A Computer Model of Oxygen Dynamics in the Cortex of the Rat Kidney at the Cell-Tissue Level
Abstract
1. Introduction
2. Methods
2.1. Bibliographical Analysis and Data Extraction
2.2. Agent-Based Modeling with NetLogo©
2.3. The Cortical Tissue Model for the Rat Kidney
2.4. Units, Inputs/Outputs, Parameters and Variables
2.5. Model Equations
2.5.1. Equations for Perfusion and Volumic Flows
- (1)
- “Cortical blood flow:where CBF, model cortical blood flow (mL.min−1.gkw−1; FU, flow units), RBF, renal blood flow: FU (model input, controlled from the model interface), frCBF, fractional cortical blood flow (see text, above; no unit).
- (2)
- Operational nephrons:where OpNe is the functioning nephron density: gkw−1, Ntot is total nephron density in the kidney: gkw−1, frNCtx is fraction of operational nephrons in the model(no unit).
- (3)
- Single nephron glomerular blood flow:where SNGBF is single nephron glomerular blood flow (nL/min; 106 converts mL to nL). Please note that the flow unit now refer to a single nephron.
- (4)
- Single nephron efferent arteriolar blood flow:where SNEABF is the single nephron efferent arteriolar blood flow (nL/min), FF is the filtration fraction: no unit, Hta is the arterial hematocrit (no unit).
- (5)
- Single nephron glomerular blood flow,where SNGFR is the single nephron glomerular blood flow (nL/min).
- (6)
- “Single nephron” absolute proximal reabsorption:where SNAPR is the single nephron absolute proximal reabsorption (nL/min), frPR is the fractional proximal reabsorption (no unit).
- (7)
- Capillary volumic flow:where CVF, capillary volumic flow (nL/min), fCapBr, capillary branching factor (no unit). The capillary branching factor (fCapBr = 6) corresponds to the average number of capillaries derived from the efferent arteriole (calculated from [44]).
- (8)
- Tubular volumic flow:where TVF is the tubular volumic flow (nL/min).
2.5.2. Equations for Epithelial Transport (Na+, water)
- (1)
- Single nephron Na+ filtered load:where SNFLNa is the single nephron Na+ load (amol/min; 106 pmol to amol), Nap, plasma sodium concentration (mmol/L).
- (2)
- Na+ transport (reabsorption):TNa (amol/min) is the sodium transport for one epithelial patch in a tubule section (10 µm-thick and TubLength µm-long); 1/12 is the number of EPI patches per tubule section, it scales local reabsorption to one patch, for tissues with 40 µm outer diameter (orTub; = see Figure 1, right); in 50 µm orTub, the scaling factor is 1/16; frPR, fractional proximal reabsorption (no unit).
2.5.3. Equations for Capillary and Tubular Inputs (PTC, LUM patches)
- (1)
- Capillary flow factor:where CFF is the capillary flow factor (no unit), tickduration in ms (default 1 ms), CVF is the capillary volume flow (nL/min),Vcap is the capillary patch (PTC) volume: µm3 (1/6.10−2 converts µm3 to nL and min to ms).
- (2)
- Capillary oxygen renewal (PTC patches):where qO2(t + 1), qO2(t) are the PTC patch oxygen content (amol), at tick + 1 and current tick, respectivley, qO2(PTC_input) is the PTC oxygen feed (amol), converted from model interface PTC PO2 input.
- (3)
- Tubular flow factor (TFF):where TFF is the tubular flow factor (no unit), TVF is the tubular volume flow (nL/min), Vlum is the luminal patch volume (µm3; conversion factor as above); ¼ corresponds to 4 LUM patches per tubule section (see Figure 1) (1/9 for tissues with 50 µm tubule diameter, see tissue variants in SM2).
- (4)
- Luminal oxygen renewal (LUM patches):where qO2(t + 1), qO2(t) are the LUM patch oxygen content (amol), at tick + 1 and current tick, respectivley, qO2(LUM_input) is the LUM oxygen feed (amol), converted from model interface LUM PO2 input.
2.5.4. Equations for Hemoglobin (PTC Patches)
- (1)
- Rate equations and associated equationsNB: after proper verifications, to reduce calculation load on NetLogo, Equation (16) was replaced in RCM by a three-parameters regression obtained from Xuru-online (http://www.xuru.org):where nHill is the Hill’s cooperativity index (no unit; [45]), HbO2% is the Hb % saturation, k′c is the “pseudo-velocity parameter” (mM.ms−1, see [45]), α is the oxygen solubility coefficient in plasma: µM/mmHg, P50 is the half-saturation oxygen pressure of hemoglobin (mmHg), JdissHb% is the Hb-O2 dissociation rate (%saturation/ms, [45]), JassHb% is the Hb-O2 association rate (%saturation/ms, [45]), JdissHb is the Hb-O2 dissociation rate (amol/ms), JassHb is the Hb-O2 dissociation rate (amol/ms), Hbt is the monomeric hemoglobin equivalent (amol/patch).
- (2)
- Oxygen balance related to Hb-O2 association/dissociation:with qO2(t + 1) and qO2(t), PTC patch oxygen content (amol).
2.5.5. Equations for Diffusion (All Patch Types)
2.5.6. Equations for Oxygen Consumption
2.6. Modeling and Simulation
2.7. Data Handling and Statistical Calculations
3. Results
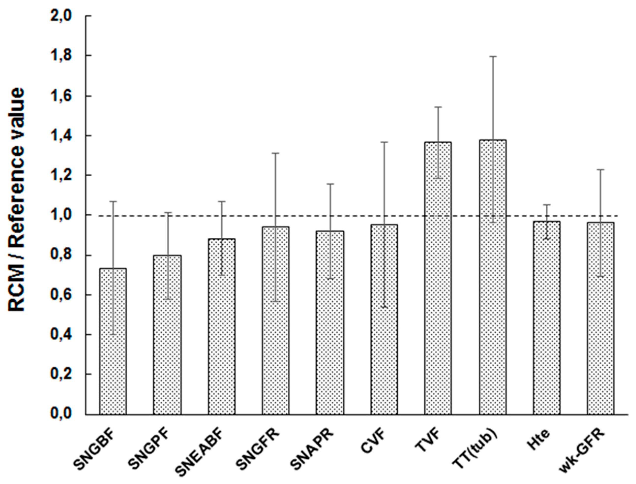
3.1. Bibliographical Analysis and Reference Values
3.2. Model Verification
3.2.1. Verification of Tissue Perfusion
3.2.2. Verification of Transport-Related Oxygen Consumption
3.3. Parametric Sensitivity Analysis and I/O Analysis
3.3.1. Parametric Sensitivity Analysis
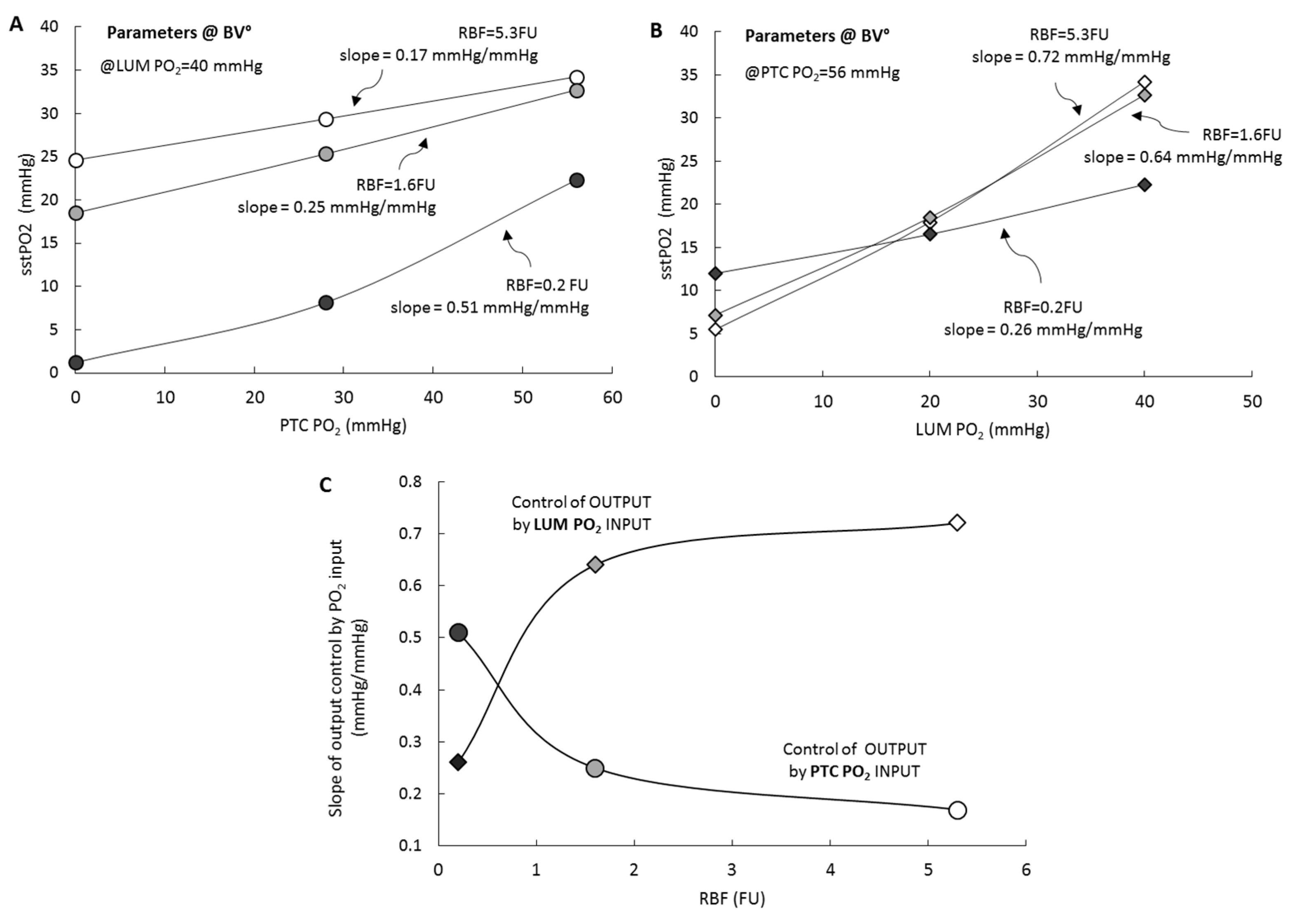
3.3.2. Input/Output Analysis
3.3.3. Interactions of Inputs with Independent Parameters
3.3.4. Patch-Type Based Analysis
- (i)
- the average PO2 of PTC’s (white circles) adjusts almost exactly to PTC feed (Hb saturation at 75%), within 0.5–1.0 mmHg, in ~5 ms;
- (ii)
- PO2 in LUM patches (grey circles) settles to 35 mmHg, some 5 mmHg lower than their PO2 feed, in about 350 ms (half-time 20 ms), indicating that LUM patches deliver oxygen to the tissue;
- (iii)
- EPI patches (grey squares) reach a steady-state level, 31 mmHg, in ~250 ms (half-time 35 ms);
- (iv)
- INT patches (dark diamonds), characterized by a low consumption, progressively fill up with oxygen, up to ~32 mmHg, with a delay of ~100 ms with regard to EPI patches (half-time 110 ms); after 500 ms, the interstitial compartment stabilizes at 32 mmHg, ~1 mmHg higher than EPI patches.
3.3.5. Influence of Hemoglobin
3.4. Physiological Adjustments and Fine-tuning
3.4.1. Tubule and Reabsorption-Related Adjustments
3.4.2. Capillary Flow and Hemodynamics
3.5. Model Validation
3.5.1. Steady-State Condition
3.5.2. Transient Conditions
4. Discussion
4.1. Generalities
4.2. Bibliographical Analysis for the Rat Kidney
4.3. Sensitivity Analysis, Parameters, Inputs and Interactions
4.3.1. Parameters
4.3.2. Inputs
4.3.3. Interactions between Inputs and Parameters
4.4. Verifications, Adjustments and Model Validation
4.4.1. Model Verifications
4.4.2. Physiological Adjustments
4.4.3. Model Validation
4.5. Capillary and Hemoglobin Versus Luminal Oxygen Delivery
4.6. Can Really Luminal PO2 Delivery be of Significance?
4.7. Model Simplifications, Limitations, and Issues
4.7.1. RCM is a Simplified 2D Description
4.7.2. RCM Represents Capillaries but Does Not Implement Capillary Hemodynamics nor Circulating Cells, Including Erythrocytes
4.7.3. RCM Features Non-Resistive, Non-Pressure Driven Flows
4.7.4. Renal and Systemic Regulations Are Missing
4.7.5. RCM Ignores Other Cortical Potential Sources of Oxygen
4.7.6. Defective Validation Versus Luminal and Interstitial Measurements (One Study)
4.8. Perspectives and Conclusion
4.8.1. Time Scale, Energetic Metabolism and Tissue Response to IR
4.8.2. Towards Renal IR Injury
4.8.3. Hypothermia and Oxygen Carriers
4.8.4. Erythropoietin
4.9. Conclusions
Supplementary Materials
Author Contributions
Funding
Acknowledgments
Conflicts of Interest
Abbreviations and Symbols Used
| ABM | Agent-based modeling |
| AKI | Acute kidney disease |
| AV | Arterio-venous |
| BV (BV°) | Biological (or Bibliographical) value (reference BV) |
| CBF | Cortical blood flow |
| CKD | Chronic kidney disease |
| CFF | Capillary flow factor |
| CMJ | Cortico-medullary junction |
| CVF | Capillary volumic flow |
| DT | Distal tubule |
| EPI | Epithelial patch |
| EPO | Erythropoietin |
| ESA | Exchange surface area |
| fCapBr | Capillary branching factor |
| FF | Filtration fraction |
| frPR | Fractional proximal reabsorption |
| GFR | Glomerular filtration rate |
| GUI | Graphic user interface |
| Hb | Hemoglobin (free of oxygen) |
| HbO2 | Oxygenated hemoglobin |
| Hbt | Total hemoglobin |
| Hta/e | Hematocrit (afferent/efferent) |
| HK | House-keeping |
| INT | Interstitial patch |
| IP/DP | Independent/Dependent parameter |
| IR | Ischemia-reperfusion |
| IRI | Ischemia-reperfusion injury |
| k′c | Association coefficient for the Hb/02 reaction |
| kc | Dissociation coefficient for the Hb/02 reaction |
| LUM | Luminal patch |
| MS | Modeling and simulation |
| Nap | Plasma Na+ concentration |
| nHill | Hill’s cooperativity index |
| Ntot | Nephron density |
| Oxphos | Oxidative phosphorylation |
| OpNe | Operational nephron |
| P50 | Half-saturation PO2 for hemoglobin |
| PO2 | Oxygen partial pressure |
| PT | PT, proximal tubule |
| PCT | PCT, proximal convoluted tubule |
| PTC | PTC, peritubular capillary patch |
| PU | Patch units |
| QKDB | Quantitative Kidney DataBase |
| QO2 | Oxygen consumption |
| RBF | Renal blood flow |
| RCM | Renal cortical model |
| RSC | Relative sensitivity coefficient |
| SNAPR | Single-nephron absolute proximal reabsorption |
| SNEABF | Single-nephron efferent arteriole blood flow |
| SNFLNa | Single-nephron Na+ load |
| SNGBF | Single-nephron blood flow |
| SNGFR | Single-nephron GFR |
| sstPO2 | Steady-state average model PO2 |
| TFF | Tubular flow factor |
| TNa | Na+ transport |
| TVF | Tubular volumic flow |
| Vcap | Capillary patch volume |
| Vlum | Luminal patch volume |
References
- Ow, C.P.C.; Ngo, J.P.; Ullah, M.M.; Hilliard, L.M.; Evans, R.G. Renal hypoxia in kidney disease: Cause or consequence? Acta Physiol. 2018, 222, e12999. [Google Scholar] [CrossRef] [PubMed]
- Singh, P.; Ricksten, S.-E.; Bragadottir, G.; Redfors, B.; Nordquist, L. Renal oxygenation and haemodynamics in acute kidney injury and chronic kidney disease. Clin. Exp. Pharmacol. Physiol. 2013, 40, 138–147. [Google Scholar] [CrossRef] [PubMed]
- Steichen, C.; Giraud, S.; Bon, D.; Barrou, B.; Badet, L.; Salamé, E.; Kerforne, T.; Allain, G.; Roumy, J.; Jayle, C.; et al. Barriers and Advances in Kidney Preservation. BioMed Res. Int. 2018, 2018, 1–15. [Google Scholar] [CrossRef] [PubMed]
- Cavaillé-Coll, M.; Bala, S.; Velidedeoglu, E.; Hernandez, A.; Archdeacon, P.; Gonzalez, G.; Neuland, C.; Meyer, J.; Albrecht, R. Summary of FDA Workshop on Ischemia Reperfusion Injury in Kidney Transplantation: FDA IRI Workshop. Am. J. Transplant. 2013, 13, 1134–1148. [Google Scholar] [CrossRef] [PubMed]
- Legrand, M.; Mik, E.G.; Johannes, T.; Payen, D.; Ince, C. Renal Hypoxia and Dysoxia After Reperfusion of the Ischemic Kidney. Mol. Med. 2008, 14, 502–516. [Google Scholar] [CrossRef]
- Leach, R.M.; Treacher, D.F. ABC of oxygen: Oxygen transport—2. Tissue hypoxia. BMJ 1998, 317, 1370–1373. [Google Scholar] [CrossRef]
- Evans, R.G.; Gardiner, B.S.; Smith, D.W.; O’Connor, P.M. Intrarenal oxygenation: Unique challenges and the biophysical basis of homeostasis. Am. J. Physiol. Ren. Physiol. 2008, 295, F1259–F1270. [Google Scholar] [CrossRef]
- Shanley, P.F.; Rosen, M.D.; Brezis, M.; Silva, P. Topography of Focal Proximal Tubular Necrosis After Ischemia With Reflow in the Rat Kidney. Am. J. Pathol. 1986, 122, 462–468. [Google Scholar]
- Palm, F.; Nordquist, L. Renal tubulointerstitial hypoxia: Cause and consequence of kidney dysfunction. Clin. Exp. Pharmacol. Physiol. 2011, 38, 474–480. [Google Scholar] [CrossRef]
- Lee, C.-J.; Gardiner, B.S.; Ngo, J.P.; Kar, S.; Evans, R.G.; Smith, D.W. Accounting for oxygen in the renal cortex: A computational study of factors that predispose the cortex to hypoxia. Am. J. Physiol. Ren. Physiol. 2017, 313, F218–F236. [Google Scholar] [CrossRef]
- Leichtweiss, H.-P.; Lübbers, D.W.; Weiss, C.H.; Baumgärtl, H.; Reschke, W. The oxygen supply of the rat kidney: Measurements of intrarenal pO2. Pflügers Arch. Eur. J. Physiol. 1969, 309, 328–349. [Google Scholar] [CrossRef] [PubMed]
- Lubbers, D.W.; Baumgartl, H. Heterogeneities and profiles of oxygen pressure in brain and kidney as examples of the PO2 distribution in the living tissue. Kidney Int. 1997, 51, 372–380. [Google Scholar] [CrossRef] [PubMed]
- Hansell, P.; Welch, W.J.; Blantz, R.C.; Palm, F. Determinants of kidney oxygen consumption and their relationship to tissue oxygen tension in diabetes and hypertension. Clin. Exp. Pharmacol. Physiol. 2013, 40, 123–137. [Google Scholar] [CrossRef] [PubMed]
- Deng, A.; Miracle, C.M.; Lortie, M.; Satriano, J.; Gabbai, F.B.; Munger, K.A.; Thomson, S.C.; Blantz, R.C. Kidney oxygen consumption, carbonic anhydrase, and proton secretion. Am. J. Physiol. Ren. Physiol. 2006, 290, F1009–F1015. [Google Scholar] [CrossRef] [PubMed]
- Evans, R.G.; Harrop, G.K.; Ngo, J.P.; Ow, C.P.C.; O’Connor, P.M. Basal renal O2 consumption and the efficiency of O2 utilization for Na+; reabsorption. Am. J. Physiol. Ren. Physiol. 2014, 306, F551–F560. [Google Scholar] [CrossRef] [PubMed]
- Evans, R.G.; Goddard, D.; Eppel, G.A.; O’Connor, P.M. Factors that render the kidney susceptible to tissue hypoxia in hypoxemia. Am. J. Physiol. Regul. Integr. Comp. Physiol. 2011, 300, R931–R940. [Google Scholar] [CrossRef]
- Kaissling, B.; Dorup, J. Functional anatomy of the kidney. In Handbook of Experimental Pharmacology; Springer: Berlin/Heidelberg, Germany, 1995; Volume 177, pp. 1–66. [Google Scholar]
- Blantz, R.C. Regulation Of Kidney Function And Metabolism: A Question Of Supply And Demand. Trans. Am. Clin. Clim. Assoc. 2007, 118, 23–43. [Google Scholar]
- Baumgärtl, H.; Zimelka, W.; Lübbers, D.W. Evaluation of PO2 profiles to describe the oxygen pressure field within the tissue. Comp. Biochem. Physiol. Part A Mol. Integr. Physiol. 2002, 132, 75–85. [Google Scholar] [CrossRef]
- Burke, T.J.; Malhotra, D.; Shapiro, J.I. Factors maintaining a pH gradient within the kidney: Role of the vasculature architecture. Kidney Int. 1999, 56, 1826–1837. [Google Scholar] [CrossRef]
- Fry, B.C.; Layton, A.T. Oxygen transport in a cross section of the rat inner medulla: Impact of heterogeneous distribution of nephrons and vessels. Math. Biosci. 2014, 258, 68–76. [Google Scholar] [CrossRef][Green Version]
- Layton, A.T.; Vallon, V.; Edwards, A. Modeling oxygen consumption in the proximal tubule: Effects of NHE and SGLT2 inhibition. Am. J. Physiol. Ren. Physiol. 2015, 308, F1343–F1357. [Google Scholar] [CrossRef] [PubMed]
- Olgac, U.; Kurtcuoglu, V. Renal oxygenation: Preglomerular vasculature is an unlikely contributor to renal oxygen shunting. Am. J. Physiol. Ren. Physiol. 2015, 308, F671–F688. [Google Scholar] [CrossRef] [PubMed][Green Version]
- Gardiner, B.S.; Smith, D.W.; O’Connor, P.M.; Evans, R.G. A mathematical model of diffusional shunting of oxygen from arteries to veins in the kidney. Am. J. Physiol. Ren. Physiol. 2011, 300, F1339–F1352. [Google Scholar] [CrossRef] [PubMed]
- Gardiner, B.S.; Thompson, S.L.; Ngo, J.P.; Smith, D.W.; Abdelkader, A.; Broughton, B.R.S.; Bertram, J.F.; Evans, R.G. Diffusive oxygen shunting between vessels in the preglomerular renal vasculature: Anatomic observations and computational modeling. Am. J. Physiol. Ren. Physiol. 2012, 303, F605–F618. [Google Scholar] [CrossRef]
- Lee, C.-J.; Ngo, J.P.; Kar, S.; Gardiner, B.S.; Evans, R.G.; Smith, D.W. A pseudo-three-dimensional model for quantification of oxygen diffusion from preglomerular arteries to renal tissue and renal venous blood. Am. J. Physiol. Ren. Physiol. 2017, 313, F237–F253. [Google Scholar] [CrossRef]
- Lee, C.-J.; Gardiner, B.S.; Evans, R.G.; Smith, D.W. A model of oxygen transport in the rat renal medulla. Am. J. Physiol. Ren. Physiol. 2018, 315, F1787–F1811. [Google Scholar] [CrossRef]
- Fry, B.C.; Edwards, A.; Sgouralis, I.; Layton, A.T. Impact of renal medullary three-dimensional architecture on oxygen transport. Am. J. Physiol. Ren. Physiol. 2014, 307, F263–F272. [Google Scholar] [CrossRef]
- Chen, J.; Layton, A.T.; Edwards, A. A mathematical model of O2 transport in the rat outer medulla. I. Model formulation and baseline results. Am. J. Physiol. Ren. Physiol. 2009, 297, F517–F536. [Google Scholar] [CrossRef][Green Version]
- Zhang, W.; Edwards, A. Oxygen transport across vasa recta in the renal medulla. Am. J. Physiol. Heart Circ. Physiol. 2002, 283, H1042–H1055. [Google Scholar] [CrossRef]
- Gullans, S.R.; Mandel, L. Coupling of energy to transport in proximal and distal nephron. In The Kidney: Physiology and Pathophysiology; Seldin, D.W., Giebisch, G., Eds.; Academic Press/Elsevier: Burlington, MA, USA, 2000; Volume 1, pp. 445–482. [Google Scholar]
- Layton, A.T. Modeling Transport and Flow Regulatory Mechanisms of the Kidney. ISRN Biomath. 2012, 2012, 1–18. [Google Scholar] [CrossRef]
- Weinstein, A.M.; Weinbaum, S.; Duan, Y.; Du, Z.; Yan, Q.; Wang, T. Flow-dependent transport in a mathematical model of rat proximal tubule. Am. J. Physiol. Ren. Physiol. 2007, 292, F1164–F1181. [Google Scholar] [CrossRef] [PubMed]
- Weinstein, A.M. A mathematical model of the rat nephron: Glucose transport. Am. J. Physiol. Ren. Physiol. 2015, 308, F1098–F1118. [Google Scholar] [CrossRef] [PubMed]
- Layton, A.T.; Vallon, V.; Edwards, A. Predicted consequences of diabetes and SGLT inhibition on transport and oxygen consumption along a rat nephron. Am. J. Physiol. Ren. Physiol. 2016, 310, F1269–F1283. [Google Scholar] [CrossRef] [PubMed]
- Brezis, M.; Rosen, S.; Silva, P.; Epstein, F.H. Selective vulnerability of the medullary thick ascending limb to anoxia in the isolated perfused rat kidney. J. Clin. Investig. 1984, 73, 182–190. [Google Scholar] [CrossRef] [PubMed]
- Brezis, M.; Shanley, P.; Silva, P.; Spokes, K.; Lear, S.; Epstein, F.H.; Rosen, S. Disparate mechanisms for hypoxic cell injury in different nephron segments. Studies in the isolated perfused rat kidney. J. Clin. Investig. 1985, 76, 1796–1806. [Google Scholar] [CrossRef] [PubMed]
- Cannata, N.; Corradini, F.; Merelli, E.; Tesei, L. Agent-based models of cellular systems. Methods Mol. Biol. 2012, 930, 399–426. [Google Scholar]
- Railsback, S.; Lytinen, S.; Jackson, S. Agent-based simulation platforms: Review and development recommendations. Simulation 2006, 82, 609–623. [Google Scholar] [CrossRef]
- Wilensky, U. NetLogo. (Center for Connected Learning and Computer-Based Modeling, Northwestern University, Evanston, IL) 1999. Available online: http://ccl.northwestern.edu/NetLogo/ (accessed on 5 December 2019).
- Pfaller, W.; Seppi, T.; Ohno, A.; Giebisch, G.; Beck, F.X. Quantitative Morphology of Renal Cortical Structures during Compensatory Hypertrophy. Nephron Exp. Nephrol. 1998, 6, 308–319. [Google Scholar] [CrossRef]
- Rasch, R.; Dørup, J. Quantitative morphology of the rat kidney during diabetes mellitus and insulin treatment. Diabetologia 1997, 40, 802–809. [Google Scholar] [CrossRef]
- Matsui, K. Lymphatic Microvessels in the Rat Remnant Kidney Model of Renal Fibrosis: Aminopeptidase P and Podoplanin Are Discriminatory Markers for Endothelial Cells of Blood and Lymphatic Vessels. J. Am. Soc. Nephrol. 2003, 14, 1981–1989. [Google Scholar] [CrossRef]
- Steinhausen, M.; Eisenbach, G.M.; Böttcher, W. High-frequency microcinematographic measurements on peritubular blood flow under control conditions and after temporary ischemia of rat kidneys. Pflügers Arch. Eur. J. Physiol. 1973, 339, 273–288. [Google Scholar] [CrossRef] [PubMed]
- Gutierrez, G. The rate of oxygen release and its effect on capillary O2 tension: A mathematical analysis. Respir. Physiol. 1986, 63, 79–86. [Google Scholar] [CrossRef]
- Féraille, E.; Doucet, A. Sodium-Potassium-Adenosinetriphosphatase-Dependent Sodium Transport in the Kidney: Hormonal Control. Physiol. Rev. 2001, 81, 345–418. [Google Scholar] [CrossRef] [PubMed]
- Fromter, E.; Rumrich, G.; Ullrich, K.J.; Biophysik, M.-P.-I. Phenomenologic Description of Na+, Ci− and HCO3 Absorption from Proximal Tubules of the Rat Kidney. Plügers Arch. 1973, 343, 189–220. [Google Scholar] [CrossRef]
- Schurek, H.; Jost, U.; Baumgartl, H.; Bertram, H.; Heckmann, U. Evidence for a preglomerular oxygen diffusion shunt in rat renal cortex. Am. J. Physiol. Ren. Physiol. 1990, 259, F910–F915. [Google Scholar] [CrossRef]
- Emans, T.W.; Janssen, B.J.; Pinkham, M.I.; Ow, C.P.C.; Evans, R.G.; Joles, J.A.; Malpas, S.C.; Krediet, C.T.P.; Koeners, M.P. Exogenous and endogenous angiotensin-II decrease renal cortical oxygen tension in conscious rats by limiting renal blood flow: AngII and renal cortical oxygenation in conscious rats. J. Physiol. 2016, 594, 6287–6300. [Google Scholar] [CrossRef]
- Layton, A.T. Recent advances in renal hypoxia: Insights from bench experiments and computer simulations. Am. J. Physiol. Ren. Physiol. 2016, 311, F162–F165. [Google Scholar] [CrossRef]
- Layton, A.T.; Vallon, V.; Edwards, A. A computational model for simulating solute transport and oxygen consumption along the nephrons. Am. J. Physiol. Ren. Physiol. 2016, 311, F1378–F1390. [Google Scholar] [CrossRef]
- Wilcox, C.S.; Palm, F.; Welch, W.J. Renal Oxygenation and Function of the Rat Kidney: Effects of Inspired Oxygen and Preglomerular Oxygen Shunting. In Oxygen Transport to Tissue XXXIV; Welch, W.J., Palm, F., Bruley, D.F., Harrison, D.K., Eds.; Springer: New York, NY, USA, 2013; Volume 765, pp. 329–334. ISBN 978-1-4614-4771-9. [Google Scholar]
- Welch, W.J.; Baumgärtl, H.; Lübbers, D.; Wilcox, C.S. Renal oxygenation defects in the spontaneously hypertensive rat: Role of AT1 receptors. Kidney Int. 2003, 63, 202–208. [Google Scholar] [CrossRef]
- Welch, W.J.; Baumgärtl, H.; Lübbers, D.; Wilcox, C.S. Nephron PO2 and renal oxygen usage in the hypertensive rat kidney. Kidney Int. 2001, 59, 230–237. [Google Scholar] [CrossRef]
- Dyson, A.; Bezemer, R.; Legrand, M.; Balestra, G.; Singer, M.; Ince, C. Microvascular and interstitial oxygen tension in the renal cortex and medulla studied in a 4-h rat model of LPS-induced endotoxemia. Shock 2011, 36, 83–89. [Google Scholar] [CrossRef] [PubMed]
- Johannes, T.; Mik, E.G.; Ince, C. Dual-wavelength phosphorimetry for determination of cortical and subcortical microvascular oxygenation in rat kidney. J. Appl. Physiol. 2006, 100, 1301–1310. [Google Scholar] [CrossRef] [PubMed]
- Evans, R.G.; Goddard, D.; Eppel, G.A.; O’Connor, P.M. Stability of tissue PO2 in the face of altered perfusion: A phenomenon specific to the renal cortex and independent of resting renal oxygen consumption: Renal cortical oxygenation. Clin. Exp. Pharmacol. Physiol. 2011, 38, 247–254. [Google Scholar] [CrossRef] [PubMed]
- Leong, C.; Anderson, W.P.; O’Connor, P.M.; Evans, R.G. Evidence that renal arterial-venous oxygen shunting contributes to dynamic regulation of renal oxygenation. Am. J. Physiol. Ren. Physiol. 2007, 292, F1726–F1733. [Google Scholar] [CrossRef] [PubMed]
- Steinhausen, M.; Endlich, K.; Wiegman, D. Glomerular blood flow. Kidney Int. 1990, 38, 769–784. [Google Scholar] [CrossRef] [PubMed]
- Pittman, R.N. Oxygen Transport in the Microcirculation and Its Regulation. Microcirculation 2013, 20, 117–137. [Google Scholar] [CrossRef] [PubMed]
- Sasaki, N.; Horinouchi, H.; Ushiyama, A.; Minamitani, H. A New Method for Measuring the Oxygen Diffusion Constant and Oxygen Consumption Rate of Arteriolar Walls. Keio J. Med. 2012, 61, 57–65. [Google Scholar] [CrossRef]
- Vadapalli, A.; Pittman, R.N.; Popel, A.S. Estimating oxygen transport resistance of the microvascular wall. Am. J. Physiol. Heart Circ. Physiol. 2000, 279, H657–H671. [Google Scholar] [CrossRef]
- Diez, J.; Hannaert, P.; Garay, R. Kinetic study of Na+-K+ pump in erythrocytes from essential hypertensive patients. Am. J. Physiol. Heart Circ. Physiol. 1987, 252, H1–H6. [Google Scholar] [CrossRef]
- Moll, W. The influence of hemoglobin diffusion on oxygen uptake and release by red cells. Respir. Physiol. 1968, 6, 1–15. [Google Scholar] [CrossRef]
- Clark, A.; Federspiel, W.J.; Clark, P.A.; Cokelet, G.R. Oxygen delivery from red cells. Biophys. J. 1985, 47, 171–181. [Google Scholar] [CrossRef]
- Pallone, T.; Zhang, Z.; Rhinehart, K. Physiology of the renal medullary microcirculation. Am. J. Physiol. Ren. Physiol. 2003, 284, F253–F266. [Google Scholar] [CrossRef] [PubMed]
- Larsen, E.H.; Mobjerg, N.; Sorensen, J.N. Fluid transport and ion fluxes in mammalian kidney proximal tubule: A model analysis of isotonic transport. Acta Physiol. 2006, 187, 177–189. [Google Scholar] [CrossRef] [PubMed]
- Brand, M. The efficiency and plasticity of mitochondrial energy transduction. Biochem. Soc. Trans. 2005, 33, 897–904. [Google Scholar] [CrossRef]
- Stucki, J.W. The Optimal Efficiency and the Economic Degrees of Coupling of Oxidative Phosphorylation. Eur. J. Biochem. 1980, 109, 269–283. [Google Scholar] [CrossRef]
- Evans, R.G.; Eppel, G.A.; Michaels, S.; Burke, S.L.; Nematbakhsh, M.; Head, G.A.; Carroll, J.F.; O’Connor, P.M. Multiple mechanisms act to maintain kidney oxygenation during renal ischemia in anesthetized rabbits. Am. J. Physiol. Ren. Physiol. 2010, 298, F1235–F1243. [Google Scholar] [CrossRef]
- Kaminski, J.; Delpech, P.-O.; Kaaki-Hosni, S.; Promeyrat, X.; Hauet, T.; Hannaert, P. Oxygen Consumption by Warm Ischemia-Injured Porcine Kidneys in Hypothermic Static and Machine Preservation. J. Surg. Res. 2019, 242, 78–86. [Google Scholar] [CrossRef]
- Grosenick, D.; Cantow, K.; Arakelyan, K.; Wabnitz, H.; Flemming, B.; Skalweit, A.; Ladwig, M.; Macdonald, R.; Niendorf, T.; Seeliger, E. Detailing renal hemodynamics and oxygenation in rats by a combined near-infrared spectroscopy and invasive probe approach. Biomed. Opt. Express 2015, 6, 309. [Google Scholar] [CrossRef]
- Whitehouse, T.; Stotz, M.; Taylor, V.; Stidwill, R.; Singer, M. Tissue oxygen and hemodynamics in renal medulla, cortex, and corticomedullary junction during hemorrhage-reperfusion. Am. J. Physiol. Ren. Physiol. 2006, 291, F647–F653. [Google Scholar] [CrossRef]
- Ngo, J.P.; Lankadeva, Y.R.; Zhu, M.Z.L.; Martin, A.; Kanki, M.; Cochrane, A.D.; Smith, J.A.; Thrift, A.G.; May, C.N.; Evans, R.G. Factors that confound the prediction of renal medullary oxygenation and risk of acute kidney injury from measurement of bladder urine oxygen tension. Acta Physiol. 2019, 227, e13294. [Google Scholar] [CrossRef]
- Lankadeva, Y.R.; Kosaka, J.; Evans, R.G.; Bellomo, R.; May, C. Urinary Oxygenation as a Surrogate Measure of Medullary Oxygenation During Angiotensin II Therapy in Septic Acute Kidney Injury. Crit. Care Med. 2018, 46, e41–e48. [Google Scholar] [CrossRef] [PubMed]
- Evans, R.G.; Ow, C.P.C. Heterogeneity of renal cortical oxygenation: Seeing is believing. Kidney Int. 2018, 93, 1278–1280. [Google Scholar] [CrossRef] [PubMed]
- Garg, L.C.; Mackie, S.; Tisher, C.C. Effect of low potassium-diet on NaK-ATPase in rat nephron segments. Pflügers Arch. Eur. J. Physiol. 1982, 394, 113–117. [Google Scholar] [CrossRef] [PubMed]
- Gullans, S.R. Metabolic basis of ion transport. In The Kidney; Brenner, B.M., Rector, F.C., Eds.; Saunders: Philadelphia, PA, USA, 2000. [Google Scholar]
- Soltoff, S.P. ATP and the Regulation of Renal Cell Function. Ann. Rev. Physiol. 1986, 48, 9–31. [Google Scholar] [CrossRef] [PubMed]
- Guder, W.G.; Ross, B.D. Enzyme distribution along the nephron. Kidney Int. 1984, 26, 101–111. [Google Scholar] [CrossRef]
- Goldman, D. Theoretical Models of Microvascular Oxygen Transport to Tissue. Microcirculation 2008, 15, 795–811. [Google Scholar] [CrossRef]
- McGuire, B.J.; Secomb, T.W. A theoretical model for oxygen transport in skeletal muscle under conditions of high oxygen demand. J. Appl. Physiol. 2001, 91, 2255–2265. [Google Scholar] [CrossRef]
- Piiper, J.; Scheid, P. Modeling oxygen availability to exercising muscle. Respir. Physiol. 1999, 118, 95–101. [Google Scholar] [CrossRef]
- Eggleton, C.D.; Vadapalli, A.; Roy, T.K.; Popel, A.S. Calculations of intracapillary oxygen tension distributions in muscle. Math. Biosci. 2000, 167, 123–143. [Google Scholar] [CrossRef]
- Groebe, K. An Easy-to-Use Model for O2 Supply to Red Muscle. Validity of Assumptions, Sensitivity to Errors in Data. Biophys. J. 1995, 68, 1246–1269. [Google Scholar] [CrossRef]
- Fletcher, J.E. On facilitated oxygen diffusion in muscle tissues. Biophys. J. 1980, 29, 437–458. [Google Scholar] [CrossRef]
- Ivanov, K.; Kalinina, M.; Levkovich, Y. Blood flow velocity in capillaries of brain and muscles and its physiological significance. Microvasc. Res. 1981, 22, 143–155. [Google Scholar] [CrossRef]
- Brezis, M.; Rosen, S. Hypoxia of the Renal Medulla—Its Implications for Disease. N. Engl. J. Med. 1995, 332, 647–655. [Google Scholar] [CrossRef] [PubMed]
- Ellsworth, M.L.; Ellis, C.G.; Sprague, R.S. Role of erythrocyte-released ATP in the regulation of microvascular oxygen supply in skeletal muscle. Acta Physiol. 2016, 216, 265–276. [Google Scholar] [CrossRef]
- Sridharan, M.; Sprague, R.S.; Adderley, S.P.; Bowles, E.A.; Ellsworth, M.L.; Stephenson, A.H. Diamide decreases deformability of rabbit erythrocytes and attenuates low oxygen tension-induced ATP release. Exp. Biol. Med. 2010, 235, 1142–1148. [Google Scholar] [CrossRef]
- Wang, B.; Scott, R.C.; Pattillo, C.B.; Prabhakarpandian, B.; Sundaram, S.; Kiani, M.F. Microvascular transport model predicts oxygenation changes in the infarcted heart after treatment. Am. J. Physiol. Heart Circ. Physiol. 2007, 293, H3732–H3739. [Google Scholar] [CrossRef]
- Hirakawa, Y.; Mizukami, K.; Yoshihara, T.; Takahashi, I.; Khulan, P.; Honda, T.; Mimura, I.; Tanaka, T.; Tobita, S.; Nangaku, M. Intravital phosphorescence lifetime imaging of the renal cortex accurately measures renal hypoxia. Kidney Int. 2018, 93, 1483–1489. [Google Scholar] [CrossRef]
- Hirakawa, Y.; Yoshihara, T.; Kamiya, M.; Mimura, I.; Fujikura, D.; Masuda, T.; Kikuchi, R.; Takahashi, I.; Urano, Y.; Tobita, S.; et al. Quantitating intracellular oxygen tension in vivo by phosphorescence lifetime measurement. Sci. Rep. 2016, 5, 17838. [Google Scholar] [CrossRef]
- Egginton, S.; Gaffney, E. Experimental Physiology—Review Article: Tissue capillary supply—It’s quality not quantity that counts! Optimizing peripheral oxygen transport. Exp. Physiol. 2010, 95, 971–979. [Google Scholar] [CrossRef]
- Chade, A.R. Renal Vascular Structure and Rarefaction. In Comprehensive Physiology; Terjung, R., Ed.; John Wiley & Sons, Inc.: Hoboken, NJ, USA, 2013; ISBN 978-0-470-65071-4. [Google Scholar]
- Basile, D.P.; Anderson, M.D.; Sutton, T.A. Pathophysiology of Acute Kidney Injury. In Comprehensive Physiology; Terjung, R., Ed.; John Wiley & Sons, Inc.: Hoboken, NJ, USA, 2012; ISBN 978-0-470-65071-4. [Google Scholar]
- Basile, D.P.; Donohoe, D.L.; Roethe, K.; Mattson, D.L. Chronic renal hypoxia after acute ischemic injury: Effects of L-arginine on hypoxia and secondary damage. Am. J. Physiol. Ren. Physiol. 2003, 284, F338–F348. [Google Scholar] [CrossRef]
- Matsumoto, M. Hypoperfusion of Peritubular Capillaries Induces Chronic Hypoxia before Progression of Tubulointerstitial Injury in a Progressive Model of Rat Glomerulonephritis. J. Am. Soc. Nephrol. 2004, 15, 1574–1581. [Google Scholar] [CrossRef] [PubMed]
- Kaminski, J.; Hannaert, P.; Kasil, A.; Thuillier, R.; Leize, E.; Delpy, E.; Steichen, C.; Goujon, J.M.; Zal, F.; Hauet, T. Efficacy of the natural oxygen transporter HEMO2 life® in cold preservation in a preclinical porcine model of donation after cardiac death. Transpl. Int. 2019, 32, 985–996. [Google Scholar] [CrossRef] [PubMed]
- Suzuki, N.; Yamamoto, M. Roles of renal erythropoietin-producing (REP) cells in the maintenance of systemic oxygen homeostasis. Pflügers Arch. Eur. J. Physiol. 2016, 468, 3–12. [Google Scholar] [CrossRef] [PubMed]
- Jelkmann, W. Regulation of erythropoietin production: Erythropoietin production. J. Physiol. 2011, 589, 1251–1258. [Google Scholar] [CrossRef]
- Hernandez, A.; Le Rolle, V.; Ojeda, D.; Baconnier, P.; Fontecave-Jallon, J.; Guillaud, F.; Grosse, T.; Moss, R.; Hannaert, P.; Thomas, S. Integration of detailed modules in a core model of body fluid homeostasis and blood pressure regulation. Prog. Biophys. Mol. Biol. 2011, 107, 169–182. [Google Scholar] [CrossRef]
- Guillaud, F.; Hannaert, P. A Computational Model of the Circulating Renin-Angiotensin System and BloodPressure Regulation. Acta Biotheor. 2010, 58, 143–170. [Google Scholar] [CrossRef]








| Name | Description | Value | Unit | SM1 Table |
|---|---|---|---|---|
| RBF | Renal blood flow | 5.3 | mL/(gkw.min) | Table S1 |
| PTC PO2 | Capillary PO2 | 56 | mmHg | Table S1 |
| LUM PO2 | Luminal PO2 | 40 | mmHg | Table S1 |
| FF | Filtration fraction | 0.34 | - | Table S2 |
| Nb | Nephron number | 32,400 | - | Table S2 |
| Rc | Capillary radius | 5.0 | µm | Table S3a |
| Tub-length | Tubule length | 10,400 | µm | Table S3a |
| Bbmf | EPI-LUM surface area | 2000 | µm2 | Table S3b |
| ppsa | EPI-EPI surface area | 800 | µm2 | Table S3b |
| pcsa | PTC-EPI surface area | 157 * | µm2 | Table S3b |
| pcsint | PTC-INT surface area | 39 * | µm2 | estimated |
| frReab | Fractional reabsorption | 0.51 | - | Table S4 |
| frTransC | Na Transcell. fraction | 0.81 | - | Table S4 |
| P/0 | Oxphos ATP/O2 | 4.5 | - | Table S4 |
| Km-Cox | Km for O2 consumption | 1.1 | µmol/L | Table S4 |
| Hta | Arterial Hematocrit | 0.45 | - | Table S6 |
| Nap | Plasma Na+ | 142 | mmol/L | Table S6 |
| Hb4-RBC | RBC Hb concentration | 5.2 | mmol/L.rbc *** | Table S6 |
| P50 | Hb half-saturation PO2 | 36.8 | mmHg | Table S6 |
| DO2-PTC | Diffusion constant | 1.40 × 10−5 | cm2/s | Table S7 |
| DO2-LUM | Diffusion constant | 2.80 × 10−5 | cm2/s | Table S7 |
| DO2-EPI | Diffusion constant | 1.10 × 10−5 | cm2/s | Table S7 |
| DO2-INT | Diffusion constant | 2.20 × 10−5 | cm2/s | Table S7 |
| alpha | O2 solubility | 1.34 | µM/mmHg | Table S8 |
| fBIC | HCO3-factor ** | 1.15 | -- | -- |
| Parameter | Description | Parameter-Dependent Error (mmHg) |
|---|---|---|
| frReab | Fractional reabsorption | 3.1 (−) |
| HKQO2EPImax | Maximal rate of basal QO2 * in EPI | 3.0 (−) |
| frTransC | Transcellular Na reabsorption fraction | 2.3 (−) |
| bbmf | Brush-border membrane factor | 0.7 (+) |
| fPCSA | Surface area factor for PTC | 1.0 (+) |
| DO2-EPI | Diffusion coefficient in EPI | 1.0 (+) |
| ATP-O2 | Oxphos ATP/O2 ratio | 1.4 (+) |
| fBIC | HCO3− factor * | 1.4 (+) |
| alpha | Tissue oxygen solubility | 1.7 (+) |
| Nc/Nt | Capillary/Tubule ratio | 1.9 (+) |
| Rcap | Capillary radius | 2.5 (+) |
| Tub-length | Tubule length | 2.9 (+) |
| Name | Description | RCM° | RCM* |
|---|---|---|---|
| Tub-length (µm) | Total tubule length | 10,400 | 12,400 |
| frReab | Total fractional reabsorption | 0.51 | 0.75 |
| frTransC | Na Transcellular reabsorption fraction | 0.81 | 0.56 |
| fBIC | Bicarbonate-factor | 1.15 | 1.5 |
| P/0 | Oxphos ATP/O2 | 4.5 | 5.5 |
| Model output PO2 (mmHg) | 34.2 | 35.9 |
© 2019 by the authors. Licensee MDPI, Basel, Switzerland. This article is an open access article distributed under the terms and conditions of the Creative Commons Attribution (CC BY) license (http://creativecommons.org/licenses/by/4.0/).
Share and Cite
Aubert, V.; Kaminski, J.; Guillaud, F.; Hauet, T.; Hannaert, P. A Computer Model of Oxygen Dynamics in the Cortex of the Rat Kidney at the Cell-Tissue Level. Int. J. Mol. Sci. 2019, 20, 6246. https://doi.org/10.3390/ijms20246246
Aubert V, Kaminski J, Guillaud F, Hauet T, Hannaert P. A Computer Model of Oxygen Dynamics in the Cortex of the Rat Kidney at the Cell-Tissue Level. International Journal of Molecular Sciences. 2019; 20(24):6246. https://doi.org/10.3390/ijms20246246
Chicago/Turabian StyleAubert, Vivien, Jacques Kaminski, François Guillaud, Thierry Hauet, and Patrick Hannaert. 2019. "A Computer Model of Oxygen Dynamics in the Cortex of the Rat Kidney at the Cell-Tissue Level" International Journal of Molecular Sciences 20, no. 24: 6246. https://doi.org/10.3390/ijms20246246
APA StyleAubert, V., Kaminski, J., Guillaud, F., Hauet, T., & Hannaert, P. (2019). A Computer Model of Oxygen Dynamics in the Cortex of the Rat Kidney at the Cell-Tissue Level. International Journal of Molecular Sciences, 20(24), 6246. https://doi.org/10.3390/ijms20246246

