Next Article in Journal
Inositols Depletion and Resistance: Principal Mechanisms and Therapeutic Strategies
Next Article in Special Issue
Preparation of Antimicrobial Coatings from Cross-Linked Copolymers Containing Quaternary Dodecyl-Ammonium Compounds
Previous Article in Journal
Using RNA-Sequencing Data to Examine Tissue-Specific Garlic Microbiomes
 
 
Font Type:
Arial Georgia Verdana
Font Size:
Aa Aa Aa
Line Spacing:
Column Width:
Background:
Review

Quaternary Ammonium Compounds (QACs) and Ionic Liquids (ILs) as Biocides: From Simple Antiseptics to Tunable Antimicrobials

by
Anatoly N. Vereshchagin
*,
Nikita A. Frolov
,
Ksenia S. Egorova
,
Marina M. Seitkalieva
and
Valentine P. Ananikov
*
N. D. Zelinsky Institute of Organic Chemistry, Russian Academy of Sciences, Leninsky Prospect 47, 119991 Moscow, Russia
*
Authors to whom correspondence should be addressed.
Int. J. Mol. Sci. 2021, 22(13), 6793; https://doi.org/10.3390/ijms22136793
Submission received: 20 May 2021 / Revised: 15 June 2021 / Accepted: 16 June 2021 / Published: 24 June 2021
(This article belongs to the Special Issue Polymer-Based Strategies for Fighting Microbial and Viral Infections)

Abstract

Quaternary ammonium compounds (QACs) belong to a well-known class of cationic biocides with a broad spectrum of antimicrobial activity. They are used as essential components in surfactants, personal hygiene products, cosmetics, softeners, dyes, biological dyes, antiseptics, and disinfectants. Simple but varied in their structure, QACs are divided into several subclasses: Mono-, bis-, multi-, and poly-derivatives. Since the beginning of the 20th century, a significant amount of work has been dedicated to the advancement of this class of biocides. Thus, more than 700 articles on QACs were published only in 2020, according to the modern literature. The structural variability and diverse biological activity of ionic liquids (ILs) make them highly prospective for developing new types of biocides. QACs and ILs bear a common key element in the molecular structure–quaternary positively charged nitrogen atoms within a cyclic or acyclic structural framework. The state-of-the-art research level and paramount demand in modern society recall the rapid development of a new generation of tunable antimicrobials. This review focuses on the main QACs exhibiting antimicrobial and antifungal properties, commercial products based on QACs, and the latest discoveries in QACs and ILs connected with biocide development.

1. Introduction

For many years, quaternary ammonium compounds (QACs) have been included in most antiseptics and disinfectants and used in various areas, from household and agriculture to medicine and industry [1].
The COVID-19 pandemic that broke out in 2020 led to a significant increase in the widespread use of sanitizers, including QACs. Recent studies have shown that more than 90% of the dust samples analyzed during the pandemic contained QACs, and their average concentration doubled compared to the pre-COVID period [2]. It is to be expected that with the further progression of the pandemic, this number will increase, although the virucidal effect of QACs on SARS-CoV-2 requires further research [3].
The constant presence of subinhibitory concentrations of QACs on various working surfaces, together with the frequent use of QACs, increases the risk of the development of a resistant bacterial environment, which will lead to a plummet of the effectiveness of popular antiseptics and disinfectants. The solution to this problem can be found in the synthesis of new QACs, which exhibit superior antibacterial, antifungal, and antiviral properties.
The structure of QACs consists of a positively charged nitrogen atom with four or three substituents and one double bond. The core QAC structure can contain one (mono-QAC), two (bis-QAC), or more (multi-QAC, poly-QAC) charged nitrogen atoms, including those in heterocyclic compounds (piperidine, pyridine, imidazole, etc.). One or more of the substituents are usually long aliphatic chains containing at least ten carbon atoms. In the case of bis-QACs, multi-QACs, and poly-QACs, the structure that connects the charged nitrogen atoms (the head or nucleus fragment) is called a spacer or linker, and the alkyl chains extending from the heads (if they are present in the molecule) are called tails (Figure 1). QACs are generally water-soluble and stable. The counterion in these compounds usually does not affect the biological activity but often impacts the solubility of the biocide. The majority of the registered QACs contain chloride or bromide as anions. Due to their amphiphilic nature, QACs are able to form micelles. The critical concentration of micelle formation (CCM) is one of the important characteristics of these substances.
The first studies of QACs as antibacterial agents were carried out at the beginning of the 20th century. Hexamethylenetetramine derivatives exhibited an in vitro bactericidal effect [4,5,6]. With the discovery of benzalkonium chloride (BAC) in 1935 [7], QACs found application in medical practice. Subsequently, the study of this class of compounds has led to the discovery of many valuable properties of QACs, due to which they are now used as surfactants, personal hygiene products, cosmetics, softeners, dyes, biological dyes, and, of course, antiseptics and disinfectants with a wide spectrum of action [8].
Therefore, QACs belong to the group of biocides–chemical compounds designed to neutralize, suppress, or prevent the action of harmful organisms by chemical or biological means [9]. As an example, in 2019, QACs accounted for ca. 11% of the whole biocide market in the United States, which equals ca. $192 million (Figure 2) [10].
The U.S. biocide market has grown by ca. 12% since 2016. The global trade of biocides, including QACs, is expected to grow by 3.9% annually and to reach $10.5 billion in 2027, thus evidencing the relevance and popularity of the topic. In other countries, similar trends can be expected due to the unquestionable significance of QACs.
Biocides are used in a wide variety of fields. Approximately 50% of biocide applications in the global market are in the water purification and paint industry (Figure 3) [10]. However, they also play an important role in the medical field [11].
This review focuses on the main QACs exhibiting the characteristics of biocides, the latest discoveries and issues of this field, and is separated into two parts. The first part presents the main commercial QACs currently used as active substances in antiseptics and disinfectants. The second part describes the scientific research of this class of compounds. Due to the ever-increasing demand for new bactericides and fungicides, the search for compounds active against newly arisen resistant strains of pathogenic bacteria and fungi is one of the most important areas of modern pharmaceutics. Of special concern is the emergence of multidrug-resistant strains (so-called “superbugs”). Therefore, we also discuss the possibilities of applying ionic liquids (ILs) as antimicrobial compounds. ILs, some of which can be classified as QACs, comprise a class of substances with vast molecular diversity. These compounds have been shown to possess a wide range of biological activities, including impressive antimicrobial properties [12,13]. A summary of the bactericidal and fungicidal activities of common ILs, bis-charged ILs, and poly-ILs is provided in the corresponding subsections.

2. Antimicrobial Properties of QACs and ILs

2.1. Commercial QACs

A significant step in the development of biologically active QACs was the discovery of benzalkonium chloride 1 (BAC) by Domagk in 1935. BAC is a mixture of mono-QACs with benzyl, methyl, and alkyl substituents with different chain lengths from C8 to C18 (Figure 4). This drug is the first active QAC compound approved by the US Environmental Protection Agency in 1947, and it has been widely used to date [14]. More details about the most important discoveries of that time in the QAC field can be found in the review by Rahn and Van Eseltine [15].
The biological activity of benzalkonium salts depends on the length of the alkyl side chains. It is known that the C12-C14 compounds exhibit stronger bactericidal effects [16]. Due to its broad antibacterial activity and low toxicity, a mixture of benzalkonium derivatives is used in washing disinfectants for hands and face, mouthwashes, creams, and other cleansing and disinfecting products. BAC exhibits bactericidal activity against Staphylococcus, Streptococcus, Gram-negative bacteria (E. coli, Pseudomonas aeruginosa, Proteus, Klebsiella, etc.), anaerobic bacteria, fungi, and molds. It is also efficient against bacterial strains resistant to antibiotics and chemotherapeutic drugs; it inhibits Staphylococcus plasma coagulase and hyaluronidase. BAC prevents secondary wound infection with hospital strains [17]. In addition, a 0.2% aqueous solution of BAC was shown to inactivate the SARS-CoV-2 virus within 15 s [18].
Further study of this class of compounds led to the discovery of several currently widely known QACs with similar structures: alkyltrimethylammonium bromides. The most famous of them are cetyltrimethylammonium bromide (CTAB) 2 and dialkyldimethylammonium chloride, the main representative of the latter being dimethyldidecylammonium chloride (DDAC) 3. The addition of the second long aliphatic chain increased the biological activity of the substance against S. aureus up to 8 times but, at the same time, increased its toxicity against red blood cells [8].
Miramistin 4 is a nonheterocyclic alkyl QAC and one of the most popular antibacterial agents in antiseptics used in Russia [19]. Miramistin demonstrates a moderate antiseptic effect against pathogenic fungi and viruses. Its aqueous solutions are used in the treatment of pyo-inflammatory diseases in surgery, obstetrics, gynecology, dermatology, urology, dentistry, and ophthalmology [20,21]. Miramistin-containing drugs have a pronounced bactericidal effect on Gram-positive (Staphylococcus spp., Streptococcus spp., Streptococcus pneumoniae, etc.), Gram-negative bacteria (Pseudomonas aeruginosa, Escherichia coli, Klebsiella spp., etc.), aerobic, and anaerobic bacteria, both in the form of monocultures and microbial associations, including hospital strains polyresistant to antibiotics. Moreover, miramistin demonstrates antiviral activities (hepatitis, HIV), prevents wound and burn contamination, and facilitates the recovery of damaged tissues [22].
Along with the majority of nonheterocyclic QACs on the antiseptic and disinfectant market, there are also examples of heterocyclic QACs, especially pyridine-based QACs (Figure 5).
The simplest of them is mono-QAC cetylpyridinium chloride 5 (CPC). First described shortly after BAC in 1939 [23], CPC has been extensively used in many mouthwashes and products for oral care [24]. In addition, CPC works as a preservative agent due to its outstanding inhibition properties of bacterial growth.
The second antiseptic of the subgroup is octenidine dihydrochloride 6 (OCT). Its dimeric structure is more complex than that of the other typical substances of this class. Here, two pyridinic nitrogen atoms linked via an alkyl bridge have alkylamine substituents in the para-position. OCT exists in pyridinic and imino forms. Due to its molecular structure, it demonstrates a broad spectrum of antibacterial activity, affecting S. aureus, S. epidermidis, P. mirabilis, K. pneumoniae, E. coli, P. aeruginosa, etc. [25]. Two cation-active centers divided by the long aliphatic carbon chain facilitate molecule binding to negatively charged surfaces of microbial cells. Strong interactions between octenidine and lipids (in particular, cardiolipins) in the bacterial cell membrane have been detected [26]. OCT has an intense residual effect on the skin, which is observed even 24 h after the last application. Due to its antimicrobial properties and skin compatibility, OCT can be used for various local applications where fast action and long-term effects are required, e.g., for disinfecting the skin of patients or treating acute and chronic wounds spontaneously colonized or locally infected by pathogenic bacteria. OCT can also be used for treating surgical equipment, injection sites of central catheters, infected root canals of teeth, candidiasis, acne, and nail infections [26,27,28,29].
A number of other biocides that play an important role in the modern market of antiseptics and disinfectants should also be mentioned. The antiseptics chlorhexidine bigluconate 7 (CHG), alexidine 9, and polyhexamethylene biguanide 8 (PHMB) (Figure 6) are guanidine derivatives from the cationic biocide family, as well as the abovementioned QACs [30].
CHG is a symmetrical bis-biguanide connected by an alkyl chain; it carries two positive charges at physiological pH. Developed in the early 1950s during the screening for antimalarial drugs, CHG has since recommended itself as a broad-spectrum antibacterial drug. CHG is one of the first antiseptics used on the skin and for decontamination of wounds. It is typically applied in the form of bigluconate, gluconate, dichloride, and acetate salts. Antiseptic drugs, which contain chlorhexidine bigluconate as an active substance, have a fairly wide spectrum of action. They are active against Gram-positive bacteria but not Gram-negative bacteria and mycobacteria or fungi. CHG is widely used in surgery and hand washing in the treatment of wound sepsis. It is also used in various oral hygiene products, as an anti-plaque agent, and in periodontal treatments. Similar activities were exhibited by aleksidine (Figure 6) [31,32,33,34].
PHMB is an alkyl biguanide polymer that can be used in a soluble form as chloride. It is an effective alternative to traditional antiseptics due to its low toxicity and superior antibacterial and antifungal activity [35]. It is used for treating swimming pools and fabrics, in cleaning products, and as a disinfectant for contact lenses and mouthwashes [36].

2.2. The Latest Scientific Discoveries in the QAC Field

The simplicity of synthesis, vast structural diversity, and high biological activity drive numerous scientific studies on QACs. Over the past 85 years, after the emergence of the class of cationic biocides, the number of publications on the topic has been arising significantly (Figure 7). According to SciFinder, more than 700 articles on QAC properties were published in 2020.
The scientific society proposes various synthetic procedures and applications for QACs, analyzes their structural fragments, and establishes the relations between the efficiency and molecular structure [37,38]. The last approach, known since the 19th century [39], is widely used in quantitative studies on various activities of chemical substances (QSAR, quantitative structure–activity relationship) [40].
Judging from the basic structure (Figure 1), one can change several parts in a given QAC to determine their impact on its activity:
Head. The number of charged nitrogen atoms (mono-, bis-, multi-QAC), as well as the head structure (non-heterocyclic, heterocyclic, aromatic), can be changed.
Spacer. The structure (aliphatic, aromatic, saturated, unsaturated, mixed, etc.) can be changed.
Tail. The structure (saturated, unsaturated, branched, unbranched) and the length of the aliphatic chain can be changed.
Substituents. A desired group can be introduced into any of the abovementioned fragments of the QAC molecule.
Hereafter, we will focus on representative examples of synthetic biocidal QACs obtained by various scientific groups in recent years. The effect of the structural fragments of the biocides on their biological activity will also be considered. The material is presented sequentially, depending on the QAC charge (mono-QAC, bis-QAC, poly-QAC). Additional information on studies on antimicrobial activity, surfactant properties, usage, and synthesis can be found in recent reviews on the topic [8,41,42,43,44,45,46,47,48,49,50,51].

2.2.1. Single-Charged QACs (Mono-QACs)

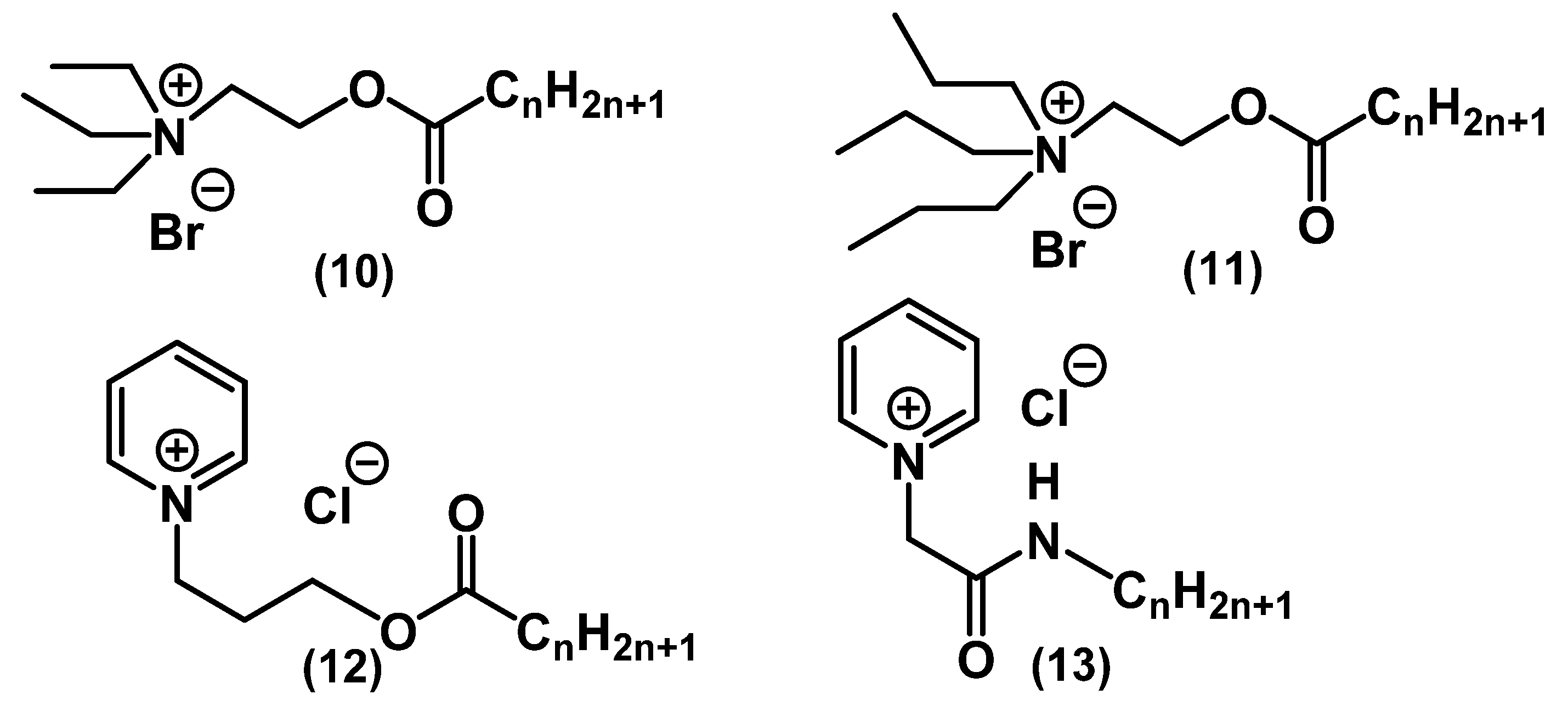
Thorsteinsson and colleagues developed “softer” analogues of the existing QAC biocides [52]. While “hard drugs” (CPC, BAC) are specified as drugs that are not subject to in vivo changes, “soft drugs” are metabolized to nontoxic compounds (Figure 8) [43].
Due to the introduction of amide and ether groups, the synthesized QAC molecules 10-13 are deactivated and decomposed into amides, fatty acids, and alcohols. Compounds without alkyl chains or with short chains (C2, C3) were found to be inactive. Substances with C12–C18 alkyl tails exhibited antibacterial activity comparable to a known analog (BAC 1) against E. coli, S. aureus, and P. aeruginosa. Additionally, some compounds from series 11 showed activity against herpes simplex virus (HSV-1).
Miklas and colleagues carried out the synthesis and studied the biological properties of QACs based on camphorsulfonic acid (CSA) 14-16 (Figure 9) [53,54].
Upon changing the QAC core from ammonium to a less saturated heterocyclic structure (imidazole), the antimicrobial activity of the compounds gradually decreased. Salts with alkyl tails exhibited better activity than their ester and amide counterparts. The optimal chain length was found to be C12-C14.
In a recent work, Ali and colleagues developed new pyridine-based QACs from Schiff bases of nicotine hydrazines (Figure 10) [55].
These substances had good water solubility, most likely due to the presence of hydrazide groups. Despite the shorter alkyl chains (compared to typical QACs), a series of substances 17 showed high activity against colonies and biofilms of E. coli and S. aureus. According to this study, the presence of donor groups in the phenyl ring of the R substituent increased the bactericidal activity.
In the works of Liu and colleagues, the effect of combining two biocidal fragments (N-chloramines and alkyl QACs) in one molecule 18-19 on bactericidal properties was studied (Figure 11) [56,57,58].
Chloramines act on bacterial cells through the oxidative transfer of chlorine to biological receptors which leads to cell lysis. The attachment of the QAC molecule with a positive charge allowed anchoring of the N-chloramine moiety on the surface of the bacterial cell, thus enhancing the effect [56]. The introduction of a long alkyl chain into the compound leads to the rupture of the bacterial membrane, penetration of the biocide into the cell, and a subsequent enhancement of the bactericidal effect [57,58]. At the same time, Li and colleagues combined a pyridinic QAC with N-chloramine 20 (Figure 11). The antibacterial activity of this compound was similar to that presented by Liu [59].
In the works of Wang and Hou, a similar approach to changing the structure of QAC by adding biologically active fragments to the molecule was used (Figure 12) [60,61].
Initially, guided by the hypothesis that hydroxy groups should stimulate membrane penetration and cell destruction, a series of hydroxy-QACs 22 with different alkyl chain lengths was synthesized. All the resulting compounds exhibited lower antibacterial activity than CHG; they also demonstrated antifungal activity with an optimal tail length of C12. It should be noted that the toxicity of the compounds correlated with their activity [60]. Then, a fragment of oxadiazole derivatives 23-24, benzothiazole (X=S) 21, and benzoxazole (X=O) 21 was introduced into the QAC molecule, which led to an increase in bactericidal and fungicidal activity and a decrease in toxicity in epithelial cells and erythrocytes [61].
Bogdanov and colleagues explored the microbiological effect of isatin-based QACs (Figure 13) [62].
As seen from the figure, the structures of these ammonium 25 and pyridine 26-27 salts contain no long alkyl chains. Therefore, the cytotoxicity of these compounds is significantly lower than that of typical QACs. However, the antibacterial activity is markedly reduced in the absence of quaternary nitrogen tails. Thus, none of the compounds from this series showed a biocidal effect against the Gram-negative bacteria E. coli and P. aeruginosa. On the other hand, these salts inhibited the growth of Gram-positive bacteria (S. aureus and B. cereus) and fungi (C. albicans) at concentrations comparable to modern antibiotics (chloramphenicol and norfloxacin). Overall, QACs with pyridinium nuclei and donor substituents in the aromatic part of isatin 27 turned out to be more active than the others.
Rusew and colleagues presented a work, in which long lipophilic tails in QACs were replaced by more compact aryl-containing substituents (Figure 14) [63].
The results of a broad antibacterial screening appeared to be nontypical for cationic biocides. Compounds with biphenyl and 1,3-dimethoxyphenyl 29 substituents selectively inhibited the growth of E. coli (Gram-negative) and S. aureus (Gram-positive) but no other Gram-positive and Gram-negative bacteria. In a quantitative sense, the inhibiting zones of these substances were similar to kanamycin.
Kuca and Soukup studied the biological activity of picolinic QAC with methyl substituents 30 (Figure 15) [64].
It was found that the position of the substituent did not significantly affect the biocidal effect of methylpicolinates, possibly due to the small size of the methyl substituent. Overall, picolinates showed a comparable or even superior bacteriostatic effect compared to BAC on a wide range of pathogens. The optimal tail length was C14-C16, and higher activity was observed in Gram-positive bacteria than in Gram-negative bacteria, as with most QACs.
Shtyrlin and his colleagues created a pyridoxine-based QAC library, including bis-derivatives, which will be discussed in the corresponding part of the review (Figure 16) [65,66,67,68,69,70].
Pyridoxin functional derivatives 31-36 exhibited a broad spectrum of antibacterial and antifungal activity; at that time, they were more active against Gram-positive bacteria than Gram-negative bacteria. It should be mentioned that a combination of the antifungal drug terbinafine with pyridoxin-based QAC 36 was efficient against mixed colonies of pathogenic bacteria and fungi. This example proved the advantage of combining two different biocide fragments in one molecule.
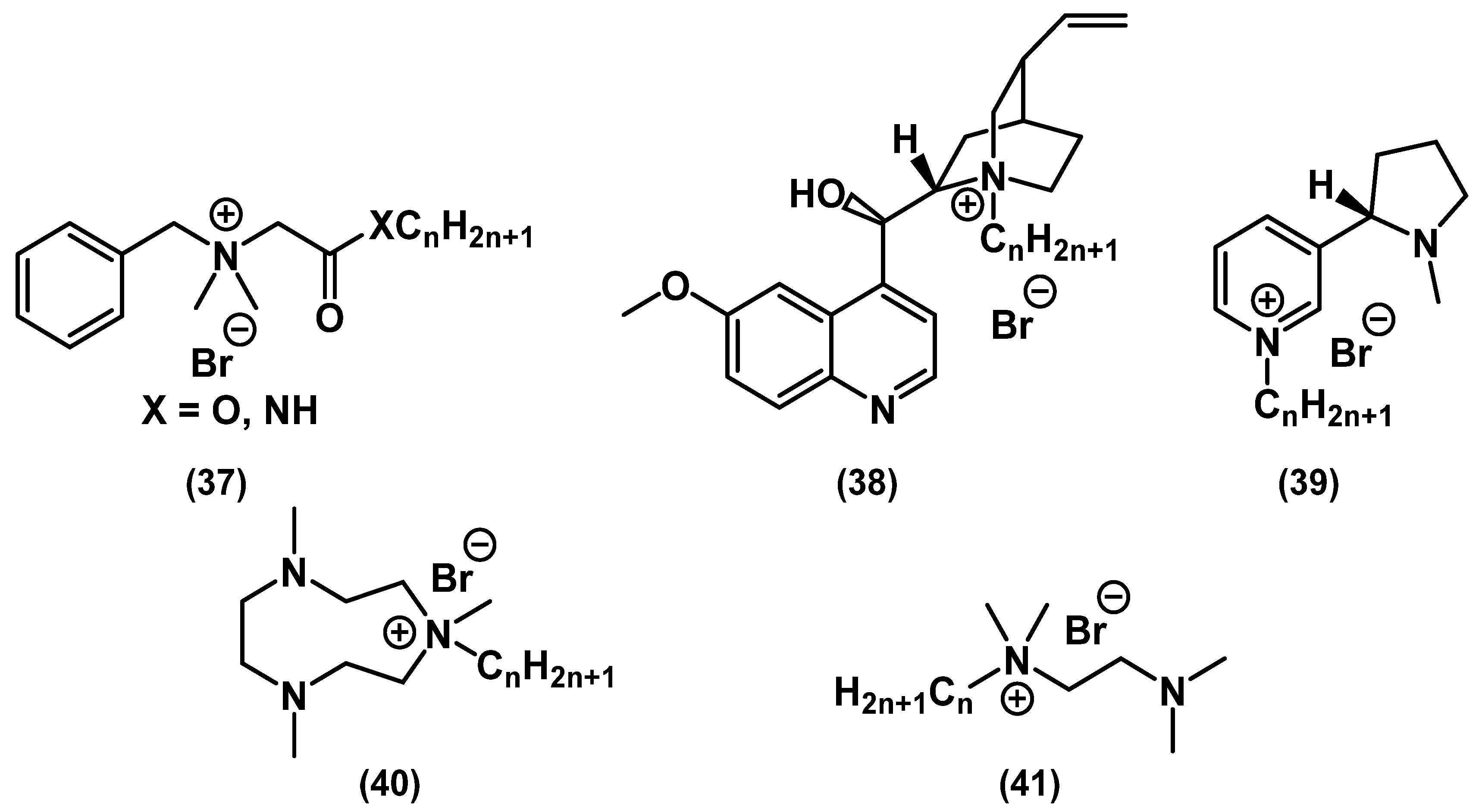
A significant contribution to the development of QACs as a class of cationic biocides was made by the groups of Wuest and Minbiole (Figure 17) [71,72,73,74,75,76].
It was found that close structural analogs of BAC 37 containing amide and ester groups exhibited comparable activity and lower toxicity than BAC [76]. QAC derivatives of natural compounds (quinine 38 and nicotine 39) demonstrated a wide spectrum of antibacterial action, thus justifying the search for other platforms of natural origin to expand the library of active QAC compounds [74].
An overview of the antibacterial activity of mono-QACs, analyzed in the review, is shown in Table 1.

2.2.2. Common Ionic Liquids and Ionic Liquids with Active Pharmaceutical Ingredients (API-ILs)

ILs are organic salts that generally exist in liquid form at a wide range of temperatures. The most common ILs are composed of a bulky organic cation and a more compact anion (Figure 18). Due to its broad applications in chemistry, this class of compounds has been studied thoroughly, and the chemical and physicochemical properties, as well as biodegradation potential, of various ILs have been determined [12,77].
Initially, ILs were considered green solvents that could replace traditional toxic organic solvents in various chemical processes [78]. However, when evidence of the high biological activity of various classes of ILs has emerged, these substances have quickly become candidates for new drugs and drug-like molecules. In particular, the antimicrobial activity of ILs has attracted much attention, and their possible medical and environmental applications have been proposed [12,13,79,80].
A subclass of ILs with quaternary ammonium cations (which includes several of the above-discussed QACs) has promptly been established as a promising alternative to traditional antimicrobial substances [80]. ILs with other cations have also demonstrated prominent bactericidal and fungicidal activities [12,79]. Some of these ILs (e.g., N-hexadecylpyridinium chloride, or cetylpyridinium chloride, CPC, which is also classified as a QAC) have been extensively used as antiseptics for a long time [81,82]. The first successful results of studies on the antimicrobial activities of various ILs have led to the rapid development of API-ILs (active pharmaceutical ingredient–ionic liquid), that is, known commercial drugs in an ionic liquid form [12,83,84].
An overview of the antimicrobial activities of various members of common IL classes is provided in Table 2 and Table S1. In most cases, there is a direct relation between the length of the alkyl side chain in the cation and the IL antimicrobial activity. ILs with relatively short side chains (ethyl, butyl, hexyl) usually demonstrate weak activity (see Table S1), whereas those with long side chains (dodecyl, tetradecyl, hexadecyl) can be strong inhibitors of some bacterial and fungal species, including biofilm-forming and drug-resistant species (see, e.g., entries for [CnMim][A], n = 12–16, and [CnPy], n = 12–16, in Table 2) [81,85,86,87,88,89]. For instance, 1-dodecyl-3-methylimidazolium bromide ([C12Mim][Br]), N-dodecyl-N-methylpyrrolidinium bromide ([C12C1Pyr][Br]), and N-dodecyl-N-methylpiperidinium bromide ([C12C1Pip][Br]) demonstrated both high antimicrobial and low hemolytic activity, thus allowing their successful application in medicinal practice [90,91]. Cholinium-based ILs with long alkyl chains, in particular, N-(2-hydroxyethyl)-N,N-dimethyl-N-tetradecylammonium bromide, N-(2-hydroxyethyl)-N,N-dimethyl-N-hexadecylammonium bromide, and N-(2-hydroxyethyl)-N,N-dimethyl-N-octadecylammonium bromide, efficiently inhibited the growth of various bacterial strains, including antibiotic-resistant strains (see entries for [HOC2C1,1,nN][Br], n = 14–18, in Table 2) [92]. Surface-active cholinium ILs with the dodecylbenzenesulfonate anion demonstrated significant activity against Gram-negative and Gram-positive bacteria, fungi, and single-cell algae; these ILs were proposed to be used as coatings for the prevention of biofilm formation on stone surfaces [93].
It should be noted that the anion can also have a significant impact on the antimicrobial activity. Thus, the antibacterial activity of 1-butyl-3-methylimidazolium ILs with different anions against pathogenic and semipathogenic Gram-negative and Gram-positive bacteria varied significantly depending on the anionic nature [94]. In particular, 1-butyl-3-methylimidazolium bis(trifluoromethanesulfonyl)imide ([C4Mim][NTf2]) demonstrated the highest activity against E. coli (see entries for [C4Mim][A] in Table 2 and Table S1); however, its anti-adhesive activity was significantly lower than that of several other ILs tested. A different picture was observed in the case of 1-hexyl-3-methylimidazolium IL, among which 1-hexyl-3-methylimidazolium nitrate ([C6Mim][NO3]) demonstrated the highest activity against E. coli and several other microorganisms tested (see entries for [C6Mim][A] in Table S1) [95]. Interestingly, it was demonstrated that for ILs with tris(pentafluoroethyl)trifluorophosphate anions, the antimicrobial activity decreased upon increasing the alkyl side chain length [96].
Of special interest are ILs containing antimicrobial moieties in their anions or cations. The API-IL concept allows simultaneously solving two common issues of traditional drugs: low solubility in aqueous media and tendency to form polymorphs [12]. Examples of bactericidal API-ILs are given in Figure 19, Table 3, and Table S2. Thus, API-ILs bearing ampicillin as their anion in combination with cetylpyridinium or 1-hexadecyl-2,3-dimethylimidazolium as their cation demonstrated improved activity against several Gram-negative and Gram-positive bacterial strains, including ampicillin-resistant E. coli strains, compared to the ampicillin sodium salt (see the corresponding entries in Table 3) [82,97].

2.2.3. Double-Charged QACs (Bis-QACs)

Bis-QAC (or so-called “twin surfactants”) is a subclass of synthetic amphiphiles that contain two cationic nitrogen atoms, a spacer linking them, and two lipophilic alkyl substituents [100]. These are common characteristics of typical bis-QAC, the exact structure of which can vary greatly. The intense development of bis-QACs began later than that of mono-QACs in the 1980s with the discovery of octenidine (see the Commercial QACs section). Nonetheless, there are many publications on the synthesis and biocide properties of bis-QACs.
A significant number of alkyl bis-QACs were synthesized to test the effect of the total charge of the molecule on the activity (Figure 20).
Bis-QACs with ester spacer 46 showed better activity than their mono analogues, both against Gram-positive and Gram-negative bacteria and fungi [101]. It is worth noting that the activity against E. coli was nonlinear and plummeted upon increasing the alkyl chain length from C12 to C14. This relationship, which is known for the biocidal action of amphiphils on Gram-negative bacteria, is called the “cut-off” effect. It was described by Devinsky and colleagues as a consequence of membrane penetration [102]. The addition of a second charged nitrogen atom increased the activity 3-fold in S. aureus and 4-fold in E. coli in the work of Hodye (substance 47). The activity also correlated with the distance between the heads, with the optimal spacer length being C6 [103]. Wuest and Minbiole and colleagues studied the biocidal action of QACs based on polyamines 43-44 [71,104]. Tetramethylethylenediamine derivatives (TMEDAs) 42 turned out to be an extremely promising class of biocides because of their simple synthesis, cheap starting materials, and high activity [75]. In all the above-mentioned studies, the biological effect on pathogenic bacteria increased 3–4 times, especially for Gram-negative strains, compared to mono-QACs.
Changing the spacer in the bis-QAC structure is one of the key factors in the design of target molecules. Thus, the aforementioned alkyl bis-QACs can contain aromatic spacers (Figure 21).
A study by LaDow and colleagues showed that bis-QACs 48-52 inhibited the growth of Gram-positive bacteria at approximately the same concentration as their mono analogs. However, bis-QACs had a much stronger effect on Gram-negative bacteria, which was confirmed by other studies [105]. In continuation of their work on the study of pyridoxine QAC derivatives, Shtyrlun and colleagues noted a clear dependence of the activity of compounds 54 on their lipophilicity. Thus, the values of the lipophilicity coefficient for the most active compounds (C10, C12) were in the range of 1 to 3; at values higher than 6 or lower than 0, the activity decreased sharply [106]. Forman and colleagues studied QAC derivatives of malachite green 53, comparing its mono- and bis-QACs. Analogs with two long alkyl chains were generally comparable to mono-QACs but were more efficient against resistant bacteria [107].
Similar to mono-QACs, the head of bis-QACs can have a saturated heterocyclic structure (Figure 22).
Kourai and colleagues, in their study of bis-QAC derivatives of piperazine 57, found that compounds with different spacer structures but the same lipophilicity exhibited different activities. This fact suggested that the dependence of the biocidal action on lipophilicity was valid only for the series of QACs differing in the length of the tail [108]. Kontos and colleagues tested the dependence of the activity of 58-59 on the rigidity of the structure. The initial assumption that a more flexible structure would provide easier passage through the bacterial membrane and accelerate cell lysis turned out to be erroneous. Thus, derivatives of the more rigid amine structure 59 of diazobicyclooctane (DABCO) were most active in the series [109]. A series of heterocyclic QACs based on cardanol 60 was developed by Ma and colleagues [110]. Along with moderate antibacterial activity, the compounds appeared to be good surfactants.
There are several examples of mixed bis-QACs carrying two different heterocycles or heterocyclic and alkyl parts (Figure 23).
In the continuation of the work on preparation of the above-mentioned QAC derivatives of quinine and nicotine, the usual “activation” of the second nitrogen charged center did not lead to a significant increase in the activity of 61-62. Presumably, the total charge of the molecule does not affect the activity as strongly as the addition of the second alkyl chain [74]. In the work of Schallenhammer and colleagues, hybrid bis-QACs 63-64 combining CPC 5 and BAC 1 showed higher activity against Gram-negative bacteria than each of the commercial “source drugs” applied separately. At the same time, hybrid monoderivatives did not show such a result [111]. Piperazine bis-QAC derivatives 65 and their “soft” analogs 66 showed similar relationships with the previous bis-QACs [72,112].
Additionally, there is a range of interesting works concerning QACs with polynuclear heterocycles with several heteroatoms (Figure 24).
Thomas and colleagues synthesized QACs based on bis-thiazole 67, bis-imidazole 68 and bis-triazole 69. While thiazole derivatives with an alkyl spacer and without lipophilic tails 67 did not show high activity, bis-QACs with nitrogen heterocycles 68-69 demonstrated MIC values lower than that of CHG [113].
In contrast, in the work of Shirai and colleagues, thiazole bis-QACs with alkyl tails 71 (Figure 25) exhibited a wide spectrum of antibacterial and antifungal effects [114]. This is additional evidence that the tails in the QAC structure are strong inducer of the biological effect against pathogens. Shrestha and colleagues studied the antibacterial and antifungal activity of bis-triazole QAC based on benzoquinone 72 (Figure 25) [115].
Inspired by the success of octenidine on the market of cationic biocides, scientists have begun to actively develop a class of bispyridinium salts with various types of spacers (Figure 26).
In the work of Minbiole and colleagues, bispiridinium QAC derivatives of paraquats 73-75 and bis-QACs without a spacer between pyridinium heads were studied. The activity of meta-75 and parameta-analogs 74 was more pronounced. Cyclovoltamperometric analysis showed the predisposition of paraquats 73 to reversible oxidation-reduction processes and the formation of “superoxide”. This presumably increases the toxicity, while metaquats 75 and parametaquats 74 are not subject to this possibility and thus can be less toxic. In addition, given the high activity of parameta-derivatives 74, this indicates the incoherence between the increase in the biocidal action of QACs and their redox capacity [116,117]. A study on the dependence of the activity on the rigidity of the structure for bispyridinium-QACs with alkyl spacers with different saturations 76-78 showed ambiguous results. While this dependence was not observed for QACs with alkyl chains as tails, and the MIC values remained approximately at the same level, in the case of bis-QACs with amide bridges in the tails, a sharp decrease in the activity was observed upon increasing the structural rigidity. The authors showed that in such rigid structures, the bis-QAC activity decreased as the charged heads moved away from each other [118].
In the last few years, new biocidal pyridine-based bis-QACs containing an aromatic fragment in a spacer have been synthesized (Figure 27). Thus, bis-QACs with 1,4-dioxophenyl as spacer 79 were significantly more active than commercial QACs (BAC 1, CHG 7) [119,120,121]. Vereshchagin’s group studied the dependence of the activity of biocides on the size of the aromatic spacer of salts, as well as the location of the spacer relative to the charged pyridinium nitrogen 79-83 [122,123,124,125,126]. It was discovered that the QAC activity increased upon increasing the length of the aromatic spacer. The activity increased in the following order: mono- 79 < bi- 80 < terphenyl 82 [122,124]. It can be assumed that in such structures, the activity increases with an increase in the distance between the nitrogen atoms. It is worth noting that the optimal length of the alkyl tails also varied in this series: C12 for phenyl 79, C10 for biphenyl 80, and C8 for terphenyl 82. The influence of the position of substitution in pyridine turned out to be ambiguous. In the case of biphenyl 80, the meta-salts turned out to be slightly more active than the para-derivatives, while the opposite was observed for the more mobile biphenyl ether 81 [123,126]. The ortho-salts showed strikingly lower activity. However, this was not the case for QACs of 2,7-dihydroxynaphthalene derivatives 83, and the biocidal effect of the orthosalts was extremely high [125]. From the viewpoint of their activity, the leading compounds from the series of bis-QACs with aromatic spacers were superior to the widely used QACs, such as CHG 7, CPC 5, BAC 1, and miramistin 4, and were comparable to OCT 6 (Figure 27).
There is a broad variety of structures of bispyridinium salts containing mixed spacers (Figure 28).
Kourai and colleagues initiated studies on bis-pyridine salts 84, 86-88 [127,128,129,130,131,132]. Later, Obando and colleagues proposed the synthesis of biologically active bis-QACs containing mixed alkyl-aromatic spacers 89 [133]. In their recent investigation, Hao and colleagues performed a comprehensive physical-chemical and biological analysis of bis-QACs with amide bridges 85 [134].
Pentaerythritol-based bis-QACs 90-91 (Figure 29) were developed by Yamamoto and colleagues. These substances revealed a broad scope of antibacterial and antifungal activities [120]. At that time, the substances with condensed hydroxy groups 90 had higher activity than those with free hydroxy groups 91. The biocompatibility of the series leaders was similar to or higher than that of the common antiseptics (BAC, CPC, OCT, PHMB). Furthermore, Vereshchagin presented a synthetic route and microbiological study of pentaerythritol bis-QACs as OCT analogues 92 [135]. The salts were active towards MRSA and E. coli (Figure 29).
An overview of the antibacterial activity of bis-QACs, analyzed in the review, is shown in Table 4.

2.2.4. Dicationic Ionic Liquids

A number of dicationic ILs have been tested for their antimicrobial activity (see Figure 30, Table 5, and Table S3 for several examples) [90,136,137,138,139]. The high bactericidal activity of some of these ILs (in particular, nitro-substituted imidazolium salts) suggests their possible medical applications (see Table 5).

2.2.5. Multiple-Charged QACs (Multi-QACs)

Multi-QACs are salts with three or more charged nitrogen atoms in one molecule [8]. This biocide group is rather underexplored compared to mono- and bis-QACs, probably because of the more complicated synthesis and the lack of low-cost platforms for multicharged QAC structures.
Wuest and Minbiole developed a simple synthetic route for obtaining tris- and tetra-QACs on the basis of polyamine platforms 93-97 (Figure 31) [71,72,76,140]. The activity of multi-QACs was significantly higher than that of mono-QACs but was comparable to that of bis-QACs.
Several multi-QACs with aromatic fragments in the structure were also obtained (Figure 32). Forman and colleagues demonstrated that tris-derivatives of crystal violet with one alkyl tail 98 had lower activity than mono-QACs. However, analogs containing ethyl groups at the charged nitrogen instead of methyl groups were more active [107]. Gallagher and colleagues found that tris-QACs with two alkyl tails 99 were more effective against Gram-negative bacteria than tris-QACs with one alkyl tail [141,142]. Tris-pyridinium salts 100 [143] and tetrapyridinium salts 101 [144] also comprised an efficient group of biocides with a broad spectrum of action and surpassed the activity of the well-known pyridinium antiseptic CPC 5 several times.
An overview of the antibacterial activity of multiple QACs, analyzed in the review, is shown in Table 6.

2.2.6. Poly-Charged QACs (Poly-QACs)

Polymer structures with quaternary nitrogen occupy a large niche in the field of cationic biocides. QACs exhibiting antimicrobial activity can be incorporated into polymer structures in several ways [49]:
Ring-opening polymerization. Chain-growth polymerization, in which one end of the polymer chain carries an active site for adding cyclic monomers. The terminal groups of the resulting polymer depend on the initiator used and the termination reaction [145].
Controlled radical polymerization. Continuous polymerization includes several stages: Initiation, growth, and chain termination [146].
Click reaction. Polymerization that utilizes methods of click chemistry [147].
Similar to other types of QACs, the structure of poly-QACs can vary depending on the monomer composition (homogeneous poly-QACs (Figure 33) in the case of the same monomers, or copolymers (Figure 34) in the case of different monomers) and the polymerization type.
Lu and colleagues studied the biological properties of poly-QACs with benzyl substituents and ether groups in side chain 102 [148]. The activity of the polyderivatives was significantly higher than that of the corresponding monomers; it increased upon increasing the length of the alkyl substituent. Guo and colleagues compared polymers with quaternary nitrogen in the side 103 and main 104 chains [149]. The presence of charged nitrogen atoms in the main polymer chain enhanced the antibacterial effect on Gram-positive and Gram-negative bacteria by several times. The carbohydrate-based poly-QACs obtained by Badawy’s 108 [150] and Shaban’s 107 [151] groups also exhibited biocidal activity. Polymer salts consisting of monomers with DABCO-containing heterocyclic QACs 106 were obtained by Mathias’ group [152]. Researchers observed an increase in bactericidal activity with the growth of alkyl chains. It should be noted that the monomer did not exhibit antibacterial activity. Polymerization may be the key to achieving the required biocidal effect for inactive QAC molecules. Timofeeva and colleagues developed an approach to the synthesis of quaternary poly(diallyldialkylammonium) salts with various substituents 105 [153]. The researchers noted that the antibacterial effect, but not the antifungal effect, became more pronounced upon increasing the mass of the polymer.
Kallitsis and colleagues studied single- 109-110 and two-charged 111 copolymeric QACs in their work [154,155]. The peculiarity of this study was in the fact that the polymer chain in one of the target compounds 110 was an anion, while the cation was a conventional mono-QAC alkyl cation of CTAB type 2, whereas compound 111 was poly-QAC bearing both cations and anions. This composition had a positive impact on the biocidal effect against a wide range of bacteria. The optimal structure was established as 75% ionic and 25% covalent bonds of the polymer with QAC. Jie and colleagues combined the QAC and N-chloramine 113 molecules in one polymer [128]. A similar successful approach was pursued by Liu and colleagues [56,57,58]. Bai and colleagues synthesized a polymer combining amino and QAC groups 112, which showed excellent bacteriostatic potential [156].
The diversity of homogeneous and copolymeric QACs is very high and is beyond the scope of this review; only exemplary biologically active representatives of this class are presented here. More detailed information on poly-QACs can be found in other reviews [44,47,49,50,157,158,159].
An overview of the antibacterial activity of poly-QACs, analyzed in the review, is shown in Table 7.

2.2.7. Polyionic Liquids

According to the strict definition, poly-ILs are ionic polymers with complete ionicity [161]. However, ionic polymers with lower levels of ionicity are often considered poly-ILs in publications. In recent years, poly-ILs have been extensively studied as advantageous materials for antibacterial coatings and surfaces [89,162,163,164,165,166,167,168,169]. Exemplary poly-ILs with tested antibacterial activity are listed in Table 8 and Figure 35. Note that the table includes substances 103 and 104, which are also considered poly-(QACs).
Antibacterial coatings on the basis of 3-(2-(methacryloyloxy)ethyl)-1-alkylimidazolium ILs showed high bactericidal activity against E. coli (see entries 114-116 in Table 8) [162]. In the case of 1-alkyl-3-vinylimidazolium-based poly-ILs, the alkyl side chain length and charge density were directly related to the antimicrobial activity against E. coli and S. aureus (see entries 117-119, 121, and 123-126 in Table 8) [164]. In contrast, the bactericidal activity of the corresponding poly-IL membranes increased upon increasing the charge density but decreased upon increasing the alkyl chain length. A similar picture was observed for pyrrolidinium-based ILs and membranes [89]. The homopolymeric ILs were active against S. aureus and E. coli, and their antimicrobial activity increased upon increasing the alkyl side chain length in the monomer (see entries 123-126 and 127-131 in Table 8). The opposite was observed for the corresponding poly-IL-based membranes, which also demonstrated good hemocompatibility and low cytotoxicity. Of note, nanoparticles on the basis of 1-alkyl-3-vinylimidazolium poly-ILs showed significantly higher antimicrobial activity than the original poly-ILs [170] (see entries 119-122 in Table 8).
(2-Ethylhexyl)ethylenediaminium bis(trifluoromethanesulfonyl)imide-loaded ionogel surface coatings efficiently inhibited the growth of various microorganisms, including those from the ESKAPE list, and prevented the formation of biofilms [163]. Microneedle patches on the basis of salicylic acid-containing API-poly-IL were successfully tested in the treatment of Propionobacterium acnes skin infections [165]. Ionic graft copolymers on the basis of [2-(methacryloyloxy)ethyl]trimethylammonium chloride were studied as possible delivery systems for ionic drugs (p-aminosalicylate and clavunate) [171]. IL-grafted wound dressings on the basis of 1-vinyl-3-methylimidazolium bromide demonstrated good antimicrobial activity and low cytotoxicity [172,173].

2.2.8. QAC-Containing Bactericidal Coatings

QACs also find application in the composition of bioactive materials and antibacterial coatings. This topic is more relevant than ever due to the growing part of the paint and coatings industry in the biocide market. Thus, research on the application of QACs at surfaces continues to expand.
Antimicrobial films based on surface-modified microfibrillated cellulose grafted with mono-QACs showed high antibacterial activity against S. aureus and E. coli even at low concentrations [174]. Silica nanoparticles functionalized with quaternary ammonium silane inhibited the growth of Gram-negative bacteria due to the synergistic effect of hydrophobicity and antibacterial activity [175]. QACs with N-halamine coated onto cotton fibers were active against S. aureus [176,177]. Similarly, the combination of these biocides was highly effective in macroporous cross-linked antimicrobial polymeric resin [160]. An antibacterial coating of immobilized QACs tethered on hyperbranched polyuria demonstrated high contact-killing efficacies toward adhering staphylococci [178]. Antimicrobial acrylic coatings with a QAC-containing perfluoroalkyl monomer were synthesized by using a self-stratification strategy via one-step UV curing [179]. Polyvinylidene fluoride membranes modified by QACs possess antibiofouling effects [180]. Bacterial cellulose incorporated with QACs showed strong and long-term antimicrobial activity against S. aureus and S. epidermidis [181]. QAC-based silver nanocomposites demonstrated synergistic antibiofilm properties along with a low hemolysis rate [182]. More examples of QACs immobilized on material surfaces with antibacterial activities can be found elsewhere [45,47,49,159].

2.2.9. Ionic Liquid-Containing Bactericidal Coatings

Usage in bactericidal surface coatings seems one of the most promising applications of antibacterial ILs in medicine and other areas. Thus, the number of publications on the topic has been increasing steadily in recent years. As already mentioned above, ILs are proposed to be used as components of ionogels, films, and membranes that demonstrate considerable antimicrobial and antifouling activities (see, e.g., [89,93,163]). Cellulose nanofibers grafted with ammonium ILs and silver ions demonstrated significant antimicrobial activity against S. aureus MRSA and E. coli [183]. Zinc ion-coordinated poly-IL membranes with bactericidal properties were efficiently used for wound healing [184]. A conductive hydrogel wound dressing composed of a poly-IL (1-vinyl-3-(aminopropyl)imidazolium tetrafluoroborate) and konjac glucomannan demonstrated long-lasting bactericidal activity against S. aureus and E. coli [185]. Similarly, promising results were obtained with a poly-IL (1-vinyl-3-butylimidazolium bromide)/poly(vinyl alcohol) wound dressing [172], a reusable 1-vinyl-3-butylimidazolium bromide-grafted cotton gauze wound dressing [173], and molecular brushes with 3-(12-mercaptododecyl)-1-methylimidazolium bromide [186]. Composite membranes composed of bacterial cellulose and cholinium poly-ILs with amino acid anions were active against Gram-negative and Gram-positive bacteria and fungi [187]. Poly(vinylidene fluoride) (PVDF) materials grafted with ILs (1-vinyl-3-butylimidazolium chloride, 1-vinyl-3-ethylimidazolium tetrafluoroborate) showed activity against both common bacteria and “superbugs” [188]. Calcium phosphate–IL (1-alkyl-3-methylimidazolium chloride) materials with bactericidal properties were proposed to be used for implants [189]. Halloysite nanotubes functionalized with various ILs demonstrated antimicrobial activity [190].Coatings based on dicationic imidazolium ILs efficiently inhibited bacterial growth on titanium surfaces [191]. TiO2 nanomaterials coated with poly-IL brushes on the basis of imidazolium ILs demonstrated antibacterial and antifouling properties [192]. Cholinium salicylate-containing gelatin films with bactericidal activity were proposed to be used in food packaging [193]. In addition, 1-butyl-3-methylimidazolium bis(trifluoromethanesulfonyl)imide ([C4Mim][NTf2]) was tested as a bactericidal additive in orthodontic adhesive and was shown to reduce biofilm formation [194].

3. Conclusions

Despite the vast diversity of the available QAC structures, there are certain structural criteria designating the biocidal activity of the compounds.
Usually, the optimal alkyl tail length is within C10-C14; it can vary depending on the number of charges: C12 and longer for mono-QACs and C10-C12 for bis-QACs. Nevertheless, in some series of compounds, those with tails of C10 and shorter demonstrated the highest activity. This observation suggests that the optimal chain length is specific for each set of structures and is related to the other fragments of the molecule.
In general, QACs with two or more charges (bis-QACs, multi-QACs, poly-QACs) have superior biocidal effects compared to mono-QACs. Moreover, many mono-QACs show little or no activity against Gram-negative bacteria. However, the addition of the second charged nitrogen without an alkyl chain does not always increase the activity, whereas the addition of the second and third alkyl chains increases the toxicity. The introduction of ether or amide bridges into QACs decreases both the toxicity and activity of the corresponding substances.
The combination of two bactericidal fragments with different mechanisms of action in one QAC has been proven to be a successful approach. These biocides have antibacterial and antifungal effects on a wide range of pathogens.
The assessment of the direct relation between the presence of aromatic and heterocyclic fragments/substituents in QAC molecules and their activity is complicated because this factor is highly specific for some structures. Relatively speaking, pyridine QACs, especially bis-pyridine salts with broad antibacterial/antifungal activity, are the most advanced and promising among all heterocyclic QACs. Aromatic structures are often used in QACs due to their strong reactivity. They can be spacers, substituents, tails, head parts, etc.
In 2016, in his report on antibacterial resistance, O’Neill predicted that by 2050, 10 million people would die because of resistant bacteria annually [195]. Moreover, SARS-CoV-2 aggravated the issue. During the current pandemic, antibacterial drugs are being used rather indiscriminately. It should be expected that the threat from resistant bacteria will increase significantly in the next few years. To avert this danger, the next generation of antibacterial drugs, including QACs, should be developed in the near future.
In this review, we analyze some of the structure–activity dependences and provide a general overview of the current situation in the research on antimicrobial QACs. In addition, a brief overview of the antimicrobial activities of various subclasses of ionic liquids, which are often considered advantageous antimicrobial agents, is also provided. We hope that it will serve as a highlight for future studies on these classes of biocides.

Supplementary Materials

The Supplementary Materials are available online at https://www.mdpi.com/article/10.3390/ijms22136793/s1.

Funding

This research received no external funding.

Conflicts of Interest

The authors declare no conflict of interest.

References

  1. Paulson, D.S. Topical Antimicrobials. In New Biocides Development; American Chemical Society: Washington, DC, USA, 2007; Volume 967, pp. 124–150. [Google Scholar]
  2. Zheng, G.; Filippelli, G.M.; Salamova, A. Increased Indoor Exposure to Commonly Used Disinfectants during the COVID-19 Pandemic. Environ. Sci. Technol. Lett. 2020, 7, 760–765. [Google Scholar] [CrossRef]
  3. Schrank, C.L.; Minbiole, K.P.C.; Wuest, W.M. Are Quaternary Ammonium Compounds, the Workhorse Disinfectants, Effective against Severe Acute Respiratory Syndrome-Coronavirus-2? ACS Infect. Dis. 2020, 6, 1553–1557. [Google Scholar] [CrossRef] [PubMed]
  4. Jacobs, W.A. The Bactericidal Properties of The Quaternary Salts of Hexamethylenetetramine: I. The Problem of The Chemotherapy of Experimental Bacterial Infections. J. Exp. Med. 1916, 23, 563–568. [Google Scholar] [CrossRef] [PubMed]
  5. Jacobs, W.A.; Heidelberger, M.; Amoss, H.L. The Bactericidal Properties of The Quaternary Salts of Hexamethylenetetramine: II. The Relation Between Constitution and Bactericidal Action in the Substituted Benzylhexamethylenetetraminium. Salts. J. Exp. Med. 1916, 23, 569–576. [Google Scholar] [CrossRef] [PubMed]
  6. Jacobs, W.A.; Heidelberger, M.; Bull, C.G. The Bactericidal Properties of The Quaternary Salts of Hexamethylenetetramine: III. The Relation Between Constitution And Bactericidal Action in the Quaternary Salts Obtained From Halogenacetyl Compounds. J. Exp. Med. 1916, 23, 577–599. [Google Scholar] [CrossRef]
  7. Domagk, G. A new class of disinfectants. Dtsch. Med. Wochenschr 1935, 61, 829–832. [Google Scholar] [CrossRef]
  8. Jennings, M.C.; Minbiole, K.P.C.; Wuest, W.M. Quaternary Ammonium Compounds: An Antimicrobial Mainstay and Platform for Innovation to Address Bacterial Resistance. ACS Infect. Dis. 2015, 1, 288–303. [Google Scholar] [CrossRef]
  9. Directive, E.C. 98/8/EC of the European Parliament and of the Council of 16 February 1998 concerning the placing of biocidal products on the market. OJEC 1998, 123, 1–63. [Google Scholar]
  10. Biocides Market Size, Share & Trends Analysis Report by Product (Halogen Compounds, Quaternary Ammonium Compounds), By Application (Paints & Coatings, Water Treatment), By Region, And Segment Forecasts, 2020–2027. Available online: www.grandviewresearch.com/industry-analysis/biocides-industry (accessed on 11 January 2021).
  11. Gerba, C.P. Quaternary Ammonium Biocides: Efficacy in Application. Appl. Environ. Microbiol. 2015, 81, 464–469. [Google Scholar] [CrossRef]
  12. Egorova, K.S.; Gordeev, E.G.; Ananikov, V.P. Biological activity of ionic liquids and their application in pharmaceutics and medicine. Chem. Rev. 2017, 117, 7132–7189. [Google Scholar] [CrossRef]
  13. Simões, M.; Pereira, A.R.; Simões, L.C.; Cagide, F.; Borges, F. Biofilm control by ionic liquids. Drug Discov. Today 2021, 26, 1340–1346. [Google Scholar] [CrossRef]
  14. Reregistration Eligibility Decision for Alkyl Dimethyl Benzyl Ammonium Chloride (ADBAC). In EPA 739-R-06–009; National Service Center for Enviromental Publications (NSCEP): Washington, DC, USA, 17 November 2006.
  15. Rahn, O.; Eseltine, W.P.V. Quaternary Ammonium Compounds. Annu. Rev. Microbiol. 1947, 1, 173–192. [Google Scholar] [CrossRef]
  16. De Saint Jean, M.; Brignole, F.; Bringuier, A.F.; Bauchet, A.; Feldmann, G.; Baudouin, C. Effects of benzalkonium chloride on growth and survival of Chang conjunctival cells. Investig. Ophthalmol. Vis. Sci. 1999, 40, 619–630. [Google Scholar]
  17. Percival, S.L.; Finnegan, S.; Donelli, G.; Vuotto, C.; Rimmer, S.; Lipsky, B.A. Antiseptics for treating infected wounds: Efficacy on biofilms and effect of pH. Crit. Rev. Microbiol. 2016, 42, 293–309. [Google Scholar] [CrossRef] [PubMed]
  18. Ogilvie, B.H.; Solis-Leal, A.; Lopez, J.B.; Poole, B.D.; Robison, R.A.; Berges, B.K. Alcohol-free hand sanitizer and other quaternary ammonium disinfectants quickly and effectively inactivate SARS-CoV-2. J. Hosp. Inf. 2021, 108, 142–145. [Google Scholar] [CrossRef] [PubMed]
  19. Agafonova, M.N.; Kazakova, R.R.; Lubina, A.P.; Zeldi, M.I.; Nikitina, E.V.; Balakin, K.V.; Shtyrlin, Y.G. Antibacterial activity profile of miramistin in in vitro and in vivo models. Microb. Pathog. 2020, 142, 104072. [Google Scholar] [CrossRef] [PubMed]
  20. Turov, V.V.; Barvinchenko, V.N.; Lipkovska, N.A.; Fedyanina, T.V. Supramolecular Structures in Nanosilica/Miramistin Hydrated Composite in a Hydrophobic Medium. J. Appl. Spectrosc. 2015, 82, 175–181. [Google Scholar] [CrossRef]
  21. Grishin, M.N. [Use of antiseptic myramistin in the multimodality treatment of nonspecific suppurative pleuropulmonary diseases]. Probl. Tuberk. 1998, 1, 40–41. [Google Scholar]
  22. Vertelov, G.K.; Krutyakov, Y.A.; Efremenkova, O.V.; Olenin, A.Y.; Lisichkin, G.V. A versatile synthesis of highly bactericidal Myramistin® stabilized silver nanoparticles. Nanotechnology 2008, 19, 355707. [Google Scholar] [CrossRef]
  23. Quisno, R.; Foter, M.J. Cetyl Pyridinium Chloride: I. Germicidal Properties. J. Bacteriol. 1946, 52, 111–117. [Google Scholar] [CrossRef]
  24. Mao, X.; Auer, D.L.; Buchalla, W.; Hiller, K.-A.; Maisch, T.; Hellwig, E.; Al-Ahmad, A.; Cieplik, F. Cetylpyridinium Chloride: Mechanism of Action, Antimicrobial Efficacy in Biofilms, and Potential Risks of Resistance. Antimicrob. Agents Chemother. 2020, 64, e00576-20. [Google Scholar] [CrossRef]
  25. Bailey, D.M.; DeGrazia, C.G.; Hoff, S.J.; Schulenberg, P.L.; O’Connor, J.R.; Paris, D.A.; Slee, A.M. Bispyridinamines: A new class of topical antimicrobial agents as inhibitors of dental plaque. J. Med. Chem. 1984, 27, 1457–1464. [Google Scholar] [CrossRef] [PubMed]
  26. Hübner, N.O.; Siebert, J.; Kramer, A. Octenidine Dihydrochloride, a Modern Antiseptic for Skin, Mucous Membranes and Wounds. Ski. Pharm. Phys. 2010, 23, 244–258. [Google Scholar] [CrossRef] [PubMed]
  27. Stahl, J.; Braun, M.; Siebert, J.; Kietzmann, M. The percutaneous permeation of a combination of 0.1% octenidine dihydrochloride and 2% 2-phenoxyethanol (octenisept®) through skin of different species in vitro. BMC Vet. Res. 2011, 7, 44. [Google Scholar] [CrossRef]
  28. Cherian, B.; Gehlot, P.M.; Manjunath, M.K. Comparison of the Antimicrobial Efficacy of Octenidine Dihydrochloride and Chlorhexidine with and Without Passive Ultrasonic IrrigationAn Invitro Study. J. Clin. Diagn. Res. 2016, 10, ZC71–ZC77. [Google Scholar] [CrossRef] [PubMed]
  29. Dettenkofer, M.; Wilson, C.; Gratwohl, A.; Schmoor, C.; Bertz, H.; Frei, R.; Heim, D.; Luft, D.; Schulz, S.; Widmer, A.F. Skin disinfection with octenidine dihydrochloride for central venous catheter site care: A double-blind, randomized, controlled trial. Clin. Microbiol. Infect. 2010, 16, 600–606. [Google Scholar] [CrossRef] [PubMed]
  30. Hadaway, L. Polyhexamethylene Biguanide DressingAnother Promising Tool to Reduce Catheter-related Bloodstream Infection. JAVA 2010, 15, 203–205. [Google Scholar] [CrossRef]
  31. Roberts, W.R.; Addy, M. Comparison of the in vivo and in vitro antibacterial properties of antiseptic mouthrinses containing chlorhexidine, alexidine, cetyl pyridinium chloride and hexetidine. J. Clin. Periodontol. 1981, 8, 295–310. [Google Scholar] [CrossRef]
  32. Gilbert, P.; Moore, L.E. Cationic antiseptics: Diversity of action under a common epithet. J. Appl. Microbiol. 2005, 99, 703–715. [Google Scholar] [CrossRef]
  33. Hope, C.K.; Wilson, M. Analysis of the Effects of Chlorhexidine on Oral Biofilm Vitality and Structure Based on Viability Profiling and an Indicator of Membrane Integrity. Antimicrob. Agents Chemother. 2004, 48, 1461–1468. [Google Scholar] [CrossRef]
  34. Thomas, B.; Stickler, D.J. Chlorhexidine resistance and the lipids of Providencia stuartii. Microbios 1979, 24, 141–150. [Google Scholar]
  35. Moore, K.; Gray, D. Using PHMB antimicrobial to prevent wound infection. Wounds UK 2007, 3, 96–102. [Google Scholar]
  36. Allen, M.J.; White, G.F.; Morby, A.P. The response of Escherichia coli to exposure to the biocide polyhexamethylene biguanide. Microbiology 2006, 152, 989–1000. [Google Scholar] [CrossRef] [PubMed]
  37. Zhou, C.; Wang, Y. Structure–activity relationship of cationic surfactants as antimicrobial agents. Curr. Opin. Colloid Interface Sci. 2020, 45, 28–43. [Google Scholar] [CrossRef]
  38. Vereshchagin, A.N. Classical and interdisciplinary approaches to the design of organic and hybrid molecular systems. Russ. Chem. Bull. 2017, 66, 1765–1796. [Google Scholar] [CrossRef]
  39. Brown, A.C.; Fraser, T.R. On the Connection between Chemical Constitution and Physiological Action; with special reference to the Physiological Action of the Salts of the Ammonium Bases derived from Strychnia, Brucia, Thebaia, Codeia, Morphia, and Nicotia. J. Anat. Physiol. 1868, 2, 224–242. [Google Scholar] [PubMed]
  40. Roy, K.; Kar, S.; Das, R.N. A Primer on QSAR/QSPR Modeling; Springer International Publishing: Berlin/Heidelberg, Germany, 2015. [Google Scholar]
  41. Obłąk, E.; Piecuch, A.; Rewak-Soroczyńska, J.; Paluch, E. Activity of gemini quaternary ammonium salts against microorganisms. Appl. Microbiol. Biotechnol. 2019, 103, 625–632. [Google Scholar] [CrossRef]
  42. Tischer, M.; Pradel, G.; Ohlsen, K.; Holzgrabe, U. Quaternary Ammonium Salts and Their Antimicrobial Potential: Targets or Nonspecific Interactions? Chem. Med. Chem. 2012, 7, 22–31. [Google Scholar] [CrossRef]
  43. Thorsteinsson, T.; Loftsson, T.; Masson, M. Soft Antibacterial Agents. Curr. Med. Chem. 2003, 10, 1129–1136. [Google Scholar] [CrossRef]
  44. Zubris, D.L.; Minbiole, K.P.C.; Wuest, W.M. Polymeric Quaternary Ammonium Compounds: Versatile Antimicrobial Materials. Curr. Top. Med. Chem. 2017, 17, 305–318. [Google Scholar] [CrossRef]
  45. Makvandi, P.; Jamaledin, R.; Jabbari, M.; Nikfarjam, N.; Borzacchiello, A. Antibacterial quaternary ammonium compounds in dental materials: A systematic review. Dent. Mater. 2018, 34, 851–867. [Google Scholar] [CrossRef]
  46. Andreica, B.-I.; Cheng, X.; Marin, L. Quaternary ammonium salts of chitosan. A critical overview on the synthesis and properties generated by quaternization. Eur. Polym. J. 2020, 139, 110016. [Google Scholar] [CrossRef]
  47. Xue, Y.; Xiao, H.; Zhang, Y. Antimicrobial Polymeric Materials with Quaternary Ammonium and Phosphonium Salts. Int. J. Mol. Sci. 2015, 16, 3626–3655. [Google Scholar] [CrossRef]
  48. Sowmiah, S.; Esperança, J.M.S.S.; Rebelo, L.P.N.; Afonso, C.A.M. Pyridinium salts: From synthesis to reactivity and applications. Org. Chem. Front. 2018, 5, 453–493. [Google Scholar] [CrossRef]
  49. Jiao, Y.; Niu, L.-N.; Ma, S.; Li, J.; Tay, F.R.; Chen, J.-H. Quaternary ammonium-based biomedical materials: State-of-the-art, toxicological aspects and antimicrobial resistance. Prog. Polym. Sci. 2017, 71, 53–90. [Google Scholar] [CrossRef] [PubMed]
  50. Muñoz-Bonilla, A.; Fernández-García, M. Polymeric materials with antimicrobial activity. Prog. Polym. Sci. 2012, 37, 281–339. [Google Scholar] [CrossRef]
  51. Bureš, F. Quaternary Ammonium Compounds: Simple in Structure, Complex in Application. Top. Curr. Chem. 2019, 377, 14. [Google Scholar] [CrossRef] [PubMed]
  52. Thorsteinsson, T.; Másson, M.; Kristinsson, K.G.; Hjálmarsdóttir, M.A.; Hilmarsson, H.; Loftsson, T. Soft Antimicrobial Agents:  Synthesis and Activity of Labile Environmentally Friendly Long Chain Quaternary Ammonium Compounds. J. Med. Chem. 2003, 46, 4173–4181. [Google Scholar] [CrossRef] [PubMed]
  53. Mikláš, R.; Miklášová, N.; Bukovský, M.; Devínsky, F. Synthesis and antimicrobial properties of camphorsulfonic acid derived imidazolium salts. Acta Fac. Pharm. Univ. Comen. 2014, 61, 42–48. [Google Scholar] [CrossRef]
  54. Mikláš, R.; Miklášová, N.; Bukovský, M.; Horváth, B.; Kubincová, J.; Devínsky, F. Synthesis, surface and antimicrobial properties of some quaternary ammonium homochiral camphor sulfonamides. Eur. J. Pharm. Sci. 2014, 65, 29–37. [Google Scholar] [CrossRef] [PubMed]
  55. Ali, I.; Burki, S.; El-Haj, B.M.; Shafiullah; Parveen, S.; Nadeem, H.Ş.; Nadeem, S.; Shah, M.R. Synthesis and characterization of pyridine-based organic salts: Their antibacterial, antibiofilm and wound healing activities. Bioorg. Chem. 2020, 100, 103937. [Google Scholar] [CrossRef]
  56. Li, L.; Pu, T.; Zhanel, G.; Zhao, N.; Ens, W.; Liu, S. New Biocide with Both N-Chloramine and Quaternary Ammonium Moieties Exerts Enhanced Bactericidal Activity. Adv. Health. Mater. 2012, 1, 609–620. [Google Scholar] [CrossRef] [PubMed]
  57. Ning, C.; Li, L.; Logsetty, S.; Ghanbar, S.; Guo, M.; Ens, W.; Liu, S. Enhanced antibacterial activity of new “composite” biocides with both N-chloramine and quaternary ammonium moieties. Rsc Adv. 2015, 5, 93877–93887. [Google Scholar] [CrossRef]
  58. Ghanbar, S.; Kazemian, M.R.; Liu, S. New Generation of N-Chloramine/QAC Composite Biocides: Efficient Antimicrobial Agents To Target Antibiotic-Resistant Bacteria in the Presence of Organic Load. ACS Omega 2018, 3, 9699–9709. [Google Scholar] [CrossRef] [PubMed]
  59. Li, L.; Zhao, Y.; Zhou, H.; Ning, A.; Zhang, F.; Zhao, Z. Synthesis of pyridinium N-chloramines for antibacterial applications. Tetrahedron Lett. 2017, 58, 321–325. [Google Scholar] [CrossRef]
  60. Liu, W.-S.; Wang, C.-H.; Sun, J.-F.; Hou, G.-G.; Wang, Y.-P.; Qu, R.-J. Synthesis, Characterization and Antibacterial Properties of Dihydroxy Quaternary Ammonium Salts with Long Chain Alkyl Bromides. Chem. Biol. Drug Des. 2015, 85, 91–97. [Google Scholar] [CrossRef]
  61. Xie, X.; Cong, W.; Zhao, F.; Li, H.; Xin, W.; Hou, G.; Wang, C. Synthesis, physiochemical property and antimicrobial activity of novel quaternary ammonium salts. J. Enzym. Inhib. Med. Chem. 2018, 33, 98–105. [Google Scholar] [CrossRef] [PubMed]
  62. Bogdanov, A.V.; Zaripova, I.F.; Voloshina, A.D.; Sapunova, A.S.; Kulik, N.V.; Bukharov, S.V.; Voronina, J.K.; Vandyukov, A.E.; Mironov, V.F. Synthesis and Biological Evaluation of New Isatin-Based QACs with High Antimicrobial Potency. Chem. Sel. 2019, 4, 6162–6166. [Google Scholar] [CrossRef]
  63. Rusew, R.; Kurteva, V.; Shivachev, B. Novel Quaternary Ammonium Derivatives of 4-Pyrrolidino Pyridine: Synthesis, Structural, Thermal, and Antibacterial Studies. Crystals 2020, 10, 339. [Google Scholar] [CrossRef]
  64. Salajkova, S.; Benkova, M.; Marek, J.; Sleha, R.; Prchal, L.; Malinak, D.; Dolezal, R.; Sepčić, K.; Gunde-Cimerman, N.; Kuca, K.; et al. Wide-Antimicrobial Spectrum of Picolinium Salts. Molecules 2020, 25, 2254. [Google Scholar] [CrossRef] [PubMed]
  65. Shtyrlin, N.V.; Sapozhnikov, S.V.; Koshkin, S.A.; Iksanova, A.G.; Sabirov, A.H.; Kayumov, A.R.; Nureeva, A.A.; Zeldi, M.I.; Shtyrlin, Y.G. Synthesis and Antibacterial Activity of Novel Quaternary Ammonium Pyridoxine Derivatives. Med. Chem. 2015, 11, 656–665. [Google Scholar] [CrossRef] [PubMed]
  66. Sapozhnikov, S.V.; Shtyrlin, N.V.; Kayumov, A.R.; Zamaldinova, A.E.; Iksanova, A.G.; Nikitina, E.V.; Krylova, E.S.; Grishaev, D.Y.; Balakin, K.V.; Shtyrlin, Y.G. New quaternary ammonium pyridoxine derivatives: Synthesis and antibacterial activity. Med. Chem. Res. 2017, 26, 3188–3202. [Google Scholar] [CrossRef]
  67. Kayumov, A.R.; Nureeva, A.A.; Trizna, E.Y.; Gazizova, G.R.; Bogachev, M.I.; Shtyrlin, N.V.; Pugachev, M.V.; Sapozhnikov, S.V.; Shtyrlin, Y.G. New Derivatives of Pyridoxine Exhibit High Antibacterial Activity against Biofilm-Embedded Staphylococcus Cells. Biomed Res. Int. 2015, 2015, 890968. [Google Scholar] [CrossRef] [PubMed]
  68. Shtyrlin, N.V.; Sapozhnikov, S.V.; Galiullina, A.S.; Kayumov, A.R.; Bondar, O.V.; Mirchink, E.P.; Isakova, E.B.; Firsov, A.A.; Balakin, K.V.; Shtyrlin, Y.G. Synthesis and Antibacterial Activity of Quaternary Ammonium 4-Deoxypyridoxine Derivatives. Biomed Res. Int. 2016, 2016, 3864193. [Google Scholar] [CrossRef] [PubMed]
  69. Garipov, M.R.; Sabirova, A.E.; Pavelyev, R.S.; Shtyrlin, N.V.; Lisovskaya, S.A.; Bondar, O.V.; Laikov, A.V.; Romanova, J.G.; Bogachev, M.I.; Kayumov, A.R.; et al. Targeting pathogenic fungi, bacteria and fungal-bacterial biofilms by newly synthesized quaternary ammonium derivative of pyridoxine and terbinafine with dual action profile. Bioorg. Chem. 2020, 104, 104306. [Google Scholar] [CrossRef]
  70. Sapozhnikov, S.V.; Sabirova, A.E.; Shtyrlin, N.V.; Druk, A.Y.; Agafonova, M.N.; Chirkova, M.N.; Kazakova, R.R.; Grishaev, D.Y.; Nikishova, T.V.; Krylova, E.S.; et al. Design, synthesis, antibacterial activity and toxicity of novel quaternary ammonium compounds based on pyridoxine and fatty acids. Eur. J. Med. Chem. 2021, 211, 113100. [Google Scholar] [CrossRef] [PubMed]
  71. Paniak, T.J.; Jennings, M.C.; Shanahan, P.C.; Joyce, M.D.; Santiago, C.N.; Wuest, W.M.; Minbiole, K.P.C. The antimicrobial activity of mono-, bis-, tris-, and tetracationic amphiphiles derived from simple polyamine platforms. Bioorg. Med. Chem. Lett. 2014, 24, 5824–5828. [Google Scholar] [CrossRef]
  72. Mitchell, M.A.; Iannetta, A.A.; Jennings, M.C.; Fletcher, M.H.; Wuest, W.M.; Minbiole, K.P.C. Scaffold-Hopping of Multicationic Amphiphiles Yields Three New Classes of Antimicrobials. Chem. Bio. Chem. 2015, 16, 2299–2303. [Google Scholar] [CrossRef]
  73. Minbiole, K.P.C.; Jennings, M.C.; Ator, L.E.; Black, J.W.; Grenier, M.C.; LaDow, J.E.; Caran, K.L.; Seifert, K.; Wuest, W.M. From antimicrobial activity to mechanism of resistance: The multifaceted role of simple quaternary ammonium compounds in bacterial eradication. Tetrahedron 2016, 72, 3559–3566. [Google Scholar] [CrossRef]
  74. Joyce, M.D.; Jennings, M.C.; Santiago, C.N.; Fletcher, M.H.; Wuest, W.M.; Minbiole, K.P.C. Natural product-derived quaternary ammonium compounds with potent antimicrobial activity. J. Antibiot. 2016, 69, 344–347. [Google Scholar] [CrossRef]
  75. Black, J.W.; Jennings, M.C.; Azarewicz, J.; Paniak, T.J.; Grenier, M.C.; Wuest, W.M.; Minbiole, K.P.C. TMEDA-derived biscationic amphiphiles: An economical preparation of potent antibacterial agents. Bioorg. Med. Chem. Lett. 2014, 24, 99–102. [Google Scholar] [CrossRef]
  76. Allen, R.A.; Jennings, M.C.; Mitchell, M.A.; Al-Khalifa, S.E.; Wuest, W.M.; Minbiole, K.P.C. Ester- and amide-containing multiQACs: Exploring multicationic soft antimicrobial agents. Bioorg. Med. Chem. Lett. 2017, 27, 2107–2112. [Google Scholar] [CrossRef]
  77. Hayes, R.; Warr, G.G.; Atkin, R. Structure and nanostructure in ionic liquids. Chem. Rev. 2015, 115, 6357–6426. [Google Scholar] [CrossRef]
  78. Egorova, K.S.; Ananikov, V.P. Toxicity of ionic liquids: Eco(cyto)activity as complicated, but unavoidable parameter for task-specific optimization. Chem. Sus. Chem. 2014, 7, 336–360. [Google Scholar] [CrossRef]
  79. Egorova, K.S.; Ananikov, V.P. Fundamental importance of ionic interactions in the liquid phase: A review of recent studies of ionic liquids in biomedical and pharmaceutical applications. J. Mol. Liq. 2018, 272, 271–300. [Google Scholar] [CrossRef]
  80. Moshikur, R.; Chowdhury, R.; Moniruzzaman, M.; Goto, M. Biocompatible ionic liquids and their applications in pharmaceutics. Green Chem. 2020, 22, 8116–8139. [Google Scholar] [CrossRef]
  81. Demberelnyamba, D.; Kim, K.-S.; Choi, S.; Park, S.-Y.; Lee, H.; Kim, C.-J.; Yoo, I.-D. Synthesis and antimicrobial properties of imidazolium and pyrrolidinonium salts. Bioorg. Med. Chem. Lett. 2004, 12, 853–857. [Google Scholar] [CrossRef]
  82. Ferraz, R.; Teixeira, V.; Rodrigues, D.; Fernandes, R.; Prudêncio, C.; Noronha, J.P.; Petrovski, Ž.; Branco, L.C. Antibacterial activity of ionic liquids based on ampicillin against resistant bacteria. RSC Adv. 2014, 4, 4301–4307. [Google Scholar] [CrossRef]
  83. Ferraz, R.; Branco, L.C.; Prudêncio, C.; Noronha, J.P.; Petrovski, Ž. Ionic liquids as active pharmaceutical ingredients. ChemMedChem 2011, 6, 975–985. [Google Scholar] [CrossRef] [PubMed]
  84. Prudêncio, C.; Vieira, M.; Van der Auweraer, S.; Ferraz, R. Recycling old antibiotics with ionic liquids. Antibiotics 2020, 9, 578. [Google Scholar] [CrossRef] [PubMed]
  85. Carson, L.; Chau, P.K.W.; Earle, M.J.; Gilea, M.A.; Gilmore, B.F.; Gorman, S.P.; McCann, M.T.; Seddon, K.R. Antibiofilm activities of 1-alkyl-3-methylimidazolium chloride ionic liquids. Green Chem. 2009, 11, 492–497. [Google Scholar] [CrossRef]
  86. Gundolf, T.; Rauch, B.; Kalb, R.; Rossmanith, P.; Mester, P. Influence of bacterial lipopolysaccharide modifications on the efficacy of antimicrobial ionic liquids. J. Mol. Liq. 2018, 271, 220–227. [Google Scholar] [CrossRef]
  87. Cornellas, A.; Perez, L.; Comelles, F.; Ribosa, I.; Manresa, A.; Garcia, M.T. Self-aggregation and antimicrobial activity of imidazolium and pyridinium based ionic liquids in aqueous solution. J. Colloid Interface Sci. 2011, 355, 164–171. [Google Scholar] [CrossRef]
  88. Bergamo, V.Z.; Donato, R.K.; Dalla Lana, D.F.; Donato, K.J.Z.; Ortega, G.G.; Schrekker, H.S.; Fuentefria, A.M. Imidazolium salts as antifungal agents: Strong antibiofilm activity against multidrug-resistant Candida tropicalis isolates. Lett. Appl. Microbiol. 2015, 60, 66–71. [Google Scholar] [CrossRef]
  89. Qin, J.; Guo, J.; Xu, Q.; Zheng, Z.; Mao, H.; Yan, F. Synthesis of pyrrolidinium-type poly(ionic liquid) membranes for antibacterial applications. ACS Appl. Mater. Interfaces 2017, 9, 10504–10511. [Google Scholar] [CrossRef]
  90. Florio, W.; Becherini, S.; D’Andrea, F.; Lupetti, A.; Chiappe, C.; Guazzelli, L. Comparative evaluation of antimicrobial activity of different types of ionic liquids. Mater. Sci. Eng. C 2019, 104, 109907. [Google Scholar] [CrossRef] [PubMed]
  91. Florio, W.; Rizzato, C.; Becherini, S.; Guazzelli, L.; D’Andrea, F.; Lupetti, A. Synergistic activity between colistin and the ionic liquids 1-methyl-3-dodecylimidazolium bromide, 1-dodecyl-1-methylpyrrolidinium bromide, or 1-dodecyl-1-methylpiperidinium bromide against Gram-negative bacteria. J. Glob. Antimicrob. Resist. 2020, 21, 99–104. [Google Scholar] [CrossRef] [PubMed]
  92. Siopa, F.; Figueiredo, T.; Frade, R.F.M.; Neto, I.; Meirinhos, A.; Reis, C.P.; Sobral, R.G.; Afonso, C.A.M.; Rijo, P. Choline-based ionic liquids: Improvement of antimicrobial activity. Chem. Sel. 2016, 1, 5909–5916. [Google Scholar] [CrossRef]
  93. De Leo, F.; Marchetta, A.; Capillo, G.; Germanà, A.; Primerano, P.; Schiavo, S.L.; Urzì, C. Surface active ionic liquids based coatings as subaerial anti-biofilms for stone built cultural heritage. Coatings 2020, 11, 26. [Google Scholar] [CrossRef]
  94. Hajfarajollah, H.; Mokhtarani, B.; Noghabi, K.A.; Sharifi, A.; Mirzaei, M. Antibacterial and antiadhesive properties of butyl-methylimidazolium ionic liquids toward pathogenic bacteria. Rsc Adv. 2014, 4, 42751–42757. [Google Scholar] [CrossRef]
  95. Anvari, S.; Hajfarajollah, H.; Mokhtarani, B.; Enayati, M.; Sharifi, A.; Mirzaei, M. Antibacterial and anti-adhesive properties of ionic liquids with various cationic and anionic heads toward pathogenic bacteria. J. Mol. Liq. 2016, 221, 685–690. [Google Scholar] [CrossRef]
  96. Weyhing-Zerrer, N.; Kalb, R.; Oßmer, R.; Rossmanith, P.; Mester, P. Evidence of a reverse side-chain effect of tris(pentafluoroethyl)trifluorophosphate [FAP]-based ionic liquids against pathogenic bacteria. Ecotoxicol. Environ. Saf. 2018, 148, 467–472. [Google Scholar] [CrossRef]
  97. Cole, M.R.; Li, M.; El-Zahab, B.; Janes, M.E.; Hayes, D.; Warner, I.M. Design, synthesis, and biological evaluation of β-lactam antibiotic-based imidazolium- and pyridinium-type ionic liquids. Chem. Biol. Drug Des. 2011, 78, 33–41. [Google Scholar] [CrossRef]
  98. Venkata Nancharaiah, Y.; Reddy, G.K.K.; Lalithamanasa, P.; Venugopalan, V.P. The ionic liquid 1-alkyl-3-methylimidazolium demonstrates comparable antimicrobial and antibiofilm behavior to a cationic surfactant. Biofouling 2012, 28, 1141–1149. [Google Scholar] [CrossRef]
  99. Hough-Troutman, W.L.; Smiglak, M.; Griffin, S.; Matthew Reichert, W.; Mirska, I.; Jodynis-Liebert, J.; Adamska, T.; Nawrot, J.; Stasiewicz, M.; Rogers, R.D.; et al. Ionic liquids with dual biological function: Sweet and anti-microbial, hydrophobic quaternary ammonium-based salts. N. J. Chem. 2009, 33, 26–33. [Google Scholar] [CrossRef]
  100. Menger, F.M.; Littau, C.A. Gemini surfactants: A new class of self-assembling molecules. J. Am. Chem. Soc. 1993, 115, 10083–10090. [Google Scholar] [CrossRef]
  101. Pavlíková-Mořická, M.; Lacko, I.; Devínsky, F.; Masárová, L.; Mlynarčík, D. Quantitative relationships between structure and antimicrobial activity of new “Soft” bisquaternary ammonium salts. Fol. Microbiol. 1994, 39, 176–180. [Google Scholar] [CrossRef] [PubMed]
  102. Devínsky, F.; Kopecka-Leitmanová, A.; Šeršeň, F.; Balgavý, P. Cut-off Effect in Antimicrobial Activity and in Membrane Perturbation Efficiency of the Homologous Series of N,N-Dimethylalkylamine Oxides†. J. Pharm. Pharm. 1990, 42, 790–794. [Google Scholar] [CrossRef] [PubMed]
  103. Hoque, J.; Akkapeddi, P.; Yarlagadda, V.; Uppu, D.S.S.M.; Kumar, P.; Haldar, J. Cleavable Cationic Antibacterial Amphiphiles: Synthesis, Mechanism of Action, and Cytotoxicities. Langmuir 2012, 28, 12225–12234. [Google Scholar] [CrossRef] [PubMed]
  104. Jennings, M.C.; Buttaro, B.A.; Minbiole, K.P.C.; Wuest, W.M. Bioorganic Investigation of Multicationic Antimicrobials to Combat QAC-Resistant Staphylococcus aureus. ACS Infect. Dis. 2015, 1, 304–309. [Google Scholar] [CrossRef] [PubMed]
  105. LaDow, J.E.; Warnock, D.C.; Hamill, K.M.; Simmons, K.L.; Davis, R.W.; Schwantes, C.R.; Flaherty, D.C.; Willcox, J.A.L.; Wilson-Henjum, K.; Caran, K.L.; et al. Bicephalic amphiphile architecture affects antibacterial activity. Eur. J. Med. Chem. 2011, 46, 4219–4226. [Google Scholar] [CrossRef]
  106. Shtyrlin, N.V.; Pugachev, M.V.; Sapozhnikov, S.V.; Garipov, M.R.; Vafina, R.M.; Grishaev, D.Y.; Pavelyev, R.S.; Kazakova, R.R.; Agafonova, M.N.; Iksanova, A.G.; et al. Novel Bis-Ammonium Salts of Pyridoxine: Synthesis and Antimicrobial Properties. Molecules 2020, 25, 4341. [Google Scholar] [CrossRef] [PubMed]
  107. Forman, M.E.; Fletcher, M.H.; Jennings, M.C.; Duggan, S.M.; Minbiole, K.P.C.; Wuest, W.M. Structure–Resistance Relationships: Interrogating Antiseptic Resistance in Bacteria with Multicationic Quaternary Ammonium Dyes. Chem. Med. Chem. 2016, 11, 958–962. [Google Scholar] [CrossRef] [PubMed]
  108. Zhou, F.; Maeda, T.; Nagamune, H.; Kourai, H. Synthesis and Antimicrobial Characteristics of Novel Biocides, 1, 1’-(Decanedioyl) bis (4-methy1–4-alkylpiperazinium iodide) s with a Gemini Structure. Biocontrol Sci. 2004, 9, 61–67. [Google Scholar] [CrossRef]
  109. Kontos, R.C.; Schallenhammer, S.A.; Bentley, B.S.; Morrison, K.R.; Feliciano, J.A.; Tasca, J.A.; Kaplan, A.R.; Bezpalko, M.W.; Kassel, W.S.; Wuest, W.M.; et al. An Investigation into Rigidity–Activity Relationships in BisQAC Amphiphilic Antiseptics. Chem. Med. Chem. 2019, 14, 83–87. [Google Scholar] [CrossRef] [PubMed]
  110. Ma, J.; Liu, N.; Huang, M.; Wang, L.; Han, J.; Qian, H.; Che, F. Synthesis, physicochemical and antimicrobial properties of cardanol-derived quaternary ammonium compounds (QACs) with heterocyclic polar head. J. Mol. Liq. 2019, 294, 111669. [Google Scholar] [CrossRef]
  111. Schallenhammer, S.A.; Duggan, S.M.; Morrison, K.R.; Bentley, B.S.; Wuest, W.M.; Minbiole, K.P.C. Hybrid BisQACs: Potent Biscationic Quaternary Ammonium Compounds Merging the Structures of Two Commercial Antiseptics. Chem. Med. Chem. 2017, 12, 1931–1934. [Google Scholar] [CrossRef]
  112. Morrison, K.R.; Allen, R.A.; Minbiole, K.P.C.; Wuest, W.M. More QACs, more questions: Recent advances in structure activity relationships and hurdles in understanding resistance mechanisms. Tetrahedron Lett. 2019, 60, 150935. [Google Scholar] [CrossRef]
  113. Thomas, B.; Duval, R.E.; Fontanay, S.; Varbanov, M.; Boisbrun, M. Synthesis and Antibacterial Evaluation of Bis-thiazolium, Bis-imidazolium, and Bis-triazolium Derivatives. Chem. Med. Chem. 2019, 14, 1232–1237. [Google Scholar] [CrossRef]
  114. Shirai, A.; Sumitomo, T.; Yoshida, M.; Kaimura, T.; Nagamune, H.; Maeda, T.; Kourai, H. Synthesis and Biological Properties of Gemini Quaternary Ammonium Compounds, 5,5’-[2,2’-(alpha,omega-Polymethylnedicarbonyldioxy)diethyl]bis-(3-alkyl-4-methylthiazolium iodide) and 5,5’-[2,2’-(p-Phenylenedicarbonyldioxy)diethyl]bis(3-alkyl-4-methylthiazolium bromide). Chem. Pharm. Bull. 2006, 54, 639–645. [Google Scholar]
  115. Shrestha, J.P.; Baker, C.; Kawasaki, Y.; Subedi, Y.P.; Vincent de Paul, N.N.; Takemoto, J.Y.; Chang, C.-W.T. Synthesis and bioactivity investigation of quinone-based dimeric cationic triazolium amphiphiles selective against resistant fungal and bacterial pathogens. Eur. J. Med. Chem. 2017, 126, 696–704. [Google Scholar] [CrossRef]
  116. Grenier, M.C.; Davis, R.W.; Wilson-Henjum, K.L.; LaDow, J.E.; Black, J.W.; Caran, K.L.; Seifert, K.; Minbiole, K.P.C. The antibacterial activity of 4,4′-bipyridinium amphiphiles with conventional, bicephalic and gemini architectures. Bioorg. Med. Chem. Lett. 2012, 22, 4055–4058. [Google Scholar] [CrossRef]
  117. Ator, L.E.; Jennings, M.C.; McGettigan, A.R.; Paul, J.J.; Wuest, W.M.; Minbiole, K.P.C. Beyond paraquats: Dialkyl 3,3′- and 3,4′-bipyridinium amphiphiles as antibacterial agents. Bioorg. Med. Chem. Lett. 2014, 24, 3706–3709. [Google Scholar] [CrossRef] [PubMed]
  118. Leitgeb, A.J.; Feliciano, J.A.; Sanchez, H.A.; Allen, R.A.; Morrison, K.R.; Sommers, K.J.; Carden, R.G.; Wuest, W.M.; Minbiole, K.P.C. Further Investigations into Rigidity-Activity Relationships in BisQAC Amphiphilic Antiseptics. Chem. Med. Chem. 2020, 15, 667–670. [Google Scholar] [CrossRef] [PubMed]
  119. Tsuji, Y.; Yamamoto, M.; Vereshchagin, A.N.; Dorofeev, A.S.; Geyvandova, T.A.; Agafonova, I.F.; Geyvandov, R.K. Dimeric Quaternary Pyridinium Salts Possessing Biocidal Activity. Patent #WO158045, 2 October 2014. [Google Scholar]
  120. Yamamoto, M.; Takami, T.; Matsumura, R.; Dorofeev, A.; Hirata, Y.; Nagamune, H. In vitro evaluation of the biocompatibility of newly synthesized bis-quaternary ammonium compounds with spacer structures derived from pentaerythritol or hydroquinone. Biocontrol. Sci. 2016, 21, 231–241. [Google Scholar] [CrossRef]
  121. Yamamoto, M.; Matsumura, R.; Hirata, Y.; Nagamune, H. A comparative study of skin irritation caused by novel bis-quaternary ammonium compounds and commonly used antiseptics by using cell culture methods. Toxicol. Vitr. 2019, 54, 75–81. [Google Scholar] [CrossRef]
  122. Vereshchagin, A.N.; Gordeeva, A.M.; Frolov, N.A.; Proshin, P.I.; Hansford, K.A.; Egorov, M.P. Synthesis and Microbiological Properties of Novel Bis-Quaternary Ammonium Compounds Based on Biphenyl Spacer. Eur. J. Org. Chem 2019, 2019, 4123–4127. [Google Scholar] [CrossRef]
  123. Vereshchagin, A.N.; Frolov, N.A.; Konyuhova, V.Y.; Hansford, K.A.; Egorov, M.P. Synthesis and microbiological properties of novel bis-quaternary ammonium compounds based on 4,4′-oxydiphenol spacer. Mendeleev Commun. 2019, 29, 523–525. [Google Scholar] [CrossRef]
  124. Vereshchagin, A.N.; Frolov, N.A.; Konyuhova, V.Y.; Dorofeeva, E.O.; Hansford, K.A.; Egorov, M.P. Synthesis and biological evaluation of novel bis-quaternary ammonium compounds with p-terphenyl spacer. Mendeleev Commun. 2020, 30, 424–426. [Google Scholar] [CrossRef]
  125. Vereshchagin, A.N.; Frolov, N.A.; Pakina, A.S.; Hansford, K.A.; Egorov, M.P. Synthesis and biological evaluation of novel bispyridinium salts containing naphthalene-2,7-diylbis(oxy) spacer. Mendeleev Commun. 2020, 30, 703–705. [Google Scholar] [CrossRef]
  126. Vereshchagin, A.N.; Frolov, N.A.; Konyuhova, V.Y.; Kapelistaya, E.A.; Hansford, K.A.; Egorov, M.P. Investigations into the structure–activity relationship in gemini QACs based on biphenyl and oxydiphenyl linker. Rsc Adv. 2021, 11, 3429–3438. [Google Scholar] [CrossRef]
  127. Shirai, A.; Maeda, T.; Hara, I.; Yoshinari, A.; Nagamune, H.; Kourai, H. Antimicrobial Characteristics of Bis-quaternary Ammonium Compounds Possessing a p-Phenylene Group in Their Spacer Chains. Biocontrol Sci. 2003, 8, 151–157. [Google Scholar] [CrossRef][Green Version]
  128. Sumitomo, T.; Maeda, T.; Nagamune, H.; Kourai, H. Bacterioclastic Action of a Bis-Quaternary Ammonium Compound against Escherichia coli. Biocontrol Sci. 2004, 9, 1–9. [Google Scholar] [CrossRef]
  129. Yabuhara, T.; Maeda, T.; Nagamune, H.; Kourai, H. Synthesis and Antimicrobial Characteristics of a Novel Biocide, 4, 4’-(1, 6-Dioxyhexamethylene) bis-(1-alkylpyridinium halide). Biocontrol. Sci. 2004, 9, 95–103. [Google Scholar] [CrossRef]
  130. Ohkura, K.; Sukeno, A.; Nagamune, H.; Kourai, H. Bridge-linked bis-quaternary ammonium anti-microbial agents: Relationship between cytotoxicity and anti-bacterial activity of 5,5′-[2,2′-(tetramethylenedicarbonyldioxy)-diethyl]bis(3-alkyl-4-methylthiazonium iodide)s. Bioorg. Med. Chem. 2005, 13, 2579–2587. [Google Scholar] [CrossRef] [PubMed]
  131. Kourai, H.; Yabuhara, T.; Shirai, A.; Maeda, T.; Nagamune, H. Syntheses and antimicrobial activities of a series of new bis-quaternary ammonium compounds. Eur. J. Med. Chem. 2006, 41, 437–444. [Google Scholar] [CrossRef]
  132. Murakami, K.; Yumoto, H.; Murakami, A.; Amoh, T.; Viducic, D.; Hirota, K.; Tabata, A.; Nagamune, H.; Kourai, H.; Matsuo, T.; et al. Evaluation of the effectiveness of the potent bis-quaternary ammonium compound, 4,4′-(α,ω-hexametylenedithio) bis (1-octylpyridinium bromide) (4DTBP-6,8) on Pseudomonas aeruginosa. J. Appl. Microbiol. 2017, 122, 893–899. [Google Scholar] [CrossRef]
  133. Obando, D.; Koda, Y.; Pantarat, N.; Lev, S.; Zuo, X.; Bijosono Oei, J.; Widmer, F.; Djordjevic, J.T.; Sorrell, T.C.; Jolliffe, K.A. Synthesis and Evaluation of a Series of Bis(pentylpyridinium) Compounds as Antifungal Agents. Chem. Med. Chem. 2018, 13, 1421–1436. [Google Scholar] [CrossRef] [PubMed]
  134. Hao, J.; Qin, T.; Zhang, Y.; Li, Y.; Zhang, Y. Synthesis, surface properties and antimicrobial performance of novel gemini pyridinium surfactants. Colloids Surf. B 2019, 181, 814–821. [Google Scholar] [CrossRef]
  135. Vereshchagin, A.N.; Karpenko, K.A.; Egorov, M.P. Synthesis and antibacterial activity of new dimeric pyridinium chlorides based on 2,2-bis(hydroxymethyl)propane-1,3-diyl spacer. Russ. Chem. Bull. 2020, 69, 620–623. [Google Scholar] [CrossRef]
  136. Rezki, N.; Al-Sodies, S.A.; Ahmed, H.E.A.; Ihmaid, S.; Messali, M.; Ahmed, S.; Aouad, M.R. A novel dicationic ionic liquids encompassing pyridinium hydrazone-phenoxy conjugates as antimicrobial agents targeting diverse high resistant microbial strains. J. Mol. Liq. 2019, 284, 431–444. [Google Scholar] [CrossRef]
  137. Gindri, I.M.; Siddiqui, D.A.; Bhardwaj, P.; Rodriguez, L.C.; Palmer, K.L.; Frizzo, C.P.; Martins, M.A.P.; Rodrigues, D.C. Dicationic imidazolium-based ionic liquids: A new strategy for non-toxic and antimicrobial materials. Rsc Adv. 2014, 4, 62594–62602. [Google Scholar] [CrossRef]
  138. Ganapathi, P.; Ganesan, K.; Vijaykanth, N.; Arunagirinathan, N. Anti-bacterial screening of water soluble carbonyl diimidazolium salts and its derivatives. J. Mol. Liq. 2016, 219, 180–185. [Google Scholar] [CrossRef]
  139. Ganapathi, P.; Ganesan, K. Anti-bacterial, catalytic and docking behaviours of novel di/trimeric imidazolium salts. J. Mol. Liq. 2017, 233, 452–464. [Google Scholar] [CrossRef]
  140. Forman, M.E.; Jennings, M.C.; Wuest, W.M.; Minbiole, K.P.C. Building a Better Quaternary Ammonium Compound (QAC): Branched Tetracationic Antiseptic Amphiphiles. Chem. Med. Chem. 2016, 11, 1401–1405. [Google Scholar] [CrossRef]
  141. Marafino, J.N.; Gallagher, T.M.; Barragan, J.; Volkers, B.L.; LaDow, J.E.; Bonifer, K.; Fitzgerald, G.; Floyd, J.L.; McKenna, K.; Minahan, N.T.; et al. Colloidal and antibacterial properties of novel triple-headed, double-tailed amphiphiles: Exploring structure–activity relationships and synergistic mixtures. Bioorg. Med. Chem. 2015, 23, 3566–3573. [Google Scholar] [CrossRef]
  142. Gallagher, T.M.; Marafino, J.N.; Wimbish, B.K.; Volkers, B.; Fitzgerald, G.; McKenna, K.; Floyd, J.; Minahan, N.T.; Walsh, B.; Thompson, K.; et al. Hydra amphiphiles: Using three heads and one tail to influence aggregate formation and to kill pathogenic bacteria. Colloids Surf. B 2017, 157, 440–448. [Google Scholar] [CrossRef]
  143. Al-Khalifa, S.E.; Jennings, M.C.; Wuest, W.M.; Minbiole, K.P.C. The Development of Next-Generation Pyridinium-Based multiQAC Antiseptics. Chem. Med. Chem. 2017, 12, 280–283. [Google Scholar] [CrossRef]
  144. Vereshchagin, A.N.; Minaeva, A.P.; Egorov, M.P. Synthesis and antibacterial activity of new tetrameric quaternary ammonium compounds based on pentaerythritol and 3-hydroxypyridine. Russ. Chem. Bull. 2021, 70, 545–548. [Google Scholar] [CrossRef]
  145. Kamber, N.E.; Jeong, W.; Waymouth, R.M.; Pratt, R.C.; Lohmeijer, B.G.G.; Hedrick, J.L. Organocatalytic Ring-Opening Polymerization. Chem. Rev. 2007, 107, 5813–5840. [Google Scholar] [CrossRef]
  146. Matyjaszewski, K.; Spanswick, J. Controlled/living radical polymerization. Mater. Today 2005, 8, 26–33. [Google Scholar] [CrossRef]
  147. Huang, D.; Qin, A.; Tang, B.Z. CHAPTER 1 Overview of Click Polymerization. In Click Polymerization; The Royal Society of Chemistry: Croydon, UK, 2018; pp. 1–35. [Google Scholar]
  148. Lu, G.; Wu, D.; Fu, R. Studies on the synthesis and antibacterial activities of polymeric quaternary ammonium salts from dimethylaminoethyl methacrylate. React. Funct. Polym. 2007, 67, 355–366. [Google Scholar] [CrossRef]
  149. Guo, J.; Qin, J.; Ren, Y.; Wang, B.; Cui, H.; Ding, Y.; Mao, H.; Yan, F. Antibacterial activity of cationic polymers: Side-chain or main-chain type? Polym. Chem. 2018, 9, 4611–4616. [Google Scholar] [CrossRef]
  150. Badawy, M.E.I. Structure and antimicrobial activity relationship of quaternary N-alkyl chitosan derivatives against some plant pathogens. J. Appl. Polym. Sci. 2010, 117, 960–969. [Google Scholar] [CrossRef]
  151. Shaban, S.M.; Aiad, I.; Moustafa, A.H.; Aljoboury, O.H. Some alginates polymeric cationic surfactants; surface study and their evaluation as biocide and corrosion inhibitors. J. Mol. Liq. 2019, 273, 164–176. [Google Scholar] [CrossRef]
  152. Dizman, B.; Elasri, M.O.; Mathias, L.J. Synthesis and antimicrobial activities of new water-soluble bis-quaternary ammonium methacrylate polymers. J. Appl. Polym. Sci. 2004, 94, 635–642. [Google Scholar] [CrossRef]
  153. Timofeeva, L.M.; Kleshcheva, N.A.; Moroz, A.F.; Didenko, L.V. Secondary and Tertiary Polydiallylammonium Salts: Novel Polymers with High Antimicrobial Activity. Biomacromolecules 2009, 10, 2976–2986. [Google Scholar] [CrossRef]
  154. Kougia, E.; Tselepi, M.; Vasilopoulos, G.; Lainioti, G.C.; Koromilas, N.D.; Druvari, D.; Bokias, G.; Vantarakis, A.; Kallitsis, J.K. Evaluation of Antimicrobial Efficiency of New Polymers Comprised by Covalently Attached and/or Electrostatically Bound Bacteriostatic Species, Based on Quaternary Ammonium Compounds. Molecules 2015, 20, 21313–21327. [Google Scholar] [CrossRef]
  155. Druvari, D.; Koromilas, N.D.; Lainioti, G.C.; Bokias, G.; Vasilopoulos, G.; Vantarakis, A.; Baras, I.; Dourala, N.; Kallitsis, J.K. Polymeric Quaternary Ammonium-Containing Coatings with Potential Dual Contact-Based and Release-Based Antimicrobial Activity. ACS Appl. Mater. Interface 2016, 8, 35593–35605. [Google Scholar] [CrossRef]
  156. Bai, S.; Li, X.; Zhao, Y.; Ren, L.; Yuan, X. Antifogging/Antibacterial Coatings Constructed by N-Hydroxyethylacrylamide and Quaternary Ammonium-Containing Copolymers. ACS Appl. Mater. Interfaces 2020, 12, 12305–12316. [Google Scholar] [CrossRef]
  157. Jaeger, W.; Bohrisch, J.; Laschewsky, A. Synthetic polymers with quaternary nitrogen atoms—Synthesis and structure of the most used type of cationic polyelectrolytes. Prog. Polym. Sci. 2010, 35, 511–577. [Google Scholar] [CrossRef]
  158. Carmona-Ribeiro, A.M.; De Melo Carrasco, L.D. Cationic Antimicrobial Polymers and Their Assemblies. Int. J. Mol. Sci. 2013, 14, 9906–9946. [Google Scholar] [CrossRef]
  159. Chen, A.; Peng, H.; Blakey, I.; Whittaker, A.K. Biocidal Polymers: A Mechanistic Overview. Polym. Rev. 2017, 57, 276–310. [Google Scholar] [CrossRef]
  160. Jie, Z.; Yan, X.; Zhao, L.; Worley, S.D.; Liang, J. Eco-friendly synthesis of regenerable antimicrobial polymeric resin with N-halamine and quaternary ammonium salt groups. RSC Adv. 2014, 4, 6048–6054. [Google Scholar] [CrossRef]
  161. Egorova, K.S.; Posvyatenko, A.V.; Larin, S.S.; Ananikov, V.P. Ionic liquids: Prospects for nucleic acid handling and delivery. Nucleic Acids Res. 2021, 49, 1201–1234. [Google Scholar] [CrossRef]
  162. Ran, B.; Zhang, Z.; Yin, L.; Hu, T.; Jiang, Z.; Wang, Q.; Li, Y. A facile antibacterial coating based on UV-curable acrylated imidazoliums. J. Coat. Technol. Res. 2018, 15, 345–349. [Google Scholar] [CrossRef]
  163. Torres, M.D.T.; Voskian, S.; Brown, P.; Liu, A.; Lu, T.K.; Hatton, T.A.; de la Fuente-Nunez, C. Coatable and resistance-proof ionic liquid for pathogen eradication. ACS Nano 2021, 15, 966–978. [Google Scholar] [CrossRef] [PubMed]
  164. Zheng, Z.; Xu, Q.; Guo, J.; Qin, J.; Mao, H.; Wang, B.; Yan, F. Structure–antibacterial activity relationships of imidazolium-type ionic liquid monomers, poly(ionic liquids) and poly(ionic liquid) membranes: Effect of alkyl chain length and cations. ACS Appl. Mater. Interfaces 2016, 8, 12684–12692. [Google Scholar] [CrossRef] [PubMed]
  165. Zhang, T.; Sun, B.; Guo, J.; Wang, M.; Cui, H.; Mao, H.; Wang, B.; Yan, F. Active pharmaceutical ingredient poly(ionic liquid)-based microneedles for the treatment of skin acne infection. Acta Biomater. 2020, 115, 136–147. [Google Scholar] [CrossRef]
  166. Tejero, R.; Gutiérrez, B.; López, D.; López-Fabal, F.; Gómez-Garcés, J.; Muñoz-Bonilla, A.; Fernández-García, M. Tailoring macromolecular structure of cationic polymers towards efficient contact active antimicrobial surfaces. Polymers 2018, 10, 241. [Google Scholar] [CrossRef] [PubMed]
  167. Sahiner, N.; Sagbas, S. Polymeric ionic liquid materials derived from natural source for adsorption purpose. Sep. Purif. Technol. 2018, 196, 208–216. [Google Scholar] [CrossRef]
  168. Ethirajan, S.K.; Sengupta, A.; Jebur, M.; Kamaz, M.; Qian, X.; Wickramasinghe, R. Single-step synthesis of novel polyionic liquids having antibacterial activity and showing π-electron mediated selectivity in separation of aromatics. ChemistrySelect 2018, 3, 4959–4968. [Google Scholar] [CrossRef]
  169. Claus, J.; Jastram, A.; Piktel, E.; Bucki, R.; Janmey, P.A.; Kragl, U. Polymerized ionic liquids-based hydrogels with intrinsic antibacterial activity: Modern weapons against a ntibiotic-resistant infections. J. Appl. Polym. Sci. 2020, 138, 50222. [Google Scholar] [CrossRef]
  170. Fang, C.; Kong, L.; Ge, Q.; Zhang, W.; Zhou, X.; Zhang, L.; Wang, X. Antibacterial activities of N-alkyl imidazolium-based poly(ionic liquid) nanoparticles. Polym. Chem. 2019, 10, 209–218. [Google Scholar] [CrossRef]
  171. Niesyto, K.; Neugebauer, D. Synthesis and characterization of ionic graft copolymers: Introduction and in vitro release of antibacterial drug by anion exchange. Polymers 2020, 12, 2159. [Google Scholar] [CrossRef] [PubMed]
  172. Fang, H.; Wang, J.; Li, L.; Xu, L.; Wu, Y.; Wang, Y.; Fei, X.; Tian, J.; Li, Y. A novel high-strength poly(ionic liquid)/PVA hydrogel dressing for antibacterial applications. Chem. Eng. J. 2019, 365, 153–164. [Google Scholar] [CrossRef]
  173. Fang, H.; Li, D.; Xu, L.; Wang, Y.; Fei, X.; Tian, J.; Li, Y. A reusable ionic liquid-grafted antibacterial cotton gauze wound dressing. J. Mater. Sci. 2021, 56, 7598–7612. [Google Scholar] [CrossRef]
  174. Andresen, M.; Stenstad, P.; Møretrø, T.; Langsrud, S.; Syverud, K.; Johansson, L.-S.; Stenius, P. Nonleaching Antimicrobial Films Prepared from Surface-Modified Microfibrillated Cellulose. Biomacromolecules 2007, 8, 2149–2155. [Google Scholar] [CrossRef]
  175. Song, J.; Kong, H.; Jang, J. Bacterial adhesion inhibition of the quaternary ammonium functionalized silica nanoparticles. Colloids Surf. B 2011, 82, 651–656. [Google Scholar] [CrossRef]
  176. Liu, Y.; Ma, K.; Li, R.; Ren, X.; Huang, T.S. Antibacterial cotton treated with N-halamine and quaternary ammonium salt. Cellulose 2013, 20, 3123–3130. [Google Scholar] [CrossRef]
  177. Liu, Y.; Li, J.; Cheng, X.; Ren, X.; Huang, T.S. Self-assembled antibacterial coating by N-halamine polyelectrolytes on a cellulose substrate. J. Mater. Chem. B 2015, 3, 1446–1454. [Google Scholar] [CrossRef]
  178. Asri, L.A.T.W.; Crismaru, M.; Roest, S.; Chen, Y.; Ivashenko, O.; Rudolf, P.; Tiller, J.C.; van der Mei, H.C.; Loontjens, T.J.A.; Busscher, H.J. A Shape-Adaptive, Antibacterial-Coating of Immobilized Quaternary-Ammonium Compounds Tethered on Hyperbranched Polyurea and its Mechanism of Action. Adv. Func. Mater. 2014, 24, 346–355. [Google Scholar] [CrossRef]
  179. Zhao, J.; Millians, W.; Tang, S.; Wu, T.; Zhu, L.; Ming, W. Self-Stratified Antimicrobial Acrylic Coatings via One-Step UV Curing. ACS Appl. Mater. Interface 2015, 7, 18467–18472. [Google Scholar] [CrossRef] [PubMed]
  180. Zhang, X.; Ma, J.; Tang, C.Y.; Wang, Z.; Ng, H.Y.; Wu, Z. Antibiofouling Polyvinylidene Fluoride Membrane Modified by Quaternary Ammonium Compound: Direct Contact-Killing versus Induced Indirect Contact-Killing. Environ. Sci. Technol. 2016, 50, 5086–5093. [Google Scholar] [CrossRef] [PubMed]
  181. Żywicka, A.; Fijałkowski, K.; Junka, A.F.; Grzesiak, J.; El Fray, M. Modification of Bacterial Cellulose with Quaternary Ammonium Compounds Based on Fatty Acids and Amino Acids and the Effect on Antimicrobial Activity. Biomacromolecules 2018, 19, 1528–1538. [Google Scholar] [CrossRef]
  182. He, D.; Yu, Y.; Liu, F.; Yao, Y.; Li, P.; Chen, J.; Ning, N.; Zhang, S. Quaternary ammonium salt-based cross-linked micelle templated synthesis of highly active silver nanocomposite for synergistic anti-biofilm application. Chem. Eng. J. 2020, 382, 122976. [Google Scholar] [CrossRef]
  183. Alkabli, J.; El-Sayed, W.N.; Elshaarawy, R.F.M.; Khedr, A.I.M. Upgrading Oryza sativa wastes into multifunctional antimicrobial and antibiofilm nominees; Ionic Metallo-Schiff base-supported cellulosic nanofibers. Eur. Polym. J 2020, 138, 109960. [Google Scholar] [CrossRef]
  184. Xu, Q.; Zheng, Z.; Wang, B.; Mao, H.; Yan, F. Zinc ion coordinated poly(ionic liquid) antimicrobial membranes for wound healing. ACS Appl. Mater. Interfaces 2017, 9, 14656–14664. [Google Scholar] [CrossRef] [PubMed]
  185. Liu, P.; Jin, K.; Wong, W.; Wang, Y.; Liang, T.; He, M.; Li, H.; Lu, C.; Tang, X.; Zong, Y.; et al. Ionic liquid functionalized non-releasing antibacterial hydrogel dressing coupled with electrical stimulation for the promotion of diabetic wound healing. Chem. Eng. J. 2021, 415, 129025. [Google Scholar] [CrossRef]
  186. Jin, L.; Shi, Z.; Zhang, X.; Liu, X.; Li, H.; Wang, J.; Liang, F.; Zhao, W.; Zhao, C. Intelligent antibacterial surface based on ionic liquid molecular brushes for bacterial killing and release. J. Mater. Chem. B 2019, 7, 5520–5527. [Google Scholar] [CrossRef]
  187. He, X.; Yang, Y.; Song, H.; Wang, S.; Zhao, H.; Wei, D. Polyanionic composite membranes based on bacterial cellulose and amino acid for antimicrobial application. ACS Appl. Mater. Interfaces 2020, 12, 14784–14796. [Google Scholar] [CrossRef] [PubMed]
  188. Guan, J.; Wang, Y.; Wu, S.; Li, Y.; Li, J. Durable anti-superbug polymers: Covalent bonding of ionic liquid onto the polymer chains. Biomacromolecules 2017, 18, 4364–4372. [Google Scholar] [CrossRef] [PubMed]
  189. Raucci, M.G.; Fasolino, I.; Pastore, S.G.; Soriente, A.; Capeletti, L.B.; Dessuy, M.B.; Giannini, C.; Schrekker, H.S.; Ambrosio, L. Antimicrobial imidazolium ionic liquids for the development of minimal invasive calcium phosphate-based bionanocomposites. ACS Appl. Mater. Interfaces 2018, 10, 42766–42776. [Google Scholar] [CrossRef] [PubMed]
  190. Suner, S.S.; Sahiner, M.; Akcali, A.; Sahiner, N. Functionalization of halloysite nanotubes with polyethyleneimine and various ionic liquid forms with antimicrobial activity. J. Appl. Polym. Sci. 2019, 137, 48352. [Google Scholar] [CrossRef]
  191. Gindri, I.M.; Palmer, K.L.; Siddiqui, D.A.; Aghyarian, S.; Frizzo, C.P.; Martins, M.A.P.; Rodrigues, D.C. Evaluation of mammalian and bacterial cell activity on titanium surface coated with dicationic imidazolium-based ionic liquids. Rsc Adv. 2016, 6, 36475–36483. [Google Scholar] [CrossRef]
  192. Ye, Q.; Gao, T.; Wan, F.; Yu, B.; Pei, X.; Zhou, F.; Xue, Q. Grafting poly(ionic liquid) brushes for anti-bacterial and anti-biofouling applications. J. Mater. Chem. 2012, 22, 13123–13131. [Google Scholar] [CrossRef]
  193. Mehta, M.J.; Kumar, A. Ionic liquid assisted gelatin films: Green, UV shielding, antioxidant, and antibacterial food packaging materials. ACS Sustain. Chem. Eng. 2019, 7, 8631–8636. [Google Scholar] [CrossRef]
  194. Martini Garcia, I.; Jung Ferreira, C.; de Souza, V.S.; Castelo Branco Leitune, V.; Samuel, S.M.W.; de Souza Balbinot, G.; de Souza da Motta, A.; Visioli, F.; Damiani Scholten, J.; Mezzomo Collares, F. Ionic liquid as antibacterial agent for an experimental orthodontic adhesive. Dent. Mater. 2019, 35, 1155–1165. [Google Scholar] [CrossRef] [PubMed]
  195. O’Neill, J. Tackling Drug-Resistant Infections Globally: Final Report And Recommendations; Welcome Trust: London, UK, 2016; p. 84. [Google Scholar]
Figure 1. General structures and types of QACs.
Figure 1. General structures and types of QACs.
Ijms 22 06793 g001
Figure 2. Biocide market in USA.
Figure 2. Biocide market in USA.
Ijms 22 06793 g002
Figure 3. Biocide applications (HVAC—heating, ventilation, and air conditioning).
Figure 3. Biocide applications (HVAC—heating, ventilation, and air conditioning).
Ijms 22 06793 g003
Figure 4. Commercial alkyl QACs.
Figure 4. Commercial alkyl QACs.
Ijms 22 06793 g004
Figure 5. Commercial QACs based on pyridine.
Figure 5. Commercial QACs based on pyridine.
Ijms 22 06793 g005
Figure 6. Commercial QACs–biguanide derivatives.
Figure 6. Commercial QACs–biguanide derivatives.
Ijms 22 06793 g006
Figure 7. Number of publications involving QACs from 1935 to 2020 (SciFinder, January 2021).
Figure 7. Number of publications involving QACs from 1935 to 2020 (SciFinder, January 2021).
Ijms 22 06793 g007
Figure 8. “Soft” mono-QACs.
Figure 8. “Soft” mono-QACs.
Ijms 22 06793 g008
Figure 9. CSA-based mono-QACs.
Figure 9. CSA-based mono-QACs.
Ijms 22 06793 g009
Figure 10. Mono-QACs containing hydrazide bridges.
Figure 10. Mono-QACs containing hydrazide bridges.
Ijms 22 06793 g010
Figure 11. Mono-QACs containing N-chloramines.
Figure 11. Mono-QACs containing N-chloramines.
Ijms 22 06793 g011
Figure 12. Mono-QACs containing hydroxyl groups.
Figure 12. Mono-QACs containing hydroxyl groups.
Ijms 22 06793 g012
Figure 13. Isatin-based mono-QACs.
Figure 13. Isatin-based mono-QACs.
Ijms 22 06793 g013
Figure 14. Mono-QACs containing aryl substituents.
Figure 14. Mono-QACs containing aryl substituents.
Ijms 22 06793 g014
Figure 15. Picolinic mono-QACs.
Figure 15. Picolinic mono-QACs.
Ijms 22 06793 g015
Figure 16. Pyridoxin-based mono-QACs.
Figure 16. Pyridoxin-based mono-QACs.
Ijms 22 06793 g016
Figure 17. Mono-QACs from Wuest’s and Minbiole’s works.
Figure 17. Mono-QACs from Wuest’s and Minbiole’s works.
Ijms 22 06793 g017
Figure 18. Cations and anions commonly used in ILs with known antimicrobial activity.
Figure 18. Cations and anions commonly used in ILs with known antimicrobial activity.
Ijms 22 06793 g018
Figure 19. Cations and anions used in antimicrobial API-ILs.
Figure 19. Cations and anions used in antimicrobial API-ILs.
Ijms 22 06793 g019
Figure 20. Alkyl bis-QACs.
Figure 20. Alkyl bis-QACs.
Ijms 22 06793 g020
Figure 21. Alkyl bis-QACs containing aromatic spacers.
Figure 21. Alkyl bis-QACs containing aromatic spacers.
Ijms 22 06793 g021
Figure 22. Bis-QACs containing saturated heterocycles.
Figure 22. Bis-QACs containing saturated heterocycles.
Ijms 22 06793 g022
Figure 23. Mixed bis-QACs.
Figure 23. Mixed bis-QACs.
Ijms 22 06793 g023
Figure 24. Bis-QACs containing saturated heterocycles.
Figure 24. Bis-QACs containing saturated heterocycles.
Ijms 22 06793 g024
Figure 25. Bis-QACs containing unsaturated heterocycles.
Figure 25. Bis-QACs containing unsaturated heterocycles.
Ijms 22 06793 g025
Figure 26. Pyridine-based bis-QACs without spacers and with alkyl spacers.
Figure 26. Pyridine-based bis-QACs without spacers and with alkyl spacers.
Ijms 22 06793 g026
Figure 27. Pyridine-based bis-QACs containing aromatic spacers.
Figure 27. Pyridine-based bis-QACs containing aromatic spacers.
Ijms 22 06793 g027
Figure 28. Pyridine-based bis-QACs containing mixed spacers.
Figure 28. Pyridine-based bis-QACs containing mixed spacers.
Ijms 22 06793 g028
Figure 29. Pyridine-based bis-QACs containing pentaerythritol.
Figure 29. Pyridine-based bis-QACs containing pentaerythritol.
Ijms 22 06793 g029
Figure 30. Examples of dicationic ILs with tested antimicrobial activity. The numbers of substances correspond to those in Table 5.
Figure 30. Examples of dicationic ILs with tested antimicrobial activity. The numbers of substances correspond to those in Table 5.
Ijms 22 06793 g030
Figure 31. Alkyl multi-QACs.
Figure 31. Alkyl multi-QACs.
Ijms 22 06793 g031
Figure 32. Multi-QACs with aromatic fragments.
Figure 32. Multi-QACs with aromatic fragments.
Ijms 22 06793 g032
Figure 33. Spectrum of biologically active homogeneous poly-QACs.
Figure 33. Spectrum of biologically active homogeneous poly-QACs.
Ijms 22 06793 g033
Figure 34. Copolymer poly-QACs.
Figure 34. Copolymer poly-QACs.
Ijms 22 06793 g034
Figure 35. Examples of poly-ILs with tested antimicrobial activity. The numbers of substances correspond to those in Table 8.
Figure 35. Examples of poly-ILs with tested antimicrobial activity. The numbers of substances correspond to those in Table 8.
Ijms 22 06793 g035
Table 1. Antimicrobial activity of mono-QACs *.
Table 1. Antimicrobial activity of mono-QACs *.
Series/
Compound
StrainMIC, mg⋅L−1MBC, mg⋅L−1MethodNotesRef.
10E. faecalis ATCC 29212816Microtiter dilution [52]
S. aureus ATCC 2592324
E. coli ATCC 259226464
P. aeruginosa ATCC 27853250250
11E. faecalis ATCC 2921248Microtiter dilutionActive towards herpes simplex virus[52]
S. aureus ATCC 2592322
E. coli ATCC 25922125250
P. aeruginosa ATCC 278532501000
12E. faecalis ATCC 2921214Microtiter dilution [52]
S. aureus ATCC 25923<0.251
E. coli ATCC 25922250250
P. aeruginosa ATCC 27853500500
13E. faecalis ATCC 29212<0.258Microtiter dilution [52]
S. aureus ATCC 25923<0.254
E. coli ATCC 259221000>2000
P. aeruginosa ATCC 278531000>2000
14S. aureus ATCC 65381.05 μM Broth microdilution [54]
E. coli CNCTC 377/792.2 μM
C. albicans CCM 81861.05 μM
15S. aureus ATCC 65385.2 μM Broth microdilution [54]
E. coli CNCTC 377/7941.2 μM
C. albicans CCM 8186164.9 μM
16S. aureus ATCC 65385.4 μM Broth microdilution [53]
E. coli CNCTC 377/79144.1 μM
C. albicans CCM 81865.4 μM
17S. aureus ATCC 653875% (percent of inhibition, 250 mg⋅L−1) Broth microdilutionActive towards bacterial biofilms[55]
E. coli CNCTC 377/7980% (percent of inhibition, 250 mg⋅L−1)
18MRSA 70065 3 min (Tk)/141 μM [58]
E. coli ATCC 25922 3 min (Tk)/141 μM
multidrug-resistant (MDR) P. aeruginosa 73104 <1 min (Tk)/141 μM
wild-type P. aeruginosan PA01 3 min (Tk)/141 μM
19methicillin-resistant S. aureus (MRSA) 70065 3 min (Tk (time to kill))/141 μM [58]
E. coli ATCC 25922 3 min (Tk)/141 μM
multidrug-resistant (MDR) P. aeruginosa 73104 5 min (Tk)/141 μM
wild-type P. aeruginosan PA01 5 min (Tk)/141 μM
20S. aureus99% (reduction, contact time–5 min, 20 ppm) AATCC test [59]
E. coli100% (reduction, contact time–5 min, 20 ppm)
21S. aureus6.256.25Broth tube dilution [61]
a-H-tococcus12.512.5
b-H-tococcus1.563.125
E. coli2525
P. aeruginosa2525
P. vulgaris2525
C. albicans6.256.25
C. mandshurica1.566.25
P. piricola3.1253.125
A. niger3.1256.25
22S. aureus22.4 mm (IZ, 500 ppm) Disk diffusion [60]
B. subtilis17 mm (IZ, 500 ppm)
E. coli24.1 mm (inhibition zone, 500 ppm)
23S. aureus6.256.25Broth tube dilution [61]
a-H-tococcus6.256.25
b-H-tococcus1.561.56
E. coli12.512.5
P. aeruginosa2525
P. vulgaris12.512.5
C. albicans6.256.25
C. mandshurica3.1253.125
P. piricola1.561.56
A. niger6.256.25
24S. aureus12.525Broth tube dilution [61]
a-H-tococcus12.512.5
b-H-tococcus6.256.25
E. coli2525
P. aeruginosa5050
P. vulgaris2525
C. albicans12.512.5
C. mandshurica12.512.5
P. piricola6.256.25
A. niger12.512.5
25S. aureus ATCC 209p12.5 μM Broth microdilution [62]
B. cereus ATCC 8035401 μM
C. albicans 855-653200 μM
27S. aureus ATCC 209p6.9 μM Broth microdilution [62]
B. cereus ATCC 803528.0 μM
C. albicans 855-653222 μM
29S. aureus14.3 mm (IZ, 500 ppm) Disk diffusion [63]
30S. aureus C19470.49 μM1.22 μMBroth microdilutionActive towards varicella-zoster virus[64]
MRSA C19261.47 μM1.95 μM
Vancomycin-reristant enterococci S24841.95 μM2.93 μM
Y. bercovieri CNCTC62301.95 μM2.45 μM
A. baumannii J34742.93 μM2.93 μM
E. coli A12355.86 μM5.86 μM
K. pneumoniae C19507.81 μM7.81 μM
S. maltophilia J35525.86 μM5.86 μM
Extended-spectrum β-lactamase-producing K. pneumonie C19347.81 μM15.63 μM
C. parapsilosis sensu strictoEXF-8411100 μM
R. mucilaginosa EXF-8417100 μM
E. dermatitidis EXF-847030 μM
A. melanogenum EXF-843230 μM
B. dimerum EXF-8427500 μM
P. chrysogenum EXF-1818300 μM
A. versicolor EXF-869265 μM
32S. aureus ATCC292132 Broth microdilution [66]
S. epidermidis (clinical isolate)2
M. luteus (clinical isolate)2
E. coli ATCC25922>64
S. typhimurium TA100>64
P. aeruginosa ATCC27853>64
33S. aureus ATCC292134 Broth microdilution [66]
S. epidermidis (clinical isolate)4
M. luteus (clinical isolate)2
E. coli ATCC25922>64
S. typhimurium TA1004
P. aeruginosa ATCC27853>64
34S. aureus ATCC292130.5 Broth microdilution [66]
S. epidermidis (clinical isolate)0.5
M. luteus (clinical isolate)0.5
E. coli ATCC259222
S. typhimurium TA1000.5
P. aeruginosa ATCC27853>64
35S. aureus ATCC292130.5 Broth microdilutionNon-genotoxic and non-mutagenic[70]
S. epidermidis (clinical isolate)2
M. luteus (clinical isolate)1
E. coli ATCC259228
P. aeruginosa ATCC278538
36S. aureus ATCC 2921348Broth microdilutionActive towards bacterial, fungi and mixed biofilms[69]
B. subtilis 16848
S. epidermidis48
E. coli MG16551616
K. pneumoniae>64>64
P. aeruginosa ATCC 278536464
37S. aureus2 μM Broth microdilution [76]
E. faecalis4 μM
E. coli16 μM
P. aeruginosa63 μM
MRSA 300-01142 μM
MRSA ATCC 335922 μM
38S. aureus0.5 μM Broth microdilutionNatural derivatives[74]
MRSA 300-01142 μM
MRSA ATCC 335924 μM
E. faecalis1 μM
E. coli8 μM
P. aeruginosa8 μM
39S. aureus1 μM Broth microdilutionNatural derivatives[74]
MRSA 300-01144 μM
MRSA ATCC 335922 μM
E. faecalis1 μM
E. coli4 μM
P. aeruginosa63 μM
40S. aureus1 μM Broth microdilution [72]
MRSA 300-01144 μM
MRSA ATCC 335922 μM
E. faecalis1 μM
E. coli4 μM
P. aeruginosa63 μM
41S. aureus SH10001 μM Broth microdilution [75]
E. faecalis OG1RF16 μM
E. coli MC410016 μM
P. aeruginosa PAO1-WT16 μM
* IZ, inhibition zone; Tk, time to kill; MIC, minimum inhibitory concentration; MBC, minimum bactericidal concentration; MRSA, methicillin-resistant S. aureus; only leader compounds from the series are listed in the table.
Table 2. Antimicrobial activity of common ILs *.
Table 2. Antimicrobial activity of common ILs *.
ILAcronymSpeciesMIC, μg mL−1MBC, μg mL−1MethodNotesRef.
1-Ethyl-3-methylimidazolium bromide[C2Mim][Br]E. coli ATCC 25922>5000 µM Broth microdilutionE. coli TEM CTX M9, CTX M2, and AmpC MOX2 are ampicillin-resistant strains.[82]
E. coli TEM CTX M95000 µM
E. coli CTX M2>5000 µM
E. coli AmpC MOX2>5000 µM
K. pneumoniae (clinical isolate)>5000 µM
S. aureus ATCC 2529350 µM
S. epidermidis (clinical isolate)5000 µM
E. faecalis (clinical isolate)>5000 µM
1-Butyl-3-methylimidazolium bis(trifluoromethanesulfonyl)imide[C4Mim][NTf2]P. aeruginosa PTCC 131031203120Agar disk diffusion/agar well diffusionAnti-adhesive activity a[94]
S. aureus PTCC 111231203120
E. coli PTCC 1338<4048
B. cereus PTCC 101531203120
S. typhimurium (wild type)390390
K. pneumonia PTCC 129031203120
B. subtilis PTCC 171531203120
1-Octyl-3-methylimidazolium bromide[C8Mim][Br]M. luteus ATCC 9341R Broth microdilutionR, resistant at the highest concentration
tested (256 μg mL−1).
[81,87]
S. epidermidis ATCC155-1930 μM
S. aureus ATCC 25178R
S. aureus 209 KCTC191664
S. aureus R209 KCTC1928250
E. coli ATCC 27325R
E. coli KCTC192464
K. pneumonia ATCC 9721R
P. aeruginosa ATCC 9721R
C. albicans ATCC10231R
C. albicans KCTC19401250
B. subtilis ATCC663R
B. subtilis KCTC1914500
S. typhimurium KCTC1926500
C. regularis500
1-Octyl-3-methylimidazolium nitrate[C8Mim][NO3]S. aureus9797Agar disk diffusion/agar well diffusionAnti-adhesive activity a[95]
K. pneumoniae780780
S. typhimurium780780
P. aeruginosa15601560
E. coli3939
B. tequilensis1919
B. subtilis1919
1-Decyl-3-methylimidazolium chloride[C10Mim][Cl]S. aureus ATCC 2921340 μM (MBEC 2415 μM)643 μMBroth microdilution, MBEC assayDeletions ΔrfaC, ΔrfaL, and ΔrfaG affect the cell surface hydrophobicity and membrane permeability.[81,85,86]
E-MRSA 1540 μM (MBEC 1207 μM)321 μM
MRSA (clinical strain 201)160 μM (MBEC 4829 μM)643 μM
S. aureus 209 KCTC191616
S. aureus R209 KCTC192832
S. epidermidis ATCC 1222840 μM644 μM
S. epidermidis ATCC 3598440 μM (MBEC 4829 μM)160 μM
E. coli NCTC 8196321 μM (MBEC 9659 μM)1287 μM
E. coli KCTC19248
E. coli BW25113 (wild-type)188.9
E. coli JW3596 (ΔrfaC)100
E. coli JW3597 (ΔrfaL)155
E. coli JW3606 (ΔrfaG)67.5
P. aeruginosa PA01>1287 μM (MBEC 2415 μM)>1287 μM
K. aerogenes NCTC 7427643 μM (MBEC 19318 μM)1287 μM
B. cenocepacia J23151287 μM (MBEC 19318 μM)1287 μM
P. mirabilis NCTC 124421287 μM (MBEC 9659 μM)1287 μM
C. tropicalis NCTC 7393321 μM (MBEC 19318 μM)321 μM
B. subtilis KCTC1914125
S. typhimurium KCTC1926125
C. albicans KCTC19401250
C. regularis250
1-Decyl-3-methylimidazolium bromide[C10Mim][Br]M. luteus ATCC 9341R Broth microdilutionR, resistant at the highest concentration
tested (256 μg mL−1).
[87]
S. epidermidis ATCC155-1844 μM
S. aureus ATCC 25178106 μM
E. coli ATCC 27325R
K. pneumonia ATCC 9721R
P. aeruginosa ATCC 9721R
C. albicans ATCC10231R
B. subtilis ATCC6633422 μM
1-Dodecyl-3-methylimidazolium chloride[C12Mim][Cl]S. aureus ATCC 2921318 μM (MBEC 272 μM)36 μMBroth microdilution, MBEC assayDeletions ΔrfaC, ΔrfaL, and ΔrfaG affect the cell surface hydrophobicity and membrane permeability.[85,86]
E-MRSA 1518 μM (MBEC 272 μM)73 μM
MRSA (clinical strain 201)36 μM (MBEC 545 μM)290 μM
S. epidermidis ATCC 1222836 μM145 μM
S. epidermidis ATCC 3598436 μM (MBEC 272 μM)73 μM
E. coli NCTC 819673 μM (MBEC 1089 μM)73 μM
E. coli BW25113 (wild-type)47.3
E. coli JW3596 (ΔrfaC)10.1
E. coli JW3597 (ΔrfaL)45.4
E. coli JW3606 (ΔrfaG)11.4
P. aeruginosa PA01580 μM (MBEC 1089 μM)1161 μM
K. aerogenes NCTC 742773 μM (MBEC 2179 μM)145 μM
B. cenocepacia J2315290 μM (MBEC 2179 μM)580 μM
P. mirabilis NCTC 12442580 μM (MBEC 4357 μM)1161 μM
C. tropicalis NCTC 739373 μM (MBEC 8714 μM)73 μM
1-Dodecyl-3-methylimidazolium bromide[C12Mim][Br]M. luteus ATCC 9341R Broth microdilutionR, resistant at the highest concentration
tested (256 μg mL−1).
[81,87,90,91]
S. epidermidis ATCC155-1193 μM
S. epidermidis ATCC 359842.5
S. aureus ATCC 2517897 μM
S. aureus ATCC 65382.540
S. aureus 209 KCTC19164
S. aureus R209 KCTC19288
E. coli ATCC 27325386 μM
E. coli ATCC 259222010
E. coli KCTC19248
K. pneumonia ATCC 9721773 μM
K. pneumonia ATCC BAA-170580
P. aeruginosa ATCC 9721R
P. aeruginosa ATCC 2785316020
C. albicans ATCC10231R
B. subtilis ATCC663348 μM
B. subtilis KCTC19148
S. typhimurium KCTC192632
A. baumannii AB0180
E. faecalis ATCC 29212540
C. albicans KCTC1940132
C. regularis16
1-Dodecyl-3-methylimidazolium iodide[C12Mim][I]S. aureus V3290.31 μM5 μMBroth microdilutionPotent anti-biofilm activity (higher against S. aureus)[98]
P. aeruginosa PAO1125 μM250 μM
1-Tetradecyl-3-methylimidazolim chloride[C14Mim][Cl]S. aureus ATCC 2921316 μM (MBEC 124 μM)66 μMBroth microdilution, MBEC assayDeletions ΔrfaC, ΔrfaL, and ΔrfaG affect the cell surface hydrophobicity and membrane permeability.[81,85,86]
E-MRSA 1516 μM (MBEC 248 μM)66 μM
MRSA (clinical strain 201)16 μM (MBEC 124 μM)66 μM
S. aureus 209 KCTC19164
S. aureus R209 KCTC19284
S. epidermidis ATCC 122287.75 μM33 μM
S. epidermidis ATCC 359847.75 μM (MBEC 124 μM)33 μM
E. coli NCTC 819633 μM (MBEC 124 μM)33 μM
E. coli KCTC19244
E. coli BW25113 (wild-type)14.9
E. coli JW3596 (ΔrfaC)2.2
E. coli JW3597 (ΔrfaL)15.5
E. coli JW3606 (ΔrfaG)3.3
P. aeruginosa PA01264 μM (MBEC 496 μM)264 μM
K. aerogenes NCTC 742733 μM (MBEC 248 μM)66 μM
B. cenocepacia J2315132 μM (MBEC 496 μM)264 μM
P. mirabilis NCTC 12442264 μM (MBEC 1984 μM)530 μM
C. tropicalis NCTC 739366 μM (MBEC 248 μM)132 μM
B. subtilis KCTC19144
S. typhimurium KCTC19268
C. albicans KCTC194018
C. regularis8
1-Tetradecyl-3-methylimidazolim bromide[C14Mim][Br]M. luteus ATCC 9341178 μM Broth microdilution [81,87]
S. epidermidis ATCC155-16 μM
S. aureus ATCC 2517845 μM
S. aureus 209 KCTC19164
S. aureus R209 KCTC19284
E. coli ATCC 27325356 μM
E. coli KCTC19244
K. pneumonia ATCC 9721356 μM
P. aeruginosa ATCC 9721356 μM
C. albicans ATCC10231178 μM
B. subtilis ATCC66336 μM
B. subtilis KCTC19144
S. typhimurium KCTC19268
C. albicans KCTC194018
C. regularis16
1-Hexadecyl-3-methylimidazolim chloride[C16Mim][Cl]E. coli BW25113 (wild-type)7.7 Broth microdilutionThe clinical isolates 72A, 72P, and 94P are resistant to fluconazole, amphotericin B, voriconazole and anidulafungin.
Deletions ΔrfaC, ΔrfaL, and ΔrfaG affect the cell surface hydrophobicity and membrane permeability.
[86,88]
E. coli JW3596 (ΔrfaC)3.5
E. coli JW3597 (ΔrfaL)8.2
E. coli JW3606 (ΔrfaG)3
C. tropicalis 17A0.014 (MBEC 0.028)
C. tropicalis 57A0.014 (MBEC 0.056)
C. tropicalis 72A0.014 (MBEC 0.056)
C. tropicalis 72P0.014 (MBEC 0.056)
C. tropicalis 94P0.014 (MBEC 0.225)
C. tropicalis 102A0.014 (MBEC 0.056)
1-Hexadecyl-3-methylimidazolim bromide[C16Mim][Br]S. aureus 209 KCTC19168 Broth microdilution [81,97]
S. aureus R209 KCTC19284
S. aureus ATCC 653815 µM
E. coli KCTC19248
E. coli O157:H7 ATCC 4389510 µM
B. subtilis KCTC19144
S. typhimurium KCTC19264
E. faecium ATCC 494741 µM
K. pneumonia ATCC 435215 µM
C. albicans KCTC194018
C. regularis8
1-Hexyl-2,3-dimethylimidazolium bromide[C6MMim][Br]S. aureus ATCC 653823 µM Broth microdilution [97]
E. coli O157:H7 ATCC 4389512 µM
E. faecium ATCC 494749 µM
K. pneumonia ATCC 435215 µM
N-Dodecylpyridinium bromide[C12Py][Br]M. luteus ATCC 9341R Broth microdilutionR, resistant at the highest concentration
tested (256 μg mL−1).
[87]
S. epidermidis ATCC155-149 μM
S. aureus ATCC 25178195 μM
E. coli ATCC 2732597 μM
K. pneumonia ATCC 9721780 μM
P. aeruginosa ATCC 9721780 μM
C. albicans ATCC10231R
B. subtilis ATCC663324 μM
N-Tetradecylpyridinium bromide[C14Py][Br]M. luteus ATCC 934190 μM Broth microdilution [87]
S. epidermidis ATCC155-16 μM
S. aureus ATCC 2517822 μM
E. coli ATCC 2732545 μM
K. pneumonia ATCC 9721359 μM
P. aeruginosa ATCC 9721359 μM
C. albicans ATCC10231359 μM
B. subtilis ATCC66336 μM
N-Hexadecylpyridinium chloride[C16Py][Cl]E. coli ATCC 25922500 μM Broth microdilutionE. coli TEM CTX M9, CTX M2, and AmpC MOX2 are ampicillin-resistant strains.[81,82]
E. coli TEM CTX M9500 μM
E. coli CTX M2>5000 μM
E. coli AmpC MOX2>5000 μM
K. pneumoniae (clinical isolate)2500 μM
S. aureus ATCC 25293500 μM
S. aureus 209 KCTC19168
S. aureus R209 KCTC19288
S. epidermidis (clinical isolate)2500 μM
E. faecalis (clinical isolate)500 μM
B. subtilis KCTC19148
N-Hexadecylpyridinium bromide[C16Py][Br]S. aureus ATCC 653815 μM Broth microdilution [97]
E. coli O157:H7 ATCC 4389513 μM
E. faecium ATCC 494742 μM
K. pneumonia ATCC 435213 μM
N-Dodecyl-N-methylpyrrolidinium bromide[C12C1Pyr][Br]S. epidermidis ATCC 3598410 Broth microdilution [89,90,91]
S. aureus15 µM
S. aureus ATCC 65381080
E. coli20 µM
E. coli ATCC 259228020
P. aeruginosa ATCC 2785332080
K. pneumonia ATCC BAA-1705160
A. baumannii AB0180
E. faecalis ATCC 292122040
N-Dodecyl-N-hydroxyethylpyrrolidinium chloride[C12HOC2Pyr][Cl]E. coli KCTC19248 Broth microdilution [81]
S. typhimurium KCTC192616
B. subtilis KCTC19144
C. regularis8
N-Dodecyl-N-methylpiperidinium bromide[C12C1Pip][Br]S. epidermidis ATCC 359845 Broth microdilution [90,91]
S. aureus ATCC 6538580
E. coli ATCC 259224020
P. aeruginosa ATCC 2785332080
K. pneumonia ATCC BAA-1705160
A. baumannii AB01320
E. faecalis ATCC 292121040
N-Dodecyl-N-methylmorpholinium bromide[C12C1Mor][Br]S. epidermidis ATCC 3598420 Broth microdilution [90]
S. aureus ATCC 653820
E. coli ATCC 25922156.2
P. aeruginosa ATCC 27853312.5
E. faecalis ATCC 2921240
Dioctyldimethylammonium chloride[C8,8,1,1N][Cl]E. coli BW25113 (wild-type)104.2 Broth microdilutionDeletions ΔrfaC, ΔrfaL, and ΔrfaG affect the cell surface hydrophobicity and membrane permeability.[86]
E. coli JW3596 (ΔrfaC)20.8
E. coli JW3597 (ΔrfaL)91.7
E. coli JW3606 (ΔrfaG)22.9
Trioctylmethylammonium chloride[C8,8,8,1N][Cl]E. coli BW25113 (wild-type)6.8 Broth microdilutionDeletions ΔrfaC, ΔrfaL, and ΔrfaG affect the cell surface hydrophobicity and membrane permeability.[86]
E. coli JW3596 (ΔrfaC)1.7
E. coli JW3597 (ΔrfaL)6.9
E. coli JW3606 (ΔrfaG)2.5
Trimethyldecylammonium chloride[C1,1,1,10N][Cl]E. coli BW25113 (wild-type)119.4 Broth microdilutionDeletions ΔrfaC, ΔrfaL, and ΔrfaG affect the cell surface hydrophobicity and membrane permeability.[86]
E. coli JW3596 (ΔrfaC)83
E. coli JW3597 (ΔrfaL)130
E. coli JW3606 (ΔrfaG)80
Trimethylhexadecylammonium chloride[C1,1,1,16N][Cl]E. coli BW25113 (wild-type)13.1 Broth microdilutionDeletions ΔrfaC, ΔrfaL, and ΔrfaG affect the cell surface hydrophobicity and membrane permeability.[86]
E. coli JW3596 (ΔrfaC)2.8
E. coli JW3597 (ΔrfaL)13
E. coli JW3606 (ΔrfaG)3.3
Trimethylhexadecylammonium bromide (cetyltrimethylammonium bromide)[C1,1,1,16N][Br] (CTAB)S. aureus V3290.31 μM5 μMBroth microdilutionPotent anti-biofilm activity against S. aureus[98]
P. aeruginosa PAO1125 μM250 μM
Dimethyldodecyl(2-hydroxyethyl)ammonium bromide[HOC2C1,1,12N][Br]B. subtilis ATCC 663315.62 Broth microdilution [92]
M. smegmatis ATCC 60715.62
K. pneumonia ATCC 9997N.T.
E. faecalis ATCC 29212N.T.
VRE ATCC 5129962.5
S. aureus31.25
MRSA CIP 10676062.5
E. coli ATCC 2592262.5
P. aeruginosa ATCC 27853250
C. albicans ATCC 1023162.5
S. cerevisiae ATCC 26017.81
Dimethyltetradecyl(2-hydroxyethyl)ammonium bromide[HOC2C1,1,14N][Br]B. subtilis ATCC 66330.98 Broth microdilution [92]
M. smegmatis ATCC 6071.95
K. pneumonia ATCC 99977.82
E. faecalis ATCC 292121.95
VRE ATCC 512991.95
S. aureus7.81
MRSA CIP 10676015.62
E. coli ATCC 2592215.62
P. aeruginosa ATCC 27853125
C. albicans ATCC 1023131.25
S. cerevisiae ATCC 26011.95
Dimethylhexadecyl(2-hydroxyethyl)ammonium bromide[HOC2C1,1,16N][Br]B. subtilis ATCC 6633<0.49 Broth microdilution [92]
M. smegmatis ATCC 6073.91
K. pneumonia ATCC 99970.98
E. faecalis ATCC 292120.98
VRE ATCC 512990.98
S. aureus1.95
MRSA CIP 1067603.91
E. coli ATCC 259227.81
P. aeruginosa ATCC 27853250
C. albicans ATCC 102313.91
S. cerevisiae ATCC 26011.95
Dimethyloctadecyl(2-hydroxyethyl)ammonium bromide[HOC2C1,1,18N][Br]B. subtilis ATCC 66331.95 Broth microdilution [92]
M. smegmatis ATCC 6073.91
K. pneumonia ATCC 99971.95
E. faecalis ATCC 292121.95
VRE ATCC 512990.98
S. aureus1.95
MRSA CIP 1067600.98
E. coli ATCC 2592231.25
P. aeruginosa ATCC 27853125
C. albicans ATCC 10231<0.48
S. cerevisiae ATCC 2601<0.48
Di(2-hydroxyethyl)tetradecylammonium bromide[(HOC2)2C14NH][Br]B. subtilis ATCC 66337.81 Broth microdilution [92]
M. smegmatis ATCC 60715.62
K. pneumonia ATCC 99977.81
E. faecalis ATCC 2921215.62
VRE ATCC 512997.81
S. aureus15.62
MRSA CIP 10676015.62
E. coli ATCC 2592231.25
P. aeruginosa ATCC 27853N.T.
C. albicans ATCC 1023115.62
S. cerevisiae ATCC 2601N.T.
Di(2-hydroxyethyl)decylmethylammonium bromide[(HOC2)2C10,1N][Br]B. subtilis ATCC 6633250 Broth microdilution [92]
M. smegmatis ATCC 60762.5
K. pneumonia ATCC 9997N.A.
E. faecalis ATCC 29212N.A.
VRE ATCC 51299N.A.
S. aureusN.A.
MRSA CIP 106760N.A.
E. coli ATCC 25922N.A.
P. aeruginosa ATCC 27853N.A.
C. albicans ATCC 10231N.T.
S. cerevisiae ATCC 2601N.T.
Di(2-hydroxyethyl)dodecylmethylammonium bromide[(HOC2)2C12,1N][Br]B. subtilis ATCC 663331.25 Broth microdilution [92]
M. smegmatis ATCC 607<7.82
K. pneumonia ATCC 999762.5
E. faecalis ATCC 2921262.25
VRE ATCC 5129962.5
S. aureus31.25
MRSA CIP 10676062.5
E. coli ATCC 25922125
P. aeruginosa ATCC 27853250
C. albicans ATCC 10231250
S. cerevisiae ATCC 260131.25
Di(2-hydroxyethyl)tetradecylmethylammonium bromide[(HOC2)2C14,1N][Br]B. subtilis ATCC 66331.95 Broth microdilution [92]
M. smegmatis ATCC 6071.95
K. pneumonia ATCC 99977.82
E. faecalis ATCC 29212N.T.
VRE ATCC 51299N.T.
S. aureus3.91
MRSA CIP 1067601.95
E. coli ATCC 2592215.62
P. aeruginosa ATCC 2785362.5
C. albicans ATCC 1023131.25
S. cerevisiae ATCC 26011.95
Trioctylmethylphosphonium chloride[C8,8,8,1P][Cl]E. coli BW25113 (wild-type)6.8 Broth microdilutionDeletions ΔrfaC, ΔrfaL, and ΔrfaG affect the cell surface hydrophobicity and membrane permeability.[86]
E. coli JW3596 (ΔrfaC)2.2
E. coli JW3597 (ΔrfaL)5.6
E. coli JW3606 (ΔrfaG)2.8
Trihexyltetradecylphosphonium chloride[C6,6,6,14P][Cl]L. monocytogenes ATCC139325.7 Broth microdilution [96]
B. cereus ATCC 117789.77
S. aureus ATCC 65388.14
E. faecalis ATCC 1943311.39
L. sakei ATCC 155218.14
L. lactis ATCC 194358.14
S. typhimurium ATCC 14028625
E. coli ATCC 259225000
C. freundii ATCC 278535000
Gentamycin S. typhimurium ATCC 140280.25 Broth microdilution [81]
E. coli ATCC 259220.25
C. freundii ATCC 278531
B. subtilis KCTC19141
S. typhimurium KCTC19260.5
Kanamycin S. aureus 209 KCTC19162 Broth microdilution [81]
S. aureus R209 KCTC19281
E. coli KCTC192416
B. subtilis KCTC19142
S. typhimurium KCTC19261
Fuconazole C. tropicalis 17A0.125 (MBEC 4) Broth microdilutionThe clinical isolates 72A, 72P, and 94P are resistant to fluconazole, amphotericin B, voriconazole and anidulafungin.[88]
C. tropicalis 57A0.125 (MBEC 64)
C. tropicalis 72A128 (MBEC 8)
C. tropicalis 72P128 (MBEC 128)
C. tropicalis 94P64 (MBEC 32)
C. tropicalis 102A0.125 (MBEC 128)
Colistin E. coli ATCC 259222 Broth microdilution [91]
P. aeruginosa ATCC 278531
K. pneumonia ATCC BAA-17052
A. baumannii AB014
Vancomycin B. subtilis ATCC 6633<0.48 Broth microdilution [92]
K. pneumonia ATCC 999715.62
E. faecalis ATCC 292121.95
VRE ATCC 512993.91
S. aureus7.82
MRSA CIP 1067603.91
Rifampicin M. smegmatis ATCC 607<0.48 Broth microdilution [92]
E. coli ATCC 259220.98
Norfloxacin P. aeruginosa ATCC 27853<0.48 Broth microdilution [92]
Amphotericin B C. albicans ATCC 10231<0.48 Broth microdilution [92]
S. cerevisiae ATCC 2601<0.48
* IZ, inhibition zone; MIC, minimum inhibitory concentration; MBC, minimum bactericidal concentration; MBEC, minimum biofilm eradication concentration; MRSA, methicillin-resistant S. aureus; N.A., not active; N.T., not tested; VRE, vancomycin-resistant E. faecalis. a Anti-adhesive activity varies depending on the species.
Table 3. Antimicrobial activity of API-ILs *.
Table 3. Antimicrobial activity of API-ILs *.
ILAcronymSpeciesIZ, mmMIC μg mL−1MBC, μg mL−1MethodNotesRef.
1-Ethyl-3-methylimidazolium nalidixate[C2Mim][Nal]E. coli BW25113 (wild-type)11 Disk diffusion test, 10 µg per diskDeletions ΔrfaC, ΔrfaL, and ΔrfaG affect the cell surface hydrophobicity and membrane permeability.[86]
E. coli JW3596 (ΔrfaC)20
E. coli JW3597 (ΔrfaL)11
E. coli JW3606 (ΔrfaG)18
1-Hexadecyl-3-methylimidazolium ampicillinate[C16Mim][Amp]S. aureus ATCC 6538 30 µM Broth microdilution [97]
E. coli O157:H7 ATCC 43895 9 µM
E. faecium ATCC 49474 13 µM
K. pneumonia ATCC 4352 15 µM
1-Hexadecyl-2,3-dimethylimidazolium ampicillinate[C16MMim][Amp]S. aureus ATCC 6538 14 µM Broth microdilution [97]
E. coli O157:H7 ATCC 43895 9 µM
E. faecium ATCC 49474 0.4 µM
K. pneumonia ATCC 4352 15 µM
1-Hexadecylpyridinium ampicillinate[C16Py][Amp]S. aureus ATCC 6538 8 µM Broth microdilutionE. coli TEM CTX M9, CTX M2, and AmpC MOX2 are ampicillin-resistant strains.[82,97]
S. aureus ATCC 25293 5 µM
S. epidermidis (clinical isolate) 5 µM
E. coli O157:H7 ATCC 43895 6 µM
E. coli ATCC 25922 500 µM
E. coli TEM CTX M9 5 µM
E. coli CTX M2 50 µM
E. coli AmpC MOX2 >5000 µM
E. faecium ATCC 49474 0.4 µM
E. faecalis (clinical isolate) 5 µM
K. pneumonia ATCC 4352 9 µM
K. pneumoniae (clinical isolate) 50 µM
N-Ethyl-N-methylpiperidinium nalidixate[C2C1Pip][Nal]E. coli BW25113 (wild-type)12.9 Disk diffusion test, 10 µg per diskDeletions ΔrfaC, ΔrfaL, and ΔrfaG affect the cell surface hydrophobicity and membrane permeability.[86]
E. coli JW3596 (ΔrfaC)22.9
E. coli JW3597 (ΔrfaL)12.8
E. coli JW3606 (ΔrfaG)21
Trimethylhexadecylammonium nalidixate[C1,1,1,16N][Nal]E. coli BW25113 (wild-type)12.6 Disk diffusion test, 10 µg per diskDeletions ΔrfaC, ΔrfaL, and ΔrfaG affect the cell surface hydrophobicity and membrane permeability.[86]
E. coli JW3596 (ΔrfaC)22.7
E. coli JW3597 (ΔrfaL)12.2
E. coli JW3606 (ΔrfaG)20.2
Dioctyldimethylammonium nalidixate[C8,8,1,1N][Nal]E. coli BW25113 (wild-type)13.3 Disk diffusion test, 10 µg per diskDeletions ΔrfaC, ΔrfaL, and ΔrfaG affect the cell surface hydrophobicity and membrane permeability.[86]
E. coli JW3596 (ΔrfaC)23.3
E. coli JW3597 (ΔrfaL)13.6
E. coli JW3606 (ΔrfaG)20.3
Trioctylmethylammonium nalidixate[C8,8,8,1N][Nal]E. coli BW25113 (wild-type)11.3 Disk diffusion test, 10 µg per diskDeletions ΔrfaC, ΔrfaL, and ΔrfaG affect the cell surface hydrophobicity and membrane permeability.[86]
E. coli JW3596 (ΔrfaC)22.2
E. coli JW3597 (ΔrfaL)11
E. coli JW3606 (ΔrfaG)18.7
Tetramethylammonium nalidixate[C1,1,1,1N][Nal]E. coli BW25113 (wild-type)13.3 Disk diffusion test, 10 µg per diskDeletions ΔrfaC, ΔrfaL, and ΔrfaG affect the cell surface hydrophobicity and membrane permeability.[86]
E. coli JW3596 (ΔrfaC)22.9
E. coli JW3597 (ΔrfaL)13.4
E. coli JW3606 (ΔrfaG)20.6
Tetrabutylammonium nalidixate[C4,4,4,4N][Nal]E. coli BW25113 (wild-type)13.3 Disk diffusion test, 10 µg per diskDeletions ΔrfaC, ΔrfaL, and ΔrfaG affect the cell surface hydrophobicity and membrane permeability.[86]
E. coli JW3596 (ΔrfaC)22.7
E. coli JW3597 (ΔrfaL)13.6
E. coli JW3606 (ΔrfaG)21.3
Didecyldimethylammonium saccharinate[C10,10,1,1N][Sac]S. aureus ATCC 6538 4 ppm62.5 ppmTube dilution [99]
MRSA ATCC 43300 4 ppm31.2 ppm
E. faecium ATCC 49474 8 ppm16 ppm
E. coli ATCC25922 16 ppm16 ppm
M. luteus ATCC 9341 4 ppm31.2 ppm
S. epidermidis ATCC 12228 4 ppm16 ppm
K. pneumonia ATCC 4352 4 ppm16 ppm
C. albicans ATCC 10231 16 ppm16 ppm
R. rubra PhB 16 ppm31.2 ppm
S. mutans PCM 31 ppm62.5 ppm
Didecyldimethylammonium acesulfamate[C10,10,1,1N][Ace]S. aureus ATCC 6538 8 ppm16 ppmTube dilution [99]
MRSA ATCC 43300 4 ppm31.2 ppm
E. faecium ATCC 49474 8 ppm31.2 ppm
E. coli ATCC25922 16 ppm62.5 ppm
M. luteus ATCC 9341 8 ppm62.5 ppm
S. epidermidis ATCC 12228 4 ppm31.2 ppm
K. pneumonia ATCC 4352 4 ppm31.2 ppm
C. albicans ATCC 10231 16 ppm31.2 ppm
R. rubra PhB 16 ppm62.5 ppm
S. mutans PCM 16 ppm125 ppm
Tetrabutylphosphonium nalidixate[C4,4,4,4P][Nal]E. coli BW25113 (wild-type)13.3 Disk diffusion test, 10 µg per diskDeletions ΔrfaC, ΔrfaL, and ΔrfaG affect the cell surface hydrophobicity and membrane permeability.[86]
E. coli JW3596 (ΔrfaC)22.6
E. coli JW3597 (ΔrfaL)12.9
E. coli JW3606 (ΔrfaG)20.4
Trihexyltetradecylphosphonium ampicillinate[C6,6,6,14P][Amp]E. coli ATCC 25922 2500 µM Broth microdilutionE. coli TEM CTX M9, CTX M2, and AmpC MOX2 are ampicillin-resistant strains.[82]
E. coli TEM CTX M9 500 µM
E. coli CTX M2 500 µM
E. coli AmpC MOX2 >5000 µM
K. pneumoniae (clinical isolate) 5000 µM
S. aureus ATCC 25293 50 µM
S. epidermidis (clinical isolate) 50 µM
E. faecalis (clinical isolate) 50 µM
Benzalkonium saccharinate[BA][Sac]S. aureus ATCC 6538 4 ppm31.2 ppmTube dilution [99]
MRSA ATCC 43300 4 ppm31.2 ppm
E. faecium ATCC 49474 8 ppm16 ppm
E. coli ATCC25922 16 ppm62.5 ppm
M. luteus ATCC 9341 8 ppm62.5 ppm
S. epidermidis ATCC 12228 4 ppm31.2 ppm
K. pneumonia ATCC 4352 4 ppm62.5 ppm
C. albicans ATCC 10231 16 ppm31.2 ppm
R. rubra PhB 16 ppm62.5 ppm
S. mutans PCM 0.1 ppm0.5 ppm
Benzalkonium acesulfamate[BA][Ace]S. aureus ATCC 6538 4 ppm31.2 ppmTube dilution [99]
MRSA ATCC 43300 4 ppm31.2 ppm
E. faecium ATCC 49474 8 ppm31.2 ppm
E. coli ATCC25922 31 ppm125 ppm
M. luteus ATCC 9341 8 ppm62.5 ppm
S. epidermidis ATCC 12228 4 ppm62.5 ppm
K. pneumonia ATCC 4352 8 ppm31.2 ppm
C. albicans ATCC 10231 16 ppm31.2 ppm
R. rubra PhB 16 ppm62.5 ppm
S. mutans PCM 1 ppm16 ppm
Nalidixic acid E. coli BW25113 (wild-type)11 Disk diffusion test, 10 µg per diskDeletions ΔrfaC, ΔrfaL, and ΔrfaG affect the cell surface hydrophobicity and membrane permeability.[86]
E. coli JW3596 (ΔrfaC)20
E. coli JW3597 (ΔrfaL)11
E. coli JW3606 (ΔrfaG)18
Ampicillin sodium salt S. aureus ATCC 6538 27 µM Broth microdilutionE. coli TEM CTX M9, CTX M2, and AmpC MOX2 are ampicillin-resistant strains.[82,97]
S. aureus ATCC 25293 5 µM
S. epidermidis (clinical isolate) 50 µM
E. coli O157:H7 ATCC 43895 12 µM
E. coli ATCC 25922 50 µM
E. coli TEM CTX M9 >5000 µM
E. coli CTX M2 >5000 µM
E. coli AmpC MOX2 >5000 µM
E. faecium ATCC 49474 17 µM
E. faecalis (clinical isolate) 50 µM
K. pneumonia ATCC 4352 20 µM
K. pneumoniae (clinical isolate) 2500 µM
Benzalkonium chloride S. aureus ATCC 6538 2 ppm62.5 ppmTube dilution, broth microdilution [81,99]
MRSA ATCC 43300 2 ppm31.2 ppm
S. aureus 209 KCTC1916 8
S. aureus R209 KCTC1928 8
E. faecium ATCC 49474 4 ppm31.2 ppm
E. coli ATCC25922 8 ppm62.5 ppm
M. luteus ATCC 9341 4 ppm31.2 ppm
S. epidermidis ATCC 12228 2 ppm16 ppm
K. pneumonia ATCC 4352 4 ppm31.2 ppm
B. subtilis KCTC1914 8
C. albicans ATCC 10231 8 ppm16 ppm
R. rubra PhB 8 ppm31.2 ppm
S. mutans PCM 2 ppm16 ppm
Didecyldimethylammonium chloride S. aureus ATCC 6538 2 ppm31.2 ppmTube dilution [99]
MRSA ATCC 43300 2 ppm31.2 ppm
E. faecium ATCC 49474 4 ppm31.2 ppm
E. coli ATCC25922 8 ppm31.2 ppm
M. luteus ATCC 9341 2 ppm31.2 ppm
S. epidermidis ATCC 12228 2 ppm31.2 ppm
K. pneumonia ATCC 4352 4 ppm16 ppm
C. albicans ATCC 10231 8 ppm16 ppm
R. rubra PhB 4 ppm31.2 ppm
S. mutans PCM 2 ppm16 ppm
* IZ, inhibition zone; MIC, minimum inhibitory concentration; MBC, minimum bactericidal concentration; MRSA, methicillin-resistant S. aureus.
Table 4. Antimicrobial activity of Bis-QACs *.
Table 4. Antimicrobial activity of Bis-QACs *.
Series/
Compound
StrainMIC, mg⋅L−1MBC, mg⋅L−1MethodNotesRef.
42S. aureus SH10001 μM Broth microdilution [75]
E. faecalis OG1RF1 μM
E. coli MC41002 μM
P. aeruginosa PAO1-WT4 μM
43S. aureus SH10001 μM Broth microdilution [71]
E. faecalis OG1RF1 μM
E. coli MC41002 μM
P. aeruginosa PAO1-WT4 μM
44S. aureus SH1000я1 μM Broth microdilution [71]
E. faecalis OG1RF1 μM
E. coli MC41001 μM
P. aeruginosa PAO1-WT4 μM
46S. aureus Mau 29/580.4 μM Suspension micromethod [101]
E. coli 377/793.1 μM
C. albicans 45/541.5 μM
47S. aureus13 μM Broth microdilution [103]
E. coli10 μM
48S. aureus SH100022Broth microdilution [105]
E. faecalis OG1RF1818
E. coli MC41001818
P. aeruginosa PAO1-WT3737
49S. aureus SH10001010Broth microdilution [105]
E. faecalis OG1RF1818
E. coli MC41003737
P. aeruginosa PAO1-WT149149
50S. aureus SH10001010Broth microdilution [105]
E. faecalis OG1RF3030
E. coli MC41007474
P. aeruginosa PAO1-WT297297
51S. aureus SH100044Broth microdilution [105]
E. faecalis OG1RF1818
E. coli MC41003737
P. aeruginosa PAO1-WT7474
52S. aureus SH100044Broth microdilution [105]
E. faecalis OG1RF1010
E. coli MC41001818
P. aeruginosa PAO1-WT7474
53S. aureus SH10000.5 μM Broth microdilution [107]
MRSA 300-01141 μM
MRSA ATCC 335920.25 μM
E. faecalis OG1RF0.25 μM
E. coli MC41001 μM
P. aeruginosa PAO1-WT2 μM
54S. aureus ATCC 292130.5 Broth microdilutionTested in vivo with proved efficiency[106]
S. epidermidis (clinical)2
B. subtilis 1681
E. coli ATCC 259220.5
K. pneumoniae 18134
P. aeruginosa ATCC 278530.5
T. rubrum 1336 (clinical)32
A. niger F-111916
C. albicans NCTC- 885-65316
F. oxysporum KM-19 (clinical)32
55S. aureus ATCC 292134 Broth microdilution [65]
57P. aeruginosa ATCC 275836.3 μM Broth microdilution [108]
P. aeruginosa ATCC 101455.2 μM
P. aeruginosa ATCC 30801.6 μM
K. pneumoniae ATCC 43520.4 μM
K. pneumoniae ATCC 138830.8 μM
P. vulgaris ATCC 133150.4 μM
P. mirabilis NBRC 38496.3 μM
E. coli K12 W31100.8 μM
E. coli IFO 33010.2 μM
E. coli IFO 39721.3 μM
B. subtilis IFO 31340.8 μM
B. subtilis ATCC 66330.8 μM
B. cereus IFO 30010.4 μM
B. megaterium IFO 30030.3 μM
S. aureus ATCC 259230.3 μM
S. aureus IFO 127320.4 μM
A. niger IFO 63418 μM
A. niger IFO 63424 μM
A. niger IFO 44144 μM
C. globosum IFO 63478 μM
R. oryzae IFO 310052 μM
P. citrinum IFO 63528 μM
A. pullulans IFO 635316 μM
C. cladosporioides IFO 63484 μM
G. virens IFO 63558 μM
58S. aureus SH10001 μM Broth microdilution [109]
MRSA 300-01141 μM
MRSA ATCC 335922 μM
E. faecalis OG1RF8 μM
E. coli MC41008 μM
P. aeruginosa PAO1-WT8 μM
59S. aureus SH10000.25 μM Broth microdilution [109]
MRSA 300-01142 μM
MRSA ATCC 335920.5 μM
E. faecalis OG1RF4 μM
E. coli MC41002 μM
P. aeruginosa PAO1-WT8 μM
60S. aureus ATCC 2592364128Broth microdilutionSurfactant[110]
B. subtilis ATCC 66331632
E. coli ATCC 259221664
61S. aureus SH10001 μM Broth microdilutionNatural derivatives[74]
MRSA 300-01144 μM
MRSA ATCC 335922 μM
E. faecalis OG1RF2 μM
E. coli MC41004 μM
P. aeruginosa PAO1-WT32 μM
62S. aureus SH10001 μM Broth microdilutionNatural derivatives[74]
MRSA 300-01141 μM
MRSA ATCC 335921 μM
E. faecalis OG1RF2 μM
E. coli MC41002 μM
P. aeruginosa PAO1-WT8 μM
63S. aureus SH10002 μM Broth microdilution [111]
MRSA 300-01141 μM
MRSA ATCC 335922 μM
E. faecalis OG1RF4 μM
E. coli MC41001 μM
P. aeruginosa PAO1-WT4 μM
64S. aureus SH10002 μM Broth microdilution [111]
MRSA 300-01142 μM
MRSA ATCC 335922 μM
E. faecalis OG1RF4 μM
E. coli MC41002 μM
P. aeruginosa PAO1-WT4 μM
65S. aureus SH10000.5 μM Broth microdilution [112]
MRSA 300-01140.5 μM
E. coli MC41001 μM
P. aeruginosa PAO1-WT2 μM
66S. aureus SH10000.5 μM Broth microdilution [72]
MRSA 300-01140.5 μM
MRSA ATCC 335920.5 μM
67S. aureus ATCC 2921316 Broth microdilution [113]
E. faecalis ATCC 2921264
E. coli ATCC 25922128
P. aeruginosa ATCC 27853256
68S. aureus ATCC 292130.25 Broth microdilution [113]
MRSA (mecA)0.5
E. faecalis ATCC 292120.5
Vancomycin-resistant E. faecalis (vanA)0.5
E. coli ATCC 259220.5
Extended-spectrum b-lactamase-producing E. coli1
P. aeruginosa ATCC 278534
P. aeruginosa resistant, efflux pump8
69S. aureus ATCC 292130.5 Broth microdilution [113]
MRSA (mecA)0.5
E. faecalis ATCC 292120.5
Vancomycin-resistant E. faecalis (vanA)0.5
E. coli ATCC 259220.5
Extended-spectrum b-lactamase-producing E. coli1
P. aeruginosa ATCC 278532
P. aeruginosa resistant, efflux pump2
70P. aeruginosa ATCC 27853 17 μM Broth microdilution [114]
K. pneumoniae ATCC 43522.1 μM
P. mirabilis NBRC 38493.1 μM
E. coli IFO 127131.6 μM
S. marcescens ATCC 138803.1 μM
M. luteus IFO 127080.65 μM
B. subtilis ATCC 66330.91 μM
B. cereus IFO 30011.6 μM
S. aureus IFO 127320.23 μM
MRSA COL 11.6 μM
71P. aeruginosa ATCC 27853 13 μM Broth microdilution [114]
K. pneumoniae ATCC 43521.6 μM
P. mirabilis NBRC 38495.2 μM
E. coli IFO 127131.6 μM
S. marcescens ATCC 138806.3 μM
M. luteus IFO 127080.78 μM
B. subtilis ATCC 66331.0 μM
B. cereus IFO 30011.3 μM
S. aureus IFO 127320.33 μM
MRSA COL 11.3 μM
72S. aureus ATCC 259234 Broth microdilution [115]
MRSA ATCC 335914
E. faecalis ATCC 12991
E. coli ATCC 259222
P. aeruginosa ATCC 278534
K. pneumoniae ATCC 1388316
A. flavus15.63
C. albicans 641243.91
C. albicans MYA28763.91
C. neoformans3.9
R. pilimanae2.0
73S. aureus SH10002 μM Broth microdilution [117]
E. faecalis OG1RF2 μM
E. coli MC41002 μM
P. aeruginosa PAO1-WT16 μM
74S. aureus SH10000.5 μM Broth microdilution [117]
E. faecalis OG1RF0.5 μM
E. coli MC41000.5 μM
P. aeruginosa PAO1-WT1 μM
75S. aureus SH10000.5 μM Broth microdilution [117]
E. faecalis OG1RF1 μM
E. coli MC41001 μM
P. aeruginosa PAO1-WT2 μM
76S. aureus SH10001 μM Broth microdilution [118]
MRSA 300-01141 μM
MRSA ATCC 335921 μM
E. faecalis OG1RF4 μM
E. coli MC41001 μM
P. aeruginosa PAO1-WT4 μM
77S. aureus SH10001 μM Broth microdilution [118]
MRSA 300-01140.5 μM
MRSA ATCC 335922 μM
E. faecalis OG1RF2 μM
E. coli MC41001 μM
P. aeruginosa PAO1-WT2 μM
78S. aureus SH100016 μM Broth microdilution [118]
MRSA 300-011432 μM
MRSA ATCC 3359216 μM
E. faecalis OG1RF63 μM
E. coli MC410032 μM
P. aeruginosa PAO1-WT63 μM
79MRSA ATCC 433000.25 Broth microdilution [119]
E. coli ATCC 259224
K. pneumoniae ATCC 70060316
A. baumannii ATCC 196064
P. aeruginosa ATCC 278538
C. albicans ATCC 900280.25
C. neoformans ATCC 2088210.25
80MRSA ATCC 433000.25 Broth microdilution [122,126]
E. coli ATCC 259221
K. pneumoniae ATCC 7006038
A. baumannii ATCC 196062
P. aeruginosa ATCC 278534
C. albicans ATCC 900280.25
C. neoformans ATCC 2088210.25
81MRSA ATCC 433000.25 Broth microdilution [123,126]
E. coli ATCC 259220.25
K. pneumoniae ATCC 7006030.25
A. baumannii ATCC 196060.25
P. aeruginosa ATCC 278530.25
C. albicans ATCC 900280.25
C. neoformans ATCC 2088214
82MRSA ATCC 433000.25 Broth microdilution [124]
E. coli ATCC 259220.25
K. pneumoniae ATCC 70060316
A. baumannii ATCC 196060.25
P. aeruginosa ATCC 278530.25
C. albicans ATCC 900280.25
C. neoformans ATCC 2088210.25
83MRSA ATCC 433000.25 Broth microdilution [125]
E. coli ATCC 259220.25
K. pneumoniae ATCC 7006030.25
A. baumannii ATCC 196068
P. aeruginosa ATCC 278530.25
C. albicans ATCC 900280.25
C. neoformans ATCC 2088210.25
84P. aeruginosa ATCC 27583 6.3 μMBroth microdilution [127]
K. pneumoniae ATCC 13883 3.1 μM
P. mirabilis IFO 3849 6.3 μM
E. coli K12 W3110 3.1 μM
M. luteus IFO 12708 0.78 μM
B. cereus IFO 3001 3.1 μM
S. aureus IFO 12732 0.39 μM
MRSA IID 1677 3.1 μM
P. funiculosam IFO 63451.6 μM
C. globosum IFO 63473.1 μM
A. pullulans IFO 63536.3 μM
R. stolonifera IFO 478125 μM
A. terreus IFO 634625 μM
A. niger IFO 634212.5 μM
85E. coli2.7 Broth microdilution [134]
86P. aeruginosa ATCC 27583 13 μMBroth microdilution [127]
K. pneumoniae ATCC 13883 1.6 μM
P. mirabilis IFO 3849 13 μM
E. coli K12 W3110 6.3 μM
M. luteus IFO 12708 0.39 μM
B. cereus IFO 3001 1.6 μM
S. aureus IFO 12732 0.39 μM
MRSA IID 1677 6.3 μM
P. funiculosam IFO 63451.6 μM
C. globosum IFO 63470.78 μM
A. pullulans IFO 63536.3 μM
R. stolonifera IFO 478125 μM
A. terreus IFO 634612.5 μM
A. niger IFO 63426.3 μM
87P. aeruginosa ATCC 27583 25 μMBroth microdilution [132]
K. pneumoniae ATCC 13883 1.6 μM
P. mirabilis IFO 3849 13 μM
E. coli K12 W3110 6.3 μM
M. luteus IFO 12708 0.78 μM
B. cereus IFO 3001 3.1 μM
S. aureus IFO 12732 0.39 μM
MRSA IID 1677 6.3 μM
P. funiculosum IFO 63450.78 μM
C. globosum IFO 63470.78 μM
A. pullulans IFO 63533.1 μM
R. stolonifera IFO 47816.3 μM
A. terreus IFO 63461.6 μM
A. niger IFO 63426.3 μM
88P. aeruginosa ATCC 275836.3 μM Broth microdilution [129]
P. aeruginosa ATCC 101458.3 μM
K. pneumoniae ATCC 43521.0 μM
P. rettgeri NIH 962.1 μM
P. mirabilis IFO 384925 μM
E. coli IFO 127131.8 μM
S. enteritidis IFO 33131.3 μM
B. subtilis IFO 31340.57 μM
B. subtilis ATCC 66331.0 μM
B. cereus IFO 30013.1 μM
S. aureus IFO 127320.46 μM
MRSA IID 16771.1 μM
M. luteus IFO 127080.26 μM
A. niger IFO 634225 μM
A. niger TSY 001313 μM
A. pullulans IFO 63533.1 μM
P. citrinum IFO 634525 μM
P. funiculosum IFO 63458.3 μM
R. oryzae IFO 3100513 μM
T. viride IFO 3049825 μM
C. albicans IFO 106129 μM
89C. neoformans ATCC 901121.3 μM Broth microdilution [133]
C. albicans ATCC 102311.3 μM
A. fumigatus ATCC 20430588 μM
90E. coli ATCC 25922818Broth microdilution [120]
P. aeruginosa ATCC 6538328.3
S. aureus ATCC 2785302.38.3
A. baumannii JCM 684111
B. cepacia JCM 596419
E. hirae ATCC 105415.3
E. faecalis ATCC 292126.7
MRSA ATCC 70069811
S. epidermidis ATCC 122285.3
C. albicans ATCC 1023113
91E. coli ATCC 259221.715Broth microdilution [120]
P. aeruginosa ATCC 6538218.3
S. aureus ATCC 2785301.733
A. baumannii JCM 684116
B. cepacia JCM 596464
E. hirae ATCC 1054116
E. faecalis ATCC 2921219
MRSA ATCC 7006988
S. epidermidis ATCC 122289.3
C. albicans ATCC 1023127
92MRSA ATCC 259232 ppm Broth microdilution [135]
E. coli ATCC 259224 pmm
P. aeruginosa ATCC 27853 16 ppm
* MIC, minimum inhibitory concentration; MBC, minimum bactericidal concentration; MRSA, methicillin-resistant S. aureus; only leader compounds from the series are listed in the table.
Table 5. Antimicrobial activity of dicationic ILs *.
Table 5. Antimicrobial activity of dicationic ILs *.
ILAcronymSpeciesIZ, mmMIC, μg mL−1MBC, μg mL−1MethodRef.
2-Methyl-3-(4-(2-methyl-5-nitro-1H-imidazolium bromide)butyl-5-nitro-1H-imidazolium bromide([NO2C1Im]-C4-[NO2C1Im])[Br]2S. aureus160.250.25Disk diffusion (100 µg per well); broth microdilution[139]
E. coli150.250.25
K. pneumoniae160.2550.255
P. aeruginosa140.2550.255
P. vulgaris150.270.27
2-Methyl-3-(4-(2-methyl-5-nitro-1H-imidazolium tetrafluoroborate)butyl-5-nitro-1H-imidazolium tetrafluoroborate([NO2C1Im]-C4-[NO2C1Im])[BF4]2S. aureus150.270.27Disk diffusion (100 µg per well); broth microdilution[139]
E. coli160.270.27
K. pneumoniae120.270.27
P. aeruginosa120.270.27
P. vulgaris140.270.27
2-Methyl-3-(4-(2-methyl-5-nitro-1H-imidazolium hexafluorophosphate)butyl-5-nitro-1H-imidazolium hexafluorophosphate([NO2C1Im]-C4-[NO2C1Im])[PF6]2S. aureus16.50.2550.255Disk diffusion (100 µg per well); broth microdilution[139]
E. coli160.2550.255
K. pneumoniae15.50.2550.255
P. aeruginosa150.270.27
P. vulgaris160.270.27
2-Methyl-3-(4-(2-methyl-5-nitro-1H-imidazolium trifluoromethanesulfonate)butyl-5-nitro-1H-imidazolium trifluoromethanesulfonate([NO2C1Im]-C4-[NO2C1Im])[TfO]2S. aureus160.270.27Disk diffusion (100 µg per well); broth microdilution[139]
E. coli140.2550.255
K. pneumoniae140.270.27
P. aeruginosa130.270.27
P. vulgaris150.270.27
Erythromycin S. aureus240.230.23Disk diffusion (30 µg per well); broth microdilution[139]
E. coli270.230.23
K. pneumoniae260.230.23
P. aeruginosa250.230.23
P. vulgaris320.230.23
Nalidixic acid S. aureus220.230.23Disk diffusion (30 µg per well); broth microdilution[139]
E. coli220.230.23
K. pneumoniae270.230.23
P. aeruginosa210.230.23
P. vulgaris240.230.23
Amikacin S. aureus190.230.23Disk diffusion (30 µg per well); broth microdilution[139]
E. coli200.230.23
K. pneumoniae190.230.23
P. aeruginosa170.230.23
P. vulgaris170.230.23
* IZ, inhibition zone; MIC, minimum inhibitory concentration; MBC, minimum bactericidal concentration.
Table 6. Antimicrobial activity of multi-QACs *.
Table 6. Antimicrobial activity of multi-QACs *.
Series/
Compound
StrainMIC, mg⋅L−1MethodNotesRef.
93S. aureus SH10001 μMBroth microdilution [71]
E. faecalis OG1RF1 μM
E. coli MC41001 μM
P. aeruginosa PAO1-WT2 μM
94S. aureus SH10000.5 μMBroth microdilution [71]
E. faecalis OG1RF1 μM
E. coli MC41001 μM
P. aeruginosa PAO1-WT4 μM
95S. aureus SH10001 μMBroth microdilution [112]
MRSA 300-01140.5 μM
MRSA ATCC 335921 μM
96S. aureus SH10001 μMBroth microdilution [72]
MRSA 300-01141 μM
E. coli MC41002 μM
P. aeruginosa PAO1-WT4 μM
96S. aureus SH10000.5 μMBroth microdilution [140]
MRSA 300-01140.5 μM
MRSA ATCC 335920.5 μM
E. faecalis OG1RF1 μM
E. coli MC41000.5 μM
P. aeruginosa PAO1-WT0.5 μM
98S. aureus SH10001 μMBroth microdilution [107]
MRSA 300-01140.5 μM
MRSA ATCC 335920.5 μM
E. faecalis OG1RF1 μM
E. coli MC41000.5 μM
P. aeruginosa PAO1-WT4 μM
99B. cereus2 μMBroth microdilution [141]
E. faecalis ATCC 292122 μM
S. agalactiae J482 μM
S. aureus ATCC 292132 μM
E. coli ATCC 259224 μM
P. aeruginosa ATCC 2785316 μM
100S. aureus SH10000.5 μMBroth microdilution [143]
E. faecalis OG1RF1 μM
E. coli MC41001 μM
P. aeruginosa PAO1-WT2 μM
MRSA 300-01140.5 μM
MRSA ATCC 335920.5 μM
101MRSA ATCC 259234Broth microdilutionThe first tetra-pyridinic salts[144]
E. coli ATCC 259224
P. aeruginosa ATCC 2785332
* MIC, minimum inhibitory concentration; MBC, minimum bactericidal concentration; MRSA, methicillin-resistant S. aureus; only leader compounds from the series are listed in the table.
Table 7. Antimicrobial activity of poly-QACs *.
Table 7. Antimicrobial activity of poly-QACs *.
Series/
Compound
StrainMIC, mg⋅L−1MBC, mg⋅L−1MethodNotesRef.
102E. coli ATCC 25922 1.56Broth microdilution [148]
S. aureus ATCC 25923 1.56
103E. coli ATCC 80990.78 Broth microdilution [149]
S. aureus ATCC 65380.91
104E. coli ATCC 80990.13 Broth microdilution [149]
S. aureus ATCC 65380.28
105E. coli ATCC 259227 Broth tube dilution [153]
S. aureus ATCC 6538 P7
C. albicans ATCC 865-6533.5
P. aeruginosa ATCC 902731
P. mirabilis 4731
K. pneumoniae ATCC 1388362
106E. coli62.562.5Broth dilution [152]
S. aureus62.562.5
107E. coli22 mm/mg (IZ) Disk diffusionPossesses anticorrosion activity[151]
S. aureus20 mm/mg (IZ)
C. albicans13 mm/mg (IZ)
P. aeruginosa24 mm/mg (IZ)
A. niger12 mm/mg (IZ)
108B. cinerea106 Radial growth techniqueEfficient against fungal spores[150]
F. oxysporum720
P. debaryanum164
109S. aureus5.3 (log reduction, 24 h contact) Plate countPrevent biofouling[155]
P. aeruginosa5.4 (log reduction, 24 h contact)
110S. aureus1.7 (log reduction, 24 h contact) Plate count[155]
P. aeruginosa1.9 (log reduction, 24 h contact)
111S. aureus6 (log reduction, 24 h contact) Plate count [154]
E. coli6 (log reduction, 24 h contact)
P. aeruginosa4.5 (log reduction, 24 h contact)
112S. aureus128 Plate count [156]
E. coli256
113S. aureus ATCC 6538P7.26 (log reduction, 1 min contact) Plate count [160]
E. coli ATCC 11228.26 (log reduction, 1 min contact)
* IZ, inhibition zone; MIC, minimum inhibitory concentration; MBC, minimum bactericidal concentration; MRSA, methicillin-resistant S. aureus; only leader compounds from the series are listed in the table.
Table 8. Antimicrobial activity of poly-ILs *.
Table 8. Antimicrobial activity of poly-ILs *.
Series/
Compound
ILSpeciesMIC, μMMBC, μMMethodNotesRef.
103Poly-(vinylbenzyl dimethylhexylammonium chloride)S. aureus ATCC 6538910 Broth microdilutionSide-chain polymer[149]
E. coli ATCC 8099780
104Poly-((N,N-dimethyl-N-(4-((trimethylammonio)methyl)benzyl)hexan-1-aminium) dibromide)S. aureus ATCC 6538280 Broth microdilutionMain-chain polymer[149]
E. coli ATCC 8099130
1143-(2-(Methacryloyloxy)ethyl)-1-hexylimidazolium bromide-based polymerE. coli ATCC 25922 3.62Shake flask testAntibacterial coating[162]
1153-(2-(Methacryloyloxy)ethyl)-1-octylimidazolium bromide-based polymerE. coli ATCC 25922 1.67Shake flask testAntibacterial coating[162]
1163-(2-(Methacryloyloxy)ethyl)-1-dodecylimidazolium bromide-based polymerE. coli ATCC 25922 <0.46Shake flask testAntibacterial coating[162]
117Poly(1-ethyl-3-vinylimidazolium bromide)S. aureus ATCC 6538110345 Broth microdilution [164]
E. coli ATCC 8099110345
118Poly(1-butyl-3-vinylimidazolium bromide)S. aureus ATCC 65382961 Broth microdilution [164]
E. coli ATCC 80995922
119Poly(1-octyl-3-vinylimidazolium bromide)S. aureus ATCC 65381491 (3.71 for NPs) Broth microdilution [164,170]
E. coli ATCC 80991192 (1.85 for NPs)
120Poly(1-decyl-3-vinylimidazolium bromide)S. aureus ATCC 65383.57 Broth microdilutionNPs[170]
E. coli ATCC 80991.84
121Poly(1-dodecyl-3-vinylimidazolium bromide)S. aureus ATCC 653861 (2.52 for NPs) Broth microdilution [164,170]
E. coli ATCC 8099122 (1.19 for NPs)
122Poly(1-hexadecyl-3-vinylimidazolium bromide)S. aureus ATCC 65383.15 Broth microdilutionNPs[170]
E. coli ATCC 80992.72
123Poly(1-ethyl-3-(1-vinylimidazolium-3-hexyl)imidazolium bromide)S. aureus ATCC 653833180 Broth microdilution [164]
E. coli ATCC 809933180
124Poly(1-butyl-3-(1-vinylimidazolium-3-hexyl)imidazolium bromide)S. aureus ATCC 6538918 Broth microdilution [164]
E. coli ATCC 80991853
125Poly(1-octyl-3-(1-vinylimidazolium-3-hexyl)imidazolium bromide)S. aureus ATCC 653881 Broth microdilution [164]
E. coli ATCC 809941
126Poly(1-dodecyl-3-(1-vinylimidazolium-3-hexyl)imidazolium bromide)S. aureus ATCC 65389 Broth microdilution [164]
E. coli ATCC 809918
127Poly-(N-Butyl-N-methylpyrrolidinonium bromide)S. aureus549 Broth microdilution [89]
E. coli2196
128Poly-(N-Hexyl-N-methylpyrrolidinonium bromide)S. aureus236 Broth microdilution [89]
E. coli548
129Poly-(N-Octyl-N-methylpyrrolidinonium bromide)S. aureus147 Broth microdilution [89]
E. coli424
130Poly-(N-Decyl-N-methylpyrrolidinonium bromide)S. aureus112 Broth microdilution [89]
E. coli224
131Poly-(N-Dodecyl-N-methylpyrrolidinonium bromide)S. aureus61 Broth microdilution [89]
E. coli90
132Poly-(1-vinylbenzyl-3-hexylimidazolium chloride)S. aureus ATCC 6538900 Broth microdilutionSide-chain polymer[149]
E. coli ATCC 8099770
133Poly-(1-vinylbenzyl-4-hexyl-1,4-diazoniabicyclo[2 .2.2]octane-1,4-diium chloride bromide)S. aureus ATCC 65381280 Broth microdilutionSide-chain polymer[149]
E. coli ATCC 80991160
134Poly-(1-hexyl-3-methylimidazolium bromide)S. aureus ATCC 6538230 Broth microdilutionMain-chain polymer[149]
E. coli ATCC 8099110
135Poly-(1-hexyl-4-methyl-1,4-diazoniabicyclo[2.2.2]octane-1,4-diium dibromide)S. aureus ATCC 6538560 Broth microdilutionMain-chain polymer[149]
E. coli ATCC 8099510
* IZ, inhibition zone; MIC, minimum inhibitory concentration; MBC, minimum bactericidal concentration; MBEC, minimum biofilm eradication concentration; MRSA, methicillin-resistant S. aureus; NPs, nanoparticles.
Publisher’s Note: MDPI stays neutral with regard to jurisdictional claims in published maps and institutional affiliations.

Share and Cite

MDPI and ACS Style

Vereshchagin, A.N.; Frolov, N.A.; Egorova, K.S.; Seitkalieva, M.M.; Ananikov, V.P. Quaternary Ammonium Compounds (QACs) and Ionic Liquids (ILs) as Biocides: From Simple Antiseptics to Tunable Antimicrobials. Int. J. Mol. Sci. 2021, 22, 6793. https://doi.org/10.3390/ijms22136793

AMA Style

Vereshchagin AN, Frolov NA, Egorova KS, Seitkalieva MM, Ananikov VP. Quaternary Ammonium Compounds (QACs) and Ionic Liquids (ILs) as Biocides: From Simple Antiseptics to Tunable Antimicrobials. International Journal of Molecular Sciences. 2021; 22(13):6793. https://doi.org/10.3390/ijms22136793

Chicago/Turabian Style

Vereshchagin, Anatoly N., Nikita A. Frolov, Ksenia S. Egorova, Marina M. Seitkalieva, and Valentine P. Ananikov. 2021. "Quaternary Ammonium Compounds (QACs) and Ionic Liquids (ILs) as Biocides: From Simple Antiseptics to Tunable Antimicrobials" International Journal of Molecular Sciences 22, no. 13: 6793. https://doi.org/10.3390/ijms22136793

APA Style

Vereshchagin, A. N., Frolov, N. A., Egorova, K. S., Seitkalieva, M. M., & Ananikov, V. P. (2021). Quaternary Ammonium Compounds (QACs) and Ionic Liquids (ILs) as Biocides: From Simple Antiseptics to Tunable Antimicrobials. International Journal of Molecular Sciences, 22(13), 6793. https://doi.org/10.3390/ijms22136793

Note that from the first issue of 2016, this journal uses article numbers instead of page numbers. See further details here.

Article Metrics

Back to TopTop