Abstract
Wastewater treatment is still a critical issue all over the world. Among examined methods for the decontamination of wastewaters, adsorption is a promising, cheap, environmentally friendly and efficient procedure. There are various types of adsorbents that have been used to remove different pollutants such as agricultural waste, compost, nanomaterials, algae, etc., Chitin (poly-β-(1,4)-N-acetyl-d-glucosamine) is the second most abundant natural biopolymer and it has attracted scientific attention as an inexpensive adsorbent for toxic metals. This review article provides information about the use of chitin as an adsorbent. A list of chitin adsorbents with maximum adsorption capacity and the best isotherm and kinetic fitting models are provided. Moreover, thermodynamic studies, regeneration studies, the mechanism of adsorption and the experimental conditions are also discussed in depth.
1. Introduction
One of the biggest problems of recent times is the management/treatment of wastewaters, especially those originating from metal industries. These types of effluents have big concentrations of heavy metals (ionic forms). Examples of the metals that exist in these effluents are Cd, Zn, Pb, Cr, Ni, Cu, V, Pt, Ag, Ti, etc., and they mainly come from different industries. Many applications produce metal effluents, such as anodizing-cleaning, electroplating, conversion-coating, milling, electroless depositions, and etching [1].
One very hazardous metal is chromium. It is dangerous to living orgasms including humans, but chromium is considered to be less toxic than Cd, Pb and Hg. Another widely used metal in the industries (metal plating) is cadmium. It exists in waters/effluents and mainly in mining wastes. It has similar properties to Zn, and for this reason, they frequently undergo geochemical processes together. Their oxidation state in water is +2. Some disastrous results for humans exposed to these metals are high blood pressure, destruction of red blood cells, destruction of testicular tissue, and kidney damage. Also, Cd can replace Zn in some biochemical enzymes, altering their stereostructure and impairing their catalytic activity. These metals are very common in water and sediment pollutants in harbors surrounded by industrial facilities.
Special mention is necessary about the very toxic and hazardous ion cyanide (CN−). It is considered to be a poisonous substance and it exists in the form of HCN in waters. CN− can form some less toxic ions with Fe(II) such as Fe(CN)64− due to its high affinity. Hydrocyanide is used in gas chamber executions, which mainly happens in the USA. Many industries worldwide, in particular metal cleaning or electroplating or even some mineral processing operations, also use this ion (CN−). Cyanide ion is a major part of the effluents originating from gas works and generally coke ovens.
Based on the above, it is necessary to carefully treat and remove the effluents containing heavy metals. One of the most trendy and promising techniques is considered to be adsorption due to its simplicity, low cost and reuse potential [2,3,4,5,6,7,8,9,10,11,12,13,14,15]. In this review article, a screening of the recent literature will be done regarding the use of chitin adsorbents as potential materials for the removal of toxic metals. In the past, many papers were published emphasizing other applications of chitin (in biomedicine, tissue engineering, scaffolds, etc.) [16,17,18,19,20].
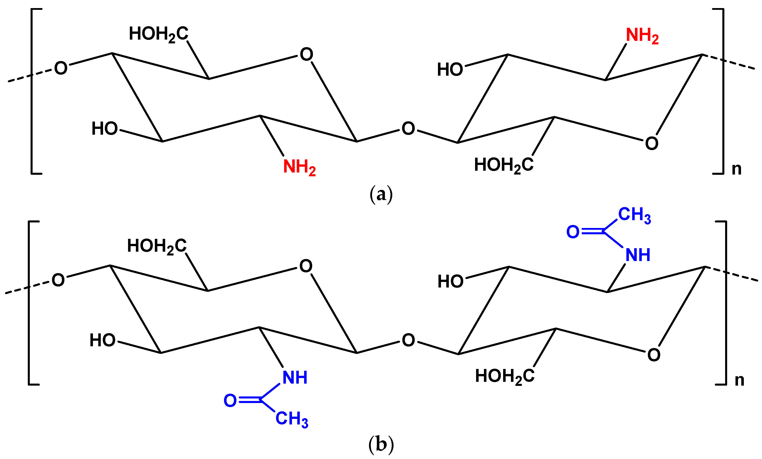
It is a fact that in adsorption technology, two adsorbent materials cannot be compared (even for the same pollutant) without keeping the same experimental conditions. Some of the basic parameters which strongly influence the whole procedure are (i) the pH solution; (ii) the contact time; (iii) the initial pollutant’s concentration; (iv) the temperature; (v) the agitation speed; (vi) the volume of the adsorbate; (viii) the ionic strength of the solution and (ix) the adsorbent’s dosage, etc. It is clear that if any of the aforementioned conditions varies, the experiment will not be the same and consequently no comparison will be valid. Therefore, for that reason, the only (and mostly the “safest”) comparison that can be achieved is for adsorbent/adsorbate systems of the same study. On the other hand, it is true that the majority of review articles cannot clearly criticize the published articles due to the difficulty of the aforementioned reason. Another important point of the present review article is that until now, no other review/overview/summary was published regarding the removal of heavy metals with adsorption onto chitin derivatives. Numerous researchers have published review articles on topics such as the preparation and application of chitosan adsorbents (grafted, cross-linked and generally modified) for the removal of various pollutants [21,22,23,24,25,26,27,28]. Chitosan is considered to be more “flexible” from a structural point of view due to its amino groups (making it easy to modify) (Figure 1a). However, chitin (Figure 1b), which is the origin material of chitosan, is cheaper; the latter must be highlighted.
Figure 1.
Chemical structure of (a) chitosan and (b) chitin.
2. Chitin
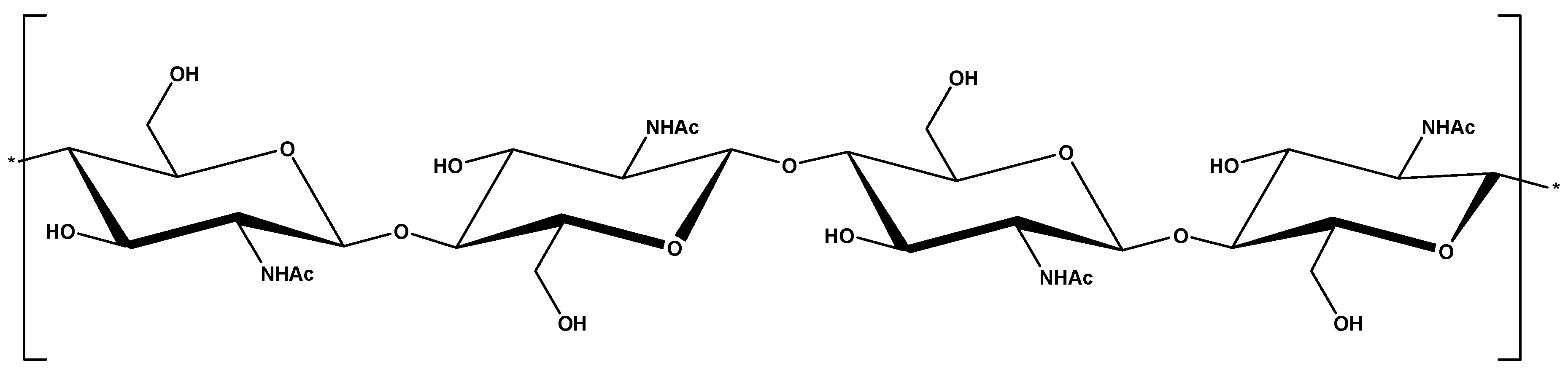
It is redundant to repeat theories about the structure of chitin, etc. However, it is mandatory to review some crucial characteristics of this material. So, chitin(C8H13O5N)n is considered to be second most abundant biopolymer worldwide coming from a renewable organic resource. It is a polysaccharide with a long polymeric chain, and due to this it has many advantages for modification during the synthesis of derivatives. From a structural point of view, chitin is a polymer with a high molecular weight, linear sequential units of N-acetyl-d-glucosamine (linked by b-1,4 units) and it chemically resembles cellulose, in which the hydroxyl group at carbon-2 in cellulose has been substituted by an acetamido group. In general, chitin can be found in powder form or even in granules (or sheets). The initial form of chitin (pure) is not expensive and is easily available on the commercial market. The origin of the word “chitin” is from the Greek word “chiton’’, which means a coat. Braconnot (1811) used chitin for the first time. Chitin can be purchased at a low cost/price from organic sources (especially from krill, lobsters, crabs and shrimps) or wastes derived from some industries of seafood processing. Chitin is classified in natural polymers as having very good properties (biocompatibility/biodegradability, non-toxicity, etc.) (Figure 2).
Figure 2.
Chemical structure of chitin.
3. Removal of Toxic Metals
Karthikeyan et al. [29] tested the removal of Fe3+ by chitin. A particle size of 0.21 mm exhibited higher removal efficiency than sizes of 0.50 and 0.71 mm due to the higher surface area. Kinetic studies showed that equilibrium was observed after 8 min. An inhibition of adsorption was noticed by the presence of chloride together with Fe3+. More specifically, as the chloride ion concentration increased from 0 to 1000 mg/L, the removal percentage of Fe3+ decreased from 64.5% to 27.65%. One possible explanation is that the greater the chloride ion concentration, the greater the formation of soluble chloro-complexes and the less free Fe3+ there is. These chloro-complexes have less affinity than free metal ions towards chitin. Similarly, in the presence of nitrate, the Fe3+ prefers to form complexes that are adsorbed onto the chitin surface. Regarding the effect of the ionic strength, the presence of perchlorate up to 750 mg has no effect on iron adsorption. Only at a high concentration of 1000 mg/L did a reduction of the iron adsorption percentage occur. The effect of co-ions such as Cu2+, Zn2+ and Cr6+ on iron uptake demonstrated that an equal amount of Cu2+ had a negative effect on the adsorption rate while Zn2+ and Cr6+ had a lesser effect. As the temperature rose from 20 to 50 °C, the iron removal was increased due to the enlargement of the pore size and/or the activation of the adsorbent surface and the increase in the mobility of the metal ions. Based on thermodynamic studies, adsorption proved to be spontaneous and endothermic with positive entropy change values.
The chitin of pink shrimp was explored in capturing Pb2+ from aqueous solutions [30]. The maximum adsorption was estimated to be 99.7% at pH 9, with 200 min of contact time, 5 g/L of biosorption dosage and an the initial lead concentration 20 mg/L, a temperature of 30 °C and a 200 rpm agitation speed.
The adsorption of Pb2+ and Cd2+ by chemically modified chitin with polypyrrole (PPy-g-Ch) was examined [31]. FTIR analysis showed the significant alteration of bands before and after adsorption. More specifically, after adsorption, the peak that appeared at 3436.53 cm−1 in PPy-g-Ch was shifted to 3476.41 cm−1 for Pb-loaded PPy-g-Ch and to 3455.36 cm−1 for Cd-loaded PPy-g-Ch, thus indicating the participation of –OH and –NH groups in the uptake of metals. The maximum adsorption was found to occur at pH 6 and equilibrium was achieved within 60 min. Thermodynamic parameters were estimated and revealed the endothermic, spontaneity and the physisorption characteristics of the adsorption process.
Xiong examined the use of chitin for Cd2+ adsorption [32]. The maximum removal was obtained at pH 5.41. The increase of the temperature from 288 to 318 K was found to increase the uptake efficiency from 87.1 to 102 mg/g. FTIR spectra before and after Cd2+ adsorption showed that the acetylamino and hydroxyl groups were involved in the metal removal. The Gibbs free energy was calculated to be negative, thus demonstrating the feasibility and spontaneity of the adsorption. The activation energy was 63.1 kJ/mol and it lies in the range of 40–800 kJ/mol, indicating chemisorption. The removal of Cd2+ by using the chitin/polyethylene glycol binary blend was also tested by Mohan and Syed Shafi [33]. The metal uptake was found to be affected by changing the pH from 4 to 8. More specifically, the optimum pH value was noticed at pH 5.5, while for pH values higher than 5.5, the adsorption reduced due to the precipitation of Cd2+ as Cd(OH)2. Equilibrium was achieved at 210 min of contact time. Calcareous chitin was fabricated by the alkaline treatment of crustacean exoskeleton to produce a porous matrix of chitin and calcium carbonate free of original proteins in order to explore Cd2+ uptake [34]. Compared to chitin, calcareous chitin (CaCh) gave a higher adsorption of about 2.3 times greater than chitin. One possible explanation is the synergistic effect on adsorption of both chitin and calcium carbonate, and secondly due to the higher specific area. Based on the abundance of raw materials and the minimum handling processing without risks, the cost of the CaCh is estimated to be between $5 and $7 per kg (NaOH 4% which may be recycled, 60 °C, 45 min).
Chitin (CH) powder was extracted in the laboratory from yellow lobster waste and was used for the sequestration of Cu2+ from aqueous media [35]. The highest adsorption was observed at pH 4 and intraparticle diffusion participated in the adsorption process, but it was not the only rate-limiting step. The Gibbs free energy was estimated to be negative at 25 °C, demonstrating the spontaneity of the adsorption process, whereas it was negative at 35 and 45 °C, suggesting that the Cu2+ uptake process was not feasible at these temperatures. Standard enthalpy was calculated to be negative which reveals the exothermic and physical characteristics of adsorption. Desorption studies showed that using 0.5 M HCl was a good eluent for copper recovery (89%).
Jaafarzadeh et al. [36] synthesized chitin from extracted shrimp shells in order to test its ability to adsorb Zn2+. Batch experiments were carried out in order to examine the influence of pH (3–7), the initial Zn2+ concentration (50–500 mg/L) and the adsorbent dose (0.5–10 g in 250 mL) on metal uptake. The adsorbed amount in mg/g was found to increase by increasing the pH and the initial concentration while the opposite results were noticed with the increment of the adsorbent dose. FTIR spectra of raw and Zn-loaded chitin biomass suggested that functional groups such as amine (−NH2) and hydroxyl (–OH) had the highest effect on zinc adsorption. Chitin extraction from the exoskeleton of the crab was synthesized and used as an adsorbent for Zn2+ [37]. The highest adsorption occurred at pH 7 (studied pH range 3–7), and at solid:liquid ratio of 1:500 g/mL (studied dosage range 1:500–20:500 g/mL). Equilibrium was achieved after 180 min. Zn2+ removal by chitin was also explored by Kocer et al. [38]. Batch experiments were carried out in terms of the effect of pH, temperature, contact time and initial concentration. The best adsorption was 8.21 mg/g at a 300 mg/L initial concentration, pH 4.5 and at 40 °C. A thermodynamic study demonstrated that the adsorption was spontaneous and endothermic with an increase in randomness at the solid-solution interface during adsorption. Chitin was produced from shrimp carapaces with the aim to remove Zn2+ [39]. Maximum adsorption appeared at pH 7 and equilibrium was achieved in 6 h. The increase of the temperature from 10 to 30 °C positively affected the Zn2+ uptake, while with a further increase up to 40 °C, a reduction of adsorption was observed. Batch experiments also revealed that the biosorption of Cu2+, Cd2+ and Zn2+ followed the order: Cu2+ > Cd2+ > Zn2+.
Chitin extracted from shrimp shells was also examined for As5+ adsorption [40]. The best adsorption was noticed at pH 4 and the removal was rapid in the first 30 min, during which 40%–50% of the arsenate was removed. Equilibrium was attained in 120 min. FTIR spectra before and after adsorption confirmed that the –CH3, –OH and –NH2 groups were involved in capturing the arsenate. Unmodified chitin nanofibers and thiol-modified chitin nanofibers were fabricated and tested to remove As3+ [41]. The modified chitin had a higher removal capacity, i.e., 138 mg/g at pH 7.0 instead of 58 mg/g at pH 5, which was given by untreated chitin nanofibers. One possible explanation is that the high concentration of thiol led to the formation of the As(III)-thiolate complex on the chitin’s nanofiber surface. Modified chitin was also synthesized and tested to adsorb As3+ [42]. More specifically, an acrylonitrile monomer was doped onto chitin (deacetylated form) using the pre-irradiation method (deacetylation degree (DDA) ~40%); then –CN groups were transformed into –C(NH2)=N–OH groups after modification with NH2OH. The BET surface area was estimated to be 1.278 m2/g. The maximum adsorption capacity was determined to be 19.724 mg/g.
Singh and Nagendran [43] used chitin to remove Cr3+. The adsorption was controlled by pH and the best adsorption was given at pH 3 and a maximum removal of 49.98% was presented in 20 min. The Langmuir isotherm model exhibited higher regression coefficients than Freundlich (0.915 vs. 0.831). Santosa et al. studied the adsorption of Cr3+ by chitin-humic acid hybrid (chitin-HA) from both synthetic and real samples of tannery wastewater treatment’s effluents [44]. Based on FTIR spectra before (raw material) and after adsorption (Cr-loaded material), it was found that –COO− and N-acetyl originating from, respectively, humic acid and chitin participated in the adsorption of Cr3+. The application of chitin-HA in real wastewater treatment’s effluent showed that the maximum amount of Cr3+ using 1 g chitin-HA was 2.08 × 10−4 mol, equivalent to 10.82 mg.
The uptake of Cr6+ by Bargi scale and from chitin obtained from Bargi fish (Heterotis Miloticus) was examined [45]. The highest removal was found at pH 6–8 and chitin gave better adsorptive results than fish scale. The estimated thermodynamic parameters demonstrated the exothermicity and the feasibility of the uptake process. In another work, a biopolymer of chitin/bentonite was used for Cr6+ uptake by Saravanan et al. [46]. Optimum removal was noticed at pH 4 (pH studied in the range of 1–8). The adsorption was raised when the adsorbent amount was increased from 0.2 to 1 g, while a declined of the adsorbed Cr occurred for adsorbent dosages higher than 1 g. A sharp increase of the adsorption percentage was observed at around 30 min and reached the maximum at 45 min. The Freundlich isotherm model was a better fit than the Langmuir isotherm model. Karthik et al. used polypyrrole-functionalized chitin to adsorb Cr6+ [47]. The results showed that with the increase of the pH from 2 to 10, a reduction of the adsorption percentage from 92.34% to 15.07% was noticed. The authors explained that (i) at alkaline pH values, an antagonistic effect between –OH− and Cr6+ ions and (ii) repulsion among chromate ions and the negative surface of the adsorbent occurred. Moreover, the removal percentage was increased by the increment of the adsorbent dosage from 0.05/50 to 0.25/50 mL. The presence of ions such as SO42−, HCO3− and NO3− negatively affected the chromium removal suggesting competitive relation (antagonism).
Shao et al. modified chitin in THF (tetrahydrofuran) with l-cysteinein in the presence of sulfuric acid as a catalyst, in order to adsorb Cu2+, Cd2+, Pb2+, Zn2+, and Ni2+ [48]. The removal capacity for Cu2+, Cd2+, Pb2+, Zn2+ was 86.1, 214.6, 351.5, 107.0 mg/g and 57.9, 108.0, 132.4, 46.9 mg/g for cys-chitin and chitin, respectively, suggesting the success of the modification process. The cys-chitin appeared to have a higher affinity towards Zn2+, Cd2+, and Pb2+ following the order Zn2+ > Cd2+ > Pb2+. The maximum adsorption for all tested metals was noticed at neutral pH values (pH 6–7), except for Cu2+ which gave a maximum at 5.0. Desorption studies (six cycles of adsorption/desorption) indicated that loaded metal ions on cys-chitin can be desorbed completely by using 0.5 M HNO3. Moreover, the regeneration studies showed that the material deterioration was minimal. Table 1 summarizes all the above information, while Table 2 summarizes the respective adsorption experimental conditions.
Table 1.
List of models for adsorption isotherms and kinetics for adsorption of metals on chitin-based adsorbents.
Table 2.
Adsorption experimental conditions of the studies summarized.
Thermodynamic Studies
In Table 3, the estimated thermodynamic parameters of Gibbs free energy (ΔG0) (Equation (1)), enthalpy change (ΔH0) and entropy change (ΔS0) for the adsorption of toxic metals by chitin-based adsorbents are listed. The ΔG0, ΔH0 and ΔS0 are linked with Equations (2) and (3). As can be seen, the sorption data ranged from three or four temperatures, used in the range of 288–323 K. Thermodynamic studies showed that the adsorption was spontaneous or non-spontaneous (ΔG0 < 0, ΔG0 > 0, absolute value 0.23–76.54 kJ/mol), endothermic or exothermic (ΔH0 < 0, ΔH0 > 0, absolute value 2.16–132.59 kJ/mol), with positive or negative entropy values (absolute value 0.01–0.185 kJ/mol·K).
Table 3.
Thermodynamic parameters estimated for the adsorption of different metals onto chitin-based adsorbents.
Based on Equation (3), a plot of ΔH0 versus ΔS0 was drawn and a strong linear relationship was observed (R2 = 0.80) (Figure 3), which is known as enthalpy-entropy compensation [49,50,51,52,53,54,55,56].
Figure 3.
The enthalpy-entropy compensation plot for the works studied in the present review article (eight experimental points included).
This phenomenon sounds strange and it is hard to explain since the results came from various studies with different experimental conditions. One possible explanation is that both ΔH0 and ΔS0 were calculated from the same equation. To avoid misunderstandings, thermodynamic data should be viewed with caution.
4. Conclusions
This review focuses on the removal of toxic metals by chitin-based adsorbents. The initial pH, initial concentration, adsorbent dosage, contact time, etc., can also significantly affect the overall adsorption process. The Langmuir isotherm model and pseudo-second-order model were found to fit better to the adsorption data. More works suffer from the fact that there is a lack of discussion of the adsorption mechanism. For this purpose, in order to explore the mechanism of adsorption in depth, it is recommended to examine three-parametric isotherm models apart from two-parametric ones (Langmuir, Freundlich, etc.). Moreover, Weber and Morris and Elovich kinetic models are essential. Thermodynamic studies should also be viewed with caution since an enthalpy-entropy compensation was noticed. Future work should focus on a cost analysis of the application of chitins as adsorbents and their application in real wastewaters under real environmental conditions.
Conflicts of Interest
The authors declare no conflict of interest.
References
- Sörme, L.; Lagerkvist, R. Sources of heavy metals in urban wastewater in Stockholm. Sci. Total Environ. 2002, 298, 131–145. [Google Scholar] [CrossRef]
- Georgieva, V.G.; Tavlieva, M.P.; Genieva, S.D.; Vlaev, L.T. Adsorption kinetics of Cr(VI) ions from aqueous solutions onto black rice husk ash. J. Mol. Liq. 2015, 208, 219–226. [Google Scholar] [CrossRef]
- Heibati, B.; Rodriguez-Couto, S.; Al-Ghouti, M.A.; Asif, M.; Tyagi, I.; Agarwal, S.; Gupta, V.K. Kinetics and thermodynamics of enhanced adsorption of the dye AR 18 using activated carbons prepared from walnut and poplar woods. J. Mol. Liq. 2015, 208, 99–105. [Google Scholar] [CrossRef]
- Huang, J.; Wu, Z.; Chen, L.; Sun, Y. Surface complexation modeling of adsorption of Cd(II) on graphene oxides. J. Mol. Liq. 2015, 209, 753–758. [Google Scholar] [CrossRef]
- Najafi, F.; Moradi, O.; Rajabi, M.; Asif, M.; Tyagi, I.; Agarwal, S.; Gupta, V.K. Thermodynamics of the adsorption of nickel ions from aqueous phase using graphene oxide and glycine functionalized graphene oxide. J. Mol. Liq. 2015, 208, 106–113. [Google Scholar] [CrossRef]
- Nekouei, F.; Nekouei, S.; Tyagi, I.; Gupta, V.K. Kinetic, thermodynamic and isotherm studies for acid blue 129 removal from liquids using copper oxide nanoparticle-modified activated carbon as a novel adsorbent. J. Mol. Liq. 2015, 201, 124–133. [Google Scholar] [CrossRef]
- Agarwal, S.; Tyagi, I.; Gupta, V.K.; Ghasemi, N.; Shahivand, M.; Ghasemi, M. Kinetics, equilibrium studies and thermodynamics of methylene blue adsorption on ephedra strobilacea saw dust and modified using phosphoric acid and zinc chloride. J. Mol. Liq. 2016, 218, 208–218. [Google Scholar] [CrossRef]
- Banerjee, S.; Sharma, G.C.; Gautam, R.K.; Chattopadhyaya, M.C.; Upadhyay, S.N.; Sharma, Y.C. Removal of malachite green, a hazardous dye from aqueous solutions using avena sativa (OAT) hull as a potential adsorbent. J. Mol. Liq. 2016, 213, 162–172. [Google Scholar] [CrossRef]
- Heibati, B.; Yetilmezsoy, K.; Zazouli, M.A.; Rodriguez-Couto, S.; Tyagi, I.; Agarwal, S.; Gupta, V.K. Adsorption of ethidium bromide (ETBR) from aqueous solutions by natural pumice and aluminium-coated pumice. J. Mol. Liq. 2016, 213, 41–47. [Google Scholar] [CrossRef]
- Huang, X.; Pan, M. The highly efficient adsorption of Pb(II) on graphene oxides: A process combined by batch experiments and modeling techniques. J. Mol. Liq. 2016, 215, 410–416. [Google Scholar] [CrossRef]
- Munagapati, V.S.; Kim, D.S. Adsorption of anionic AZO DYE congo red from aqueous solution by cationic modified orange peel powder. J. Mol. Liq. 2016, 220, 540–548. [Google Scholar] [CrossRef]
- Peng, W.; Li, H.; Liu, Y.; Song, S. Adsorption of methylene blue on graphene oxide prepared from amorphous graphite: Effects of ph and foreign ions. J. Mol. Liq. 2016, 221, 82–87. [Google Scholar] [CrossRef]
- Yao, T.; Xiao, Y.; Wu, X.; Guo, C.; Zhao, Y.; Chen, X. Adsorption of Eu(III) on sulfonated graphene oxide: Combined macroscopic and modeling techniques. J. Mol. Liq. 2016, 215, 443–448. [Google Scholar] [CrossRef]
- Yazdani, M.R.; Tuutijärvi, T.; Bhatnagar, A.; Vahala, R. Adsorptive removal of arsenic(V) from aqueous phase by feldspars: Kinetics, mechanism, and thermodynamic aspects of adsorption. J. Mol. Liq. 2016, 214, 149–156. [Google Scholar] [CrossRef]
- Zare, K.; Sadegh, H.; Shahryari-Ghoshekandi, R.; Asif, M.; Tyagi, I.; Agarwal, S.; Gupta, V.K. Equilibrium and kinetic study of ammonium ion adsorption by Fe3O4 nanoparticles from aqueous solutions. J. Mol. Liq. 2016, 213, 345–350. [Google Scholar] [CrossRef]
- Ishihara, M.; Nguyen, V.Q.; Mori, Y.; Nakamura, S.; Hattori, H. Adsorption of silver nanoparticles onto different surface structures of chitin/chitosan and correlations with antimicrobial activities. Int. J. Mol. Sci. 2015, 16, 13973–13988. [Google Scholar] [CrossRef] [PubMed]
- Jayakumar, R.; Chennazhi, K.P.; Srinivasan, S.; Nair, S.V.; Furuike, T.; Tamura, H. Chitin scaffolds in tissue engineering. Int. J. Mol. Sci. 2011, 12, 1876–1887. [Google Scholar] [CrossRef] [PubMed]
- Park, B.K.; Kim, M.M. Applications of chitin and its derivatives in biological medicine. Int. J. Mol. Sci. 2010, 11, 5152–5164. [Google Scholar] [CrossRef] [PubMed]
- Yang, T.L. Chitin-based materials in tissue engineering: Applications in soft tissue and epithelial organ. Int. J. Mol. Sci. 2011, 12, 1936–1963. [Google Scholar] [CrossRef] [PubMed]
- Zhang, H.; Li, R.; Liu, W. Effects of chitin and its derivative chitosan on postharvest decay of fruits: A review. Int. J. Mol. Sci. 2011, 12, 917–934. [Google Scholar] [CrossRef] [PubMed]
- Crini, G.; Badot, P.M. Application of chitosan, a natural aminopolysaccharide, for dye removal from aqueous solutions by adsorption processes using batch studies: A review of recent literature. Prog. Polym. Sci. 2008, 33, 399–447. [Google Scholar] [CrossRef]
- Gerente, C.; Lee, V.K.C.; le Cloirec, P.; McKay, G. Application of chitosan for the removal of metals from wastewaters by adsorption—Mechanisms and models review. Crit. Rev. Environ. Sci. Technol. 2007, 37, 41–127. [Google Scholar] [CrossRef]
- Guibal, E.; van Vooren, M.; Dempsey, B.A.; Roussy, J. A review of the use of chitosan for the removal of particulate and dissolved contaminants. Sep. Sci. Technol. 2006, 41, 2487–2514. [Google Scholar] [CrossRef]
- Miretzky, P.; Cirelli, A.F. Hg(II) removal from water by chitosan and chitosan derivatives: A review. J. Hazard. Mater. 2009, 167, 10–23. [Google Scholar] [CrossRef] [PubMed]
- Vakili, M.; Rafatullah, M.; Salamatinia, B.; Abdullah, A.Z.; Ibrahim, M.H.; Tan, K.B.; Gholami, Z.; Amouzgar, P. Application of chitosan and its derivatives as adsorbents for dye removal from water and wastewater: A review. Carbohydr. Polym. 2014, 113, 115–130. [Google Scholar] [CrossRef] [PubMed]
- Wang, X.; Liu, Y.; Zheng, J. Removal of As(III) and As(V) from water by chitosan and chitosan derivatives: A review. Environ. Sci. Pollut. Res. 2016, 23, 13789–13801. [Google Scholar] [CrossRef] [PubMed]
- Zhang, L.; Zeng, Y.; Cheng, Z. Removal of heavy metal ions using chitosan and modified chitosan: A review. J. Mol. Liq. 2016, 214, 175–191. [Google Scholar] [CrossRef]
- Kyzas, G.Z.; Bikiaris, D.N. Recent modifications of chitosan for adsorption applications: A critical and systematic review. Mar. Drugs 2015, 13, 312–337. [Google Scholar] [CrossRef] [PubMed]
- Karthikeyan, G.; Andal, N.M.; Anbalagan, K. Adsorption studies of iron(III) on chitin. J. Chem. Sci. 2005, 117, 663–672. [Google Scholar] [CrossRef]
- Forutan, R.; Ehsandoost, E.; Hadipour, S.; Mobaraki, Z.; Saleki, M.; Mohebbi, G. Kinetic and equilibrium studies on the adsorption of lead by the chitin of pink shrimp (Solenocera melantho). Entomol. Appl. Sci. Lett. 2016, 3, 20–26. [Google Scholar]
- Karthik, R.; Meenakshi, S. Chemical modification of chitin with polypyrrole for the uptake of Pb(II) and Cd(II) ions. Int. J. Biol. Macromol. 2015, 78, 157–164. [Google Scholar] [CrossRef] [PubMed]
- Xiong, C. Adsorption of cadmium (II) by chitin. J. Chem. Soc. Pak. 2010, 32, 429–435. [Google Scholar]
- Mohan, K.; Syed-Shafi, S. Removal of cadmium from the aqueous solution using chitin/polyethylene glycol binary blend. Der Pharma Lett. 2013, 5, 62–69. [Google Scholar]
- Rodríguez, M.; Zalba, M.; Goitía, M.; Pugliese, A.; Debbaudt, A.; Agulló, E.; Schulz, P.; Albertengo, L. Calcareous chitin: A novel low-cost sorbent for cadmium (II). Latin Am. Appl. Res. 2012, 42, 311–318. [Google Scholar]
- Labidi, A.; Salaberria, A.M.; Fernandes, S.C.; Labidi, J.; Abderrabba, M. Adsorption of copper on chitin-based materials: Kinetic and thermodynamic studies. J. Taiwan Inst. Chem. Eng. 2016, 65, 140–148. [Google Scholar] [CrossRef]
- Jaafarzadeh, N.; Mengelizadeh, N.; Hormozinejad, M. Adsorption of Zn(II) from aqueous solution by using chitin extracted from shrimp shells. Jentashapir J. Health Res. 2013, 5, 131–139. [Google Scholar]
- Jaafarzadeh, N.; Mengelizadeh, N.; Takdastan, A.; Heidari-Farsani, M.; Niknam, N. Adsorption of Zn(II) from aqueous solution by using chitin extraction from crustaceous shell. J. Adv. Environ. Health Res. 2014, 2, 110–119. [Google Scholar]
- Kocer, N.N.; Uslu, G.; Cuci, Y. The adsorption of Zn(II) ions onto chitin: Determination of equilibrium, kinetic and thermodynamic parameters. Adsorpt. Sci. Technol. 2008, 26, 333–344. [Google Scholar] [CrossRef]
- Sofiane, B.; Sofia, K.S. Biosorption of heavy metals by chitin and the chitosan. Der Pharma Chem. 2015, 7, 54–63. [Google Scholar]
- Jaafarzadeh, N.; Mengelizadeh, N.; Takdastan, A.; Farsani, M.H.; Niknam, N.; Aalipour, M.; Hadei, M.; Bahrami, P. Biosorption of heavy metals from aqueous solutions onto chitin. Int. J. Environ. Health Eng. 2015, 4, 1–7. [Google Scholar]
- Yang, R.; Su, Y.; Aubrecht, K.B.; Wang, X.; Ma, H.; Grubbs, R.B.; Hsiao, B.S.; Chu, B. Thiol-functionalized chitin nanofibers for As(III) adsorption. Polymer 2015, 60, 9–17. [Google Scholar] [CrossRef]
- Hanh, T.T.; Huy, H.T.; Hien, N.Q. Pre-irradiation grafting of acrylonitrile onto chitin for adsorption of arsenic in water. Radiat. Phys. Chem. 2015, 106, 235–241. [Google Scholar] [CrossRef]
- Singh, P.; Nagendran, R. A comparative study of sorption of chromium(III) onto chitin and chitosan. Appl. Water Sci. 2016, 6, 199–204. [Google Scholar] [CrossRef]
- Santosa, S.J.; Siswanta, D.; Sudiono, S.; Utarianingrum, R. Chitin–humic acid hybrid as adsorbent for Cr(III) in effluent of tannery wastewater treatment. Appl. Surf. Sci. 2008, 254, 7846–7850. [Google Scholar] [CrossRef]
- Otuonye, U.C.; Barminas, J.T.; Magomya, A.M.; Kamba, E.A.; Andrew, C. Removal of chromium(VI) as a heavy metal from aqueous solution using chitin obtained from bargi fish (heterotis miloticus) scale. Sci-Afric J. Sci. Issues Res. Essays 2014, 2, 128–131. [Google Scholar]
- Saravanan, D.; Gomathi, T.; Sudha, P. Sorption studies on heavy metal removal using chitin/bentonite biocomposite. Int. J. Biol. Macromol. 2013, 53, 67–71. [Google Scholar] [CrossRef] [PubMed]
- Karthik, R.; Meenakshi, S. Synthesis, characterization and Cr(VI) uptake studies of polypyrrole functionalized chitin. Synth. Met. 2014, 198, 181–187. [Google Scholar] [CrossRef]
- Shao, J.; Yang, Y.; Shi, C. Preparation and adsorption properties for metal ions of chitin modified by l-cysteine. J. Appl. Polym. Sci. 2003, 88, 2575–2579. [Google Scholar] [CrossRef]
- Anastopoulos, I.; Bhatnagar, A.; Lima, E.C. Adsorption of rare earth metals: A review of recent literature. J. Mol. Liq. 2016, 221, 954–962. [Google Scholar] [CrossRef]
- Anastopoulos, I.; Kyzas, G.Z. Composts as biosorbents for decontamination of various pollutants: A review. Water Air Soil Pollut. 2015, 226, 1–16. [Google Scholar] [CrossRef]
- Anastopoulos, I.; Kyzas, G.Z. Are the thermodynamic parameters correctly estimated in liquid-phase adsorption phenomena? J. Mol. Liq. 2016, 218, 174–185. [Google Scholar] [CrossRef]
- Anastopoulos, I.; Kyzas, G.Z. Agricultural peels for dye adsorption: A review of recent literature. J. Mol. Liq. 2014, 200, 381–389. [Google Scholar] [CrossRef]
- Anastopoulos, I.; Massas, I.; Ehaliotis, C. Use of residues and by-products of the olive-oil production chain for the removal of pollutants from environmental media: A review of batch biosorption approaches. J. Environ. Sci. Health Part A 2015, 50, 677–718. [Google Scholar] [CrossRef] [PubMed]
- Bhatnagar, A.; Anastopoulos, I. Adsorptive removal of bisphenol a (BPA) from aqueous solution: A review. Chemosphere 2017, 168, 885–902. [Google Scholar] [CrossRef] [PubMed]
- Ramesh, A.; Lee, D.; Wong, J. Thermodynamic parameters for adsorption equilibrium of heavy metals and dyes from wastewater with low-cost adsorbents. J. Colloid Interface Sci. 2005, 291, 588–592. [Google Scholar] [CrossRef] [PubMed]
- Liu, X.; Lee, D.-J. Thermodynamic parameters for adsorption equilibrium of heavy metals and dyes from wastewaters. Bioresour. Technol. 2014, 160, 24–31. [Google Scholar] [CrossRef] [PubMed]
© 2017 by the authors; licensee MDPI, Basel, Switzerland. This article is an open access article distributed under the terms and conditions of the Creative Commons Attribution (CC-BY) license (http://creativecommons.org/licenses/by/4.0/).


