Azobenzene as Multi-Targeted Scaffold in Medicinal Chemistry
Abstract
1. Introduction
2. Synthesis
3. Biological Activities
3.1. Anticolitic Properties
3.2. Antidiabetic Properties
3.3. Anti-Inflammatory Activities
3.4. Antimicrobial and Antimycotic Activities
3.5. Anticancer Activities
3.6. Carbonic Anhydrase Inhibitors
3.7. COX-2 Inhibitors
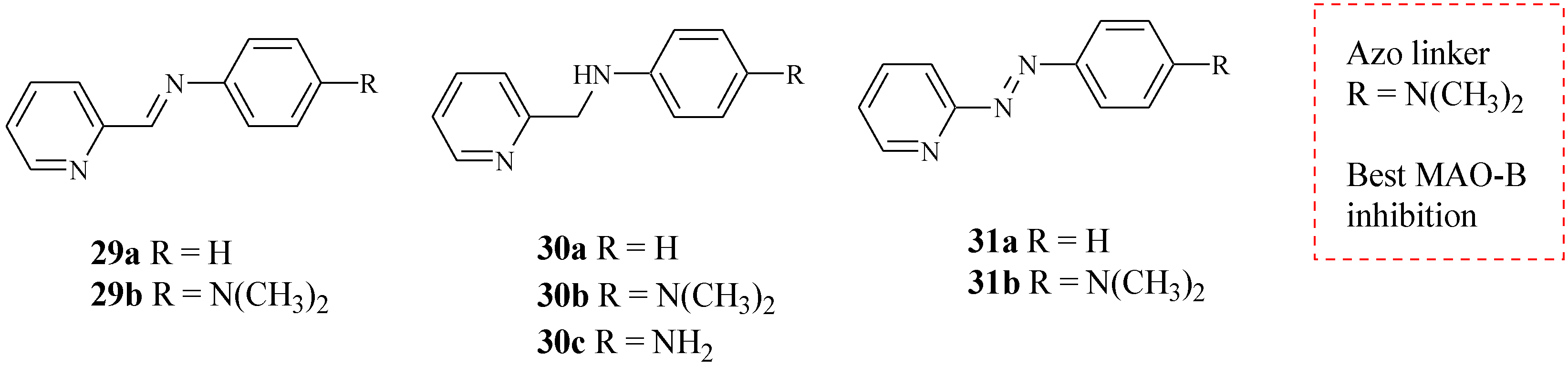
3.8. Anti MAO-B Activity
3.9. Neuroprotective Activities
3.10. Tyrosinase Inhibitors
3.11. Anti-Ulcerative Colitis Activities
3.12. PPAR Ligands
4. Conclusions
Author Contributions
Funding
Institutional Review Board Statement
Informed Consent Statement
Data Availability Statement
Conflicts of Interest
References
- Ali, Y.; Hamid, S.A.; Rashid, U. Biomedical Applications of Aromatic Azo Compounds. Mini-Rev. Med. Chem. 2018, 18, 1548–1558. [Google Scholar] [CrossRef] [PubMed]
- Waring, D.R.; Hallas, G. The Chemistry and Application of Dyes; Plenum Press: New York, NY, USA, 1990. [Google Scholar]
- Hamon, F.; Djedaini-Pilard, F.; Barbot, F.; Len, C. Azobenzenes—Synthesis and carbohydrate applications. Tetrahedron 2009, 65, 10105–10123. [Google Scholar] [CrossRef]
- Sanna, A.L.; Pachova, T.; Catellani, A.; Calzolari, A.; Sforazzini, G. Meta-Substituted Asymmetric Azobenzenes: Insights into Structure–Property Relationship. Molecules 2024, 29, 1929. [Google Scholar] [CrossRef] [PubMed]
- Sahoo, J.; Paidesetty, S.K. Medicinal Interest of Azo-based organic compounds: A review. Asian J. Pharm. Clin. Res. 2016, 9, 33–39. [Google Scholar]
- Mutlu, H.; Geiselhart, C.M.; Barner-Kowollik, C. Untapped potential for debonding on demand: The wonderful world of azo-compounds. Mater. Horiz. 2018, 5, 162–183. [Google Scholar] [CrossRef]
- Kim, W.; Nam, J.; Lee, S.; Jeong, S.; Jung, Y. 5-Aminosalicylic Acid Azo-Linked to Procainamide Acts as an Anticolitic Mutual Prodrug via Additive Inhibition of Nuclear Factor kappaB. Mol. Pharm. 2016, 13, 2126–2135. [Google Scholar] [CrossRef]
- Grant, A.O.; Starmer, C.F.; Strauss, H.C. Antiarrhythmic drug action. Blockade of the inward sodium current. Circ. Res. 1984, 55, 427–439. [Google Scholar] [CrossRef]
- Jung, Y.; Kim, Y.M. What hould be considered on design of a colon-specific prodrug? Expert Opin. Drug. Deliv. 2010, 7, 245–258. [Google Scholar] [CrossRef]
- Roy, M.; Roy, S.; Singh, K.S.; Kalita, J.; Singh, S.S. Synthesis, characterisation and anti-diabetic activities of triorganotin(IV) azo-carboxylates derived from amino benzoic acids and resorcinol: Crystal structure and topological study of a 48 membered macrocyclic-tetrameric trimethyltin(IV) complex. Inorganica Chim. Acta 2016, 439, 164–172. [Google Scholar] [CrossRef]
- Sharma, A.M.; Maheshwari, N.; Bindal, A. Novel Procedure to Synthesize 3-Chloro-1-(4a,10b-diazaphenanthrene-2-yl)-4-phenyl Azetidin-2-ones and Exploration of Their Anti-Inflammatory Activity. J. Heterocyclic Chem. 2013, 50, E116–E120. [Google Scholar] [CrossRef]
- Yadlapalli, R.K.; Chourasia, O.P.; Jogi, M.P.; Podile, A.R.; Perali, R.S. Design, synthesis and in vitro antimicrobial activity of novelphenylbenzamido-aminothiazole-based azasterol mimics. Med. Chem. Res. 2013, 22, 2975–2983. [Google Scholar] [CrossRef]
- Roy, M.; Roy, S.; Devi, N.M.; Singh, C.B.; Singh, K.S. Synthesis, structural characterization and antimicrobial activities of diorganotin(IV) complexes with azo-imino carboxylic acid ligand: Crystal structure and topological study of a doubly phe-noxide-bridged dimeric dimethyltin(IV) complex appended with free carboxylic acid groups. J. Mol. Struct. 2016, 1119, 64–70. [Google Scholar]
- Sreedevi, M.; Prasad, A.R.G.; Spoorthy, Y.N.; Ravindranath, L.R.K.R. Synthesis and Antimicrobial Evaluation of Certain Novel Thiazoles. Adv. Pharm. Bull. 2013, 3, 227–230. [Google Scholar] [CrossRef] [PubMed]
- Fadda, A.A.; Afsah, E.-S.M.; Awad, R.S. Synthesis and antimicrobial activity of some new benzo and naphthonitrile derivatives. Eur. J. Med. Chem. 2012, 60, 421–430. [Google Scholar] [CrossRef] [PubMed]
- El-Gohary, N.S.; Shaaban, M.I. Synthesis, antimicrobial, antiquorum-sensing, antitumor and cytotoxic activities of new series of fused [1,3,4]thiadiazoles. Eur. J. Med. Chem. 2013, 63, 185–195. [Google Scholar] [CrossRef]
- Sahu, V.; Sharma, P.; Kumar, A. Synthesis and QSAR modeling 1-[3-methyl-2-(aryldiazenyl)-2H-aziren-2-yl]ethanones as potential antibacterial agents. Med. Chem. Res. 2012, 22, 2476–2485. [Google Scholar] [CrossRef]
- Kaur, K.; Kumar, V.; Beniwal, V.; Kumar, V.; Aneja, K.R.; Sharma, V.; Jaglan, S. Solvent-free synthesis of novel (E)-2-(3,5-dimethyl-4-(aryldiazenyl)-1H-pyrazol-1-yl)-4-arylthiazoles: Determination of their biological activity. Med. Chem. Res. 2015, 24, 3863–3875. [Google Scholar] [CrossRef]
- Kaur, K.; Kumar, V.; Beniwal, V.; Kumar, V.; Aneja, K.R.; Sharma, V.; Jaglan, S. Novel (E)-1-aryl-2-(3,5-dimethyl-4-(aryldiazenyl)-1H-pyrazol-1-yl) ethanones: Solvent-free synthesis and antimicrobial, antioxidant and UV-mediated DNA damage protective activity studies. Med. Chem. Res. 2015, 24, 4023–4036. [Google Scholar] [CrossRef]
- Aggarwal, R.; Kumar, S.; Kumar, A.; Mohan, B.; Sharma, D.; Kumar, V. Development of heterocyclic 2,7-diamino-3-phenylazo-6-phenylpyrazolo [1,5-a]pyrimidine as antimicrobial agent and selective probe for UV–visible and colorimetric detection of Hg2+ ions. Microchem. J. 2022, 183, 107991. [Google Scholar] [CrossRef]
- Pérez-Aranda, M.; Pajuelo, E.; Navarro-Torre, S.; Pérez-Palacios, P.; Begines, B.; Rodríguez-Llorente, I.D.; Torres, Y.; Alcudia, A. Antimicrobial and Antibiofilm Effect of 4,4′-Dihydroxy-azobenzene against Clinically Resistant Staphylococci. Antibiotics 2022, 11, 1800. [Google Scholar] [CrossRef]
- Piotto, S.; Concilio, S.; Sessa, L.; Diana, R.; Torrens, G.; Juan, C.; Caruso, U.; Iannelli, P. Synthesis and Antimicrobial Studies of New Antibacterial Azo-Compounds Active against Staphylococcus aureus and Listeria monocytogenes. Molecules 2017, 22, 1372. [Google Scholar] [CrossRef] [PubMed]
- Concilio, S.; Sessa, L.; Petrone, A.M.; Porta, A.; Diana, R.; Iannelli, P.; Piotto, S. Structure Modification of an Active Azo-Compound as a Route to New Antimicrobial Compounds. Molecules 2017, 22, 875. [Google Scholar] [CrossRef]
- Tahir, T.; Shahzad, M.I.; Tabassum, R.; Rafiq, M.; Ashfaq, M.; Hassan, M.; Kotwica-Mojzych, K.; Mojzych, M. Diaryl azo derivatives as anti-diabetic and antimicrobial agents: Synthesis, in vitro, kinetic and docking studies. J. Enzym. Inhib. Med. Chem. 2021, 36, 1508–1519. [Google Scholar] [CrossRef] [PubMed]
- Al-Gaber, M.A.I.; El-Lateef, H.M.A.; Khalaf, M.M.; Shaaban, S.; Shawky, M.; Mohamed, G.G.; Abdou, A.; Gouda, M.; Abu-Dief, A.M. Design, Synthesis, Spectroscopic Inspection, DFT and Molecular Docking Study of Metal Chelates Incorporating Azo Dye Ligand for Biological Evaluation. Materials 2023, 16, 897. [Google Scholar] [CrossRef] [PubMed]
- Domagk, G. Ein Beitrag zur Chemotherapie der bakteriellen Infektionen. DMW Dtsch. Med. Wochenschr. 1935, 61, 250–253. [Google Scholar] [CrossRef]
- Mengelers, M.; Hougee, P.; Janssen, L.; Van Miert, A. Structure-activity relationships between antibacterial activities and physicochemical properties of sulfonamides. J. Veter.-Pharmacol. Ther. 1997, 20, 276–283. [Google Scholar] [CrossRef]
- El-Gaby, M.; Ammar, Y.A.; IH El-Qaliei, M.; Hussein, M.F.; Faraghally, F.A. Sulfonamides: Synthesis and The Recent Applications in Medicinal Chemistry. Egypt. J. Chem. 2020, 63, 5289–5327. [Google Scholar]
- Moanta, A.; Ionescu, C.; Dragoi, M.; Tutunaru, B.; Rotaru, P. A new azo-ester: 4-(phenyldiazenyl)phenyl benzene sul-fonate—Spectral, thermal, and electrochemical behavior and itsantimicrobial activity. J. Therm. Anal. Calorim. 2015, 120, 1151–1161. [Google Scholar] [CrossRef]
- Giampietro, L.; Gallorini, M.; Gambacorta, N.; Ammazzalorso, A.; De Filippis, B.; Della Valle, A.; Fantacuzzi, M.; Maccallini, C.; Mollica, A.; Cataldi, A.; et al. Synthesis, structure-activity relationships and molecular docking studies of phe-nyldiazenyl sulfonamides as aromatase inhibitors. Eur. J. Med. Chem. 2021, 224, 113737. [Google Scholar] [CrossRef]
- Fantacuzzi, M.; Gallorini, M.; Gambacorta, N.; Ammazzalorso, A.; Aturki, Z.; Balaha, M.; Carradori, S.; Giampietro, L.; Maccallini, C.; Cataldi, A.; et al. Design, Synthesis and Biological Evaluation of Aromatase In-hibitors Based on Sulfonates and Sulfonamides of Resveratrol. Pharmaceuticals 2021, 14, 984. [Google Scholar] [CrossRef]
- Bustos, C.; Alvarez-Thon, L.; Molins, E.; Moreno-Villoslada, I.; Vallejos-Contreras, G.; Sánchez, C.; Zarate, X.; Carey, D.M.-L.; Schott, E. Tuning the molecular/electronic structure of new substituted pyrazoles: Synthesis, biological trials, theoretical approaches and Hammett correlations. J. Mol. Struct. 2018, 1171, 349–361. [Google Scholar] [CrossRef]
- Gomha, S.M.; Abdelhamid, A.O.; Abdelrehem, N.A.; Kandeel, S.M. Efficient Synthesis of New Benzofuran-based Thiazoles and Investigation of their Cytotoxic Activity Against Human Breast Carcinoma Cell Lines. J. Heterocycl. Chem. 2018, 55, 995–1001. [Google Scholar] [CrossRef]
- Ibrahim, D.M.; Jumal, J.; Harun, F.W. Synthesis and Cytotoxic Activity of 6-Hydroxy-4- Methyl-5,7-(Bis-Phenylazo) Coumarin with Divalent Transition Metal Ions. Indian J. Sci. Technol. 2016, 9, 37. [Google Scholar] [CrossRef][Green Version]
- Tang, J.; Lu, W.; Hu, J.; Jia, Y.; He, X.; Li, L.; Yang, S.; Wang, Y.; Xu, L. Design, synthesis and biological evaluation of Novel 6-azophenylcoumarin-3-formamido derivatives and a copper (II) complex. J. Mol. Struct. 2024, 1301, 137448. [Google Scholar] [CrossRef]
- Arslan, T.; Türkoğlu, E.A.; Şentürk, M.; Supuran, C.T. Synthesis and carbonic anhydrase inhibitory properties of novel chalcone substituted benzenesulfonamides. Bioorganic Med. Chem. Lett. 2016, 26, 5867–5870. [Google Scholar] [CrossRef]
- Carta, F.; Pothen, B.; Maresca, A.; Tiwari, M.; Singh, V.; Supuran, C.T. Carbonic Anhydrase Inhibitors: Inhibition of Cytosolic Carbonic Anhydrase Isozymes II and VII with Simple Aromatic Sulfonamides and Some Azo Dyes. Chem. Biol. Drug Des. 2009, 74, 196–202. [Google Scholar] [CrossRef]
- Giampietro, L.; Marinacci, B.; Della Valle, A.; D’Agostino, I.; Lauro, A.; Mori, M.; Carradori, S.; Ammazzalorso, A.; De Filippis, B.; Maccallini, C.; et al. Azobenzenesulfonamide Carbonic Anhydrase Inhibitors as New Weapons to Fight Helicobacter pylori: Synthesis, Bioactivity Evaluation, In Vivo Toxicity, and Computational Studies. Pharmaceuticals 2024, 17, 1027. [Google Scholar] [CrossRef]
- Supuran, C.T.; Capasso, C. Antibacterial carbonic anhydrase inhibitors: An update on the recent literature. Expert Opin. Ther. Pat. 2020, 30, 963–982. [Google Scholar] [CrossRef]
- Tsai, W.-J.; Shiao, Y.-J.; Lin, S.-J.; Chiou, W.-F.; Lin, L.-C.; Yang, T.-H.; Teng, C.-M.; Wu, T.-S.; Yang, L.-M. Selective COX-2 inhibitors. Part 1: Synthesis and biological evaluation of phenylazobenzenesulfonamides. Bioorganic Med. Chem. Lett. 2006, 16, 4440–4443. [Google Scholar] [CrossRef]
- Alborghetti, M.; Bianchini, E.; De Carolis, L.; Galli, S.; Pontieri, F.E.; Rinaldi, D. Type-B monoamine oxidase inhibitors in neu-rological diseases: Clinical applications based on preclinical findings. Neural Regen. Res. 2024, 19, 16–21. [Google Scholar] [CrossRef]
- Lee, J.; Lee, Y.; Park, S.J.; Lee, J.; Kim, Y.S.; Suh, Y.G.; Lee, J. Discovery of highly selective and potent monoamine oxidase B inhibitors: Contribution of additional phenyl rings introduced into 2-aryl-1,3,4-oxadiazin-5(6H)-one. Eur. J. Med. Chem. 2017, 130, 365–378. [Google Scholar] [CrossRef] [PubMed]
- Geldenhuys, W.J.; Ko, K.S.; Stinnett, H.; Van der Schyf, C.J.; Lim, M.H. Identification of multifunctional small molecule-based reversible monoamine oxidase inhibitors. MedChemComm 2011, 2, 1099–1103. [Google Scholar] [CrossRef]
- Tomoshige, S.; Nomura, S.; Ohgane, K.; Hashimoto, Y.; Ishikawa, M. Degradation of huntingtin mediated by a hybrid molecule composed of IAP antagonist linked to phenyldiazenyl benzothiazole derivative. Bioorganic Med. Chem. Lett. 2018, 28, 707–710. [Google Scholar] [CrossRef] [PubMed]
- Honson, N.S.; Johnson, R.L.; Huang, W.; Inglese, J.; Austin, C.P.; Kuret, J. Differentiating Alzheimer disease-associated ag-gregates with small molecules. Neurobiol. Dis. 2007, 28, 251–260. [Google Scholar] [CrossRef] [PubMed]
- Matsumura, K.; Ono, M.; Hayashi, S.; Kimura, H.; Okamoto, Y.; Ihara, M.; Takahashi, R.; Moric, H.; Saji, H. Phenyldiazenyl benzothiazole derivatives as probes for in vivo imaging of neurofibrillary tangles in Alzheimer’s disease brains. Med. Chem. Commun. 2011, 2, 596–600. [Google Scholar] [CrossRef]
- Tesse, G.; Tolomeo, A.; De Filippis, B.; Giampietro, L. Giampietro, Radiolabeled Probes from Derivatives of Natural Compounds Used in Nuclear Medicine. Molecules 2024, 29, 4260. [Google Scholar] [CrossRef]
- Choma, I.M.; Nikolaichuk, H. TLC bioprofiling—A tool for quality evaluation of medicinal plants. In Evidence-Based Validation of Herbal Medicine, 2nd ed.; Elsevier: Amsterdam, The Netherlands, 2022; pp. 407–422. [Google Scholar]
- Bae, S.J.; Ha, Y.M.; Kim, J.-A.; Park, J.Y.; Ha, T.K.; Park, D.; Chun, P.; Park, N.H.; Moon, H.R.; Chung, H.Y. A Novel Synthesized Tyrosinase Inhibitor: (E)-2-((2,4-Dihydroxyphenyl)diazenyl)phenyl 4-Methylbenzenesulfonate as an Azo-Resveratrol Analog. Biosci. Biotechnol. Biochem. 2013, 77, 65–72. [Google Scholar] [CrossRef]
- Constantinescu, T.; Mihis, A.G. Resveratrol as a privileged molecule with antioxidant activity. Food Chem. Adv. 2023, 3, 100539. [Google Scholar] [CrossRef]
- De Filippis, B.; De Lellis, L.; Florio, R.; Ammazzalorso, A.; Amoia, P.; Fantacuzzi, M.; Giampietro, L.; Maccallini, C.; Amoroso, R.; Veschi, S.; et al. Synthesis and cytotoxic effects on pancreatic cancer cells of resveratrol analogs. Med. Chem. Res. 2019, 28, 984–991. [Google Scholar] [CrossRef]
- Song, Y.M.; Ha, Y.M.; Kim, J.-A.; Chung, K.W.; Uehara, Y.; Lee, K.J.; Chun, P.; Byun, Y.; Chung, H.Y.; Moon, H.R. Synthesis of novel azo-resveratrol, azo-oxyresveratrol and their derivatives as potent tyrosinase inhibitors. Bioorganic Med. Chem. Lett. 2012, 22, 7451–7455. [Google Scholar] [CrossRef]
- Williams, C.; Panaccione, R.; Ghosh, S.; Rioux, K. Optimizing clinical use of mesalazine (5-aminosalicylic acid) in inflammatory bowel disease. Ther. Adv. Gastroenterol. 2011, 4, 237–248. [Google Scholar] [CrossRef] [PubMed]
- Jilani, J.; Shomaf, M.; Alzoubi, K.H. Synthesis and evaluation of mutual azo prodrug of 5-aminosalicylic acid linked to 2-phenylbenzoxazole-2-yl-5-acetic acid in ulcerative colitis. Drug Des. Dev. Ther. 2013, 7, 691–698. [Google Scholar] [CrossRef] [PubMed][Green Version]
- Giampietro, L.; Ammazzalorso, A.; Amoroso, R.; De Filippis, B. Development of Fibrates as Important Scaffolds in Medicinal Chemistry. ChemMedChem 2019, 14, 1051–1066. [Google Scholar] [CrossRef] [PubMed]
- Giampietro, L.; D’angelo, A.; Giancristofaro, A.; Ammazzalorso, A.; De Filippis, B.; Fantacuzzi, M.; Linciano, P.; Maccallini, C.; Amoroso, R. Synthesis and structure–activity relationships of fibrate-based analogues inside PPARs. Bioorganic Med. Chem. Lett. 2012, 22, 7662–7666. [Google Scholar] [CrossRef] [PubMed]
- dos Santos, J.C.; Bernardes, A.; Giampietro, L.; Ammazzalorso, A.; De Filippis, B.; Amoroso, R.; Polikarpov, I. Different binding and recognition modes of GL479, a dual agonist of Peroxisome Proliferator-Activated Receptor α/γ. J. Struct. Biol. 2015, 191, 332–340. [Google Scholar] [CrossRef]
- Giampietro, L.; Laghezza, A.; Cerchia, C.; Florio, R.; Recinella, L.; Capone, F.; Ammazzalorso, A.; Bruno, I.; De Filippis, B.; Fantacuzzi, M.; et al. Novel Phenyldiazenyl Fibrate Analogues as PPAR α/γ/δ Pan-Agonists for the Amelioration of Metabolic Syndrome. ACS Med. Chem. Lett. 2019, 10, 545–551. [Google Scholar] [CrossRef]
- Ammazzalorso, A.; Bruno, I.; Florio, R.; De Lellis, L.; Laghezza, A.; Cerchia, C.; De Filippis, B.; Fantacuzzi, M.; Giampietro, L.; Maccallini, C.; et al. Sulfonimide and Amide Derivatives as Novel PPARα Antagonists: Synthesis, Antiproliferative Activity, and Docking Studies. ACS Med. Chem. Lett. 2020, 11, 624–632. [Google Scholar] [CrossRef]
- Ammazzalorso, A.; D’Angelo, A.; Giancristofaro, A.; De Filippis, B.; Di Matteo, M.; Fantacuzzi, M.; Giampietro, L.; Linciano, P.; Maccallini, C.; Amoroso, R. Fibrate-derived N-(methylsulfonyl)amides with antagonistic properties on PPARα. Eur. J. Med. Chem. 2012, 58, 317–322. [Google Scholar] [CrossRef]
- De Filippis, B.; Linciano, P.; Ammazzalorso, A.; Di Giovanni, C.; Fantacuzzi, M.; Giampietro, L.; Laghezza, A.; Maccallini, C.; Tortorella, P.; Lavecchia, A.; et al. Structural development studies of PPARs ligands based on tyrosine scaffold. Eur. J. Med. Chem. 2015, 89, 817–825. [Google Scholar] [CrossRef]





































| Compounds | Antibacterial Activity (Diameter of Zone Inhabitation in mm) | Antifungal Activity (Diameter of Zone Inhabitation in mm) | ||||||
|---|---|---|---|---|---|---|---|---|
| E. coli | P. aeruginosa | K. pneumonia | S. aureus | C. albicans | A. flavus | A. fumigatus | T. rubrum | |
| 6b | 23 | 25 | 25 | 26 | 22 | 26 | 24 | 22 |
| 6d | 14 | 17 | 19 | 16 | 15 | 16 | 20 | 18 |
| 6e | -- | -- | -- | -- | 10 | -- | -- | -- |
| 6f | -- | 14 | -- | -- | -- | 12 | -- | 09 |
| 6i | -- | 14 | -- | -- | -- | 14 | -- | -- |
| 6j | 12 | 16 | 15 | 14 | 13 | 08 | 11 | 11 |
| ciprofloxacin (Std) | 20 | 22 | 22 | 20 | -- | -- | -- | -- |
| ciclopiroxolamine (Std) | -- | -- | -- | -- | 20 | 22 | 22 | 20 |
| Compounds | R | R′ | X | IC50 (μM) |
|---|---|---|---|---|
| 20a | H | Me | H | 6.49 ± 1.42 |
| 20b | H | Me | Me | 1.35 ± 1.13 |
| 20c | H | Me | Cl | 9.42 ± 2.20 |
| 20d | H | Ph | Me | 15.37 ± 1.46 |
| 20e | Me | Me | H | 3.71 ± 1.33 |
| 20f | Me | Me | Me | 0.69 ± 1.10 |
| 20g | Me | Me | Cl | 19.05 ± 1.84 |
| Doxorubicin | -- | -- | -- | 0.44 ± 1.07 |
![]() | ||||||
|---|---|---|---|---|---|---|
| Compounds | R | IC50 ± SE (μM) | ||||
| HeLa | MCF-7 | A549 | HepG-2 | HUVEC | ||
| 22a | ![]() | 4.00 ± 0.06 | >100 | >100 | 2.50 ± 0.54 | 12.85 ± 0.56 |
| 22b | ![]() | 2.00 ± 0.37 | 1.05 ± 0.24 | >100 | 1.70 ± 0.62 | 10.28 ± 0.92 |
| 22c | ![]() | 4.00 ± 0.90 | 3.03 ± 0.21 | >100 | 3.61 ± 0.59 | 9.42 ± 0.74 |
| 22d | ![]() | >100 | >100 | 16.98 ± 1.32 | >100 | 3.80 ± 0.66 |
| 22e | ![]() | 1.76 ± 0.31 | >100 | 0.51 ± 0.22 | 1.59 ± 0.31 | 4.79 ± 0.91 |
| 22f | ![]() | 1.88 ± 0.83 | >100 | 0.29 ± 0.20 | 0.51 ± 0.18 | 3.97 ± 0.75 |
| 22g | ![]() | 4.48 ± 0.43 | 0.42 ± 0.23 | 6.21 ± 0.86 | 6.05 ± 0.84 | >100 |
| 22h | ![]() | >100 | 6.44 ± 0.63 | 4.47 ± 0.60 | 24.15 ± 0.60 | >100 |
| 22i | ![]() | >100 | 17.32 ± 0.93 | 3.68 ± 0.28 | 3.62 ± 0.23 | 2.42 ± 0.59 |
| DOX | 1.34 ± 0.08 | 20.64 ± 3.67 | 1.18 ± 0.03 | 0.5 ± 0.18 | 1.6 ± 0.40 | |
![]() | ||||
|---|---|---|---|---|
| Compounds | Ar | KI (nM) | Selectivity Ratio (hCAII/hCAI) | |
| hCAI | hCAII | |||
| 23 | - | 19–10 | 42.30 | 2.21 |
| 23a | ![]() | 24.40 | 18.25 | 0.75 |
| 23b | ![]() | 13.25 | 20.7 | 1.53 |
| 23c | ![]() | 13.05 | 55.43 | 4.25 |
| 23d | ![]() | 21.88 | 52.17 | 2.38 |
| 23e | ![]() | 14.47 | 31.76 | 2.19 |
| 23f | ![]() | 9.88 | 20.05 | 2.03 |
| AZA | ![]() | 250 | 12.00 | 0.05 |
![]() | ||||||
|---|---|---|---|---|---|---|
| Compounds | R1 | R2 | R3 | R4 | Tyrosinase Inhibition ** (%) | IC50 μM |
| 34a | OH | H | H | * Ts | 34.03 ± 8.52 | 200.77 ± 2.75 |
| 34b | OH | H | OH | Ts | 88.84 ± 3.03 | 17.85 ± 0.17 |
| 34c | OH | H | H | H | 82.50 ± 1.08 | 44.11 ± 0.88 |
| 34d | OH | H | OH | H | 72.22 ± 1.08 | 48.08 ± 0.36 |
![]() kojic acid | - | - | - | - | 56.16 ± 0.85 | 49.08 ± 0.36 |
![]() resveratrol | - | - | - | - | - | 59.80 ± 0.98 |
![]() | |||||||
|---|---|---|---|---|---|---|---|
| Compounds | R1 | R2 | R3 | R4 | R5 | R6 | Tyrosinase Inhibition * (%) |
| 35a | OMe | OMe | H | OH | H | H | 56.25 ± 0.45 |
| 35b | OH | OH | H | OH | H | H | 72.75 ± 1.70 |
| 35c | OMe | OMe | H | OH | H | OMe | 8.90 ± 1.87 |
| 35d | OMe | OMe | H | OH | OMe | H | 1.03 ± 9.08 |
| 35e | OMe | OMe | H | OH | H | OH | 48.50 ± 3.47 |
| 35f | OH | OH | H | OH | H | OH | 41.46 ± 2.17 |
| 35g | OMe | H | OMe | OH | H | OH | 27.80 ± 1.14 |
| 35h | OMe | H | OMe | OMe | H | OH | 6.38 ± 2.79 |
| 35i | OMe | H | OMe | OH | OMe | H | 0.44 ± 1.65 |
| Compounds | Structures | Pharmacological Effects | References |
|---|---|---|---|
| 1 | ![]() | Anticolitic | [6] |
| 2 | ![]() | Antidiabetic | [10] |
| 3a–j | ![]() | Anti-inflammatory | [11] |
| 4a–j | ![]() | Antimicrobial | [12] |
| 5a–c | ![]() | Antibacterial Antifungal | [13] |
| 6a–j | ![]() | Antibacterial | [14] |
| 7a–e | ![]() | Antibacterial Antifungal | [15] |
| 8a–d | ![]() | Antibacterial Antifungal | [16] |
| 9a–o | ![]() | Antimicrobial | [17] |
| 10a–p | ![]() | Antifungal | [18] |
| 11a–u | ![]() | Antibacterial Antifungal | [19] |
| 12 | ![]() | Antimicrobial | [20] |
| 13a–g | ![]() | Antimicrobial | [21] |
| 14a–i | ![]() | Antimicrobial | [24] |
| 15 | ![]() | Antimicrobial | [25] |
| 16 | ![]() | Antimicrobial Antifungal | [29] |
| 17a–k | ![]() | Anticancer | [30] |
| 18a,c,f | ![]() | Anticancer | [30] |
| 19a–l | ![]() | Anticancer | [32] |
| 20a–g | ![]() | Anti-breast cancer | [33] |
| 21a–c | ![]() | Anti-breast cancer | [34] |
| 22a–1 | ![]() | Anticancer | [35] |
| 23a–f | ![]() | CA inhibitors | [36] |
| 24a–e | ![]() | CA inhibitors | [37] |
| 25a–e | ![]() | HpCAs inhibitors | [38] |
| 25a–l | ![]() | COX-2 inhibitors | [41] |
| 27a–c, 28 | ![]() | Anti-MAO-B | [42] |
| 30a–b | ![]() | Anti-MAO-B | [42] |
| 30a–c | ![]() | Anti-MAO-B | [42] |
| 31a–b | ![]() | Anti-MAO-B | [43] |
| 32 | ![]() | Neuroprotective | [45] |
| 33a–c | ![]() | Neuroprotective | [48] |
| 34a–d | ![]() | Tyrosinase inhibitors | [50] |
| 35a–i | ![]() | Tyrosinase inhibitors | [53] |
| 37 | ![]() | Anti-ulcerative colitis | [55] |
| 38a–c | ![]() | PPARα/γ agonists | [57] |
| 39a–m | ![]() | PPAR pan agonists | [58] |
| 40a–e | ![]() | PPARα antagonists | [60] |
| 41a–f | ![]() | PPARγ agonists | [61] |
Disclaimer/Publisher’s Note: The statements, opinions and data contained in all publications are solely those of the individual author(s) and contributor(s) and not of MDPI and/or the editor(s). MDPI and/or the editor(s) disclaim responsibility for any injury to people or property resulting from any ideas, methods, instructions or products referred to in the content. |
© 2024 by the authors. Licensee MDPI, Basel, Switzerland. This article is an open access article distributed under the terms and conditions of the Creative Commons Attribution (CC BY) license (https://creativecommons.org/licenses/by/4.0/).
Share and Cite
De Filippis, B.; Della Valle, A.; Ammazzalorso, A.; Maccallini, C.; Tesse, G.; Amoroso, R.; Mollica, A.; Giampietro, L. Azobenzene as Multi-Targeted Scaffold in Medicinal Chemistry. Molecules 2024, 29, 5872. https://doi.org/10.3390/molecules29245872
De Filippis B, Della Valle A, Ammazzalorso A, Maccallini C, Tesse G, Amoroso R, Mollica A, Giampietro L. Azobenzene as Multi-Targeted Scaffold in Medicinal Chemistry. Molecules. 2024; 29(24):5872. https://doi.org/10.3390/molecules29245872
Chicago/Turabian StyleDe Filippis, Barbara, Alice Della Valle, Alessandra Ammazzalorso, Cristina Maccallini, Giuseppe Tesse, Rosa Amoroso, Adriano Mollica, and Letizia Giampietro. 2024. "Azobenzene as Multi-Targeted Scaffold in Medicinal Chemistry" Molecules 29, no. 24: 5872. https://doi.org/10.3390/molecules29245872
APA StyleDe Filippis, B., Della Valle, A., Ammazzalorso, A., Maccallini, C., Tesse, G., Amoroso, R., Mollica, A., & Giampietro, L. (2024). Azobenzene as Multi-Targeted Scaffold in Medicinal Chemistry. Molecules, 29(24), 5872. https://doi.org/10.3390/molecules29245872






























































