Effects of Dielectric Barrier Ambient Air Plasma on Two Brassicaceae Seeds: Arabidopsis thaliana and Camelina sativa
Abstract
:1. Introduction
2. Results
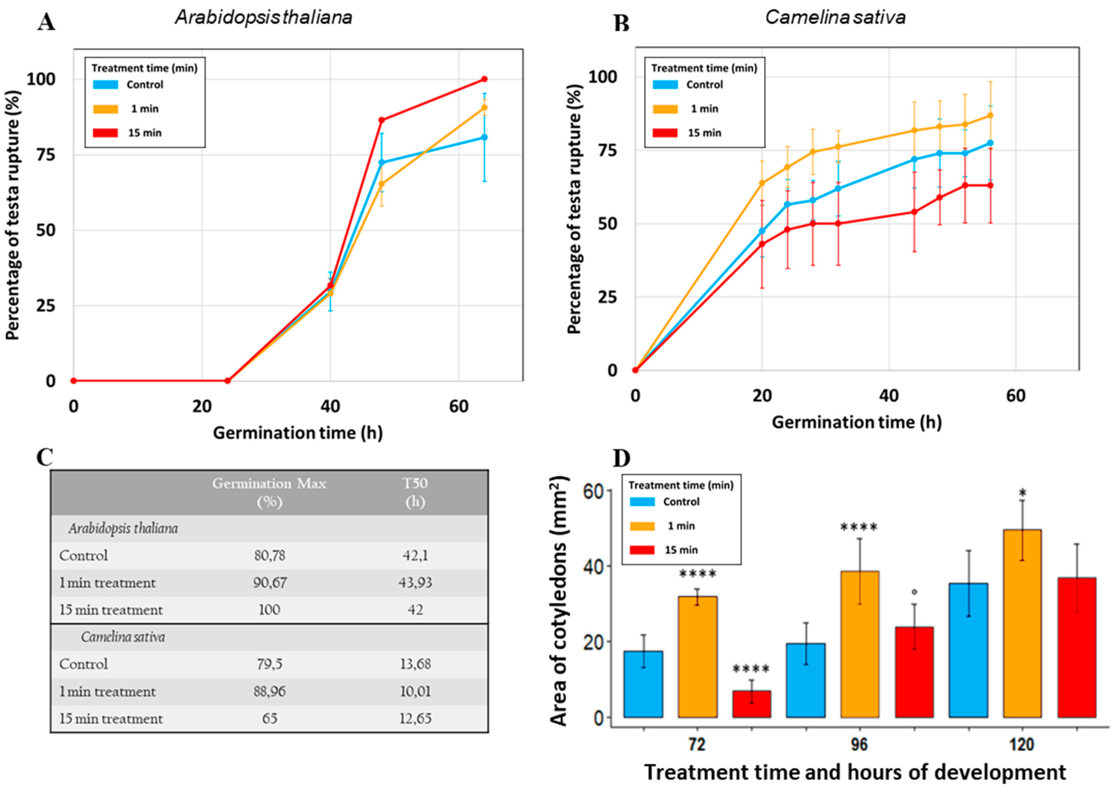
2.1. Plasma Treatment Increases Seeds Germination in Time Exposure-Dependent Manner
2.2. Plasma Treatment Affects Seed Surface Structure
2.2.1. Seed Morphology and Anatomy
2.2.2. Seeds Wettability
2.2.3. Permeability Tests
2.2.4. Water Uptake
2.2.5. Lipidomic Analysis of the Seed Surface
3. Discussion
4. Experimental Set Up, Materials and Methods
4.1. Plasma Set Up
4.2. Plasma Treatment
4.3. Biological Material
4.4. Germination Tests
4.5. Seed Surface Analysis
4.5.1. Scanning Electron Microscopy
4.5.2. Contact Angle
4.5.3. Permeability Tests
4.5.4. Water Uptake
4.5.5. Surface Lipids Analysis
4.6. Statistical Analyses
5. Conclusions
Author Contributions
Funding
Institutional Review Board Statement
Informed Consent Statement
Data Availability Statement
Acknowledgments
Conflicts of Interest
References
- Babadoost, M.; Islam, S.Z. Fungicide seed treatment effects on seedling damping-off of pumpkin caused by Phytophthora capsici. Plant Dis. 2003, 87, 63–68. [Google Scholar] [CrossRef] [Green Version]
- Bewley, D.; Black, M. Seeds; Springer Science & Business Media: New York, NY, USA, 1994. [Google Scholar]
- Tomaz, A.; Palma, P.; Alvarenga, P.; Gonçalves, M.C.; Prasad, M.N.V.; Pietrzykowski, M. Soil salinity risk in a climate change scenario and its effect on crop yield. In Climate Change and Soil Interactions; Elsevier: Hoboken, NJ, USA, 2020; pp. 351–396. [Google Scholar]
- Villeger, S.; Sarrette, J.; Ricard, A. Synergy between N and O atom action and substrate surface temperature in a sterilization process using a flowing N2-O2 microwave post discharge. Plasma Process. Polym. 2005, 2, 709–714. [Google Scholar] [CrossRef]
- Chauvin, J.; Gibot, L.; Griseti, E.; Golzio, M.; Rols, M.P.; Merbahi, N.; Vicendo, P. Elucidation of in vitro cellular steps induced by antitumor treatment with plasma-activated medium. Sci. Rep. 2019, 9, 4866. [Google Scholar] [CrossRef] [PubMed]
- Kubinova, S.; Zaviskova, K.; Uherkova, L.; Zablotskii, V.; Churpita, O.; Lunov, O.; Dejneka, A. Non-thermal air plasma promotes the healing of acute skin wounds in rats. Sci. Rep. 2017, 7, 45183. [Google Scholar] [CrossRef] [Green Version]
- Zerrouki, A.; Yousfi, M.; Rhallabi, A.; Motomura, H.; Jinno, M. Monte Carlo poration model of cell membranes for application to plasma gene transfection. Plasma Process. Polym. 2016, 13, 633–648. [Google Scholar] [CrossRef]
- Sera, B.; Spatenka, P.; Sery, M.; Vrchotova, N.; Hruskova, I. Influence of plasma treatment on wheat and oat germination and early growth. IEEE Trans. Plasma Sci. 2010, 38, 2963–2968. [Google Scholar] [CrossRef]
- Krapivina, S.; Filippov, A.; Levitskaya, T.; Bakhvalov, A. Gas Plasma Treatment of Plant Seeds. U.S. Patent US5281315A, 25 January 1994. [Google Scholar]
- Dubinov, A.; Lazarenko, E.; Selemir, V. Effect of glow discharge air plasma on grain crops seed. Trans. Plasma Sci. 2000, 28, 180–183. [Google Scholar] [CrossRef]
- Attri, P.; Koga, K.; Okumura, T.; Shiratani, M. Impact of atmospheric pressure plasma treated seeds on germination, morphology, gene expression and biochemical responses. Jpn. J. Appl. Phys. 2021, 60, 040502. [Google Scholar] [CrossRef]
- Sera, B.; Kraus, K.; Hnilicka, F.; Medvecka, V.; Zahoranova, A.; Sery, M. Effect of atmospheric non-thermal plasma treatment by DCSBD apparatus on sugar beet seeds. Rom. Rep. Phys. 2021, 73, 14. [Google Scholar]
- Dufour, T.; Gutierrez, Q.; Bailly, C. Sustainable improvement of seeds vigor using dry atmospheric plasma priming: Evidence through coating wettability, water uptake, and plasma reactive chemistry. J. Appl. Phys. 2021, 129, 084902. [Google Scholar] [CrossRef]
- Starek-Wojcicka, A.; Sagan, A.; Terebun, P.; Kwiatkowski, M.; Kiczorowski, P.; Pawlat, J. Influence of a helium-nitrogen RF plasma jet on onion seed germination. Appl. Sci. 2020, 10, 8973. [Google Scholar] [CrossRef]
- Svubova, R.; Slovakova, L.; Holubova, L.; Rovnanova, D.; Galova, E.; Tomekova, J. Evaluation of the impact of cold atmospheric pressure plasma on soybean seed germination. Plants 2021, 10, 177. [Google Scholar] [CrossRef]
- Marcer, A.; Vidigal, D.S.; James, P.M.A.; Fortin, M.J.; Mendez-Vigo, B.; Hilhorst, H.W.M.; Bentsink, L.; Alonso-Blanco, C.; Pico, F.X. Temperature fine-tunes mediterranean Arabidopsis thaliana life-cycle phenology geographically. Plant Biol. 2018, 20, 148–156. [Google Scholar] [CrossRef] [Green Version]
- Kaul, S.; Koo, H.L.; Jenkins, J.; Rizzo, M.; Rooney, T.; Tallon, L.J.; Feldblyum, T.; Nierman, W.; Benito, M.I.; Lin, X.Y.; et al. Analysis of the genome sequence of the flowering plant Arabidopsis thaliana. Nature 2000, 408, 796–815. [Google Scholar] [CrossRef] [Green Version]
- Bafoil, M.; Jemmat, A.; Martinez, Y.; Merbahi, N.; Eichwald, O.; Dunand, C.; Yousfi, M. Effects of low temperature plasmas and plasma activated waters on Arabidopsis thaliana germination and growth. PLoS ONE 2018, 13, e0195512. [Google Scholar] [CrossRef]
- Bafoil, M.; Le Ru, A.; Merbahi, N.; Eichwald, O.; Dunand, C.; Yousfi, M. New insights of low-temperature plasma effects on germination of three genotypes of Arabidopsis thaliana seeds under osmotic and saline stresses. Sci. Rep. 2019, 9, 10. [Google Scholar] [CrossRef] [Green Version]
- Pawlat, J.; Starek, A.; Sujak, A.; Kwiatkowski, M.; Terebun, P.; Budzen, M. Effects of atmospheric pressure plasma generated in GlidArc reactor on Lavatera thuringiaca L. seeds’ germination. Plasma Process. Polym. 2018, 15, 11. [Google Scholar] [CrossRef]
- Billah, M.; Sajib, S.A.; Roy, N.C.; Rashid, M.M.; Reza, M.A.; Hasan, M.M.; Talukder, M.R. Effects of DBD air plasma treatment on the enhancement of black gram (Vigna mungo L.) seed germination and growth. Arch. Biochem. Biophys. 2020, 681, 108253. [Google Scholar] [CrossRef]
- Los, A.; Ziuzina, D.; Boehm, D.; Cullen, P.J.; Bourke, P. Investigation of mechanisms involved in germination enhancement of wheat (Triticum aestivum) by cold plasma: Effects on seed surface chemistry and characteristics. Plasma Process. Polym. 2019, 16, 1800148. [Google Scholar] [CrossRef]
- Lotfy, K.; Al-Harbi, N.A.; Abd El-Raheem, H. Cold atmospheric pressure nitrogen plasma jet for enhancement germination of wheat seeds. Plasma Chem. Plasma Process. 2019, 39, 897–912. [Google Scholar] [CrossRef]
- Zanetti, F.; Eynck, C.; Christou, M.; Krzyzaniak, M.; Righini, D.; Alexopoulou, E.; Stolarski, M.J.; Van Loo, E.N.; Puttick, D.; Monti, A. Agronomic performance and seed quality attributes of Camelina (Camelina sativa L. crantz) in multi-environment trials across Europe and Canada. Ind. Crop. Prod. 2017, 107, 602–608. [Google Scholar] [CrossRef] [Green Version]
- Helmke, A.; Wandke, D.; Mahmoodzada, M.; Weltmann, K.D.; Viol, W. Impact of electrode design, supply voltage and interelectrode distance on safety aspects and characteristics of a medical DBD plasma source. Contrib. Plasma Phys. 2013, 53, 623–638. [Google Scholar] [CrossRef]
- Almansouri, M.; Kinet, J.-M.; Lutts, S. Effect of salt and osmotic stresses on germination in durum wheat (Triticum durum Desf.). Plant Soil 2001, 231, 243–254. [Google Scholar] [CrossRef]
- Lariguet, P.; Ranocha, P.; De Meyer, M.; Barbier, O.; Penel, C.; Dunand, C. Identification of a hydrogen peroxide signalling pathway in the control of light-dependent germination in Arabidopsis. Planta 2013, 238, 381–395. [Google Scholar] [CrossRef]
- Bailly, C. The signalling role of ROS in the regulation of seed germination and dormancy. Biochem. J. 2019, 476, 3019–3032. [Google Scholar] [CrossRef]
- Burm, K. Plasma: The Fourth State of Matter. Plasma Chem. Plasma Process. 2012, 32, 401–407. [Google Scholar] [CrossRef]
- Kucerova, K.; Henselova, M.; Slovakova, L.; Hensel, K. Effects of plasma activated water on wheat: Germination, growth parameters, photosynthetic pigments, soluble protein content, and antioxidant enzymes activity. Plasma Process. Polym. 2019, 16, 1800131. [Google Scholar] [CrossRef]
- Cui, D.J.; Yin, Y.; Wang, J.Q.; Wang, Z.W.; Ding, H.B.; Ma, R.N.; Jiao, Z. Research on the physio-biochemical mechanism of non-thermal plasma-regulated seed germination and early seedling development in Arabidopsis. Front. Plant Sci. 2019, 10, 1322. [Google Scholar] [CrossRef]
- Molina, R.; Lalueza, A.; Lopez-Santos, C.; Ghobeira, R.; Cools, P.; Morent, R.; de Geyter, N.; Gonzalez-Elipe, A.R. Physicochemical surface analysis and germination at different irrigation conditions of DBD plasma-treated wheat seeds. Plasma Process. Polym. 2021, 18, 2000086. [Google Scholar] [CrossRef]
- Yodpitaka, S.; Mahatheeranont, S.; Boonyawan, D.; Sookwong, P.; Roytrakul, S.; Norkaew, O. Cold plasma treatment to improve germination and enhance the bioactive phytochemical content of germinated brown rice. Food Chem. 2019, 289, 328–339. [Google Scholar] [CrossRef]
- Shashikanthalu, S.P.; Ramireddy, L.; Radhakrishnan, M. Stimulation of the germination and seedling growth of Cuminum cyminum L. seeds by cold plasma. J. Appl. Res. Med. Aromat. Plants 2020, 18, 100259. [Google Scholar] [CrossRef]
- Meng, Y.R.; Qu, G.Z.; Wang, T.C.; Sun, Q.H.; Liang, D.L.; Hu, S.B. Enhancement of germination and seedling growth of wheat seed using dielectric barrier discharge plasma with various gas sources. Plasma Chem. Plasma Process. 2017, 37, 1105–1119. [Google Scholar] [CrossRef]
- Gomez-Ramirez, A.; Lopez-Santos, C.; Cantos, M.; Garcia, J.L.; Molina, R.; Cotrino, J.; Espinos, J.P.; Gonzalez-Elipe, A.R. Surface chemistry and germination improvement of Quinoa seeds subjected to plasma activation. Sci. Rep. 2017, 7, 5924. [Google Scholar] [CrossRef] [Green Version]
- Shao, S.Q.; Meyer, C.J.; Ma, F.S.; Peterson, C.A.; Bernards, M.A. The outermost cuticle of soybean seeds: Chemical composition and function during imbibition. J. Exp. Bot. 2007, 58, 1071–1082. [Google Scholar] [CrossRef] [PubMed] [Green Version]
- Ranal, M.A.; Garcia De Santana, D. How and why to measure the germination process? Braz. J. Bot. 2006, 29, 1–11. [Google Scholar] [CrossRef] [Green Version]
- Vishwanath, S.J.; Doumergue, F.; Rowland, O. Seed Coat Permeability Test: Tetrazolium Penetration Assay. Bio-Protocal 2014, 4, e1173. [Google Scholar] [CrossRef]








Publisher’s Note: MDPI stays neutral with regard to jurisdictional claims in published maps and institutional affiliations. |
© 2021 by the authors. Licensee MDPI, Basel, Switzerland. This article is an open access article distributed under the terms and conditions of the Creative Commons Attribution (CC BY) license (https://creativecommons.org/licenses/by/4.0/).
Share and Cite
Bafoil, M.; Yousfi, M.; Dunand, C.; Merbahi, N. Effects of Dielectric Barrier Ambient Air Plasma on Two Brassicaceae Seeds: Arabidopsis thaliana and Camelina sativa. Int. J. Mol. Sci. 2021, 22, 9923. https://doi.org/10.3390/ijms22189923
Bafoil M, Yousfi M, Dunand C, Merbahi N. Effects of Dielectric Barrier Ambient Air Plasma on Two Brassicaceae Seeds: Arabidopsis thaliana and Camelina sativa. International Journal of Molecular Sciences. 2021; 22(18):9923. https://doi.org/10.3390/ijms22189923
Chicago/Turabian StyleBafoil, Maxime, Mohammed Yousfi, Christophe Dunand, and Nofel Merbahi. 2021. "Effects of Dielectric Barrier Ambient Air Plasma on Two Brassicaceae Seeds: Arabidopsis thaliana and Camelina sativa" International Journal of Molecular Sciences 22, no. 18: 9923. https://doi.org/10.3390/ijms22189923
APA StyleBafoil, M., Yousfi, M., Dunand, C., & Merbahi, N. (2021). Effects of Dielectric Barrier Ambient Air Plasma on Two Brassicaceae Seeds: Arabidopsis thaliana and Camelina sativa. International Journal of Molecular Sciences, 22(18), 9923. https://doi.org/10.3390/ijms22189923

