Abstract
BiGdO3 nanoparticles were prepared by a solid-state reaction method and applied in photocatalytic degradation of dyes in this study. BiGdO3 was characterized by X-ray powder diffraction, X-ray photoelectron spectroscopy, scanning electron microscopy, Brunauer-Emmett-Teller, UV-Vis diffuse reflectance spectroscopy and transmission electron microscopy. The results showed that BiGdO3 crystallized well with the fluorite-type structure, a face-centered cubic crystal system and a space group Fm3m 225. The lattice parameter of BiGdO3 was 5.465 angstrom. The band gap of BiGdO3 was estimated to be 2.25 eV. BiGdO3 showed a strong optical absorption during the visible light region. Moreover, the photocatalytic activity of BiGdO3 was evaluated by photocatalytic degradation of direct dyes in aqueous solution under visible light irradiation. BiGdO3 demonstrated excellent photocatalytic activity in degrading Direct Orange 26 (DO-26) or Direct Red 23 (DR-23) under visible light irradiation. The photocatalytic degradation of DO-26 or DR-23 followed the first-order reaction kinetics, and the first-order rate constant was 0.0046 or 0.0023 min−1 with BiGdO3 as catalyst. The degradation intermediates of DO-26 were observed and the possible photocatalytic degradation pathway of DO-26 under visible light irradiation was provided. The effect of various operational parameters on the photocatalytic activity and the stability of BiGdO3 particles were also discussed in detail. BiGdO3/(visible light) photocatalysis system was confirmed to be suitable for textile industry wastewater treatment.
1. Introduction
Photocatalytic degradation has emerged as an efficient method for purification and treatment of polluted water and air in recent years [1,2,3,4,5,6,7,8,9,10,11,12]. Compared with conventional methods including physical, chemical and biological processes, photocatalysis was considered to be the most efficient and have a market prospect for the degradation of persistent organic pollutants [13,14,15]. Therefore, research on all kinds of photocatalysts for efficient photocatalysis has become a hot subject. Titanium dioxide (TiO2) was widely accepted as one of the most promising photocatalysts owing to its high activity, low cost, non toxicity and chemical stability [16,17,18,19]. However, TiO2 could only absorb UV light and it was not responding to the visible light area, thus the efficiency of TiO2 was low for utilization of sunlight (4%) [20,21,22]. UV light occupies only 5% in the solar spectrum, while the visible light between 400 and 750 nm occupies 41%. If the UV light part and the visible light part of sunlight could be fully utilized at the same time, the light quantum efficiency would be greatly improved.
One major direction for preparing efficient visible light photocatalysts is the use of non-metallic elements such as N, S, C, etc. to replace the oxygen element of TiO2. Element doping could reduce the band gap of the materials to extend its responding area to the visible region of the spectrum, and improved the light quantum efficiency to some extent [23,24,25,26,27,28,29,30,31]. Another direction is the preparation of composite oxides and complex compounds, such as rGO/C-MoO3, CoxZn1−xFe2O4-rGO, Fe3O4@C/Cu, Fe3O4@CuO, WO3/ZnO, Pt/Au/WO3, Ti/ZnO-Cr2O3, ZnO/CdS/TiO2, CoO-TiO2, CuO/SnO2/TiO2, BiPO4/TiO2/g-C3N4, AgInS2, ZnS-AgInS2, Ag2Mo4O13, K6Nb10.8O30, Y2Sn2O7, Ca2Nb-2O7, Bi2GaTaO7, ZnO-T, and ZnO nano- and microneedles [32,33,34,35,36,37,38,39,40,41,42,43,44,45,46,47,48,49,50] which showed photocatalytic activity under visible light irradiation. These metal oxides as photocatalysts have relatively high photocatalytic activity because of their unique arrangement of electronic structure, charge transport characteristics and light absorption properties, which could generate photoexcited charge carriers and show remarkable stability under varying conditions [51]. Bismuth oxide (Bi2O3) is an important p-type semiconductor and has been extensively investigated for various applications owing to its unique optical and electrical properties [52,53,54,55,56,57]. The band gap of Bi2O3 (2.58 eV) is narrower than the band gap of TiO2 (3.2 eV), thus Bi2O3 has been investigated as a visible-light-driven photocatalyst. However, the rapid recombination of the photogenerated electron-hole pairs led to a low activity of Bi2O3 [58,59,60]. Moreover, many bismuth-based mixed oxides such as BiVO4, Bi2WO6, Bi2Ti2O7, Bi12TiO20, and In2BiTaO7 [61,62,63,64,65,66,67,68,69] have been reported to be excellent visible light photocatalysts. The Bi 6s2 lone pairs of electron might play an important role in these compounds [70,71].
Some previous reports have shown that Gd3+, a rare earth ion, S doped on the photocatalysts could greatly enhance the photocatalytic activity under visible light irradiation. Guo et al. [72] evaluated the photocatalytic activity of Bi1−xGdxFeO3 (x = 0, 0.05, 0.1, and 0.15) for the photodegradation of rhodamine B and the acquired results showed that the low concentration of Gd doping below x = 0.1 could significantly increase the photocatalytic activity of the photocatalysts compared with the pure BiFeO3 nanopowders. Luo et al. [73] reported that Gd-doped porous Bi2O3 microspheres, accompanied with different Gd concentrations, 0%, 1%, 2%, 3% and 4%, prepared by a simple hydrothermal synthesis method, could degrade 95.7%, 98.2%, 97.1% and 91.1%, respectively of rhodamine B under visible light irradiation for 120 min, and also could degrade 97.0%, 99.3%, 98.1% and 80.5%, respectively, of methyl orange under visible light irradiation for 28 min, which showed higher photocatalytic activity than the pure β-Bi2O3 catalyst. The main effect of rare earth ion Gd3+ doping on the photocatalytic activity of the photocatalysts was that Gd3+ could trap photoelectrons as efficient scavengers, which decreased the recombination probability of the electron-hole pairs [73,74,75].
Previous works indicated that photoexcitation of an electron in an O2p and Bi6s hybrid orbital could lead to a charge transfer occurring to a d orbital of the other metal in the composite oxide [76,77]. Gd had one occupied 4d orbital in the ground state and Gd–Bi composite oxide might be responding to the visible light irradiation. In the present paper, BiGdO3 nanoparticles were synthesized by a solid-state reaction method and tested to be efficient for photocatalytic degradation of dyes. The structural, optical and photocatalytic properties of BiGdO3 were studied in detail. This work concentrated on the photocatalytic properties of BiGdO3 for photodegradation of direct dyes in aqueous solution under visible light irradiation. The effect of various operational parameters on the photocatalytic degradation efficiency was examined in detail. The stability of both material and performance of BiGdO3 as a visible light photocatalyst was also investigated by material characterization and the repeated photocatalytic degradation tests. Finally, the degradation intermediates of DO-26 were observed and the possible photocatalytic degradation pathway of DO-26 was studied.
2. Results and Discussion
2.1. Structural and Optical Properties
2.1.1. XRD Analysis
Figure 1 shows the powder X-ray diffraction pattern of BiGdO3 together with full-profile structure refinements of the collected data as obtained by the RIETAN™ [78] program, which was based on the Rietveld analysis. It can be seen in Figure 1 that all the diffraction peaks of the sample were sharp shape and were identical to the standard card (JSPDS 27-1043). It meant that the as-prepared bismuth gadolinium oxide BiGdO3 was single phase and was of high purity. According to the high purity of the precursors that were used in this study, it was unlikely that the observed space groups originate from the presence of impurities. Figure 2 shows the XRD patterns of BiGdO3 prepared at different temperatures. It was clear that BiGdO3 was not formed completely when BiGdO3 was treated at 750 °C for 10 h (as shown in Figure 2a) because there were small peaks which indicated that other phases existed. The reason was that the melting point 820 °C of Bi2O3 or the melting point 2330 °C of Gd2O3 was higher than 750 °C, as a result, the solid particle of Bi2O3 and the solid particle of Gd2O3 were difficult to form single phase BiGdO3 by mutual diffusion of the solid phase particles when they were put in the electric furnace with the highest sintering temperature of 750 °C. The characteristic diffraction peaks of the sample which was treated at 1050 °C for 12 h (as shown in Figure 2b) were not so clear compared with the sample which was treated at 750 °C for 10 h, 850 °C for 10 h, and then at 1050 °C for 12 h (as shown in Figure 2c) with an intermediate regrinding process. It showed that, with the three-step treatment procedure, the sintering reaction proceeded completely and a better crystallized BiGdO3 could be obtained. The main reasons were that the solid particle of Bi2O3 and the solid particle of Gd2O3 did not form single phase at the temperature of 750 °C, and then the grinding process increased the opportunity of high temperature diffusion between Bi2O3 and Gd2O3. Secondly, Bi2O3 melted and Gd2O3 did not melt at the temperature of 850 °C. In addition, high temperature diffusion between the molten liquid particle of Bi2O3 and the solid particle of Gd2O3 was easier to form single phase BiGdO3. Finally, the molten liquid particle of Bi2O3 and the solid particle of Gd2O3, which remained at the high temperature (1050 °C) for a long time could diffuse evenly and form a purer single phase BiGdO3. Moreover, rapid heating process avoided the formation of the single phase BiGdO3 in the heating intermediate process and guaranteed the single phase BiGdO3 to form beginning at 1050 °C. Furthermore, slow cooling process avoided the particles to become brittle because rapid cooling would result in imperfect crystallization of the single phase BiGdO3 or crystal defect of BiGdO3. In conclusion, the novelty of this method was that the synthesis of the purely single phase BiGdO3 utilized three-step sintering grinding method for the first time.
Figure 1.
X-ray powder diffraction patterns and Rietveld refinements of BiGdO3. A difference (observed-calculated) profile is shown beneath. The tic marks represent reflection positions.
Figure 2.
X-ray powder diffraction patterns of BiGdO3 samples prepared at different temperatures: (a) sample prepared at 750 °C for 10 h; (b) sample prepared at 1050 °C for 12 h; and (c) sample prepared at 750 °C for 10 h, 850 °C for 10 h and then at 1050 °C for 12 h with an intermediate regrinding process.
The crystal structure of BiGdO3 was successfully refined by using the Rietveld method from the X-ray diffraction data. The result of the final refinement for BiGdO3 displayed a good agreement between the observed intensities and calculated intensities. As a result, BiGdO3 possessed the fluorite-type structure, a face-centered cubic crystal system and a space group Fm3m 225 (O atoms were included in the model). The lattice parameter α for BiGdO3 from the refined result was 5.465 angstrom. According to the Bragg Equation (1) and the calculation formula for cubic crystal face spacing Equation (2):
where d was the face spacing, θ was the diffraction angle, and h, k and l were the crystal indices. According to above equations, the lattice parameter α for BiGdO3 was calculated to be 5.472 angstrom, which was close to the refined result. All the diffraction peaks for BiGdO3 could be successfully indexed according to the lattice constant and above space group. The atomic coordinates and structural parameters of BiGdO3 are listed in Table 1. The outcome of the refinement for BiGdO3 generated the R-factor of the Rietveld refinement. RP factor (unweighted residual error), one of the reliability index parameters, showed the difference between the observed and simulated powder diffraction patterns [79,80]. In our experiments, RP was 14.14% with space group Fm3m 225 for BiGdO3. This means that there was small difference between the observed and simulated powder diffraction patterns.
Table 1.
Structural parameters of BiGdO3.
2.1.2. XPS Spectra
Figure 3 presents the XPS spectrum of BiGdO3. It was obvious that the observed XPS spectra of BiGdO3 showed neither shoulders nor widening peaks, suggesting (albeit not proving) the absence of any other phases. The sample showed the presence of bismuth (Bi 4f, Bi 4d, and Bi 5d), gadolinium (Gd 3d, Gd 4d, and Gd 4f), oxygen (O 1s) and carbon (C 1s). Moreover, the peak of C 1s was attributed to the surface adsorption pollution. Figure 4 shows the XPS peaks of: Bi 4f (A); Gd 3d (B); O 1s (C); and the split of O 1s (D) in BiGdO3. Various elemental peaks, which correspond to specific binding energies of BiGdO3, are provided in Table 2. The binding energies of Bi 4f5/2, Bi 4f7/2, Gd 3d3/2 and Gd 3d5/2 in BiGdO3 were 163.1, 157.8, 1218.2 and 1185.9 eV, respectively. It can be seen in Table 2 that there were two peaks with different binding energies for oxygen (O 1s). The split of O 1s peaks in Figure 4D was assigned to O 1s peaks of crystal lattice oxygen (528.8 eV) and surface adsorbed oxygen (530.4 eV) [81]. Surface adsorbed oxygen might correspond to the hydroxyl oxygen, which was significant for the improvement of the photocatalytic efficiency. Hydroxyl oxygen, which was adsorbed onto the surface of the photocatalyst, was in favor of the generation of hydroxyl radicals.
Figure 3.
XPS spectrum of BiGdO3.
Figure 4.
XPS peaks of: Bi 4f (A); Gd 3d (B); O 1s (C); and split of O 1s (D) in BiGdO3.
Table 2.
Binding energies of Bi 4f, Gd 3d and O 1s in BiGdO3.
For BiGdO3, surface elemental analysis revealed that the average atomic ratio of Bi:Gd:O is 10.33:9.87:42.84. The ratio of Bi:Gd in the sample was almost the ratio of 1:1. The value of oxygen was high because there was a lot of adsorbed oxygen on the surface.
2.1.3. TEM and SEM Analyses
The morphology and microstructure of the as-prepared sample were examined by TEM, SEM and EDS. Figure 5 displays the TEM and SEM image of BiGdO3. We could observe from the images of BiGdO3 that the particles presented nanoscale and irregular-shaped appearance and that the distribution was relatively uniform. The average particle size of BiGdO3 approached 750 nm.
Figure 5.
(a) TEM image of BiGdO3; and (b) SEM image of BiGdO3.
Figure 6 shows the EDS spectrum of BiGdO3. The EDS spectrum that was taken from the prepared BiGdO3 displayed the presence of bismuth, gadolinium and oxygen. Moreover, the peak of C was attributed to surface adsorption pollution. Other elements could not be identified from BiGdO3. The ratio of Bi:Gd:O in BiGdO3 sample was 12.57:12.88:39.53, which was accordant with the ratio of 1:1:3 expected from the BiGdO3 molecular formula. The results further indicated that the oxidation state of Bi, Gd and O ions from BiGdO3 were +3, +3 and −2, respectively. According to the above available data, it could be concluded that the sample which was prepared with Bi2O3 and Gd2O3 in a solid state reaction was BiGdO3, which was in agreement with the results of XRD and XPS analyses.
Figure 6.
EDS spectrum of BiGdO3.
2.1.4. BET Analysis
The specific surface area detected by the BET isotherm measurements was 3.25 m2·g−1 for BiGdO3. The specific surface area of BiGdO3 was almost 14 times smaller than that of TiO2, which was measured to be 46.24 m2·g−1. Many catalysts that are produced by solid state methods often exhibit low surface area, but might own good photocatalytic activity. Photocatalytic materials LiBi4M3O14 (M = Nb, Ta) that were prepared by Muktha et al. [82] showed reasonable photocatalytic activity for degrading dyes and organic compounds, despite their low BET surface area (0.3 or 0.1 m2·g−1).
2.1.5. UV-Vis Diffuse Reflectance Spectra
UV-Vis diffuse reflectance spectroscopy was carried out to investigate the optical properties of the photocatalyst sample. Figure 7a presents the UV-Vis diffuse reflectance spectrum of BiGdO3, Bi2O3, Gd2O3 and TiO2. For a comparison, the UV-Vis diffuse reflectance spectra of Bi2O3, Gd2O3 and TiO2 were also provided in Figure 7a. As we all know, the well-known TiO2 whose absorption edge was at less than 380 nm had no response to the visible light irradiation. It could be seen that the absorption edge of BiGdO3 was found to be at 585 nm, which belonged to the visible region of the spectrum. It was obvious that the as-prepared BiGdO3 exhibited absorption range extending from the UV light region to 600 nm, which was wider than the range of Bi2O3. We could draw a conclusion from the researches reported by Oshikiri et al. [83] and Zheng et al. [84] that the positions and width of the conduction band and the valence band of BiGdO3 could be investigated by calculating the electronic band structure of Bi2O3, Gd2O3 and BiGdO3 with the plane-wave-based density functional method. Moreover, the band structure calculations of Bi2O3, Gd2O3 and BiGdO3 might be performed with the program of Cambridge serial total energy package (CASTEP) and first-principles simulation [85]. The CASTEP calculation was composed of the plane-wave pseudopotential total energy method according to the density functional theory. The valence band of Bi2O3 or Gd2O3 was composed of 2p orbital of oxygen, while the conduction band of Bi2O3 or Gd2O3 was composed of 6p orbital of bismuth or 5d orbital and 6s orbital of gadolinium, respectively. Our previous works similarly explained [85,86] that the conduction band of the BiGdO3 photocatalyst consisted mainly of Gd 5d orbital component, while the valence band of BiGdO3 consisted of mainly O 2p orbital component, Bi 6p orbital component and Gd 6s orbital component. The contribution of the valence band on the value of band gap of the BiGdO3 photocatalyst was mainly owing to the hybridization among Bi 6p orbital component, Gd 5d orbital component and Gd 6s orbital component. The top of the value band of BiGdO3 increased and the distance between the top of the valence band of BiGdO3 and the bottom of the conduction band of BiGdO3 decreased. This change caused the decrease of band gap of the BiGdO3 photocatalyst, which was the main reason for the red-shift of the spectrum for BiGdO3. Another possible reason was the different electronic structures of Bi2O3, Gd2O3 and BiGdO3.
Figure 7.
(a) UV-Vis diffuse reflectance spectra of BiGdO3, Bi2O3, Gd2O3 and TiO2; and (b) plot of (αhν)1/n versus hν for BiGdO3 (inset).
For a crystalline semiconductor, the optical absorption near the band edge followed the equation [87,88]:
where A, α, Eg and ν were proportional constant, absorption coefficient, band gap and light frequency respectively. Within this equation, n determined the character of the transition in a semiconductor. Eg and n could be calculated by the following steps: (i) plotting ln(αhν) versus ln(hν-Eg) by assuming an approximate value of Eg; (ii) deducing the value of n based on the slope in this graph; and (iii) refining the value of Eg by plotting (αhν)1/n versus hν and extrapolating the plot to (αhν)1/n = 0. According to this method, the inset in Figure 7b shows the plot of (αhν)1/n versus hν for BiGdO3. The band gap of BiGdO3 was calculated to be 2.25 eV according to above equation, while the value of n for BiGdO3 was 0.5, indicating that the optical transition for BiGdO3 is directly allowed. Furthermore, the band gap of Bi2O3 was calculated to be 2.65 eV. Thus, the above results indicated an enhanced visible light absorption of BiGdO3 and a narrower band gap compared with Bi2O3.
2.2. Evaluation of Photocatalytic Activity
The photocatalytic activities of the as-prepared BiGdO3 samples were evaluated by the degradation of Direct Orange 26, Direct Red 23 or phenol under visible light irradiation. Direct Orange 26, Direct Red 23 or phenol was degraded well by using BiGdO3 as a photocatalyst under visible light irradiation. The effect of various operational parameters, namely, catalyst loading, initial concentration of Direct Orange 26 or Direct Red 23, pH value, light intensity and coexisting ions on the photocatalytic degradation efficiency was investigated in detail.
2.2.1. Photocatalytic Degradation of Direct Orange 26 or Direct Red 23 or Phenol
Figure 8 shows the comparison of removal efficiencies between Direct Orange 26 and Direct Red 23 under different conditions. As shown in Figure 8, the suspension had already reached adsorption/desorption equilibrium between the dye and the catalyst when stirred in the dark for 30 min, maintaining the decolorization rate of 31% for Direct Orange 26 (obtained from Figure 8A) and the decolorization rate of 23% for Direct Red 23 (obtained from Figure 8B) using BiGdO3 as a photocatalyst when stirred in the dark for 360 min. It could be concluded from the observation of the color of the catalyst that the adsorption process was just physical adsorption. The BiGdO3 particles changed to deep orange or red after the adsorption process while the particles still presented their original color after photocatalytic reaction, which meant that the adsorbed dye was also degraded during the reaction. It can be seen in Figure 8 that the photocatalytic degradation efficiency was 83.7% for Direct Orange 26 and 60.8% for Direct Red 23 using BiGdO3 as a photocatalyst under visible light irradiation within 360 min, while the photocatalytic degradation efficiency was 39.8% for Direct Orange 26 and 37.1% for Direct Red 23 using Bi2O3 as a catalyst or 16.3% for Direct Orange 26 and 21.8% for Direct Red 23 using Gd2O3 as a catalyst under visible light irradiation within 360 min. It can be seen in Figure 7a that Gd2O3 had no visible light response, but Gd2O3 did have a faint degradation efficiency on Direct Orange 26 or Direct Red 23 under visible light irradiation. The possible reasons of this phenomenon were the adsorption of the Gd2O3 sample and the photosensitive effect of Direct Orange 26 or Direct Red 23. These catalysts could be arranged in order of increasing degradation efficiency during the same reaction time: Gd2O3 < Bi2O3 < BiGdO3. The results in Figure 8 indicate that BiGdO3 had better photocatalytic activities for Direct Orange 26 or Direct Red 23 than Bi2O3 or Gd2O3. The cost of 100 g Gd2O3 and Bi2O3 was 63.2 dollars and 64.5 dollars, respectively, while the synthesis of 100 g pure BiGdO3 catalyst totally cost about 71 dollars, indicating that BiGdO3 had higher cost performance than Bi2O3 and Gd2O3. Additionally, there was almost no decrease for the UV-Vis absorbance signal of Direct Orange 26 or Direct Red 23 that was obtained under visible light irradiation in the absence of a photocatalyst.
Figure 8.
Comparison of removal efficiencies between Direct Orange 26 (A) and Direct Red 23 (B) under different conditions.
In order to quantitatively understand the reaction kinetics of the degradation of Direct Orange 26 or Direct Red 23, a pseudo first order was utilized to fit the experimentally obtained data. Figure 9 presents the reaction kinetics of the photocatalytic degradation of Direct Orange 26 or Direct Red 23 by using BiGdO3 as a photocatalyst. The pseudo first order indicated a linear correlation between ln(Co/C) and the visible light irradiation time. In the above equation, C represents the dye concentration at time t, and Co represents the initial dye concentration. On the basis of the correlation result between ln(Co/C) and the irradiation time, the first-order rate constant k was estimated to be 0.0046 min−1 for Direct Orange 26. For Direct Red 23, the first-order rate constant k was estimated to be 0.0023 min−1, which was smaller than that for Direct Orange 26.
Figure 9.
The first-order kinetic plots for the photocatalytic degradation of Direct Orange 26 or Direct Red 23 using BiGdO3 as a photocatalyst.
Figure 10 shows the degradation rate of phenol by using BiGdO3 as catalyst under visible light irradiation with respect to time. It can be seen in Figure 10 that the photocatalytic degradation rate of phenol was very low and could be ignored without adding BiGdO3 as a photocatalyst. Obviously, we could observe that an improved activity was also obtained when colorless phenol was also selected as a contaminant model with BiGdO3 as catalyst. The photocatalytic degradation efficiency of phenol was 59.8% by using BiGdO3 as a photocatalyst under visible light irradiation after 360 min, indicating that the catalyst BiGdO3 itself had photocatalytic activity and that the photodegradation process of Direct Orange 26 or Direct Red 23 by using BiGdO3 as a photocatalyst was not mainly due to photosensitive effect [89]. The above results revealed that the as-prepared catalyst BiGdO3 could decompose dye Direct Orange 26 or Direct Red 23 efficiently, at the same time, BiGdO3 could also degrade non-dye compounds, such as phenol. Ao et al. [90] used the same verification method to prove that the photodegradation process of dye by using as-prepared photocatalyst was not mainly due to the photosensitive effect.
Figure 10.
Photocatalytic activity of BiGdO3 for degrading phenol under visible light irradiation.
2.2.2. Effect of Various Operational Parameters
Figure 11 presents the effect of the catalyst loading on the photocatalytic degradation efficiency of Direct Orange 26 or Direct Red 23. The catalyst loading varied from 0.4 to 1.6 g/L with the initial concentration of 30 mg/L from Direct Orange 26 or Direct Red 23 and the original pH value of 6.2 from Direct Orange 26 or Direct Red 23. It can be seen in Figure 11 that the photocatalytic degradation efficiency of Direct Red 23 slightly increased while the catalyst loading increased from 0.4 to 1.6 g/L. The photocatalytic degradation efficiency of Direct Orange 26 increased while the catalyst loading increased from 0.4 to 1.2 g/L but decreased when the catalyst loading increased further to 1.6 g/L. The decrease of degradation efficiency for above dyes with increasing catalyst loading could be attributed to the increased opacity of the solution, which hindered the light transmission through the solution. Owing to the decrease of the effective light intensity, the photo generation of electrons and positive holes would be reduced and then the photocatalytic degradation efficiency of above dyes was also reduced [91,92]. With the catalyst loading of 1.2 g/L, the photocatalytic degradation efficiency of Direct Orange 26 was 87.1% which was a little higher than 83.7% with the catalyst loading of 1.0 g/L. Therefore, taking both the economic and efficient factors into consideration, the catalyst loading of 1.0 g/L was chosen as optimum loading content.
Figure 11.
Effect of the catalyst loading on the photocatalytic degradation efficiency of Direct Orange 26 or Direct Red 23.
Figure 12 describes the effect of the initial concentration of Direct Orange 26 or Direct Red 23 on the photocatalytic degradation of Direct Orange 26 or Direct Red 23. With the initial catalyst loading of 1.0 g/L and the original pH value of 6.2 within the dye solution, the initial concentration of Direct Orange 26 or Direct Red 23 varied from 10 to 100 mg/L. It was found from Figure 12 that with increasing the initial concentration of Direct Orange 26 or Direct Red 23, the degradation efficiency of Direct Orange 26 or Direct Red 23 decreased. The main reason was that with increasing the concentration of above dyes, the amount of organic species which would be degraded increased [93], but the photocatalyst loading, the generation amount of e−/h+ pairs, dissolved oxygen concentration, intensity of light illumination and light illumination time were constant during the photocatalytic degradation process. Another reason was that the high concentration of Direct Orange 26 or Direct Red 23 reduced the light transmittance possibility towards the solution [94]. Thus, when increasing the initial concentration of Direct Orange 26 or Direct Red 23, the photocatalytic degradation efficiency of above dyes decreased. Comprehensively, considering the total pollutant removal efficiency and suitable reaction time, the initial concentration of 30 mg/L for Direct Orange 26 or Direct Red 23 was selected in the following reactions.
Figure 12.
Effect of the initial concentration of Direct Orange 26 or Direct Red 23 on the photocatalytic degradation of Direct Orange 26 or Direct Red 23.
Solution with the initial concentration of 30 mg/L for Direct Orange 26 or Direct Red 23 and catalyst loading of 1.0 g/L was utilized to investigate the effect of the initial pH value on the photocatalytic degradation efficiency of Direct Orange 26 or Direct Red 23. Figure 13 shows the effect of the initial pH value on the photocatalytic degradation efficiency of Direct Orange 26 or Direct Red 23. The initial pH value of Direct Orange 26 solution or Direct Red 23 solution varied from 4 to 12 by utilizing the solution of HCl or NaOH. As shown in Figure 13, the degradation efficiency of Direct Orange 26 or Direct Red 23 increased with decreasing pH value within acidic pH value range and the degradation efficiency of Direct Orange 26 or Direct Red 23 achieved the highest at the pH value of 4. During alkaline pH value range, with the increase of pH value, the degradation efficiency of Direct Orange 26 or Direct Red 23 firstly decreased and then increased. The minimum degradation efficiency of Direct Orange 26 or Direct Red 23 was found to be at the pH value of 10. The effect of the initial pH value was significantly important and generally complex in photocatalytic degradation of organic pollutants [81]. It was reported that the effect of the initial pH value on the photocatalytic degradation efficiency of organic pollutants performed mainly on surface adsorption, the aggregation of the catalyst and the band position of the catalyst in the solution [95,96]. The initial pH value could directly affect the nature of the charge, which was carried by the catalyst surface and the adsorption behavior of the pollutant on the catalyst surface. In addition, direct dyes were easily adsorbed on to the surface of the catalysts under strong acidic condition. Therefore, strong acidic condition was better for excellent photocatalytic degradation of direct dyes according to above results. Moreover, there were a lot of OH− anions, which existed in the solution when the pH value was from 10 to 12. The h+ could easily react with a large amount of OH− for generating active ·OH species which could increase the photocatalytic degradation efficiency of Direct Orange 26 or Direct Red 23 [97,98,99,100]. Therefore, the degradation efficiency of Direct Orange 26 or Direct Red 23 could increase during strong alkaline pH value range.
Figure 13.
Effect of the initial pH value on the photocatalytic degradation efficiency of Direct Orange 26 or Direct Red 23.
In order to investigate the effect of the visible light intensity on the photocatalytic degradation efficiency of Direct Orange 26 or Direct Red 23, two kinds of light source were applied in the reaction system. Figure 14 shows the effect of the light intensity on the photocatalytic degradation efficiency of Direct Orange 26 and the first-order kinetic plots for the photocatalytic degradation of Direct Orange 26 with different light intensity under visible light irradiation. As shown in Figure 14A, the photocatalytic degradation of Direct Orange 26 with a 500 W Xe arc lamp performed better than that with a 250 W Xe arc lamp. The photocatalytic degradation efficiency of Direct Orange 26 with a 500 W Xe arc lamp was 83.7% while that with a 250 W Xe arc lamp was only 56.9% after visible light irradiation of 360 min. The reaction kinetics of the photocatalytic degradation of Direct Orange 26 with BiGdO3 as a photocatalyst under different light irradiation conditions were clearly demonstrated in Figure 14B. According to the correlative result between ln(Co/C) and the light irradiation time, the first-order rate constant k was estimated to be 0.0019 min−1 with a 250 W Xe arc lamp as light source. While the first-order rate constant k was estimated to be 0.0046 min−1 with a 500 W Xe arc lamp as light source, indicating that the photocatalytic activity of the BiGdO3 sample was significantly improved by using a high-power light source. Figure 15 shows the effect of the light intensity on the photocatalytic degradation efficiency of Direct Red 23 and the first-order kinetic plots for the photocatalytic degradation of Direct Red 23 with different light intensity under visible light irradiation. Similarly, the photocatalytic degradation of Direct Red 23 with a 500 W Xe arc lamp performed better than that with a 250 W Xe arc lamp as shown in Figure 15. The photocatalytic degradation efficiency of Direct Red 23 with a 500 W Xe arc lamp was 60.8% and the first-order rate constant k was estimated to be 0.0023 min−1 after visible light irradiation of 360 min. While with a 250 W Xe arc lamp as light source, the photocatalytic degradation efficiency of Direct Red 23 was 48.4% and the first-order rate constant k was estimated to be 0.0016 min−1 after visible light irradiation of 360 min. The main reason of this observation which was reported by previous studies was that higher light intensity provided more photons within a given time, accelerated photolytic reaction ratio, and thus made it possible to achieve maximum degradation yield [101,102,103].
Figure 14.
Effect of the light intensity on the photocatalytic degradation efficiency of Direct Orange 26 (A); and the first-order kinetic plots for the photocatalytic degradation of Direct Orange 26 (B) with different light intensity under visible light irradiation.
Figure 15.
Effect of the light intensity on the photocatalytic degradation efficiency of Direct Red 23 (A); and the first-order kinetic plots for the photocatalytic degradation of Direct Red 23 (B) with different light intensity under visible light irradiation.
2.2.3. Effect of Coexisting Salts
Composition of actual dye wastewater was very complicated and might contain several salts with different concentrations. In addition, all kinds of salts, which were contained within the dye wastewater, might exert negative or positive influence on the photocatalytic degradation efficiency of dye pollutants. Figure 16 shows the effect of the presence of the coexisting salts on the photocatalytic degradation efficiency of Direct Orange 26. The amount of each salt varied from 0.1 to 2.0 g/L. It can be clearly seen in Figure 16 that the salts had different effect on the photocatalytic degradation efficiency of Direct Orange 26. In case of NaCl, the photocatalytic degradation efficiency of Direct Orange 26 increased with increasing the amount of NaCl and obtained the maximum value with an optimal dosage of 0.5 g/L. On the contrary, both of Na2SO4 and Na2CO3 had a detrimental effect on the photocatalytic degradation efficiency of Direct Orange 26. With increasing the amount of Na2SO4, the degradation efficiency of Direct Orange 26 decreased gently. Similar trend was observed for the photocatalytic degradation of diazo dyes [100,104]. As to Na2CO3, the degradation efficiency of Direct Orange 26 decreased suddenly when Na2CO3 of 0.1 g/L was added to the solution. The negative effect could be attributed to the reason that CO32− and SO42− anions inhibited the photocatalytic activity of BiGdO3 by trapping ●OH or h+ in the reaction system [105,106,107,108]. The pH value of the solution varied from 6.2 to 9.1 with the amount of Na2CO3 which varied from 0 to 2.0 g/L. It can be seen in Figure 13 that the photocatalytic degradation efficiency of Direct Orange 26 gradually decreased when the pH value varied from 4.2 to 10.2. Moreover, CO32− ions addition brought about pH changes that weakened the adsorption of Direct Orange 26 on BiGdO3 and inhibited the photocatalytic oxidation [109]. The following Equations (4)–(7) show the scavenging properties of carbonate ion and sulfate ion.
CO32− + ⋅OH → OH− + CO3−⋅
HCO3− + ⋅OH → H2O + CO3−⋅
SO42− + h+ → SO4−⋅
SO42− + ⋅OH → OH− + SO4−⋅
Figure 16.
Effect of the coexisting salts on the photocatalytic degradation efficiency of Direct Orange 26.
Though SO42− played a negative role during the photocatalytic degradation process of Direct Orange 26, the SO4−● which was produced in Equations (6) and (7) could increase the photocatalytic degradation efficiency of Direct Orange 26 by trapping the photogenerated electrons and/or generating hydroxyl radical (Equations (8) and (9)).
SO4−⋅ + e− → SO42−
SO4−⋅ + H2O → ⋅OH + SO42− + H+
According to Equations (6) and (7), we acquired a result that generating a certain amount of SO4−● would consume an equal amount of ●OH or h+. Although SO4−● was a strong oxidant, the activity and the amount of product SO4−● was less than the activity and the amount of ●OH or h+ [110]. Thus, SO4−● anions resulted in a mild decrease for the photocatalytic degradation efficiency of Direct Orange 26 compared with CO32− anions. Cl− was also reported to have negative influence on the photocatalytic degradation efficiency of dye pollutants because Cl− was a reducing agent and competed with dye molecules for holes [109,111]. The hole scavenging property for chloride ion was shown in the following Equations (10) and (11).
While chlorine radicals formed slowly, they were instantaneously turned to chloride radical anions. However, situation was different that the existing of Cl− increased the degradation efficiency of Direct Orange 26 in this experimental case. During the dyeing process of direct dyes, sodium chloride and sodium sulfate were usually utilized to improve the dyeing efficiency of the direct dyes. It was supposed that the existing of Cl− anions or SO42− anions might promote the aggregation of dyes to the surface of the catalysts. Thus, in the case of NaCl, the increase of the degradation efficiency for Direct Orange 26 might be attributed to the effect of good adsorption.
In order to remove negative effects which originated from the formation of sulfate and carbonate ions in the photocatalytic degradation process, we presented the desulfurization system or adjusted the pH value of the solution. Moreover, we also utilized BaCl2 to remove sulfate and carbonate ions in the photocatalytic system by using BiGdO3 as a photocatalyst under visible light irradiation.
2.2.4. Stability of BiGdO3
In order to study the stability of both material and performance for BiGdO3 as a visible light catalyst, property characterization of BiGdO3 and repeated photocatalytic degradation tests of Direct Orange 26 were carried out. The structure of BiGdO3 after photocatalytic degradation of Direct Orange 26 under different conditions was examined by measuring the XRD patterns of every BiGdO3 sample. Figure 17 presents the X-ray powder diffraction patterns of all BiGdO3 samples that contain the original BiGdO3 sample and the BiGdO3 sample that was obtained after photocatalytic degradation of Direct Orange 26. It can be seen in the XRD patterns (Figure 17) that the XRD pattern of the BiGdO3 sample after the photocatalytic degradation of Direct Orange 26 was the same as that of the original BiGdO3 sample.
Figure 17.
X-ray powder diffraction patterns of every BiGdO3 sample: (a) the original BiGdO3 sample; and (b) the BiGdO3 sample after photocatalytic degradation of Direct Orange 26.
Figure 18 presents the X-ray powder diffraction patterns of all BiGdO3 samples that are obtained after photocatalytic degradation of Direct Orange 26 by adding salts or adding alkali or adding acid. According to the characteristic diffraction peaks as shown in Figure 18, changes could not be observed compared with the peaks of the original BiGdO3 sample. Namely, the crystal structure of BiGdO3 was stable when acid or alkali or salt was added to the dye solution. The above results clearly indicated the excellent stability of the as-prepared BiGdO3.
Figure 18.
X-ray powder diffraction patterns of all BiGdO3 samples after photocatalytic degradation of Direct Orange 26 under different conditions: (a) adding salts; (b) adding alkali; and (c) adding acid.
Figure 19 presents the repeated photocatalytic degradation tests of Direct Orange 26 with BiGdO3 as photocatalyst under visible light irradiation. The photocatalytic degradation of Direct Orange 26 with BiGdO3 as photocatalyst under visible light irradiation was repeated four times. It can be seen in Figure 19 that the removal efficiencies of Direct Orange 26 were 82.9%, 79.7% and 78.9% for the second, third and fourth cycles respectively, after visible light irradiation of 360 min. It can be seen in Figure 19 that the activity slightly decreased after the first cycle, which was probably due to the drop of a small amount of BiGdO3 particles. Furthermore, the crystal structure of BiGdO3 was stable and the morphology of BiGdO3 did not change after every repeated cycles. Although the photocatalytic degradation efficiency of Direct Orange 26 for the repeated cycles slightly decreased compared with the photocatalytic degradation efficiency of 83.7% for Direct Orange 26 that was obtained from the first-cycle result, BiGdO3 still showed excellent stability and was considered to be an efficient photocatalyst.
Figure 19.
Repeated photocatalytic degradation tests of Direct Orange 26 with BiGdO3 as catalyst under visible light irradiation.
Figure 20 shows the change of TOC concentration during photocatalytic degradation of Direct Orange 26 and Direct Red 23 with BiGdO3 as photocatalyst under visible light irradiation. The TOC measurements revealed the disappearance of organic carbon in the Direct Orange 26 solution or Direct Red 23 solution which contained BiGdO3. The results indicated that 81.49% of TOC decrease was obtained during photocatalytic degradation of Direct Orange 26 after visible light irradiation for 360 min when BiGdO3 was utilized as photocatalyst. In addition, it can also be seen in Figure 20 that 59.19% of TOC decrease was obtained during photocatalytic degradation of Direct Red 23 after visible light irradiation for 360 min with BiGdO3 as catalyst. Therefore, the above results showed that Direct Orange 26 was more easily to be mineralized compared with Direct Red 23 with BiGdO3 as catalyst under visible light irradiation. According to the results in Figure 8 and Figure 20, it could be found that the photodegradation intermediate products of Direct Orange 26 or Direct Red 23 appeared during the photocatalytic degradation of Direct Orange 26 or Direct Red 23 under visible light irradiation.
Figure 20.
The change of TOC concentration during photocatalytic degradation of Direct Orange 26 and Direct Red 23 with BiGdO3 as catalyst under visible light irradiation.
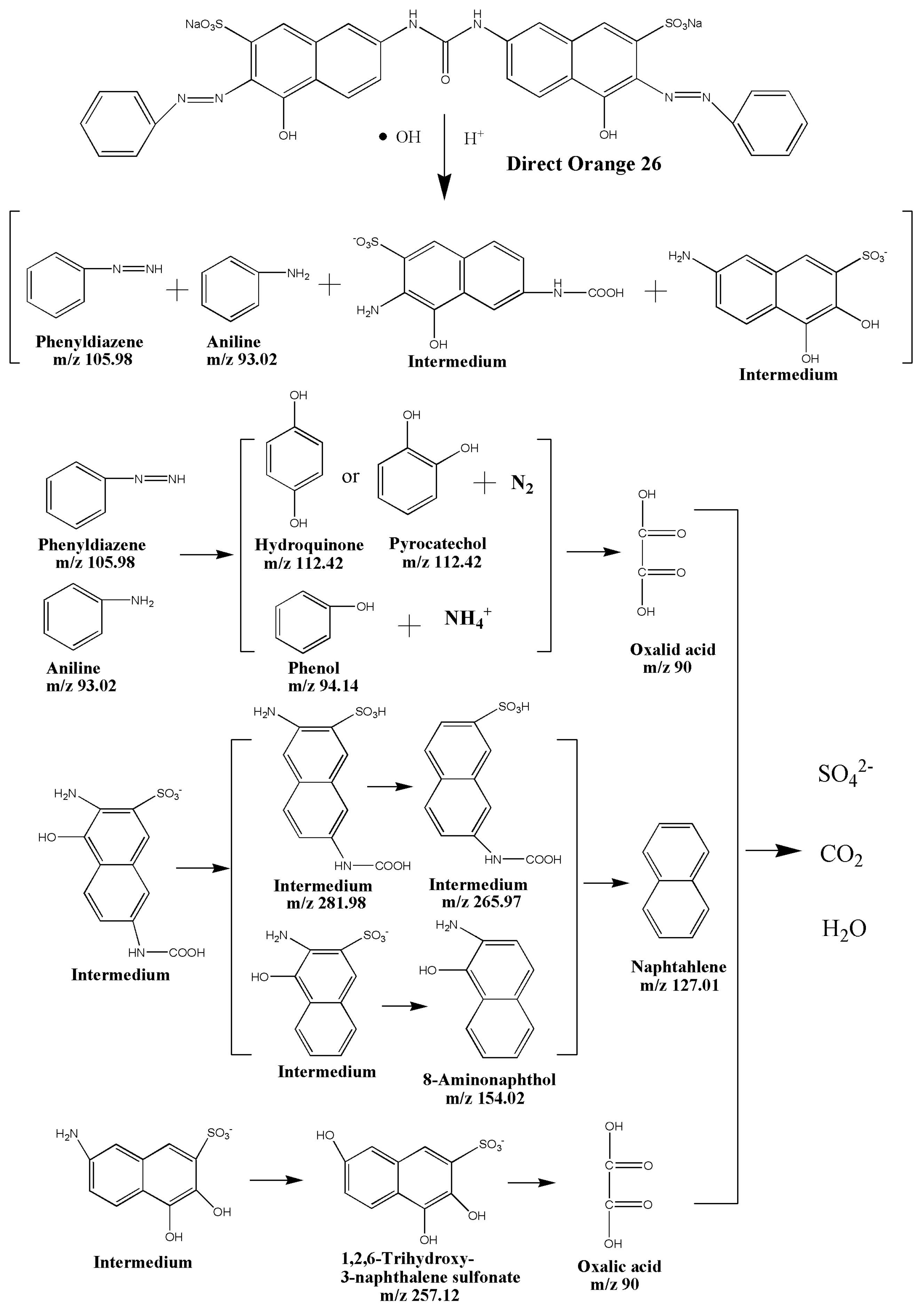
In our experiments, the identified photodegradation intermediate products of Direct Orange 26 with BiGdO3 as photocatalyst under visible light irradiation were identified as phenyldiazene (m/z: 105.98), phenol (m/z: 94.14), pyrocatechol (m/z: 112.42), 1,2,6-trihydroxy-3-naphthalene sulfonate (m/z: 257.12), oxalic acid (m/z: 90),8-aminonaphthol (m/z: 154.02), naphtahlene (m/z: 127.01), C11H10O5N2S (m/z: 281.98), C11H9O5NS (m/z: 265.97), and aniline (m/z: 93.02). Figure 21 shows the suggested photocatalytic degradation pathway scheme for Direct Orange 26 under visible light irradiation with BiGdO3 as catalyst. It can be seen in Figure 21 that the chromophore cleavage, opening-ring and mineralization should be the main photocatalytic degradation pathway of Direct Orange 26 in this work. Direct Orange 26 was turned to smaller organic species, and then mineralized together with other organic groups to inorganic products such as CO2, SO42−, NH4+, N2 and, ultimately, water.
Figure 21.
Suggested photocatalytic degradation pathway scheme for Direct Orange 26 under visible light irradiation with BiGdO3 as catalyst.
3. Experimental Section
3.1. Preparation of BiGdO3
The BiGdO3 sample was prepared by a solid-state reaction method, as was reported previously [112]. Bi2O3 and Gd2O3 with purity of 99.99% (Sinopharm Group Chemical Reagent Co., Ltd., Shanghai, China) were utilized as starting materials. Owing to the volatility of Bi2O3, we finally decided to add 115.6% quantities of Bi2O3 after 5 experiments. All powders were dried at 200 °C for 4 h before synthesis. In order to synthesize BiGdO3, the precursors were stoichiometrically mixed, then pressed into small columns and put into an alumina crucible (Shenyang Crucible Co., Ltd., Shenyang, China). After the raw materials calcining at 750 °C for 10 h, we took the small columns out of the electric furnace, ground the mixed materials and then put into an electric furnace (KSL 1700X, Hefei Kejing Materials Technology Co., Ltd., Hefei, China). After the ground materials were calcined at 850 °C for 10 h, we took the small columns out of the electric furnace, ground the mixed materials and then put them into the electric furnace again. The mixed materials were calcined at 1050 °C for 12 h with an intermediate regrinding process in an electric furnace. Finally, pure BiGdO3 catalyst, which presented the color of light orange, was obtained after total grinding. The cost of 100 g Gd2O3 or Bi2O3 was 63.2 and 64.5 dollars, respectively, while the synthesis of 100 g pure BiGdO3 catalyst totally cost about 71 dollars.
3.2. Characterization of BiGdO3
The crystal structure of BiGdO3 was analyzed by the powder X-ray diffraction method (XRD, XRD 6000, Shimadzu Corporation, Kyoto, Japan) with CuKα radiation (λ = 1.54056 angstrom). The data were collected at 295 K with a step-scan procedure within the range of 2θ = 10°–100°. The step interval was 0.02° and the time per step was 1.2 s. The Bi3+ content, Gd3+ content and O2− content of BiGdO3 were determined by X-ray photoelectron spectroscopy (XPS, PHI 5000 Versa Probe, ULVAC-PHI Corporation, Kanagawa, Japan). The chemical composition within the depth profile of BiGdO3 was detected by the argon ion denudation method when X-ray photoelectron spectroscopy was utilized. The particle morphology was detected by transmission electron microscope (TEM, JEM-200CX, JEOL Corporation, Tokyo, Japan). The chemical composition of BiGdO3 was examined by scanning electron microscope-X-ray energy dispersion spectrum (SEM-EDS, 1530 VP, LEO Corporation, Dresden, Germany). The surface area of BiGdO3 particle was measured by the Brunauer-Emmett-Teller method (BET, ASAP 2020, Micromeritics Corporation, Atlanta, GA, USA) with N2 adsorption at liquid nitrogen temperature. Totally, 0.6 g BiGdO3 was used to measure the surface area of BiGdO3 every time. UV-Vis diffuse reflectance spectroscopy measurement of BiGdO3 was carried out using an UV-Vis spectrophotometer (DRS, UV-2550, Shimadzu Corporation).
3.3. Photocatalytic Experiments
The photocatalytic activity of BiGdO3 sample was evaluated by the degradation of Direct Orange 26 (DO-26, C33H22N6Na2O9S2) or Direct Red 23 (DR-23, C35H27N7O10S2) (AR, Jiangsu Suzhou TLRLHX CO., Ltd., Suzhou, China) in aqueous solution under visible light irradiation (λ > 420 nm). The photocatalytic reaction system was composed of a 500 W Xe arc lamp (Jiangsu Nanjing XJJD Co., Ltd., Nanjing, China), a magnetic stirrer and a cut-off filter (λ > 420 nm, Jiangsu Nanjing XJJD Co., Ltd.). The Xe arc lamp was surrounded by an outer recycling water quartz jacket so that the reaction temperature was maintained at near 25 °C by cooling water in the jacket. The cooling water jacket was surrounded by twelve quartz tubes (50 mL in volume), in which suspensions of direct dyes and photocatalysts were contained. The solution was continuously stirred with a low rate for better light irradiation by the operation of the magnetic stirrer below during the reaction. Prior to light irradiation, the suspension was magnetically stirred in the darkness for 30 min to reach adsorption/desorption equilibrium between the dye and the surface of the catalyst. The reactor was put in the air-saturated conditions to ensure enough oxygen in the reaction solution. The suspension pH values were adjusted to the desired level by using dilute NaOH and HCl, and then the pH values were measured with pH meter (Jiangsu Nanjing ASTKJFZ Co., Ltd., Nanjing, China). During visible light irradiation, one of the quartz tubes was sampled at certain time interval and centrifuged to remove solid particles. The filtrate was analyzed according to the absorption which was measured by a UV-Vis spectrophotometer (UV-2450, Shimadzu Corporation) at a certain wavelength in the UV-Vis spectra of the dyes. Using this method, the conversion percentage of dyes could be obtained at different intervals. The degree of degradation efficiency (DE, %) as a function of time was given as follows:
where C0 was the initial concentration of the dyes, and Ct was the instant concentration in the sample. The total organic carbon (TOC) concentration was determined with a TOC analyzer (TOC-5000, Shimadzu Corporation).
Intermediate products of Direct Orange 26 were also identified by liquid chromatograph―mass spectrometer (LC-MS, Thermo Quest LCQ Duo, Silicon Valley, CA, USA, HPLC column: β Basic-C18 (150 mm × 2.1 mm × 5 µm), Finnigan, Thermo, Silicon Valley, CA, USA). Here, 20 µL of post-photocatalysis solution was injected automatically into the LC-MS system. The eluent contained 60% methanol and 40% water, and the flow rate was 0.2 mL·min−1. MS conditions included an electrospray ionization interface and a capillary temperature of 27 °C with a voltage of 19.00 V, a spray voltage of 5000 V and a constant sheath gas flow rate. The spectrum was acquired in the negative ion scan mode, sweeping the m/z range from 50 to 600.
4. Conclusions
This work indicated the structural properties, optical properties and photocatalytic activity of BiGdO3, which was prepared by a solid state reaction method. Structural characterization of the BiGdO3 sample demonstrated that BiGdO3 crystallized with the fluorite-type structure, face-centered cubic crystal system and space group Fm3m 225. The lattice parameter α for BiGdO3 was 5.465 angstrom. UV-Vis diffuse reflectance spectra of BiGdO3 displayed that BiGdO3 showed a strong optical absorption in the visible light region and the band gap of BiGdO3 was estimated to be 2.25 eV. BiGdO3 indicated efficient photocatalytic activity for degrading Direct Orange 26 or Direct Red 23 in aqueous solution under visible light irradiation. The photocatalytic degradation efficiency was 83.7% for Direct Orange 26 and 60.8% for Direct Red 23 using BiGdO3 as photocatalyst after visible light irradiation of 360 min. The photocatalytic degradation of Direct Orange 26 or Direct Red 23 followed the first-order reaction kinetics, and the first-order rate constant was 0.0046 or 0.0023 min−1 with BiGdO3 as catalyst. The degradation intermediates of Direct Orange 26 were observed and the possible photocatalytic degradation pathway of Direct Orange 26 under visible light irradiation was provided. The stability of both material and performance of BiGdO3 was investigated by material characterization and repeated photocatalytic degradation tests. The results showed that BiGdO3 possessed excellent stability and was considered to be an efficient catalyst. BiGdO3/(visible light) photocatalysis system was confirmed to be suitable for textile industry wastewater treatment.
The new photocatalyst BiGdO3 which was prepared in this present paper and some relevant technical means were beneficial to some engineers or scientists who were engaged in printing and dyeing industry for the purpose of further wastewater treatment. In order to remove organic pollutants from dyes in the actual printing and dyeing wastewater, more improved methods should be implemented as follows: First, a high temperature electric furnace with the maximum sintering temperature of 1400 °C should be purchased. Second, it is important that three-step sintering grinding method be used to synthetize purely single phase BiGdO3. During the whole process of preparation of BiGdO3, we should pay attention to the increase of heating speed, the control of the maximum sintering temperature and holding time, and the reduction of cooling rate for obtaining the photocatalyst BiGdO3 that has perfect crystallinity. Third, for the sake of economizing cost and maximizing the output, we could effectively deal with the actual printing and dyeing wastewater using BiGdO3 as a new photocatalyst under the solar light irradiation. Finally, if the concentration of the organic pollutants that exist within actual printing and dyeing wastewater is too high (exceeded 1 mmol/L), we could diluted the printing and dyeing wastewater with pure water to obtain a low concentration of the organic pollutants and then utilized the photocatalyst BiGdO3 and the solar light as advanced wastewater treatment technique to degrade the organic pollutants from dyes that exist within the actual printing and dyeing wastewater. All in all, the new photocatalyst BiGdO3 that was prepared in this present paper could be applied to the advanced wastewater treatment of low concentration of the organic pollutants that existed within the actual printing and dyeing wastewater.
Acknowledgments
This work was supported by a grant from the Natural Science Foundation of Jiangsu Province (No. BK20141312), by a Project of Science and Technology Development Plan of Suzhou City of China from 2014 (No. ZXG201440), and by a grant from China-Israel Joint Research Program in Water Technology and Renewable Energy (No. 5).
Author Contributions
Jingfei Luan was involved with all aspects of the study including conception, design, data interpretation and writing the manuscript. Yue Shen, Lingyan Zhang and Ningbin Guo performed the experiments and analyzed data. Jingfei Luan and Yue Shen wrote the paper. All authors read and approved the manuscript.
Conflicts of Interest
The authors declare no conflict of interest.
References
- Liu, J.; Liu, Y.; Liu, N.Y.; Liu, N.; Han, Y.; Zhang, X.; Huangf, H.; Lifshitz, Y.; Lee, S.-T.; Zhong, J.; et al. Metal-free efficient photocatalyst for stable visible water splitting via a two-electron pathway. Science 2015, 347, 970–974. [Google Scholar] [CrossRef] [PubMed]
- Jaiswal, R.; Patel, N.; Dashora, A.; Fernandes, R.; Yadav, M.; Edla, R.; Varma, R.S.; Kothari, D.C.; Ahuja, B.L.; Miotello, A. Efficient Co-B-codoped TiO2 photocatalyst for degradation of organic water pollutant under visible light. Appl. Catal. B 2016, 183, 242–253. [Google Scholar] [CrossRef]
- Colmenares, J.C.; Kuna, E.; Jakubiak, S.; Michalski, J.; Kurzydlowski, K. Polypropylene nonwoven filter with nanosized ZnO rods: Promising hybrid photocatalyst forwater purification. Appl. Catal. B 2015, 170, 273–282. [Google Scholar] [CrossRef]
- Kuwahara, Y.; Aoyama, J.; Miyakubo, K.; Eguchi, T.; Kamegawa, T.; Mori, K.; Yamashita, H. TiO2 photocatalyst for degradation of organic compounds in water and air supported on highly hydrophobic FAU zeolite: Structural, sorptive, and photocatalytic studies. J. Catal. 2012, 285, 223–234. [Google Scholar] [CrossRef]
- Venieri, D.; Fraggedaki, A.; Kostadima, M.; Chatzisymeon, E.; Binas, V.; Zachopoulosb, A.; Kiriakidisb, G.; Mantzavinosd, D. Solar light and metal-doped TiO2 to eliminate water-transmitted bacterial pathogens: Photocatalyst characterization and disinfection performance. Appl. Catal. B 2014, 154, 93–101. [Google Scholar] [CrossRef]
- Mueses, M.A.; Machuca-Martinez, F.; Puma, G. Effective quantum yield and reaction rate model for evaluation of photocatalytic degradation of water contaminants in heterogeneous pilot-scale solar photoreactors. Chem. Eng. J. 2013, 215, 937–947. [Google Scholar] [CrossRef]
- Luan, J.F.; Chen, M.J.; Hu, W.H. Synthesis, characterization and photocatalytic activity of new photocatalyst ZnBiSbO4 under visible light irradiation. Int. J. Mol. Sci. 2014, 15, 9459–9480. [Google Scholar] [CrossRef] [PubMed]
- Srinivasu, K.; Modak, B.; Ghosh, S.K. Porous graphitic carbon nitride: A possible metal-free photocatalyst for water splitting. J. Phys. Chem. C 2014, 118, 26479–26484. [Google Scholar] [CrossRef]
- Jin, S.Q.; Wang, X.; Wang, X.L.; Ju, M.G.; Shen, S.; Liang, W.Z.; Zhao, Y.; Feng, Z.C.; Playford, H.Y.; Walton, R.I. Effect of phase junction structure on the photocatalytic performance in overall water splitting: Ga2O3 photocatalyst as an example. J. Phys. Chem. C 2015, 119, 18221–18228. [Google Scholar] [CrossRef]
- Hirayama, J.; Abe, R.; Kamiya, Y. Combinational effect of Pt/SrTiO3: Rh photocatalyst and SnPd/Al2O3 non-photocatalyst for photocatalytic reduction of nitrate to nitrogen in water under visible light irradiation. Appl. Catal. B 2014, 144, 721–729. [Google Scholar] [CrossRef]
- Daneshvar, N.; Behnajady, M.A.; Asghar, Y.Z. Photooxidative degradation of 4-nitrophenol (4-NP) in UV/H2O2 process: Influence of operational parameters and reaction mechanism. J. Hazard. Mater. 2007, 139, 275–279. [Google Scholar] [CrossRef]
- Lee, K.M.; Lai, C.W.; Ngai, K.S.; Juan, J.C. Recent developments of zinc oxide based photocatalyst in water treatment technology: A review. Water Res. 2016, 88, 428–448. [Google Scholar] [CrossRef] [PubMed]
- Wakimoto, R.; Kitamura, T.; Ito, F.; Usami, H.; Moriwaki, H. Decomposition of methyl orange using C-60 fullerene adsorbed on silica gel as a photocatalystvia visible-light induced electron transfer. Appl. Catal. B 2015, 166, 544–550. [Google Scholar] [CrossRef]
- Parida, K.M.; Sahu, N.; Biswal, N.R.; Naik, B.; Pradhan, A.C. Preparation, characterization, and photocatalytic activity of sulfate-modified titania for degradation of methyl orange under visible light. J. Colloid Interface Sci. 2008, 318, 231–237. [Google Scholar] [CrossRef] [PubMed]
- Sun, H.Q.; Liu, S.Z.; Liu, S.M.; Wang, S.B. A comparative study of reduced graphene oxide modified TiO2, ZnO and Ta2O5 in visible light photocatalytic/photochemical oxidation of methylene blue. Appl. Catal. B 2014, 146, 162–168. [Google Scholar] [CrossRef]
- Yoshinaga, M.; Yamamoto, K.; Sato, N.; Aoki, K.; Morikawa, T.; Muramatsu, A. Remarkably enhanced photocatalytic activity by nickel nanoparticle deposition on sulfur-doped titanium dioxide thin film. Appl. Catal. B 2009, 87, 239–244. [Google Scholar] [CrossRef]
- Sathyaseelan, B.; Manikandan, E.; Lakshmanan, V.; Baskaran, I.; Sivakumar, K.; Ladchumananandasivam, R.; Kennedy, J.; Maaza, M. Structural, optical and morphological properties of post-growth calcined TiO2 nanopowder for opto-electronic device application: Ex-situ studies. J. Alloy. Compd. 2016, 671, 486–492. [Google Scholar] [CrossRef]
- Erjavec, B.; Hudoklin, P.; Perc, K.; Tisler, T.; Dolenc, M.S.; Pintar, A. Glass fiber-supported TiO2 photocatalyst: Efficient mineralization and removal of toxicity/estrogenicity of bisphenol A and its analogs. Appl. Catal. B 2016, 183, 149–158. [Google Scholar] [CrossRef]
- Hajkova, P.; Matousek, J.; Antos, P. Aging of the photocatalytic TiO2 thin films modified by Ag and Pt. Appl. Catal. B 2014, 160, 51–56. [Google Scholar] [CrossRef]
- Yaghoubi, H.; Li, Z.; Chen, Y.; Ngo, H.T.; Bhethanabotla, V.R.; Joseph, B.; Ma, S.Q.; Schlaf, R.; Takshi, A. Toward a visible light-driven photocatalyst: The effect of midgap-states-induced energy gap of undoped TiO2 nanoparticles. ACS Catal. 2015, 5, 327–335. [Google Scholar] [CrossRef]
- Yao, B.H.; Peng, C.; Zhang, W.; Zhang, Q.K.; Niu, J.F.; Zhao, J.E. A novel Fe(III) porphyrin-conjugated TiO2 visible-light photocatalyst. Appl. Catal. B 2015, 174, 77–84. [Google Scholar] [CrossRef]
- Wang, W.J.; Li, Y.C.; Kang, Z.W.; Wang, F.; Yu, J.C. A NIR-driven photocatalyst based on α-NaYF4: Yb,Tm@TiO2 core-shell structure supported on reduced graphene oxide. Appl. Catal. B 2016, 182, 184–192. [Google Scholar] [CrossRef]
- Cong, Y.; Zhang, J.; Chen, F.; Anpo, M. Synthesis and characterization of nitrogen-doped TiO2 nanophotocatalyst with high visible light activity. J. Phys. Chem. C 2007, 111, 6976–6982. [Google Scholar] [CrossRef]
- Ren, F.Z.; Li, H.Y.; Wang, Y.X.; Yang, J.J. Enhanced photocatalytic oxidation of propylene over V-doped TiO2 photocatalyst: Reaction mechanism between V5+ and single-electron-trapped oxygen vacancy. Appl. Catal. B 2015, 176, 160–172. [Google Scholar] [CrossRef]
- Zhou, W.Y.; Cao, Q.Y.; Tang, S.Q.; Liu, Y.J. Doping mechanism and visible-light photocatalytic activity of S-doped TiO2 nano powders. J. Inorg. Mater. 2006, 21, 776–782. [Google Scholar]
- Zhang, P.; Fujitsuka, M.; Majima, T. TiO2 mesocrystal with nitrogen and fluorine codoping during topochemical transformation: efficient visible light induced photocatalyst with the codopants. Appl. Catal. B 2015, 185, 181–188. [Google Scholar] [CrossRef]
- Wang, Z.P.; Cai, W.M.; Hong, X.T.; Zhao, X.L.; Xu, F.; Cai, C.G. Photocatalytic degradation of phenol in aqueous nitrogen-doped TiO2 suspensions with various light sources. Appl. Catal. B 2005, 57, 223–231. [Google Scholar] [CrossRef]
- Liu, L.Q.; Dao, T.D.; Kodiyath, R.; Kang, Q.; Abe, H.; Nagao, T.; Ye, J.H. Plasmonic janus-composite photocatalyst comprising Au and C-TiO2 for enhanced aerobic oxidation over a broad visible-light range. Adv. Funct. Mater. 2014, 24, 7754–7762. [Google Scholar] [CrossRef]
- Jaiswal, R.; Bharambe, J.; Patel, N.; Dashora, A.; Kothari, D.C.; Miotello, A. Copper and Nitrogen co-doped TiO2 photocatalyst with enhanced optical absorption and catalytic activity. Appl. Catal. B 2015, 168, 333–341. [Google Scholar] [CrossRef]
- Qi, D.Y.; Xing, M.Y.; Zhang, J.L. Hydrophobic carbon-doped TiO2/MCF-F composite as a high performance photocatalyst. J. Phys. Chem. C 2014, 118, 7329–7336. [Google Scholar] [CrossRef]
- Zhang, L.J.; Zhou, J.; Li, J.; Liu, G.; Lin, X.; Mao, B.H.; Liu, R.D.; Zhang, S.; Wang, J.Q. Surface structural reconstruction for optical response in iodine-modified TiO2 photocatalyst system. J. Phys. Chem. C 2014, 118, 13726–13732. [Google Scholar] [CrossRef]
- Ghaffar, I.; Warsi, M.F.; Shahid, M.; Shakir, I. Unprecedented photocatalytic activity of carbon coated/MoO3 core-shell nanoheterostructurs under visible light irradiation. Physica E 2016, 79, 1–7. [Google Scholar] [CrossRef]
- Nazim, S.; Kousar, T.; Shahid, M.; Khan, M.A.; Nasar, G.; Sher, M.; Warsi, M.F. New graphene-CoxZn1-xFe2O4 nano-heterostructures: Magnetically separable visible lightphotocatalytic materials. Ceram. Int. 2016, 42, 7647–7654. [Google Scholar] [CrossRef]
- Zhang, Y.F.; Qiu, L.G.; Yuan, Y.P.; Zhu, Y.J.; Jiang, X.; Xiao, J.D. Magnetic Fe3O4@C/Cu and Fe3O4@CuO core-shell composites constructed from MOF-based materials and their photocatalytic properties under visible light. Appl. Catal. B 2014, 144, 863–869. [Google Scholar] [CrossRef]
- Yu, C.L.; Yang, K.; Shu, Q.; Yu, J.C.; Cao, F.F.; Li, X. Preparation of WO3/ZnO composite photocatalyst and its photocatalytic performance. Chin. J. Catal. 2011, 32, 555–565. [Google Scholar] [CrossRef]
- Tanaka, A.; Hashimoto, K.; Kominami, H. Visible-light-induced hydrogen and oxygen formation over Pt/Au/WO3 photocatalyst utilizing two types of photoabsorption due to surface plasmon resonance and band-gap excitation. J. Am. Chem. Soc. 2014, 136, 586–589. [Google Scholar] [CrossRef] [PubMed]
- Xia, S.J.; Zhang, L.Y.; Zhou, X.B.; Shao, M.M.; Pan, G.X.; Ni, Z.M. Fabrication of highly dispersed Ti/ZnO-Cr2O3 composite as highly efficient photocatalyst for naphthalene degradation. Appl. Catal. B 2015, 176, 266–277. [Google Scholar] [CrossRef]
- Zhang, A.Y.; Wang, W.K.; Pei, D.N.; Yu, H.Q. Degradation of refractory pollutants under solar light irradiation by a robust and self-protected ZnO/CdS/TiO2 hybrid photocatalyst. Water Res. 2016, 92, 78–86. [Google Scholar] [CrossRef] [PubMed]
- Savio, A.K.P.D.; Fletcher, J.; Smith, K.; Iyer, R.; Bao, J.M.; Hernandez, F.C.R. Environmentally effective photocatalyst CoO-TiO2 synthesized by thermal precipitation of Co in amorphous TiO. Appl. Catal. B 2016, 182, 449–455. [Google Scholar] [CrossRef]
- Wang, Y.F.; Jiao, A.F.; Ding, G.Y.; Fan, C.M. Preparation and photocatalytic properties of CuO/SnO2/TiO2 composite photocatalysts. J. Synth. Cryst. 2010, 39, 401–406. [Google Scholar]
- Obregon, S.; Zhang, Y.F.; Colon, G. Cascade charge separation mechanism by ternary heterostructured BiPO4/TiO2/g-C3N4 photocatalyst. Appl. Catal. B 2016, 184, 96–103. [Google Scholar] [CrossRef]
- Wei, Q.L.; Zhao, X.L.; Yao, P.P.; Mu, J. Preparation and visible light photocatalytic activity of AgInS2 nanoparticles. Chin. J. Inorg. Chem. 2011, 27, 692–696. [Google Scholar]
- Kameyama, T.; Takahashi, T.; Machida, T.; Kamiya, Y.; Yamamoto, T.; Kuwabata, S.; Torimoto, T. Controlling the electronic energy structure of ZnS-AgInS2 solid solution nanocrystals for photoluminescence and photocatalytic hydrogen evolution. J. Phys. Chem. C 2015, 119, 24740–24749. [Google Scholar] [CrossRef]
- Liu, W.; Ji, M.S.; Chen, S.F. Preparation, characterization and activity evaluation of Ag2Mo4O13 photocatalyst. J. Hazard. Mater. 2011, 186, 2001–2008. [Google Scholar] [CrossRef] [PubMed]
- Zhang, G.K.; Zou, X.; Gong, J.; He, F.S.; Zhang, H.; Zhang, Q.; Liu, Y.; Yang, X.; Hu, B. Preparation and photocatalytic property of potassium niobate K6Nb10.8O30. J. Alloy. Compd. 2006, 425, 76–80. [Google Scholar] [CrossRef]
- Li, K.W.; Wang, H.; Yan, H. Hydrothermal preparation and photocatalytic properties of Y2Sn2O7 nanocrystals. J. Mol. Catal. A: Chem. 2006, 249, 65–70. [Google Scholar] [CrossRef]
- Zhang, L.W.; Fu, H.B.; Zhang, C.; Zhu, Y.F. Effects of Ta5+ substitution on the structure and photocatalytic behavior of the Ca2Nb2O7 photocatalyst. J. Phys. Chem. C 2008, 112, 3126–3133. [Google Scholar] [CrossRef]
- Luan, J.F.; Zou, Z.G.; Lu, M.H.; Zheng, S.R.; Chen, Y.F. Growth, structural and photophysical properties of Bi2GaTaO7. J. Cryst. Growth 2004, 273, 241–247. [Google Scholar] [CrossRef]
- Mishra, Y.K.; Modi, G.; Cretu, V.; Postica, V.; Lupan, O.; Reimer, T.; Paulowicz, I.; Hrkac, V.; Benecke, W.; Kienle, L. Direct growth of freestanding ZnO Tetrapod networks for multifunctional applications in photocatalysis, UV photodetection, and gas sensing. ACS Appl. Mater. Int. 2015, 7, 14303–14316. [Google Scholar] [CrossRef] [PubMed]
- Reimer, T.; Paulowicz, I.; Roder, R.; Kaps, S.; Lupan, O.; Chemnitz, S.; Benecke, W.; Ronning, C.; Adelung, R.; Mishra, Y.K. Single step integration of ZnO nano- and microneedles in Si trenches by novel flame transport approach: Whispering gallery modes and photocatalytic properties. ACS Appl. Mater. Int. 2014, 6, 7806–7815. [Google Scholar] [CrossRef] [PubMed]
- Addorisio, V.; Esposito, S.; Sannino, F. Sorption capacity of mesoporous metal oxides for the removal of MCPA from polluted waters. J. Agric. Food Chem. 2010, 58, 5011–5016. [Google Scholar] [CrossRef] [PubMed]
- Moniz, S.J.A.; Blackman, C.S.; Carmalt, C.J.; Hyett, G. MOCVD of crystalline Bi2O3 thin films using a single-source bismuth alkoxide precursor and their use in photodegradation of water. J. Mater. Chem. 2010, 20, 7881–7886. [Google Scholar] [CrossRef]
- Wang, Y.J.; He, Y.M.; Li, T.T.; Cai, J.; Luo, M.F.; Zhao, L.H. Photocatalytic degradation of methylene blue on CaBi6O10/Bi2O3 composites under visible light. Chem. Eng. J. 2012, 189, 473–481. [Google Scholar] [CrossRef]
- Muruganandham, M.; Amutha, R.; Lee, G.J.; Hsieh, S.H.; Wu, J.J.; Sillanpää, M. Facile fabrication of tunable Bi2O3 self-assembly and its visible light photocatalytic activity. J. Phys. Chem. C 2012, 116, 12906–12915. [Google Scholar] [CrossRef]
- Pei, C.C.; Leung, W.W.F. Photocatalytic oxidation of nitrogen monoxide and O-xylene by TiO2/ZnO/Bi2O3 nanofibers: Optimization, kinetic modeling and mechanisms. Appl. Catal. B 2015, 174, 515–525. [Google Scholar] [CrossRef]
- Hameed, A.; Aslam, M.; Ismail, I.M.I.; Salah, N.; Fornasiero, P. Sunlight induced formation of surface Bi2O4-x-Bi2O3 nanocomposite during the photocatalytic mineralization of 2-chloro and 2-nitrophenol. Appl. Catal. B 2015, 163, 444–451. [Google Scholar] [CrossRef]
- Huang, Y.C.; Fan, W.J.; Long, B.; Li, H.B.; Zhao, F.Y.; Liu, Z.L.; Tong, Y.X.; Ji, H.B. Visible light Bi2S3/Bi2O3/Bi2O2CO3 photocatalyst for effective degradation of organic pollutions. Appl. Catal. B 2016, 185, 68–76. [Google Scholar] [CrossRef]
- Zhu, G.Q.; Que, W.X.; Zhang, J. Synthesis and photocatalytic performance of Ag-loaded β-Bi2O3 microspheres under visible light irradiation. J. Alloy. Compd. 2011, 509, 9479–9486. [Google Scholar] [CrossRef]
- Ding, Y.B.; Yang, F.; Zhu, L.H.; Wang, N.; Tang, H.Q. Bi3+ self doped NaBiO3 nanosheets: Facile controlled synthesis and enhanced visible light photocatalytic activity. Appl. Catal. B 2015, 164, 151–158. [Google Scholar] [CrossRef]
- Jiang, H.Y.; Liu, G.; Li, M.; Liu, J.J.; Sun, W.B.; Ye, J.H.; Lin, J. Efficient organic degradation under visible light by α-Bi2O3 with a CuOx-assistant electron transfer process. Appl. Catal. B 2015, 163, 267–276. [Google Scholar] [CrossRef]
- Zhang, X.; Ai, Z.H.; Jia, F.L.; Zhang, L.Z.; Fan, X.X.; Zou, Z.G. Selective synthesis and visible-light photocatalytic activities of BiVO4 with different crystalline phases. Mater. Chem. Phys. 2007, 103, 162–167. [Google Scholar]
- Ji, K.M.; Dai, H.X.; Deng, J.G.; Zang, H.J.; Arandiyan, H.; Xie, S.H.; Yang, H.G. 3DOM BiVO4 supported silver bromide and noble metals: high-performance photocatalysts for the visible-light-driven degradation of 4-chlorophenol. Appl. Catal. B 2015, 168, 274–282. [Google Scholar] [CrossRef]
- Saison, T.; Chemin, N.; Chanéac, C.; Durupthy, O.; Ruaux, V.; Mariey, L.; Maugé, F.; Beaunier, P.; Jolivet, J.P. Bi2O3, BiVO4, and Bi2WO6: Impact of surface properties on photocatalytic activity under visible light. J. Phys. Chem. C 2011, 115, 5657–5666. [Google Scholar] [CrossRef]
- Li, C.M.; Chen, G.; Sun, J.X.; Dong, H.J.; Wang, Y.; Lv, C. Construction of Bi2WO6 homojunction via QDs self-decoration and its improved separation efficiency of charge carriers and photocatalytic ability. Appl. Catal. B 2014, 160, 383–389. [Google Scholar] [CrossRef]
- Murugesan, S.; Subramanian, V. Robust synthesis of bismuth titanate pyrochlore nanorods and their photocatalytic applications. Chem. Commun. 2009, 34, 5109–5111. [Google Scholar] [CrossRef] [PubMed]
- Allured, B.; DelaCruz, S.; Darling, T.; Huda, M.N.; Subramanian, V. Enhancing the visible light absorbance of Bi2Ti2O7 through Fe-substitution and its effects on photocatalytic hydrogen evolution. Appl. Catal. B 2014, 144, 261–268. [Google Scholar] [CrossRef]
- Zhou, J.K.; Zou, Z.G.; Ray, A.K.; Zhao, X.S. Preparation and characterization of polycrystalline bismuth titanate Bi12TiO20 and its photocatalytic properties under visible light irradiation. Ind. Eng. Chem. Res. 2007, 46, 745–749. [Google Scholar] [CrossRef]
- Su, W.N.; Ayele, D.W.; Ochie, V.; Pan, C.J.; Hwang, B.J. The development of highly crystalline single-phase Bi20TiO32 nanoparticles for light driven oxygen evolution. Appl. Catal. B 2014, 150, 363–369. [Google Scholar] [CrossRef]
- Luan, J.F.; Zou, Z.G.; Lu, M.H.; Luan, G.Y.; Chen, Y.F. Structural and photocatalytic properties of the new solid photocatalyst In2BiTaO7. Res. Chem. Intermed. 2006, 32, 31–42. [Google Scholar] [CrossRef]
- Wang, Y.; Wang, Y.; Meng, Y.L.; Ding, H.M.; Shan, Y.K. A highly efficient visible-light-activated photocatalyst based on bismuth- and sulfur-codoped TiO2. J. Phys. Chem. C 2008, 112, 6620–6626. [Google Scholar] [CrossRef]
- Long, M.C.; Hu, P.D.; Wu, H.D.; Cai, J.; Tan, B.H.; Zhou, B.X. Efficient visible light photocatalytic heterostructure of nonstoichiometric bismuth oxyiodide and iodine intercalated Bi2O2CO3. Appl. Catal. B 2016, 184, 20–27. [Google Scholar] [CrossRef]
- Guo, R.Q.; Fang, L.; Dong, W.; Zheng, F.G.; Shen, M.R. Enhanced photocatalytic activity and ferromagnetism in Gd doped BiFeO3 nanoparticles. J. Phys. Chem. C 2010, 114, 21390–21396. [Google Scholar] [CrossRef]
- Luo, X.C.; Zhu, G.Q.; Peng, J.H.; Wei, X.M.; Hojamberdiev, M.; Jin, L.; Liu, P. Enhanced photocatalytic activity of Gd-doped porous β-Bi2O3 photocatalysts under visible light irradiation. Appl. Surf. Sci. 2015, 351, 260–269. [Google Scholar] [CrossRef]
- Xu, J.J.; Ao, Y.H.; Fu, D.G.; Yuan, C.W. Synthesis of Gd-doped TiO2 nanoparticles under mild condition and their photocatalytic activity. Colloid. Surf. A 2009, 334, 107–111. [Google Scholar] [CrossRef]
- Zhang, N.; Chen, D.; Niu, F.; Wang, S.; Qin, L.S.; Huang, Y.X. Enhanced visible light photocatalytic activity of Gd-doped BiFeO3 nanoparticles and mechanism insight. Sci. Rep-UK 2016. [Google Scholar] [CrossRef] [PubMed]
- Shimodaira, Y.; Kato, H.; Kobayashi, H.; Kudo, A. Photophysical properties and photocatalytic activities of bismuth molybdates under visible light irradiation. J. Phys. Chem. B 2006, 110, 17790–17797. [Google Scholar] [CrossRef] [PubMed]
- He, G.P.; Xing, C.L.; Xiao, X.; Hu, R.P.; Zuo, X.X.; Nan, J.M. Facile synthesis of flower-like Bi12O17Cl2/β-Bi2O3 composites with enhanced visible light photocatalytic performance for the degradation of 4-tert-butylphenol. Appl. Catal. B 2015, 170, 1–9. [Google Scholar] [CrossRef]
- Izumi, F. A software package for the rietveld analysis of X-ray and neutron diffraction patterns. J. Crystallogr. Assoc. Jpn. 1985, 27, 23–26. [Google Scholar] [CrossRef]
- Bid, S.; Pradhan, S.K. Characterization of crystalline structure of ball-milled nano-Ni-Zn-ferrite by Rietveld method. Mater. Chem. Phys. 2004, 84, 291–301. [Google Scholar] [CrossRef]
- Yang, X.; Yang, L.Y.; Lin, S.Y.; Zhou, R.X. New insight into the doping effect of Pr2O3 on the structure-activity relationship of Pd/CeO2-ZrO2 catalysts by raman and XRD rietveld analysis. J. Phys. Chem. C 2015, 119, 6065–6074. [Google Scholar] [CrossRef]
- Liao, Y.H.B.; Wang, J.X.; Lin, J.S.; Chung, W.H.; Lin, W.Y.; Chen, C.C. Synthesis, photocatalytic activities and degradation mechanism of Bi2WO6 toward crystal violet dye. Catal. Today 2011, 174, 148–159. [Google Scholar] [CrossRef]
- Muktha, B.; Priya, M.H.; Madras, G.; Row, T.N.G. Synthesis, structure, and photocatalysis in a new structural variant of the Aurivillius phase: LiBi4M3O14 (M = Nb, Ta). J. Phys. Chem. B 2005, 109, 11442–11449. [Google Scholar] [CrossRef] [PubMed]
- Oshikiri, M.; Boero, M.; Ye, J.H.; Zou, Z.G.; Kido, G. Electronic structures of promising photocatalysts InMO4 (M = V, Nb, Ta) and BiVO4 for water decomposition in the visible wavelength region. J. Chem. Phys. 2002, 117, 7313–7318. [Google Scholar]
- Zheng, S.K.; Wu, Y.; Zhang, M.J.; Li, W.M.; Yan, X.B. Electronic structure of Gd/N co-doped anatase TiO2 by first-principles calculations. Ceram. Int. 2015, 41, 13861–13866. [Google Scholar] [CrossRef]
- Luan, J.F.; Li, M.; Ma, K.; Li, Y.M.; Zou, Z.G. Photocatalytic activity of novel Y2InSbO7 and Y2GdSbO7 nanocatalysts for degradation of environmental pollutant rhodamine B under visible light irradiation. Chem. Eng. J. 2011, 167, 162–171. [Google Scholar] [CrossRef]
- Luan, J.F.; Zou, Z.; Lu, M.; Chen, Y. Structural, optical and photocatalytic properties of new solid photocatalysts, BixIn1-xTaO4 (0 < x < 1). Mater. Chem. Phys. 2006, 98, 434–441. [Google Scholar]
- Tauc, J.; Grigorovici, R.; Vancu, A. Optical properties and electronic structure of amorphous germanium. Phys. Status Solidi 1966, 15, 627–637. [Google Scholar] [CrossRef]
- Butler, M.A. Photoelectrolysis and physical-properties of semiconducting electrode WO3. J. Appl. Phys. 1977, 48, 1914–1920. [Google Scholar] [CrossRef]
- Calza, P.; Rigo, L.; Sangermano, M. Investigations of photocatalytic activities of photosensitive semiconductors dispersed into epoxy matrix. Appl. Catal. B 2011, 106, 657–663. [Google Scholar] [CrossRef]
- Ao, Y.H.; Wang, K.D.; Wang, P.F.; Wang, C.; Hou, J. Synthesis of novel 2D-2D p-n heterojunction BiOBr/La2Ti2O7 composite photocatalyst with enhanced photocatalytic performance under both UV and visible light irradiation. Appl. Catal. B 2016, 194, 157–168. [Google Scholar] [CrossRef]
- Mangrulkar, P.A.; Kamble, S.P.; Joshi, M.M.; Meshram, J.S.; Labhsetwar, N.K.; Rayalu, S.S. Photocatalytic degradation of phenolics by N-doped mesoporous titania under solar radiation. Int. J. Photoenergy 2012, 78, 62–71. [Google Scholar] [CrossRef]
- Vaiano, V.; Iervolino, G.; Sannino, D.; Murcia, J.J.; Hidalgo, M.C.; Ciambelli, P.; Navio, J.A. Photocatalytic removal of patent blue V dye on Au-TiO2 and Pt-TiO2 catalysts. Appl. Catal. B 2016, 188, 134–146. [Google Scholar] [CrossRef]
- Jantawasu, P.; Sreethawong, T.; Chavadej, S. Photocatalytic activity of nanocrystalline mesoporous-assembled TiO2 photocatalyst for degradation of methyl orange monoazo dye in aqueous wastewater. Chem. Eng. J. 2009, 155, 223–233. [Google Scholar] [CrossRef]
- Konstantinou, I.K.; Albanis, T.A. TiO2-assisted photocatalytic degradation of azo dyes in aqueous solution: Kinetic and mechanistic investigations-a review. Appl. Catal. B 2004, 49, 1–14. [Google Scholar] [CrossRef]
- Guo, H.X.; Lin, K.L.; Zheng, Z.S.; Xiao, F.B.; Lia, S.X. Sulfanilic acid-modified P25 TiO2 nanoparticles with improved photocatalytic degradation on Congo red under visible light. Dyes Pigments 2012, 92, 1278–1284. [Google Scholar] [CrossRef]
- Liu, X.Y.; Xu, D.; Zhang, D.F.; Zhang, G.Z.; Zhang, L. Superior performance of 3 D Co-Ni bimetallic oxides for catalytic degradation of organic dye: investigation on the effect of catalyst morphology and catalytic mechanism. Appl. Catal. B 2016, 186, 193–203. [Google Scholar] [CrossRef]
- Yuan, R.X.; Ramjaun, S.N.; Wang, Z.H.; Liu, J.S. Photocatalytic degradation and chlorination of azo dye in saline wastewater: Kinetics and AOX formation. Chem. Eng. J. 2012, 192, 171–178. [Google Scholar] [CrossRef]
- Fujishima, A.; Zhang, X.T.; Tryk, D.A. TiO2 photocatalysis and related surface phenomena. Surf. Sci. Rep. 2008, 63, 515–582. [Google Scholar] [CrossRef]
- Ochiai, T.; Fujishima, A. Photoelectrochemical properties of TiO2 photocatalyst and its applications for environmental purification. J. Photochem. Photobiol. C 2012, 13, 247–262. [Google Scholar] [CrossRef]
- Habibi, M.H.; Hassanzadeh, A.; Mahdavi, S. The effect of operational parameters on the photocatalytic degradation of three textile azo dyes in aqueous TiO2 suspensions. J. Photochem. Photobiol. A 2005, 172, 89–96. [Google Scholar] [CrossRef]
- Eskandarian, M.R.; Choi, H.; Fazli, M.; Rasoulifard, M.H. Effect of UV-LED wavelengths on direct photolytic and TiO2 photocatalytic degradation of emerging contaminants in water. Chem. Eng. J. 2016, 300, 414–422. [Google Scholar] [CrossRef]
- Dotson, A.D.; Keen, V.S.; Metz, D.; Linden, K.G. UV/H2O2 treatment of drinking water increases post-chlorination DBP formation. Water Res. 2010, 44, 3703–3713. [Google Scholar] [CrossRef] [PubMed]
- Ahmed, S.; Rasul, M.G.; Martens, W.N.; Brown, R.; Hashib, M.A. Advances in heterogeneous photocatalytic degradation of phenols and dyes in wastewater: A review. Water Air Soil Pull. 2011, 215, 3–29. [Google Scholar] [CrossRef]
- Rioja, N.; Zorita, S.; Penas, F.J. Effect of water matrix on photocatalytic degradation and general kinetic modeling. Appl. Catal. B 2016, 180, 330–335. [Google Scholar] [CrossRef]
- Hu, C.; Yu, J.C.; Hao, Z.; Wong, P.K. Effects of acidity and inorganic ions on the photocatalytic degradation of different azo dyes. Appl. Catal. B 2003, 46, 35–47. [Google Scholar] [CrossRef]
- Deng, N.S.; Fang, T.; Tian, S.Z. Photodegradation of dyes in aqueous solutions containing Fe(III)-hydroxy complex: Photodegradation kinetics. Chemosphere 1996, 33, 547–557. [Google Scholar]
- Chong, M.N.; Jin, B.; Laera, G.; Saint, C.P. Evaluating the photodegradation of Carbamazepine in a sequential batch photoreactor system: Impacts of effluent organic matter and inorganic ions. Chem. Eng. J. 2011, 174, 595–602. [Google Scholar] [CrossRef]
- Gao, H.L.; Yan, S.C.; Wang, J.J.; Zou, Z.G. Inorganic ions promoted photocatalysis based on polymer photocatalyst. Appl. Catal. B 2014, 158, 321–328. [Google Scholar] [CrossRef]
- Neppolian, B.; Choi, H.C.; Sakthivel, S.; Arabindoo, B.; Murugesan, V. Solar light induced and TiO2 assisted degradation of textile dye reactive blue. Chemosphere 2002, 46, 1173–1181. [Google Scholar] [CrossRef]
- Zhang, X.W.; Wang, Y.Z.; Li, G.T. Effect of operating parameters on microwave assisted photocatalytic degradation of azo dye X-3B with grain TiO2 catalyst. J. Mol. Catal. A-Chem. 2005, 237, 199–205. [Google Scholar] [CrossRef]
- Santiago, D.E.; Arana, J.; Gonzalez-Diaz, O.; Aleman-Dominguez, M.E.; Acosta-Dacal, A.C.; Fernandez-Rodriguez, C.; Perez-Pena, J.; Doña-Rodríguez, J.M. Effect of inorganic ions on the photocatalytic treatment of agro-industrial wastewaters containing imazalil. Appl. Catal. B 2014, 156, 284–292. [Google Scholar] [CrossRef]
- Luan, J.F.; Zhang, L.Y.; Ma, K.; Li, Y.M.; Zou, Z.G. Preparation and property characterization of new Y2FeSbO7 and In2FeSbO7 photocatalysts. Solid State Sci. 2011, 13, 185–194. [Google Scholar] [CrossRef]
© 2016 by the authors; licensee MDPI, Basel, Switzerland. This article is an open access article distributed under the terms and conditions of the Creative Commons Attribution (CC-BY) license (http://creativecommons.org/licenses/by/4.0/).




















