Abstract
2-Amino-4,5-di-(2-furyl)furan-3-carbonitrile (1) reacted with triethyl orthoacetate to afford the corresponding 2-ethoxyimine derivative (2). The latter compound reacted with phenyl hydrazine, p-fluorobenzylamine and sodium hydrogen sulfide, respectively, to afford the corresponding furo[2,3-d]pyrimidine derivatives (3-5). Compound 1 also reacted with carbon disulfide and phenyl isocyanate to afford 5,6-di-(2-furyl)-1H-4H-furo[2,3-d]-[1,3-thiazin]-4-imino-2-thione (6) and 5,6-di-(2-furyl)-1H-3H-3-phenylfuro[2,3-d]pyrimidin-4-imine-2-one (7), respectively. Treatment of compound 2 with hydrazine hydrate at 0°C afforded compound 8, while on boiling 5,6-di-(2-furyl)-3H,4H-4-imino-2-methylfuro-[2,3-d]pyrimidin-3-amine (9) was isolated. Treatment of 9 with carbon disulfide, cyanogen bromide, ethyl cyanoacetate, diethyloxalate and triethyl orthoformate gave the corresponding furo[3,2-e][1,2,4]triazolo[1,5-c]pyrimidines (10-14). Reaction of 9 with isatin and N-acetyl isatin gave the condensation products 15 and 16 respectively.
Introduction
The formation of novel fused heterocyclic rings is an important task for heterocyclic chemists from various points of view. Furthermore many condensed heterocyclic systems, especially when linked to a pyrimidine ring, play an important role as analgesic [1], antihypertensive [2], antipyretic [3], and antiinflammatory drugs [4], also as pesticides [5], herbicides [6], and plant growth regulators [7]. In addition, the furo[2,3-d]pyrimidine ring system is of biological interest due to the formal isoelectronic relationship between this ring and purine [8,9,10,11]. These observations led us to attempt the synthesis of some new furopyrimidine products with expected biological activity.
Results and Discussion
The starting material, 2-amino-4,5-di-(2-furyl)furan-3-carbonitrile (1) was prepared according to a modified Gewald method [12]. Refluxing of 1 with neat triethyl orthoacetate afforded the corresponding 2-ethoxyimine derivative (2). Its IR displayed an absorption band at 2210 cm-1 (CN) and revealed no absorption frequency in the NH region. The 1H NMR spectrum of product 2 was compatible with the proposed structure (Scheme 1, Table 1 and Table 2).
Scheme 1.
Refluxing an ethanolic solution of 2 with phenyl hydrazine yielded the corresponding 5,6-di-(2-furyl)-1H-3H-4-imino-2-methylfuro[2,3-d]pyrimidine-3-phenylamine (3) in 83% yield. Also, treatment of 2 with p-fluorobenzylamine led to the formation of 3-p-fluorobenzyl-5,6-di-(2-furyl)-3H-2-methylfuro[2,3-d]pyrimidin-4-imine (4). Furthermore, reaction of 2 with sodium hydrogen sulfide in anhydrous ethanol afforded 5,6-di-(2-furyl)-3H-2-methylfuro[2,3-d]pyrimidine-4-thione (5). The structures of 3, 4 and 5 were established by their correct analyses and compatible spectroscopic data (Scheme 1, Table 1 and Table 2).
Compound 1 was readily cyclized to the corresponding 5,6-di-(2-furyl)-1H-4H-4-iminofuro[2,3-d][1,3-thiazine]-2-thione (6) upon treatment with CS2 in refluxing pyridine. Its IR revealed absorption bands corresponding to the NH and C=S functions. Also, refluxing compound 1 with phenyl isocyanate in dry toluene afforded 5,6-di-(2-furyl)-1H-3H-4-imine-3-phenylfuro[2,3-d]pyrimidin-2-one (7) in 66% yield [13]. The IR and 1H NMR spectra supported the assigned product 7 (Scheme 1, Table 1 and Table 2).
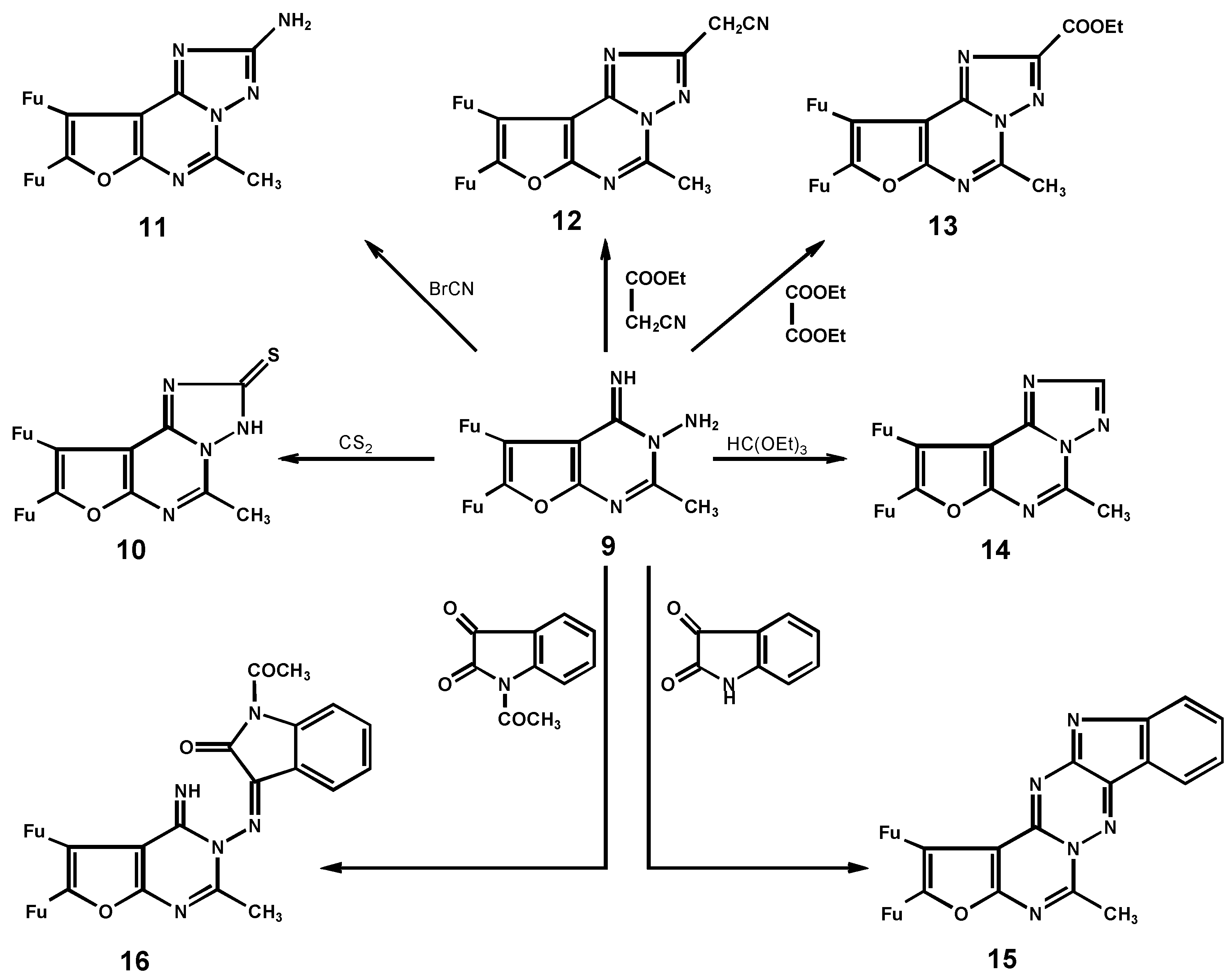
When compound 2 was stirred at 0°C with hydrazine hydrate, 5,6-di-(2-furyl)-2-(hydrazinoethyleneamino)furan-3-carbonitrile (8) was isolated. Thus, CN, NH and NH2 signals can be detected in the IR spectrum. Upon boiling compound 8 in ethanol the cyclized product 5,6-di-(2-furyl)-3H-4H-4-imino-2-methylfuro[2,3-d]pyrimidine-3-amine (9) was formed. Analytical data supported the assigned structure (Scheme 1, Table 1 and Table 2).
Compound 9 reacted with simple bifunctional reagents like carbon disulfide, cyanogen bromide, ethyl cyanoacetate, diethyl oxalate and triethyl orthoformate to afford the corresponding furo[3,2-e][1,2,4]triazolo[1,5-c]pyrimidines (10-14), respectively. The structures of 10-14 were established by their correct elemental analyses and compatible spectroscopic data, (Scheme 2, Table 1 and Table 2).
Scheme 2.
In addition, condensation of compound 9 with N-acetyl isatin furnished the condensation product 5,6-di-(2-furyl)-3H-4H-4-imino-2-methylfuro[2,3-d]pyrimidine-1-(N-acetyl-2-oxo-isatin-3-yliden-amine (16). Conversely, condensation with isatin in refluxing ethanol gave 12,13-di-(2-furyl)-9-methylfuro[2`,3`: 5,6]pyrimido[3,4-b][2,3-e]indolo[1,2,4]triazine (15). Assignment of the structures 15 and 16 to the proposed reaction products are based on elemental analysis and spectroscopic data (Scheme 2, Table 1 and Table 2).
Experimental
General
All melting points are uncorrected. The 1H NMR spectra were recorded on Bruker WM-250 MHz, and Bruker AC-250 MHz spectrometers (Faculty of Chemistry, Konstanz University, Germany), and a Varian 1H Gemini 200 spectrometer (National Research Center, Egypt) and chemical shifts were expressed as δ values against SiMe4 as an internal standard. IR spectra (KBr disks) were recorded on a Perkin-Elmer 1430 spectrometer, (Faculty of Chemistry, Konstanz University Germany). Microanalytical analysis were performed by the Microanalytical Center at Konstanz University (Germany).
4,5-Di-(2-furyl)-2-(ethoxyethylideneamino)furan-3-carbonitrile (2)
5,6-Di-(2-furyl)-1H-3H-4-imino-2-methyl-3-phenylaminofuro[2,3-d]pyrimidine (3)
3-(p-Fluorobenzylamino)-5,6-di-(2-furyl)-3H-2-methylfuro[2,3-d]pyrimidine-4-imine (4)
5,6-Di-(2-furyl)-3H-2-methylfuro[2,3-d]pyrimidine-4-thione (5)
5,6-Di-(2-furyl)-1H-4H-furo[2,3-d][1,3-thiazine]-4-imino-2-thione (6)
A mixture of 1 (2.40g, 10 mmol) in dry pyridine (15 mL) and CS2 (0.76g, 10 mmol) was refluxed on a water bath for 9h. The reaction mixture was poured into coled water and neutralized with dil. HCl. The solid product was collected by filtration, washed with water, dried and crystallized from DMF/MeOH to afford 2.30g (73%) of 6 (Table 1 and Table 2).
5,6-Di-(2-furyl)-1H-3H-3-phenylfuro[2,3-d]pyrimidine-4-imine-2-one (7)
5,6-Di-(2-furyl)-2-(hydrazinoethyleneamino)furan-3-carbonitrile (8)
5,6-Di-(2-furyl)-3H-4H-4-imino-2-methylfuro[2,3-d]pyrimidine-3-amine (9)
8,9-Di-(2-furyl)-2,3-dihydro-5-methylfuro[3,2-e][1,2,4]triazolo[1,5-c]pyrimidine-2-thione (10)
A mixture of 9 (2.96g, 10 mmol), CS2 (0.76g, 10 mmol) and KOH (10 mmol) in EtOH (15 mL) was refluxed for 11h on water bath. After removal of ethanol, water was added and the alkaline solution was filtered. The clear filtrate was acidified with acetic acid and the formed precipitate was collected by filtration, washed with water, dried and crystallized from DMF/EtOH to afford 2.77g (82%) of compound 10 (Table 1 and Table 2).
8,9-Di-(2-furyl)-5-methylfuro[3,2-e][1,2,4]triazolo[1,5-c]pyrimidine-2-thione (11)
A mixture of 9 (2.96g, 10 mmol), K2CO3 (0.69g, 10 mmol) and CNBr (0.53g, 10 mmol) in ethanol (30 mL) was refluxed for 9h. The reaction mixture is cooled, neutralized with dil. HCl. The solid product that precipitate, so formed, was collected by filtration, washed with water, ethanol, dried and crystallized from MeOH to give 2.50g (78%) of compound 11 (cf. Table 1 and Table 2).
2-Cyanomethyl-8,9-di-(2-furyl)-5-methylfuro[3,2-e][1,2,4]triazolo[1,5-c] pyrimidine (12)
8,9-Di-(2-furyl)-2-ethyl-5-methylfuro[3,2-e][1,2,4]triazolo[1,5-c]pyrimidine-2-thione (13)
8,9-Di-(2-furyl)-3-methylfuro[2,3-e][1,2,4]triazolo[1,5-c]pyrimidine (14)
12,13-Di-(2-furyl)-9-methylfuro[2`,3`:5,6]pyrimido[3,4-b][2,3-e]indolo[1,2,4]triazine (15)
5,6-Di-(2-furyl)-3H-4H-4-imino-2-methylfuro[2,3-d]pyrimidine-1-(N-acetyl-2-oxo-isatin-3-yliden-amine (16)
A mixture of 9 (2.96g, 10 mmol) and N-acetylisatin (1.89 g, 10 mmol) was refluxed in abs. EtOH for 2 h. After cooling, the product was filtered off and crystallized from AcOH to give 3.01g (69%) of 16 (Table 1 and Table 2).
Table 1.
Physical data for the selected compounds.
| Comp. No. | m.p. oC | Mol. Formula (mol. wt) | Analysis (Calcd/Found) | |||
|---|---|---|---|---|---|---|
| C | H | N | S | |||
| 2 | 115-117 | C17H14N2O4 | 65.80 | 4.56 | 9.03 | |
| (310.3) | 65.77 | 4.51 | 8.99 | |||
| 3 | 179-181 | C21H16N4O3 | 67.73 | 4.34 | 15.05 | |
| (372.4) | 67.33 | 4.36 | 15.06 | |||
| 4 | 130-132 | C22H16FN3O3 | 67.85 | 4.15 | 10.79 | |
| (389.4) | 68.00 | 4.13 | 10.66 | |||
| 5 | 180-182 | C15H10N2O3S | 60.39 | 3.39 | 9.39 | 10.75 |
| (298.3) | 60.71 | 3.41 | 9.31 | 10.71 | ||
| 6 | 223-225 | C14H8N2O3S2 | 53.14 | 2.55 | 8.86 | 20.27 |
| (316.4) | 53.33 | 2.61 | 8.81 | 20.40 | ||
| 7 | 238-240 | C20H13N3O4 | 66.85 | 3.65 | 11.70 | |
| (359.3) | 66.79 | 3.51 | 11.40 | |||
| 8 | 150-152 | C15H12N4O3 | 60.80 | 4.09 | 18.91 | |
| (296.3) | 60.79 | 4.08 | 19.00 | |||
| 9 | 222-224 | C15H12N4O3 | 60.80 | 4.09 | 18.91 | |
| (296.3) | 60.81 | 4.08 | 19.01 | |||
| 10 | 275-277 | C16H10N4O3S | 56.78 | 2.98 | 16.56 | 9.48 |
| (338.4) | 56.56 | 2.96 | 16.61 | 9.41 | ||
| 11 | 230-232 | C16H11N5O3 | 59.81 | 3.46 | 21.80 | |
| (321.3) | 59.88 | 3.47 | 21.51 | |||
| 12 | 209-211 | C18H11N5O3 | 62.61 | 3.22 | 20.29 | |
| (345.3) | 62.81 | 3.41 | 20.41 | |||
| 13 | 189-191 | C19H14N4O5 | 60.30 | 3.74 | 14.81 | |
| (378.4) | 60.44 | 3.81 | 14.72 | |||
| 14 | 218-220 | C16H10N4O3 | 62.74 | 3.30 | 18.30 | |
| (306.3) | 62.75 | 3.32 | 18.47 | |||
| 15 | 295-300 | C23H13N5O3 | 67.80 | 3.22 | 17.19 | |
| (407.4) | 67.74 | 3.21 | 17.31 | |||
| 16 | 252-254 | C25H17N5O5 | 64.22 | 3.67 | 14.98 | |
| (467.5) | 64.00 | 3.91 | 14.86 | |||
Table 2.
Spectral data for selected compounds.
| Comp. No. | IR cm-1 | 1H NMR (δ, ppm) |
|---|---|---|
| 2 | 3010 (CH aromatic); 2980, 2920 (CH-aliphatic); 2210 (CN); 1615 (C=N) | DMSO-d6: 1.60 (t, 3H, CH3); 2.65 (s, 3H, CH3); 4.35 (q,2H, CH2); 6.51-7.81 (m, 6H, furan protons) |
| 3 | 3450, 3398, 3304 (NH + NH2); 3040,3010 (CH-Ar); 1610 (C=N) | CDCl3: 2.95(s, 3H, CH3); 6.93 (brs, 1H, NH, exchangable); 7.05-7.85 (m, 11H, furan+ aromatic protons); 8.00 (s, br, 1H, NH, exchangable) |
| 4 | 3380 (NH); 3050 (CH-Ar); 1610 (C=N) | CDCl3: 2.89(s,3H,CH3); 4.68 (s, 2H, NCH2); 5.90 (brs, 1H,NH, exchangable); 6.31-7.55 (m, 10H, furan protons+ArH) |
| 5 | 3448 (NH); 3060 (CH-Ar); 1606 (C=N); 1246 (C=S) | CDCl3: 2.95 (s, 3H, CH3); 6.10-7.81(m, 7H, furan pro-tons+NH, exchangable) |
| 6 | 3430, 3318 (NH); 3038 (CH aromatic);1250 (C=S); 1608 (C=N); | DMSO-d6: 4.58 (brs, 1H, NH, exchangable); 6.51-7.85 (m, 6H, furan protons); 9.08 (brs, NH, exchangable) |
| 7 | 3380, 3290(NH); 3040 (CH aromatic);1680 (C=O); 1602 (C=N) | DMSO-d6: 5.81 (s, 1H, NH, exchangable); 6.71-7.85 (m, 11H, furan protons+ArH); 12.21 (br, 1H, NH-amide). |
| 8 | 3454, 3300, 3290 (NH+ NH2); 2208(CN); 1612 (C=N) | |
| 9 | 3310, 3250 (NH+ NH2); 3040 (CH-Ar);1615 (C=N) | DMSO-d6: 2.67(s, 3H, CH3); 4.93(brs, 2H, NH2, exchange-able); 6.45(brs, 1H, NH, exchangable); 6.73-7.85 (m, 6H, furan protons) |
| 10 | 3350(NH); 3085 (CH-Ar); 1612(C=N); 1250 (C=S). | DMSO-d6: 2.85(s, 3H, CH3); 3.75 (s, 1H, NH, exchange-able); 6.61-7.80 (m, 6H, furan protons) |
| 11 | 3420, 3380 (NH2); 3040 (CH-Ar); 1610 (C=N) | DMSO-d6: 2.66(s, 3H, CH3); 5.81 (s, 2H, NH2, exchange-able); 6.41-7.60 (m, 6H, furan protons) |
| 12 | 3050 (CH-Ar); 2220 (CN); 1616 (C=N) | CDCl3: 2.96(s, 3H, CH3); 4.65 (s, 2H, CH2); 6.31-7.42 (m,6H, furan protons) |
| 13 | 3040(CH-Ar); 2950, 2860 (CH-aliphatic); 1735(CO-ester); 1612 (C=N). | CDCl3: 2.65(s, 3H, CH3); 1.50 (t, 3H, CH3); 4.44-4.65 (q,2H, OCH2); 6.55(dd, 2H, furan 4-H); 6.90 (t, 2H, furan 3-H); 7.55 (d, 2H, furan 2-H) |
| 14 | 3060 (CH-Ar); 1600 (C=N) | DMSO-d6: 2.84(s, 3H, CH3); 6.44-7.51 (m, 6H, furan pro-tons); 8.31 (s, 1H, CH-triazole) |
| 15 | 3040 (CH-Ar); 1608 (C=N) | DMSO-d6: 2.72(s, 3H, CH3); 6.83 -7.91 (m,10H, furan pro-tons + NH, exchangable) |
| 16 | 3250 (NH); 3050 (CH-Ar); 2960 (CH-aliphatic); 1683 (C=O); 1585 (C=N); | DMSO-d6: 2.80(s, 3H, CH3); 2.92(s,3H, CH3); 6.41-7.83(m,11H, furan protons + NH,exchangable) |
References and Notes
- Pemmsin, M.; Lnu-Due, C.; Hoguet, F.; Gaultier, C.; Narcisse, J. Eur. J. Chem. 1988, 23, 543.
- Cannito, A.; Pemmsin, M.; Lnu-Due, C.; Hoguet, F.; Gaultier, C.; Narcisse, J. Eur. J. Chem. 1990, 25, 635.
- Smith, P.A.S.; Kan, R.O. J. Org. Chem. 1964, 29, 2261.
- Nega, S.; Aionso, J.; Diazj, A.; Junquere, F. J. Heterocycl. Chem. 1990, 27, 269.
- Tetsuo, S.; Mikio, T.; Hidetoshi, H.; Daijiro, H.; Akira, I. Jpn. Kokai Tokyo Koho JP 1987, 62, 132, 884 (C. A. 1987, 107: 198350h).
- Chakaravorty, P.K.; Grelnlee, W.J.; Dooseap, K.; Mantlo, N.B.; Patchett, A.A. A.P.C.T. Int. Appl. WO 92.20.687.156, 1992. (C.A. 1993, 118: 213104d).
- Shishoo, C.J.; Jain, K.S. J. Heterocycl. Chem. 1992, 29, 883.
- Shimamure, H.; Terajima, K.; Kawase, A.; Ishizuka, Y.; Kimura, I.; Kamya, A.; Kataoka, M.; Sato, M. Jpn. Kokai Tokyo Koho Jp. 05, 112, 559 (C. A. 1993, 119: 160315k).
- Yamamoto, Y.; Seko, T.; Nakamura, H.; Nemoto, H.; Hojo, H.; Mukai, N.; Hashimoto, Y. J. Chem. Soc. Chem. Commun. 1992, 157.
- Edie, R.G.; Hackler, R.E.; Krumkains, E.V. Eur. Pat. Appl. Ep. 49 (C.A.: 1992, 116: 128957y).
- Gangjee, A.; Devraj, R.; Barrews, L.R. J. Med. Chem. 1994, 37, 1169. [PubMed]
- Gewald, K. Chem. Ber. 1966, 99, 1002.
- Fathy, N.M.; Hassan, N.A.; Heba, S.H.; Abdel-Megeid, F.M.E. J.Fac.Sci. Menoufeia Uni. 1996, 10, 205.
- Samples Availability: Not available.
© 2000 by MDPI (http://www.mdpi.org). Reproduction is permitted for noncommercial purposes.

