HOF•CH3CN—The Most Potent Oxygen Transfer Agent for a Large Variety of Organic Molecules
Abstract
1. Discovery and Properties of HOF and HOF•CH3CN
2. Attaching the Oxygen Atom of HOF•CH3CN to Carbon
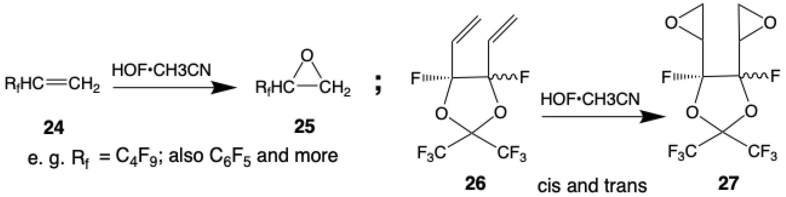
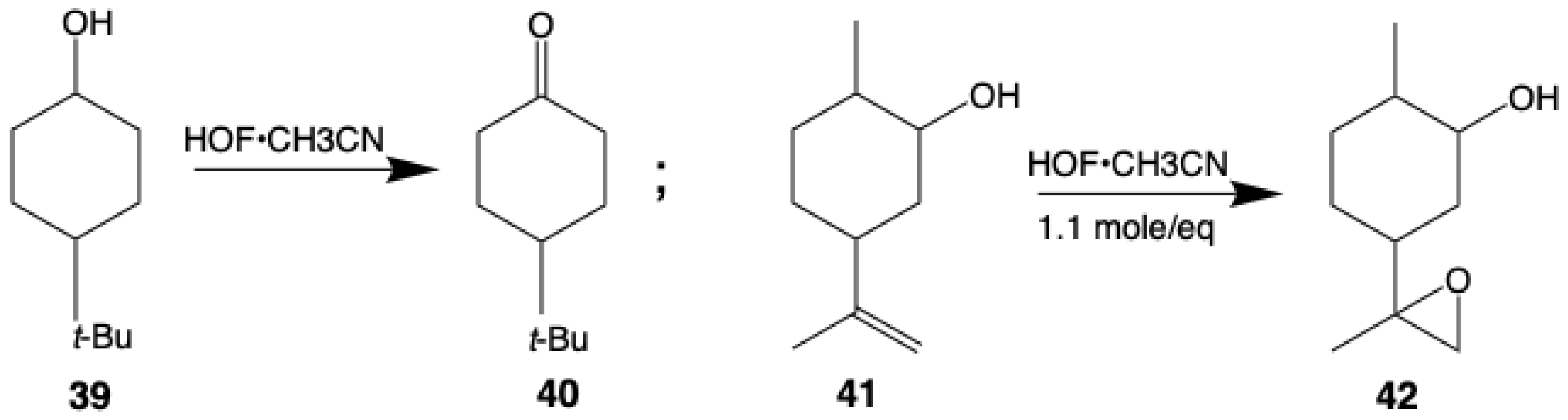
2.1. Constructing Epoxides
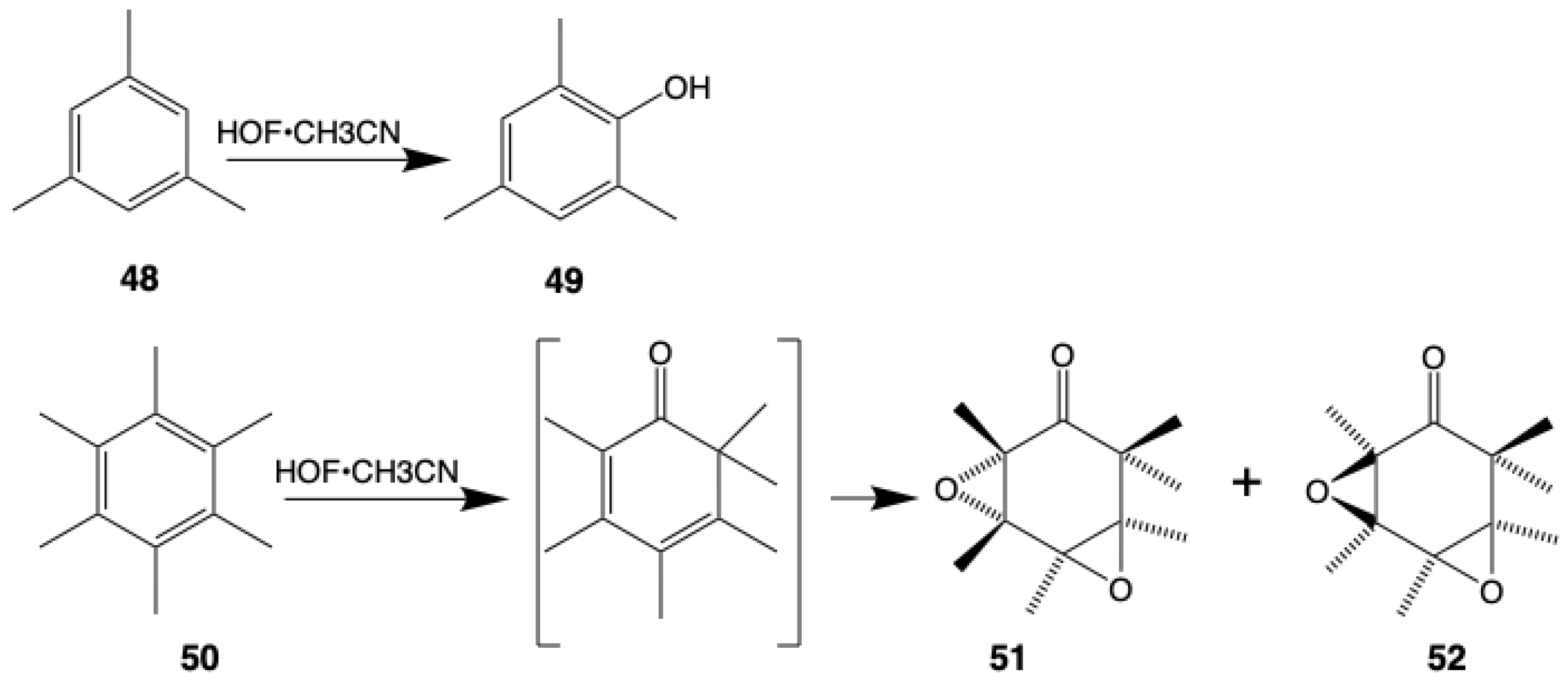
2.2. Oxidation Reactions
3. Attaching the Oxygen Atom of HOF•CH3CN to Nitrogen
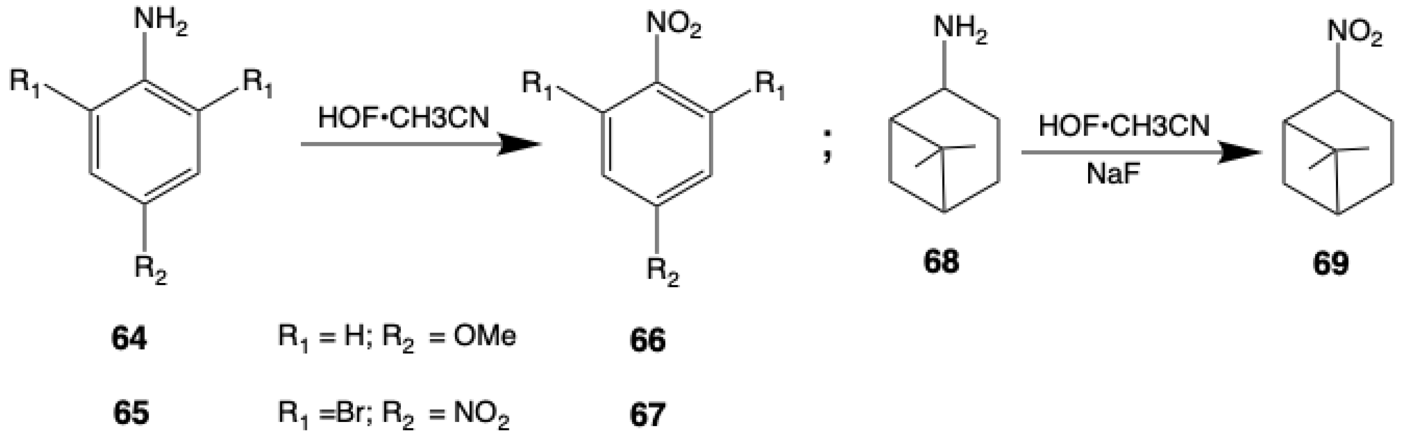
3.1. Forming Nitro Groups
3.2. Forming the N-Oxide Moiety—Aliphatics and Six-Membered Rings
3.3. Forming the N-Oxide Moiety—Five-Membered Rings
3.4. Preparation of Energetic Materials
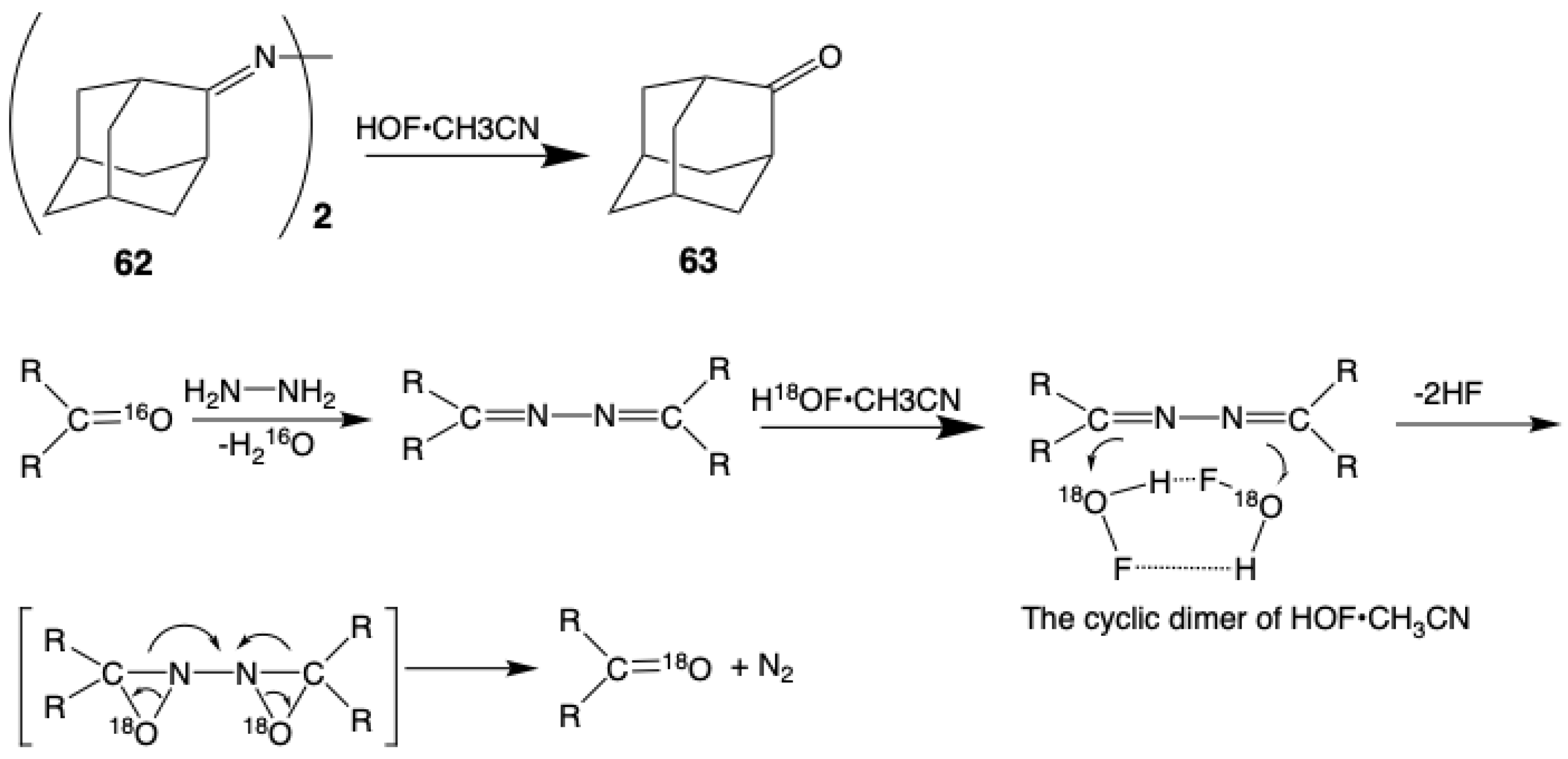
3.5. Miscellaneous Novel Syntheses Involving the Nitrogen Atom
4. Attaching the Oxygen Atom of HOF•CH3CN to Sulfur and Other Atoms
4.1. Reactions with Aliphatic and Aromatic Sulfides and Thiols
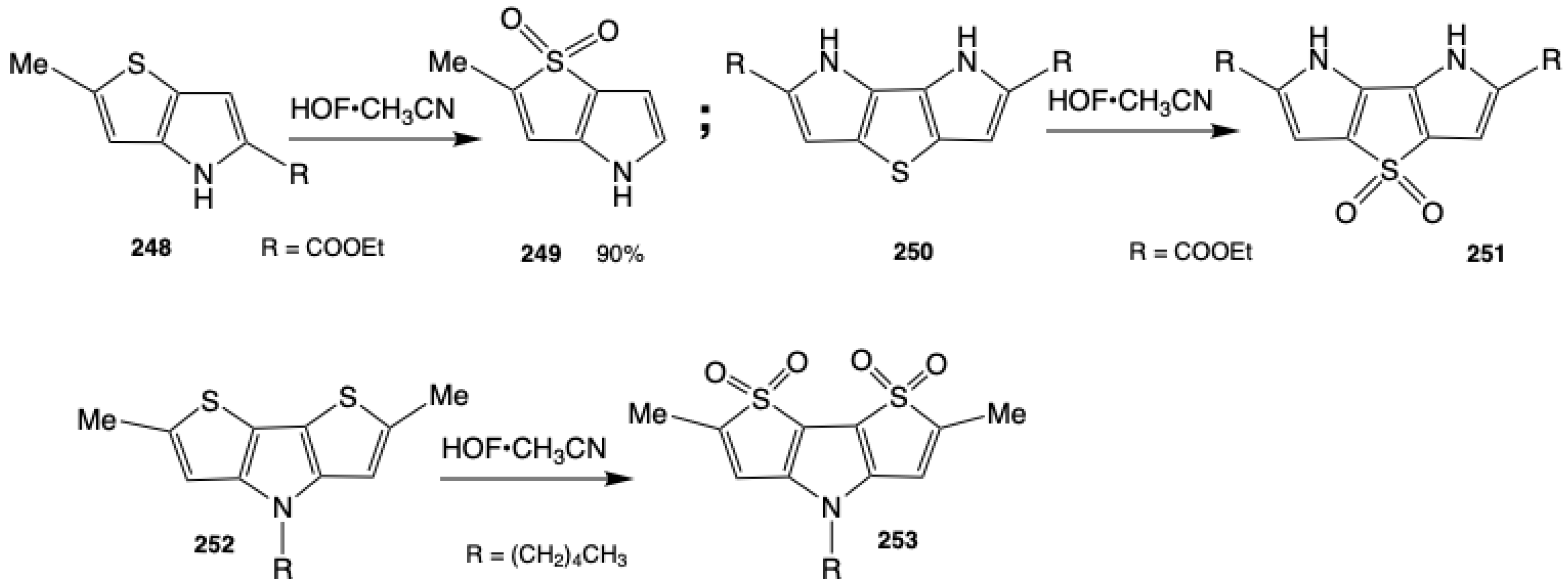
4.2. Synthesis of Thiophene-S,S-Dioxides
4.3. Oligothiophene-S,S-Dioxides
4.4. Oxidation of Phosphor and Selenium
5. Conclusions
Funding
Institutional Review Board Statement
Informed Consent Statement
Data Availability Statement
Acknowledgments
Conflicts of Interest
References
- Rozen, S. HOF·CH3CN: Probably the Best Oxygen Transfer Agent Organic Chemistry Has to Offer. Acc. Chem. Res. 2014, 47, 2378–2389. [Google Scholar] [CrossRef] [PubMed]
- Moissan, H. Action d’un Courant Électrique sur l’Acide Fluorhydrique Anhydre. Comptes Rendus Hebd. Séances L’académie Sci. 1886, 102, 1543–1544. [Google Scholar]
- Appelman, E.H. Nonexistent compounds. Two case histories. Acc. Chem. Res. 1973, 6, 113–117. [Google Scholar] [CrossRef]
- Alker, D.; Barton, D.H.R.; Hesse, R.H.; James, J.L.; Markwell, R.E.; Pechet, M.M.; Rozen, S.; Takashita, T.; Toh, H.T. Selective Fluorination at Tertiary Centers in Steroids and Adamantanoids Using Fluoroxytrifluoromethane and Molecular Fluorine. Nouv. J. Chim. 1980, 4, 239–254. [Google Scholar]
- Barton, D.H.R.; James, J.L.; Hesse, R.H.; Pechet, M.M.; Rozen, S. Electrophilic Fluorination of Some Steroidal α,β-Unsaturated Ketones. J. Chem. Soc. Perkin Trans. 1982, 1, 1105–1110. [Google Scholar] [CrossRef]
- Rozen, S.; Gal, C. Activating Unreactive Sites of Organic Molecules Using Elemental Fluorine. J. Org. Chem. 1987, 52, 2769–2779. [Google Scholar] [CrossRef]
- Rozen, S. Attaching the Fluorine Atom to Organic Molecules Using BrF3 and Other Reagents Directly Derived from F2. Acc. Chem. Res. 2005, 38, 803–812. [Google Scholar] [CrossRef]
- Rozen, S.; Lerman, O. Bromination of Deactivated Aromatics Using BrF3 Without a Catalyst. J. Org. Chem. 1993, 58, 239–240. [Google Scholar] [CrossRef]
- Rozen, S.; Zamir, D. A Novel Aromatic Iodination Method Using F2. J. Org. Chem. 1990, 55, 3552–3555. [Google Scholar] [CrossRef]
- Hebel, D.; Rozen, S. Chlorination, Bromination and Oxygenation of the Pyridine Ring Using AcOF Made from F2. J. Org. Chem. 1988, 53, 1123–1125. [Google Scholar] [CrossRef]
- Barnette, W.E.; Wheland, R.C.; Middleton, W.J.; Rozen, S. Stable Long Chain Fluoroxy Compounds and Their Chemistry. J. Org. Chem. 1985, 50, 3698–3701. [Google Scholar] [CrossRef]
- Rozen, S.; Lerman, O. Synthesis and Chemistry of Trifluoroacetyl Hypofluorite Using Elemental Fluorine. A Novel Method for Synthesis of α-Fluorohydrins. J. Org. Chem. 1980, 45, 672–678. [Google Scholar] [CrossRef]
- Kol, M.; Rozen, S.; Appelman, E. Isolation and Characterization of Methyl Hypofluorite (CH3OF). J. Am. Chem. Soc. 1991, 113, 2648–2651. [Google Scholar] [CrossRef]
- Rozen, S.; Mishani, E.; Kol, M. A Novel Electrophilic Methoxylation (With a Little Help from F2). J. Am. Chem. Soc. 1992, 114, 7643–7645. [Google Scholar] [CrossRef]
- Noble, P.N.; Pimentel, G.C. Hypofluorous acid: Infrared spectrum and vibrational potential function. Spectrochim. Acta Part A Mol. Spectrosc. 1968, 24, 797–806. [Google Scholar] [CrossRef]
- Studier, H.; Appelman, E.H. Hypofluorous Acid. J. Am. Chem. Soc. 1971, 93, 2349–2351. [Google Scholar] [CrossRef]
- Appelman, E.H.; Jache, A.W. Concerning the Mechanism of Formation of Oxygen Difluoride. J. Am. Chem. Soc. 1987, 109, 1754–1757. [Google Scholar] [CrossRef]
- Kim, H.; Appelman, E.H. The Raman Spectrum of Solid Hypofluorous Acid—HOF. J. Chem. Phys. 1982, 76, 1664–1669. [Google Scholar] [CrossRef]
- Poll, W.; Pawelke, G.; Mootz, D.; Appelman, E.H. The Crystal Structure of Hypofluorous Acid: Chain Formation by O-H…O Hydrogen Bonds. Angew. Chem. Int. Ed. 1988, 27, 392. [Google Scholar] [CrossRef]
- Glukhovtsev, M.N.; Pross, A.; Radom, L. Acidities, Proton Affinities, and Other Thermochemical Properties of Hypohalous Acids HOX (X = F, I): A High-Level Computational Study. J. Phys. Chem. 1996, 100, 3498–3503. [Google Scholar] [CrossRef]
- Hindman, J.C.; Svirmickas, A.; Appelman, E.H. Proton and Fluorine Nuclear Magnetic Resonance Observations on Hypofluorous Acid, HOF. J. Chem. Phys. 1972, 57, 4542–4543. [Google Scholar] [CrossRef]
- Rozen, S.; Brand, M. A Novel Route for Epoxidation of Olefins Using Elemental Fluorine. Angew. Chem. Int. Ed. 1986, 25, 554–555. [Google Scholar] [CrossRef]
- Appelman, E.H.; Dunkelberg, O.; Kol, M. Hypofluorous Acid and Acetonitrile: The Taming of a Reagent. J. Fluor. Chem. 1992, 56, 199–213. [Google Scholar] [CrossRef]
- Dunkelberg, O.; Haas, A.; Klapdor, M.F.; Mootz, D.; Poll, W.; Appelman, E.H. Oxidation Reactions with HOF and Adducts of HOF and HF with Acetonitrile. Chem. Berichte 1994, 127, 1871–1875. [Google Scholar] [CrossRef]
- Sertchook, R.; Boese, A.D.; Martin, J.M.L. Rozen’s Epoxidation Reagent, CH3CN∙HOF: A Theoretical Study of Its Structure, Vibrational Spectroscopy, and Reaction Mechanism. J. Phys. Chem. A 2006, 110, 8275–8281. [Google Scholar] [CrossRef]
- Srnec, M.; Oncak, M.; Zahradnik, R. Reaction Mechanism of Oxidation, Hydroxylation, and Epoxidation by Hypofluorous Acid: A Theoretical Study of Unusual H-Bond-Assisted Catalysis. Phys. Chem. A 2008, 112, 3631–3637. [Google Scholar] [CrossRef]
- Murray, R.W.; Singh, M.; Rath, N.P. The Reaction of Cyclooctatetraene with Dimethyldioxirane. Tetrahedron 1999, 55, 4539–4558. [Google Scholar] [CrossRef]
- Golan, E.; Hagooly, A.; Rozen, S. An Easy Way for Constructing Hard to Make Epoxides Employing HOF∙CH3CN. Tetrahedron Lett. 2004, 45, 3397–3399. [Google Scholar] [CrossRef]
- Rozen, S.; Kol, M. Olefin Epoxidation Using Elemental Fluorine. J. Org. Chem. 1990, 55, 5155–5159. [Google Scholar] [CrossRef]
- Rozen, S.; Golan, E. The First, General, Highly Efficient Method for Preparing Tetrasubstituted Epoxides Using HOF·CH3CN. Eur. J. Org. Chem. 2003, 10, 1915–1917. [Google Scholar] [CrossRef]
- Rozen, S.; Bareket, Y.; Blum, J. Epoxidation of Polyaromatics Using HOF∙CH3CN. Tetrahedron Lett. 1997, 38, 2333–2334. [Google Scholar] [CrossRef]
- Hung, M.H.; Smart, B.E.; Feiring, A.E.; Rozen, S. Direct Epoxidation of Fluorinated Olefins Using the F2-H2O-CH3CN System. J. Org. Chem. 1991, 56, 3187–3189. [Google Scholar] [CrossRef]
- Hung, M.H.; Rozen, S.; Feiring, A.E.; Resnick, P.R. Fluorinated Dioxolane Olefins and Epoxides. J. Org. Chem. 1993, 58, 972–973. [Google Scholar] [CrossRef]
- Dayan, S.; Ben-David, I.; Rozen, S. Oxidation of Alkynes by the HOF∙CH3CN Complex. J. Org. Chem. 2000, 65, 8816–8818. [Google Scholar] [CrossRef] [PubMed]
- Rozen, S.; Bareket, Y.; Dayan, S. Direct Epoxidation of Unprotected Olefinic Carboxylic Acids Using HOF-CH3CN. Tetrahedron Lett. 1996, 37, 531–534. [Google Scholar] [CrossRef]
- McPake, C.B.; Murray, C.B.; Sandford, G. Epoxidation of Alkenes using HOF∙MeCN by a Continuous Flow Process. Tetrahedron Lett. 2009, 50, 1674–1676. [Google Scholar] [CrossRef]
- Rozen, S.; Brand, M.; Kol, M. Tertiary Hydroxylation Using Fluorine: Activation of the C-H Bond. J. Am. Chem. Soc. 1989, 111, 8325–8326. [Google Scholar] [CrossRef]
- Rozen, S.; Bareket, Y.; Kol, M. HOF∙CH3CN, Made Directly from F2 and Water, as an Ecologically Friendly Oxidizing Reagent. Tetrahedron 1993, 49, 8169–8178. [Google Scholar] [CrossRef]
- Rozen, S.; Dayan, S.; Bareket, Y. Oxidative Cleavage of Methyl Ethers Using the HOF∙CH3CN Complex. J. Org. Chem. 1995, 60, 8267–8269. [Google Scholar] [CrossRef]
- Baeyer, A.V.; Villiger, V. Einwirkung des Caro’schen Reagens auf Ketone. Berichte Dtsch. Chem. Ges. 1899, 32, 3625–3633. [Google Scholar] [CrossRef]
- Doering, W.v.E.; Dorfman, E. Mechanism of the Peracid Ketone—Ester Conversion. Analysis of Organic Compounds for Oxygen-18. J. Am. Chem. Soc. 1953, 75, 5595–5598. [Google Scholar] [CrossRef]
- Kol, M.; Rozen, S. Functionalization of Aromatic Molecules Using HOF∙CH3CN and CH3OF. J. Org. Chem. 1993, 58, 1593–1595. [Google Scholar] [CrossRef]
- Rozen, S.; Bareket, Y. Synthesis of a-Hydroxy Ketones Using a HOF∙MeCN Complex. Chem. Commun. 1996, 5, 627–628. [Google Scholar] [CrossRef]
- Dayan, S.; Bareket, Y.; Rozen, S. An Efficient a-Hydroxylation of Carbonyls Using the HOF∙CH3CN Complex. Tetrahedron 1999, 55, 3657–3664. [Google Scholar] [CrossRef]
- Dayan, S.; Almog, J.; Khodzhaev, O.; Rozen, S. A Novel Synthesis of Indandiones Using the HOF∙CH3CN Complex. J. Org. Chem. 1998, 63, 2752–2754. [Google Scholar] [CrossRef]
- Almog, J.; Springer, E.; Wiesner, S.; Frank, A.; Khodzhaev, O.; Lidor, R.; Bahar, E.; Varkony, H.; Dayan, S.; Rozen, S. Latent Fingerprint Visualization by 1,2-Indanedione and Related Compounds: Preliminary Results. J. Forensic Sci. 1999, 44, 114–118. [Google Scholar] [CrossRef]
- Carmeli, M.; Rozen, S. A New very Efficient Deprotection of Azines, and Hydrazones. Presenting also the Best Route for the R2C=16O to R2C=18O Transformation. Tetrahedron Lett. 2006, 47, 763–766. [Google Scholar] [CrossRef]
- Gatenyo, J.; Vints, I.; Rozen, S. The First General Route for Efficient Synthesis of 18O Labelled Alcohols Using the HOF∙CH3CN complex. Chem. Commun. 2013, 49, 7379–7381. [Google Scholar] [CrossRef]
- Kol, M.; Rozen, S. Oxidizing Aromatic Amines to Nitroarenes with the HOF∙CH3CN System. J. Chem. Soc. Chem. Commun. 1991, 8, 567–568. [Google Scholar] [CrossRef]
- Dirk, S.M.; Mickelson, E.T.; Henderson, J.C.; Tour, J.M. Oxidation of Electron-Deficient Anilines by HOF—A Route to Nitro-Containing Compounds for Molecular Electronic Devices. Org. Lett. 2000, 2, 3405–3406. [Google Scholar] [CrossRef]
- Murray, R.W.; Rajadhyaksha, S.N.; Mohan, L. Oxidation of Primary Amines by Dimethyldioxirane. J. Org. Chem. 1989, 54, 5783–5788. [Google Scholar] [CrossRef]
- Rozen, S.; Kol, M. Oxidation of Aliphatic Amines by the HOF∙CH3CN Complex Made Directly from F2 and Water. J. Org. Chem. 1992, 57, 7342–7344. [Google Scholar] [CrossRef]
- Golan, E.; Rozen, S. A Fast, High-Yield Preparation of Vicinal Dinitro Compounds Using HOF∙CH3CN. J. Org. Chem. 2003, 68, 9170–9172. [Google Scholar] [CrossRef] [PubMed]
- Rozen, S.; Bar-Haim, A.; Mishani, E. New Efficient Route to α-Nitro Acids. Oxidation of Amino Acids with HOF∙CH3CN. J. Org. Chem. 1994, 59, 1208–1209. [Google Scholar] [CrossRef]
- Lane, J.W.; Halcomb, R.L. A New Method for the Stereoselective Synthesis of a-Substituted Serine Amino Acid Analogues. Org. Lett. 2003, 5, 4017–4020. [Google Scholar] [CrossRef]
- Harel, T.; Rozen, S. Transforming Natural Amino Acids into a-Alkyl–Substituted Amino Acids with the Help of the HOF∙CH3CN Complex. J. Org. Chem. 2007, 72, 6500–6503. [Google Scholar] [CrossRef]
- Dayan, S.; Kol, M.; Rozen, S. Tertiary Amine Oxidation using HOF∙CH3CN: A Novel Synthesis of N-Oxides. Synthesis 1999, S01, 1427–1430. [Google Scholar] [CrossRef]
- Rozen, S.; Dayan, S. At Last, 1,10-Phenanthroline N,N′-Dioxide, A New Type of Helicene, has Been Synthesized Using HOF∙CH3CN. Angew. Chem. Int. Ed. 1999, 38, 3471–3473. [Google Scholar] [CrossRef]
- Rozen, S.; Carmeli, M. Synthesis of 1,10-N,N’-Phenanthroline Dioxides Using HOF∙CH3CN Complex. J. Org. Chem. 2005, 70, 2131. [Google Scholar]
- Katz, T.J. Syntheses of Functionalized and Aggregating Helical Conjugated Molecules. Angew. Chem. Int. Ed. 2000, 39, 1921. [Google Scholar] [CrossRef]
- Harel, T.; Shefer, N.; Hagooly, Y.; Rozen, S. Synthesis Of Diazafluorene- And Diazafluorenone-N,N-Dioxides Using HOF∙CH3CN. Tetrahedron 2010, 66, 3297–3300. [Google Scholar] [CrossRef]
- Kluge, A.F.; Maddox, M.L.; Lewis, G.S. Formation of Quinoxaline Monoxides from Reaction of Benzofurazan Oxide with Enones and 13C NMR Correlations of Quinoxaline N-Oxides. J. Org. Chem. 1980, 45, 1909–1914. [Google Scholar] [CrossRef]
- Carmeli, M.; Rozen, S. A New Efficient Route for the Formation of Quinoxaline N-Oxide and N,N′-Dioxide Using HOF∙CH3CN. J. Org. Chem. 2006, 71, 5761–5765. [Google Scholar] [CrossRef] [PubMed]
- Gatenyo, J.; Johnson, K.; Rajapakse, A.; Gates, K.S.; Rozen, S. Transferring Oxygen Isotopes To 1,2,4-Benzotriazine 1-Oxides Forming the Corresponding 1,4-Dioxides By Using the HOF⋅CH3CN complex. Tetrahedron 2012, 68, 8942–8944. [Google Scholar] [CrossRef]
- Rozen, S.; Shaffer, A. Synthesis of N,N-Dioxopyridazines. Org. Lett. 2017, 19, 4707–4709. [Google Scholar] [CrossRef]
- Amir, E.; Rozen, S. Easy Access to The Family of Thiazole N-Oxides Using HOF∙CH3CN. Chem. Commun. 2006, 21, 2262–2264. [Google Scholar] [CrossRef]
- Harel, T.; Rozen, S. The Tetrazole 3-N-oxide Synthesis. J. Org. Chem. 2010, 75, 3141–3143. [Google Scholar] [CrossRef]
- He, P.; Zhang, J.G.; Yin, X.; Wu, J.T.; Wu, L.; Zhou, Z.N.; Zhang, T.L. Energetic Salts Based on Tetrazole N-Oxide. Chem. Eur. J. 2016, 22, 7670–7685. [Google Scholar] [CrossRef]
- Chavez, D.E.; Parrish, D.A.; Mitchell, L.; Imler, G.H. Azido and Tetrazolo 1,2,4,5-Tetrazine N-Oxides. Angew. Chem. Int. Ed. 2017, 56, 3575–3578. [Google Scholar] [CrossRef]
- Chavez, D.E.; Parrish, D.A.; Mitchell, L. Energetic Trinitro- and Fluorodinitroethyl Ethers of 1,2,4,5-Tetrazines. Angew. Chem. Int. Ed. 2016, 55, 8666–8669. [Google Scholar] [CrossRef]
- Piercey, D.G.; Chavez, D.E.; Scott, B.L.; Imler, G.H.; Parrish, D.A. An Energetic Triazolo-1,2,4-Triazine and its N-Oxide. Angew. Chem. Int. Ed. 2016, 55, 15315–15318. [Google Scholar] [CrossRef] [PubMed]
- Rostovtsev, V.V.; Green, L.G.; Fokin, V.V.; Sharpless, K.B. A Stepwise Huisgen Cycloaddition Process: Copper(I)-Catalyzed Regioselective “Ligation” of Azides and Terminal Alkynes. Angew. Chem. Int. Ed. 2002, 41, 2596–2599. [Google Scholar] [CrossRef]
- Rozen, S.; Carmeli, M. From Azides to Nitro Compounds in a Few Seconds Using HOF∙CH3CN. J. Am. Chem. Soc. 2003, 125, 8118–8119. [Google Scholar] [CrossRef] [PubMed]
- Carmeli, M.; Rozen, S. Oxidation of Azides by the HOF∙CH3CN: A Novel Synthesis of Nitro Compounds. J. Org. Chem. 2006, 71, 4585–4589. [Google Scholar] [CrossRef] [PubMed]
- Carmeli, M.; Shefer, N.; Rozen, S. From Aldehydes to Nitriles, a General and High Yielding Transformation Using HOF∙CH3CN Complex. Tetrahedron Lett. 2006, 47, 8969–8972. [Google Scholar] [CrossRef]
- Rozen, S.; Bareket, Y. A Novel and Efficient Method for Oxidizing Sulfides to Sulfones with the HOF∙CH3CN System. Tetrahedron Lett. 1994, 35, 2099–2100. [Google Scholar] [CrossRef]
- Rozen, S.; Bareket, Y. Oxidation of Sulfur Containing Compounds with HOF∙CH3CN. J. Org. Chem. 1997, 62, 1457–1462. [Google Scholar] [CrossRef]
- Moralis, G.R.; Humphrey, A.J.; Falconer, R.A. Application of HOF∙CH3CN to the Synthesis of Glycosyl Sulfones. Tetrahedron 2008, 64, 7426–7431. [Google Scholar] [CrossRef]
- Harel, T.; Amir, E.; Rozen, S. Efficient Synthesis of Episulfones and of SO2 with Any Variation of Oxygen Isotopes Using HOF∙CH3CN. Org. Lett. 2006, 8, 1213–1216. [Google Scholar] [CrossRef]
- Beckerbauer, R.; Smart, B.E.; Bareket, Y.; Rozen, S. Oxidation of Electron Deficient Sulfides to Sulfones Using HOF∙CH3CN. J. Org. Chem. 1995, 60, 6186–6187. [Google Scholar] [CrossRef]
- Shefer, N.; Carmeli, M.; Rozen, S. General, Fast, and High Yield Oxidation of Thiols and Disulfides to Sulfonic and Sulfinic Acids using HOF∙CH3CN. Tetrahedron Lett. 2007, 48, 8178–8181. [Google Scholar] [CrossRef]
- Rozen, S.; Bareket, Y. A Novel Oxidation of Thiophenes Using HOF∙MeCN. J. Chem. Soc. Chem. Commun. 1994, 17, 1959. [Google Scholar] [CrossRef]
- Amir, E.; Amir, R.; Campos, L.M.; Hawker, C.J. Stimuli-Responsive Azulene-Based Conjugated Oligomers with Polyaniline-like Properties. J. Am. Chem. Soc. 2011, 133, 10046–10049. [Google Scholar] [CrossRef] [PubMed]
- Garnier, F.; Horowitz, G.; Peng, X.; Fichou, D. An All-Organic “Soft” Thin Film Transistor with Very High Carrier Mobility. Adv. Mater. 1990, 2, 592–594. [Google Scholar] [CrossRef]
- Elandaloussi, E.H.; Frere, P.; Richomme, P.; Orduna, J.; Roncali, G.J. Effect of Chain Extension on the Electrochemical and Electronic Properties of π-Conjugated Soluble Thienylenevinylene Oligomers. J. Am. Chem. Soc. 1997, 119, 10774. [Google Scholar] [CrossRef]
- Facchetti, A.; Yoon, M.H.; Stern, C.L.; Hutchison, G.R.; Ratner, M.A.; Marks, T.J. Building Blocks for N-Type Molecular and Polymeric Electronics. Perfluoroalkyl- vs. Alkyl-Functionalized Oligothiophenes (nTs; n = 2–6). Systematic Synthesis, Spectroscopy, Electrochemistry, and Solid-State Organization. J. Am. Chem. Soc. 2004, 126, 13480. [Google Scholar] [CrossRef]
- Tanaka, K.; Wang, S.; Yamabe, T. Electronic Structures of Substituted Derivatives of Polythiophene. Design Of Narrow-Band-Gap Polymers. Synth. Met. 1989, 30, 57–65. [Google Scholar] [CrossRef]
- Barbarella, G.; Pudova, O.; Arbizzani, C.; Mastragostino, M.; Bongini, A. Oligothiophene-S,S-Dioxides: A New Class of Thiophene-Based Materials. J. Org. Chem. 1998, 63, 1742–1745. [Google Scholar] [CrossRef]
- Amir, E.; Rozen, S. The First Synthesis of [All]-S,S-Dioxides Oligothiophenes Using HOF∙CH3CN. Angew. Chem. Int. Ed. 2005, 44, 7374–7378. [Google Scholar] [CrossRef]
- Oliva, M.M.; Casado, J.; Navarrete, J.T.L.; Patchkovskii, S.; Goodson, T., 3rd; Harpham, M.R.; de Melo, J.S.S.; Amir, E.; Rozen, S. Do [all]-S,S′-Dioxide Oligothiophenes Show Electronic and Optical Properties of Oligoenes and/or of Oligothiophenes? J. Am. Chem. Soc. 2010, 132, 6231–6242. [Google Scholar] [CrossRef]
- Oliva, M.M.; Gonzalez, S.R.; Casado, J.; Navarrete, J.T.L.; de Melo, J.S.S.; Amir, E.; Rozen, S. Optical Properties of [all]-S,S-Dioxide Oligothiophenes. Port. Electrochim. Acta 2009, 27, 533–537. [Google Scholar] [CrossRef]
- Amir, E.; Sivanandan, K.; Cochran, J.E.; Cowart, J.J.; Ku, S.Y.; Seo, J.H.; Chabinyc, M.L.; Hawker, C.J. Synthesis and Characterization of Soluble Low-Bandgap Oligothiophene-[all]-S,S-dioxides-Based Conjugated Oligomers and Polymers. J. Poly. Sci. Part A 2011, 49, 1933–1941. [Google Scholar] [CrossRef]
- Dell, E.J.; Campos, L.M. The preparation of thiophene-S,S-dioxides and their role in organic electronics. J. Mater. Chem. 2012, 22, 12945–12952. [Google Scholar] [CrossRef]
- Barbarella, G.; Mellucci, M. Handbook of Thiophene-Based Materials; Perepichka, I.F., Perepichka, D.F., Eds.; Wiley: Hoboken, NJ, USA, 2009; p. 255. [Google Scholar]
- Casado, J.; Zgierski, M.Z.; Ewbank, P.C.; Burand, M.W.; Janzen, D.E.; Mann, K.R.; Pappenfus, T.M.; Berlin, A.; Perez-Inestrosa, E.; Ortiz, R.P.; et al. Exploration of Ground and Excited Electronic States of Aromatic and Quinoid S,S-Dioxide Terthiophenes. Complementary Systems for Enhanced Electronic Organic Materials. J. Am. Chem. Soc. 2006, 128, 10134–10144. [Google Scholar] [CrossRef]
- Potash, S.; Rozen, S. New Conjugated Oligothiophenes Containing the Unique Arrangement of Internal Adjacent [all]-S,S-Oxygenated Thiophene Fragments. Chem. Eur. J. 2013, 19, 5289–5296. [Google Scholar] [CrossRef]
- Wei, S.; Xia, J.; Dell, E.J.; Jiang, Y.; Song, R.; Lee, H.; Rodenbough, P.; Briseno, A.L.; Campos, L.M. Bandgap Engineering through Controlled Oxidation of Polythiophenes. Angew. Chem. Int. Ed. 2014, 53, 1832–1836. [Google Scholar] [CrossRef]
- Dell, E.J.; Capozzi, B.; Xia, J.; Venkataraman, L.; Campos, L.M. Molecular Length Dictates the Nature of Charge Carriers in Single-Molecule Junctions of Oxidized Oligothiophenes. Nat. Chem. 2015, 7, 209–214. [Google Scholar] [CrossRef]
- Di Maria, F.; Zanelli, A.; Liscio, A.; Kovtun, A.; Salatelli, E.; Mazzaro, R.; Morandi, V.; Bergamini, G.; Shaffer, S.; Rozen, S. Poly(3-hexylthiophene) Nanoparticles Containing Thiophene-S,S-dioxide: Tuning of Dimensions, Optical and Redox Properties, and Charge Separation under Illumination. ACS Nano 2017, 11, 1991–1999. [Google Scholar] [CrossRef]
- Barsotti, J.; Perotto, S.; Candini, A.; Colombo, E.; Camargo, F.V.A.; Di Marco, S.; Zangoli, M.; Sardar, S.; Barker, A.J.; D’Andrea, C.; et al. Core–Shell Architecture in Poly(3-hexylthiophene) Nanoparticles: Tuning of the Photophysical Properties for Enhanced Neuronal Photostimulation. ACS Appl. Mater. Interfaces 2023, 15, 13472–13483. [Google Scholar] [CrossRef]
- Burrezo, P.M.; Franco, C.; Caballero, R.; Mas-Torrent, M.; Langa, F.; Navarrete, J.T.L.; Rovira, C.; Veciana, J.; Casado, J. Oligothienylenevinylene Polarons and Bipolarons Confined Between Electron-Accepting Perchlorotriphenylmethyl Radicals. Chem. Eur. J. 2018, 24, 3776–3783. [Google Scholar] [CrossRef]
- Aharon, C.; Guijarro, F.G.; Rivero, S.M.; Ramirez, F.J.; Caballero, R.; Casado, J.; Langa, F.; Rozen, S. [All]-S,S-dioxide Oligo-Thienylenevinylenes: Synthesis and Structural/Electronic Shapes from Their Molecular Force Fields. Chem. Eur. J. 2019, 25, 464–468. [Google Scholar] [CrossRef] [PubMed]
- Benincori, T.; Capaccio, M.; De Angelis, F.; Falciola, L.; Muccini, M.; Mussini, P.; Ponti, A.; Toffanin, S.; Traldi, P.; Sannicolo, F. Spider-Like Oligothiophenes. Chem. Eur. J. 2008, 14, 459–471. [Google Scholar] [CrossRef] [PubMed]
- Belot, C.; Filiatre, C.; Guyard, L.; Foissy, A.; Knorr, M. Electrosynthesis of Structured Derivated Polythiophenes: Application to Electrodeposition of Latex Particles on These Substrates. Electrochem. Commun. 2005, 7, 1439–1444. [Google Scholar] [CrossRef]
- Kose, M.E.; Mitchell, W.J.; Kopidakis, N.; Chang, C.H.; Shaheen, S.E.; Kim, K.; Rumbles, G. Theoretical Studies on Conjugated Phenyl-Cored Thiophene Dendrimers for Photovoltaic Applications. J. Am. Chem. Soc. 2007, 129, 14257–14270. [Google Scholar] [CrossRef]
- Nair, V.; Thomas, S.; Mathew, S.C.; Vidya, N.; Rath, N.P. Electrophilic Substitution Reactions of Trisheteroarylmethanes: An Efficient Strategy to Develop Novel Synthons for Organic Synthesis. Tetrahedron 2005, 61, 9533–9540. [Google Scholar] [CrossRef]
- Potash, S.; Rozen, S. [All]–S,S-Oxygenated Star Oligothiophenes. J. Org. Chem. 2011, 76, 7245–7248. [Google Scholar] [CrossRef]
- Barbarella, G.; Favaretto, L.; Sotgiu, G.; Antolini, L.; Gigli, G.; Cingolani, R.; Bongini, A. Rigid-Core Oligothiophene-S,S-dioxides with High Photoluminescence Efficiencies Both in Solution and in the Solid State. Chem. Mater. 2001, 13, 4112–4122. [Google Scholar] [CrossRef]
- Tedesco, E.; Sala, F.D.; Favaretto, L.; Barbarella, G.; Jove, D.A.; Pisignano, D.; Gigli, G.; Cingolani, R.; Harris, K.D.M. Solid-State Supramolecular Organization, Established Directly from Powder Diffraction Data, and Photoluminescence Efficiency of Rigid-Core Oligothiophene-S,S-dioxides. J. Am. Chem. Soc. 2003, 125, 12277–12283. [Google Scholar] [CrossRef]
- Shefer, N.; Harel, T.; Rozen, S. Synthesis of Oxygenated Fused Oligothiophenes Using HOF∙CH3CN. J. Org. Chem. 2009, 74, 6993–6998. [Google Scholar] [CrossRef]
- Shefer, N.; Rozen, S. The Oxygenation of Thieno [2,3-b]thiophenes. J. Org. Chem. 2010, 75, 4623–4625. [Google Scholar] [CrossRef]
- Shefer, N.; Rozen, S. Synthesis of Thienopyrrols Using HOF∙CH3CN. J. Org. Chem. 2011, 76, 4611–4616. [Google Scholar] [CrossRef] [PubMed]
- Peng, W.M.; Shreeve, J.M. Rapid and High Yield Oxidation of Phosphine, Phosphite and Phosphinite Compounds to Phosphine Oxides, Phosphates and Phosphinates Using Hypofluorous Acid-Acetonitrile Complex. J. Fluorine Chem. 2005, 126, 1054–1056. [Google Scholar] [CrossRef]
- Krief, A.; Dumont, W.; Denis, J.N.; Evrard, G.; Norberg, B. Synthesis of Selenones: A Comparative Study. J. Chem. Soc. Chem. Commun. 1985, 9, 569–570. [Google Scholar] [CrossRef]
- Potash, S.; Rozen, S. A General and Efficient Method for Converting Selenides to Selenones by Using HOF∙CH3CN. Eur. J. Org. Chem. 2013, 2013, 5574–5579. [Google Scholar] [CrossRef]
- American Environmental Group Ltd. AEGL (Acute Exposure Guideline Level); American Environmental Group Ltd.: Rochester, NY, USA, 2009; Volume 50, p. 51. [Google Scholar]















































Disclaimer/Publisher’s Note: The statements, opinions and data contained in all publications are solely those of the individual author(s) and contributor(s) and not of MDPI and/or the editor(s). MDPI and/or the editor(s) disclaim responsibility for any injury to people or property resulting from any ideas, methods, instructions or products referred to in the content. |
© 2025 by the author. Licensee MDPI, Basel, Switzerland. This article is an open access article distributed under the terms and conditions of the Creative Commons Attribution (CC BY) license (https://creativecommons.org/licenses/by/4.0/).
Share and Cite
Rozen, S. HOF•CH3CN—The Most Potent Oxygen Transfer Agent for a Large Variety of Organic Molecules. Molecules 2025, 30, 1248. https://doi.org/10.3390/molecules30061248
Rozen S. HOF•CH3CN—The Most Potent Oxygen Transfer Agent for a Large Variety of Organic Molecules. Molecules. 2025; 30(6):1248. https://doi.org/10.3390/molecules30061248
Chicago/Turabian StyleRozen, Shlomo. 2025. "HOF•CH3CN—The Most Potent Oxygen Transfer Agent for a Large Variety of Organic Molecules" Molecules 30, no. 6: 1248. https://doi.org/10.3390/molecules30061248
APA StyleRozen, S. (2025). HOF•CH3CN—The Most Potent Oxygen Transfer Agent for a Large Variety of Organic Molecules. Molecules, 30(6), 1248. https://doi.org/10.3390/molecules30061248
