3-Nitroatenolol: First Synthesis, Chiral Resolution and Enantiomers’ Absolute Configuration
Abstract
1. Introduction
2. Results
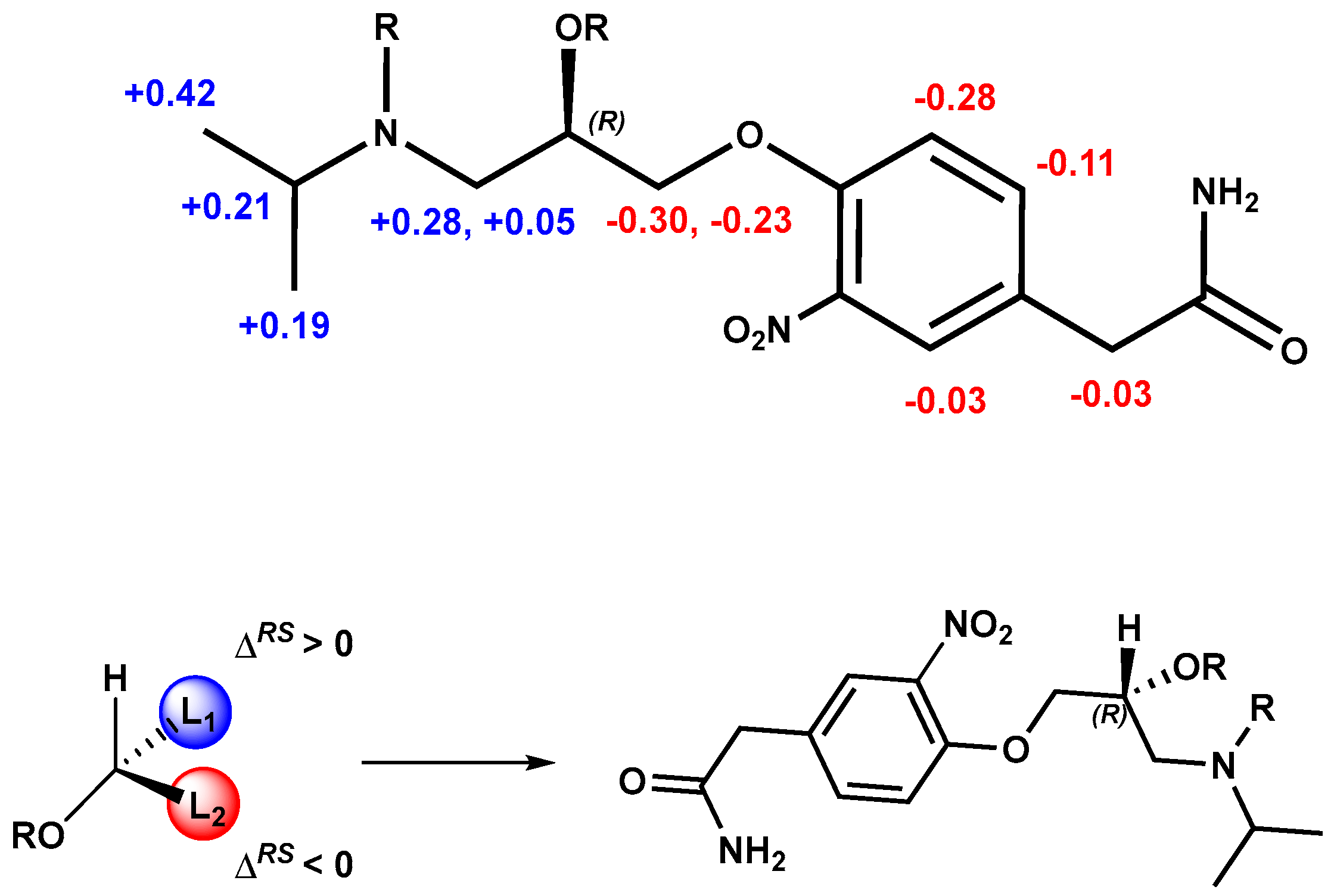
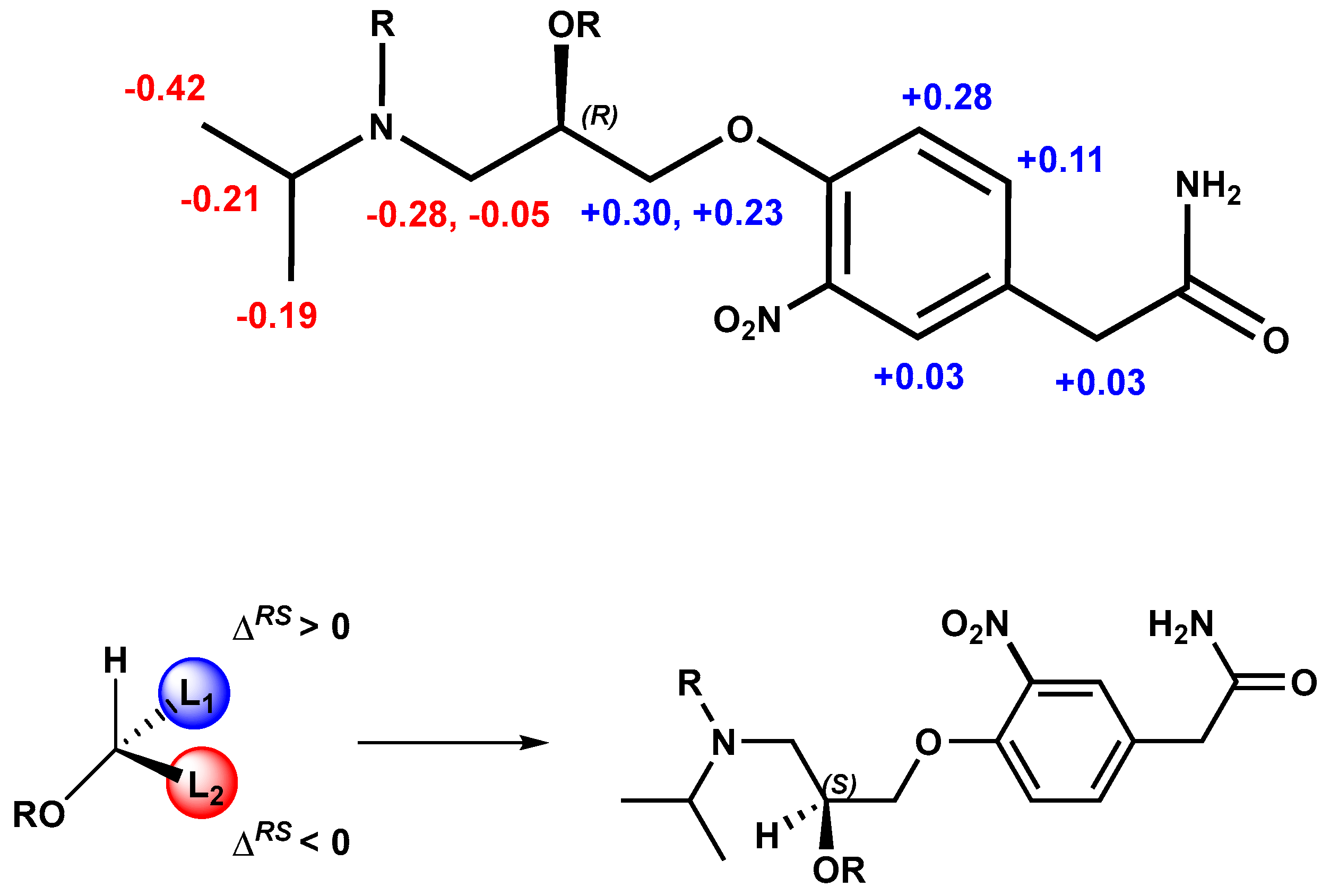
- -
- The R configuration for (+)-3-nitroatenolol;
- -
- The S configuration for (−)-3-nitroatenolol.
3. Materials and Methods
3.1. Chemistry
3.2. Chiral Resolution
3.3. Determination of Optical Rotation Values
3.4. Absolute Configuration Assignment
4. Conclusions
Supplementary Materials
Author Contributions
Funding
Institutional Review Board Statement
Informed Consent Statement
Data Availability Statement
Acknowledgments
Conflicts of Interest
References
- Bismpos, D.; Wintrich, J.; Hövelmann, J.; Böhm, M. Latest pharmaceutical approaches across the spectrum of heart failure. Heart Fail. Rev. 2024. online ahead of print. [Google Scholar] [CrossRef] [PubMed]
- Johri, N.; Mareja, P.S.; Maurya, A.; Varshney, S.; Smritigandha. Role of β-blockers in preventing heart failure and major adverse cardiac events post myocardial infarction. Curr. Cardiol. Rev. 2023, 19, e110123212591. [Google Scholar] [CrossRef] [PubMed]
- Stapleton, M.P. Sir James Black and propranolol. The role of the basic sciences in the history of cardiovascular pharmacology. Tex. Heart Inst. J. 1997, 24, 336–342. [Google Scholar] [PubMed]
- Available online: https://go.drugbank.com/drugs/DB00335 (accessed on 26 March 2024).
- Britto-Júnior, J.; Gonçalves de Oliveira, M.; dos Reis Gati, C.; Campos, R.; Moraes, M.O.; Moraes, M.E.A.; Mónica, F.Z.; Antunes, E.; De Nucci, G. 6-NitroDopamine is an endogenous modulator of rat heart chronotropism. Life Sci. 2022, 307, 120879. [Google Scholar] [CrossRef] [PubMed]
- Britto-Júnior, J.; Lima, A.T.; Fuguhara, V.; Monica, F.Z.; Antunes, E.; De Nucci, G. Investigation on the positive chronotropic action of 6-nitrodopamine in the rat isolated atria. Naunyn-Schmiedeberg’s Arch. Pharmacol. 2023, 396, 1279–1290. [Google Scholar] [CrossRef] [PubMed]
- Zatz, R.; De Nucci, G. Endothelium-Derived Dopamine and 6-Nitrodopamine in the Cardiovascular System. Physiology 2024, 39, 44–59. [Google Scholar] [CrossRef] [PubMed]
- Sparaco, R.; Scognamiglio, A.; Corvino, A.; Caliendo, G.; Fiorino, F.; Magli, E.; Perissutti, E.; Santagada, V.; Severino, B.; Luciano, P.; et al. Synthesis, Chiral Resolution and Enantiomers Absolute Configuration of 4-Nitropropranolol and 7-Nitropropranolol. Molecules 2023, 28, 57. [Google Scholar] [CrossRef] [PubMed]
- Oliveira, D.L.; Cardoso, V.F.; Britto-Júnior, J.; Fuguhara, V.; Frecentese, F.; Sparaco, R.; Santagada, V.; Caliendo, G.; Antunes, E.; De Nucci, G. The effect of (±)-4-NO2-propranolol, (±)-7-NO2-propranolol, and (±)-propranolol on the rat isolated right atrium. Naunyn-Schmiedeberg’s Arch. Pharmacol. 2024. submitted. [Google Scholar]
- Nies, A.S.; Shand, D.G. Clinical pharmacology of propranolol. Circulation 1975, 52, 6–15. [Google Scholar] [CrossRef] [PubMed]
- Ogrodowczyk, M.; Dettlaff, K.; Jelinska, A. Beta-blockerrs: Current state of knowledge and perspectives. Min. Rev. Med. Chem. 2016, 16, 40–54. [Google Scholar] [CrossRef] [PubMed]
- Viteri, M.; Aranibar, L. Oral atenolol compared to oral propranolol for infantile hemangioma. Medwave 2023, 23, e2753. [Google Scholar] [CrossRef] [PubMed]
- Brodde, O.E. β-adrenoceptor blocker treatment and the cardiac β-adrenoceptor-G-protein(s)-adenylyl cyclase system in chronic heart failure. Naunyn-Schmiedeberg’s Arch. Pharmacol. 2007, 374, 361–372. [Google Scholar] [CrossRef] [PubMed]
- Mohan, S.; Campbell, N.R.C. Hypertension management in Canada: Good news, but important challenges remain. CMAJ 2008, 178, 1458–1460. [Google Scholar] [CrossRef] [PubMed]
- Gupta, A.; Whiteley, W.N.; Godec, T.; Rostmian, S.; Ariti, C.; Mackay, J.; Whitehouse, A.; Janani, L.; Poulter, N.R.; Sever, P.S.; et al. Legacy benefits of blood pressure treatment on cardiovascular events are primarily mediated by improved blood pressure variability: The ASCOT trial. Eur. Heart J. 2024. online ahead of print. [Google Scholar] [CrossRef] [PubMed]
- Seco, J.M.; Quiñoá, E.; Riguera, R. The Assignment of Absolute Configuration by NMR. Chem. Rev. 2004, 104, 17–118. [Google Scholar] [CrossRef]
- Leiro, V.; Seco, J.M.; Quiñoá, E.; Riguera, R. Cross interaction between auxiliaries: The chirality of amino alcohols by NMR. Org. Lett. 2008, 10, 2729–2732. [Google Scholar] [CrossRef] [PubMed]
- Luciano, P.; Imperatore, C.; Senese, M.; Aiello, A.; Casertano, M.; Guo, Y.W.; Menna, M. Assignment of the Absolute Configuration of Phosphoeleganin via Synthesis of Model Compounds. J. Nat. Prod. 2017, 80, 2118–2123. [Google Scholar] [CrossRef] [PubMed]








| Peak 1 | [α]20D = +2.88 (c = 0.003, MeOH) | (+)-3-nitroatenolol |
| Peak 2 | [α]20D = −2.59 (c = 0.002, MeOH) | (−)-3-nitroatenolol |
| Compounds | Reagent (mg) | (R)- or (S)-MPA (mg) | EDC (mg) | tR (min.) | Isolated Yield (%) |
|---|---|---|---|---|---|
| bis-(R)-MPA derivative of (+)-3-nitroatenolol | 2.4 | 3.0 | 3.1 | 13.7 | 79 |
| bis-(S)-MPA derivative of (+)-3-nitroatenolol | 2.3 | 3.0 | 3.0 | 15.9 | 67 |
| bis-(R)-MPA derivative of (−)-3-nitroatenolol | 2.1 | 3.0 | 3.0 | 16.0 | 69 |
| bis-(S)-MPA derivative of (−)-3-nitroatenolol | 2.5 | 3.0 | 3.2 | 13.8 | 87 |
Disclaimer/Publisher’s Note: The statements, opinions and data contained in all publications are solely those of the individual author(s) and contributor(s) and not of MDPI and/or the editor(s). MDPI and/or the editor(s) disclaim responsibility for any injury to people or property resulting from any ideas, methods, instructions or products referred to in the content. |
© 2024 by the authors. Licensee MDPI, Basel, Switzerland. This article is an open access article distributed under the terms and conditions of the Creative Commons Attribution (CC BY) license (https://creativecommons.org/licenses/by/4.0/).
Share and Cite
Sparaco, R.; Cinque, P.; Scognamiglio, A.; Corvino, A.; Caliendo, G.; Fiorino, F.; Magli, E.; Perissutti, E.; Santagada, V.; Severino, B.; et al. 3-Nitroatenolol: First Synthesis, Chiral Resolution and Enantiomers’ Absolute Configuration. Molecules 2024, 29, 1598. https://doi.org/10.3390/molecules29071598
Sparaco R, Cinque P, Scognamiglio A, Corvino A, Caliendo G, Fiorino F, Magli E, Perissutti E, Santagada V, Severino B, et al. 3-Nitroatenolol: First Synthesis, Chiral Resolution and Enantiomers’ Absolute Configuration. Molecules. 2024; 29(7):1598. https://doi.org/10.3390/molecules29071598
Chicago/Turabian StyleSparaco, Rosa, Pierfrancesco Cinque, Antonia Scognamiglio, Angela Corvino, Giuseppe Caliendo, Ferdinando Fiorino, Elisa Magli, Elisa Perissutti, Vincenzo Santagada, Beatrice Severino, and et al. 2024. "3-Nitroatenolol: First Synthesis, Chiral Resolution and Enantiomers’ Absolute Configuration" Molecules 29, no. 7: 1598. https://doi.org/10.3390/molecules29071598
APA StyleSparaco, R., Cinque, P., Scognamiglio, A., Corvino, A., Caliendo, G., Fiorino, F., Magli, E., Perissutti, E., Santagada, V., Severino, B., Luciano, P., Casertano, M., Aiello, A., Martins Viegas, G. Y., De Nucci, G., & Frecentese, F. (2024). 3-Nitroatenolol: First Synthesis, Chiral Resolution and Enantiomers’ Absolute Configuration. Molecules, 29(7), 1598. https://doi.org/10.3390/molecules29071598

