Abstract
Flowering time is a key agronomic trait, directly influencing crop yield and quality. Many flowering-time genes have been identified and characterized in the model plant Arabidopsis thaliana; however, these genes remain uncharacterized in many agronomically important Brassica crops. In this study, we identified 1064, 510, and 524 putative orthologs of A. thaliana flowering-time genes from Brassica napus, Brassica rapa, and Brassica oleracea, respectively, and found that genes involved in the aging and ambient temperature pathways were fewer than those in other flowering pathways. Flowering-time genes were distributed mostly on chromosome C03 in B. napus and B. oleracea, and on chromosome A09 in B. rapa. Calculation of non-synonymous (Ka)/synonymous substitution (Ks) ratios suggested that flowering-time genes in vernalization pathways experienced higher selection pressure than those in other pathways. Expression analysis showed that most vernalization-pathway genes were expressed in flowering organs. Approximately 40% of these genes were highly expressed in the anther, whereas flowering-time integrator genes were expressed in a highly organ-specific manner. Evolutionary selection pressures were negatively correlated with the breadth and expression levels of vernalization-pathway genes. These findings provide an integrated framework of flowering-time genes in these three Brassica crops and provide a foundation for deciphering the relationship between gene expression patterns and their evolutionary selection pressures in Brassica napus.
1. Introduction
The phase transition from vegetative to reproductive growth is a crucial step in the plant’s life cycle, especially in relation to plant adaptation and crop productivity [1,2,3,4]. Generally, flowering time is central to reproductive success and isolation [1,3]. The process of flowering involves all aspects of plant growth, including cell and organ differentiation, cell division, and gene expression, which are controlled by both genetic and environmental factors. Most plants restrict flowering to a specific time of year when conditions are optimal for pollination and seed development [5]. To achieve this, plants depend on reliable environmental factors, such as temperature, day length, nutrient and water availability [5].
Flowering time involves a variety of genes and is regulated by internal signals [6,7]. Environmental factors play additional key roles in stimulating internal regulatory factors [8,9]. Switching the shoot apical meristem (SAM) from vegetative to reproductive growth is controlled by both environmental and endogenous signals, and this process is affected mainly by photoperiodic promotion, autonomous enhancement, flowering inhibition, vernalization (the acceleration of flowering by low temperatures and the suppression of specific genes), and gibberellin induction [10]. These factors act on the inflorescence/floral meristem in combination, resulting in the conversion of the apical meristem to the inflorescence/floral meristem. The inflorescence/floral meristem then forms the floral organs by activating the expression of floral organ-specific genes.
The molecular mechanisms underlying flowering have been extensively studied in the model plant A. thaliana, and these are summarized in the FLOR-ID (Flowering Interactive Database), which is an interactive database of flowering-time gene networks [11]. The A. thaliana flowering-time networks comprise a total of 306 genes, and most of these are members of multigene families. According to the FLOR-ID, flowering-time genes are allocated into seven pathways: photoperiodic/lighting and signaling, vernalization, ambient temperature, aging, sugar, hormones, and autonomous. Genes involved in multiple pathways are regarded as “flowering-time integrators” [11].
Photoperiodic/lighting and signaling pathways consist mainly of three groups of genes: photoreceptor, circadian clock components, and photoperiodic pathway genes. Plant light perception is accomplished primarily by five known classes of photoreceptors: UVB-RESISTANCE 8 (UVR8); the blue light receptor, ZEITLUPE (ZTL), cryptochrome (CRY) and phototropin (PHOT); and the red/far-red light receptor, phytochrome (PHY) [5] Plant circadian clock was entrained primarily through the sensing of light and temperature, allows plants to regulate metabolic pathways and measure the variations in day length, inducing flowering under specific induced daylength conditions [12,13,14]. For example, two A. thaliana MYB transcription factors, CIRCADIAN CLOCK ASSOCIATED 1 (CCA1) and LATE ELONGATED HYPOCOTYL (LHY) are expressed mainly in the morning, while PSEUDO-RESPONSE REGULATOR 1 (PRR1, also called TIMING OF CAB EXPRESSION 1, TOC1) is expressed primarily at night. These three genes form the central oscillator feedback loop of the circadian clock [5]. To date, the most studied genes in the photoperiodic pathway are CONSTANS (CO) and FLOWERING LOCUS T (FT). CO encodes a zinc finger transcription factor that plays a crucial role in regulating flowering time in response to photoperiodic signals [15]. Prolonged sunlight leads to the accumulation of CO, and directly activates the expression of the flowering pathway integrators SUPPRESSOR OF OVEREXPRESSION CO1 (SCO1) and FT [16]. FLOWERING LOCUS C (FLC) is a transcription repressor which negatively regulates the expression of FT interacting with other factors from the vernalization pathway [17,18]. FLC encodes a transcription factor with a MADS domain, and functions together with FRIGIDA (FRI) to control the late-flowering phenotype in A. thaliana. Moreover, FRI promotes the expression of FLC, leading to delayed flowering [19]. Vernalization inhibits the function of FRI, thus maintaining low expression levels of FLC, promoting flowering in the second year [20]. In addition, ambient temperature, age, sugar, hormones, and autonomous pathway genes play key roles in modulating the flowering response [17,18].
Understanding the control of flowering time in crops is not only important for improving crop yield, but also provides a theoretical basis for cultivating crops using diverse farming practices. To date, flowering-time genes have been extensively identified and studied in several crops, including cotton (Gossypium raimondii), radish (Raphanus sativus), wheat (Triticum aestivum), and barley (Hordeum vulgare) [21,22,23,24,25]. However, this is not the case for crops from the genus Brassica. Brassica is one of the most important genera of cruciferous plants, including many important vegetables, oil, and forage crops. Although several flowering-time genes have been characterized in Brassica species [26,27,28,29], their systematic investigation at the genome-wide level remains to be performed, especially in the important oilseed crop B. napus.
Here, we identified flowering-time genes in three Brassica species, B. napus and its two progenitors, B. rapa and B. oleracea, using 295 protein-coding flowering genes from A. thaliana as query sequences. We then compared the properties of these genes and gene family expansion status in different flowering-time pathways among the three species, which revealed a negative correlation between selective pressures and expression levels. We also assessed the correlation between selective pressures and expression breadth (i.e., the number of organs in which the genes are expressed) of vernalization-pathway genes. Studies of putative orthologs and of the relationship between selective pressures and expression patterns provided further information on the control of flowering time in Brassica species.
2. Results
2.1. Identification of Flowering-Time Genes in B. rapa, B. oleracea, and B. napus
A total of 306 genes involved in flowering were detected in A. thaliana from FLOR-ID [11], including 295 coding genes and 11 noncoding genes (Table S1). The results from the PfamScan analysis of the 295 coding-protein sequences showed that 276 members contained 117 different functional domains, such as 2OG-FeII_Oxy, AP2, HLH, and SRF-TF (Table S2). No functional domain existed in the remaining 19 members (Table S2).
For those domain-containing genes, the results derived from HMMER and BLASTP searches were intersected and identified a total of 985, 475, and 482 domain-containing flowering-time genes in B. napus, B. rapa, and B. oleracea, respectively (Tables S3–S5). For those non-domain-containing genes, the reciprocal BLASTP analysis was used and 79, 35, and 42 flowering-time genes were identified in B. napus, B. rapa, and B. oleracea, respectively (Tables S3–S5).
Using 295 A. thaliana flowering-time genes as queries, we identified a total of 1064, 510, and 524 flowering-time genes in B. napus, B. rapa, and B. oleracea, respectively (Table 1, Tables S3–S5). No orthologous genes were found corresponding to 20, 22, and 28 A. thaliana flowering-time genes in B. napus, B. rapa, and B. oleracea, respectively (Table S6). This includes 17 A. thaliana genes that were simultaneously lost in the three Brassica species, for example, SNZ, ATJ3, and CIB5. The identity of sequences between genes in A. thaliana and their corresponding orthologs ranged from 50% to 100%, with an average of 94.83%, 95.14%, and 94.89% to those in B. napus, B. rapa, and B. oleracea, respectively (Tables S3–S5).
Table 1.
The flowering-time genes identified in A. thaliana, B. rapa, B. oleracea, and B. napus.
2.2. Partition of Flowering-Time Genes to Different Pathways
Both A. thaliana and Brassica belong to the Brassicaceae family and share a high level of similarity among orthologous genes. According to the classification rule of flowering-time genes in A. thaliana [11], the Brassica flowering-time genes are classified into seven pathways: photoperiodic/lighting and signaling, vernalization, aging, ambient temperature, hormone, sugar and autonomous (Table 1). Interestingly, 34 genes in A. thaliana are involved simultaneously in two pathways, including photoperiodic/lighting and signaling and aging pathways, ambient temperature and autonomous pathways, ambient temperature and photoperiodic/lighting and signaling pathways, ambient temperature and vernalization pathways, photoperiodic/lighting and signaling and autonomous pathways, and vernalization and autonomous pathways (Table 1). For example, TARGET OF EARLY ACTIVATION TAGGED (TOE) genes are classified into photoperiodic/lighting and signaling and aging pathways. Moreover, more genes were involved in both photoperiodic/lighting and signaling and autonomous pathways than in other pathways, including 50 members from B. napus, 24 members from B. rapa, and 26 members from B. oleracea belonging to both these two pathways (Table 1). The ambient temperature pathway involved the fewest genes.
The photoperiodic/lighting and signaling pathway include the circadian clock, photoperiodism/light perception, and signaling pathways, which play crucial roles in regulating flowering time. In this study, 390, 187, and 193 members were identified in B. napus, B. rapa, and B. oleracea, respectively, as being involved in the photoperiodic/lighting and signaling pathway (Table 1, Tables S3–S5). In the circadian clock pathway, most of the flowering-time genes in A. thaliana possessed two to eight orthologs in B. napus and one to four orthologs in B. rapa and B. oleracea, such as CCA1, CASEIN KINASE II BETA SUBUNIT 3 (CKB3), EARLY FLOWERING 4 (ELF4), and FIONA 1 (FIO1), but no orthologs were found for LIGHT-REGULATED WD 2 (LWD2) and ZTL among the three Brassica species. Similarly, no orthologs were detected for CRYPTOCHROME-INTERACTING BASIC-HELIX-LOOP-HELIX 5 (CIB5), FLOWERING BHLH 2 (FBH2), FLAVIN-BINDING-KELCH REPEAT-F BOX 1 (ADAGIO3/ADO3), PHYTOCHROME D (PHYD), CALCIUM-DEPENDENT PROTEIN KINASE 33 (CPK33), NUCLEAR FACTOR Y-SUBUNIT C3 (NF-YC3), and SCHNARCHZAPFEN (SNZ) in the photoperiodism/light perception and signaling pathways (Table S6). The key regulator in flowering time is CO, which integrates the information between the internal circadian clock and the external day-night cycles [30]. In this study, we identified two CO members in B. napus (BnaA10g18430D and BnaC09g41990D) and one copy in both B. rapa (Bra008669) and B. oleracea (Bol030488). In addition, nine, five, and five CONSTANS-LIKE (COL) genes were identified in B. napus, B. rapa, and B. oleracea, respectively. Three F-box family genes, putative orthologs of Arabidopsis LOV KELCH PROTEIN 2 (LKP2), ZTL and FLAVIN-BINDING-KELCH REPEAT-F BOX 1 (FKF1); LKP2 existed as six tightly linked copies in B. napus and three copies in B. rapa and B. oleracea, but ZTL and FKF1 were both lost in these Brassica species.
The flowering-time integrator pathway consists of a small number of central floral pathway factors, which integrate signals from several pathways during floral transition [31], including the meristem response and development pathway. In this pathway, 72, 34, and 33 ‘integrator’ genes were identified from B. napus, B. rapa, and B. oleracea, respectively, using the 16 ‘integrator’ genes from A. thaliana (Table 1, Tables S3–S5). Previous studies have revealed that the expression of FT is a crucial step in flowering [17,18]. In this study, three copies of FT were found in B. napus, and one copy was identified in B. rapa and B. oleracea, respectively (Tables S3–S5). Other important flowering genes, such as FLOWERING LOCUS F (FLF), LEAFY (LFY), SUPPRESSOR OF OVEREXPRESSION OF CO 1 (COS1), SHORT VEGETATIVE PHASE (SVP), and TERMINAL FLOWER1 (TFL) were also detected in the three species, but no ortholog was found for either SQUAMOSA PROMOTER BINDING PROTEIN-LIKE 4 (SPL4) or XAANTAL2 (XAL2) in B. oleracea (Table S6).
Most plants that bloom in spring need to experience a cold period to overcome a block on flowering, which occurs through the process known as vernalization. In the vernalization pathway, 117, 61, and 57 flowering-time genes were identified in B. napus, B. rapa, and B. oleracea, respectively (Table 1, Tables S3–S5). Natural variation studies in A. thaliana illustrate that vernalization is strongly influenced by two dominant genes, FLC and FRI. FLC functions as the major repressor of flowering in the vernalization pathway and encodes a MADS-box DNA binding protein [20], and FRI encodes a nuclear protein that interacts with mRNA to regulate the level of FLC mRNA [23]. In this study, nine, three, and one copies of the FLC gene were identified in B. napus, B. rapa, and B. oleracea, respectively, with a striking expansion of FLC in B. napus. Whereas one copy of FRI was identified in both B. napus and B. rapa, no ortholog was found in B. oleracea.
2.3. Chromosomal Location Analysis
B. napus was formed by natural hybridization between two progenitors, B. rapa and B. oleracea, approximately 7500–10,000 years ago [32,33]. The A subgenome in B. napus is derived from the B. rapa genome while the C subgenome is derived from the B. oleracea genome. To determine the chromosomal location of flowering-time genes, all the genes were mapped onto the chromosomes of B. napus, B. rapa, and B. oleracea. A total of 870, 505, and 415 genes mapped to chromosomes, respectively (Figures S1–S3), and the remaining genes were assigned to unanchored scaffolds (Table S7). All chromosomes contained at least 30 genes.
In B. napus, the highest number of genes was detected on chromosome C03, which contained 90 members. Seventy genes were detected on chromosome C04, and the lowest number of genes was found on chromosome A08, with only 31 members (Figure S1, Table S7). In B. rapa, the highest number of genes was detected on chromosome A09, which contained 71 members. Seventy genes were detected on chromosome A03, and the lowest number of genes was found on chromosome A10, which possessed 30 members (Figure S2, Table S7). In B. oleracea, chromosome C03 contained the highest number of genes, 75, followed by chromosome C04 with 54 members, and the lowest number of genes was 31 on chromosome C05 (Figure S3, Table S7).
A comparison of chromosome locations of flowering-time genes among B. napus, B. rapa, and B. oleracea showed that a total of 511 genes were localized on the A subgenome in B. napus, which is almost equal to the number of its orthologs in B. rapa (510 genes were identified in this study). However, a total of 550 genes were localized on the C subgenome in B. napus, which is much higher than the number of its orthologs in B. oleracea (524 genes were identified in this study), illustrating that flowering-time genes in the C subgenome underwent greater expansion than in the A subgenome in B. napus.
2.4. Gene Expansion Analysis
Previous studies predict that approximately 101,040, 41,100, and 45,500 protein-coding genes exist in the B. napus [32], B. rapa [34], and B. oleracea [35] genomes, respectively. A comparison between these three genomes and that of A. thaliana showed that the number of genes in B. napus, B. rapa, and B. oleracea was 4.04, 1.64, and 1.82 times that of A. thaliana at the whole-genome level, respectively, which was different to the number of flowering-time genes predicted in this study (3.61, 1.72, and 1.78 times that of A. thaliana, respectively) (Table 1), demonstrating that flowering-time genes expanded in B. rapa, but were lost in B. napus and B. oleracea.
The gene expansion ratios among the different flowering-time pathways were also uneven in the Brassica species studied here. The greatest expansion was detected in the flowering-time integrator pathway, with ratios of 4.50, 2.13, and 2.06 in B. napus, B. rapa, and B. oleracea, respectively (Table 1), which was higher than the average expansion at the whole-genome level, implying the importance of this pathway in the flowering of Brassica species. The minimum expansion ratio was in the ambient temperature pathway, with ratios of only 2.70, 1.30, and 1.20 in B. napus, B. rapa, and B. oleracea, respectively (Table 1).
To accurately estimate the expansion status in the three Brassica species, the gene number ratio (Γ) was used in this study (see Material and Methods). Different Γ existed in different species for the same pathway. The Γ was 1.18 in B. rapa and 1.09 in B. oleracea for all flowering-time genes (Figure 1), illustrating that flowering-time genes in both B. rapa and B. oleracea showed greater expansion than in B. napus. Among the flowering time pathways, the Γ ranged from 1.07 (hormone pathway) to 1.28 (vernalization pathway) in B. rapa, and from 0.99 (ambient temperature pathway) to 1.30 (sugar pathway) in B. oleracea (Figure 1). The Γs of all the flowering pathways in B. rapa and B. oleracea were higher than 1, except for the ambient temperature pathway in B. oleracea. In addition, the Γ in B. rapa was more than in B. oleracea in most pathways, except the hormone and sugar pathways. In general, flowering-time genes in B. rapa showed stronger expansion, followed by B. oleracea (Figure 1), demonstrating that more flowering-time genes were retained in the two progenitors than in B. napus.
Figure 1.
Gene expansion comparison among B. napus, B. rapa, and B. oleracea. The method is explained in Material and Methods and the colors represent the various degrees of gene expansion. If Γ is less than one in pathway A, the flowering-time pathway A in B. napus experienced an expansion event, while if greater than one, a contraction event occurred in this pathway. The Γ is greater, the contraction is more serious.
2.5. Phylogenetic Analysis of Two Flowering-Time Gene Families
Plant phosphatidylethanolamine-binding protein (PEBP) family proteins share a PBP domain (PF01161.19) and consist of three subfamilies: FT, TERMINAL FLOWER 1 (TFL1), and MOTHER OF FT (MFT). FT induces flowering, TFL1 suppresses flowering, and MFT primarily regulates seed germination [36,37]. In A. thaliana, the PEBP family contains five flowering-time proteins: FT, TFL1, CENTRORADIALIS (ATC), BROTHER OF FT AND TFL1 (BFT), and TWIN SISTER OF FT (TSF). In this study, 21, 10, and 11 PEBP members were identified in B. napus, B. rapa, and B. oleracea, respectively (Tables S3–S5), and each A. thaliana PEBP protein possessed a few orthologs in the Brassica species. In addition, 18 MADS-box (a highly conserved N-terminal DNA binding domain) proteins in A. thaliana are involved in flowering time and contain the SRF-TF/K-box domain (PF00319.17/PF01486.16), such as AP1 (AGL7), FLC, MAF1-MAF5, and SVP (AGL22). We identified 79, 37, and 30 SRF-TF/K-box proteins in B. napus, B. rapa, and B. oleracea, respectively (Tables S3–S5). Most of the MADS-box proteins in A. thaliana possessed orthologs in the Brassica species, but no homologs were detected for FLM (MAF1/AGL27) and MAF5 (AGL68). In addition, XAL2 (AGL14), MAF3 (AGL70), and MAF4 (AGL69) were not detected in B. oleracea, and MAF2 (AGL31) was lost in both B. napus and B. oleracea (Table S6).
Phylogenetic analysis of the PEBP family proteins from A. thaliana, B. napus, B. rapa, and B. oleracea, revealed that the PEBP family was clearly divided into two groups: FT and TSF (Group 1), and TFL1, ATC, and BFT (Group 2) (Figure 2). Group 1 contained 13 Brassica members and two A. thaliana members. Group 2 possessed 29 Brassica members and three A. thaliana members. All putative sequences for each PEBP subfamily member from the four Brassicaceae species formed a well-supported clade. Orthologs from A. thaliana, B. napus, B. rapa, and B. oleracea formed a specific Brassicaceae subfamily clade that was distinct from other. These clades were detected in MADS-box family members as well. The MADS-box family involved in flowering was classified into two large subfamilies (Figure 3). Group 1 contained 10 small subfamilies, including the AGL6, AGL7, AGL8, AGL14, AGL16, AGL17, AGL19, AGL20, AGL22, and AGL24 subfamilies. Group 2 possessed four small subfamilies, including the MAF1-5, FLC, AGL15, and AGL18 subfamilies, and MADS-box proteins involved in various flowering pathways.
Figure 2.
Phylogeny of PEBP family proteins in A. thaliana, B. napus, B. rapa, and B. oleracea. The phylogenetic tree was constructed using MEGA 7.0 with the neighbor-joining method (1000 bootstrap replicates) and displayed using FigTree v1.4.0. PEBP proteins involved in flowering are clustered into two distinct groups (Group 1, the purple clade; Group 2, the blue clade). The scale bar denotes the number of nucleotide replacements per site. PEBP: phosphatidylethanolamine-binding protein, At: A. thaliana (marked in red), Bra: B. rapa, Bol: B. oleracea, Bna: B. napus.
Figure 3.
Phylogeny of MADS family proteins in A. thaliana, B. napus, B. rapa, and B. oleracea. The phylogenetic tree was constructed using MEGA 7.0 with the neighbor-joining method (1000 bootstrap replicates) and displayed using FigTree v1.4.0. MADS proteins involved in flowering are clustered into two distinct groups (Group 1, the turquoise clade; Group 2, the green clade). The scale bar denotes the number of nucleotide replacements per site. MADS: MCM1, AGAMOUS, DEFICIENS, and SRF, At: A. thaliana (marked in red), Bra: B. rapa, Bol: B. oleracea, Bna: B. napus.
All the MCM1, AGAMOUS, DEFICIENS, and SRF (MADS)-box proteins in Group 2 had a negative effect on flowering time, while most members in Group 1 had a positive effect, with the exception of the SVP (AGL22) and AGL16 subfamilies, which had a negative effect, and the AP1 (AGL7) subfamily, which had no identifiable effect. In Group 2, the MAF subfamily, MAF1-3, clustered together to form the MAF subclade with MAF4-5 (Figure 3), implying that two ancestral copies exist in the MAF subfamily, one for MAF1-3 and another for MAF4-5. Moreover, the FLC subclade displayed a close relationship with the MAF subclade, indicating a common ancestral sequence for this closely related subclade. This evolutionary relationship was displayed in other subclades as well, such as in the AGL6-8, AGL22, and AGL24 subclades.
2.6. Selective Pressure Calculations of Flowering-Time Genes
To determine the selective pressures of flowering-time genes, Ka, Ks, and Ka/Ks were calculated for B. napus (see Section 4. Materials and Methods). The Ka ranged from 0.0056 (BnaC02g34760D) to 2.2319 (BnaA01g19030D), with an average of 0.1077 (Table S8), and Ks estimates ranged from 0.1859 (BnaA09g05500D) to 2.7018 (BnaC03g16130D), with a mean of 0.5193 (Table S8). The Ka/Ks ratios ranged from 0.0130 (BnaC02g34760D) to 1.0874 (BnaA07g01200D), with an average of 0.2052 (Figure 4, Table S8), and 43.14% of genes had Ka/Ks estimates higher than the average. Only BnaA07g01200D had a Ka/Ks ratio greater than one, implying that this gene was subjected to positive selection. The average Ka/Ks ratio in the A subgenome was only slightly lower than in the C subgenome (Table S8), indicating that a similar evolutionary rate and selection pressure exist for flowering-time genes in both the A and C subgenomes. In addition, the average Ka/Ks ratios varied between the different flowering-time pathways and were highest in the vernalization pathway (0.2653), followed by those in the ambient temperature pathway (0.2634), while the lowest was in the sugar pathway (0.1120) (Figure 4, Table S8).
Figure 4.
Direction and magnitude of selective pressures acting on different pathways in B. napus. Quantile boxplots show the distribution of Ka/Ks values for orthologous homologous gene pairs. The horizontal bar in each box indicates the median value. The crossbar in each box indicates the average value. The upper and lower bars correspond to the upper and lower adjacent values outside the inter-quartile range. Ph: photoperiodic, lighting, and signaling pathway; Ve: vernalization pathway; Ag: aging pathway, Am: ambient temperature pathway; Ho: hormone pathway; Su: sugar pathway; Au: autonomous pathway; Fi: flowering-time integrator pathway; All: all flowering-time genes identified in our study.
The gene with the highest Ka/Ks ratio, BnaC02g34760D (1.0874), is an ortholog of AtFVE (AT2G19520) and functions in both the autonomous and ambient temperature pathways. We identified seven orthologs of AtFVE in B. napus, including BnaA01g19030D, BnaA09g09860D, BnaA09g44120D, BnaAnng33220D, BnaC07g01700D, BnaC08g36680D, and BnaC09g09900D (Table S3). Six of these genes had a Ka/Ks ratio of less than 0.3, and only BnaA01g19030D had a higher Ka/Ks ratio (0.8988, Table S8). Moreover, the Ka/Ks ratio of FRL2 (BnaA03g13320D, vernalization pathway) was close to one (0.9989, Table S8), indicating that this gene was subject to neutral selection.
In addition, the Ka/Ks ratios of flowering-time genes in the vernalization pathway showed higher variation than those in other pathways (Figure 4, Table S8), implying that vernalization-pathway genes were not only subjected to greater selection pressures but also experienced more functional differentiation than genes in other pathways.
2.7. Expression Patterns of Vernalization-Pathway Genes
To investigate the expression profiles of vernalization-pathway genes, which rapidly evolved in B. napus, eight reproductive organs and six vegetative organs were chosen. Although the average expression levels varied among the different vernalization-pathway genes, similar expression patterns were observed among homologs and among the same gene subfamilies (Figure 5).
Figure 5.
Organ-specific expression profiles of flowering-time genes in the vernalization pathway of B. napus. The expression patterns of these genes were obtained from RNA-seq data. The color bar at the upper right side of the figure represents Log2 (FPKM + 1), with green representing little or no expression. The root (Ro), stem (St), leaf (Le), bud (Bu), anthocaulus (Ao), calyx (Cal), petal (Pe), pistil (Pi), stamen (Sta), anther (At), capillament (Cap), and inflorescence top (It) organs were harvested at the initial blooming stage, while seeds (Se) and silique pericarps (SP) were harvested after 10, 21, and 30 days in the field. The brown box represents high Ka/Ks gene pairs and the dark green ellipse represents low Ka/Ks gene pairs. FPKM: fragments per kilobase of exon model per million reads mapped.
Most genes were expressed in flowering organs and tended to be strongly expressed in one or two organs. For example, four LRB1 members were expressed in all organs investigated, but their expression was mostly in the stamen and anther. High expression in all organs was observed in four CUL3A members (BnaA08g19930D, BnaA09g29300D, BnaC05g50950D, and BnaCnng12340D), as well as in two CDKC2 genes (BnaC02g43430D and BnaCnng29900D) and two LRB2 (POB1) genes (BnaA07g38170D and BnaC06g42880D) (Figure 5). In addition, strong expression of BnaA07g38170D and BnaC06g42880D was not only detected in the anther, but also in the anthocaulus, calyx, petal, and capillament. Several vernalization-pathway genes were preferentially expressed in the anther, including two FRL2, two PHP, two SUF4, and four CDCK2 members. Twenty-nine vernalization-pathway genes had weak or no expression in most organs, especially in the reproductive organs, including eight AGL19, four MAF3, four MAF4, two SDG7, four VRN2, four WRKY34, and one VIL1, NDX, and WDR5A members (Figure 5).
Since some flowering-time integrator genes play key roles in vernalization, such as FLC, SVP, FT, SOC1, FUL, AGL24, AP1, and LFY (Figure 6), their expression profiles were also assessed in this study. These flowering-time integrator genes displayed diverse expression patterns in different subfamilies (Figure 7). Five FLC genes were highly expressed in seeds at 21 and 30 days after flowering, especially BnaA03g02820D and BnaA02g00370D, but other FLC members were weakly or not expressed in most organs. Three SVP and three AGL24 genes were highly expressed in leaves and stems. Two FT members were expressed at extremely high levels in leaves and silique pericarps during the developmental stages studied. All SOC1 family members were strongly expressed in at least one organ, including flowering organs (Figure 7). FUL family members displayed high expression levels in leaves, stems, and silique pericarps at 10, 21, and 30 days after flowering, and BnaA09g05500D and BnaC07g49790D showed high expression levels in flowering organs. Unlike the subfamilies mentioned previously, six AP1 subfamily members were, for the most part, expressed specifically in five flowering organs (bud, anthocaulus, calyx, petal, and inflorescence top), BnaC02g44500D was expressed in all organs examined. However, LFY subfamily members were expressed at extremely low levels or not expressed in all organs examined (Figure 7). By comparing gene expression patterns between the vernalization pathway and flowering-time integrator pathways, we showed that genes in the vernalization pathway have a wider breadth of expression (number of organs in which the gene is expressed) than genes in the flowering-time integrator pathway. In this pathway, expression was observed mostly in specific organs (Figure 5 and Figure 7). In addition, genes in the flowering-time integrator pathway were more likely to be strongly expressed in non-flowering organs (except for members of the AP1 subfamily, which highly expressed in flowering organs), illustrating their multiple functions in the control of flowering.
Figure 6.
The flowering-time vernalization pathway in B. napus. This pathway was modified from a previous model [11]. Genes directly involved in the vernalization pathway in our study are marked in black, while genes belonging to the flowering-time integrator pathway but playing central roles in vernalization are marked in green. Values in parentheses, from left to right, represent the numbers of highly expressed genes (red), weakly expressed genes (green), and organ-specific genes (blue) in the same subfamily. The open arrows represent genes that could be induced by environmental changes and cold treatment.
Figure 7.
Organ-specific expression profiles of some flowering-time integrator genes that play crucial roles in vernalization in B. napus. The expression patterns of these genes were obtained from the RNA-seq data. The color bar at the upper right side of the figure represents Log2 (FPKM + 1), with green representing little or no expression. The root (Ro), stem (St), leaf (Le), bud (Bu), anthocaulus (Ao), calyx (Cal), petal (Pe), pistil (Pi), stamen (Sta), anther (At), capillament (Cap), and inflorescence top (It) organs were harvested at the initial blooming stage, while seeds (Se) and silique pericarps (SP) were harvested after 10, 21, and 30 days in the field. The brown box represents high Ka/Ks gene pairs and the dark green ellipse represents low Ka/Ks gene pairs. FPKM: fragments per kilobase of exon model per million reads mapped.
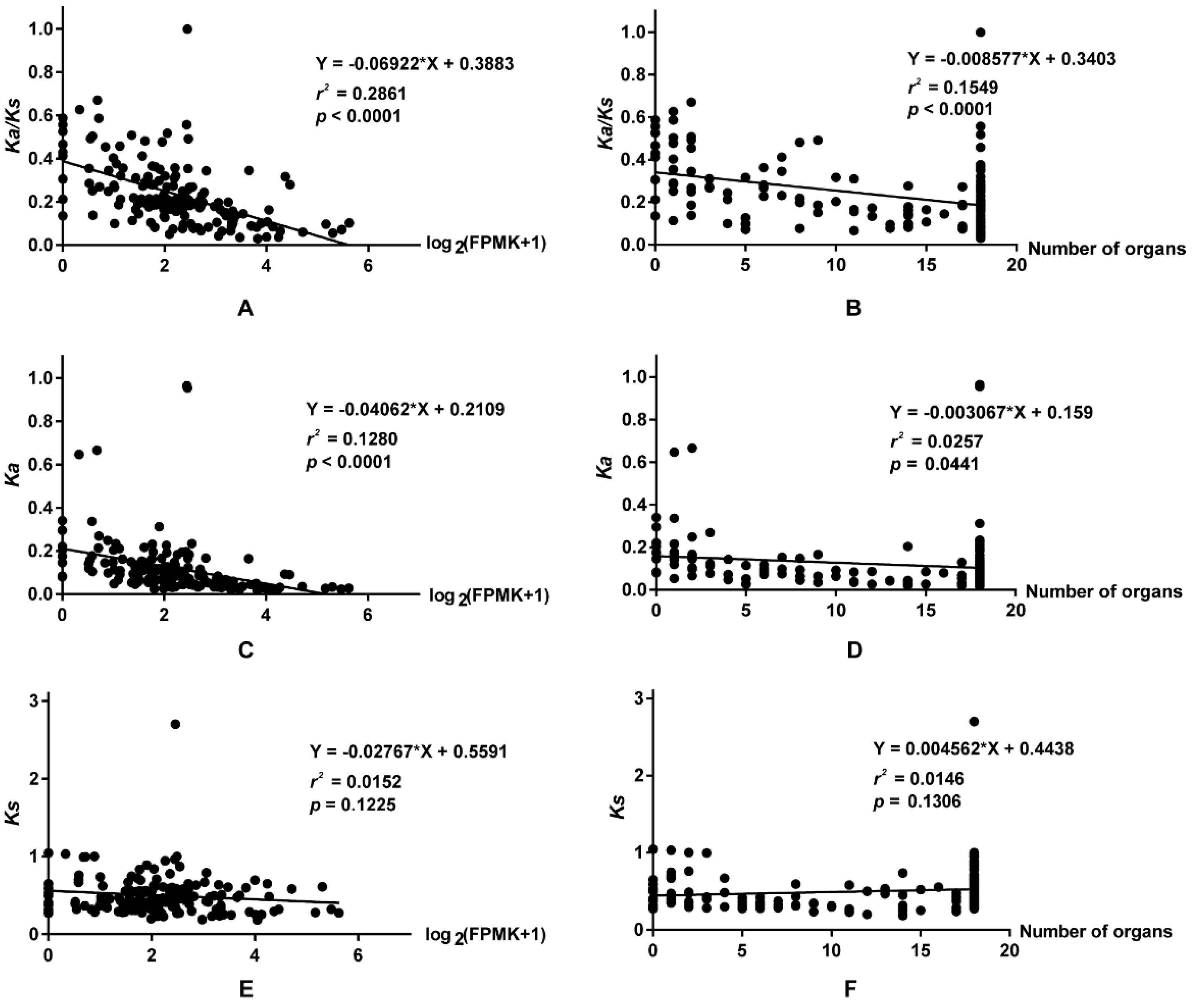
2.8. The relationship between Ka/Ks Ratios and Expression Patterns
To investigate the relationship between selective pressure and expression patterns, the correlation between Ka/Ks ratios and expression breadth, and between Ka/Ks ratios and average expression levels, was calculated. The correlation coefficient (r2) between the Ka/Ks ratios and the average expression levels was 0.2861 (p < 0.0001) (Figure 8A), while that between the Ka/Ks ratios and expression breadth was 0.1549 (p < 0.0001) (Figure 8B), indicating that selective pressure was negatively correlated with the expression levels and organs. In the B. napus vernalization pathway, genes undergoing rapid evolution displayed low, organ-specific expression. For example, of the six AGL19 members, BnaA01g12700D (Ka/Ks = 0.3168) was primarily expressed in the stem, BnaA08g10540D (Ka/Ks = 0.3628) was primarily expressed in the anther, and BnaA03g45650D (Ka/Ks = 0.2729) was highly expressed in the leaves (Figure 5, Table S8). However, BnaC01g14430D (Ka/Ks = 0.3099), BnaC07g37750D (Ka/Ks = 0.5570), and BnaCnng29230D (Ka/Ks = 0.3453) were weakly expressed in all organs, or not expressed at all. By contrast, genes with low Ka/Ks ratios, such as CUL3A, LRB1, LRB2, and SUF4, were constitutively expressed in various organs (Figure 5). This phenomenon was more pronounced in homologous subfamilies (Figure 5 and Figure 7). For example, in the SDG7 subfamily, BnaA03g20680D (Ka/Ks = 0.3454) and BnaC03g24710D (Ka/Ks = 0.3436) were highly expressed in the anther, whereas BnaA05g03780D (Ka/Ks = 0.1837) and BnaC04g03390D (Ka/Ks = 0.1849) were expressed in most organs.
Figure 8.
Correlation analyses between Ka/Ks, Ka, and Ks with average expression levels and expression breadth in B. napus. The average expression levels were calculated using the sum of the expression levels in organs divided by the numbers of organs. Here, the organs were defined as the organs with expression levels higher than 0.5. (A,C,E) represent the correlation between Ka/Ks, Ka, and Ks with expression levels, while (B,D,F) represent the correlation between Ka/Ks, Ka, and Ks with expression breadth, respectively. The expression data were normalized with Log2 (FPKM + 1). FPKM: fragments per kilobase of exon model per million reads mapped.
The correlation coefficient calculations revealed that Ka was also negatively correlated with average expression levels and expression breadth (Figure 8C,D), while no relationship was detected between Ks and the expression patterns of the vernalization-pathway genes.
3. Discussion
Flowering-time genes have been studied widely in numerous crops, and several genes involved in flowering time, such as FLC, CO, FT, and FRI, have been identified in Brassica crops [26,28,29,38,39]. In this study, a total of 1064, 510, and 524 flowering-time genes were identified from B. napus, B. rapa, and B. oleracea, respectively. Compared to other crops or plants, it appears that Brassica crops possess more flowering-time genes [22,24,40], due to whole genome triplication (WGT) and a genome merging event during their evolution [32]. However, no orthologs for some flowering-time genes were found in the Brassica species we studied, suggesting gene loss or genome contraction may have occurred in Brassica after WGT [32,34,41]. As Brassica crops nonetheless experience different endogenously and externally factors to facilitate flowering, it is assumed that these lost genes do not impact the central flowering processes [24], or that Brassica evolved other genes to replace their functions. Genes identified using HMMER and BLASTP analyses exhibited the most sequence similarity with their orthologs in A. thaliana, as well as a higher degree of sequence conservation within the protein functional domains [18], but genes identified using a reciprocal BLASTP analysis displayed relatively lower sequence similarity with their Arabidopsis orthologs. This illustrates that functional domains play crucial roles in the prediction or identification of flowering ortholog proteins in crop species [42].
The number of flowering-time integrator pathway genes in Brassica species identified in this study was different from previous studies. Two copies of FT, four of FLC and three of CO had been described in B. rapa previously [28,29], but only one FT, three FLC, and one CO copies were identified from B. rapa in our study. A similar phenomenon was observed in B. oleracea, in which we identified two copies of FLC, one of CO and one of FT, whereas four, five and three members have been described previously [39,43,44]. In B. napus, five copies of FLC were identified previously [45], while nine copies were identified using our methods. Due to no Brassica reference genomes, the numbers of flowering-time genes identified in previous studies were often inaccurate. To compare the differences between previous studies and this study, we selected the FLC protein sequences (identified in previous studies and this study) as an example. Sequences of three BnaFLC proteins (BnaA02g00370D, BnaA03g13630D and BnaC02g00490D) identified in this study were the same with those in earlier studies (Figure S4), while the rest six BnaFLC proteins distributed on different chromosomes all showed high similarity and contained the SRF-TF/K-box domains, suggesting that fewer FLC members identified in previous studies may be caused by the complexity of the Brassica genomes. We found that the B. rapa FLC proteins identified in earlier showed sequence lost at the N terminal sequences (Figure S5). Sequence difference of B. oleracea FLC proteins (Figure S6) might be also caused by the genome complexity. Recently studies identified a plenty of flowering-time genes in Brassica using WGAS (genome-wide association study) and transcriptome analysis [46,47]. Comparison of selected subfamilies revealed that flowering-time genes identified in our study were more than those in other researches, and most of the genes identified in previous studies could be found in our study (Table S9). The rest genes identified in previous studies but not found in our study might be orthologs of other genes in A. thaliana, since the functional domains were different (Tables S3, S9 and S10), suggesting that our gene identification results were more reliable than previous studies. The expression profiles of flowering-time genes in different organs have been analyzed and investigated in several species [21,22,24,40,43,48]. In A. thaliana, the expression of flowering-time genes was detected in at least one of the 63 organs and development stages analyzed [42]. In barley, 91% of the flowering-time genes analyzed were expressed in at least one of 15 organs and 75% of the flowering-time genes analyzed in wheat were expressed in at least one of 13 organs [42]. In our study of B. napus, approximately 63% of the flowering-time genes involved in vernalization were expressed in at least 10 organs, which is relatively low compared to previous studies such as Peng et al. [42]. This is most likely due to the organ-specific expression of some of the genes involved in vernalization (Figure 5 and Figure 7). In Raphanus sativus, 183 (from 254) flowering-time genes accumulated in flowering organs and genes from seven subfamilies presented preferential or specific expression patterns in flowers [24]. In our study, all the expressed genes showed expression in at least one flowering organ, and many genes from subfamilies were preferentially expressed in the anther.
The expression profiles of flowering-time genes were remarkably different in the pre-anthesis anthers of wheat and barley, and in the pollen of A. thaliana, compared to the other organs [42], suggesting that the accumulation of their transcripts may prolong anther (pollen) activity, increasing the probability of cross-fertilization. In our study, the expression of eight flowering-time genes, BnaA06g15660D (MAF3), BnaA02g34520D (MAF4), BnaA02g34510D (VRN2), BnaC07g37750D (WRKY34), BnaC03g04170D (FLC), BnaC03g16530D (FLC), BnaA04g12990D (FLC), and BnaC04g14850D (FT), was not detected in any organ, but the corresponding homologs in the same subfamily showed weak expression patterns in most organs or were highly expressed in specific organs. This is similar to the expression patterns of flowering-time genes in cotton [22], implying that non-functionalization or sub-functionalization occur in certain flowering-time gene subfamilies. However, in cotton, no expression of CUL1 was detected in any organ [22], but in our study, its ortholog in B. napus, CUL3A (BnaA08g19930D, BnaA09g29300D, BnaC05g50950D, and BnaCnng12340D), showed strong expression in all organs. This suggests that its functions were pseudogenized or repressed in cotton.
The FRI gene in A. thaliana was shown be expressed ubiquitously and its expression levels in leaves and flowers were very similar [49]. Our expression analysis confirmed that result, but we found that FRI was not expressed at high levels in any organ or at any developmental stage in B. napus. Its homologs FRL1 and FRL2 showed high expression in most organs and in anthers, respectively, implying that functional substitutions among homologs may occur in vernalization pathways in Brassica. Strangely, although FLC, FT, and SVP are crucial genes in vernalization, members from the former two subfamilies did not show strong expression profiles in flowering organs in our study, perhaps due to the intermodulation of genes (Figure 6). Two floral meristem identity subfamily genes were highly expressed in most flowering organs, indicating that they control B. napus flowering time through their accumulation via the process of vernalization. In addition, most of the remaining vernalization genes displayed expression patterns and organ-specific expression similar to those presented in previous studies such as Wang et al. [24].
Many gene duplications are the result of the WGT event, and subsequent functional differentiation of genes then occurred during evolution. Based on the models of gene duplication, duplicated genes (paralogs) may undergo non-functionalization (loss of function), neofunctionalization (gain of novel function), or sub-functionalization (separation of original function) [50,51,52,53]. This functional variation is generally seen as a response to selective pressures.
In this study, gene functional differentiation was detected in several duplicated genes. In the vernalization pathway, 35 (22.15%) genes have experienced or are undergoing non-functionalization and more than 50% of genes experienced neofunctionalization or sub-functionalization. For example, AGL19 in B. napus contains seven members and one member (BnaCo7g37750) has become silent due to non-functionalization, while the rest of the members display varied expression patterns. This implies that their biological function changed through neofunctionalization or sub-functionalization during the process of evolution. Moreover, the conserved functions are retained in the duplicated genes, because of their highly similar expression patterns in all organs analyzed, including the CUL3A, LRB1, and SUF4 subfamilies. This illustrates the functional diversity of flowering-time genes in B. napus, as well as the different evolutionary rates of duplicated genes (paralogs).
Previous studies revealed that evolutionary rates are often strongly correlated with gene expression, including both expression level [54,55,56] and expression breadth [57,58]. In Brassica, previous research has shown that Ka/Ks ratios are negatively correlated with expression level and positively correlated with organ specificity [59]. Our expression analysis of flowering-time genes involved in vernalization supports these results. The Ka for highly expressed genes was significantly lower than for organ-specific genes or for those with weak expression, within similar synonymous substitutions. This illustrates that non-synonymous substitutions are the major determinants of the levels and breadth of expression [57,58,60] and the main evolutionary forces in the rapid evolution of the vernalization genes of B. napus. This is understandable because most mutations in non-synonymous sites are usually considered to be deleterious to individuals, with the result that most are soon lost from the population [61], leading to a further reduction of the Ka value and Ka/Ks ratio. This phenomenon also explains why most genes evolved under purifying/negative selection, regardless of the genome to which they belong [59]. However, non-synonymous substitutions are often accompanied by natural environmental pressures during evolution, and therefore cause genes to lose their function or gain a novel function. In summary, non-synonymous substitutions are the best mode for the rapid evolution of genes and provide a basic theory for the alteration, retention, and loss of gene function in plants. These findings also lay a foundation for further understand the relationship between gene expression patterns and their evolutionary selection pressures in plants.
4. Materials and Methods
4.1. Data Resources
Proteomic, genomic, and coding sequences of A thaliana were obtained from the Arabidopsis Information Resource (TAIR, http://www.arabidopsis.org), and those of Brassica napus were acquired from the B. napus database (http://www.genoscope.cns.fr/brassicanapus/). Those of B. rapa and B. oleracea were downloaded from the Brassica Database (BRAD, http://brassicadb.org/brad). A total of 295 flowering-time coding genes from A. thaliana were retrieved from the FLOR-ID (http://www.flor-id.org).
4.2. Identification of Flowering-Time Genes in Brassica species
Protein sequences of flowering-time genes from A. thaliana were imported firstly into PfamScan (http://www.ebi.ac.uk/Tools/pfa/pfamscan/) to identify functional domains and to obtain their Pfam classifications with an E-value cut-off of 1e–5. The flowering-time genes were then divided into two groups: domain-containing genes and non-domain-containing genes.
For domain-containing genes, their Hidden Markov Model (HMM) profiles were acquired from the HMMER web server (https://www.ebi.ac.uk/Tools/hmmer/) and used as queries to search against all the Brassica protein sequences using the HMMER V3.0 program (Ashburn, VA, USA) (version 3.1b2, [62]) to identify candidate genes containing the corresponding functional domains, with an E-value of more than the default “inclusion threshold” as the threshold. To accurately identify flowering-time domain-containing genes in the three Brassica species, all the filtered candidate genes were then used as queries using the Basic Local Alignment Search Tool Protein (BLASTP) program (Bethesda, MD, USA) ([63]) to search against the A. thaliana proteome database to investigate their corresponding orthologs, with a threshold E-value of 1e-5 and a minimum alignment coverage of 50% [64].
For non-domain-containing flowering-time genes in A. thaliana, their protein sequences were used as queries in a reciprocal BLASTP analysis to search against the Brassica proteome database developed in our study, at the threshold and minimum alignment coverage parameters described as above.
4.3. Chromosomal Location and Gene Expansion Analysis
To identify the chromosomal location of each flowering-time gene, all the gene sequences in the three Brassica species were used in a BLASTN analysis against their corresponding genome sequences. The best BLASTN hit for each gene was used to obtain its chromosomal distribution. MapChart 2.0 (Wageningen, The Netherlands) [65] was used to draw graphical representations of their physical position on the corresponding chromosomes in Brassica species.
To compare the expansion status in different flowering-time pathways among B. napus, B. oleracea, and B. rapa, the following formula was used to calculate the gene number ratio (Γ) in each pathway.
Γ = (C1/C2)/(N1/N2)
- C1: gene number in flowering-time pathway A in B. rapa or B. oleracea
- C2: gene number in flowering-time pathway A in B. napus
- N1: total coding gene number in B. rapa or B. oleracea
- N2: total coding gene number in B. napus
The C1/C2 ratio represents the ratio of genes in flowering-time pathway A in B. rapa or B. oleracea to their orthologs in B. napus and the N1/N2 ratio indicates the ratio of coding genes in B. rapa or B. oleracea to those in B. napus. If Γ is less than one, the flowering-time pathway A in B. napus experienced an expansion event, while if greater than one, a contraction event occurred in this pathway.
4.4. Phylogenetic Analysis
To understand the evolutionary relationships among flowering-time gene families in the three Brassica species, the PEBP and MADS-box protein families in B. napus, B. rapa, B. oleracea, and A. thaliana were selected as representatives to generate phylogenetic trees. Multiple sequence alignments of proteins were performed by ClustalW2 software (Dublin, Ireland) [66] with default parameters.
Three methods, neighbor-joining (NJ), maximum likelihood (ML), and Bayesian (BI), were used to unravel the phylogenetic relationship of the target gene families. NJ trees were performed using a Molecular Evolutionary Genetics Analysis (MEGA) 7.0 (Tokyo Metropolitan University, Tokyo, Japan) [67] based on a p-distance model of uniform rate substitutions. To ensure the accuracy of NJ trees, a non-parametric bootstrap method was subjected to bootstrap replication of 1000. The model used to construct ML and BI trees was determined using Model Generator v0.85 (http://mcinerneylab.com/software/modelgenerator/, Tables S11 and S12). The ML trees were constructed using the online PhyML server (PhyML 3.0, http://www.atgc-montpellier.fr/phyml/, [68,69]) with the JTT + G (PEBP family) and JTT + I + G (MADS-box family) substitution models. The following parameters were used to infer evolutionary relationships among the sequences: model of rate heterogeneity: Discrete Gamma (PEBP family) and Discrete Gamma + Invariable sites (MADS-box family); number of rate categories: 4 (PEBP family) and 5 (MADS-box family); gamma distribution parameter α: 0.69 (PEBP family) and 1.63 (MADS-box family), and 100 bootstrap replicates (Figure S7). BI trees were constructed using MrBayes 3.2.6 (http://mrbayes.sourceforge.net) [70,71]. To generate the BI tree, the JTT + G (PEBP family) and JTT + I + G (MADS-box family) substitution models were selected and run for 5,000,000 generations, printing every 100,000 generations and sampling every 1000 generations (nchains = 4, temp = 0.2) for these two gene families (Figure S8). All phylogenetic trees were visualized using FigTree v1.4.2 (http://tree.bio.ed.ac.uk/software/figtree/).
To identify the best topology of phylogenetic trees, the corresponding NJ, ML, and BI trees were analyzed using CONSEL (http://stat.sys.i.kyoto-u.ac.jp/prog/consel/, [72]). By comparing their corresponding topologies, the NJ tree with the best topology was chosen for further evolutionary analyses for both the PEBP and MADS-box protein families (Table S13).
4.5. Ka/Ks Calculation of Flowering-Time Genes in B. napus
The non-synonymous (Ka)/synonymous substitution (Ks) ratio of orthologous gene pairs reflects the evolutionary selection patterns of the corresponding genome. In the calculation of Ka, Ks, and Ka/Ks, the coding sequences (CDSs) of flowering-time genes in B. napus and A. thaliana firstly underwent pairwise alignments using MUSCLE (http://www.ebi.ac.uk/Tools/ msa/muscle/, [73]) with codon alignment. Then, the aligned sequences were used as input files integrated into the KaKs_Calculator2 software (Tempe, AZ, USA) [74] to compute Ka, Ks, and Ka/Ks values using the Li-Wu-Luo model [75]. The Ka/Ks ratios less than one, equal to one, and greater than one was considered to represent negative, neutral, and positive selection, respectively.
4.6. Expression Profiles of Vernalization-Pathway Genes in B. napus
To investigate the spatio-temporal expression patterns of vernalization-pathway genes, publicly available RNA-seq data (BioProject ID PRJNA358784) from different organs in B. napus cultivar ‘ZS11’ were used to quantify gene expression levels, based on their FPKM values using Cufflinks [76] with default parameters. For each sample, two independent biological replicates were included. The expression values of the vernalization-pathway genes were retrieved from the RNA-seq results, which include 14 different organs, root (Ro), stem (St), leaf (Le), bud (Bu), anthocaulus (Ao), calyx (Cal), petal (Pe), pistil (Pi), stamen (Sta), anther (At), capillament (Cap), inflorescence tip (It), seeds (Se), and silique pericarps (SP), harvested at 10, 21, and 30 days after flowering, and then normalized by Log2 (FPKM + 1).
4.7. Statistical Analysis
To determine the coefficient of correlation between the selective pressure and expression pattern, the average expression level of a gene was calculated using the sum of the expression levels in the organs divided by the numbers of organs, using organs with expression levels higher than 0.5. The expression breadth was the number of organs in which the genes are expressed and with levels higher than 0.5.
Supplementary Materials
Supplementary materials can be found at http://www.mdpi.com/1422-0067/19/11/3632/s1.
Author Contributions
L.J. and K.L. conceived and designed the experiments; H.L., Y.F., and J.Y. performed the experiments; H.L., Y.F., L.C., B.Z., and C.C. analyzed the data; H.L., J.Z., J.J. contributed to data analysis and interpretation; and H.L., Y.F., L.J., and K.L. wrote the paper. All authors reviewed the manuscript.
Funding
This work was funded by grants from the Modern Agro-Industry Technology Research System of China (CARS-12), the National Key Research and Development Plan (2016YFD0101305), the National Science Foundation of China (31871653 and 31571701), the Natural Science Foundation of Chongqing (cstc2018jcyjAX0347), the Ministry of Agriculture Experimental Observation of the Upper Reaches of the Yangtze River Oil Crop Science Station (09203020), the Sichuan Crop Breeding Community, the Innovation Ability Promotion Project of Sichuan Provincial Finance (2016zypz-013), and Sichuan Province Innovation Team Funding.
Conflicts of Interest
The authors declare no conflict of interest.
References
- Andres, F.; Coupland, G. The genetic basis of flowering responses to seasonal cues. Nat. Rev. Genet. 2012, 13, 627–639. [Google Scholar] [CrossRef] [PubMed]
- Blackman, B.K.; Rasmussen, D.A.; Strasburg, J.L.; Raduski, A.R.; Burke, J.M.; Knapp, S.J.; Michaels, S.D.; Rieseberg, L.H. Contributions of flowering time genes to sunflower domestication and improvement. Genetics 2011, 187, 271–287. [Google Scholar] [CrossRef] [PubMed]
- Flowers, J.M.; Hanzawa, Y.; Hall, M.C.; Moore, R.C.; Purugganan, M.D. Population genomics of the Arabidopsis thaliana flowering time gene network. Mol. Biol. Evol. 2009, 26, 2475–2486. [Google Scholar] [CrossRef] [PubMed]
- Purugganan, M.D.; Fuller, D.Q. The nature of selection during plant domestication. Nature 2009, 457, 843–848. [Google Scholar] [CrossRef] [PubMed]
- Higgins, J.A.; Bailey, P.C.; Laurie, D.A. Comparative Genomics of Flowering Time Pathways Using Brachypodium distachyon as a Model for the Temperate Grasses. PLoS ONE 2010, 5, e10065. [Google Scholar] [CrossRef] [PubMed]
- Jack, T. Molecular and genetic mechanisms of floral control. Plant Cell 2004, 16 (Suppl. 1), S1–S17. [Google Scholar] [CrossRef] [PubMed]
- Lukens, L.; Zou, F.; Lydiate, D.; Parkin, I.; Osborn, T. Comparison of a Brassica oleracea genetic map with the genome of Arabidopsis thaliana. Genetics 2003, 164, 359–372. [Google Scholar] [PubMed]
- Tan, F.C.; Swain, S.M. Genetics of flower initiation and development in annual and perennial plants. Physiol. Plant. 2006, 128, 8–17. [Google Scholar] [CrossRef]
- Weigel, D.; Nilsson, O. A developmental switch sufficient for flower initiation in diverse Plant. Nature 1995, 377, 495–500. [Google Scholar] [CrossRef] [PubMed]
- Blazquez, M.A.; Weigel, D. Integration of floral inductive signals in Arabidopsis. Nature 2000, 404, 889–892. [Google Scholar] [CrossRef] [PubMed]
- Bouché, F.; Lobet, G.; Tocquin, P.; Périlleux, C. FLOR-ID: An interactive database of flowering-time gene networks in Arabidopsis thaliana. Nucleic Acids Res. 2016, 44, 1167–1171. [Google Scholar] [CrossRef] [PubMed]
- Harmer, S.L. The circadian system in higher plants. Annu. Rev. Plant Biol. 2009, 60, 357–377. [Google Scholar] [CrossRef] [PubMed]
- Imaizumi, T. Arabidopsis circadian clock and photoperiodism: Time to think about location. Curr. Opin. Plant Biol. 2010, 13, 83–89. [Google Scholar] [CrossRef] [PubMed]
- Imaizumi, T.; Kay, S.A. Photoperiodic control of flowering: Not only by coincidence. Trends Plant Sci. 2006, 11, 550–558. [Google Scholar] [CrossRef] [PubMed]
- Putterill, J.; Robson, F.; Lee, K.; Simon, R.; Coupland, G. The CONSTANS gene of Arabidopsis promotes flowering and encodes a protein showing similarities to zinc finger transcription factor. Cell 1995, 95, 847–857. [Google Scholar] [CrossRef]
- Samach, A.; Onouchi, H.; Gold, S.E.; Ditta, G.S.; Schwarz-Sommer, Z.; Yanofsky, M.F.; Coupland, G. Distinct roles of CONSTANS target genes in reproductive development of Arabidopsis. Sciences 2000, 288, 1613–1616. [Google Scholar] [CrossRef]
- Srikanth, A.; Schmid, M. Regulation of flowering time: All roads lead to Rome. Cell. Mol. Life Sci. 2011, 68, 2013–2037. [Google Scholar] [CrossRef] [PubMed]
- Blümel, M.; Dally, N.; Jung, C. Flowering time regulation in crops-what did we learn from Arabidopsis? Curr. Opin. Biotechnol. 2015, 32, 121–129. [Google Scholar] [CrossRef] [PubMed]
- Michaels, S.D.; Amasino, R.M. FLOWERING LOCUS C encodes a novel MADS domain protein that acts as a repressor of flowering. Plant Cell 1999, 11, 949–956. [Google Scholar] [CrossRef] [PubMed]
- Sheldon, C.C.; Burn, J.E.; Perez, P.P.; Metzger, J.; Edwards, J.A.; Peacock, W.J.; Dennis, E.S. The FLF MADS box gene: A repressor of flowering in Arabidopsis regulated by vernalization and methylation. Plant Cell 1999, 11, 445–458. [Google Scholar] [CrossRef] [PubMed]
- Colasanti, J.; Coneva, V. Mechanisms of floral induction in grasses: Something borrowed, something new. Plant Physiol. 2009, 149, 56–62. [Google Scholar] [CrossRef] [PubMed]
- Grover, C.E.; Gallagher, J.P.; Wendel, J.F. Candidate gene identification of flowering time genes in cotton. Plant Genome 2015, 8, 1–13. [Google Scholar] [CrossRef]
- Turck, F.; Fornara, F.; Coupland, G. Regulation and identity of florigen: FLOWERING LOCUS T moves center stage. Annu. Rev. Plant Biol. 2008, 59, 573–594. [Google Scholar] [CrossRef] [PubMed]
- Wang, J.L.; Qiu, Y.; Cheng, F.; Chen, X.H.; Zhang, Z.H.; Wang, H.P.; Song, J.P.; Duan, M.M.; Yang, H.H.; Li, X.X. Genome-wide identification, characterization, and evolutionary analysis of flowering genes in radish (Raphanus sativus L.). BMC Genomics 2017, 18, 981. [Google Scholar] [CrossRef] [PubMed]
- Wilczek, A.M.; Roe, J.L.; Knapp, M.C.; Cooper, M.D.; Lopez-Gallego, C.; Martin, L.J.; Muir, C.D.; Sim, S.; Walker, A.; Anderson, J. Effects of genetic perturbation on seasonal life history plasticity. Science 2009, 323, 930–934. [Google Scholar] [CrossRef] [PubMed]
- Irwin, J.A.; Lister, C.; Soumpourou, E.; Zhang, Y.E.; Howell, E.C.; Teakle, G.; Dean, C. Functional alleles of the flowering time regulator FRIGIDA in the Brassica oleracea genome. BMC Plant Biol. 2012, 12, 21. [Google Scholar] [CrossRef] [PubMed]
- Schiessl, S.V.; Huettel, B.; Kuehn, D.; Reinhardt, R.; Snowdon, R.J. Flowering Time Gene Variation in Brassica Species Shows Evolutionary Principles. Front. Plant Sci. 2017, 8, 1742. [Google Scholar] [CrossRef] [PubMed]
- Schranz, M.E.; Quijada, P.; Sung, S.B.; Lukens, L.; Amasino, R.; Osborn, T.C. Characterization and effects of the replicated flowering time gene FLC in Brassica rapa. Genetics 2002, 162, 1457–1468. [Google Scholar] [PubMed]
- Zhang, X.M.; Meng, L.; Liu, B.; Hu, Y.Y.; Cheng, F.; Liang, J.L.; Aarts, M.G.M.; Wang, X.W.; Wu, J. A transposon insertion in FLOWERING LOCUS T is associated with delayed flowering in Brassica rapa. Plant Sci. 2015, 241, 211–220. [Google Scholar] [CrossRef] [PubMed]
- Wenkel, S.; Turck, F.; Singer, K.; Gissot, L.; Le Gourrierec, J.; Samach, A.; Coupland, G. Constans and the ccaat box binding complex share a functionally important domain and interact to regulate flowering of Arabidopsis. Plant Cell 2006, 18, 2971–2984. [Google Scholar] [CrossRef] [PubMed]
- Parcy, F. Flowering: A time for integration. Int. J. Dev. Biol. 2005, 49, 585. [Google Scholar] [CrossRef] [PubMed]
- Chalhoub, B.; Denoeud, F.; Liu, S.; Parkin, I.A.; Tang, H.; Wang, X.; Chiquet, J.; Belcram, H.; Tong, C.; Samans, B.; et al. Early allopolyploid evolution in the post-Neolithic Brassica napus oilseed genome. Science 2014, 345, 950–953. [Google Scholar] [CrossRef] [PubMed]
- Nagaharu, U.; Nagaharu, N. Genome analysis in Brassica with special reference to the experimental formation of B. napus and peculiar mode of fertilization. Jpn. J. Bot. 1935, 7, 389–452. [Google Scholar]
- Wang, X.W.; Wang, H.Z.; Wang, J.; Sun, R.F.; Wu, J.; Liu, S.Y.; Bai, Y.; Mun, J.H.; Bancroft, I.; Cheng, F.; et al. The genome of the mesopolyploid crop species Brassica rapa. Nat. Genet. 2011, 43, 1035–1039. [Google Scholar] [CrossRef] [PubMed]
- Liu, S.Y.; Liu, Y.M.; Yang, X.H.; Tong, C.B.; Edwards, D.; Parkin, I.A.P.; Zhao, M.; Ma, J.; Yu, J.; Huang, S.; et al. The Brassica oleracea genome reveals the asymmetrical evolution of polyploid genomes. Nat. Commun. 2014, 5, 3930. [Google Scholar] [CrossRef] [PubMed]
- Karlgren, A.; Gyllenstrand, N.; Kallmanetal, T. Evolution of the PEBP gene family in plants: Functional diversification in seed plant evolution. Plant Physiol. 2011, 156, 1967–1977. [Google Scholar] [CrossRef] [PubMed]
- Kikuchi, R.; Kawahigashi, H.; Ando, T.; Tonooka, T.; Handa, H. Molecular and functional characterization of PEBP genes in barley reveal the diversification of their roles in flowering. Plant Physiol. 2009, 149, 1341–1353. [Google Scholar] [CrossRef] [PubMed]
- Fadina, O.A.; Pankin, A.A.; Khavkin, A.A. Molecular characterization of the flowering time gene FRIGIDA in Brassica genomes A and C. Russ. J. Plant Physiol. 2013, 60, 279–289. [Google Scholar] [CrossRef]
- Razi, H.; Howell, E.C.; Newbury, H.J.; Kearsey, M.J. Does sequence polymorphism of FLC paralogues underlie flowering time QTL in Brassica oleracea. Theor. Appl. Genet. 2008, 116, 179–192. [Google Scholar] [CrossRef] [PubMed]
- Trevaskis, B.; Hemming, M.N.; Dennis, E.S.; Peacock, W.J. The molecular basis of vernalization-induced flowering in cereals. Trends Plant Sci. 2007, 12, 352–357. [Google Scholar] [CrossRef] [PubMed]
- Cheng, F.; Wu, J.; Wang, X.W. Genome triplication drove the diversification of Brassica plants. Hortic. Res. 2014, 1, 14–24. [Google Scholar] [CrossRef] [PubMed]
- Peng, F.Y.; Hu, Z.Q.; Yan, C.R. Genome-Wide Comparative Analysis of Flowering-Related Genes in Arabidopsis, Wheat, and Barley. Int. J. Plant Genomics 2015, 17, 874361. [Google Scholar] [CrossRef] [PubMed]
- Lin, S.I.; Wang, J.G.; Poon, S.Y.; Su, C.L.; Wang, S.S.; Chiou, T.J. Differential regulation of FLOWERING LOCUS C expression by vernalization in cabbage and Arabidopsis. Plant Physiol. 2005, 137, 1037–1048. [Google Scholar] [CrossRef] [PubMed]
- Okazaki, K.; Sakamoto, K.; Kikuchi, R.; Saito, A.; Togashi, E.; Kuginuki, Y.; Matsumoto, S.; Hirai, M. Mapping and characterization of FLC homologs and QTL analysis of flowering time in Brassica oleracea. Theor. Appl. Genet. 2007, 114, 595–608. [Google Scholar] [CrossRef] [PubMed]
- Tadege, M.; Sheldon, C.C.; Helliwell, C.A.; Stoutjesdijk, P.; Dennis, E.S.; Peacock, W.J. Control of flowering time by FLC orthologues in Brassica napus. Plant J. 2001, 28, 545–553. [Google Scholar] [CrossRef] [PubMed]
- Shah, S.; Weinholdt, C.; Jedrusik, N.; Molina, C.; Zou, J.; Große, I.; Schiess, S.; Jung, C.; Emrani, N. Whole-transcriptome analysis reveals genetic factors underlying flowering time regulation in rapeseed (Brassica napus L.). Plant Cell Environ. 2018, 41, 1935–1947. [Google Scholar] [CrossRef] [PubMed]
- Xu, L.; Hu, K.; Zhang, Z.Q.; Guan, C.Y.; Chen, S.; Hua, W.; Li, J.N.; Wen, J.; Yi, B.; Shen, J.X.; et al. Genome-wide association study reveals the geneticarchitectureof floweringtimeinrapeseed (Brassica napus L.). DNA Res. 2016, 23, 43–52. [Google Scholar] [PubMed]
- Cockram, J.; Jones, H.; Leigh, F.J.; O’Sullivan, D.; Powell, W.; Laurie, D.A.; Greenland, A.J. Control of flowering time in temperate cereals: Genes, domestication, and sustainable productivity. J. Exp. Bot. 2007, 58, 1231–1244. [Google Scholar] [CrossRef] [PubMed]
- Risk, J.M.; Laurie, R.E.; Macknight, R.C.; Day, C.L. FRIGIDA and related proteins have a conserved central domain and family specific N- and C-terminal regions that are functionally important. Plant Mol. Biol. 2010, 73, 493–505. [Google Scholar] [CrossRef] [PubMed]
- Hughes, A.L. Adaptive evolution after gene duplication. Trends Genet. 2002, 18, 433–434. [Google Scholar] [CrossRef]
- Kondrashov, F.A.; Rogozin, I.B.; Wolf, Y.I.; Koonin, E.V. Selection in the evolution of gene duplications. Genome Biol. 2002, 2, 81–89. [Google Scholar]
- Lynch, M.; Conery, J.S. The evolutionary fate and consequences of duplicate genes. Science 2000, 290, 1151–1155. [Google Scholar] [CrossRef] [PubMed]
- Wagner, A. Decoupled evolution of coding region and mRNA expression patterns after gene duplication: Implications for the neutralist-selectionist debate. Proc. Natl. Acad. Sci. USA 2000, 97, 6579–6584. [Google Scholar] [CrossRef] [PubMed]
- Drummond, D.A.; Raval, A.; Wilke, C.O. A single determinant dominates the rate of yeast protein evolution. Mol. Biol. Evol. 2006, 23, 327–337. [Google Scholar] [CrossRef] [PubMed]
- Pal, C.; Papp, B.; Hurst, L.D. Highly expressed genes in yeast evolve slowly. Genetics 2001, 158, 927–931. [Google Scholar] [PubMed]
- Subramanian, S.; Kumar, S. Gene expression intensity shapes evolutionary rates of the proteins encoded by the vertebrate genome. Genetics 2004, 168, 373–381. [Google Scholar] [CrossRef] [PubMed]
- Duret, L.; Mouchiroud, D. Determinants of substitution rates in mammalian genes: Expression pattern affects selection intensity but not mutation rate. Mol. Biol. Evol. 2000, 17, 68–74. [Google Scholar] [CrossRef] [PubMed]
- Zhang, L.; Li, W.H. Mammalian housekeeping genes evolve more slowly than tissue-specific genes. Mol. Biol. Evol. 2004 21, 236–239. [CrossRef]
- Guo, Y.; Liu, J.; Zhang, J.F.; Liu, S.Y.; Du, J.C. Selective modes determine evolutionary rates, gene compactness and expression patterns in Brassica. Plant J. 2017, 91, 34–44. [Google Scholar] [CrossRef] [PubMed]
- Yang, L.; Gaut, B.S. Factors that contribute to variation in evolutionary rate among Arabidopsis genes. Mol. Biol. Evol. 2011, 28, 2359–2369. [Google Scholar] [CrossRef] [PubMed]
- Li, W.H. Molecular Evolution, 1st ed.; Sinauer Associates Incorporated: Sunderland, MA, USA, 1997. [Google Scholar]
- Finn, R.D.; Clements, J.; Eddy, S.R. HMMER web server: Interactive sequence similarity searching. Nucleic Acids Res. 2011, 39, 29–37. [Google Scholar] [CrossRef] [PubMed]
- Altschul, S.F.; Madden, T.L.; Schäffer, A.A.; Zhang, J.; Zhang, Z.; Miller, W.; Lipman, D.J. Gaped BLAST and PSI-BLAST: A new generation of protein database search programs. Nucleic Acids Res. 1997, 25, 3389–3402. [Google Scholar] [CrossRef] [PubMed]
- Fan, Y.H.; Yu, M.N.; Liu, M.; Zhang, R.; Sun, W.; Qian, M.C.; Duan, H.C.; Chang, W.; Ma, J.Q.; Qu, C.M.; et al. Genome-Wide Identification, Evolutionary and Expression Analyses of the GALACTINOL SYNTHASE Gene Family in Rapeseed and Tobacco. Int. J. Mol. Sci. 2017, 18, 2768. [Google Scholar] [CrossRef] [PubMed]
- Voorrips, R.E. MapChart: Software for the graphical presentation of linkage maps and QTLs. J. Hered. 2002, 93, 77–78. [Google Scholar] [CrossRef] [PubMed]
- Larkin, M.A.; Blackshields, G.; Brown, N.P.; Chenna, R.; McGettigan, P.A.; McWilliam, H.; Valentin, F.; Wallace, I.M.; Wilm, A.; Lopez, R.; et al. ClustalW and ClustalX version2.0. Bioinformatics 2007, 23, 2947–2948. [Google Scholar] [CrossRef] [PubMed]
- Sudhir, K.; Glen, S.; Koichiro, T. MEGA7: Molecular evolutionary genetics analysis version 7.0 for bigger datasets. Mol. Biol. Evol. 2016, 33, 1870–1874. [Google Scholar]
- Guindon, S.; Dufayard, J.F.; Lefort, V.; Anisimova, M.; Hordijk, W.; Gascuel, O. New algorithms and methods to estimate maximum-likelihood phylogenies: Assessing the performance of PhyML 3.0. Syst. Biol. 2010, 59, 307–321. [Google Scholar] [CrossRef] [PubMed]
- Lefort, V.; Longueville, J.E.; Gascuel, O. SMS: Smart model selection in PhyML. Mol. Biol. Evol. 2017, 34, 2422–2424. [Google Scholar] [CrossRef] [PubMed]
- Drummond, A.J.; Rambaut, A. BEAST: Batesian evolutionary analysis sample trees. BMC Evol. Biol. 2007, 7, 214. [Google Scholar] [CrossRef] [PubMed]
- Ronquist, F.; Huelsenbeck, J.P. MRBAYES 3: Bayesian phylogenetic inference under mixed mode. Bioinformatics 2003, 19, 1572–1574. [Google Scholar] [CrossRef] [PubMed]
- Shimodaira, H.; Hasegawa, M. CONSEL: For assessing the confidence of phylogenetic tree selection. Bioinformatics 2001, 17, 1246–1247. [Google Scholar] [CrossRef] [PubMed]
- Edgar, R.C. MUSCLE: Multiple sequence alignment with high accuracy and high throughput. Nucleic Acids Res. 2004, 32, 1792–1797. [Google Scholar] [CrossRef] [PubMed]
- Wang, D.; Zhang, Y.; Zhang, Z.; Zhu, J.; Yu, J. KaKs_Calculator 2.0: A toolkit incorporating gamma-series methods and sliding window strategies. Genomics Proteom. Bioinform. 2010, 8, 77–80. [Google Scholar] [CrossRef]
- Li, W.H.; Wu, C.I.; Luo, C.C. A new method for estimating synonymous and nonsynonymous rates of nucleotide substitution considering the relative likelihood of nucleotide and codon changes. Mol. Biol. Evol. 1985, 2, 150–174. [Google Scholar] [PubMed]
- Trapnell, C.; Roberts, A.; Goff, L.; Pertea, G.; Kim, D.; Kelley, D.R.; Pimentel, H.; Salzberg, S.L.; Rinn, J.L.; Pachter, L. Differential gene and transcript expression analysis of RNA-seq experiments with tophat and cufflinks. Nat. Protocol. 2012, 7, 562–578. [Google Scholar] [CrossRef] [PubMed]
© 2018 by the authors. Licensee MDPI, Basel, Switzerland. This article is an open access article distributed under the terms and conditions of the Creative Commons Attribution (CC BY) license (http://creativecommons.org/licenses/by/4.0/).







