7680–7686. [Google Scholar] [CrossRef]
- Cheung, K.P.S.; Sarkar, S.; Gevorgyan, V. Visible Light-Induced Transition Metal Catalysis. Chem. Rev. 2022, 122, 1543–1625. [Google Scholar] [CrossRef]
- Romero, N.A.; Nicewicz, D.A. Organic Photoredox Catalysis. Chem. Rev. 2016, 116, 10075–10166. [Google Scholar] [CrossRef]
- Wang, C.S.; Dixneuf, P.H.; Soule, J.F. Photoredox Catalysis for Building C-C Bonds from C(sp2)-H Bonds. Chem. Rev. 2018, 118, 7532–7585. [Google Scholar] [CrossRef]
- Xie, J.; Jin, H.; Hashmi, A.S.K. The recent achievements of redox-neutral radical C–C cross-coupling enabled by visible-light. Chem. Soc. Rev. 2017, 46, 5193–5203. [Google Scholar] [CrossRef] [PubMed]
- Chu, X.Q.; Ge, D.; Cui, Y.Y.; Shen, Z.L.; Li, C.J. Desulfonylation via Radical Process: Recent Developments in Organic Synthesis. Chem. Rev. 2021, 121, 12548–12680. [Google Scholar] [CrossRef] [PubMed]
- Fu, Y.; Zhao, X.; Hou, B. Progress on the Sulfonylation and Desulfonylative Reactions of Sulfonyl Chlorides. Chin. J. Org. Chem. 2016, 36, 1184–1196. [Google Scholar] [CrossRef]
- Nambo, M.; Maekawa, Y.; Crudden, C.M. Desulfonylative Transformations of Sulfones by Transition-Metal Catalysis, Photocatalysis, and Organocatalysis. ACS Catal. 2022, 12, 3013–3032. [Google Scholar] [CrossRef]
- Chatterjee, I.; Paul, H.; Paul, B. Photoredox-Mediated Desulfonylative Radical Reactions: An Excellent Approach Towards C–C and C–Heteroatom Bond Formation. Synthesis 2022, 54, 5409–5422. [Google Scholar]
- Corpas, J.; Kim-Lee, S.-H.; Mauleón, P.; Arrayás, R.G.; Carretero, J.C. Beyond classical sulfone chemistry: Metal- and photocatalytic approaches for C–S bond functionalization of sulfones. Chem. Soc. Rev. 2022, 51, 6774–6823. [Google Scholar] [CrossRef]
- Yang, K.; Li, Q.; Li, Z.Y.; Sun, X. Transition-metal-free C–S bond cleavage and transformation of organosulfur compounds. Chem. Commun 2023, 59, 5343–5364. [Google Scholar] [CrossRef]
- Huang, R.; Gu, B.; Wang, M.; Zhao, Y.; Jiang, X. Desulfonylative Functionalization of Organosulfones via Inert (Hetero)Aryl C(sp2)–SO2 Bond Cleavage. Molecules 2024, 29, 4137. [Google Scholar] [CrossRef]
- Yu, J.; Wu, Z.; Zhu, C. Efficient Docking–Migration Strategy for Selective Radical Difluoromethylation of Alkenes. Angew. Chem. Int. Ed. 2018, 57, 17156–17160. [Google Scholar] [CrossRef]
- Wang, Z.-J.; Zheng, S.; Matsui, J.; Lu, Z.; Molander, G.A. Desulfonative photoredox alkylation of N-heteroaryl sulfones—An acid-free approach for substituted heteroarene synthesis. Chem. Sci. 2019, 10, 4389–4393. [Google Scholar] [CrossRef]
- Ociepa, M.; Turkowska, J.; Gryko, D. Redox-Activated Amines in C(sp3)–C(sp) and C(sp3)–C(sp2) Bond Formation Enabled by Metal-Free Photoredox Catalysis. ACS Catal. 2018, 8, 11362–11367. [Google Scholar] [CrossRef]
- Dong, D.-Q.; Han, Q.-Q.; Yang, S.-H.; Song, J.-C.; Li, N.; Wang, Z.-L.; Xu, X.-M. Recent Progress in Sulfonylation via Radical Reaction with Sodium Sulfinates, Sulfinic Acids, Sulfonyl Chlorides or Sulfonyl Hydrazides. ChemistrySelect 2020, 5, 13103–13134. [Google Scholar] [CrossRef]
- Nagib, D.A.; MacMillan, D.W. Trifluoromethylation of arenes and heteroarenes by means of photoredox catalysis. Nature 2011, 480, 224–228. [Google Scholar] [CrossRef] [PubMed]
- Oh, S.H.; Malpani, Y.R.; Ha, N.; Jung, Y.S.; Han, S.B. Vicinal difunctionalization of alkenes: Chlorotrifluoromethylation with CF3SO2Cl by photoredox catalysis. Org. Lett. 2014, 16, 1310–1313. [Google Scholar] [CrossRef] [PubMed]
- Bagal, D.B.; Kachkovskyi, G.; Knorn, M.; Rawner, T.; Bhanage, B.M.; Reiser, O. Trifluoromethylchlorosulfonylation of alkenes: Evidence for an inner-sphere mechanism by a copper phenanthroline photoredox catalyst. Angew. Chem. Int. Ed. 2015, 54, 6999–7002. [Google Scholar] [CrossRef]
- Tang, X.J.; Dolbier, W.R., Jr. Efficient Cu-catalyzed atom transfer radical addition reactions of fluoroalkylsulfonyl chlorides with electron-deficient alkenes induced by visible light. Angew. Chem. Int. Ed. 2015, 54, 4246–4249. [Google Scholar] [CrossRef]
- Zhang, Z.; Tang, X.; Thomoson, C.S.; Dolbier, W.R., Jr. Photoredox-Catalyzed Intramolecular Aminodifluoromethylation of Unactivated Alkenes. Org. Lett. 2015, 17, 3528–3531. [Google Scholar] [CrossRef]
- Tang, X.J.; Thomoson, C.S.; Dolbier, W.R., Jr. Photoredox-catalyzed tandem radical cyclization of N-arylacrylamides: General methods to construct fluorinated 3,3-disubstituted 2-oxindoles using fluoroalkylsulfonyl chlorides. Org. Lett. 2014, 16, 4594–4597. [Google Scholar] [CrossRef]
- Zhang, Z.; Tang, X.; Dolbier, W.R., Jr. Photoredox-Catalyzed Tandem Insertion/Cyclization Reactions of Difluoromethyl and 1,1-Difluoroalkyl Radicals with Biphenyl Isocyanides. Org. Lett. 2015, 7, 4401–4403. [Google Scholar] [CrossRef]
- Laha, R.; Patel, T.I.; Moschitto, M.J. Desulfinative Alkylation of Heteroarenes via an Electrostatic Electron Donor-Acceptor Complex. Org. Lett. 2022, 24, 7394–7399. [Google Scholar] [CrossRef]
- Cui, L.; Matusaki, Y.; Tada, N.; Miura, T.; Uno, B.; Itoh, A. Metal-Free Direct C–H Perfluoroalkylation of Arenes and Heteroarenes Using a Photoredox Organocatalyst. Adv. Synth. Catal. 2013, 355, 2203–2207. [Google Scholar] [CrossRef]
- Wilger, D.J.; Gesmundo, N.J.; Nicewicz, D.A. Catalytic hydrotrifluoromethylation of styrenes and unactivated aliphatic alkenes via an organic photoredox system. Chem. Sci. 2013, 4, 3160–3165. [Google Scholar] [CrossRef]
- Yu, X.L.; Chen, J.R.; Chen, D.Z.; Xiao, W.J. Visible-light-induced photocatalytic azotrifluoromethylation of alkenes with aryldiazonium salts and sodium triflinate. Chem. Commun. 2016, 52, 8275–8278. [Google Scholar] [CrossRef]
- Knauber, T.; Chandrasekaran, R.; Tucker, J.W.; Chen, J.M.; Reese, M.; Rankic, D.A.; Sach, N.; Helal, C. Ru/Ni Dual Catalytic Desulfinative Photoredox C(sp2)-C(sp3) Cross-Coupling of Alkyl Sulfinate Salts and Aryl Halides. Org. Lett. 2017, 19, 6566–6569. [Google Scholar] [CrossRef]
- Kong, W.; Casimiro, M.; Merino, E.; Nevado, C. Copper-catalyzed one-pot trifluoromethylation/aryl migration/desulfonylation and C(sp2)-N bond formation of conjugated tosyl amides. J. Am. Chem. Soc. 2013, 135, 14480–14483. [Google Scholar] [CrossRef]
- Kong, W.; Merino, E.; Nevado, C. Arylphosphonylation and arylazidation of activated alkenes. Angew. Chem. Int. Ed. 2014, 53, 5078–5082. [Google Scholar] [CrossRef] [PubMed]
- Fuentes, N.; Kong, W.; Fernandez-Sanchez, L.; Merino, E.; Nevado, C. Cyclization cascades via N-amidyl radicals toward highly functionalized heterocyclic scaffolds. J. Am. Chem. Soc. 2015, 137, 964–973. [Google Scholar] [CrossRef]
- Kong, W.; Fuentes, N.; Garcia-Dominguez, A.; Merino, E.; Nevado, C. Stereoselective synthesis of highly functionalized indanes and dibenzocycloheptadienes through complex radical cascade reactions. Angew. Chem. Int. Ed. 2015, 54, 2487–2491. [Google Scholar] [CrossRef] [PubMed]
- Li, Y.Y.; Hu, B.; Dong, W.H.; Xie, X.X.; Wan, J.; Zhang, Z.Z. Visible Light-Induced Radical Rearrangement to Construct C-C Bonds via an Intramolecular Aryl Migration/Desulfonylation Process. J. Org. Chem. 2016, 81, 7036–7041. [Google Scholar] [CrossRef]
- Whalley, D.M.; Duong, H.A.; Greaney, M.F. A visible light-mediated, decarboxylative, desulfonylative Smiles rearrangement for general arylethylamine syntheses. Chem. Commun. 2020, 56, 11493–11496. [Google Scholar] [CrossRef]
- Soni, V.K.; Lee, S.; Kang, J.; Moon, Y.K.; Hwang, H.S.; You, Y.; Cho, E.J. Reactivity Tuning for Radical–Radical Cross-Coupling via Selective Photocatalytic Energy Transfer: Access to Amine Building Blocks. ACS Catal. 2019, 9, 10454–10463. [Google Scholar] [CrossRef]
- Kang, J.; Hwang, H.S.; Soni, V.K.; Cho, E.J. Direct C(sp3)-N Radical Coupling: Photocatalytic C-H Functionalization by Unconventional Intermolecular Hydrogen Atom Transfer to Aryl Radical. Org. Lett. 2020, 22, 6112–6116. [Google Scholar] [CrossRef]
- Patra, T.; Bellotti, P.; Strieth-Kalthoff, F.; Glorius, F. Photosensitized Intermolecular Carboimination of Alkenes through the Persistent Radical Effect. Angew. Chem. Int. Ed. 2020, 59, 3172–3177. [Google Scholar] [CrossRef] [PubMed]
- Li, J.; Yuan, Y.; Bao, X.; Sang, T.; Yang, J.; Huo, C. Visible-Light-Induced Intermolecular Oxyimination of Alkenes. Org. Lett. 2021, 23, 3712–3717. [Google Scholar] [CrossRef]
- Patra, T.; Das, M.; Daniliuc, C.G.; Glorius, F. Metal-free photosensitized oxyimination of unactivated alkenes with bifunctional oxime carbonates. Nature Catal. 2021, 4, 54–61. [Google Scholar] [CrossRef]
- Liu, P.; Liu, W.; Li, C.J. Catalyst-Free and Redox-Neutral Innate Trifluoromethylation and Alkylation of Aromatics Enabled by Light. J. Am. Chem. Soc. 2017, 139, 14315–14321. [Google Scholar] [CrossRef]
- Patel, S.; Paul, B.; Paul, H.; Shankhdhar, R.; Chatterjee, I. Redox-active alkylsulfones as precursors for alkyl radicals under photoredox catalysis. Chem. Commun. 2022, 58, 4857–4860. [Google Scholar] [CrossRef]
- Sengoku, T.; Ogawa, D.; Iwama, H.; Inuzuka, T.; Yoda, H. A heavy-metal-free desulfonylative Giese-type reaction of benzothiazole sulfones under visible-light conditions. Chem. Commun. 2021, 57, 9858–9861. [Google Scholar] [CrossRef]
- Rong, J.; Deng, L.; Tan, P.; Ni, C.; Gu, Y.; Hu, J. Radical Fluoroalkylation of Isocyanides with Fluorinated Sulfones by Visible-Light Photoredox Catalysis. Angew. Chem. Int. Ed. 2016, 55, 2743–2747. [Google Scholar] [CrossRef]
- Brachet, E.; Marzo, L.; Selkti, M.; König, B.; Belmont, P. Visible light amination/Smiles cascade: Access to phthalazine derivatives. Chem. Sci. 2016, 7, 5002–5006. [Google Scholar] [CrossRef]
- Ibrahim, H.S.; Eldehna, W.M.; Abdel-Aziz, H.A.; Elaasser, M.M.; Abdel-Aziz, M.M. Improvement of antibacterial activity of some sulfa drugs through linkage to certain phthalazin-1(2H)-one scaffolds. Eur. J. Med. Chem. 2014, 85, 480. [Google Scholar] [CrossRef] [PubMed]
- Scott, E.N.; Meinhardt, G.; Jacques, C.; Laurent, D.; Thomas, A.L. Vatalanib: The clinical development of a tyrosine kinase inhibitor of angiogenesis in solid tumours. Expert Opin. Investig. Drugs 2007, 16, 367. [Google Scholar] [CrossRef] [PubMed]
- Pulcinella, A.; Bonciolini, S.; Lukas, F.; Sarato, A.; Noël, T. Photocatalytic Alkylation of C(sp3)-H Bonds Using Sulfonylhydrazones. Angew. Chem. Int. Ed. 2023, 62, e202215374. [Google Scholar] [CrossRef] [PubMed]
- Guo, R.; Chen, H.; Yang, Y. Photoenzymes for radical C–C coupling. Nat Catal. 2022, 5, 582–583. [Google Scholar] [CrossRef]






Disclaimer/Publisher’s Note: The statements, opinions and data contained in all publications are solely those of the individual author(s) and contributor(s) and not of MDPI and/or the editor(s). MDPI and/or the editor(s) disclaim responsibility for any injury to people or property resulting from any ideas, methods, instructions or products referred to in the content. |
© 2024 by the authors. Licensee MDPI, Basel, Switzerland. This article is an open access article distributed under the terms and conditions of the Creative Commons Attribution (CC BY) license (https://creativecommons.org/licenses/by/4.0/).
Share and Cite
Xu, X.; Zhang, Y.; Zhang, X. Recent Advances in C–C Bond Formation via Visible Light-Mediated Desulfonylation and Its Application in the Modification of Biologically Active Compounds. Molecules 2024, 29, 5553. https://doi.org/10.3390/molecules29235553
Xu X, Zhang Y, Zhang X. Recent Advances in C–C Bond Formation via Visible Light-Mediated Desulfonylation and Its Application in the Modification of Biologically Active Compounds. Molecules. 2024; 29(23):5553. https://doi.org/10.3390/molecules29235553
Chicago/Turabian StyleXu, Xiaohong, Yufan Zhang, and Xueyuan Zhang. 2024. "Recent Advances in C–C Bond Formation via Visible Light-Mediated Desulfonylation and Its Application in the Modification of Biologically Active Compounds" Molecules 29, no. 23: 5553. https://doi.org/10.3390/molecules29235553
APA StyleXu, X., Zhang, Y., & Zhang, X. (2024). Recent Advances in C–C Bond Formation via Visible Light-Mediated Desulfonylation and Its Application in the Modification of Biologically Active Compounds. Molecules, 29(23), 5553. https://doi.org/10.3390/molecules29235553
