Star-Shaped Poly(furfuryl glycidyl ether)-Block-Poly(glyceryl glycerol ether) as an Efficient Agent for the Enhancement of Nifuratel Solubility and for the Formation of Injectable and Self-Healable Hydrogel Platforms for the Gynaecological Therapies
Abstract
:1. Introduction
2. Results and Discussion
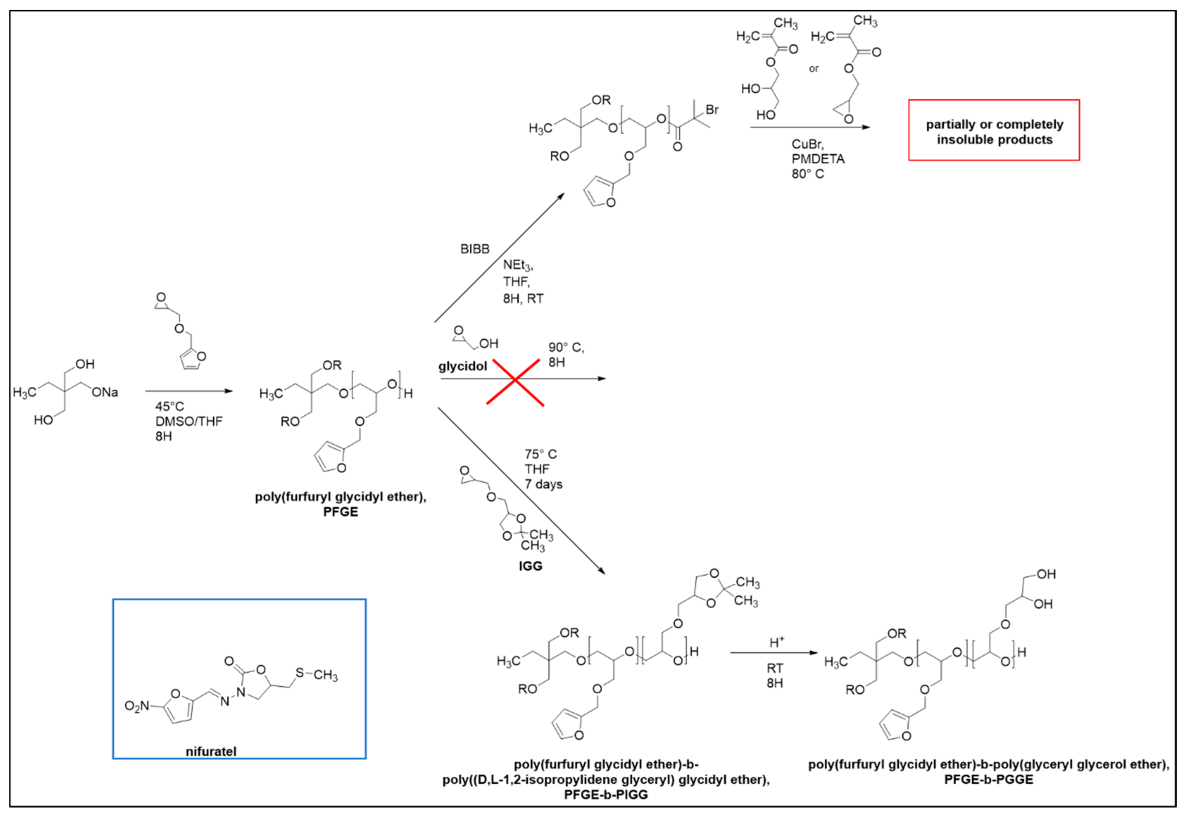
2.1. Synthesis of Star-Shaped Amphiphilic Block Copolymer
2.2. Cytotoxicity
2.3. Nifuratel Encapsulation
2.4. The Formation of Hydrogel Systems and Their Rheological Properties
3. Materials and Methods
3.1. Materials
3.2. Synthesis of (d,l-1,2-Isopropylidene glyceryl) Glycidyl Ether, IGG
3.3. Synthesis of Poly(furfuryl glycidyl ether), PFGE
3.4. Synthesis of Poly(furfuryl glycidyl ether)-b-Poly((d,l-1,2-isopropylidene glyceryl) glycidyl ether), PFGE-b-PIGG
3.5. Synthesis of Poly(furfuryl glycidyl ether)-b-Poly(glyceryl glycerol ether), PFGE-b-PGGE
3.6. Synthesis of Poly(2-acrylamidephenylboronic acid-ran-acrylamide), P(2-AAPBA-Ran-AM)
3.7. Solubilization of Nifuratel within Poly(furfuryl glycidyl ether)-b-Poly(glyceryl glycerol ether)
3.8. Drug Release
3.9. Instruments
3.9.1. H NMR and 1H DOSY NMR Spectroscopy
3.9.2. Gel Permeation Chromatography, GPC
3.9.3. Dynamic Light Scattering, DLS
3.9.4. Transmission Electron Microscopy, TEM
3.9.5. Matrix-Assisted Laser Desorption/Ionization Time-of-Flight Mass Spectrometry, MALDI-TOF
3.9.6. Rheology
3.9.7. Cytotoxicity Assessment
4. Conclusions
Supplementary Materials
Author Contributions
Funding
Institutional Review Board Statement
Informed Consent Statement
Data Availability Statement
Acknowledgments
Conflicts of Interest
References
- Loveless, M.; Myint, O. Vulvovaginitis-presentation of more common problems in pediatric and adolescent gynecology. Best Pract. Res. Clin. Obstet. Gynaecol. 2018, 48, 14–27. [Google Scholar] [CrossRef]
- Jeanmonod, R.; Jeanmonod, D. Vaginal Candidiasis. In StatPearls; Treasure Island: Lantau Island, FL, USA, 2021. [Google Scholar]
- Mulu, W.; Yimer, M.; Zenebe, Y.; Abera, B. Common causes of vaginal infections and antibiotic susceptibility of aerobic bacterial isolates in women of reproductive age attending at Felegehiwot referral Hospital, Ethiopia: A cross sectional study. BMC Women’s Health 2015, 15, 42. [Google Scholar] [CrossRef] [Green Version]
- Kairys, N.; Garg, M. Bacterial Vaginosis. In StatPearls; Treasure Island: Lantau Island, FL, USA, 2021. [Google Scholar]
- Van Schalkwyk, J.; Yudin, M.H.; Infectious Disease, C. Vulvovaginitis: Screening for and management of trichomoniasis, vulvovaginal candidiasis, and bacterial vaginosis. J. Obstet. Gynaecol. Can. 2015, 37, 266–274. [Google Scholar] [CrossRef]
- Powell, A.M.; Nyirjesy, P. Recurrent vulvovaginitis. Best Pract. Res. Clin. Obstet. Gynaecol. 2014, 28, 967–976. [Google Scholar] [CrossRef]
- Palmeira-De-Oliveira, R.; Palmeira-De-Oliveira, A.; Martinez-De-Oliveira, J. New strategies for local treatment of vaginal infections. Adv. Drug Deliv. Rev. 2015, 92, 105–122. [Google Scholar] [CrossRef]
- Arpa, M.D.; Yoltaş, A.; Onay Tarlan, E.; Şenyüz, C.Ş.; Sipahi, H.; Aydın, A.; Üstündağ Okur, N. New therapeutic system based on hydrogels for vaginal candidiasis management: Formulation–characterization and in vitro evaluation based on vaginal irritation and direct contact test. Pharm. Dev. Technol. 2020, 25, 1238–1248. [Google Scholar] [CrossRef]
- Knuth, K.; Amiji, M.; Robinson, J.R. Hydrogel delivery systems for vaginal and oral applications: Formulation and biological considerations. Adv. Drug Deliv. Rev. 1993, 11, 137–167. [Google Scholar] [CrossRef]
- Narayanaswamy, R.; Torchilin, V.P. Hydrogels and Their Applications in Targeted Drug Delivery. Molecules 2019, 24, 603. [Google Scholar] [CrossRef] [Green Version]
- Dos Santos, A.M.; Carvalho, S.G.; Araujo, V.H.S.; Carvalho, G.C.; Gremião, M.P.D.; Chorilli, M. Recent advances in hydrogels as strategy for drug delivery intended to vaginal infections. Int. J. Pharm. 2020, 590, 119867. [Google Scholar] [CrossRef]
- Xu, Y.; Li, Y.; Chen, Q.; Fu, L.; Tao, L.; Wei, Y. Injectable and Self-Healing Chitosan Hydrogel Based on Imine Bonds: Design and Therapeutic Applications. Int. J. Mol. Sci. 2018, 19, 2198. [Google Scholar] [CrossRef] [Green Version]
- Mukherjee, S.; Hill, M.R.; Sumerlin, B.S. Self-healing hydrogels containing reversible oxime crosslinks. Soft Matter 2015, 11, 6152–6161. [Google Scholar] [CrossRef] [PubMed]
- Yuan, C.; Rong, M.Z.; Zhang, M.Q.; Zhang, Z.P.; Yuan, Y.C. Self-Healing of Polymers via Synchronous Covalent Bond Fission/Radical Recombination. Chem. Mater. 2011, 23, 5076–5081. [Google Scholar] [CrossRef]
- Teng, L.; Chen, Y.; Jin, M.; Jia, Y.; Wang, Y.; Ren, L. Weak Hydrogen Bonds Lead to Self-Healable and Bioadhesive Hybrid Polymeric Hydrogels with Mineralization-Active Functions. Biomacromolecules 2018, 19, 1939–1949. [Google Scholar] [CrossRef]
- Zhang, M.; Xu, D.; Yan, X.; Chen, J.; Dong, S.; Zheng, B.; Huang, F. Self-Healing Supramolecular Gels Formed by Crown Ether Based Host-Guest Interactions. Angew. Chem. Int. Ed. 2012, 51, 7011–7015. [Google Scholar] [CrossRef] [PubMed]
- Kakuta, T.; Takashima, Y.; Nakahata, M.; Otsubo, M.; Yamaguchi, H.; Harada, A. Preorganized hydrogel: Self-healing properties of supramolecular hydrogels formed by polymerization of host-guest-monomers that contain cyclodextrins and hydrophobic guest groups. Adv. Mater. 2013, 25, 2849–2853. [Google Scholar] [CrossRef] [PubMed]
- Zhang, C.; Li, Y.; Xue, X.; Chu, P.; Liu, C.; Yang, K.; Jiang, Y.; Chen, W.Q.; Zou, G.; Liang, X.J. A smart pH-switchable luminescent hydrogel. Chem. Commun. 2015, 51, 4168–4171. [Google Scholar] [CrossRef] [Green Version]
- McKenzie, M.; Betts, D.; Suh, A.; Bui, K.; Kim, L.D.; Cho, H. Hydrogel-Based Drug Delivery Systems for Poorly Water-Soluble Drugs. Molecules 2015, 20, 20397–20408. [Google Scholar] [CrossRef] [Green Version]
- Hussein, Y.H.A.; Youssry, M. Polymeric Micelles of Biodegradable Diblock Copolymers: Enhanced Encapsulation of Hydrophobic Drugs. Material 2018, 11, 688. [Google Scholar] [CrossRef] [Green Version]
- Lu, Y.; Zhang, E.; Yang, J.; Cao, Z. Strategies to improve micelle stability for drug delivery. Nano Res. 2018, 11, 4985–4998. [Google Scholar] [CrossRef]
- Ambade, A.V.; Savariar, A.E.N.; Thayumanavan, S. Dendrimeric Micelles for Controlled Drug Release and Targeted Delivery. Mol. Pharm. 2005, 2, 264–272. [Google Scholar] [CrossRef] [Green Version]
- Gupta, U.; Agashe, H.B.; Asthana, A.; Jain, N.K. Dendrimers: Novel Polymeric Nanoarchitectures for Solubility Enhancement. Biomacromolecules 2006, 7, 649–658. [Google Scholar] [CrossRef]
- Gosecki, M.; Zgardzinska, B.; Gosecka, M. Temperature-Induced Changes in the Nanostructure of Hydrogels Based on Reversibly Cross-Linked Hyperbranched Polyglycidol with B(OH)(4)(circle minus) Ions. J. Phys. Chem. C 2016, 120, 18323–18332. [Google Scholar] [CrossRef]
- Gosecki, M.; Kazmierski, S.; Gosecka, M. Diffusion-Controllable Biomineralization Conducted In Situ in Hydrogels Based on Reversibly Cross-Linked Hyperbranched Polyglycidol. Biomacromolecules 2017, 18, 3418–3431. [Google Scholar] [CrossRef] [PubMed]
- Jin, X.; Sun, P.; Tong, G.; Zhu, X. Star polymer-based unimolecular micelles and their application in bio-imaging and diagnosis. Biomaterial 2018, 178, 738–750. [Google Scholar] [CrossRef]
- Amon, K.; Amon, I. Metronidazole for Treatment and Prophylaxis of Infections in Gynecology and Obstetrics. ZBL Gynakol. 1983, 105, 617–628. [Google Scholar]
- Polatti, F.; Nappi, R.; Brundu, B.; Fantuzzi, M.; Frisenda, L. Clinical Study on the Dose-Effect Relationship of a Nifuratel-Nystatin Combination in the Treatment of Vulvo-vaginal Infections. Arzneimittelforschung 2003, 53, 730–737. [Google Scholar] [CrossRef]
- Wilson, J.D.; Armstrong, N.R. Tinidazole in the treatment of bacterial vaginosis. Int. J. Women’s Health 2009, 1, 59–65. [Google Scholar] [CrossRef] [PubMed] [Green Version]
- Küng, E.; Fürnkranz, U.; Walochnik, J. Chemotherapeutic options for the treatment of human trichomoniasis. Int. J. Antimicrob. Agents 2019, 53, 116–127. [Google Scholar] [CrossRef]
- Dvořák, J.; Tomas, J.; Lizoňová, D.; Schöngut, M.; Dammer, O.; Pekárek, T.; Beránek, J.; Štěpánek, F. Investigation of tablet disintegration pathways by the combined use of magnetic resonance imaging, texture analysis and static light scattering. Int. J. Pharm. 2020, 587, 119719. [Google Scholar] [CrossRef]
- Sztanke, K.; Maziarka, A.; Osinka, A.; Sztanke, M. An insight into synthetic Schiff bases revealing antiproliferative activities in vitro. Bioorg. Med. Chem. 2013, 21, 3648–3666. [Google Scholar] [CrossRef]
- Mendling, W.; Mailland, F. Microbiological and Pharmaco-toxicological Profile of Nifuratel and its Favourable Risk/Benefit Ratio for the Treatment of Vulvo-vaginal Infections. Arzneimittelforschung 2002, 52, 8–13. [Google Scholar] [CrossRef]
- Zheng, H.; Hong, H.; Zhang, L.; Cai, X.; Hu, M.; Cai, Y.; Zhou, B.; Lin, J.; Zhao, C.; Hu, W. Nifuratel, a novel STAT3 inhibitor with potent activity against human gastric cancer cells. Cancer Manag. Res. 2017, 9, 565–572. [Google Scholar] [CrossRef] [PubMed] [Green Version]
- Laudisi, F.; Cherubini, F.; Monteleone, G.; Stolfi, C. STAT3 Interactors as Potential Therapeutic Targets for Cancer Treatment. Int. J. Mol. Sci. 2018, 19, 1787. [Google Scholar] [CrossRef] [Green Version]
- Yang, M. Nifuratel Liposome Solid Preparation. CN 102309451A, 2011. Available online: https://patents.google.com/patent/CN102309451A/en (accessed on 28 July 2021).
- Zhiyong, L. Nifuratel-Nysfungin Soft Capsule Suppository and Preparation Method Thereof. CN 103599120A, 2013. Available online: https://patents.google.com/patent/CN103599120A/en (accessed on 28 July 2021).
- Roos, K.; Dolci, E.; Carlotti, S.; Caillol, S. Activated anionic ring-opening polymerization for the synthesis of reversibly cross-linkable poly(propylene oxide) based on furan/maleimide chemistry. Polym. Chem. 2016, 7, 1612–1622. [Google Scholar] [CrossRef]
- Wagner, M.; Barthel, M.J.; Freund, R.R.A.; Hoeppener, S.; Traeger, A.; Schacher, F.H.; Schubert, U.S. Solution self-assembly of poly(ethylene oxide)-block-poly(furfuryl glycidyl ether)-block-poly(allyl glycidyl ether) based triblock terpolymers: A field-flow fractionation study. Polym. Chem. 2014, 5, 6943–6956. [Google Scholar] [CrossRef]
- Gevrek, T.N.; Sanyal, A. Furan-containing polymeric Materials: Harnessing the Diels-Alder chemistry for biomedical applications. Eur. Polym. J. 2021, 153, 110514. [Google Scholar] [CrossRef]
- Nakanishi, T.; Fukushima, S.; Okamoto, K.; Suzuki, M.; Matsumura, Y.; Yokoyama, M.; Okano, T.; Sakurai, Y.; Kataoka, K. Development of the polymer micelle carrier system for doxorubicin. J. Control. Release 2001, 74, 295–302. [Google Scholar] [CrossRef]
- Yoo, H.; Park, T.G. Folate receptor targeted biodegradable polymeric doxorubicin micelles. J. Control. Release 2004, 96, 273–283. [Google Scholar] [CrossRef] [PubMed]
- Kavitha, A.A.; Choudhury, A.; Singha, N.K. Controlled Radical Polymerization of Furfuryl Methacrylate. Macromol. Symp. 2006, 240, 232–237. [Google Scholar] [CrossRef]
- Balata, G.; Bakera, R.; Mahdi, M. Improvement of solubility and dissolution properties of clotrimazole by solid dispersions and inclusion complexes. Indian J. Pharm. Sci. 2011, 73, 517–526. [Google Scholar] [CrossRef] [Green Version]
- Nokhodchi, A.; Talari, R.; Valizadeh, H.; Jalali, M.B. An Investigation on the Solid Dispersions of Chlordiazepoxide. Int. J. Biomed. Sci. IJBS 2007, 3, 211–216. [Google Scholar]
- Wurm, F.R.; Nieberle, A.J.; Frey, H. Synthesis and Characterization of Poly(glyceryl glycerol) Block Copolymers. Macromolecules 2008, 41, 1909–1911. [Google Scholar] [CrossRef]
- Dash, S.; Murthy, P.N.; Nath, L.; Chowdhury, P. Kinetic modeling on drug release from controlled drug delivery systems. Acta Pol. Pharm. 2010, 67, 217–223. [Google Scholar]
- Mircioiu, C.; Voicu, V.; Anuta, V.; Tudose, A.; Celia, C.; Paolino, D.; Fresta, M.; Sandulovici, R.; Mircioiu, I. Mathematical Modeling of Release Kinetics from Supramolecular Drug Delivery Systems. Pharmaceutics 2019, 11, 140. [Google Scholar] [CrossRef] [PubMed] [Green Version]
- Cambre, J.N.; Sumerlin, B. Biomedical applications of boronic acid polymers. Polymer 2011, 52, 4631–4643. [Google Scholar] [CrossRef] [Green Version]
- Linden, C.H.; Hall, A.H.; Kulig, K.W.; Rumack, B.H. Acute ingestions of boric acid. J. Toxicol. Clin. Toxicol. 1986, 24, 269–279. [Google Scholar] [CrossRef]
- Audebeau, E.; Oikonomou, E.K.; Norvez, S.; Iliopoulos, I. One-pot synthesis and gelation by borax of glycopolymers in water. Polym. Chem. 2014, 5, 2273. [Google Scholar] [CrossRef]
- Priya, M.V.; Kumar, R.A.; Sivashanmugam, A.; Nair, S.V.; Jayakumar, R. Injectable Amorphous Chitin-Agarose Composite Hydrogels for Biomedical Applications. J. Funct. Biomater. 2015, 6, 849–862. [Google Scholar] [CrossRef] [PubMed] [Green Version]










| Polymer | DPn FGE (1H NMR) | DPn GGE (1H NMR) | Mn (1H NMR) | Mn (GPC) | Mw/Mn (GPC) |
|---|---|---|---|---|---|
| PFGE | 39 | - | 6000 | 4930 | 1.11 |
| PFGE-b-PGGE | 39 | 426 | 61,000 | 57,800 | 1.28 |
| Hydrogel | PFGE-b-PGGE (g) | P(2-AAPBA-b-AM) (g) | Weight Polymer Fraction (wt%) |
|---|---|---|---|
| H1 | 0.055 | 0.049 | 23 |
| H2 | 0.055 | 0.025 | 18.5 |
Publisher’s Note: MDPI stays neutral with regard to jurisdictional claims in published maps and institutional affiliations. |
© 2021 by the authors. Licensee MDPI, Basel, Switzerland. This article is an open access article distributed under the terms and conditions of the Creative Commons Attribution (CC BY) license (https://creativecommons.org/licenses/by/4.0/).
Share and Cite
Ziemczonek, P.; Gosecka, M.; Gosecki, M.; Marcinkowska, M.; Janaszewska, A.; Klajnert-Maculewicz, B. Star-Shaped Poly(furfuryl glycidyl ether)-Block-Poly(glyceryl glycerol ether) as an Efficient Agent for the Enhancement of Nifuratel Solubility and for the Formation of Injectable and Self-Healable Hydrogel Platforms for the Gynaecological Therapies. Int. J. Mol. Sci. 2021, 22, 8386. https://doi.org/10.3390/ijms22168386
Ziemczonek P, Gosecka M, Gosecki M, Marcinkowska M, Janaszewska A, Klajnert-Maculewicz B. Star-Shaped Poly(furfuryl glycidyl ether)-Block-Poly(glyceryl glycerol ether) as an Efficient Agent for the Enhancement of Nifuratel Solubility and for the Formation of Injectable and Self-Healable Hydrogel Platforms for the Gynaecological Therapies. International Journal of Molecular Sciences. 2021; 22(16):8386. https://doi.org/10.3390/ijms22168386
Chicago/Turabian StyleZiemczonek, Piotr, Monika Gosecka, Mateusz Gosecki, Monika Marcinkowska, Anna Janaszewska, and Barbara Klajnert-Maculewicz. 2021. "Star-Shaped Poly(furfuryl glycidyl ether)-Block-Poly(glyceryl glycerol ether) as an Efficient Agent for the Enhancement of Nifuratel Solubility and for the Formation of Injectable and Self-Healable Hydrogel Platforms for the Gynaecological Therapies" International Journal of Molecular Sciences 22, no. 16: 8386. https://doi.org/10.3390/ijms22168386
APA StyleZiemczonek, P., Gosecka, M., Gosecki, M., Marcinkowska, M., Janaszewska, A., & Klajnert-Maculewicz, B. (2021). Star-Shaped Poly(furfuryl glycidyl ether)-Block-Poly(glyceryl glycerol ether) as an Efficient Agent for the Enhancement of Nifuratel Solubility and for the Formation of Injectable and Self-Healable Hydrogel Platforms for the Gynaecological Therapies. International Journal of Molecular Sciences, 22(16), 8386. https://doi.org/10.3390/ijms22168386

