Next Article in Journal
Proposal for Self-Degrading Power Cables Incorporating Graphitic Carbon Nitride to Address Electronic Waste Challenges and Evaluation of Decomposition Efficiencies
Next Article in Special Issue
Exploring the Synthesis, Anti-Inflammatory and Anti-Tumor Potential of 4-Maleimidylphenyl-Hydrazide Derivatives
Previous Article in Journal
Chicoric Acid and Chlorogenic Acid: Two Hydroxycinnamic Acids Modulate the Glucose 6-Phosphatase Activities in Pancreatic INS1 Beta-Cells—Novel Data in Favor of Two Putative Conformations of the G6Pase Within the ER Membrane
Previous Article in Special Issue
Synthesis, Clastogenic and Cytotoxic Potential, and In Vivo Antitumor Activity of a Novel N-Mustard Based on Indole-3-carboxylic Acid Derivative
 
 
Font Type:
Arial Georgia Verdana
Font Size:
Aa Aa Aa
Line Spacing:
Column Width:
Background:
Article

Major Components of Dittrichia viscosa (Asteraceae) as a Source of New Pesticides

by
María José Segura-Navarro
1,
José Francisco Quílez del Moral
1,*,
María Fe Andrés
2,
Félix Valcárcel
3,
Azucena González-Coloma
2,*,
Diego O. Molina Inzunza
1 and
Alejandro F. Barrero
1,*
1
Departamento de Química Orgánica, Instituto de Biotecnología, Universidad de Granada, 18071 Granada, Spain
2
Instituto de Ciencias Agrarias, Centro Superior de Investigaciones Científicas, 28006 Madrid, Spain
3
Instituto Nacional de Investigación y Tecnología Agraria y Alimentaria, Centro Superior de Investigaciones Científicas, 28040 Madrid, Spain
*
Authors to whom correspondence should be addressed.
Molecules 2025, 30(19), 3950; https://doi.org/10.3390/molecules30193950
Submission received: 14 August 2025 / Revised: 25 September 2025 / Accepted: 27 September 2025 / Published: 1 October 2025
(This article belongs to the Special Issue Synthesis of Bioactive Compounds, 3rd Edition)

Abstract

Ilicic acid, nerolidol, and 9-hydroxynerolidol are major components of the aerial parts of Dittrichia viscosa. These components were selectively isolated in multigram quantities and used as lead compounds to generate diversity in the search for new natural-product-derived pesticides. A total of 29 derivatives of these three molecules—some of which are known natural products—were generated by subjecting these natural products to different transformations. In order to explore potential applications in sustainable biocontrol, some of the compounds generated were evaluated for plant protection potential against insect pests (Spodoptera littoralis, Myzus persicae, Rhopalosiphum padi), against the nematode Meloidogyne javanica, and for their phytotoxic effects on ryegrass (Lolium perenne) and lettuce (Lactuca sativa). Additionally, their effects against the tick Hyalomma lusitanicum have been tested. Compound 11 was found to be antifeedant against S. littoralis and nematicidal. Compounds 3a and 8 were potent antifeedants against R. padi. None of the tested compounds significantly inhibited lettuce growth, and compounds 17, 3, and 3a even promoted root development. Conversely, compounds 3, 4, 11, 17, and 21a exhibited strong herbicidal activity on ryegrass. In larvicidal assays against H. lusitanicum, compounds 3, 3a, 11, 17, 29, and 33 were active, with compound 29 being six times more active than the positive control nootkatone.

Graphical Abstract

1. Introduction

Dittrichia viscosa (L., 1753) Greuter, 1973 is an herbaceous perennial plant belonging to the Asteraceae family and the Asterales order, widely distributed throughout the Mediterranean basin. It thrives in environments modified by anthropogenic activities (roadsides, abandoned fields, or suburban areas) thanks to its remarkable colonization capacity. This species is also highly resistant to adverse conditions and exhibits excellent adaptability [1,2].
The native range of D. viscosa includes the coasts of southern Europe (France, Spain, Greece, Italy, Bulgaria, Croatia, and Turkey), the Middle East (Israel, Jordan, and Syria), as well as northern Africa (Algeria, Egypt, and Libya) [1]. In this sense, its very efficient seed production and dispersal, together with its adaptation to different ecosystems, has enabled its establishment in the Azores, Belgium, and Great Britain. Furthermore, it is now common also in other regions of Europe and North America. It is declared and listed on the Alert List of Environmental Weeds in Australia and North America [2].
Regarding the ecological role played by this species, it is worth mentioning that D. viscosa exudates show marked cytotoxic and genotoxic activity, resulting in allelopathic effects on seed germination and root growth of other plants [3]. Worth mentioning, D. viscosa has been identified as a host for natural enemies that target agricultural pests such as the olive fruit fly (Bactrocera oleae Gmel) [4]. With respect to its tolerance to polluted environments, the plant shows a remarkable capacity to grow in soils enriched with nickel, magnesium, and arsenic. For this reason, it has been suggested as both a bioindicator of these elements and a potential candidate for phytoextraction strategies [5]. Lastly, although D. viscosa has been suspected of causing health issues in grazing livestock, some reports indicate that its aerial parts are consumed by sheep and goats without evident negative effects [6].
Chemical analyses of plant extracts revealed the presence of several metabolites belonging to different classes of natural products such as sesquiterpenes, flavonoids, and caffeic acids. Comprehensive reviews summarizing these studies, along with data on the quantification of individual constituents in specific plant organs, have been published [7].
Since the ancient Roman era, D. viscosa has been valued for its medicinal uses. Its applications include anti-inflammatory, analgesic, antibacterial, antifungal, antispasmodic, sedative, antiseptic, antipyretic, antidiarrheal, antirheumatic, antidiabetic, and expectorant activities, among others [8,9]. Significant activities of D. viscosa secondary metabolites were reported, including antitumoral effects against a wide range of cell lines: such as melanoma, breast, colorectal, cervical, skin, and brain cancers [9]; and insecticidal and nematicidal properties against Spodoptera littoralis larvae, Myzus persicae, Rhopalosiphum padi, and Meloidogyne javanica [10]. Moreover, D. viscosa supports the population growth of Macrolophus melanotoma, a predator of various agricultural pests, thereby contributing to natural pest control in crops [11].
Given the significant biological activity of some major compounds from this plant species, namely ilicic acid, nerolidol, and 9-hydroxinerolidol, we anticipated that these three compounds would be promising lead compounds in the search for new biopesticides. Indeed, ilicic acid showed allelopathic activity against the larval stage of Tribolium castaneum [12] and an antifeedant effect against Leptinotarsa decemlineata [13]. Similarly, nerolidol proved to possess toxic activity against the cotton leafworm S. littoralis [14] and the nematode M. javanica [15], which encouraged us to use this compound as well as 9-hydroxynerolidol to generate molecular diversity. To sum up, the three major natural products of D. viscosa have been used as lead compounds to produce molecules with potential biopesticide activity against key agricultural pests such as the insects S. littoralis, M. persicae, and R. padi, the root-knot nematode M. javanica, and the tick Hyalomma lusitanicum. Additionally, phytotoxic activity has been found against the monocot Lolium perenne and the dicot Lactuca sativa.
With the ultimate aim of generating the intended molecular diversity, it is worth underscoring the versatility of the iodine molecule to undergo several chemical transformations, including dehydration, aromatization, rearrangements, and others [16,17].

2. Results

2.1. Extraction of Major Compounds from the Aerial Parts of D. viscosa

We started this approach by studying different ways of extraction from the aerial parts of the plant. After some experimentation using different solvents and conditions, we selected the maceration of the plant material twice for 30 min with tert-butyl methyl ether (MTBE). This procedure led to an extract yield of about 5% on dry plant weight or 0.76% of fresh plant.
Fractionation of the extract obtained the from fresh plant with an aqueous solution of 2N NaOH led to the separation of an acid fraction (0.35%) containing, according to its 1H-NMR spectrum, ilicic acid together with flavones and other minor components, as well as a neutral fraction where nerolidol and 9-hydroxynerolidol were the main components (0.03% and 0.06%) of fresh plant, respectively. Gratifyingly, ilicic acid (1) was found to crystallize from the acid fraction using MTBE as solvent, while one flash chromatography was needed to obtain nerolidol (2) and 9-hydroxynerolidol (3) (Scheme 1).

2.2. Ilicic Acid as a Source of Molecular Diversity

As already mentioned, the previously reported pesticide activity of ilicic acid (1), along with the ability to obtain multigram quantities of this substance— following the protocol described above—makes this natural product a promising lead compound for exploring molecular diversity.

2.2.1. Esterification of Ilicic Acid—Reactions with Iodine

To initiate this study, ester 4 was synthesized by treating ilicic acid with trimethylsilyldiazomethane. This compound has been previously identified in Tithonia diversifolia and some species of the Artemisia genus [18,19,20].
When ester 4 was reacted with iodine in benzene, the trisubstituted dehydration product 5 was obtained selectively. Higher reaction temperatures (using toluene as solvent) and longer reaction times continued to produce only the dehydration products 57 (Table 1, entry 2), all of which are known natural products [21]. The use of substechiometric quantities of iodine, with DMSO as regenerating agent (Table 1, entry 3) began to generate the desired molecular diversity, and compounds 810 were produced, although in very low yields. Notably, the acid derivative of ester 8 turned out to be a natural product with reported neuroprotective and pesticidal activities [22]. Most remarkably, compounds 9 and 10 present a fully conjugated structure, where up to six new unsaturations were formed, thus proving the high potentiality of this I2/DMSO system.
Structural assignment of both 9 and 10 was performed after analysis of their spectroscopical data. Thus, the molecular formula deduced for both substances (C15H15O2 and C15H12O3, from their HRMS ([M+H]+ at 227.1074, and [M+H]+ at 241.0861, respectively) confirmed the loss of one carbon atom. Their 1H NMR spectra, where six aromatic methines were observed in both cases, agreed with a structure of disubstituted naphthalene. One of these substituents was the conjugated methyl ester present in the starting material, while the second substituent was a methyl group in the case of 9 (1H: δ 2.71, 3H, s; 13C: δ 19.4) and an aldehyde group in the case of 10 (1H: δ 10.42, 1H, s; 13C: δ 193.5)
A plausible mechanism that rationalizes the generation of the fully conjugated structure 10 is shown in Scheme 2. The process would start after the reaction of the methyl ester of β-costic acid 6 with I2/DMSO. This led, after formation of the exocyclic methylene iodonium I and elimination of H+, to the iododerivative II. From II, a reagent-mediated dehydrogenation should take place, leading to the conjugated diene III, which undergoes loss of HI to afford the triene IV. From this intermediate, a selective iodination occurs on the 5,6 double bond, giving rise to the iodonium V, which would evolve towards the aromatization of ring A via an SN2 process with iodide anion to generate intermediate VI. Final steps would include a loss of HI followed by further dehydrogenation, and a Kornblum oxidation, ultimately yielding compound 10 [16,17,23].
To improve the yields of the newly generated compounds, a solvent mixture of MeOH and toluene was tested as a solvent. In the event, after 6.5 h of reaction, 38% of transformed products were produced, while 45% of the dehydrated 5 remained unreacted. Together with 5, the generation of compounds 12 and 13 was noticed, where the A-ring is aromatized. Additionally, the appearance of lactone 11 was also noticed. This compound, reported as a product of the reaction of ilicic acid with TsOH, presents moderate gastric cytoprotective activity [24]. Longer reaction times reduced the yield of the dehydration product 5 (Table 1, entries 5 and 6). Thus, when the reaction was prolonged up to 38 h, compound 5 was found in a 24% yield (Table 1, entry 6). Together with 5 and its free acid derivative 14, it was noticed that the generation of compounds 15 and 17, where now A and B, two rings are aromatized.
The structural elucidation of compound 12 was realized after an exhaustive analysis of its spectroscopical data, including 2D NMR. Its 1H NMR spectrum showed signals corresponding to an aromatic AB system (A: 7.08 ppm, d, J = 7.8 Hz, 1H, B: 7.04 ppm, d, J = 7.8 Hz, 1H). No more aromatic protons were observed, which suggested that the aromatic ring is 1,2,3,4-tetrasubstituted. The presence of two singlet methyls at δ 2.61 and 2.21 indicated that these two methyl groups were located at positions 1 and 4 of the rearranged eudesmane A ring. The signal attributed to an oxygenated methine (1H NMR: δ 5.95, s, 1H), together with 13C NMR signals at δ 79.33 and 174.5, was compatible with the existence of a lactone moiety in the structure. Finally, the selected bidimensional correlations shown in Figure 1 confirmed the tricyclic core for compound 12.
The proposed mechanism for the formation of 12 is shown in Scheme 3.
Compared with 12, the NMR data of 13 showed signals compatible with the presence of a 2-methoxyfuran substructure (1H: δ 3.24, s, 3H; 13C: δ 50.1) as the most significant difference.
The spectroscopical data of compound 15 also confirmed the aromatization of the B-ring in this rearranged eudesmane structure. Noticeably, the disubstituted double bond of the conjugated ester moiety, located at C7 in the starting material, appeared reduced in compound 15 [1H NMR; δ 3.96, (q, J = 7.2 Hz, 1H); 3.70 (s, 3H), 1.63 (d, J = 7.2 Hz, 3H)]. This double bond also appeared reduced in lactone 17, whose structure was determined after the study of its 1D and 2D NMR spectra (Figure 2).
The structure of 13 was assigned based on the study of its one- and two-dimensional NMR spectra. Its 1H NMR spectrum shows the presence of two singlets at δ 6.11 and 5.55 ppm and a dd at 4.55. These signals, together with those found in its 13C NMR spectrum at δ 142.4 and 119.6 (corresponding to a methylene group), the signal at 76.90 ppm (assignable to an oxygenated methine), and the signal at 174.24 ppm, allow us to propose the presence in 13 of a γ-butyrolactone. The remaining NMR data of 16 confirmed that there is no additional function in this molecule and were compatible with an eudesmane skeleton, where the methyl at position 4 is reduced [0.97 (d, J = 6.0 Hz, 3H)]. The relative configuration of the chiral centers was proposed, on the one hand, considering that 16 maintained the stereochemistry at C1 and C7 of the starting ilicic acid. On the other hand, the value of the coupling constants of H6 (dd, J = 5.2, 3.6 Hz) is compatible with those described for other cis-eudesman-12,6-olides [25] with a trans interannular junction. Additionally, the value of the chemical shift of C-15 and C14, both below 20 ppm, led us to propose the β disposition of methyl at C4.
It is noteworthy that the toluene/MeOH solvent system promoted lactone formation, in contrast to the I2/DMSO protocol, which generated fully conjugated esters 9 and 10 (albeit in low yields and with loss of the C10 methyl group). Selective formation of A-ring or dual-ring aromatized compounds was dependent on reaction conditions. Interestingly, compound 15 shows structural resemblance to naproxen, a non-steroidal anti-inflammatory drug, prompting potential future studies into its anti-inflammatory properties.

2.2.2. Reactions of γ-Costic Acid Methyl Ester (5) with Iodine

Noticing the intermediacy of compound 5 in the reaction of compound 4 with iodine and taking advantage of the fact that this compound can be selectively obtained from the methyl ester of ilicic acid, we decided to use this compound as starting material (Table 2).
When compound 5 was treated with 2 equiv of I2, it was observed that, after 13 h of reaction, the starting material disappeared and it was generated an acceptable 25% of compound 15, where only one position remained unsaturated. If the reaction time is prolonged up to 32 h, the conjugation is extended throughout the entire molecule, and the fully conjugated product 18 is obtained as the main reaction product in 24% yield.
  • Synthesis of 3-oxo-γ-costic acid methyl ester (19)
Once we had in our hands a protocol for the selective dehydration of ilicic acid to generate γ-costic acid, we focused on the synthesis of 3-oxo-γ-costic acid methyl ester (19), a natural product used in folk medicine, for which interesting antimicrobial and antiproliferative activities against different human cell lines have been described [26,27]. The only required allylic oxygenation was achieved using Cr(VI) species as oxidant (Scheme 4).
  • Epoxidation of 5. Et2AlCl-mediated opening reactions of the corresponding epoxy derivatives
Our group recently reported that the use of alkylaluminium chlorides favoured the opening, cyclization, and rearrangement of epoxypolyprenes [28]. The rationale for this tandem process lies in the fact that once the Lewis acids mediate the oxirane opening, the thus-generated zwitterionic species is shown to possess a metalanion alkoxide, which bears the negative charge and helps the positive charge to persist long enough to evolve to the rearranged products if the process is energetically favourable.
The epoxidation of 5 with mCPBA yielded the mixture of epoxides 2021. The treatment of these epoxides with acids has been described previously by Zaki et al. [29]. When we treated the mixture of diastereomers 20 and 21 with Et2AlCl for 6 h at −60 °C, compound 22 was obtained as the major compound—this product was already described by Zaki et al., along with minor quantities of monocyclic 23 (Table 3, entry 1).
Under these experimental conditions, up to 38% of unaltered starting material was also observed. Most notably, this starting material corresponded to only one of the starting epoxides, 20, as deduced from the NOE effect observed in Me-15 after irradiating H7 (Figure 3).
This selectivity, which allowed the isolation of one of these epimers for the first time, was rationalized considering the steric hindrance (caused by the methyl group at C10) experienced by the Lewis acid when approaching the β-epoxide 20. Consequently, product 22 must derive from the α-epoxy derivative 21 (Scheme 5).
When 20 and 21 were treated with Me2AlCl for 6 h at −40 °C (3 equiv), both diastereomers reacted, likely due to the smaller size of the reagent (Table 3, entry 2). As a result, apart from 22 and 23, compounds 24 and 25 were also obtained, the latter ones deriving now from the β-epoxy derivative 20.
Compound 22 presented an unusual bicyclic structure with cycles of five- and seven-membered rings, bearing two methyl groups at the interannular junctions. This structural moiety is shared with some uncommon neomerane-type sesquiterpenoids [30].
The molecular formula of compound 23 was assigned as C16H24O3 from its HRMS ([M+H]+ at 264.1932), and its complete structure was elucidated using 1D and 2D NMR spectroscopy. These spectra revealed the persistence of a 2-methyl acrylate moiety. The presence of a methyl ketone (1H NMR, δ: 2.16, 3H, s; 13C NMR, δ: 209.22), and a tetrasubstituted double bond on which a methyl group is located (1H NMR, δ: 1.62, 3H, bs; 13C NMR, δ: 125.20, C; 135.46, C) was also confirmed. The final planar structure of 23 was deduced from the analysis of its 1D TOCSY spectra and the correlations observed in the HMBC spectrum (Figure 4). Finally, the E geometry of the trisubstituted double bond was confirmed by the observation of a NOE effect between the methyl group attached to the double bond and one of the protons on C6.
The reaction yields obtained (Table 3) suggest that compound 23 originated from epoxide 20. The cascade process leading to 23—involving ring opening, contraction of B ring, and subsequent opening of A ring—can be explained by the precise alignment of the C9–C10 bond with the activated C5–O bond (Scheme 6). This alignment facilitates the migration of the C9–C10 bond, triggering the displacement of the leaving group to obtain intermediate I. Subsequent cleavage of the O–Al bond, accompanied by the simultaneous migration of the C4–C5 bond, results in the formation of a C5–C10 double bond, ultimately yielding the final product 23.
The structure of product 24 was also determined by 1H and 13C NMR spectroscopy. The spectroscopic data agree with the α-costic methyl ester structure (13C NMR, δ: 136.2; 13C NMR, δ: 126.6; 1H NMR, δ: 5.55, 3H, s), with the presence of an oxygenated quaternary carbon at C5 (13C NMR, δ: 73.8). The stereochemistry of the molecule could be confirmed by comparison of its NMR spectra with those already described by Zdero et al. [31] for a natural compound isolated from Apalochlamys spectabilis. This substance has also been identified by Ceccherelli et al. [32] as a product of the reaction of isoconic acid with SeO2. However, the spectroscopic data described by these authors do not agree with those described by Zdero and by us. We can therefore conclude that our obtaining of 24 represents the first synthesis of this natural product.
The NMR data of compound 25 were consistent with a γ-costic acid methyl ester structure possessing an oxygenated methine located at C3 (1H NMR, δ: 4.05, bt, J = 6.4 Hz); 13C NMR, δ: 71.5). The spectroscopical data of 25 matched with those reported by Bohlmann for a natural product isolated from two Stevia species [33].
Since compounds 24 and 25 were obtained only when the β-epoxy derivative 20 was transformed (Table 3 entry 2), the mechanism proposed for the production of these natural products involves the initial opening of this diastereoisomer (Scheme 7).

2.3. Nerolidol as a Source of Molecular Diversity

Nerolidol (2) was the second main component of the neutral fraction of D. viscosa collected in Granada, Spain. A number of studies have been reported highlighting that this compound may prove beneficial for human health, agriculture, and the food industry [34]. In order to expand structural diversity, we decided to study its acetylation to 2a and the photosensitized oxidation of this compound using Rose Bengal to generate singlet oxygen (1O2). Thus, after NaBH4 reduction of the corresponding hydroperoxides, the photooxidation of 2 produced the natural diol 27, together with secondary allylic alcohol 26. Dess-Martin oxidation of compound 26 led to enone 28 in an acceptable yield (Scheme 8).

2.4. 9-Hydroxynerolidol as a Source of Molecular Diversity

9-Hydroxynerolidol (3) was the major component of the neutral fraction of D. viscosa collected in Granada, Spain. This compound exhibits interesting antifungal properties, and some of us reported that a mixture of 3 and its acetate shows moderate activity against the pest insect S littoralis [35]. Considering the availability of this compound on a multigram scale from its natural source and its reported activity, we decided to use 9-hydroxynerolidol as a lead compound in our search for biopesticide compounds.

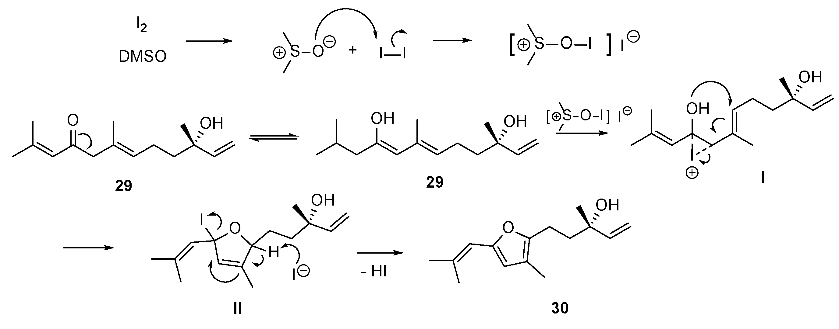
Synthesis of 9-Oxonerolidol (29)—Reaction of 29 with Iodine to Produce Diversity

9-Oxonerolidol (29) is a natural product reported to possess interesting biological activities. Thus, this compound showed activity against antibiotic-resistant Gram+ and Gram− bacteria, and it is reported to prevent oxidative damage in human lung epithelial cells [36]. 9-Oxonerolidol (29) was straightforwardly obtained from compound 2 by PDC-mediated oxidation (Scheme 9).
Reaction of enone 29 with the I2-DMSO system led to the generation of monocycles 3032. The structures of compounds 3032 were elucidated by analysis of their 1D and 2D NMR spectra. The major compound (30) shows a molecular peak [M+H]+ at m/z 235.1691, corresponding to a molecular formula of C15H22O2, indicating an additional degree of unsaturation compared to the starting material. The presence of a disubstituted methylfuran ring was inferred from the analysis of its NMR spectra, which confirmed the presence of a methyl group on a double bond (1H: δ 1.95, s, 3H), an olefinic proton (1H: δ 5.92, bs) and three quaternary sp2 carbon (two of them bonded to the furane oxygen:13C: δ 150.9, 148.8, 115.10).
Considering our previously reported mechanism for transforming β-methyl enones into furan derivatives [21], we propose the pathway in Scheme 10 for the conversion of 29 into 30 using I2/DMSO.
Compounds 31 and 32 are isomers presenting the molecular formula C15H22O2, as deduced from their HRMS. This data implies again a new degree of unsaturation with respect to the starting material. The presence of two α-carbonyl protons and an oxygenated methine in both molecules supports these assignments (see experimental part). The relative configuration of the stereocenters at C3 and C6 of the tetrahydrofuran ring was determined by NOE experiments (Figure 5).
The mechanism proposed for the formation of 31 and 32 is shown in Scheme 11. The process involves attacks of the iodoxydimethylsulfonium iodide on the 6–7 double bond, with concomitant addition of the tertiary hydroxyl group to the iodonium intermediate species I, thus generating the tetrahydrofuran II. Subsequent HI elimination produces a mixture of stereoisomers (Scheme 11).

2.5. Plant Protection Effects

The plant protection effects of a selection of the compounds originated in this study were tested against insect pests (S. littoralis, M. persicae, R. padi), the root-knot nematode M. javanica, and their phytotoxicity on the plants’ ryegrass and lettuce.
Among the compounds tested on insect pests, nerolidol derivatives 3a (EC50 of 8 μg/cm2 on R. padi), 27 (EC50 of 10 and 20 μg/cm2 on M. persicae and R. padi), 28 (EC50 of 15 and 12 μg/cm2 on M. persicae and R. padi), and 29 (EC50 of 21 μg/cm2 on R. padi) were aphid antifeedants with some effective doses 2–1.5 times more active than the positive control thymol (3a and 28 on R. padi). Among ilicic acid derivatives, 11 (EC50 = 25 and 11 μg/cm2 on S. littoralis and M. persicae) was an effective antifeedant, with similar or 1.7 stronger potencies against S. littoralis and R. padi, followed by 4 (EC50 of 16 μg/cm2 on R. padi) (Table 4).
The tested compounds showed limited nematicidal effects against the root-knot nematode M. javanica, with compound 27 (a nerolidol derivative) and compound 11 (an ilicic acid derivative) being the most active (MLC of 0.5 and LD50,90 of 0.31 and 0.59 ug/uL respectively), followed by 4 which presented moderate-low effects (61% mortality at 1 ug/uL) (Table 5). The activity of 28 and 11 is two times below the positive control thymol.
These compounds were tested for phytotoxic effects against two model plant species, the monocotyledoneous ryegrass and the dycotiledoneous lettuce (L. perenne and L. sativa) to assess unwanted phytotoxicity (on lettuce) and potential herbicidal effects (on ryegrass) (Figure 6 and Figure 7, Table S1).
The phytotoxicity observed was selective. L. sativa was not affected significantly by any of them (% inhibition < 50% for all parameters), with ilicic acid 1 inhibiting root growth by 21%, while 17, 3, and 3a promoted root growth with respect to the control (86.3% and 55–57% promotion, respectively) (Figure 6).
Figure 7 shows the phytotoxic effects of the test compounds on ryegrass. Overall, the nerolidol derivatives were shown not to be phytotoxic to this plant except for 3 (61% leaf growth inhibition), while significant effects were observed for the ilicic acid-related compounds. Specifically, 4, 11, 17 (with >801% inhibition of all parameters at the maximum dose) were the most effective, followed by 2021 that inhibited leaf growth (73%).

2.6. Ixodicidal Effects

Nerolidol (2), ilicic acid (1), and compounds 3, 3a, 29, 33, 4, 5, 11, and 17 were tested against larvae of the tick Hyalomma lusitanicum. All these compounds were active except 2, 1, and 4. Their lethal doses LD50 ranged between 0.62–2.61 μg/mg, all within the range of the positive control thymol, except 29, the most active derivative (LD50,90 = 0.62, 1.09 μg/mg), five times over the positive control thymol (Table 6).
Nerolidol (2) was not antifeedant against the insect species tested; therefore, the chemical transformations carried out on this compound improved the activity of 3a on R. padi, 27 on M. persicae and R. padi, 28 on M. persicae and R. padi and 29 on R. padi. In the case of illicic acid (1) derivatives, lactone 11 was active on all the targets (except M. persicae), followed by 4 and 5 with effects on R. padi, while 1 was inactive. Therefore, the synthetic strategy applied here yielded improved antifeedant nerolidol and ilicic acid derivatives. Only one active nematicidal derivative for each chemical class was obtained (28 and 11). Since both nerolidol and ilicic acid lacked nematicidal action, we can consider these molecules as potential nematicidal leads. The ilicic acid derivatives 4, 11, 17 showed strong herbicidal effects on L. perenne, while ilicic acid 1 was inactive, suggesting that these molecules could be herbicidal leads. All nerolidol derivatives tested were effective ixodicidal agents with a clear improvement in the case of 9-oxonerolidol (29), with an efficient dose—five times above the positive control thymol. Similarly, compounds 5, 11, and 17 showed improved acaricidal effects compared to the inactive ilicic acid 1.
Nerolidol, a sesquiterpene alcohol, exhibits a range of effects on insects, acting as a repellent and even impacting their growth and development. Nerolidol has aphicidal effects against Metopolodium dirhodum [39], larvicidal action against Plutella xylostella [40], and impairs the normal growth, development, and reproduction of Spodoptera exigua, acting as an analog of juvenile hormone JH [41]. Similarly, nerolidol exhibited growth-inhibitory effects on larvae of the melon fruit fly (Zeugodacus cucurbitae) [42]. It was also shown to be an effective repellent of females of the mosquito Aedes aegypti [43]. In this work, we found moderate antifeedant effects of nerolidol on M. persicae (61% SI). Similarly, (Z)-nerolidol showed pre-ingestive, ingestive, and post-ingestive deterrent activities against M. persicae [44]. However, we did not find any antifeedant effects against S. littoralis or R. padi, suggesting species-dependent antifeedant effects for this compound. Nerolidol has been described as acaricidal against Tetranychus urticae [45] and reported as larvicidal to the tick Rhipicephalus microplus [46]. However, in this work, nerolidol was not larvicidal to the tick species H. lusitanicum.
Nerolidol has also been described as phytotoxic to Arabidopsis thaliana, causing alterations in root morphology, bringing changes in auxin balance, inducing changes in sugar, amino acid, and carboxylic acid profiles, and increasing the levels of H2O2 and MDA in root tissues in a dose-dependent manner [47]. However, in this work, nerolidol did not affect L. sativa and showed low negative effects on L. perenne
A similar case was observed with ilicic acid, a compound reported as antifeedant to the stored-product pests Tenebrio molitor [48] and the beetle Leptinotarsa decemlineata. However, it proved to be ineffective against S. littoralis [9] or the aphids tested here. There are no reports on the acaricidal effects of ilicic acid.
Ilicic acid has reported phytotoxic effects on the roots of cauliflower, cress, and radish at 0.025 mg/mL [49]. Here, we found moderate negative effects on L. sativa germination (22% inhibition at 0.1 mg/mL) while being inactive on the ryegrass.
When compared with existing commercial biopesticides (e.g., azadirachtin, pyrethrins, spinosad, and essential-oil-based formulations), the synthetic derivatives reported here represent an advantage. Unlike many natural biopesticides that often suffer from narrow-spectrum efficacy, the nerolidol and ilicic acid derivatives studied here demonstrate multi-target activity across insects, nematodes, ticks, and weeds, while also showing potential as herbicidal leads. This versatility is particularly valuable in the context of Integrated Pest Management (IPM), where combining bioactive compounds that act at different trophic levels can reduce reliance on synthetic pesticides.
From the perspective of sustainable agriculture, the direct derivatization of abundant natural products such as nerolidol and ilicic acid offers a dual advantage: valorization of renewable plant resources like D. viscosa and generation of molecules with enhanced potency and selectivity, which can be more efficiently integrated into eco-friendly crop protection strategies.

3. Materials and Methods

3.1. Instruments and Chemicals

Column chromatography was carried out with silica gel SDS 60 (35−70 μm). Thin-layer chromatography on 0.25 mm E. Merck silica gel plates (60F-254) (Sigma Aldrich, St. Louis, MO, USA) was employed to monitor reactions, the fractionation of D. viscosa MTBE extract, and the isolation of natural products by chromatography using UV light and a solution of phosphomolybdic acid in ethanol as the visualizing agent. Semipreparative HPLC separation was carried out on a column (5 μm Silica, 10 × 250 mm2) at a flow rate of 4.0 mL/min in an Agilent Series 1100 instrument. NMR spectra were recorded with BRUKER Avance NEO (1H NMR 600 MHz/13C NMR 150 MHz), Varian Direct Drive (1H NMR 500 MHz/13C NMR 125 MHz), and BRUKER Nanobay Avance III HD (1H NMR 400 MHz) spectrometers (Bruker, Billerica, MA, USA. The signals multiplicity is indicated by the following abbreviations: s = singlet, d = doublet, t = triplet, q = quartet, quint = quintuplet, hex = hexuplet, hep = heptuplet, bs = broad singlet, bd = broad doublet, bt = broad triplet, dd = doublet of doublets, dt = doublet of triplets, dq = doublet of quartets, dquint = doublet of quintets, td = triplet of doublets, ddd = doublet of doublets of doublets, m = multiplet. High-resolution mass spectra (HRMS) were determined on a BRUKER Autoflex mass spectrometer (Bruker, Billerica, MA, USA).

3.2. Plant Material, Extraction, and Isolation of Natural Products

Specimens of Dittrichia viscosa (GDA54164) were collected in Granada (37.208108, −3.622045, Spain) in April 2023. Aerial parts of D. viscosa (2600 g) were extracted by maceration two times for 30 min each, using MTBE as solvent, and finally obtained 19.8 g of extract (0.76% yield from fresh plant).
MTBE extract was then fractionated using 2N NaOH as a base. The process began by dissolving 10 g of the extract in 200 mL of MTBE, then the solution was extracted with 100 mL 2N NaOH solution three times in a separating funnel with vigorous shaking. Afterward, the combined aqueous phases were separated from the organic phase. The aqueous phase was then acidified to pH 2 using 2N HCl and re-extracted three times for three minutes each with 100 mL of TBME to yield 6.75 g. This residue was crystallized from MTBE to give 4.65 g of ilicic acid (1). The organic phase was also chromatographed employing mixtures of hexane (H) and ethyl acetate (EtOAc) of increasing polarity to give 364 mg of nerolidol (2) (H:EtOAc, 10:1) and 775 mg of 9-hydroxinerolidol (3) (H:EtOAc, 2:1).
We started this approach by studying different ways of extracting the aerial parts of the plant. After some experimentation using different solvents and conditions, we selected the maceration of the plant material twice for 30 min with tert-butylmethylether (MTBE). This procedure led to an extract yield of about 5% on dry plant weight or 0.76% of fresh plant.

3.3. Synthesis

3.3.1. Esterification of Ilicic Acid

To a solution of ilicic acid (1) (1500 mg, 5.94 mmol) in a mixture of benzene:MeOH in a 4:1 ratio (30 mL), TMSCHN2 (3.6 mL of a 2M solution in diethylether, 7.13 mmol) was added under an argon atmosphere at 0 °C. This mixture was stirred for 30 min until the starting material was consumed, at which point the mixture was evaporated under vacuum. Product 4 was purified by flash chromatography (H:MTBE, 1:1) to obtain 1510 mg (95% yield).

3.3.2. Dehydration of Compound 4

To a solution of 2 (500 mg, 1.88 mmol) in toluene (35 mL), I2 (483 mg, 1.88 mmol) was added under an argon atmosphere at 111 °C (reflux). This mixture was stirred for 10 h. After completing the reaction, 80 mL of 5% NaHSO3 was added and stirred for an additional 10 min. Subsequently, 100 mL of MTBE was added, and the mixture was washed with water and then with brine, dried over anhydrous Na2SO4, and evaporated under reduced pressure. Finally, products 5, 6, and 7 were obtained with a 75% yield in a 5:1:2 ratio by silica gel impregnated with 20% AgNO3 column chromatography.

3.3.3. Selective Dehydration of Compound 4

To a solution of 4 (1485 mg, 5.57 mmol) in benzene (105 mL), I2 (1440 mg, 5.61 mmol) was added under an argon atmosphere at room temperature. This mixture was stirred for 4 h 30 min. Then, 80 mL of 5% NaHSO3 was added and stirred for an additional 10 min. Subsequently, 100 mL of MTBE was added, and the mixture was washed with water and then with brine, dried over anhydrous Na2SO4, and evaporated under reduced pressure. Finally, product 5 was obtained with an 85% yield.

3.3.4. Reaction of Compound 4 with I2 and DMSO

To a solution of 4 (763 mg, 2.87 mmol) in toluene (30 mL), I2 (153 mg, 0.60 mmol) and DMSO (3.5 mL, 49 mmol) were added under an argon atmosphere at reflux. This mixture was stirred for 18 h. After completing the reaction, 100 mL of MTBE was added, and the mixture was washed with a solution of saturated Na2SO3 (3 × 40 mL) and brine (2 × 40 mL). Later, it was dried over anhydrous Na2SO4 and evaporated under reduced pressure. Finally, products 510 were obtained. Column chromatography technique was employed using as eluent a mixture of H:MTBE in different proportions to obtain 500 mg (60% yield) of a mixture composed of compounds 57 and 160 mg of compounds 810 in a 2:2:3 ratio. Eventually, compounds 810 were isolated by HPLC using H:Et2O (9:1) as eluent, with retention times of 14, 15, and 18 min, respectively.
Compound 9. 1H NMR: (400 MHz, CDCl3): δ 8.04 (s, 1H), 7.82 (d, J = 8.5 Hz, 1H), 7.70 (d, J = 8.3 Hz, 1H), 7.52 (bd, J = 8.3, 1H), 7.36 (dd, J = 8.5, 7.1 Hz, 1H), 7.33 (d, J = 7.1 Hz, 1H), 6.46 (bs, J = 1.2 Hz, 1H), 6.02 (bs, 1H), 3.86 (s, 3H), 2.70 (s, 3H). 13C NMR (100 MHz, CDCl3): δ 167.4 (C), 141.7 (C), 134.6 (C), 134.1 (C), 133.1 (C), 132.3 (C), 128.2 (CH), 127.2 (CH), 127.0 (CH), 126.1 (CH), 126.1 (CH), 125.8 (CH), 123.8 (CH2), 52.3 (CH3), 19.4 (CH3). HRMS TOF (ES+) m/z calculated for C15H15O2 [M+H]+ 227.1072, found 227.1074.
Compound 10. 1H NMR: (400 MHz, CDCl3): δ 10.39 (s, 1H), 9.33 (bs, 1H), 8.10 (d, J = 8.1 Hz, 1H), 8.01 (dd, J = 7.1, 1.3 Hz, 1H), 7.91 (d, J = 8.4 Hz, 1H), 7.66–7.63 (m 2H), 6.52 (d, J = 1.1 Hz, 1H), 6.10 (d, J = 1.2 Hz, 1H), 3.87 (s, 3H). 13C NMR (100 MHz, CDCl3): δ 193.5 (C), 167.2 (C), 145.0 (C), 141.2 (C), 137.2 (CH), 134.9 (CH), 133.6 (C), 133.3 (C), 128.5 (CH2), 128.1 (CH), 127.5 (CH), 126.3 (C), 125.3 (CH), 124.6 (CH), 52.4 (CH3). HRMS TOF (ES+) m/z calculated for C15H13O3 [M+H]+ 241.0865, found 241.0861.

3.3.5. Reaction of Compound 4 with I2 and Toluene: MeOH (16 h)

To a solution of compound 4 (600 mg, 2.25 mmol) in a mixture of toluene:MeOH in a 9:1 ratio (20 mL), I2 (1144 mg, 4.51 mmol) was added under an argon atmosphere, and the mixture was refluxed. The reaction was stirred for 16 h and then evaporated under vacuum. The reaction crude was purified by silica gel impregnated with 20% AgNO3 column chromatography (H:MTBE, 95:5) to obtain 220 mg (40%) of 5, 40 mg (9%) of 11, 90 mg (19%) of 12, and 90 mg (17%) of 13.

3.3.6. Reaction of Compound 4 with I2 and Toluene: MeOH (38 h)

To a solution of compound 4 (500 mg, 1.88 mmol) in a mixture of toluene: MeOH 9:1 (10 mL), I2 (950 mg, 3.75 mmol) was added under an argon atmosphere at reflux. This mixture was stirred for 38 h and then evaporated under vacuum. Products 5, 8, 11, 12, 13 and 14 were purified by column chromatography using as eluent a mixture of H:MTBE of increasing polarity to obtain 110 mg (24%) of 5, 40 mg (10%) of 11, 100 mg (22%) of 14, 45 mg (10%) of 15, 30 mg (7%) of 16 and 50 mg (12%) of 17.
Compound 12. 1H NMR (400 MHz, CDCl3): δ 7.06 (d, J = 7.6 Hz, 1H), 7.02 (d, J = 7.6 Hz, 1H), 5.92 (s, 1H), 3.09 (m, 1H), 3.06 (m, 1H), 2.74 (m, 1H), 2.60 (m, 1H), 2.51 (s, 3H), 2.20 (s, 3H), 1.90 (s, 3H). 13C NMR (100 MHz, CDCl3): δ 174.6 (C), 161.0 (C), 136.9 (C), 135.0 (C), 133.7 (C), 132.4 (C), 130.3 (CH), 129.0 (CH), 120.7 (C), 79.4 (CH), 30.1 (CH2), 23.8 (CH2), 20.6 (CH3), 20.1 (CH3), 8.4 (CH3). HRMS TOF (ES+) m/z calculated for C15H17O2 229.1229 [M+H]+, found 229.1233.
Compound 13. 1H NMR: (400 MHz, CDCl3): δ 7.08 (d, J = 7.9 Hz, 1H), 7.04 (d, J = 7.9 Hz, 1H), 3.24 (s, 3H), 3.12 (ddd, J = 16.4, 7.3, 1.9 Hz, 1H), 2.98 (ddd, J = 12.9, 6.6, 2.0 Hz, 1H), 2.78 (m, 1H), 2.66 (m, 1H), 2.61 (s, 3H), 2.21 (s, 3H), 1.96 (s, 3H). 13C NMR (100 MHz, CDCl3): δ δ 171.8 (C), 158.3 (C), 136.6 (C), 134.5 (C), 133.5 (C), 133.3 (C), 130.9 (CH), 130.3 (CH), 123.9 (C), 105.5 (C), 50.1 (CH3), 29.3 (CH2), 21.7 (CH2), 20.6 (CH3), 20.0 (CH3), 8.3 (CH3). HRMS TOF (ES+) m/z calculated for C16H19O2 [M+H]+ 243.1385, found 243.1383.
Compound 15. 1H NMR: (400 MHz, CDCl3): δ 7.98 (d, J = 8.7 Hz, 1H), 7.88 (d, J = 1.9 Hz, 1H), 7.49 (dd, J = 8.7, 1.9 Hz, 1H), 7.21 (d, J = 7.3 Hz, 1H), 7.18 (d, J = 7.3 Hz, 1H), 3.93 (q, J = 7.2 Hz, 1H), 3.67 (s, 3H), 2.66 (s, 3H), 2.64 (s, 3H), 1.61 (d, J = 7.2 Hz, 3H). 13C NMR (100 MHz, CDCl3): δ 175.2 (C), 137.6 (C), 132.87 (C), 132.4 (C), 132.3 (C), 132.0 (C), 126.8 (CH), 126.3 (CH), 125.3 (CH), 125.1 (CH), 123.3 (CH), 52.2 (CH3), 46.0 (CH), 19.5 (CH3), 19.5 (CH3), 18.9 (CH3). HRMS TOF (ES+) m/z calculated for C16H19O2 [M+H]+ 243.1385, found 243.1382.
Compound 16. 1H NMR: (400 MHz, CDCl3): δ 6.09 (s, 1H), 5.53 (s, 1H), 4.53 (dd, J = 5.2, 3.6 Hz, 1H), 2.87 (m, 1H), 1.87–1.79 (m, 2H), 1.74–1.48 (m, 4H), 1.40 (dt, J = 13.3, 3.5 Hz, 1H), 1.33 (bd, J = 13.1 Hz, 1H), 1.17 (td, J = 13.5, 3.7 Hz, 1H), 1.08 (td, J = 13.3, 4.2 Hz, 1H), 1.00 (qd, J = 12.7, 4.6 Hz, 1H), 0.95 (s, 3H), 0.94 (d, J = 5.9 Hz, 1H), 0.93 (m, 1H). 13C NMR (100 MHz, CDCl3): δ 170.6 (C), 142.4 (C), 119.6 (CH2), 76.9 (CH), 51.5 (CH), 42.4 (CH2), 40.4 (CH), 39.4 (CH2), 37.0 (CH2), 32.4 (C), 28.5 (CH), 24.6 (CH2), 21.4 (CH2), 19.5 (CH3), 18.3 (CH3). HRMS TOF (ES+) m/z calculated for C15H23O2 [M+H]+ 235.1698, found 235.1702.
Compound 17. 1H NMR: (400 MHz, CDCl3): δ 7.81 (d, J = 8.5 Hz, 1H), 7.37 (d, J = 8.5 Hz, 1H), 7.22 (d, J = 7.2 Hz, 1H), 7.18 (d, J = 7.4 Hz, 1H), 3.85 (q, J = 7.6 Hz, 1H), 2.86 (s, 3H), 2.64 (s, 3H), 1.65 (d, J = 7.6 Hz, 3H). 13C NMR (100 MHz, CDCl3): δ 178.9 (C), 150.5 (C), 134.3 (C), 132.3 (C), 131.5 (C), 128.4 (CH), 127.4 (CH), 124.0 (C), 121.3 (CH), 120.4 (C), 120.3 (CH), 38.6 (CH), 22.9 (CH3), 20.1 (CH3), 16.2 (CH3). HRMS TOF (ES+) m/z calculated for C15H15O2 [M+H]+ 227.1072, found 227.1076.

3.3.7. Reaction of Compound 5 with I2 Using Toluene: MeOH (13 h)

To a solution of product 5 (232 mg, 0.935 mmol) in a mixture of toluene:MeOH 9:1 (10 mL), I2 (237 mg, 0.94 mmol) was added under an argon atmosphere at reflux. This mixture was stirred for 13 h. After finishing the reaction, 50 mL of 5% NaHSO3 was added and stirred for an additional 10 min. Later, 50 mL of MTBE was added, and the mixture was washed with water and then with brine, dried using anhydrous Na2SO4, and evaporated under vacuum. Products 11, 12, 15, and 17 were purified by silica gel impregnated with 20% AgNO3 column chromatography (H:MTBE, 95:5) to obtain 20 mg (9%) of 11, 50 mg (25%) of 12, 30 mg (14%) of 15, and 20 mg (10%) of 17.

3.3.8. Reaction of Compound 5 with I2 Using Toluene: MeOH (32 h)

To a solution of product 5 (1150 mg, 4.63 mmol) in a mixture of toluene:MeOH 9:1 (50 mL), I2 (2350 mg, 9.27 mmol) was added under an argon atmosphere. The resulting mixture was heated at reflux for 32 h. After finishing the reaction, 250 mL of 5% NaHSO3 was added and stirred for an additional 10 min. Then, 250 mL of MTBE was added, and the mixture was washed with water and then with brine, dried using anhydrous Na2SO4, and evaporated under vacuum. Products 11, 12, 13, and 18 were purified by silica gel impregnated with 20% AgNO3 column chromatography (H:MTBE, 95:5) to obtain 60 mg (6%) of 11, 80 mg (8%) of 12, 80 mg (7%) of 13, 260 mg (24%) of 18.
Compound 18. 1H NMR: (400 MHz, CDCl3): δ 8.05 (s, 1H), 7.99 (d, J = 8.7 Hz, 1H), 7.56 (d, J = 8.7 Hz, 1H), 7.21 (s, 2H), 6.45 (s, 1H), 6.02 (s, 1H), 3.86 (s, 3H), 2.67 (s, 3H, 2.66 (s, 3H). 13C NMR (100 MHz, CDCl3): δ 167.5 (C), 141.7 (C), 133.7 (C), 132.7 (C), 132.4 (C), 132.3 (C), 132.2 (C), 126.7 (CH), 126.7 (CH), 125.5 (CH), 124.4 (CH), 124.4 (CH), 122.2 (CH2), 52.2 (CH3), 19.4 (CH3), 19.3 (CH3). HRMS TOF (ES+) m/z calculated for C16H17O2 [M+H]+ 241.1229, found 241.1231.

3.3.9. Oxidation of Compound 5

To a solution of 5 (148 mg, 0.60 mmol) in benzene (14 mL), Na2CrO4 (290 mg, 1.79 mmol), NaOAc (147 mg, 1.79 mmol), Ac2O (1 mL, 0.019 mmol), and AcOH (2 mL, 0.023 mmol) were added under an argon atmosphere at 70 °C. This mixture was stirred for 8 h. After completing the reaction, 100 mL of MTBE was added, and the mixture was washed with distilled water (3 × 30 mL) and brine (3 × 30 mL). Finally, the mixture was dried over Na2SO4 and evaporated under reduced pressure. Compound 19 (70 mg, 45% yield) was obtained by column chromatography using as eluent H:MTBE (4:1).

3.3.10. Epoxidation of Compound 5

To a solution of compound 5 (925 mg, 3.72 mmol) in DCM (70 mL), m-chloroperbenzoic acid (868 mg, 5.0 mmol) was added under an argon atmosphere at room temperature. This mixture was stirred for 15 min After this period, the reaction mixture was washed with 50 mL of saturated Na2SO3 solution, and then with saturated Na2S2O5 (2 × 50 mL) and finally with a saturated NaHCO3 solution (3 × 50 mL). The organic phase was subsequently dried over anhydrous Na2SO4, and the solvents were removed under vacuum. Compounds 20 and 21 were obtained in a 4:3 ratio (732 mg, 75%).

3.3.11. Reaction of Epoxides 20 and 21 with Et2AlCl

To a solution of a mixture composed of 20 and 21 (100 mg, 0.38 mmol) in DCM (38 mL), Et2AlCl (0.75 mL, 0.75 mmol) was gradually added, dissolved in DCM (12 mL) under argon atmosphere at −70 °C. This mixture was stirred for 6 h. After this period, 2.2 mL of a solution composed of 1.5 mL of Et3N and 0.7 mL of a MeOH:H2O (4:1) mixture was added to the reaction. Then 50 mL of DCM was added, and the reaction mixture was washed three times with 60 mL of a saturated solution of NH4Cl (3 × 50 mL), and brine (3 × 50 mL). The organic phase was subsequently dried over anhydrous Na2SO4, and the solvents were removed under vacuum. Products 20, 22, and 23 were purified by column chromatography using as eluent H:Et2O (5:1) to obtain 38 mg of 20, 39 mg (39%) of 22, and 4 mg (4%) of 23.
Compound 20. 1H NMR (400 MHz, CDCl3): δ 6.16 (s, 1H), 5.55 (s, 1H), 3.74 (s, 3H), 2.53 (t, J = 12.4 Hz, 1H), 1.87–1.66 (m, 5H), 1.58–1.27 (m, 6H), 1.34 (s, 3H), 1.05 (s, 3H), 1.04–1.98 (m, 1H). 13C NMR (100 MHz, CDCl3): δ 167.5 (C), 144.5 (C), 122.8 (CH2), 68.5 (C), 64.2 (C), 51.8 (CH3), 38.7 (CH), 36.0 (CH2), 35.5 (CH2), 33.8 (C), 32.4 (CH2), 31.2 (CH2), 27.5 (CH2), 23.0 (CH3), 21.4 (CH2), 16.7 (CH2).
Compound 22. 1H NMR (400 MHz, CDCl3): δ 6.15 (s, 1H), 5.55 (s, 1H), 3.77 (s, 3H), 2.95 (p, J = 9.2 Hz, 1H), 2.59 (dd, J = 15.9, 7.3 Hz, 1H), 2.39 (t, J = 7.4 Hz, 2H), 2.42–2.33 (m, 1H), 2.24–2.11 (m, 1H), 2.13 (s, 3H), 2.06–1.95 (m, 1H), 1.99 (t, J = 7.4 Hz, 2H), 1.66 (p, J = 7.4 Hz, 2H), 1.56 (s, 3H), 1.48–1.55 (m, 1H). 13C NMR (100 MHz, CDCl3): δ 209.2 (C), 167.9 (C), 143.6 (C), 135.5 (C), 125.2 (C), 122.4 (CH2), 51.8 (CH3), 43.3 (CH2), 41.0 (CH), 36.8 (CH2), 34.3 (CH2), 31.9 (CH2), 29.9 (CH3), 29.5 (CH2), 21.8 (CH2), 18.5 (CH3). HRMS TOF (ES+) m/z calculated for C16H25O3 [M+H]+ 265.1804, found 265.1801.
Compound 23. 1H NMR (400 MHz, CDCl3): δ 6.15 (s, 1H), 5.55 (s, 1H), 3.77 (s, 3H), 2.95 (p, J = 9.2 Hz, 1H), 2.59 (dd, J = 15.9, 7.3 Hz, 1H), 2.39 (t, J = 7.4 Hz, 2H), 2.42–2.33 (m, 1H), 2.24–2.11 (m, 1H), 2.13 (s, 3H), 2.06–1.95 (m, 1H), 1.99 (t, J = 7.4 Hz, 2H), 1.66 (p, J = 7.4 Hz, 2H), 1.56 (s, 3H), 1.48–1.55 (m, 1H). 13C NMR (100 MHz, CDCl3): δ 209.2 (C), 167.94 (C), 143.6 (C), 135.5 (C), 125.2 (C), 122.4 (CH2), 51.8 (CH3), 43.3 (CH2), 41.0 (CH), 36.8 (CH2), 34.3 (CH2), 31.9 (CH2), 29.9 (CH3), 29.5 (CH2), 21.8 (CH2), 18.5 (CH3). HRMS TOF (ES+) m/z calculated for C16H25O3 [M+H]+ 265.1804, found 265.1806.

3.3.12. Reaction of Epoxides 20 and 21 with Me2AlCl

To a solution of a mixture composed of 20 and 21 (110 mg, 0.42 mmol) in DCM (40 mL), Me2AlCl (0.83 mL, 0.83 mmol) was gradually added, dissolved in DCM (10 mL) under argon atmosphere at −40 °C. This mixture was stirred for 6 h. After this period, 2.2 mL of a solution composed of 1.5 mL of Et3N and 0.7 mL of a MeOH:H2O (4:1) mixture was added to the reaction. Then 50 mL of DCM was added, and the reaction mixture was washed three times with 60 mL of a saturated solution of NH4Cl (3 × 50 mL), and brine (3 × 50 mL). The organic phase was subsequently dried over anhydrous Na2SO4, and the solvents were removed under vacuum. Products 22, 23, 24, and 25 were isolated by column chromatography using as eluent H:Et2O (5:1) to obtain 45 mg (41%) of 22, 2 mg (2%) of 23, 27 mg (24%) of 24, and 13 mg (12%) of 25.

3.3.13. Acetylation of 2

To a solution of 2 (190 mg, 0.85 mmol) in pyridine (5 mL) and DMPA (10 mg), Ac2O (1 mL, 10.6 mmol) was added under an argon atmosphere, and the resulting mixture was heated at reflux for 12 h. After completing the reaction, 20 mL of ice was added, and then 30 mL of MTBE. When the ice melted, the organic phase was washed with HCl 2N (4 × 15 mL), a saturated solution of NaHCO3 (3 × 15 mL), followed by distilled water (2 × 15 mL) and brine (3 × 15 mL). Finally, the mixture was dried over Na2SO4 and evaporated under reduced pressure. Compound 2a (123 mg, 54% yield) was obtained by column chromatography using as eluent H:MTBE (9:1).

3.3.14. Photooxygenation of Compound 2

To a solution of 2 (100 mg, 0.45 mmol) in acetonitrile (9 mL) placed in a crystallizer, Bengal Rose (61 mg, 0.06 mmol) was added. The reaction mixture was stirred and allowed to react in sunlight at room temperature. After 15 min, the solvent was evaporated. The reaction crude was dissolved in MeOH (6 mL), and NaBH4 (44 mg) was added. The reaction mixture was stirred for 1 h at room temperature. After completing the reduction, MeOH was evaporated, and 20 mL of distilled water was added. Finally, the reaction products were extracted from the aqueous phase using TBME (3 × 20 mL). Compounds 26 (22 mg, 21%) and 27 (44 mg, 42%) were obtained by column chromatography using as eluent H:AcOEt (6:1).
Compound 26 (isolated as a 1:1 mixture of diastereomers). 1H NMR (400 MHz, CDCl3): δ 5.84 (dd, J = 17.3, 10.7 Hz, 1H), 5.15 (dd, J = 17.3, 1.3 Hz, 1H), 5.12 (bt, J = 7.1 Hz, 1H), 4.99 (dd, J = 10.7, 1.3 Hz, 1H), 4.87 (bs, 1H), 4.77 (t, J = 1.6 Hz, 3H), 2.05–1.87 (m, 4H), 1.66 (s, 3H), 1.63–1.47 (m, 4H), 1.55 (s, 3H), 1.21 (s, 3H). 13C NMR (100 MHz, CDCl3): δ 147.5 (2C), 145.0 (2CH), 135.3 (2C), 124.7 (CH), 124.7 (CH), 111.7 (2CH2), 111.0 (2CH2), 75.7 (CH), 75.7 (CH), 73.5 (2C), 42.0 (2CH2), 42.0 (2CH2), 35.7 (2CH2), 33.1 (2CH2), 27.9 (CH3), 27.9 (CH3), 22.7 (2CH2), 17.6 (2CH3), 16.0 (2CH3).

3.3.15. Oxidation of Compound 26

To a solution of 26 (32 mg, 0.13 mmol) in dry DCM (1 mL), Dess-Martin periodinane (114 mg, 0.27 mmol) was added under an argon atmosphere at r t. This mixture was stirred for 1 h and 30 min. After completing the reaction, 20 mL of MTBE was added, and the mixture was washed with a saturated solution of Na2S2O3 (3 × 10 mL), water (3 × 10 mL), and brine (3 × 10 mL). Finally, the mixture was dried over Na2SO4 and evaporated under reduced pressure. Compound 28 (24 mg, 75% yield) was obtained by column chromatography using as eluent H:MTBE (4:1).
Compound 28. [α]D = −14.3 (c = 1, DCM). 1H NMR (400 MHz, CDCl3): δ 5.95 (s, 1H), 5.90 (dd, J = 17.3, 10.7 Hz, 1H), 5.76 (bs, J = 1.6, 0.8 Hz, 1H), 5.21 (dd, J = 17.4, 1.3 Hz, 1H), 5.14 (tq, J = 7.2, 1.3 Hz, 1H), 2.80–2.69 (m, 2H), 2.30–2.22 (m, 2H), 2.11–1.94 (m, 2H), 1.86 (t, J = 1.2 Hz, 3H), 1.61 (d, J = 1.3 Hz, 3H), 1.55 (dt, J = 10.4, 6.5 Hz, 2H), 1.27 (s, 3H). 13C NMR (100 MHz, CDCl3): δ 201.9 (C), 145.0 (CH), 144.5 (C), 134.4 (C), 124.8 (CH), 124.4 (CH2), 111.7 (CH2), 73.4 (C), 42.0 (CH2), 36.2 (CH2), 27.9 (CH3), 22.7 (CH2), 17.7 (CH3), 16.1. HRMS TOF (ES+) m/z calculated for C15H25O2 [M+H]+ 237.1855, found 237.1857.

3.3.16. Oxidation of Compound 3

To a solution of 3 (200 mg, 0.85 mmol) in DMF (6 mL), PDC (943 mg, 2.5 mmol) was added under an argon atmosphere at room temperature. This mixture was stirred for 53 h. After completing the reaction, 20 mL of water was added, and the reaction product was extracted using MTBE (2 × 50 mL) and EtOAc (1 × 50 mL). Finally, the organic phase was dried over Na2SO4 and evaporated under reduced pressure. Compound 29 (128 mg, 64% yield) was obtained by column chromatography using as eluent H:MTBE (7:3).

3.3.17. Reaction of Compound 29 with I2 and DMSO

To a solution of 29 (127 mg, 0.532 mmol) in hexane (5 mL), DMSO (0.19 mL), and I2 (28 mg, 0.11 mmol) were added under an argon atmosphere at 90 °C. This mixture was stirred for 1 h. After completing the reaction, 120 mL of MTBE was added, and the mixture was washed with a saturated solution of Na2S2O3 (2 × 50 mL), distilled water (3 × 50 mL), and brine (3 × 50 mL). Finally, the organic phase was dried over Na2SO4 and evaporated under reduced pressure. Compounds 30 (31 mg, 25% yield), 31 (12 mg, 10% yield), and 32 (10 mg, 9% yield) were obtained by column chromatography using as eluent H:MTBE (10:1).
Compound 30. [α]D = −14.3 (c = 1, DCM). 1H NMR (500 MHz, CDCl3): δ 5.95 (bs, 1H), 5.92 (bs, 1H), 5.93 (dd, J = 17.4, 10.7 Hz, 1H), 5.24 (dd, J = 17.4, 1.5 Hz, 1H), 5.08 (dd, J = 10.7, 1.5 Hz, 1H), 2.65–2.53 (m, 2H), 1.94 (s, 3H), 1.91 (s, 3H), 1.89–1.79 (m, 2H), 1.85 (s, 3H), 1.31 (s, 3H). 13C NMR (100 MHz, CDCl3): δ 150.9 (C), 148.8 (C), 144.6 (CH), 133.4 (C), 115.1 (C), 114.4 (CH), 112.0 (CH2), 110.6 (CH), 73.0 (C), 40.3 (CH2), 28.0 (CH3), 26.9 (CH3), 20.6 (CH2), 20.1 (CH3), 9.8 (CH3). HRMS TOF (ES+) m/z calculated for C15H23O2 [M+H]+ 235.1698, found 235.1691.
Compound 31. [α]D = −34.3 (c = 1, DCM). 1H NMR (500 MHz, CDCl3): δ 6.38 (t, J = 1.4 Hz, 1H), 6.12 (p, J = 1.3 Hz, 1H), 5.88 (dd, J = 17.3, 10.7 Hz, 1H), 5.21 (dd, J = 17.3, 1.5 Hz, 1H), 5.03 (dd, J = 10.7, 1.5 Hz), 4.40 (dd, J = 7.7, 5.9 Hz, 1H), 2.22–2.14 (m, 1H), 2.17 (d, J = 1.3 Hz, 3H), 2.09 (d, J = 1.3 Hz, 3H), 1.91–1.86 (m, 1H), 1.89 (d, J = 1.3 Hz, 3H), 1.78–1.71 (m, 2H), 1.39 (s, 3H). 13C NMR (100 MHz, CDCl3): δ 192.0 (C), 156.4 (C), 154.6 (C), 143.4 (CH), 126.4 (CH), 123.1 (CH), 111.8 (CH2), 84.0 (C), 82.4 (CH), 36.6 (CH2), 31.0 (CH2), 27.8 (CH3), 26.7 (CH3), 20.6 (CH3), 15.9 (CH3). HRMS TOF (ES+) m/z calculated for C15H23O2 [M+H]+ 235.1695, found 235.1698.
Compound 32. [α]D = +17.0 (c = 1, DCM). 1H NMR (500 MHz, CDCl3): δ 6.42 (p, J = 1.3 Hz, 1H), 6.11 (p, J = 1.3 Hz, 1H), 5.99 (dd, J = 17.3, 10.8 Hz, 1H), 5.24 (dd, J = 17.3, 1.3 Hz, 1H), 5.03 (dd, J = 10.8, 1.3 Hz), 4.44 (bt, J = 7.8 Hz, 1H), 2.24–2.13 (m, 1H), 2.17 (d, J = 1.3 Hz, 3H), 2.09 (d, J = 1.3 Hz, 3H), 1.99–1.93 (m, 1H), 1.90 (s, 3H), 1.85–1.69 (m, 2H), 1.36 (s, 3H). 13C NMR (100 MHz, CDCl3): δ 192.0 (C), 155.9 (C), 154.6 (C), 144.4 (CH), 126.4 (CH), 123.2 (CH), 111.9 (CH2), 83.6 (C), 82.6 (CH), 37.5 (CH2), 31.7 (CH2), 27.8 (CH3), 26.3 (CH3), 20.6 (CH3), 15.8 (CH3). HRMS TOF (ES+) m/z calculated for C15H23O2 [M+H]+ 235.1694, found 235.1698.

3.3.18. Acetylation of Compound 3

To a solution of 3 (500 mg, 2.08 mmol) in pyridine (3 mL), Ac2O (2.5 mL) was added under an argon atmosphere at room temperature. This mixture was stirred for 5 h. After completing the reaction, 100 mL of ice was added, and then 40 mL of MTBE. When the ice melted, the organic phase was washed with HCl 2N (4 × 20 mL), then a saturated solution of NaHCO3 (3 × 20 mL), followed by distilled water (2 × 20 mL) and brine (3 × 15 mL). Finally, the mixture was dried over Na2SO4 and evaporated under reduced pressure. Compound 3a (523 mg, 89% yield) was obtained by column chromatography using as eluent H:MTBE (2:1).

3.3.19. Epoxidation of Compound 3a

To a solution of 3a (280 mg, 1 mmol) in dichloromethane (17 mL), m-chloroperbenzoic acid (252 mg, 1.45 mmol) was added under an argon atmosphere at 0 °C. This mixture was stirred for 1 h. After completing the reaction, 50 mL of MTBE was added to the mixture, and it was washed with a saturated solution of Na2S2O3 (3 × 15 mL), then a saturated solution of NaHCO3 (3 × 15 mL), and finally brine. The mixture was dried over Na2SO4 and evaporated under reduced pressure. Compound 33 (264 mg, 94% yield) was obtained by column chromatography using as eluent H:MTBE (2:1).
Compound 33. 1H NMR (400 MHz, Acetone-d6) δ 5.96 (dd, J = 17.2, 10.8 Hz, 1H), 5.71–5.65 (m, 1H), 5.24 (dd, J = 17.3, 1.5 Hz, 1H), 5.15 (t, 1H), 5.00 (dd, J = 10.7, 1.7 Hz, 1H), 2.70 (t, 1H), 2.11 (d, 2H), 2.08–2.06 (m, 2H), 1.99 (s, 3H), 1.76 (s, 3H), 1.74 (s, 3H), 1.71 (s, 3H), 1.60–1.56 (m, 2H), 1.26 (s, 3H). 13C NMR (100 MHz, Acetone-d6) δ 169.3 (C), 145.8 (CH), 136.0 (C), 124.1 (CH), 110.7 (CH2), 71.7 (C), 68.3 (CH), 63.1 (CH), 57.8 (C), 44.5 (CH2), 38.6 (CH2), 29.0 (CH3), 24.8 (CH3), 23.4 (CH2), 20.4 (CH3), 17.5 (CH3), 16.1 (CH3).

3.4. Antifeedant Bioassay

Spodoptera littoralis Boisduval, 1833 (Lepidoptera, Noctuidae) colonies were reared on an artificial diet [50], while Myzus persicae Sulzer, 1776 (Homoptera, Aphididae), and Rhopalosiphum padi L., 1758 (Hemiptera, Aphididae) colonies were maintained on bell pepper (Capsicum annuum) and barley (Hordeum vulgare) plants, respectively. The plants were grown from seeds in pots with commercial substrate and regularly infected with aphid feeding (bell pepper plants were infected at a 4-leaf stage, and barley plants when they reached approximately a length of 10 cm). Both the insect colonies and their host plants were maintained in a growth chamber at 22 ± 1 °C, >70% relative humidity, with a 16:8 h light photoperiod.
Bioassays were conducted with 1.0 cm2 leaf disks/fragments of C. annuum (M. persicae, S. littoralis) or H. vulgare (R. padi) as described previously [51]. The tests (10 μL of the solution in EtOH) were applied at initial doses of 10 or 5 mg/mL (extract or compound) to the upper surface of the leaf fragments. Two sixth-instar larvae (>24 h after molting) of S. littoralis were placed in 6 Petri dishes (9 cm in diameter) with 2 leaf disks (treatment disk with the test solution and control disk with solvent) and allowed to feed at room temperature until 75% larval consumption of the paired control or treatment disks. The leaf disk surface consumption was measured using ImageJ (Version 1.51, 23 April 2018) (http://imagej.nih.gov/ij/, accessed on 18 March 2025) [52]. In the case of aphids, twenty (2 × 2 cm) ventilated plastic boxes containing 10 apterous aphid adults (24–48 h old) were used. The aphids were allowed to feed in a growth chamber under the described environmental conditions for 24 h. Settling was quantified by counting the number of aphids settled on each leaf fragment. All the experiments were repeated twice (SE < 10%).
The feeding or settling inhibition (%FI or %SI) was calculated using the formula [1 − (T/C) × 100], where T is the treated leaf fragment and C is the control, respectively. The effects (%SI/%FI) were analyzed by the nonparametric Wilcoxon Signed-Rank Test. Compounds with an effect ≥70% were tested in dose–response experiments (3–5 serial dilutions) to calculate their EC50 (the effective dose causing a 50% settling/feeding reduction) with linear regression models (%FI/SI on Log-dose). The positive control was thymol (Sigma Aldrich, St. Louis, MO, USA).

3.5. Nematicidal Bioassay

The Meloidogyne javanica Treub, 1885 (Tylenchida, Heteroderidae) population was maintained on tomato plants (Solanum lycopersicum var. Marmande) cultivated in pot cultures and kept in environmentally controlled growth chambers (at 25 ± 1 °C, >70% relative humidity). Egg masses of M. javanica were handpicked from the infected tomato roots two months after seedling inoculation. Second-stage juveniles (J2) were obtained by incubating egg masses in a water suspension at 25 °C for 24 h. The tests were carried out in 96-well plates (BD Falcon, San Jose, CA, USA), and the extract and compounds were dissolved in distilled water containing 5% of a DMSO-Tween solution (0.2% Tween 20 in DMSO) according to Andrés et al. [53]. The initial concentrations tested were 0.5 mg/mL. For each test, four replicates were carried out with 100 J2 wells. Water containing 5% of a DMSO-Tween solution (0.2% Tween 20 in DMSO) was used for the negative control. The mortality rates after 72 h of incubation are presented as a percentage of dead J2 corrected according to Scheider-Orelli’s formula. The result values were analyzed by ANOVA, and the means were compared by LSD at p < 0.05. Serial dilutions were used to calculate the effective lethal doses (LD50) of the active compound by Probit Analysis (STATGRAPHICS Centurion XVI, version 16.1.03). Thymol (Sigma Aldrich, St. Louis, MO, USA) was used as a positive control.

3.6. Phytotoxic Bioassay

The phytotoxic test was conducted with Lolium perenne L., 1753 (Poales, Poaceae) and Lactuca sativa L., 1753 (Asterales, Asteraceae) seeds placed in 12-well microplates (40 seeds for the test), as described in [54]. The extract or compounds dissolved in EtOH (negative control) were tested at concentrations of 0.4 or 0.2 mg/mL (final concentration in the well) and diluted serially if needed. Juglone (Sigma, St. Louis, MO, USA) was used as a positive control (0.1 mg/mL), resulting in 100% germination inhibition. Briefly, the test solution (20 μL) and 300 μL of H2O were added to a 2.5 cm diameter filter paper in each well plate. The seeds (10/5 of L. sativa/L. perenne soaked in distilled water for 8 h) were placed in every well, and the parafilm-sealed plates were incubated in a plant growth chamber (25 °C, 70% RH, 16:8 L:D). Germination was monitored for 7 days, and leaf length (for L. perenne) and root length (for both species) were measured at the end of the experiment on 25 randomly selected digitalized seedlings with the ImageJ application (http://rsb.info.nih.gov/ij/, accessed on 29 May 2025) [55]. A nonparametric Kruskal—Wallis ANOVA analysis of variance was performed using the STATGRAPHICS statistical analysis software (Centurion XVI, version 16.1.03) on root/leaf length data, and the means were compared by the Mann–Whitney U test at p < 0.05. The positive control used is juglone (Sigma, St. Louis, MO, USA), with 100% effectivity in all tests.

3.7. Ixodicidal Activity

Hyalomma lusitanicum engorged females were collected from red deer in Ciudad Real (Central Spain) and maintained under laboratory conditions [22–24°C and 80% relative humidity (RH)] until oviposition and egg hatching.
Tick bioassays were performed according to Valcarcel et al. et al. [37]. Briefly, 50 µL of the test solution was added to 25 mg of powdered cellulose at different concentrations (initial concentration of 20 µg/mg for pure compounds), and the solvent was evaporated. The ticks and cellulose were then placed in laboratory glass tubes and carefully mixed by rotating the glass several times to ensure full tick–cellulose contact. After mixing, the tubes were kept under the same conditions as above for 24 h. For each test, three replicates were carried out with 20 active larvae older than 6 weeks each. To validate the tests, three replicates of negative (cellulose, 25 mg) and positive (thymol, 20 µg/mg) controls were also used. Ticks were considered dead when they could not move from one place to another. Dead ticks were counted after 24 h of contact with the treated cellulose under the laboratory conditions described, using a binocular magnifying glass. The ixocidal activity data are presented as percent mortality corrected according to Schneider–Orelli’s formula [56]. Effective lethal doses (LC50 and LC90) were calculated by Probit analysis (1:2 serial dilutions to cover a range of activities between 100 and <50% mortality with a minimum of three doses) (STATGRAPHICS Centurion XVI, version 16.1.02).

4. Conclusions

This study confirms that Dittrichia viscosa is a valuable source of natural compounds for sustainable plant protection. Three major metabolites—ilicic acid, nerolidol, and 9-hydroxynerolidol—were isolated and transformed into 29 derivatives using methods such as aromatization, epoxidation, and cyclization. Their biological evaluation revealed selective and target-specific bioactivity: Compound 11, a lactone derivative of ilicic acid, showed broad-spectrum activity against pests like Rhopalosiphum padi and Meloidogyne javanica, as well as ryegrass and ticks. However, it was ineffective against Spodoptera littoralis and Myzus persicae. This cross-target effectiveness makes it particularly promising as a versatile biopesticide lead. Compound 29 (9-oxonerolidol), derived in a single step from 9-hydroxynerolidol, displayed potent acaricidal activity against H. lusitanicum, achieving an LD50 six times more effective than the benchmark compound nootkatone. Several compounds (e.g., 3, 4, 11, 17, and 2021) exhibited strong herbicidal activity on ryegrass without compromising lettuce growth, with some even stimulating root development, highlighting their selectivity and application potential. Remarkably, both compounds 11 and 29 can be synthesized via single-step transformations from natural precursors, making them cost-effective and scalable candidates for further development. These findings highlight the potential of these compounds as cost-effective biocontrol agents for integrated pest management.

Supplementary Materials

The following supporting information can be downloaded at: https://www.mdpi.com/article/10.3390/molecules30193950/s1. Table S1: Phytotoxicity (%) of the compounds tested ilicic acid (1), (nerolidol (2), and derivatives 3, 3a, 2629, 33, 4, 5, 11, 17, and 2021 against Lolium perenne and Lactuca sativa. Data is expressed as average ± standard error (n = 5 for germination and 25 for leaf and root growth measurements). Figures S1–S53: NMR spectra.

Author Contributions

Conceptualization, A.F.B., J.F.Q.d.M. and A.G.-C.; methodology A.F.B., J.F.Q.d.M., A.G.-C., M.F.A. and F.V.; validation, M.J.S.-N., D.O.M.I., M.F.A. and F.V.; investigation, A.F.B., J.F.Q.d.M., A.G.-C., M.F.A., F.V., M.J.S.-N. and D.O.M.I.; data curation, J.F.Q.d.M., A.G.-C., M.F.A., F.V. and M.J.S.-N.; writing—original draft preparation, M.J.S.-N.; writing—review and editing, J.F.Q.d.M. and A.G.-C.; supervision, J.F.Q.d.M. and A.G.-C.; project administration, J.F.Q.d.M., M.F.A., F.V. and A.G.-C.; funding acquisition, A.G.-C. and J.F.Q.d.M. All authors have read and agreed to the published version of the manuscript.

Funding

This research was funded by Grants PID2024-156361OB-C22 (State Research Agency, 10.13039/501100011033) and Unidad Asociada UGR-CSIC BIOPLAG.

Institutional Review Board Statement

Not applicable.

Informed Consent Statement

Not applicable.

Data Availability Statement

The original contributions presented in this study are included in the article/Supplementary Materials. Further inquiries can be directed to the corresponding authors.

Conflicts of Interest

The authors declare no conflicts of interest.

References

  1. Parolin, P.; Scotta, M.I.; Bresch, C. Biology of Dittrichia viscosa, a Mediterranean ruderal plant: A review. Phyton-Int. J. Exp. Bot. 2014, 83, 251–262. [Google Scholar] [CrossRef]
  2. Sladonja, B.; Poljuha, D.; Krapac, M.; Uzelac, M.; Mikulic-Petkovsek, M. Dittrichia viscosa: Native-non native invader. Diversity 2021, 13, 380. [Google Scholar] [CrossRef]
  3. Araniti, F.; Lupini, A.; Sunseri, F.; Abenavoli, M.R. Allelopatic Potential of Dittrichia viscosa (L.) W. Greuter Mediated by VOCs: A Physiological and Metabolomic Approach. PLoS ONE 2017, 12, e0170161. [Google Scholar] [CrossRef] [PubMed]
  4. Boccaccio, L.; Petacchi, R. Landscape effects on the complex of Bactrocera oleae parasitoids and implications for conservation biological control. Biocontrol 2009, 54, 607–616. [Google Scholar] [CrossRef]
  5. Barbafieri, M.; Dadea, C.; Tassi, E.; Bretzel, F.; Fanfani, L. Uptake of heavy metals by native species growing in a mining area in Sardenia, Italy: Discovering native flora for phytoremediation. Int. J. Phytoremediat. 2011, 13, 985–997. [Google Scholar] [CrossRef] [PubMed]
  6. Perez, C.; Martínez-Sánchez, M.; Martínez-López, S.; Bech, J.; Bolan, N. Distribution and bioaccumulation of arsenic and antimony in Dittrichia viscosa growing in mining-affected semiarid soils in southeast Spain. J. Geochem. Explor. 2012, 123, 128–135. [Google Scholar] [CrossRef]
  7. Grauso, L.; Cesarano, G.; Zotti, M.; Ranesi, M.; Sun, W.; Bonanomi, G.; Lanzotti, V. Exploring Dittrichia viscosa (L.) Greuter phytochemical diversity to explain its antimicrobial, nematicidal and insecticidal activity. Phytochem. Rev. 2020, 19, 659–689. [Google Scholar] [CrossRef]
  8. Ali-Shtayeh, M.S.; Yaghmour, R.M.; Faidi, Y.R.; Salem, K.; Al-Nuri, M.A. Antimicrobial activity of 20 plants used in folkloric medicine in the Palestinian area. J. Ethnopharmacol. 1998, 60, 265–271. [Google Scholar] [CrossRef]
  9. Jerada, R.; Er-Rakibi, A.; Hassani, A.C.; Benzeid, H.; El Ouardi, A.; Harhar, H.; Goh, B.J.; Yow, Y.Y.; Ser, H.L.; Bouyahya, A.; et al. A comprehensive review on ethnomedicinal uses, phytochemistry, toxicology, and pharmacological activities of Dittrichia viscosa (L.) Greuter. J. Tradit. Complement. Med. 2024, 14, 355–380. [Google Scholar] [CrossRef]
  10. Mamoci, E.; Cavoski, I.; Andrés, M.F.; González-Coloma, A. Chemical characterization of the aphid antifeedant extracts from Dittrichia viscosa and Ferula communis. Biochem. Syst. Ecol. 2012, 43, 101–107. [Google Scholar] [CrossRef]
  11. Perdikis, D.; Favas, C.; Lykouressis, D.; Fantinou, A. Ecological relationships between non-cultivated plants and insect predators in agroecosystems: The case of Dittrichia viscosa (Asteraceae) and Macrolophus melanotoma (Hemiptera: Miridae). Acta Ecol. 2007, 31, 299–306. [Google Scholar] [CrossRef]
  12. García, M.; Sosa, M.E.; Donadel, O.J.; Giordano, O.S.; Tonn, C.E. Allelochemical effects of eudesmane and eremophilane sesquiterpenes on Tribolium castaneum larvae. J. Chem. Ecol. 2003, 29, 175–187. [Google Scholar] [CrossRef]
  13. González-Coloma, A.; Guadaño, A.; Tonn, C.E.; Sosa, M.E. Antifeedant/insecticidal terpenes from Asteraceae and Labiatae species native to Argentinean semi-arid lands. Z. Naturforschung C J. Biosci. 2005, 60, 855–861. [Google Scholar] [CrossRef]
  14. Ghoneim, K.; Hamadah, K.; Selim, S.; Waheeb, H. Biopesticidal potential of Nerolidol, a sesquiterpene compound, and its drastic impact on growth and metamorphosis of the cotton leafworm Spodoptera littoralis (Lepidoptera: Noctuidae). Sch. Acad. J. Biosci. 2021, 9, 36–57. [Google Scholar] [CrossRef]
  15. El-Habashy, D.E.; Abdel Rasoul, M.A.; Abdelgaleil, S.A. Nematicidal activity of phytochemicals and their potential use for the control of Meloidogyne javanica infected eggplant in the greenhouse. Eur. J. Plant Pathol. 2020, 158, 381–390. [Google Scholar] [CrossRef]
  16. Domingo, V.; Prieto, C.; Silva, L.; Rodilla, J.M.; Quilez del Moral, J.F.; Barrero, A.F. Iodine, a mild reagent for the aromatization of terpenoids. J. Nat. Prod. 2016, 79, 831–837. [Google Scholar] [CrossRef] [PubMed]
  17. Domingo, V.; Prieto, C.; Castillo, A.; Silva, L.; Quilez del Moral, J.F.; Barrero, A.F. Iodine-Promoted Metal-Free Aromatization: Synthesis of Biaryls, Oligo p-Phenylenes and A-Ring Modified Steroids. Adv. Synth. Catal. 2016, 357, 3359–3364. [Google Scholar] [CrossRef]
  18. Kuo, Y.H.; Chen, C.H. Diversifolol, a novel rearranged eudesmane sesquiterpene from the leaves of Tithonia diversifolia. Chem. Pharm. Bull. 1997, 45, 1223–1224. [Google Scholar] [CrossRef]
  19. Tan, R.X.; Wang, W.Z.; Yang, L.; Wei, J.H. A new eudesmenoic acid from Artemisia phaeolepis. J. Nat. Prod. 1995, 58, 288–290. [Google Scholar] [CrossRef]
  20. Sanz, J.F.; Castellano, G.; Marco, J.A. Sesquiterpene lactones from Artemisia herba-alba. Phytochemistry 1990, 29, 541–545. [Google Scholar] [CrossRef]
  21. Barrero, A.F.; Herrador, M.M.; Arteaga, P.; Catalán, J.V. Ilicic Acid as a Natural Quiron for the Efficient Preparation of Bioactive α- and β-Eudesmol. Eur. J. Org. Chem. 2009, 2009, 3589–3594. [Google Scholar] [CrossRef]
  22. He, Q.; Hu, D.B.; Zhang, L.; Xia, M.Y.; Yan, H.; Li, X.N.; Luo, J.F.; Wang, Y.S.; Yang, J.H.; Wang, Y.H. Neuroprotective compounds from the resinous heartwood of Aquilaria sinensis. Phytochemistry 2021, 181, 112554. [Google Scholar] [CrossRef] [PubMed]
  23. Salihila, J.; Silva, L.; Perez del Pulgar, H.; Quílez Molina, A.; Gonzalez-Coloma, A.; Olmeda, S.; Quílez del Moral, J.F.; Barrero, A.F. One-Step Synthesis of Furan Rings from α-Isopropylidene Ketones Mediated by Iodine/DMSO: An Approach to Potent Bioactive Terpenes. J. Org. Chem. 2019, 84, 6886–6894. [Google Scholar] [CrossRef] [PubMed]
  24. Donadel, O.J.; Guerreiro, E.; María, A.O.; Wendel, G.; Enriz, R.D.; Giordano, O.S.; Tonn, C.E. Gastric cytoprotective activity of ilicic aldehyde: Structure–activity relationships. Bioorganic Med. Chem. Lett. 2005, 15, 3547–3550. [Google Scholar] [CrossRef] [PubMed]
  25. Zdero, C.; Bohlmann, F. Cis-eudesman-12,6-olides from Calostephane divaricata. Phytochem. 1989, 28, 1433–1439. [Google Scholar] [CrossRef]
  26. Hegazy, M.-E.F.; El-Beih, A.A.; Hamed, A.R.; El Aty, A.A.A.; Mohamed, N.S.; Paré, P.W. 3-Oxo-g-costic acid fungal-transformation generates eudesmane sesquiterpenes with in vitro tumor-inhibitory activity. Bioorganic Med. Chem. Lett. 2017, 27, 3825–3828. [Google Scholar] [CrossRef]
  27. Al-Dabbas, M.M.; Hashinaga, F.; Abdelgaleil, S.A.M.; Suganuma, T.; Akiyama, K.; Hayashi, H. Antibacterial activity of an eudesmane sesquiterpene isolated from common Varthemia, Varthemia iphionoides. J. Ethnopharmacol. 2005, 97, 237–240. [Google Scholar] [CrossRef]
  28. Quilez del Moral, J.F.; Domingo, V.; Pérez, Á.; Martinez Andrade, K.A.; Enríquez, L.; Jaraiz, M.; Barrero, A.F. Mimicking halimane synthases: Monitoring a cascade of cyclizations and rearrangements from epoxypolyprenes. J. Org. Chem. 2019, 84, 13764–13779. [Google Scholar] [CrossRef]
  29. Zaki, M.; Tebbaa, M.; Hiebel, M.A.; Benharref, A.; Akssira, M.; Berteina-Raboin, S. Acid-promoted opening of 4, 5-and 3, 4-epoxy eudesmane scaffolds from α-isocostic acid. Tetrahedron 2015, 71, 2035–2042. [Google Scholar] [CrossRef]
  30. Han, Z.-Z.; Zu, X.-P.; Wang, J.-X.; Li, H.-L.; Chen, B.-Y.; Liu, Q.-X.; Hu, X.-Q.; Yan, Z.-H.; Zhang, W.-D. Neomerane-type sesquiterpenoids from Valeriana officinalis var. latifolia. Tetrahedron 2014, 70, 962–966. [Google Scholar] [CrossRef]
  31. Zdero, C.; Bohlmann, F.; King, R.M. Eudesmane derivatives other constituents from Apalochlamys spectabilis Cassinia species. Phytochemistry 1990, 29, 3201–3206. [Google Scholar] [CrossRef]
  32. Ceccherelli, P.; Curini, M.; Marcotullio, M.C.; Rosati, O. Biogenetic-type transformation of 3-keto-4, 5-epoxy-eudesmanes: Synthesis of cyperanes, eremophilanes and spirovetivanes. Tetrahedron 1989, 45, 3809–3818. [Google Scholar] [CrossRef]
  33. Bohlmann, F.; Zdero, C.; King, R.M.; Robinson, H. Neue Sesquiterpenlactone und andere Inhaltsstoffe aus Stevia mercedensis und Stevia achalensis. Liebigs Ann. Chem. 1986, 1986, 799–813. [Google Scholar] [CrossRef]
  34. Li, W.; Zhang, W.; Liu, Z.; Song, H.; Wang, S.; Zhang, Y.; Zhan, C.; Liu, D.; Tian, Y.; Tang, M.; et al. Review of Recent Advances in Microbial Production and Applications of Nerolidol. J. Agric. Food Chem. 2025, 73, 5724–5747. [Google Scholar] [CrossRef] [PubMed]
  35. Barrero, A.F.; Herrador, M.M.; González Portero, A.; Arteaga Buron, P.; Arteaga, J.F.; Burillo Alquézar, J.; Díaz, C.E.; González-Coloma, A. Terpenes and polyacetylenes from cultivated Artemisia granatensis boiss (Royal chamomile) and their defensive properties. Phytochemistry 2013, 94, 192–197. [Google Scholar] [CrossRef]
  36. Zhou, M.-X.; Li, G.-H.; Sunc, B.; Xu, Y.-W.; Li, A.-L.; Li, Y.-R.; Ren, D.-M.; Wang, X.-N.; Wen, X.-S.; Lou, H.-X.; et al. Identification of novel Nrf2 activators from Cinnamomum chartophyllum H.W. Li and their potential application of preventing oxidative insults in human lung epithelial cells. Redox Biol. 2018, 14, 154–163. [Google Scholar] [CrossRef] [PubMed]
  37. Valcárcel, F.; Olmeda, A.S.; González, M.G.; Andrés, M.F.; Navarro-Rocha, J.; González-Coloma, A. Acaricidal and Insect Antifeedant Effects of Essential Oils From Selected Aromatic Plants and Their Main Components. Front. Agron. 2021, 3, 662802. [Google Scholar] [CrossRef]
  38. González López, L.A.; Andres, M.F.; Quiñones, W.; Echeverri, F.; Gonzalez-Coloma, A. Potential of 2-Hydroxyacetophenone Derivatives and Simple Phenol’s for the control of Meloidogyne javanica. Nat. Prod. Commun. 2024, 19, 1934578X241227689. [Google Scholar] [CrossRef]
  39. Benelli, G.; Pavela, R.; Drenaggi, E.; Desneux, N.; Maggi, F. Phytol, (E)-nerolidol and spathulenol from Stevia rebaudiana leaf essential oil as effective and eco-friendly botanical insecticides against Metopolophium dirhodum. Ind. Crop. Prod. 2020, 155, 112844. [Google Scholar] [CrossRef]
  40. de Melo, J.P.R.; da Câmara, C.A.G.; de Moraes, M.M. Bioactivity of formulas containing essential oils from the family Myrtaceae for the management of deltamethrin-resistant Plutella xylostella (L.) (Lepidoptera: Plutellidae). Phytoparasitica 2023, 51, 305–321. [Google Scholar] [CrossRef]
  41. Dai, H.; Liu, B.; Yang, L.; Yao, Y.; Liu, M.; Xiao, W.; Li, S.; Ji, R.; Sun, Y. Investigating the Regulatory Mechanism of the Sesquiterpenol Nerolidol from a Plant on Juvenile Hormone-Related Genes in the Insect Spodoptera exigua. Int. J. Mol. Sci. 2023, 24, 13330. [Google Scholar] [CrossRef]
  42. Diksha, S.S.; Mahajan, E.; Sohal, S.K. Immunomodulatory, cyto-genotoxic, and growth regulatory effects of nerolidol on melon fruit fly, Zeugodacus cucurbitae (Coquillett) (Diptera: Tephritidae). Toxicon 2023, 233, 107248. [Google Scholar] [CrossRef] [PubMed]
  43. Haris, A.; Azeem, M.; Binyameen, M. Mosquito Repellent Potential of Carpesium abrotanoides Essential Oil and Its Main Components Against a Dengue Vector, Aedes aegypti (Diptera: Culicidae). J. Med. Entomol. 2022, 59, 801–809. [Google Scholar] [CrossRef] [PubMed]
  44. Wróblewska-Kurdyk, A.; Dancewicz, K.; Gliszczyńska, A.; Gabryś, B. New insight into the behaviour modifying activity of two natural sesquiterpenoids farnesol and nerolidol towards Myzus persicae (Sulzer) (Homoptera: Aphididae). Bull. Entomol. Res. 2020, 110, 249–258. [Google Scholar] [CrossRef] [PubMed]
  45. da Silva, M.M.C.; da Camara, C.A.G.; de Moraes, M.M.; de Melo, J.P.R.; dos Santos, R.B.; Neves, R.C.S. Insecticidal and acaricidal activity of essential oils rich in (E)-nerolidol from Melaleuca leucadendra occurring in the state of Pernambuco (Brazil) and effects on two important agricultural pests. J. Braz. Chem. Soc. 2020, 31, 813–820. [Google Scholar] [CrossRef]
  46. de Assis Lage, T.C.; Montanari, R.M.; Fernandes, S.A.; de Oliveira Monteiro, C.M.; de Oliveira Souza Senra, T.; Zeringota, V.; da Silva Matos, R.; Daemon, E. Chemical composition and acaricidal activity of the essential oil of Baccharis dracunculifolia De Candole (1836) and its constituents nerolidol and limonene on larvae and engorged females of Rhipicephalus microplus (Acari: Ixodidae). Exp. Parasitol. 2015, 148, 24–29. [Google Scholar] [CrossRef]
  47. Landi, M.; Misra, B.B.; Muto, A.; Bruno, L.; Araniti, F. Phytotoxicity, Morphological, and Metabolic Effects of the Sesquiterpenoid Nerolidol on Arabidopsis thaliana Seedling Roots. Plants 2020, 9, 1347. [Google Scholar] [CrossRef]
  48. Sosa, M.E.; Tonn, C.E.; Giordano, O.S. Insect antifeedant activity of clerodane diterpenoids. J. Nat. Prod. 1994, 57, 1262–1265. [Google Scholar] [CrossRef]
  49. Abu Irmaileh, B.E.; Al-Aboudi, A.M.F.; Abu Zarga, M.H.; Awwadi, F.; Haddad, S.F. Selective phytotoxic activity of 2,3,11β,13-tetrahydroaromaticin and ilicic acid isolated from Inula graveolens. Nat. Prod. Res. 2014, 29, 893–898. [Google Scholar] [CrossRef]
  50. Truzi, C.C.; Vieira, N.F.; De Souza, J.M.; De Bortoli, S.A. Artificial diets with different protein levels for rearing Spodoptera frugiperda (Lepidoptera: Noctuidae). J. Insect Sci. 2021, 21, 2. [Google Scholar] [CrossRef]
  51. González-Coloma, A.; Andres, M.F.; Contreras, R.; Zúñiga, G.E.; Díaz, C.E. Sustainable production of insecticidal com-poundsfrom Persea indica. Plants 2022, 11, 418. [Google Scholar] [CrossRef]
  52. Morales-Sánchez, V.; Díaz, C.E.; Trujillo, E.; Olmeda, S.A.; Valcárcel, F.; Muñoz, R.; Andrés, M.F.; González-Coloma, A. Bioactive metabolites from the endophytic fungus Aspergillus sp. SPH2. J. Fungi 2021, 7, 109. [Google Scholar] [CrossRef]
  53. Andrés, M.F.; González-Coloma, A.; Sanz, J.; Burillo, J.; Sainz, P. Nematicidal activity of essential oils: A review. Phytochem. Rev. 2012, 11, 371–390. [Google Scholar] [CrossRef]
  54. Julio, L.F.; Burillo, J.; Giménez, C.; Cabrera, R.; Díaz, C.E.; Sanz, J.; González-Coloma, A. Chemical and biocidal characterization of two cultivated Artemisia absinthium populations with different domestication levels. Ind. Crops Prod. 2015, 76, 787–792. [Google Scholar] [CrossRef]
  55. Rueden, C.T.; Schindelin, J.; Hiner, M.C.; DeZonia, B.E.; Walter, A.E.; Arena, E.T.; Eliceiri, K.W. ImageJ2: ImageJ for the next generation of scientific image data. BMC Bioinform. 2017, 18, 529. [Google Scholar] [CrossRef]
  56. Püntener, W. Manual for Field Trials in Plant Protection, 2nd ed.; Agricultural Division, Ciba-Geigy: Basel, Switzerland, 1981. [Google Scholar]
Scheme 1. Obtention of ilicic acid, nerolidol, and 9-hydroxynerolidol from D. viscosa extract.
Scheme 1. Obtention of ilicic acid, nerolidol, and 9-hydroxynerolidol from D. viscosa extract.
Molecules 30 03950 sch001
Scheme 2. Proposed mechanism for the generation of aldehyde 10.
Scheme 2. Proposed mechanism for the generation of aldehyde 10.
Molecules 30 03950 sch002
Figure 1. Key HMBC correlations for compound 12.
Figure 1. Key HMBC correlations for compound 12.
Molecules 30 03950 g001
Scheme 3. Proposed mechanism for the generation of compound 12.
Scheme 3. Proposed mechanism for the generation of compound 12.
Molecules 30 03950 sch003
Figure 2. Key HMBC correlations for compound 17.
Figure 2. Key HMBC correlations for compound 17.
Molecules 30 03950 g002
Scheme 4. Synthesis of enone 19.
Scheme 4. Synthesis of enone 19.
Molecules 30 03950 sch004
Figure 3. Selected 1D NOE correlation for compound 20.
Figure 3. Selected 1D NOE correlation for compound 20.
Molecules 30 03950 g003
Scheme 5. Proposed mechanism for the formation of compound 22.
Scheme 5. Proposed mechanism for the formation of compound 22.
Molecules 30 03950 sch005
Figure 4. (a) Key 1D TOCSY and HMBC correlations for compound 23. (b) Selected 1D NOE correlations for compound 23.
Figure 4. (a) Key 1D TOCSY and HMBC correlations for compound 23. (b) Selected 1D NOE correlations for compound 23.
Molecules 30 03950 g004
Scheme 6. Proposed mechanism for the formation of compound 23.
Scheme 6. Proposed mechanism for the formation of compound 23.
Molecules 30 03950 sch006
Scheme 7. Proposed mechanism for the formation of compounds 24 and 25.
Scheme 7. Proposed mechanism for the formation of compounds 24 and 25.
Molecules 30 03950 sch007
Scheme 8. Generation of molecular diversity from nerolidol (2).
Scheme 8. Generation of molecular diversity from nerolidol (2).
Molecules 30 03950 sch008
Scheme 9. Generation of molecular diversity from 9-hydroxynerolidol (3).
Scheme 9. Generation of molecular diversity from 9-hydroxynerolidol (3).
Molecules 30 03950 sch009
Scheme 10. Proposed mechanism for the formation of compound 30.
Scheme 10. Proposed mechanism for the formation of compound 30.
Molecules 30 03950 sch010
Figure 5. Selected 1D NOE correlations for compounds 31 and 32.
Figure 5. Selected 1D NOE correlations for compounds 31 and 32.
Molecules 30 03950 g005
Scheme 11. Proposed mechanism for the formation of compounds 31 and 32.
Scheme 11. Proposed mechanism for the formation of compounds 31 and 32.
Molecules 30 03950 sch011
Figure 6. Phytotoxicity (% relative to the control) of the compounds tested (nerolidol (2), ilicic acid and derivatives 3, 3a, 2629, 33, 4, 5, 11, 17, and 2021) against Lactuca sativa. The dose tested was 0.1 mg/mL, and lower (0.05) for the active compounds (until the effects are < 50%).
Figure 6. Phytotoxicity (% relative to the control) of the compounds tested (nerolidol (2), ilicic acid and derivatives 3, 3a, 2629, 33, 4, 5, 11, 17, and 2021) against Lactuca sativa. The dose tested was 0.1 mg/mL, and lower (0.05) for the active compounds (until the effects are < 50%).
Molecules 30 03950 g006
Figure 7. Phytotoxicity (% relative to the control) of the compounds tested (nerolidol (2), ilicic acid and derivatives 3, 3a, 2629, 33, 4, 5, 11, 17, and 2021) against Lolium perenne. The doses tested were 0.1, 0.05, and 0.025 mg/mL for the active compounds.
Figure 7. Phytotoxicity (% relative to the control) of the compounds tested (nerolidol (2), ilicic acid and derivatives 3, 3a, 2629, 33, 4, 5, 11, 17, and 2021) against Lolium perenne. The doses tested were 0.1, 0.05, and 0.025 mg/mL for the active compounds.
Molecules 30 03950 g007
Table 1. Generation of molecular diversity from ester 4.
Table 1. Generation of molecular diversity from ester 4.
Molecules 30 03950 i001
EntryI2 (Equiv)SolventTime (h)Compound (Yield)
entry 11benzene55 (85%)
entry 21toluene105 (48%), 6 (9%), 7 (18%)
entry 30.25toluene:DMSO (8:1)185 (37%), 6 (15%), 7 (8%), 8 (4%), 9 (4%), 10 (6%)
entry 42toluene:MeOH (9:1)6.55 (45%), 11 (6%), 12 (19%), 13 (9%)
entry 52toluene:MeOH (9:1)165 (40%), 11 (9%), 12 (19%), 13 (17%).
entry 62toluene:MeOH (9:1)385 (24%), 11 (10%), 14 (22%), 15(10%), 16 (7%), 17 (12%)
Table 2. Generation of molecular diversity from ester 5.
Table 2. Generation of molecular diversity from ester 5.
Molecules 30 03950 i002
EntryI2 (Equiv)SolventTime (h)Compound (Yield)
entry 12toluene:MeOH (9:1)1311 (9%), 12 (25%), 15 (14%), 17 (10%)
entry 22toluene:MeOH (9:1)3211 (6%), 12 (8%), 13 (7%), 18 (24%)
Table 3. Generation of molecular diversity from the epoxides 20 and 21.
Table 3. Generation of molecular diversity from the epoxides 20 and 21.
Molecules 30 03950 i003
EntryReactantTemperatureTime (h)Compound (Yield)
entry 1Et2AlCl (2 equiv)−60 °C620 (38%), 22 (39%), 23 (4%)
entry 2Me2AlCl (3 equiv)−40 °C620 (2%), 22 (41%), 23 (2%), 24 (24%), 25 (12%)
Table 4. Insect antifeedant effects of nerolidol (2), ilicic acid (1), and derivatives 3, 3a, 2629, 33, 4, 5, 11, 17, and 2021 against Spodoptera littoralis, Myzus persicae, and Rhopalosiohum padi (data are expressed as average ± standard error).
Table 4. Insect antifeedant effects of nerolidol (2), ilicic acid (1), and derivatives 3, 3a, 2629, 33, 4, 5, 11, 17, and 2021 against Spodoptera littoralis, Myzus persicae, and Rhopalosiohum padi (data are expressed as average ± standard error).
Compoundμg/cm2S. littoralisM. persicaeR. padi
%FI b (n = 6–10)%SI b (n = 20)
Nerolidol (2)5025.91 ± 16.4460.94 ± 10.32 *54.02 ± 8.34 *
EC50 a>50≅50≥50
35031.10 ± 9.7029.21 ± 8.5569.30 ± 6.20 *
EC50>50>5025–50
3a5048.70 ± 15.0256.80 ± 7.38 *88.32 ± 4.12 *
EC50>50≥508.34 (6.3–11.1)
265024.63 ± 14.5283.55 ± 5.97 *67.08 ± 6.85 *
EC50>5018.91 (12.71–28.12)≅50
275029.14 ± 15.85100 *80.16 ± 5.36 *
EC50>509.97 (5.85–16.98)19.97 (15.66–25.47)
285028.78 ± 15.3570.87 ± 5.22 *78.49 ± 5.29 *
EC50>5015.11 (8.05–28.37)11.95 (6.23–22.92)
295050.19 ± 8.67 *66.10 ± 7.36 *76.37 ± 7.76 *
EC50≥50≅5021.3 (16.2–25.3)
335034.43 ± 14.6623.70 ± 7.1444.24 ± 6.88
EC50>50>50>50
Ilicic acid (1)5051.77 ± 9.50 *39.05 ± 8.1627.34 ± 7.83
EC50≥50>50>50
45040.45 ± 12.9651.01 ± 7.56 *96.05 ± 2.15 *
EC50>50≥5015.90 (13.04–19.26)
550nt61.62 ± 8.35 *92.32 ± 4.03 *
EC50 ≅5022.6 (20.3–25.1)
115076.09 ± 11.94 *54.34 ± 8.69 *89.72 ± 5.07 *
EC5025.28 (17.96–35.57)≥5011.11 (8.81–14.01)
1750nt28.90 ± 8.2734.18 ± 8.04
EC50 >50>50
20215041.70 ± 8.9157.65 ± 8.49 *56.53 ± 8.03 *
EC50>50≥50≥50
Thymol c5052.4 ± 10.1 *81.8 ± 7.7 *92.1 ± 2.6 *
EC50≥507.6 (4.1–8.7)18.6 (4.1–23.3.5)
a EC50: Effective dose to give 50% effect. b %FI/SI = [1 − (consumption/settling on treated disk/consumption/settling on control disk)] × 100. c From Valcarcel et al. [37]. * Values with asterisk indicate significant differences between treatment and control according to Wilcoxon paired rank test (p < 0.05).
Table 5. In vitro nematicidal effects of compounds nerolidol (2), ilicic acid (1), and derivatives 3, 3a, 2629, 33, 4, 5, 11, and 2021 against Meloidogyne javanica.
Table 5. In vitro nematicidal effects of compounds nerolidol (2), ilicic acid (1), and derivatives 3, 3a, 2629, 33, 4, 5, 11, and 2021 against Meloidogyne javanica.
CompoundMortality (%)Lethal Dose (ug/uL) a
(1 ug/uL)LD50LD90
Nerolidol (2)10.97 ± 2.01
33.63 ± 0.73
3a0.13 ± 0.71
2617.41± 3.50
2714.47 ± 2.87
28100 ± 0MLC b = 0.5
292.89 ± 0.97
3310.97 ± 1.35
Ilicic acid (1)19.74 ±1.80
461.11 ± 5.60
51.49 ± 1.21
1193.24 ± 3.150.31 (0.29–0.33)0.59 (0.55–0.65)
20215.98 ± 2.57
Thymol c100 ± 00.14 (0.13–0.14)0.22 (0.2 1–0.25)
a Lethal dose to give 50 and 90% mortality (LD50,→LD90); b Minimum lethal concentration (MLC); c From González-López et al. [38].
Table 6. Acaricidal activity of the compounds nerolidol (2), ilicic acid (1), and derivatives 3, 3a, 29, 33, 4, 5, 11, and 17 against Hyalomma lusitanicum larvae.
Table 6. Acaricidal activity of the compounds nerolidol (2), ilicic acid (1), and derivatives 3, 3a, 29, 33, 4, 5, 11, and 17 against Hyalomma lusitanicum larvae.
Compound% Mortality a
(20 μg/μL)
Effective Concentration (μg/mg) b
LD50LD90
Nerolidol (2)10. 97 ± 2.01>20>20
3100 ± 02.30 (2.07–2.58)3.44 (3.05–4.14)
3a100 ± 02.58 (2.29–2.92)5.25 (4.62–6.21)
29100 ±00.62 (0.55–0.70)1.09 (0.97–1.26)
33100 ± 0NcMLD c = 5
Ilicic acid (1) 8 47 ± 4.61>20>20
425.8 ± 1.43>20>20
598.4 ± 0.61.71 (1.52–1.87)2.78 (2.54–3.15)
11100 ± 02.61 (2.39–2.88)3.69 (3.35–4.18)
1790.3 ± 3.82.36 (1.29–3.18)8.26 (6.96–10.49)
Thymol d100 ± 02.94 (2.08–3.54)6.16 (5.30–7.84)
a Mortality data corrected according to Schenider Orelli’s formula. b Doses needed to give 50 and 90% mortality (95% Confidence Limits). c Minimum Lethal Dose to give 100% mortality. d From Valcarcel et al. [37]. Nc not calculated.
Disclaimer/Publisher’s Note: The statements, opinions and data contained in all publications are solely those of the individual author(s) and contributor(s) and not of MDPI and/or the editor(s). MDPI and/or the editor(s) disclaim responsibility for any injury to people or property resulting from any ideas, methods, instructions or products referred to in the content.

Share and Cite

MDPI and ACS Style

Segura-Navarro, M.J.; Quílez del Moral, J.F.; Andrés, M.F.; Valcárcel, F.; González-Coloma, A.; Molina Inzunza, D.O.; Barrero, A.F. Major Components of Dittrichia viscosa (Asteraceae) as a Source of New Pesticides. Molecules 2025, 30, 3950. https://doi.org/10.3390/molecules30193950

AMA Style

Segura-Navarro MJ, Quílez del Moral JF, Andrés MF, Valcárcel F, González-Coloma A, Molina Inzunza DO, Barrero AF. Major Components of Dittrichia viscosa (Asteraceae) as a Source of New Pesticides. Molecules. 2025; 30(19):3950. https://doi.org/10.3390/molecules30193950

Chicago/Turabian Style

Segura-Navarro, María José, José Francisco Quílez del Moral, María Fe Andrés, Félix Valcárcel, Azucena González-Coloma, Diego O. Molina Inzunza, and Alejandro F. Barrero. 2025. "Major Components of Dittrichia viscosa (Asteraceae) as a Source of New Pesticides" Molecules 30, no. 19: 3950. https://doi.org/10.3390/molecules30193950

APA Style

Segura-Navarro, M. J., Quílez del Moral, J. F., Andrés, M. F., Valcárcel, F., González-Coloma, A., Molina Inzunza, D. O., & Barrero, A. F. (2025). Major Components of Dittrichia viscosa (Asteraceae) as a Source of New Pesticides. Molecules, 30(19), 3950. https://doi.org/10.3390/molecules30193950

Article Metrics

Back to TopTop