The Potential Anti-Cancer Effects of Polish Ethanolic Extract of Propolis and Quercetin on Glioma Cells Under Hypoxic Conditions
Abstract
1. Introduction
2. Results
2.1. Viability of Astrocyte Cell Line CCF-STTG1 After Stimulation with an Ethanolic Extract of Polish Propolis (EEP PL) and Quercetin in Hypoxia Conditions
2.2. Effect of Polish Ethanolic Extracts of Propolis and Quercetin on Selected Cytokine Production by Cell CCF-STTG1 Line of Astrocytes by LPS, IFN-α, and LPS + IFN-α in Hypoxia Conditions
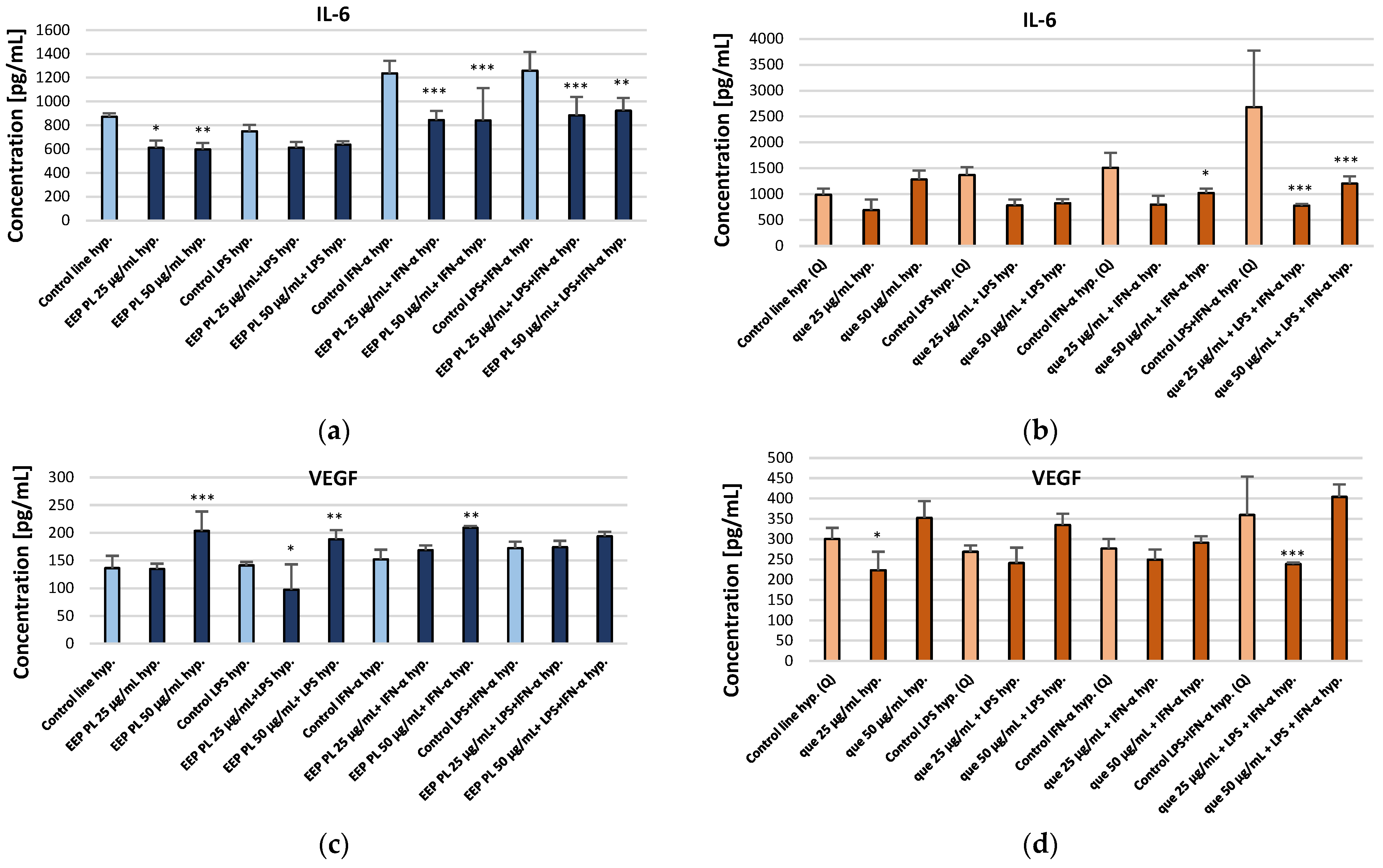
2.3. Comparative Effects of EEP-PL on IL-6, VEGF, PDGF-BB, MCP-1, IP-10 and IL-9 Secretion in LPS and/or IFN-α Induced by Astrocyte CCF-STTG1 Cell Line
2.4. Comparative Effects of Quercetin on IL-6, VEGF, PDGF-BB, MCP-1, IP-10 and IL-9 Secretion in LPS and/or IFN-α Induced by Astrocyte CCF-STTG1 Cell Line
3. Discussion
4. Materials and Methods
4.1. Preparation of Polish EEP
4.2. Cell Culture of Astrocyte Cell Line CCF-STTG1
4.3. Astrocyte Cell Line CCF-STTG1 Stimulation with Polish Ethanolic Extracts of Propolis or Quercetin with LPS, IFN-α, and Their Combination (LPS + IFN-α)
4.4. MTT Assay
4.5. xMAP Luminex Multiplex Immunoassay
4.6. Statistical Analysis
5. Conclusions
Supplementary Materials
Author Contributions
Funding
Institutional Review Board Statement
Informed Consent Statement
Data Availability Statement
Acknowledgments
Conflicts of Interest
Abbreviations
| CNS | Central Nervous System |
| VEGF | Vascular Endothelial Growth Factor |
| HIF | Hypoxia-Inducible Factor |
| IP-10 | Interferon Gamma-Induced Protein 10 |
| PDGF-BB | Platelet-Derived Growth Factor |
| MCP-1 | Monocyte Chemoattractant Protein-1 |
| WHO | World Health Organization |
| LPS | Lipopolysaccharide |
References
- Janus-Szymanska, G.; Waszczuk, L.; Jacków-Nowicka, J. Significance of Genetic and Radiological Examinations in Diagnosis and Therapy of Brain Glioma in Adult Patients. Nowotw. J. Oncol. 2021, 71, 328–334. [Google Scholar] [CrossRef]
- Sejda, A.; Grajkowska, W.; Trubicka, J.; Szutowicz, E.; Wojdacz, T.K.; Kloc, W.; Izycka-Świeszewska, E. WHO CNS5 2021 Classification of Gliomas: A Practical Review and Road Signs for Diagnosing Pathologists and Proper Patho-Clinical and Neuro-Oncological Cooperation. Folia Neuropathol. 2022, 60, 137–152. [Google Scholar] [CrossRef] [PubMed]
- Byun, Y.H.; Park, C.-K. Classification and Diagnosis of Adult Glioma: A Scoping Review. Brain Neurorehabilit. 2022, 15, e23. [Google Scholar] [CrossRef] [PubMed]
- Oliver, L.; Olivier, C.; Marhuenda, F.B.; Campone, M.; Vallette, F.M. Hypoxia and the Malignant Glioma Microenvironment: Regulation and Implications for Therapy. Curr. Mol. Pharmacol. 2010, 2, 263–284. [Google Scholar] [CrossRef]
- Boyle, F.M.; Eller, S.L.; Grossman, S.A. Penetration of intra-arterially administered vincristine in experimental brain tumor. Neuro Oncol. 2004, 6, 300–305. [Google Scholar] [CrossRef] [PubMed]
- Roka, K.; Scheinemann, K.; Avula, S.; Maduro, J.H.; Thomale, U.W.; Sehested, A.; Schouten-Van Meeteren, A.Y. European standard clinical practice recommendations for primary pediatric low-grade gliomas. EJC Paediatr. Oncol. 2024, 4, 100169. [Google Scholar] [CrossRef]
- Doğan, H.; Silici, S.; Ozcimen, A.A. Biological Effects of Propolis on Cancer. Turk. J. Agric.-Food Sci. Technol. 2020, 8, 573–579. [Google Scholar] [CrossRef]
- Zheng, Y.Z.; Deng, G.; Liang, Q.; Chen, D.F.; Guo, R.; Lai, R.C. Antioxidant Activity of Quercetin and Its Glucosides from Propolis: A Theoretical Study. Sci. Rep. 2017, 7, 7543. [Google Scholar] [CrossRef] [PubMed]
- Sepúlveda, C.; Núñez, O.; Torres, A.; Guzmán, L.; Wehinger, S. Antitumor Activity of Propolis: Recent Advances in Cellular Perspectives, Animal Models and Possible Applications. Food Rev. Int. 2020, 36, 429–455. [Google Scholar] [CrossRef]
- Przybyłek, I.; Karpiński, T.M. Antibacterial Properties of Propolis. Molecules 2019, 24, 2047. [Google Scholar] [CrossRef] [PubMed]
- Zulhendri, F.; Lesmana, R.; Tandean, S.; Christoper, A.; Chandrasekaran, K.; Irsyam, I.; Suwantika, A.A.; Abdulah, R.; Wathoni, N. Recent Update on the Anti-Inflammatory Activities of Propolis. Molecules 2022, 27, 8473. [Google Scholar] [CrossRef] [PubMed]
- Kurek-Górecka, A.; Kłósek, M.; Pietsz, G.; Czuba, Z.P.; Kolayli, S.; Can, Z.; Balwierz, R.; Olczyk, P. The Phenolic Profile and Anti-Inflammatory Effect of Ethanolic Extract of Polish Propolis on Activated Human Gingival Fibroblasts-1 Cell Line. Molecules 2023, 28, 7477. [Google Scholar] [CrossRef] [PubMed]
- Forma, E.; Bryś, M. Anticancer Activity of Propolis and Its Compounds. Nutrients 2021, 13, 2594. [Google Scholar] [CrossRef] [PubMed]
- Markiewicz-Zukowska, R.; Borawska, M.H.; Fiedorowicz, A.; Naliwajko, S.K.; Sawicka, D.; Car, H. Propolis Changes the Anticancer Activity of Temozolomide in U87MG Human Glioblastoma Cell Line. BMC Complement. Altern. Med. 2013, 13, 50. [Google Scholar] [CrossRef] [PubMed]
- Kurek-Górecka, A.; Kłósek, M.; Balwierz, R.; Pietsz, Z.; Czuba, Z.P. The Immunomodulatory Effects of Apigenin and Quercetin on Cytokine Secretion by the Human Gingival Fibroblast Cell Line and Their Potential Link to Alzheimer’s Disease. Pharmaceuticals 2025, 18, 628. [Google Scholar] [CrossRef] [PubMed]
- Wong, S.C.; Kamarudin, M.N.A.; Naidu, R. Anticancer Mechanism of Flavonoids on High-Grade Adult-Type Diffuse Gliomas. Nutrients 2023, 15, 797. [Google Scholar] [CrossRef] [PubMed]
- Vageli, D.P.; Doukas, P.G.; Goupou, K.; Benos, A.D.; Astara, K.; Zacharouli, K.; Sotiriou, S.; Ioannou, M. Hypoxia-Inducible Factor 1alpha and Vascular Endothelial Growth Factor in Glioblastoma Multiforme: A Systematic Review Going beyond Pathologic Implications. Oncol. Res. 2024, 32, 1239. [Google Scholar] [CrossRef] [PubMed]
- Bhargava, P.; Mahanta, D.; Kaul, A.; Ishida, Y.; Terao, K.; Wadhwa, R.; Kaul, S.C. Experimental Evidencefor Therapeutic Potentials of Propolis. Nutrients 2021, 13, 2528. [Google Scholar] [CrossRef] [PubMed]
- Ma, Y.; Li, L.; Kong, L.; Zhu, Z.; Zhang, W.; Song, J.; Chang, J.; Du, G. Pinocembrin Protects Blood-Brain Barrier Function and Expands the Therapeutic Time Window for Tissue-Type Plasminogen Activator Treatment in a Rat Thromboembolic Stroke Model. BioMed Res. Int. 2018, 22, 8943210. [Google Scholar] [CrossRef] [PubMed]
- Yang, D.; Wang, T.; Long, M.; Li, P. Quercetin: Its Main Pharmacological Activity and Potential Application in Clinical Medicine. Oxid. Med. Cell Longev. 2020, 2020, 8825387. [Google Scholar] [CrossRef] [PubMed]
- Tsai, T.H. Determination of naringin in rat blood, brain, liver, and bile using microdialysis and its interaction with cyclosporin a, a p-glycoprotein modulator. J. Agric. Food Chem. 2002, 50, 6669–6674. [Google Scholar] [CrossRef] [PubMed]
- Feng, J.; Zheng, Y.; Guo, M.; Ares, I.; Martinez, M.; Lopez-Torres, B.; Martinez-Larranaga, M.R.; Wang, X.; Anadón, A.; Martinez, M.A. Oxidative stress, the blood–brain barrier and neurodegenerative diseases: The critical beneficial role of dietary antioxidants. Acta Pharm. Sin. B 2023, 13, 3988–4024. [Google Scholar] [CrossRef] [PubMed]
- Pervin, M.; Unno, K.; Nakagawa, A.; Takahashi, Y.; Iguchi, K.; Yamamoto, H.; Hoshino, M.; Hara, A.; Takagaki, A.; Nanjo, F.; et al. Blood brain barrier permeability of (-)-epigallocatechin gallate, its proliferation-enhancing activity of human neuroblastoma SH-SY5Y cells, and its preventive effect on age-related cognitive dysfunction in mice. Biochem. Biophys. Rep. 2017, 9, 180–186. [Google Scholar] [CrossRef] [PubMed] [PubMed Central]
- Thammasit, P.; Tharinjaroen, C.S.; Tragoolpua, Y.; Rickerts, V.; Georgieva, R.; Bäumler, H.; Tragoolpua, K. Targeted Propolis-Loaded Poly (Butyl)Cyanoacrylate Nanoparticles: AnAlternative Drug Delivery Tool for theTreatment of Cryptococcal Meningitis. Front. Pharmacol. 2021, 12, 723727. [Google Scholar] [CrossRef] [PubMed]
- ISO 10993-5:2009; Biological Evaluation of Medical Devices—Part 5: Tests for In Vitro Cytotoxicity. International Organization for Standardization: Geneva, Switzerland, 2009.
- Suni, J.; Valkama, S.; Peltola, E. Save Your Tears for the Toxicity Assays—Carbon Nanotubes Still Fooling Scientists. ACS Omega 2025, 3, 5554–5562. [Google Scholar] [CrossRef] [PubMed]
- Sang, D.P.; Li, R.J.; Lan, Q. Quercetin Sensitizes Human Glioblastoma Cells to Temozolomide in Vitro via Inhibition of Hsp27. Acta Pharmacol. Sin. 2014, 35, 832–838. [Google Scholar] [CrossRef] [PubMed]
- Morris, R.M.; Mortimer, T.O.; O’Neill, K.L. Cytokines: Can Cancer Get the Message? Cancers 2022, 14, 2178. [Google Scholar] [CrossRef] [PubMed]
- Basheer, A.S.; Abas, F.; Othman, I.; Naidu, R. Role of Inflammatory Mediators, Macrophages, and Neutrophils in Glioma Maintenance and Progression: Mechanistic Understanding and Potential Therapeutic Applications. Cancers 2021, 13, 4226. [Google Scholar] [CrossRef] [PubMed]
- Kłósek, M.; Kurek-Górecka, A.; Balwierz, R.; Pietsz, G.; Czuba, Z.P. The Effect of Ethanolic Extract of Brazilian Green Propolis and Artepillin C on Cytokine Secretion by Stage IV Glioma Cells Under Hypoxic and Normoxic Conditions. Pharmaceuticals 2025, 18, 389. [Google Scholar] [CrossRef] [PubMed]
- Michaud-Levesque, J.; Bousquet-Gagnon, N.; Béliveau, R. Quercetin Abrogates IL-6/STAT3 Signaling and Inhibits Glioblastoma Cell Line Growth and Migration. Exp. Cell Res. 2012, 318, 925–935. [Google Scholar] [CrossRef] [PubMed]
- Hanks, S.; Rahman, N. Direct Role of PDGF-BB in Lymphangiogenesis and Lymphatic Metastasis. Cell Cycle 2005, 4, 228–230. [Google Scholar] [CrossRef] [PubMed]
- Kochumon, S.; Al-Sayyar, A.; Jacob, T.; Hasan, A.; Al-Mulla, F.; Sindhu, S.; Ahmad, R. TNF-α Increases Ip-10 Expression in MCF-7 Breast Cancer Cells via Activation of the JNK/c-Jun Pathways. Biomolecules 2021, 11, 1355. [Google Scholar] [CrossRef] [PubMed]
- Maru, S.V.; Holloway, K.A.; Flynn, G.; Lancashire, C.L.; Loughlin, A.J.; Male, D.K.; Romero, I.A. Chemokine Production and Chemokine Receptor Expression by Human Glioma Cells: Role of CXCL10 in Tumour Cell Proliferation. J. Neuroimmunol. 2008, 199, 35–45. [Google Scholar] [CrossRef] [PubMed]
- Salcedo, R.; Ponce, M.L.; Young, H.A.; Wasserman, K.; Ward, J.M.; Kleinman, H.K.; Oppenheim, J.J.; Murphy, W.J. Human Endothelial Cells Express CCR2 and Respond to MCP-1: Direct Role of MCP-1 in Angiogenesis and Tumor Progression. Blood 2000, 96, 34–40. [Google Scholar] [CrossRef] [PubMed]
- Kadomoto, S.; Izumi, K.; Mizokami, A. Roles of CCL2-CCR2 Axis in the Tumor Microenvironment. Int. J. Mol. Sci. 2021, 22, 8530. [Google Scholar] [CrossRef] [PubMed]
- Do-Thi, V.A.; Park, S.M.; Park, S.M.; Jeong, H.J.; Cho, G.; An, H.J.; Kim, Y.S.; Lee, H.; Lee, J.O. IL9 Polarizes Macrophages to M1 and Induces the Infiltration of Antitumor Immune Cells via MIP-1 and CXCR3 Chemokines. Cancer Res. Commun. 2023, 3, 80–96. [Google Scholar] [CrossRef] [PubMed]
- Kłósek, M.; Krawczyk-Łebek, A.; Kostrzewa-Susłow, E.; Szliszka, E.; Bronikowska, J.; Jaworska, D.; Pietsz, G.; Czuba, Z.P. In Vitro Anti-Inflammatory Activity of Methyl Derivatives of Flavanone. Molecules 2023, 28, 7837. [Google Scholar] [CrossRef] [PubMed]







Disclaimer/Publisher’s Note: The statements, opinions and data contained in all publications are solely those of the individual author(s) and contributor(s) and not of MDPI and/or the editor(s). MDPI and/or the editor(s) disclaim responsibility for any injury to people or property resulting from any ideas, methods, instructions or products referred to in the content. |
© 2025 by the authors. Licensee MDPI, Basel, Switzerland. This article is an open access article distributed under the terms and conditions of the Creative Commons Attribution (CC BY) license (https://creativecommons.org/licenses/by/4.0/).
Share and Cite
Kłósek, M.; Kurek-Górecka, A.; Balwierz, R.; Pietsz, G.; Czuba, Z.P. The Potential Anti-Cancer Effects of Polish Ethanolic Extract of Propolis and Quercetin on Glioma Cells Under Hypoxic Conditions. Molecules 2025, 30, 3008. https://doi.org/10.3390/molecules30143008
Kłósek M, Kurek-Górecka A, Balwierz R, Pietsz G, Czuba ZP. The Potential Anti-Cancer Effects of Polish Ethanolic Extract of Propolis and Quercetin on Glioma Cells Under Hypoxic Conditions. Molecules. 2025; 30(14):3008. https://doi.org/10.3390/molecules30143008
Chicago/Turabian StyleKłósek, Małgorzata, Anna Kurek-Górecka, Radosław Balwierz, Grażyna Pietsz, and Zenon P. Czuba. 2025. "The Potential Anti-Cancer Effects of Polish Ethanolic Extract of Propolis and Quercetin on Glioma Cells Under Hypoxic Conditions" Molecules 30, no. 14: 3008. https://doi.org/10.3390/molecules30143008
APA StyleKłósek, M., Kurek-Górecka, A., Balwierz, R., Pietsz, G., & Czuba, Z. P. (2025). The Potential Anti-Cancer Effects of Polish Ethanolic Extract of Propolis and Quercetin on Glioma Cells Under Hypoxic Conditions. Molecules, 30(14), 3008. https://doi.org/10.3390/molecules30143008

